Embed presentation
Download as PDF, PPTX



![X(z)
z
Lt
x(n)
0n
Lt
x(0)
INITIAL VALUE THEOREM:
Let x(n) be a discrete time causal sequence and ZT[ x(n) ] = X(z),
then according to initial value theorem of z transform
7/28/2020 4](https://image.slidesharecdn.com/inverseztranformday3-200728114017/85/Inverse-z-tranform-day-3-4-320.jpg)




























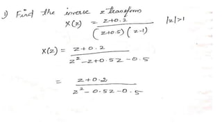
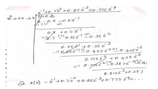
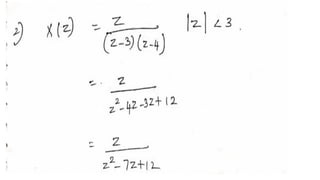
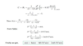
The document outlines a webinar focused on discrete time system analysis, detailing key properties of the Z-transform, including linearity, time shifting, and convolution properties. It discusses methods for inverse Z-transform, such as long division, partial fraction, and Cauchy’s integration methods. Additionally, it covers the initial and final value theorems for discrete time sequences.



![X(z)
z
Lt
x(n)
0n
Lt
x(0)
INITIAL VALUE THEOREM:
Let x(n) be a discrete time causal sequence and ZT[ x(n) ] = X(z),
then according to initial value theorem of z transform
7/28/2020 4](https://image.slidesharecdn.com/inverseztranformday3-200728114017/85/Inverse-z-tranform-day-3-4-320.jpg)



























