บทที่ 1
ลําดับและอนุกรม
( 18 ชั่วโมง )
ลําดับและอนุกรมที่จะกลาวถึงในบทนี้ จะเปนเรื่องเกี่ยวกับการหาพจนทั่วไปของ
ลําดับที่สามารถหาพจนทั่วไปไดงาย ลําดับเลขคณิต ลําดับเรขาคณิต อนุกรมเลขคณิต
และอนุกรมเรขาคณิต รวมทั้งโจทยที่แสดงใหเห็นการนําความรูในเรื่องที่กลาวมาไปใช
ในการแกปญหาที่เกี่ยวของกับชีวิตประจําวัน
ผลการเรียนรูที่คาดหวัง
1. เขาใจความหมายของลําดับ และหาพจนทั่วไปของลําดับจํากัดที่กําหนดใหได
2. เขาใจความหมายของลําดับเลขคณิตและลําดับเรขาคณิต หาพจนตาง ๆ ของลําดับ
เลขคณิตและลําดับเรขาคณิตได
3. เขาใจความหมายของผลบวก n พจนแรกของอนุกรมเลขคณิต และอนุกรมเรขาคณิต
4. หาผลบวก n พจนแรกของอนุกรมเลขคณิต และอนุกรมเรขาคณิต โดยใชสูตรและ
นําไปใชได
ผลการเรียนรูดังกลาวเปนผลการเรียนรูที่สอดคลองกับมาตรฐานการเรียนรู
ชวงชั้นทางดานความรู ในการเรียนการสอนทุกครั้งผูสอนตองคํานึงถึงมาตรฐานการเรียนรู
ทางดานทักษะและกระบวนการทางคณิตศาสตรที่จําเปนและสอดแทรกกิจกรรมปญหา
หรือคําถามที่เสริมสรางทักษะกระบวนการเหลานั้นดวย นอกจากนั้นควรปลูกฝงใหผูเรียน
ทํางานอยางเปนระบบ มีระเบียบวินัย รอบคอบ มีความรับผิดชอบมีวิจารณญาณและมี
ความเชื่อมั่นในตัวเอง
2
ขอเสนอแนะ
1. การกําหนดลําดับอาจจะกําหนดโดยพจนทั่วไปหรือกําหนดโดยการแจงพจน
การกําหนดลําดับโดยการแจงพจนแลวใหหาพจนทั่วไปของลําดับนั้น อาจหาพจนทั่วไปได
ตางกันและทําใหลําดับนั้นเปนลําดับที่ตางกันดวย กลาวคือ ลําดับที่ตางกันอาจจะมีพจนตน ๆ
เหมือนกัน เชน
(1) 1, 2
1
, 3
1
, ..., n
1
, ...
เมื่อ n = 4 จะไดพจนที่ 4 เทากับ 4
1
และ 1, 2
1
, 3
1
, ...,
6n12n6n
1
23
−+−
, ...
เมื่อ n = 4 จะไดพจนที่ 4 เทากับ 1
10
(2) 1 1 1
, ,
2 4 8
, ..., n
1
2
, ...
เมื่อ n = 4 จะไดพจนที่ 4 เทากับ 1
16
และ 1 1 1
, ,
2 4 8
, ..., 2
6
(n 1)(n n 6)+ − +
, ...
เมื่อ n = 4 จะไดพจนที่ 4 เทากับ 1
15
ในหนังสือเรียนไดกลาวถึงการหาพจนทั่วไปของลําดับเมื่อกําหนดลําดับ
โดยการแจงพจน เนื่องจากตองการใหผูเรียนไดฝกการสรุปกฎเกณฑ
ดังนั้นในการออกขอสอบใหหาพจนทั่วไป ถาผูสอนกําหนดใหหาพจนทั่วไปของ
ลําดับอนันตจะตองระวังวาคําตอบอาจจะตางกันแตเปนคําตอบที่ถูกตองทั้งหมด
3
2. การหาพจนทั่วไปของลําดับที่กําหนดเฉพาะพจนตน ๆ ให แลวจึงหาพจน
ทั่วไปโดยการพิจารณาความสัมพันธระหวาง an กับ n แลวสรุปเปนกฎเกณฑ ผูสอนควร
เริ่มจากลําดับที่สามารถสังเกตเห็นความสัมพันธระหวาง an กับ n ไดงายโดยอาจเริ่มตนจาก
ตัวอยางดังนี้
(1) กําหนดลําดับ 2, 4, 8, 16, ... ให
เปลี่ยนรูปแตละพจนเพื่อหาความสัมพันธระหวาง an และ n ไดดังนี้
a1 = 2 = 21
a2 = 4 = 22
a3 = 8 = 23
a4 = 16 = 24
จะได an = 2n
(2) กําหนดลําดับ 1, 3, 7, 15, ... ให
เปลี่ยนรูปแตละพจนเพื่อหาความสัมพันธระหวาง an กับ n ไดดังนี้
a1 = 1 = 2 – 1 = 21
– 1
a2 = 3 = 4 – 1 = 22
– 1
a3 = 7 = 8 – 1 = 23
– 1
a4 = 15 = 16 – 1 = 24
– 1
จากความสัมพันธขางตน จะได an = 2n
– 1
(3) กําหนดลําดับ 1, 2
1
, 6
1
, 24
1
, ... ให
เปลี่ยนรูปแตละพจนเพื่อหาความสัมพันธระหวาง an กับ n ดังนี้
a1 = 1 = 1
1
a2 = 2
1
= 21
1
⋅
a3 = 6
1
= 321
1
⋅⋅
a4 = 24
1
= 4321
1
⋅⋅⋅
จากความสัมพันธขางตน จะได an = n...321
1
⋅⋅⋅⋅
4
จากตัวอยางที่กลาวมาจะเห็นวา การหาพจนทั่วไปของลําดับที่กําหนดใหจะเปน
ตัวอยางที่ไมซับซอน เนื่องจากไมไดใหความสําคัญของการหาพจนทั่วไป เพียงแตตองการ
ใหผูสอนเห็นตัวอยางการสอนที่ทําใหผูเรียนสามารถหาพจนทั่วไปของลําดับที่กําหนดให
ไดเทานั้น ทั้งนี้ ผูสอนไมควรเนนวิธีการที่กลาวมาโดยการหาตัวอยางที่ซับซอนมากเกินไป
เพียงแตหาโจทยที่เหมาะกับความสามารถของผูเรียนเพื่อใหผูเรียนฝกการสรุปกฎเกณฑโดย
อาศัยการสังเกตจากพจนในลําดับที่กําหนดใหเทานั้น
สําหรับผูเรียนที่มีความถนัดในวิชาคณิตศาสตรอาจมีขอสงสัยวา ถาลําดับที่
กําหนดใหไมสามารถหาพจนทั่วไปตามวิธีการที่กลาวมาไดจะมีวิธีการหาพจนทั่วไปของ
ลําดับไดอยางไร ผูสอนอาจนําเสนอความรูเพิ่มเติมเรื่องการหาฟงกชันพหุนาม เพื่อนํามา
เชื่อมโยงกับการหาพจนทั่วไปของลําดับได เนื่องจากลําดับก็เปนฟงกชันเชนกัน ดังนี้
ตัวอยางที่ 1 ให f(x) = 5x + 3
พิจารณาคาของ f(x) และผลตางของ f(x) เมื่อ x = 0, 1, 2, 3, 4, 5 ดังนี้
x 0 1 2 3 4 5
f(x) 3 8 13 18 23 28
ผลตางของคา f(x) 5 5 5 5 5
จากตัวอยางขางตน จะเห็นวา f เปนฟงกชันพหุนามดีกรี 1 และมีผลตางครั้งที่
หนึ่งเปนคาคงตัวที่เทากับ 5 ซึ่งไมเทากับศูนย
5
ตัวอยางที่ 2 ให f(x) = x2
+ x + 3
พิจารณาคาของ f(x) และผลตางของ f(x) เมื่อ x = -1, 0, 1, 2, 3, 4, 5 ดังนี้
x -1 0 1 2 3 4 5
f(x) 3 3 5 9 15 23 33
ผลตางครั้งที่ 1 0 2 4 6 8 10
ผลตางครั้งที่ 2 2 2 2 2 2
จากตัวอยาง จะเห็นวา ฟงกชันที่กําหนดใหเปนฟงกชันพหุนามดีกรี 2 และมี
ผลตางครั้งที่สองเปนคาคงตัวซึ่งไมเทากับศูนย
ตัวอยางที่ 3 ให f(x) = 2x3
+ x - 10
พิจารณาคาของ f(x) และผลตางของ f(x) เมื่อ x = 0, 1, 2, 3, 4, 5, 6 ดังนี้
x 0 1 2 3 4 5 6
f(x) -10 -7 8 47 122 245 428
ผลตางครั้งที่ 1 3 15 39 75 123 183
ผลตางครั้งที่ 2 12 24 36 48 60
ผลตางครั้งที่ 3 12 12 12 12
จากตัวอยาง จะเห็นวา ฟงกชันที่กําหนดใหเปนฟงกชันพหุนามดีกรี 3 และ
ผลตางครั้งที่สามเปนคาคงตัวที่เทากับ 12 ซึ่งไมเทากับศูนย
ในกรณีทั่วไป เชน เมื่อ f เปนฟงกชันพหุนามดีกรี 2
6
ให f(x) = ax2
+ bx + c
ผลตางครั้งที่ (1) ผลตางครั้งที่ (2)
จะได f(1) = a + b + c
f(2) = 4a + 2b + c
f(3) = 9a + 3b + c
f(4) = 16a + 4b + c
f(5) = 25a + 5b + c
จากตัวอยางขางตน จะเห็นวา ฟงกชันพหุนามกําลังสองมีผลตางของ f(x)
ครั้งที่ 2 เปนคาคงตัวที่ไมเทากับศูนย สําหรับฟงกชันพหุนามอื่นที่มีดีกรีไมเทากับสอง
ก็มีสมบัติขางตนที่เกี่ยวกับผลตางของคาของฟงกชันพหุนามเชนเดียวกัน
สรุปวา เมื่อ f เปนฟงกชันพหุนามดีกรี n เมื่อ n ∈ {1, 2, 3, ...} ผลตางของ
คาของฟงกชัน f ครั้งที่ n จะเปนคาคงตัวและไมเทากับศูนย ขอสรุปที่กลาวมานี้มีที่มา
จากทฤษฎีบทที่มีชื่อวา Polynomial Difference Theorem ซึ่งกลาววา “ฟงกชัน f จะเปน
ฟงกชันพหุนามดีกรีที่ n ก็ตอเมื่อ มีคา x ที่ทําใหผลตางของคาของฟงกชันครั้งที่ n เปน
คาคงตัวที่ไมเทากับศูนย ซึ่งสวนมากจะใช x ที่เปนจํานวนที่เรียงถัดกัน เชน 1, 2, 3, 4, …”
ตอไปจะพิจารณาคาของ f(x) ที่กําหนดให เพื่อพิจารณาวา f เปนฟงกชัน
พหุนามหรือไม โดยใชขอสรุปจากทฤษฎีที่กลาวมาขางตน ดังตัวอยางตอไปนี้
ตัวอยางที่ 4 ให f เปนฟงกชัน จากคา x และ f(x) ที่กําหนดให
จงพิจารณาวา f เปนฟงกชันพหุนามหรือไม โดยหาวา มีผลตางของคาของ
ฟงกชัน f ที่เปนคาคงตัวที่ไมเทากับศูนยหรือไม
x 1 2 3 4 5
f(x) 3 -3 -13 -27 -45
ผลตางครั้งที่ 1 -6 -10 -14 -18
ผลตางครั้งที่ 2 -4 -4 -4
จะไดวา ผลตางครั้งที่สองของคาของฟงกชัน f เปนคาคงตัวและไมเทากับศูนย
สรุปไดวา f เปนฟงกชันพหุนามดีกรี 2
3a + b
5a + b
7a + b
9a + b
2a
2a
2a
7
ตัวอยางที่ 5 จากตาราง จงพิจารณาวา y เปนคาของฟงกชันพหุนามหรือไม และ
ถาเปน จงหาดีกรีของฟงกชันพหุนามนั้น
x 1 2 3 4 5 6 7 8
y 2 12 36 80 150 252 392 576
วิธีทํา จากตารางพิจารณาคาของ y และผลตางคาของ y ดังนี้
x 1 2 3 4 5 6 7 8
y 2 12 36 80 150 252 392 576
ผลตางครั้งที่ 1 10 24 44 70 102 140 184
ผลตางครั้งที่ 2 14 20 26 32 38 44
ผลตางครั้งที่ 3 6 6 6 6 6
จะพบวา ผลตางครั้งที่สามของคา y เปนคาคงตัวที่ไมเทากับศูนย
สรุปไดวา y เปนคาของฟงกชันพหุนามดีกรี 3
จากตัวอยางที่กลาวมา จะเห็นไดวา จากคา x และ f(x) ที่กําหนดให
ถาพบวา ผลตางของคา f(x) ครั้งที่ n เปนคาคงตัวที่ไมเทากับศูนยแลว f จะเปน
ฟงกชันพหุนามดีกรี n แตจะยังไมสามารถบอกไดวา f คือ ฟงกชันใด ตัวอยาง
ตอไปนี้จะแสดงวิธีการหาฟงกชัน f จากคา x และ f(x) ที่กําหนดให เมื่อไดขอสรุป
วา f เปนฟงกชันพหุนามดีกรี n
ตัวอยางที่ 6 กําหนดคาของ x และ f(x) ดังตาราง
x 1 2 3 4 5 6
f(x) 1 4 10 20 35 56
8
จากคาที่กําหนดให หาผลตางของ f(x) ไดดังนี้
x 1 2 3 4 5 6
f(x) 1 4 10 20 35 56
ผลตางครั้งที่ 1 3 6 10 15 21
ผลตางครั้งที่ 2 3 4 5 6
ผลตางครั้งที่ 3 1 1 1
จะเห็นวา ผลตางครั้งที่สามของ f(x) เปนคาคงตัวที่ไมเทากับศูนย
สรุปไดวา f เปนฟงกชันพหุนามดีกรี 3
จากขอสรุปขางตน จะหาฟงกชันพหุนาม f ไดโดย
ให f(x) = ax3
+ bx2
+ cx + d
จะหาคาของ a, b, c และ d ซึ่งเปนคาคงตัวไดดังนี้
เมื่อ x = 4 จะได f(4) = 20
นั่นคือ 64a + 16b + 4c + d = 20 ------------- (1)
x = 3 จะได f(3) = 10
นั่นคือ 27a + 9b + 3c + d = 10 ------------- (2)
x = 2 จะได f(2) = 4
นั่นคือ 8a + 4b + 2c + d = 4 ------------- (3)
x = 1 จะได f(1) = 1
นั่นคือ a + b + c + d = 1 ------------- (4)
(3) - (4) 7a + 3b + c = 3 ------------- (5)
(2) - (3) 19a + 5b + c = 6 ------------- (6)
(1) - (2) 37a + 7b + c = 10 ------------- (7)
(7) - (6) 18a + 2b = 4 ------------- (8)
(6) - (5) 12a + 2b = 3 ------------- (9)
9
จาก (8) - (9) จะได 6a = 1 หรือ a = 1
6
แทนคา a = 1
6
จะไดวา b = 1
2
, c = 1
3
และ d = 0
นั่นคือ f(x) = 1
6
1
2
1
3
3 2
x x x+ +
สําหรับการหาพจนทั่วไปของลําดับที่กําหนดใหอาจทําไดโดยการใชสมบัติ
ของฟงกชันพหุนามที่กลาวมาโดยสมมติพจนทั่วไปในรูปฟงกชันพหุนามใหดังนี้
an + b เมื่อผลตางของคาของฟงกชันครั้งที่ 1 เปนคาคงตัวที่ไมเทากับศูนย
an2
+ bn + c เมื่อผลตางของคาของฟงกชันครั้งที่ 2 เปนคาคงตัวที่ไมเทากับศูนย
an3
+ bn2
+ cn + d เมื่อผลตางของคาของฟงกชันครั้งที่ 3 เปนคาคงตัวที่ไมเทากับศูนย
สําหรับการตัดสินใจวา จะใชพหุนามดีกรีเทาใดขึ้นอยูกับการหาผลตาง
ระหวางพจนในลําดับดังตัวอยางตอไปนี้
ตัวอยางที่ 7 จงหาพจนทั่วไปของลําดับจํากัดตอไปนี้
1) 2, 4, 6, 8, 10
2) 1, 3, 7, 13
วิธีทํา 1) จากลําดับที่กําหนดหาผลตางระหวางสองพจนติดกันไดดังนี้
2 4 6 8 10
ผลตางครั้งที่ 1 2 2 2 2
ผลตางครั้งที่หนึ่งเปนคาคงตัวที่เทากับ 2 ในกรณีนี้จะหาพจนทั่วไปของ
ลําดับที่กําหนดให โดยให an = an + b จากนั้นจึงหา a และ b โดยแทนคาของ
n และ an ไดดังนี้
a1 = 2 = a + b ---------- (1)
a2 = 4 = 2a + b ---------- (2)
a3 = 6 = 3a + b ---------- (3)
a4 = 8 = 4a + b ---------- (4)
a5 = 10 = 5a + b ---------- (5)
10
จากสมการ (1) และ (2) จะได a = 2, b = 0 และ an = 2n
เมื่อทดลองแทน a, b ดวย 2 และ 0 ตามลําดับ ในสมการ (1) ถึง (5) ตามลําดับ
จะพบวา สมการดังกลาวเปนจริง
จะไดพจนทั่วไปของลําดับ 2, 4, 6, 8, 10 คือ an = 2n
2) จากลําดับที่กําหนดหาผลตางระหวางสองพจนติดกันไดดังนี้
1 3 7 13
ผลตางครั้งที่ 1 2 4 6
ผลตางครั้งที่ 2 2 2
จะไดวา ผลตางครั้งที่สองคือ 2 เปนคาคงตัวที่ไมเทากับศูนย
ให an = an2
+ bn + c
แทน n ในพจนทั่วไปดวย 1, 2, 3, 4 ไดดังนี้
1 = a + b + c ---------- (1)
3 = 4a + 2b + c ---------- (2)
7 = 9a + 3b + c ---------- (3)
13 = 16a + 4b + c ---------- (4)
แกระบบสมการเพื่อหา a, b และ c ไดดังนี้
(2) – (1) 2 = 3a + b ---------- (5)
(3) – (2) 4 = 5a + b ---------- (6)
(6) – (5) 2 = 2a หรือ a = 1
แทน a = 1 ใน (5) จะได b = –1
แทน a และ b ดวย 1 และ –1 ตามลําดับ ใน (1) จะได c = 1
ดังนั้น an = n2
– n + 1
ตรวจสอบโดยแทน n ดวย 1, 2, 3 และ 4 จะได a1, a2, a3 และ a4
ตามที่กําหนด แสดงวา พจนทั่วไปที่หาไดถูกตอง
11
3. ในหนังสือเรียนไดกลาวถึงรายละเอียดของลําดับที่มีชื่อเฉพาะไวสองชนิด
คือ ลําดับเลขคณิตและลําดับเรขาคณิต นอกจากลําดับทั้งสองชนิดนี้แลวยังมีลําดับอื่นที่
มีชื่อเฉพาะซึ่งอาจจะตั้งชื่อตามลักษณะของลําดับนั้น ๆ หรือตั้งตามชื่อของนักคณิตศาสตร
ที่เปนผูคนพบลําดับนั้น ซึ่งนักเรียนจะไดพบในการเรียนคณิตศาสตรระดับสูงตอไป
ตัวอยางของลําดับที่มีชื่อเฉพาะเหลานั้นไดแก
ลําดับฮารโมนิก (Harmonic sequence) คือ ลําดับซึ่งสวนกลับของพจนทุกพจน
เปนลําดับเลขคณิต เชน
1, 2
1
, 3
1
, 4
1
, ..., n
1
, ... เปนลําดับฮารโมนิก เพราะวา 1, 2, 3, 4, ..., n, ... เปนลําดับเลขคณิต
ลําดับสลับ (alternating sequence) คือ ลําดับซึ่งพจนที่ n กับพจนที่
n + 1 มีเครื่องหมายตรงขามกัน เชน
1, –1, 1, –1, ..., (–1)n–1
, ...
–1, 2
1
, 3
1
− , 4
1
, ..., n
)1( n
−
, ...
ลําดับฟโบนักชี (Fibonacci sequence) เปนลําดับของจํานวนเต็มบวก ซึ่งมีสมบัติ
วา an = an–2 + an–1, n ≥ 3 เชน
1, 1, 2, 3, 5, ...
1, 3, 4, 7, 11, ...
ลําดับโคชี (Cauchy sequence) คือ ลําดับซึ่ง an – an–1 มีคาเขาใกลหรือเทากับ
ศูนย เมื่อ n มีคามากขึ้นโดยไมมีที่สิ้นสุด เชน
1, 2
1
, 4
1
, 8
1
, ..., 1n
2
1
−
, ...
1, 2
1
, 3
1
, 4
1
, ..., n
1
, ...
1, 1, 1, 1 , ..., 1 , ...
ผูสอนอาจยกตัวอยางของลําดับที่กลาวมาเพิ่มเติมโดยพิจารณาจากความสามารถ
ของผูเรียนเปนสําคัญ
12
กิจกรรมเสนอแนะ
สําหรับผูเรียนที่มีความสามารถในการเรียนวิชาคณิตศาสตรนอย ผูสอนอาจตองใช
กิจกรรมที่มีรูปภาพประกอบเพื่อชวยใหผูเรียนสามารถหาขอสรุปในการหาพจนทั่วไปไดงาย
ขึ้นดังนี้
กิจกรรมที่ 1
เนื้อหา การหาพจนทั่วไปของลําดับ
จุดประสงค เพื่อใหผูเรียนรูจักวิธีคิดและมีทักษะในการหาพจนทั่วไปของลําดับ
ลักษณะกิจกรรม ผูสอนใหผูเรียนเรียนรูและสรุปความหมายของลําดับและสามารถหาพจน
ถัดไปจากลําดับที่กําหนดใหจากตัวอยางและคําถามของผูสอน โดยผูสอนใชปญหานําเขาสู
เนื้อหา เพื่อใหผูเรียนหาคําตอบสุดทายได
กิจกรรม
1. ผูสอนใหผูเรียนชวยกันหาจํานวนรูปสี่เหลี่ยมจัตุรัสจากรูปที่กําหนดใหตอไปนี้
รูปที่ (1) (2) (3) (4) (5)
2. ผูสอนอาจใหขอแนะโดยใชคําถามตอไปนี้
1) รูปสี่เหลี่ยมจัตุรัสในรูปที่กําหนดใหมีขนาดใดบาง
2) รูปสี่เหลี่ยมจัตุรัสแตละขนาดมีอยางละกี่รูป
4. ผูสอนใหผูเรียนหาผลรวมของจํานวนรูปสี่เหลี่ยมจัตุรัสของแตละรูปโดยใช
ตารางตอไปนี้
13
ขนาด ตร. หนวย จํานวนรูปสี่เหลี่ยมจัตุรัสแตละขนาด
รูปที่ 1 4 9 16 25
จํานวนรูปสี่เหลี่ยมจัตุรัสทั้ง
หมด
1 1 - - - - 1
2 4 1 - - - 1 + 4 = 5
3 9 4 1 - - 1 + 4 + 9 = 14
4 16 9 4 1 - 1 + 4 + 9 + 16 = 30
5 25 16 9 4 1 1 + 4 + 9 + 16 + 25 = 55
ตารางที่ 1
5. ผูสอนใหผูเรียนบอกความสัมพันธของจํานวนรูปสี่เหลี่ยมจัตุรัสที่มีขนาด
1 ตารางหนวย กับความยาวของดานของรูปสี่เหลี่ยมจัตุรัสแตละรูป ซึ่งผูเรียนควรบอกไดวา
รูปที่
ความยาวของดานของ
รูปสี่เหลี่ยมจัตุรัส (หนวย)
จํานวนรูปสี่เหลี่ยมจัตุรัส
ที่มีขนาด 1 ตารางหนวย (ตร.หนวย)
1
2
3
4
5
1
2
3
4
5
1 หรือ 12
4 หรือ 22
9 หรือ 32
16 หรือ 42
25 หรือ 52
ตารางที่ 2
ใหผูเรียนเขียนแทนจํานวนรูปสี่เหลี่ยมจัตุรัสทั้งหมดของแตละรูปจากตาราง
ที่ 1 ใหอยูในรูปของผลบวกที่อยูในรูปของกําลังสองสมบูรณ ดังนี้
จํานวนรูปสี่เหลี่ยมจัตุรัสของรูปที่ 1 เทากับ 12
= 1
จํานวนรูปสี่เหลี่ยมจัตุรัสของรูปที่ 2 เทากับ 12
+ 22
= 5
จํานวนรูปสี่เหลี่ยมจัตุรัสของรูปที่ 3 เทากับ 12
+ 22
+ 32
= 14
จํานวนรูปสี่เหลี่ยมจัตุรัสของรูปที่ 4 เทากับ 12
+ 22
+ 32
+ 42
= 30
จํานวนรูปสี่เหลี่ยมจัตุรัสของรูปที่ 5 เทากับ 12
+ 22
+ 32
+ 42
+ 52
= 55
จากแนวคิดในการหารูปสี่เหลี่ยมจัตุรัสขางตน ผูสอนใหผูเรียนหา
จํานวนรูปสี่เหลี่ยมจัตุรัสทั้งหมด เมื่อรูปสี่เหลี่ยมจัตุรัสมีขนาด 6 × 6 , 7 × 7 ,
8 × 8, 9 × 9 และ 10 × 10 ตารางหนวย
14
กิจกรรมเพิ่มเติม
1) ผูสอนใหผูเรียนหาจํานวนรูปสามเหลี่ยมทั้งหมดในรูปตอไปนี้
(1) (2) (3) (4) (5)
2) ผูสอนใหผูเรียนหาจํานวนรูปสี่เหลี่ยมทั้งหมดในรูปตอไปนี้
(1) (2) (3) (4) (5)
กิจกรรมที่ 2
ในการเรียนการสอนเรื่องลําดับและอนุกรม ผูสอนอาจใชใบงานในการจัดกิจกรรม
เชน ในตัวอยางกิจกรรมที่จะกลาวถึงตอไปนี้จะใชใบงานสามใบ โดยที่แตละใบงานมี
จุดประสงคดังนี้
ใบงานที่ 1 และ 2 เพื่อใหผูเรียนเกิดทักษะในการหาพจนทั่วไปของลําดับจํากัด
ใบงานที่ 3 เพื่อใหผูเรียนรูจักเชื่อมโยงความรูในเรื่องลําดับและอนุกรม และ
สามารถนํามาใชในการแกปญหาได
ในการใชใบงานผูสอนควรพัฒนาทักษะกระบวนการทางคณิตศาสตรไปดวย
เชน ในบางกรณีที่ผูเรียนมีคําตอบที่แตกตางกันผูสอนควรใหโอกาสผูเรียนไดนําเสนอ
วิธีการคิดพรอมทั้งแสดงความสามารถในการใหเหตุผล
15
ใบงานที่ 1
1. พิจารณาแบบรูปตอไปนี้ และจงเขียนรูปที่ (4), (5) และ (6)
(1) (2) (3)
2. จงเติมจํานวนรูปสี่เหลี่ยมจัตุรัสในตารางตอไปนี้
รูปที่ จํานวน
รูปสี่เหลี่ยมจัตุรัส
ความสัมพันธของรูปที่ (n) และจํานวนรูปสี่เหลี่ยมจัตุรัส
ในแตละรูป
1 1 1
2 5 1 + 4 = 1 + (4 × 1)
3 9 1 + 8 = 1 + (4 × 2)
4
5
6
3. จากแบบรูปที่กําหนดให จงหาวา รูปที่ (10) และ (20) ควรจะมีจํานวนรูปสี่เหลี่ยมจัตุรัส
เทาใดในแตละรูป
4. จงหาจํานวนรูปสี่เหลี่ยมจัตุรัสของรูปที่ (n)
16
ใบงานที่ 2
(1) (2) (3)
ในรูปที่ (1) มีจํานวนจุด 3 จุด และมีจํานวนเสนที่เชื่อมจุดเทากับ 3 เสน
1. จงเติมจํานวนจุดและเสนในตารางที่กําหนดใหตอไปนี้ พรอมทั้งหาความสัมพันธ
2. จงหาจํานวนจุดและจํานวนเสนที่เชื่อมระหวางจุดในรูปที่ (10) และรูปที่ (25)
3. จงหาจํานวนจุดและจํานวนเสนเชื่อมระหวางจุดในรูปที่ (n)
รูปที่ จน.จุด ความสัมพันธระหวางรูปที่
กําหนดและจํานวนจุด
1 3 1+2 = 1+2 (1)
2 5 1+4 = 1+2(2)
3 7 1+6 = 1+2(3)
4
5
6
รูปที่
จน. เสนเชื่อม
ระหวางจุด
ความสัมพันธระหวางรูปที่
กําหนดและจํานวนเสนเชื่อมจุด
1 3 3 × 1
2 6 3 × 2
3 9 3 × 3
4
5
6
17
ใบงานที่ 3
(1) (2)
ให S(1) แทนผลบวกที่กําหนดใหในตารางที่ (1)
S(2) แทนผลบวกที่กําหนดใหในตารางที่ (2)
1. จงหาผลบวกในตารางที่ (1) และ (2)
2. จงอธิบายวา ผลบวก S(1) และ S(2) มีความสัมพันธกันอยางไร
3. 1, 2, 3, 4, ..., 10 เปนลําดับเลขคณิตหรือไม
4. จงหาผลบวกของ 10 พจนแรกของอนุกรม 1 + 2 + 3 + 4 + ... + 10
5. จงหาผลบวกของอนุกรม 13
+ 23
+ 33
+ 43
+ ... + 103
โดยใชความสัมพันธในขอ 2
6. ถา 13
+ 23
+ 33
+ 43
+ ... + n3
= 44,100
จงหาคาของ 1 + 2 + 3 + 4 + ... + n
ในการหาพจนถัดไปของลําดับที่กําหนดใหโดยใชการสังเกตความสัมพันธของพจน
ผูสอนอาจใชวิธีการในกิจกรรมตอไปนี้เพื่อชวยใหผูเรียนสามารถหาพจนถัดไปของลําดับที่
กําหนดใหไดงายขึ้นดังนี้
อนุกรม S(1)
1 1
1 + 2 3
1 + 2 + 3 6
1 + 2 + 3 + 4
1 + 2 + 3 + 4 + 5
1 + 2 + 3 + 4 + 5 + 6
อนุกรม S(2)
13
1
13
+ 23
9
13
+ 23
+ 33
36
13
+ 23
+ 33
+ 43
13
+ 23
+ 33
+ 43
+ 53
13
+ 23
+ 33
+ 43
+ 53
+ 63
18
กิจกรรมที่ 3
เนื้อหา ความหมายของลําดับ และการหาพจนทั่วไปของลําดับ
จุดประสงค เพื่อใหผูเรียนเขาใจความหมายของลําดับและรูจักวิธีการหาพจนทั่วไป
ของลําดับจํากัด
ความหมายของลําดับ
ผูสอนใหผูเรียนเขียนจํานวนตอไปนี้
1) จํานวนนับ 1 , 2 , 3 , 4 , 5 , ...
2) จํานวนเต็มบวกที่เปนจํานวนคู 2 , 4 , 6 , 8 , 10 , ...
3) จํานวนเต็มบวกที่เปนจํานวนคี่ 1 , 3 , 5 , 7 , 9 , ...
4) จํานวนเต็มบวกที่เขียนไดในรูปกําลังสองสมบูรณ 1 , 4 , 9 , 16 , 25 , ...
ผูสอนแนะนําวาจํานวนที่เขียนอยูในแบบรูปขางตนเรียกวา ลําดับของจํานวน และ
แตละจํานวนในลําดับเรียกวา พจน
5) ผูสอนใหผูเรียนหาจํานวนถัดไปของลําดับตอไปนี้ พรอมทั้งบอกเหตุผลประกอบ
1) 5 , 10 , 15 , 20
คําตอบ : จํานวนถัดไปคือ 25
เหตุผล : ผลตางของแตละจํานวนเทากับ 5 และ 20 + 5 = 25
2) 1 , 8 , 27 , 64
คําตอบ : จํานวนถัดไปคือ 125
เหตุผล : แตละจํานวนเขียนอยูในรูปกําลังสามของจํานวนเต็ม
จํานวนถัดไปคือ พจนที่ 5 ซึ่งมีคาเทากับ 53
ผูสอนใหผูเรียนหาจํานวนถัดไปของลําดับตอไปนี้ พรอมทั้งใหเหตุผลประกอบคําตอบ
1) 7 , 14 , 21 , 28 5) 8 , 64 , 216 , 512
2) 4 , 16 , 36 , 64 6) 4 , 9 , 25 , 49
3) 1 , 27 , 125 , 343 7) 11 , 22 , 33 , 44
4) 1 , 3 , 9 , 27 8) 1 , 9 , 36 , 100
19
ในกรณีที่ผูเรียนไมสามารถหาคําตอบได ผูสอนอาจแนะนําวิธีการสังเกต โดยการ
ยกตัวอยางที่หลากหลายเพื่อใหผูเรียนหาขอสรุปและคําตอบที่ตองการไดดังนี้
พิจารณาผลตางของจํานวนในพจนที่อยูถัดไปแตละคูวา ผลตางดังกลาวมีคาเพิ่มขึ้น
หรือลดลง
ในกรณีที่พจนถัดไปมีคาเพิ่มขึ้น พจนที่อยูถัดไปอาจจะไดจากการบวกหรือคูณพจน
กอนหนานั้นดวย จํานวนใดจํานวนหนึ่ง
ในกรณีที่พจนถัดไปมีคานอยลง พจนที่อยูถัดไปอาจจะไดจากการลบหรือหารพจน
กอนหนานั้นดวยจํานวนใดจํานวนหนึ่ง
จากการสังเกตดวยวิธีการที่กลาวมาจะชวยทําใหไดขอสรุปที่งายขึ้นดังตัวอยางตอไปนี้
จงหาพจนถัดไปของลําดับตอไปนี้
1) 1 , 4 , 7 , 10
พิจารณาผลตางของพจนแตละคูในลําดับ 1 , 4 , 7 , 10
1 4 7 10
3 3 3 3
พบวาลําดับของผลตางมีคาเพิ่มขึ้นคงที่เทากับ 3
นั่นคือพจนที่อยูถัดไปจะไดจากการนํา 3 ไปบวกกับจํานวนที่อยูในพจนกอนหนานั้น
ดังนั้น พจนถัดไปคือ 10 + 3 หรือ 13
2) 100 , 99 , 97 , 94
พิจารณาผลตางของแตละพจนในลําดับ 100 , 99 , 97 , 94
100 99 97 94
-1 -2 -3 -4
พบวาลําดับของผลตางมีคาลดลงทีละ 1 ไปเรื่อย ๆ และพจนถัดจาก 94
ควรจะมีคาลดลงจาก 94 เทากับ 4 นั่นคือ มีคาเทากับ 94 – 4 หรือ 90
20
จงหาพจนถัดไปของลําดับตอไปนี้อีก 2 พจน
1) 1 , 3 , 7 , 13
คําตอบ 1 3 7 13 21 31
2 4 6 8 10
พจนถัดไปจะไดจากการบวกพจนกอนหนานั้นดังนี้ 13 + 8 = 21 และ 21 + 10 = 31
2) 16 , 8 , 4 , 2
คําตอบ 16 8 4 2 1 1
2
÷2 ÷2 ÷2 ÷2 ÷2
พจนถัดไปจะไดจากผลหารของพจนกอนหนานั้นดวย 2
3) 2 , 20 , 200 , 2000
คําตอบ 2 20 200 2000 20000 200000
×10 ×10 ×10 ×10 ×10
พจนถัดไปจะไดจากผลคูณของพจนกอนหนานั้นดวย 10
เมื่อผูเรียนมีความเขาใจในวิธีการหาพจนทั่วไปของลําดับจํากัดจากตัวอยางที่ผูสอน
นําเสนอแลว ผูสอนอาจใหโจทยเพิ่มเติม โดยพิจารณาจากความสามารถของผูเรียน เพื่อให
ผูเรียนไดฝกทักษะดังนี้
21
จงหาพจนถัดไปของลําดับตอไปนี้
1) 2 , 6 , 10 , 14 10) 20 , 10 , 5 , 2.5
2) 200 , 195 , 190 , 185 11) 2 , 3 , 6 , 11
3) 1 , 4 , 16 , 64 12) 3 , 5 , 9 , 15
4) 729 , 243 , 81 , 27 13) 4 , 7 , 12 , 19
5) 2 , 7 , 17 , 32 14) 50 , 49 , 47 , 44
6) 5 , 10 , 30 , 120 15) 60 , 58 , 54 , 48
7) 5 , 4 , 1 , -4 16) 5 , 9 , 17 , 29
8) 100 , 98 , 94 , 88 17) 8 , 13 , 23 , 38
9) 7 , 7 , 14 , 42 18) 78 , 75 , 69 , 60
คําตอบ 1) 18 2) 180 3) 256 4) 9 5) 52
6) 600 7) –11 8) 80 9) 168 10) 1.25
11) 18 12) 23 13) 28 14) 40 15) 40
16) 45 17) 58 18) 48
สําหรับบางชั้นเรียนที่ผูเรียนมีความสนใจในเรื่องการหาพจนทั่วไปของลําดับ ผูสอน
อาจเพิ่มการหาพจนถัดไปจากลําดับที่กําหนดใหโดยวิธีพิจารณาจากผลตางของพจนจากตัวอยาง
ที่กลาวมาแลว ซึ่งบางครั้งอาจยังไมสามารถสรุปคําตอบได
ในกรณี เชนนี้อาจจะใชวิธีพิจารณาลําดับของผลตางที่ไดอีกครั้ง ดังตัวอยางตอไปนี้
ตัวอยาง จงหาพจนถัดไปของลําดับ 3 , 9 , 19 , 37 , 67
พิจารณาผลตางของลําดับ 3 , 9 , 19 , 37 , 67
3 9 19 37 67
6 10 18 30
22
พบวาผลตางมีคาเพิ่มขึ้น แตยังไมสามารถหาพจนถัดจาก 67 ได
เพราะไมสามารถบอกไดวา พจนถัดไปของลําดับ 6, 10, 18, 30
คือจํานวนใด
พิจารณาผลตางของลําดับ 6 , 10 , 18 , 30
6 10 18 30
4 8 12
พบวา ผลตางของลําดับมีคาเพิ่มขึ้นครั้งละ 4 นั่นคือ
จากพจนแรกคือ 4 พจนถัดไปไดจากผลบวกของพจนแรกคือ 4 บวกกับ 4
ซึ่งเทากับ 8 และพจนถัดไปคือ 8 + 4 ซึ่งเทากับ 12 ในทํานองเดียวกัน
พจนถัดไปของ 12 จะเทากับ 12 + 4 หรือ 16*
3 9 19 37 67
6 10 18 30
4 8 12 16 *
จาก 16 *
จะสามารถหาพจนถัดไปของลําดับของผลตางครั้งแรก
คือ 30 พจนถัดไปไดจากผลบวกของ 30 + 16 ซึ่งเทากับ 46**
3 9 19 37 67
6 10 18 30 46 **
4 8 12 16 *
และจาก 46**
เราสามารถหาพจนถัดไปของลําดับ 3, 9, 19, 37, 67
พจนถัดไปไดจาก 67 + 46 ซึ่งเทากับ 113
23
3 9 19 37 67 113
6 10 18 30 46 **
4 8 12 16 *
และดวยวิธีการเดียวกันนี้ จะสามารถหาพจนถัดไปของลําดับ 3, 9, 19, 37, 67
ไดอีกดังนี้
ลําดับของผลตางครั้งที่สอง คือ 4 , 8 , 12 , 16 , 20 , 24
ลําดับของผลตางครั้งที่หนึ่ง คือ 6 , 10 , 18 , 30 , 46 , 66 , 90
จากผลตางครั้งที่ 1 และ 2 หาพจนถัดไปของลําดับ 3, 9, 19, 37, 67, 113
ไดดังนี้
3 9 19 37 67 113 179 269
6 10 18 30 46 66 90
4 8 12 16 20 24
จะไดลําดับ 3 , 9 , 19 , 37 , 67 , 113 , 179 , 269
สําหรับลําดับที่กําหนดใหบางลําดับอาจจะตองใชวิธีเดียวกับที่กลาวมาขางตน
หาผลตางครั้งที่ 3 หรือมากกวานั้นเพื่อหาพจนถัดไป ดังตัวอยางตอไปนี้
ตัวอยาง จงหาพจนถัดไปที่กําหนดให โดยใชวิธีพิจารณาผลตางของพจนที่อยูถัดกัน
1 1 2 3 5 8 13 21 34
0 1 1 2 3 5 8 13
1 0 1 1 2 3 5
-1 1 0 1 1 2
24
ลําดับของผลตางครั้งที่ 1 คือ 0 , 1 , 1 , 2 , 3 , 5 , 8 , 13
ลําดับของผลตางครั้งที่ 2 คือ 1 , 0 , 1 , 1 , 2 , 3 , 5
ลําดับของผลตางครั้งที่ 3 คือ -1 , 1 , 0 , 1 , 1 , 2
มีขอสังเกต จากลําดับของผลตางครั้งที่ 3 ซึ่งเทากับ -1, 1, 0, 1, 1, 2 ดังนี้
พจนที่ 3 คือ 0 ไดจาก ผลบวกของจํานวนในพจนที่ 1 และ 2 -1 +1 = 0
พจนที่ 4 คือ 1 ไดจาก ผลบวกของจํานวนในพจนที่ 2 และ 3 1 + 0 = 1
พจนที่ 5 คือ 1 ไดจาก ผลบวกของจํานวนในพจนที่ 3 และ 4 0 + 1 = 1
พจนที่ 6 คือ 2 ไดจาก ผลบวกของจํานวนในพจนที่ 4 และ 5 1 + 1 = 2
ผูสอนใหผูเรียนหาพจนถัดไปของลําดับที่กําหนดใหดังนี้
จากลําดับผลตางครั้งที่ 3 พจนถัดไปของลําดับ -1, 1, 0, 1, 1, 2 คือ 3*
และจะไดพจนถัดไปของลําดับของผลตางครั้งที่ 2 เทากับ 8**
พจนถัดไปของลําดับของผลตางครั้งที่ 1 เทากับ 21***
นั่นคือพจนถัดไปของลําดับ 1 , 1 , 2 , 3 , 5 , 8 , 13 , 21 , 34
เทากับ 21 + 34 หรือ 55
1 1 2 3 5 8 13 21 34 55
0 1 1 2 3 5 8 13 21***
1 0 1 1 2 3 5 8**
-1 1 0 1 1 2 3*
25
โจทยเพิ่มเติม
จงหาพจนถัดไปของลําดับที่กําหนดใหตอไปนี้
1) 2 , 11 , 26 , 47, 74 5) 2 , 9 , 20 , 37 , 62
2) 3 , 12 , 23 , 37 , 55 6) 2 , 6 , 15 , 34 , 68
3) 1 , 9 , 18 , 30 , 47 7) 3 , 3 , 6 , 9 , 15
4) 4 , 7 , 12 , 19 , 28 8) 4 , 6 , 10 , 16 , 26
คําตอบ 1) 107 2) 78 3) 71 4) 39
5) 97 6) 122 7) 24 8) 42
26
ตัวอยางแบบทดสอบประจําบท
1. จงเขียนพจนที่ 1, 2 และ 3 ของลําดับตอไปนี้
1) an = n
2
2) an = 2 – 3n
3) an = n(n – 1)
2. จงหาพจนที่ 5 ของลําดับที่กําหนดใหตอไปนี้
1) 1, 6, 11, 16 2) 3
1
, 5
4
, 7
9
, 9
16
3. จงหาวา 64 เปนพจนที่เทาใดของลําดับ an = 5n + 4
4. จงหาพจนทั่วไปของลําดับตอไปนี้
1) 0, 1, 2, 3
2) 2
1
, 3
2
, 4
3
, 5
4
5. จงหาผลตางรวมและพจนที่ n ของลําดับเลขคณิตตอไปนี้
1) 1, 4, 7, 10, ...
2) 14, 8, 2, –4, ...
6. จงหาอัตราสวนรวมและพจนที่ n ของลําดับเรขาคณิตตอไปนี้
1) 2
1
, 2
5
, 2
25
, 2
125
, ...
2) 10, 5, 2
5
, 4
5
, ...
7. จงหาวาลําดับที่กําหนดใหตอไปนี้ มีลําดับใดเปนลําดับเลขคณิต ลําดับใดเปนลําดับ
เรขาคณิต
1) 15, 30, 60, 120, ...
2) 15, 30, 45, 60, ...
3) 15, 30, 90, 360, ...
27
8. ในชั้นเรียนหนึ่งมีนักเรียนทั้งหมด 35 คน ถานักเรียนคนที่ 1, 2, 3, 4, ..., 35 นับ 3, 6,
9, 12, ... เรื่อย ๆ ไป ถามวา คนที่ 35 จะนับจํานวนใด
9. ถา 3 และ 1
27
เปนพจนที่ 1 และพจนที่ 5 ในลําดับเรขาคณิต
จงหาพจนที่ 2, 3 และ 4 ของลําดับเรขาคณิตนี้
10. จงหาผลบวกของจํานวนคูทั้งหมดที่มีคาอยูระหวาง 41 และ 101
11. จงหาผลบวกของ 7 พจนแรกของอนุกรมที่กําหนดใหดังนี้
4 + 4⋅31
+ 4⋅32
+ 4⋅33
+ … + 4⋅36
12. ถาในการแขงฟุตบอลของโรงเรียนระดับประเทศครั้งหนึ่ง มีผูเขาแขงขันทั้งหมด 64 ทีม
โดยในการแขงขันแตละครั้ง (ครั้งละ 2 ทีม) ทีมที่ชนะจะไดแขงขันในรอบตอไป ถามวา
จะตองจัดการแขงขันทั้งหมดกี่ครั้ง จึงจะไดทีมที่ชนะเลิศ
ตัวอยางเชน ถามีทั้งหมด 8 ทีม จะตองจัดการแขงขันทั้งหมด ดังนี้
จากแผนภาพพบวา จะตองจัดการแขงขันทั้งหมด 4 + 2 + 1 = 7 ครั้ง
1 ครั้ง
2 ครั้ง
4 ครั้ง
ทีมที่ชนะเลิศ
28
เฉลยตัวอยางแบบทดสอบประจําบท
1. 1) an = 2
n
a1 = 2
1
= 2
a2 = 2
2
= 1
a3 = 2
3
2) an = 2 – 3n
a1 = 2 – 3(1) = –1
a2 = 2 – 3(2) = –4
a3 = 2 – 3(3) = –7
3) an = n(n – 1)
a1 = 1(1 – 1) = 0
a2 = 2(2 – 1) = 2
a3 = 3(3 – 1) = 6
2. 1) 21 2) 25
11
3. จาก an = 5n + 4
จะได 64 = 5n + 4
5n = 60
n = 12
จะไดวา 64 เปนพจนที่ 12 ของลําดับ an = 5n + 4
ตรวจสอบคําตอบ a12 = 5(12) + 4 = 64
29
4. 1) an = n – 1 2) an = n
n 1+
5. 1) ผลตางรวมของลําดับ 1, 4, 7, 10, ... เทากับ 3
จาก an = a1 + (n – 1)d เมื่อ a1 = 1 และ d = 3
จะได an = 1 + (n – 1)3
= 3n – 2
2) ผลตางรวมของลําดับ 14, 8, 2, –4, ... เทากับ –6
จาก an = a1 + (n – 1)d เมื่อ a1 = 14 และ d = –6
จะได an = 14 + (n – 1)(–6)
= 14 – 6n + 6
= 20 – 6n
6. 1) อัตราสวนรวมของลําดับ 1 5 25 125
, , ,
2 2 2 2
หาไดจาก
5 1
2 2
÷ = 25 5
2 2
÷ = 125 25
2 2
÷ = 5
จาก an = a1rn–1
เมื่อ a1 = 1
2
และ r = 5
จะได an = n 11
(5)
2
−
2) อัตราสวนรวมของลําดับ 10, 5, 5
2
, 5
4
, ... หาไดจาก
5
10
= 5
5
2
÷ = 5 5
4 2
÷ = 1
2
จาก an = a1rn–1
เมื่อ a1 = 10 และ r = 1
2
จะได an = n 11
10( )
2
−
30
7. 1) ลําดับเรขาคณิตที่มีอัตราสวนรวมเทากับ 2
2) ลําดับเลขคณิตที่มีผลตางรวมเทากับ 15
3) ไมเปนทั้งลําดับเลขคณิตและลําดับเรขาคณิต
8. พิจารณาลําดับ 3, 6, 9, 12, ... พบวา ลําดับดังกลาวเปนลําดับเลขคณิตที่มีผลตางรวม
เทากับ 3
จาก an = a1 + (n – 1)d เมื่อ a = 3 และ d = 3
จะได a35 = 3 + (35 – 1)(3)
= 105
ดังนั้น คนที่ 35 จะตองนับ 105
9. พิจารณาลําดับเรขาคณิต 3, a2, a3, a4, 1
27
จาก an = a1rn–1
จะได 1
27
= 3r5–1
r4
= 4
1
3
= 41
( )
3
r = 1
3
จะได an = n 11
3( )
3
−
a1 = 3
a2 = 1
a3 = 1
3
a4 = 1
9
และ a5 = 1
27
นั่นคือ 1, 1
3
, 1
9
เปนพจนสามพจนในลําดับเรขาคณิตที่เรียงอยูระหวาง 1
และ 1
27
31
10. พิจารณาลําดับของจํานวนคูที่มีคาอยูระหวาง 41 และ 101 จะไดลําดับ
42, 44, 46, ..., 100
เนื่องจากลําดับขางตนเปนลําดับเลขคณิตที่มีผลตางรวมเทากับ 2
จาก an = a1 + (n – 1)d
จะได 100 = 42 + (n – 1)2
100 = 2n + 40
และ n = 30
จาก Sn = n
2
(a1 + an)
จะได S30 = 30
2
(42 + 100)
= 15(142)
= 2130
นั่นคือ ผลบวกของจํานวนคูที่มีคาอยูระหวาง 41 และ 101 จะมีคาเปน 2130
11. จากอนุกรม 4 + 4⋅31
+ 4⋅32
+ … + 4⋅36
ซึ่งเปนอนุกรมเรขาคณิตที่มี
a1 = 4 , r = 3
และ sn =
n
1a (r 1)
r 1
−
−
จะได s7 =
7
4(1 3 )
1 3
−
−
= 2(37
– 1)
= 4372
32
12. ถามีทีมทั้งหมด 64 ทีม จะตองจัดการแขงขันครั้งแรกเทากับ 64 ÷ 2 = 32 หรือ 25
ครั้ง
นั่นคือ จะตองจัดการแขงขันทั้งหมด 1 + 21
+ 22
+ 23
+ 24
+ 25
ครั้ง
ซึ่งผลบวกขางตนอยูในรูปอนุกรมเรขาคณิตที่มี a1 = 1 , r = 2 และ n = 5
จาก sn =
n
1a (r 1)
r 1
−
−
จะได s5 =
5
1(2 1)
2 1
−
−
= 63
ดังนั้น จะตองจัดการแขงขันทั้งหมด 63 ครั้ง จึงจะไดทีมที่ชนะเลิศ
ทีมที่ชนะเลิศ
1 ครั้ง
21
ครั้ง
22
ครั้ง
23
ครั้ง
24
ครั้ง
25
ครั้ง
26
ตัวอยางแบบทดสอบประจําบท
1. จงเขียนพจนที่ 1, 2 และ 3 ของลําดับตอไปนี้
1) an = n
2
2) an = 2 – 3n
3) an = n(n – 1)
2. จงหาพจนที่ 5 ของลําดับที่กําหนดใหตอไปนี้
1) 1, 6, 11, 16 2) 3
1
, 5
4
, 7
9
, 9
16
3. จงหาวา 64 เปนพจนที่เทาใดของลําดับ an = 5n + 4
4. จงหาพจนทั่วไปของลําดับตอไปนี้
1) 0, 1, 2, 3
2) 2
1
, 3
2
, 4
3
, 5
4
5. จงหาผลตางรวมและพจนที่ n ของลําดับเลขคณิตตอไปนี้
1) 1, 4, 7, 10, ...
2) 14, 8, 2, –4, ...
6. จงหาอัตราสวนรวมและพจนที่ n ของลําดับเรขาคณิตตอไปนี้
1) 2
1
, 2
5
, 2
25
, 2
125
, ...
2) 10, 5, 2
5
, 4
5
, ...
7. จงหาวาลําดับที่กําหนดใหตอไปนี้ มีลําดับใดเปนลําดับเลขคณิต ลําดับใดเปนลําดับ
เรขาคณิต
1) 15, 30, 60, 120, ...
2) 15, 30, 45, 60, ...
3) 15, 30, 90, 360, ...
27
8. ในชั้นเรียนหนึ่งมีนักเรียนทั้งหมด 35 คน ถานักเรียนคนที่ 1, 2, 3, 4, ..., 35 นับ 3, 6,
9, 12, ... เรื่อย ๆ ไป ถามวา คนที่ 35 จะนับจํานวนใด
9. ถา 3 และ 1
27
เปนพจนที่ 1 และพจนที่ 5 ในลําดับเรขาคณิต
จงหาพจนที่ 2, 3 และ 4 ของลําดับเรขาคณิตนี้
10. จงหาผลบวกของจํานวนคูทั้งหมดที่มีคาอยูระหวาง 41 และ 101
11. จงหาผลบวกของ 7 พจนแรกของอนุกรมที่กําหนดใหดังนี้
4 + 4⋅31
+ 4⋅32
+ 4⋅33
+ … + 4⋅36
12. ถาในการแขงฟุตบอลของโรงเรียนระดับประเทศครั้งหนึ่ง มีผูเขาแขงขันทั้งหมด 64 ทีม
โดยในการแขงขันแตละครั้ง (ครั้งละ 2 ทีม) ทีมที่ชนะจะไดแขงขันในรอบตอไป ถามวา
จะตองจัดการแขงขันทั้งหมดกี่ครั้ง จึงจะไดทีมที่ชนะเลิศ
ตัวอยางเชน ถามีทั้งหมด 8 ทีม จะตองจัดการแขงขันทั้งหมด ดังนี้
จากแผนภาพพบวา จะตองจัดการแขงขันทั้งหมด 4 + 2 + 1 = 7 ครั้ง
1 ครั้ง
2 ครั้ง
4 ครั้ง
ทีมที่ชนะเลิศ
28
เฉลยตัวอยางแบบทดสอบประจําบท
1. 1) an = 2
n
a1 = 2
1
= 2
a2 = 2
2
= 1
a3 = 2
3
2) an = 2 – 3n
a1 = 2 – 3(1) = –1
a2 = 2 – 3(2) = –4
a3 = 2 – 3(3) = –7
3) an = n(n – 1)
a1 = 1(1 – 1) = 0
a2 = 2(2 – 1) = 2
a3 = 3(3 – 1) = 6
2. 1) 21 2) 25
11
3. จาก an = 5n + 4
จะได 64 = 5n + 4
5n = 60
n = 12
จะไดวา 64 เปนพจนที่ 12 ของลําดับ an = 5n + 4
ตรวจสอบคําตอบ a12 = 5(12) + 4 = 64
29
4. 1) an = n – 1 2) an = n
n 1+
5. 1) ผลตางรวมของลําดับ 1, 4, 7, 10, ... เทากับ 3
จาก an = a1 + (n – 1)d เมื่อ a1 = 1 และ d = 3
จะได an = 1 + (n – 1)3
= 3n – 2
2) ผลตางรวมของลําดับ 14, 8, 2, –4, ... เทากับ –6
จาก an = a1 + (n – 1)d เมื่อ a1 = 14 และ d = –6
จะได an = 14 + (n – 1)(–6)
= 14 – 6n + 6
= 20 – 6n
6. 1) อัตราสวนรวมของลําดับ 1 5 25 125
, , ,
2 2 2 2
หาไดจาก
5 1
2 2
÷ = 25 5
2 2
÷ = 125 25
2 2
÷ = 5
จาก an = a1rn–1
เมื่อ a1 = 1
2
และ r = 5
จะได an = n 11
(5)
2
−
2) อัตราสวนรวมของลําดับ 10, 5, 5
2
, 5
4
, ... หาไดจาก
5
10
= 5
5
2
÷ = 5 5
4 2
÷ = 1
2
จาก an = a1rn–1
เมื่อ a1 = 10 และ r = 1
2
จะได an = n 11
10( )
2
−
30
7. 1) ลําดับเรขาคณิตที่มีอัตราสวนรวมเทากับ 2
2) ลําดับเลขคณิตที่มีผลตางรวมเทากับ 15
3) ไมเปนทั้งลําดับเลขคณิตและลําดับเรขาคณิต
8. พิจารณาลําดับ 3, 6, 9, 12, ... พบวา ลําดับดังกลาวเปนลําดับเลขคณิตที่มีผลตางรวม
เทากับ 3
จาก an = a1 + (n – 1)d เมื่อ a = 3 และ d = 3
จะได a35 = 3 + (35 – 1)(3)
= 105
ดังนั้น คนที่ 35 จะตองนับ 105
9. พิจารณาลําดับเรขาคณิต 3, a2, a3, a4, 1
27
จาก an = a1rn–1
จะได 1
27
= 3r5–1
r4
= 4
1
3
= 41
( )
3
r = 1
3
จะได an = n 11
3( )
3
−
a1 = 3
a2 = 1
a3 = 1
3
a4 = 1
9
และ a5 = 1
27
นั่นคือ 1, 1
3
, 1
9
เปนพจนสามพจนในลําดับเรขาคณิตที่เรียงอยูระหวาง 1
และ 1
27
31
10. พิจารณาลําดับของจํานวนคูที่มีคาอยูระหวาง 41 และ 101 จะไดลําดับ
42, 44, 46, ..., 100
เนื่องจากลําดับขางตนเปนลําดับเลขคณิตที่มีผลตางรวมเทากับ 2
จาก an = a1 + (n – 1)d
จะได 100 = 42 + (n – 1)2
100 = 2n + 40
และ n = 30
จาก Sn = n
2
(a1 + an)
จะได S30 = 30
2
(42 + 100)
= 15(142)
= 2130
นั่นคือ ผลบวกของจํานวนคูที่มีคาอยูระหวาง 41 และ 101 จะมีคาเปน 2130
11. จากอนุกรม 4 + 4⋅31
+ 4⋅32
+ … + 4⋅36
ซึ่งเปนอนุกรมเรขาคณิตที่มี
a1 = 4 , r = 3
และ sn =
n
1a (r 1)
r 1
−
−
จะได s7 =
7
4(1 3 )
1 3
−
−
= 2(37
– 1)
= 4372
32
12. ถามีทีมทั้งหมด 64 ทีม จะตองจัดการแขงขันครั้งแรกเทากับ 64 ÷ 2 = 32 หรือ 25
ครั้ง
นั่นคือ จะตองจัดการแขงขันทั้งหมด 1 + 21
+ 22
+ 23
+ 24
+ 25
ครั้ง
ซึ่งผลบวกขางตนอยูในรูปอนุกรมเรขาคณิตที่มี a1 = 1 , r = 2 และ n = 5
จาก sn =
n
1a (r 1)
r 1
−
−
จะได s5 =
5
1(2 1)
2 1
−
−
= 63
ดังนั้น จะตองจัดการแขงขันทั้งหมด 63 ครั้ง จึงจะไดทีมที่ชนะเลิศ
ทีมที่ชนะเลิศ
1 ครั้ง
21
ครั้ง
22
ครั้ง
23
ครั้ง
24
ครั้ง
25
ครั้ง
33
เฉลยแบบฝกหัด 1.1.1
1. 1) จาก an = 2n + 5
จะได a1 = 2(1) + 5 = 7
a2 = 2(2) + 5 = 9
a3 = 2(3) + 5 = 11
a4 = 2(4) + 5 = 13
ดังนั้น 4 พจนแรกของลําดับนี้คือ 7, 9, 11, 13
2) จาก an =
n
2
1






จะได a1 =
1
2
1






= 2
1
a2 =
2
2
1






= 4
1
a3 =
3
2
1






= 8
1
a4 =
4
2
1






= 16
1
ดังนั้น 4 พจนแรกของลําดับนี้คือ 2
1
, 4
1
, 8
1
, 16
1
3) จาก an = (–2)n
จะได a1 = (–2)1
= –2
a2 = (–2)2
= 4
a3 = (–2)3
= –8
a4 = (–2)4
= 16
ดังนั้น 4 พจนแรกของลําดับนี้คือ –2, 4, –8, 16
4) จาก an = n
1n +
จะได a1 = 1
11+
= 2
a2 = 2
12+
= 2
3
34
a3 = 3
13+
= 3
4
a4 = 4
14+
= 4
5
ดังนั้น 4 พจนแรกของลําดับนี้คือ 2, 2
3
, 3
4
, 4
5
5) จาก an = n
)1(1 n
−+
จะได a1 = 1
)1(1 1
−+
= 0
a2 = 2
)1(1 2
−+
= 1
a3 = 3
)1(1 3
−+
= 0
a4 = 4
)1(1 4
−+
= 2
1
ดังนั้น 4 พจนแรกของลําดับนี้คือ 0, 1, 0, 2
1
6) จาก an = n
n
3
2
จะได a1 =
1
1
2
3
= 3
2
a2 = 2
2
3
2
= 9
4
a3 = 3
3
3
2
= 27
8
a4 = 4
4
3
2
= 81
16
ดังนั้น 4 พจนแรกของลําดับนี้คือ 3
2
, 9
4
, 27
8
, 81
16
7) จาก an = (n – 1)(n + 1)
จะได a1 = (1 – 1)(1 + 1) = 0
a2 = (2 – 1)(2 + 1) = 3
a3 = (3 – 1)(3 + 1) = 8
a4 = (4 – 1)(4 + 1) = 15
ดังนั้น 4 พจนแรกของลําดับนี้คือ 0, 3, 8, 15
35
8) จาก an = n(n – 1)(n – 2)
จะได a1 = 1(1 – 1)(1 – 2) = 0
a2 = 2(2 – 1)(2 – 2) = 0
a3 = 3(3 – 1)(3 – 2) = 6
a4 = 4(4 – 1)(4 – 2) = 24
ดังนั้น 4 พจนแรกของลําดับนี้คือ 0, 0, 6, 24
2. 1) 2 , 6 , 10 , 14 , 18 , 22
+4 +4 +4 +4 +4
2) 200 , 195 , 190 , 185 , 180 , 175
–5 –5 –5 –5 –5
3) 1 , 4 , 16 , 64 , 256 , 1024
×4 ×4 ×4 ×4 ×4
4) 729 , 243 , 81 , 27 , 9 , 3
÷3 ÷3 ÷3 ÷3 ÷3
5) 2 , 7 , 17 , 32 , 52 , 77
+5 +10 +15 +20 +25
6) 5 , 10 , 30 , 120 , 600 , 3600
×2 ×3 ×4 ×5 ×6
7) 5 , 4 , 1 , –4 , –11 , –20
–1 –3 –5 –7 –9
8) 100 , 98 , 94 , 88 , 80 , 70
–2 –4 –6 –8 –10
36
เฉลยแบบฝกหัด 1.1.2
1. 1) an = 4n – 2
a1 = 4(1) – 2 = 2
a2 = 4(2) – 2 = 6
a3 = 4(3) – 2 = 10
a4 = 4(4) – 2 = 14
2) an = n(n – 1)
a1 = 1(1 – 1) = 0
a2 = 2(2 – 1) = 2
a3 = 3(3 – 1) = 6
a4 = 4(4 – 1) = 12
3) an = 2n
n 1+
a1 = 2(1)
1 1+
= 1
a2 = 2(2)
2 1+
= 4
3
a3 = 2(3)
3 1+
= 3
2
a4 = 2(4)
4 1+
= 8
5
4) an =
n
1
2
 
 
 
a1 =
1
1
2
 
 
 
= 1
2
a2 =
2
1
2
 
 
 
= 1
4
a3 =
3
1
2
 
 
 
= 1
8
a4 =
4
1
2
 
 
 
= 1
16
37
5) an = (–1)n
a1 = (–1)1
= –1
a2 = (–1)2
= 1
a3 = (–1)3
= –1
a4 = (–1)4
= 1
2. 1) 1, 1
2
, 1
4
, 1
8
an = n 1
1
2 −
2) 1, 3, 9, 27
an = 3n–1
3) 24, 8, 8
3
, 8
9
an =
n 1
1
24
3
−
 
× 
 
4) 2 3 4 5
, , ,
3 4 5 6
an = n 1
n 2
+
+
5) 0.4, 0.04, 0.004, 0.0004
an = n
4
10
38
3. 1) พิจารณาลําดับ 1, 3, 5, 7, 9, ...
จะเห็นวา a1 = 1 = 2(1) – 1
a2 = 3 = 2(2) – 1
a3 = 5 = 2(3) – 1
a4 = 7 = 2(4) – 1
a5 = 9 = 2(5) – 1
ดังนั้น พจนทั่วไป an = 2n – 1
2) พิจารณาลําดับ 4, 8, 12, 16, 20, ...
จะเห็นวา a1 = 4 = 4(1)
a2 = 8 = 4(2)
a3 = 12 = 4(3)
a4 = 16 = 4(4)
a5 = 20 = 4(5)
ดังนั้น พจนทั่วไป an = 4n
3) พิจารณาลําดับ 3, 7, 11, 15, 19, ...
จะเห็นวา a1 = 3 = 4(1) – 1
a2 = 7 = 4(2) – 1
a3 = 11 = 4(3) – 1
a4 = 15 = 4(4) – 1
a5 = 19 = 4(5) – 1
ดังนั้น พจนทั่วไป an = 4n – 1
39
4) พิจารณาลําดับ 7, 12, 17, 22, 27, ...
จะเห็นวา a1 = 7 = 5(1) + 2
a2 = 12 = 5(2) + 2
a3 = 17 = 5(3) + 2
a4 = 22 = 5(4) + 2
a5 = 27 = 5(5) + 2
ดังนั้น พจนทั่วไป an = 5n + 2
5) พิจารณาลําดับ 1, 6, 11, 16, 21, ...
จะเห็นวา a1 = 1 = 5(1) – 4
a2 = 6 = 5(2) – 4
a3 = 11 = 5(3) – 4
a4 = 16 = 5(4) – 4
a5 = 21 = 5(5) – 4
ดังนั้น พจนทั่วไป an = 5n – 4
6) พิจารณาลําดับ 0, –1, –2, –3, –4, ...
จะเห็นวา a1 = 0 = 1 – 1
a2 = –1 = 1 – 2
a3 = –2 = 1 – 3
a4 = –3 = 1 – 4
a5 = –4 = 1 – 5
ดังนั้น พจนทั่วไป an = 1 – n
40
7) พิจารณาลําดับ 1, –1, –3, –5, –7, ...
จะเห็นวา a1 = 1 = 3 – 2(1)
a2 = –1 = 3 – 2(2)
a3 = –3 = 3 – 2(3)
a4 = –5 = 3 – 2(4)
a5 = –8 = 3 – 2(5)
ดังนั้น พจนทั่วไป an = 3 – 2n
8) พิจารณาลําดับ 3, 0, –3, –6, –9, ...
จะเห็นวา a1 = 3 = 6 – 3(1)
a2 = 0 = 6 – 3(2)
a3 = –3 = 6 – 3(3)
a4 = –6 = 6 – 3(4)
a5 = –9 = 6 – 3(5)
ดังนั้น พจนทั่วไป an = 6 – 3n
9) พิจารณาลําดับ 3, 1, –1, –3, –5, ...
จะเห็นวา a1 = 3 = 5 – 2(1)
a2 = 1 = 5 – 2(2)
a3 = –1 = 5 – 2(3)
a4 = –3 = 5 – 2(4)
a5 = –5 = 5 – 2(5)
ดังนั้น พจนทั่วไป an = 5 – 2n
41
10) พิจารณาลําดับ –5, –3, –1, 1, 3, ...
จะเห็นวา a1 = –5 = 2(1) – 7
a2 = –3 = 2(2) – 7
a3 = –1 = 2(3) – 7
a4 = 1 = 2(4) – 7
a5 = 3 = 2(5) – 7
ดังนั้น พจนทั่วไป an = 2n – 7
11) พิจารณาลําดับ 3
1
, 6
1
, 9
1
, 12
1
, 15
1
, ...
จะเห็นวา a1 = 3
1
= )1(3
1
a2 = 6
1
= )2(3
1
a3 = 9
1
= )3(3
1
a4 = 12
1
= )4(3
1
a5 = 15
1
= )5(3
1
ดังนั้น พจนทั่วไป an = n3
1
12) พิจารณาลําดับ 1, 4
1
, 9
1
, 16
1
, 25
1
, ...
จะเห็นวา a1 = 1 = 1
1
a2 = 4
1
= 2
1
2
a3 = 9
1
= 2
1
3
a4 = 16
1
= 2
1
4
a5 = 25
1
= 2
1
5
ดังนั้น พจนทั่วไป an = 2
n
1
42
13) พิจารณาลําดับ 2
1
, 3
2
, 4
3
, 5
4
, 6
5
, ...
จะเห็นวา a1 = 2
1
= 11
1
+
a2 = 3
2
= 12
2
+
a3 = 4
3
= 3
3 1+
a4 = 5
4
= 4
4 1+
a5 = 6
5
= 5
5 1+
ดังนั้น พจนทั่วไป an = 1n
n
+
14) พิจารณาลําดับ 5
2
, 7
4
, 9
8
, 11
16
, 13
32
, ...
จะเห็นวา a1 = 5
2
= 3)1(2
21
+
a2 = 7
4
= 3)2(2
22
+
a3 = 9
8
= 3)3(2
23
+
a4 = 11
16
= 3)4(2
24
+
a5 = 13
32
= 3)5(2
25
+
ดังนั้น พจนทั่วไป an = 3n2
2n
+
15) พิจารณาลําดับ 0, 2
1
, 3
2
, 4
3
, 5
4
, ...
จะเห็นวา a1 = 0 = 1
11−
a2 = 2
1
= 2
12−
a3 = 3
2
= 3
13−
a4 = 4
3
= 4
14−
a5 = 5
4
= 5
15−
ดังนั้น พจนทั่วไป an = n
1n −
43
เฉลยแบบฝกหัด 1.1.3
1. 1) จาก a1 = 2, d = 4
จะได a2 = a1 + d = 2 + 4 = 6
a3 = a1 + 2d = 2 + 2(4) = 10
a4 = a1 + 3d = 2 + 3(4) = 14
ดังนั้น 4 พจนแรกของลําดับเลขคณิตนี้คือ 2, 6, 10, 14
2) จาก a1 = 3, d = 5
จะได a2 = a1 + d = 3 + 5 = 8
a3 = a1 + 2d = 3 + 2(5) = 13
a4 = a1 + 3d = 3 + 3(5) = 18
ดังนั้น 4 พจนแรกของลําดับเลขคณิตนี้คือ 3, 8, 13, 18
3) จาก a1 = –3, d = 3
จะได a2 = a1 + d = –3 + 3 = 0
a3 = a1 + 2d = –3 + 2(3) = 3
a4 = a1 + 3d = –3 + 3(3) = 6
ดังนั้น 4 พจนแรกของลําดับเลขคณิตนี้คือ –3, 0, 3, 6
4) จาก a1 = –4, d = 2
จะได a2 = a1 + d = –4 + 2 = –2
a3 = a1 + 2d = –4 + 2(2) = 0
a4 = a1 + 3d = –4 + 3(2) = 2
ดังนั้น 4 พจนแรกของลําดับเลขคณิตนี้คือ –4, –2, 0, 2
44
5) จาก a1 = 5, d = –2
จะได a2 = a1 + d = 5 + (–2) = –3
a3 = a1 + 2d = 5 + 2(–2) = 1
a4 = a1 + 3d = 5 + 3(–2) = –1
ดังนั้น 4 พจนแรกของลําดับเลขคณิตนี้คือ 5, 3, 1, –1
6) จาก a1 = –3, d = –4
จะได a2 = a1 + d = –3 + (–4) = –7
a3 = a1 + 2d = –3 + 2(–4) = –11
a4 = a1 + 3d = –3 + 3(–4) = –15
ดังนั้น 4 พจนแรกของลําดับเลขคณิตนี้คือ –3, –7, –11, –15
7) จาก a1 = 2
1
, d = 2
1
จะได a2 = a1 + d = 2
1
2
1
+ = 1
a3 = a1 + 2d = 





+
2
1
2
2
1
= 2
3
a4 = a1 + 3d = 





+
2
1
3
2
1
= 2
ดังนั้น 4 พจนแรกของลําดับเลขคณิตนี้คือ 2
1
, 1, 2
3
, 2
8) จาก a1 = 2
5
, d = 2
3
−
จะได a2 = a1 + d = 





−+
2
3
2
5
= 1
a3 = a1 + 2d = 





−+
2
3
2
2
5
= 2
1
−
a4 = a1 + 3d = 





−+
2
3
3
2
5
= –2
ดังนั้น 4 พจนแรกของลําดับเลขคณิตนี้คือ 2
5
, 1, 2
1
− , –2
45
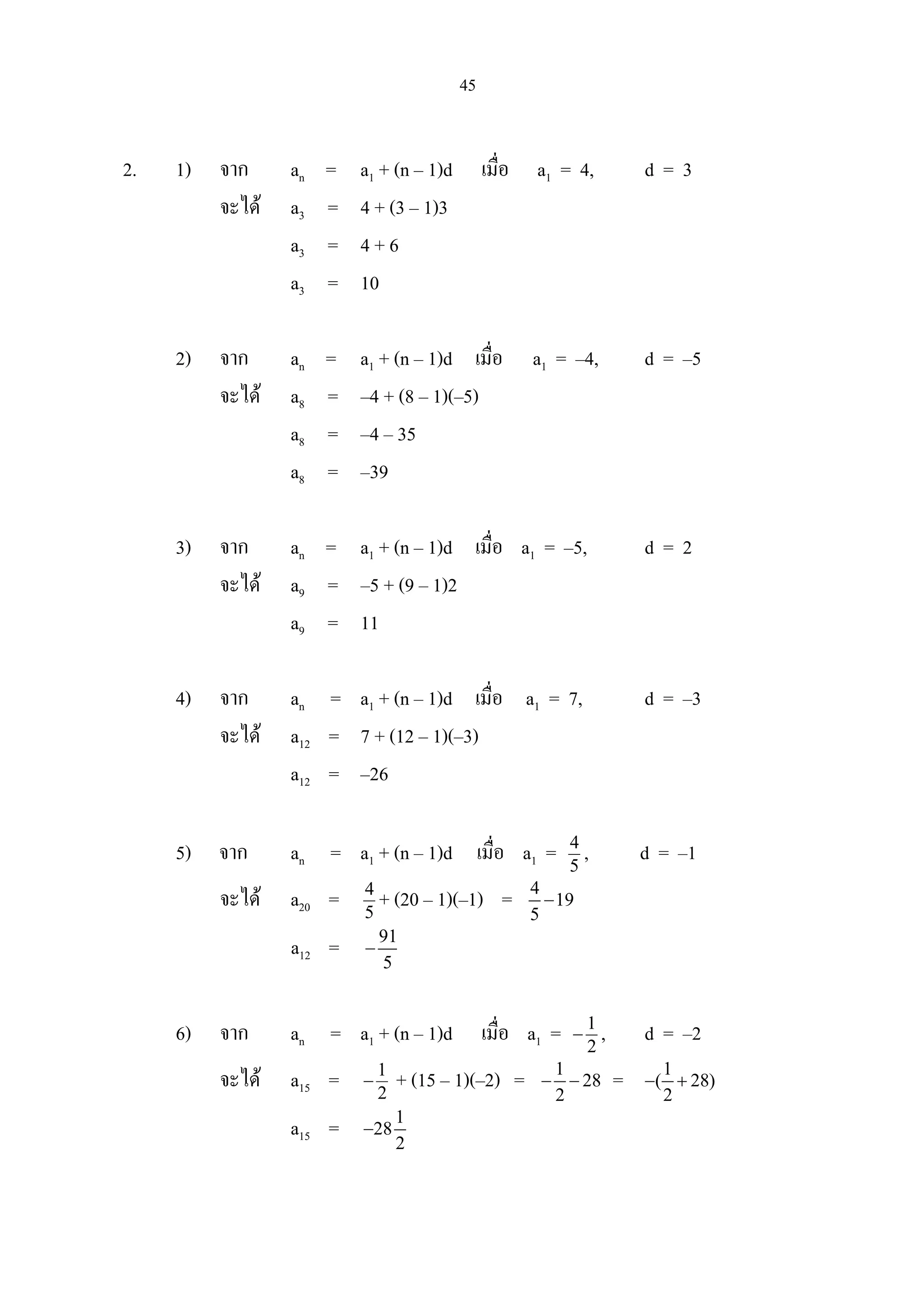
2. 1) จาก an = a1 + (n – 1)d เมื่อ a1 = 4, d = 3
จะได a3 = 4 + (3 – 1)3
a3 = 4 + 6
a3 = 10
2) จาก an = a1 + (n – 1)d เมื่อ a1 = –4, d = –5
จะได a8 = –4 + (8 – 1)(–5)
a8 = –4 – 35
a8 = –39
3) จาก an = a1 + (n – 1)d เมื่อ a1 = –5, d = 2
จะได a9 = –5 + (9 – 1)2
a9 = 11
4) จาก an = a1 + (n – 1)d เมื่อ a1 = 7, d = –3
จะได a12 = 7 + (12 – 1)(–3)
a12 = –26
5) จาก an = a1 + (n – 1)d เมื่อ a1 = 5
4
, d = –1
จะได a20 = 5
4
+ (20 – 1)(–1) = 4
19
5
−
a12 = 91
5
−
6) จาก an = a1 + (n – 1)d เมื่อ a1 = 2
1
− , d = –2
จะได a15 = 2
1
− + (15 – 1)(–2) = 1
28
2
− − = 1
( 28)
2
− +
a15 = 1
28
2
−
46
7) จาก an = a1 + (n – 1)d เมื่อ a1 = 4, d = 2
1
จะได a11 = 4 + (11 – 1)(1
2
)
a11 = 9
8) จาก an = a1 + (n – 1)d เมื่อ a1 = 3
4
, d = 3
1
จะได a15 = 4
3
+ (15 – 1)(1
3
) = 4 14
3 3
+
a15 = 6
3. 1) จากลําดับเลขคณิต 11, 13, 15, 17, 19, ... ที่มี a1 = 11 และ d = 2
จะได an = 11 + (n – 1)2
= 2n + 9
ดังนั้น พจนที่ n หรือ an = 2n + 9
2) จากลําดับเลขคณิต 7, 10, 13, 16, 19, ... ที่มี a1 = 7 และ d = 3
จะได an = 7 + (n – 1)3
= 3n + 4
ดังนั้น พจนที่ n หรือ an = 3n + 4
3) จากลําดับเลขคณิต 2, –1, –4, –7, –10, ... ที่มี a1 = 2 และ d = –3
จะได an = 2 + (n – 1)(–3)
= 5 – 3n
ดังนั้น พจนที่ n หรือ an = 5 – 3n
4) จากลําดับเลขคณิต 4, 2, 0, –2, –4, ... ที่มี a1 = 4 และ d = –2
จะได an = 4 + (n – 1)(–2)
= 6 – 2n
ดังนั้น พจนที่ n หรือ an = 6 – 2n
47
5) จากลําดับเลขคณิต 0, 2
1
, 1, 2
3
, 2, ... ที่มี a1 = 0 และ d = 2
1
จะได an = 0 + (n – 1)(2
1
)
= 2
1n−
ดังนั้น พจนที่ n หรือ an = 2
1n−
6) จากลําดับเลขคณิต 2
3
, 2, 2
5
, 3, 2
7
, ... ที่มี a1 = 2
3
และ d = 2
1
จะได an = 2
3
+ (n – 1)(2
1
)
= 1
2
n
+
ดังนั้น พจนที่ n หรือ an = 1
2
n
+ หรือ n 2
2
+
4. จาก an = –n – 3
จะได a20 = –20 – 3 = –23
a50 = –50 – 3 = –53
5. จากลําดับเลขคณิต 3, 8, 13, 18, 23, ... ที่มี a1 = 3 และ d = 5
จาก an = a1 + (n – 1)d
จะได a15 = 3 + (15 – 1)(5)
a15 = 73
6. กําหนดให a6 = 12 และ a10 = 16
จะได a1 + 5d = 12 --------- (1)
และ a1 + 9d = 16 --------- (2)
(2) – (1) 4d = 4
d = 1
แทน d = 1 ใน (1) จะได a1 = 7
ดังนั้น พจนแรกของลําดับเลขคณิตนี้คือ 7
48
7. ให a3 = 20 และ a7 = 32
จะได a1 + 2d = 20 --------- (1)
และ a1 + 6d = 32 --------- (2)
(2) – (1) 4d = 12
d = 3
แทน d = 3 ใน (1) จะได a1 = 14
จาก an = a1 + (n – 1)d
จะได a25 = 14 + (25 – 1)(3)
a25 = 86
8. ให a2 = 16 และ a12 = 116
จะได a1 + d = 16 --------- (1)
และ a1 + 11d = 116 --------- (2)
(2) – (1) 10d = 100
d = 10
แทน d = 10 ใน (1) จะได a1 = 6
จาก an = a1 + (n – 1)d
= 6 + (n – 1)(10)
= 10n – 4
จะไดวา an = 10n – 4 และ d = 10
9. ลําดับ –1, –6, –11, ... เปนลําดับเลขคณิตที่มี a1 = –1 และ d = –5
จาก an = a1 + (n – 1)d
จะได –176 = –1 + (n – 1)(–5)
–175 = (n – 1)(–5)
35 = n – 1
36 = n
ดังนั้น –176 เปนพจนที่ 36 ของลําดับเลขคณิต –1, –6, –11, ...
49
10. จํานวนสามจํานวนแรกซึ่งอยูระหวาง 100 ถึง 1000 ที่หารดวย 13 ลงตัว คือ 104,
117, 130 จํานวนสุดทายซึ่งอยูระหวาง 100 ถึง 1000 ที่หารดวย 13 ลงตัว คือ 988
เขียนจํานวนขางตนเปนลําดับไดดังนี้ 104, 117, 130, ..., 988
จะเห็นวาลําดับดังกลาวเปนลําดับเลขคณิตที่มี a1 = 104 และ d = 13
จาก an = a1 + (n – 1)d
จะได 988 = 104 + (n – 1)(13)
884 = 13n – 13
13n = 897
n = 69
จะไดวา จํานวนซึ่งอยูระหวาง 100 กับ 1000 ที่หารดวย 13 ลงตัว มีทั้งหมด 69 จํานวน
11. ให a1, a2, a3, ... เปนลําดับเลขคณิตที่มี a1 = 39 และ a3 = 51
จะได a1 + 2d = 51
39 + 2d = 51
2d = 12
d = 6
และ a2 = a1 + d = 39 + 6 = 45
ดังนั้น จํานวนที่อยูระหวาง 39 และ 51 ที่ทําใหสามจํานวนนี้อยูในลําดับเลขคณิตคือ 45
12. ให a1 = 5 และ a7 = 29 เปนพจนที่ 1 และพจนที่ 7 ในลําดับเลขคณิต
จะได a1 + 6d = 29
5 + 6d = 29
6d = 24
d = 4
ดังนั้น 5 พจนซึ่งเรียงอยูระหวาง 5 กับ 29 คือ 5 + 4, 5 + 2 (4), 5 + 3(4) และ 5 + 4(4)
หรือ 9, 13, 17, 21, 25
50
13. ให a1 = 20, a2 = 16 และ a3 = 12 เปนพจนสามพจนในลําดับเลขคณิต
จาก 20, 16, 12... จะได d = –4
จาก an = a1 + (n – 1)d
–96 = 20 + (n – 1)(–4)
4n = 96 + 20 + 4
n = 120
4
n = 30
ดังนั้น –96 เปนพจนที่ 30 ของลําดับเลขคณิต 20, 16, 12, ...
14. ให a1 เปนราคาที่บริษัทรับซื้อคืนสําหรับรถยนตที่ใชแลว 1 ป
a5 เปนราคาที่บริษัทรับซื้อคืนสําหรับรถยนตที่ใชแลว 5 ป
โดยที่ a1 = 900,000 และ d = –70,000
จาก a5 = a1 + 4d
= 900,000 + 4(–70,000)
= 620,000
ดังนั้น เมื่อครบ 5 ป บริษัทที่ขายรถยนตคันนี้จะรับซื้อคืนในราคา 620,000 บาท
15. ให a1 = 52 และ an = 7 โดยที่ d = –1
จาก an = a1 + (n – 1)d
จะได 7 = 52 + (n – 1)(–1)
53 – n = 7
n = 46
ดังนั้น มีไมทั้งหมด 46 ชั้น
นั่นคือ ความสูงของไมกองนี้ เทากับ 46 × 3 หรือ 138 เซนติเมตร
51
เฉลยแบบฝกหัด 1.1.4
1. 1) ลําดับ 2, 4, 8, 16, ...
อัตราสวนรวมคือ 4
2
= 2
2) ลําดับ 18, 6, 2, 2
3
, ...
อัตราสวนรวมคือ 6
18
= 1
3
3) ลําดับ 75, 15, 3, 3
5
, ...
อัตราสวนรวมคือ 15
75
= 1
5
4) ลําดับ –8, –0.8, –0.08, –0.008, ...
อัตราสวนรวมคือ 0.8
8
−
−
= 1
10
5) ลําดับ –1, 1, –1, 1, ...
อัตราสวนรวมคือ 1
1−
= –1
6) ลําดับ 2
3
, 4
3
, 8
3
, 16
3
, ...
อัตราสวนรวมคือ 4 2
3 3
÷ =
4
3
×
3
2
= 2
7) ลําดับ 1
x
, 2
1
x
, 3
1
x
, ...
อัตราสวนรวมคือ 2
1 1
x x
÷ = 2
1
x
× x = 1
x
8) ลําดับ 5, 5a
2
,
2
5a
4
,
3
5a
8
...
อัตราสวนรวมคือ 5a
5
2
÷ = 5a
2
×
1
5
= a
2
2. 1) จากลําดับเรขาคณิต 1, 7, 49, 343, ... ที่มี a1 = 1 และ r2 = 7
จะได a5 = a1r4
= 74
= 2401
a6 = a1r5
= 75
= 16807
a7 = a1r6
= 76
= 117649
ดังนั้น สามพจนถัดไปคือ 2401, 16807, 117649
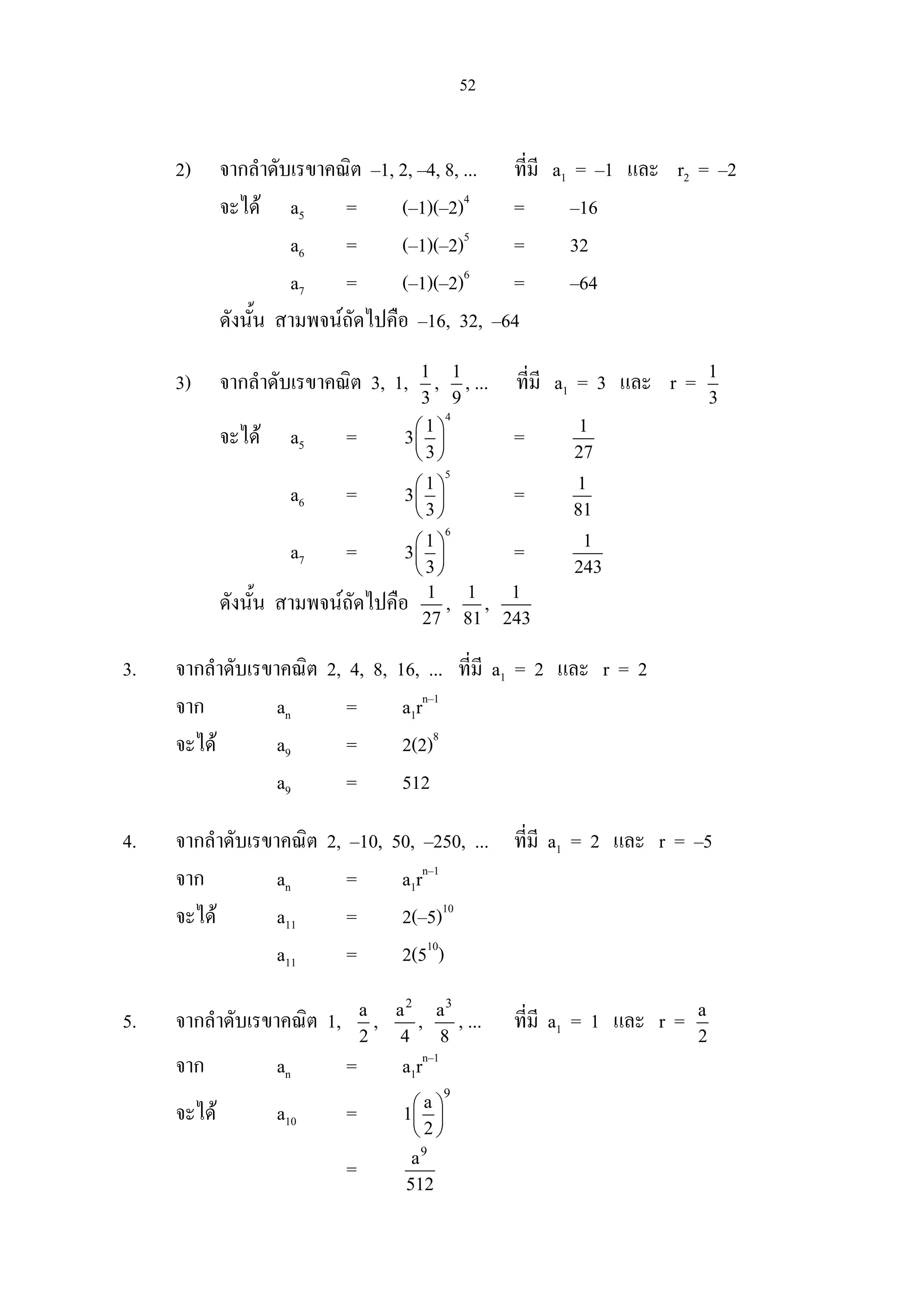
52
2) จากลําดับเรขาคณิต –1, 2, –4, 8, ... ที่มี a1 = –1 และ r2 = –2
จะได a5 = (–1)(–2)4
= –16
a6 = (–1)(–2)5
= 32
a7 = (–1)(–2)6
= –64
ดังนั้น สามพจนถัดไปคือ –16, 32, –64
3) จากลําดับเรขาคณิต 3, 1, 1
3
, 1
9
, ... ที่มี a1 = 3 และ r = 1
3
จะได a5 =
4
1
3
3
 
 
 
= 1
27
a6 =
5
1
3
3
 
 
 
= 1
81
a7 =
6
1
3
3
 
 
 
= 1
243
ดังนั้น สามพจนถัดไปคือ 1
27
, 1
81
, 1
243
3. จากลําดับเรขาคณิต 2, 4, 8, 16, ... ที่มี a1 = 2 และ r = 2
จาก an = a1rn–1
จะได a9 = 2(2)8
a9 = 512
4. จากลําดับเรขาคณิต 2, –10, 50, –250, ... ที่มี a1 = 2 และ r = –5
จาก an = a1rn–1
จะได a11 = 2(–5)10
a11 = 2(510
)
5. จากลําดับเรขาคณิต 1, a
2
,
2
a
4
,
3
a
8
, ... ที่มี a1 = 1 และ r = a
2
จาก an = a1rn–1
จะได a10 =
9
a
1
2
 
 
 
=
9
a
512
53
6. จากลําดับเรขาคณิต 1
2
, 1
6
, 1
18
, 1
54
, ... ที่มี a1 = 1
2
และ r = 1
3
จาก an = a1rn–1
จะได a8 =
7
1 1
2 3
  
  
  
a8 = 1
4374
7. 1) จากลําดับเรขาคณิต 1, 3, 9, ... ที่มี a1 = 1 และ r = 3
จาก an = a1rn–1
จะได an = 1(3)n–1
= 3n–1
2) จากลําดับเรขาคณิต 25, 5, 1, ... ที่มี a1 = 25 และ r = 1
5
จาก an = a1rn–1
จะได an = 25
n 1
1
5
−
 
 
 
= 53–n
3) จากลําดับเรขาคณิต 1, –1, 1, –1 ที่มี a1 = 1 และ r = –1
จาก an = a1rn–1
จะได an = 1(–1)n–1
= (–1)n–1
4) จากลําดับเรขาคณิต –2, 4, –8, ... ที่มี a1 = –2 และ r = –2
จาก an = a1rn–1
จะได an = (–2)(–2)n–1
= (–2)n
54
5) จากลําดับเรขาคณิต 1
x
, 2
1
x
, 3
1
x
, ... ที่มี a1 = 1
x
และ r = 1
x
จาก an = a1rn–1
จะได an =
n 1
1 1
x x
−
  
  
  
= n
1
x
6) จากลําดับเรขาคณิต 1, 0.3, 0.09, 0.027, ... ที่มี a1 = 1 และ r = 0.3
จาก an = a1rn–1
จะได an = 1(0.3)n–1
= (0.3)n–1
7) จากลําดับเรขาคณิต –8, –0.8, –0.08, –0.008, ... ที่มี a1 = –8 และ r = 1
10
จาก an = a1rn–1
จะได an = (–8)
n 1
1
10
−
 
 
 
= n 1
8
10 −
−
8) จากลําดับเรขาคณิต 2, 2 3 , 6, ... ที่มี a1 = 2 และ r = 3
จาก an = a1rn–1
จะได an = 2( 3 )n–1
8. ให a5 = 32
3
และ r = 2
จะได a1r4
= 32
3
a1(24
) = 32
3
a1 = 32 1
3 16
×
ดังนั้น พจนแรกของลําดับคือ 2
3
55
9. ให a3 = 12 และ a6 = 96
จะได a3 = a1r2
= 12 ---------- (1)
และ a6 = a1r5
= 96 ---------- (2)
(2) ÷ (1) จะได r3
= 8
r = 2
ดังนั้น อัตราสวนรวมของลําดับนี้คือ 2
10. ให a2 = 3
8
และ a5 = 64
81
จะได a1r = 8
3
---------- (1)
และ a1r4
= 64
81
---------- (2)
(2) ÷ (1) จะได r3
= 8
27
r = 2
3
ดังนั้น อัตราสวนรวมของลําดับนี้คือ 2
3
11. ให a
r
, a, ar เปนสามพจนแรกของลําดับเรขาคณิต
จะได a
r
+ a + ar = –3 ---------- (1)
และ a
r
 
 
 
(a)(ar) = 8
a3
= 8
a = 2
แทน a = 2 ใน (1) จะได 2
r
+ 2 + 2r = –3
2 + 2r + 2r2
= – 3r
2r2
+ 5r + 2 = 0
(2r + 1)(r + 2) = 0
r = 1
2
− , –2
56
ถา a = 2, r = 1
2
− จะไดลําดับเรขาคณิต –4, 2, –1, 1
2
, ....
ถา a = 2, r = –2 จะไดลําดับเรขาคณิต –1, 2, –4, 8, ...
เมื่อตรวจสอบคําตอบจะพบวา ลําดับเรขาคณิตขางตนมีผลบวกและผลคูณของ
สามพจนแรกเทากับ –3 และ 8 ตามลําดับ
12. 1) ให a1 = 5 และ a3 = 20
จะได a1r2
= 20
5r2
= 20
r = ±2
ถา r = 2 จํานวนที่อยูระหวาง 5 และ 20 คือ 10
ถา r = –2 จํานวนที่อยูระหวาง 5 และ 20 คือ –10
2) ให a1 = 8 และ a3 = 12
จะได a1r2
= 12
8r2
= 12
r = 3
2
±
ถา r = 3
2
จํานวนที่อยูระหวาง 8 และ 12 คือ 4 6
ถา r = 3
2
− จํานวนที่อยูระหวาง 8 และ 12 คือ 4 6−
13. ลําดับเรขาคณิต 2, –6, 18, ... ที่มี a1 = 2 และ r = –3
จาก an = a1rn–1
จะได 162 = 2(–3)n–1
81 = (–3)n–1
(–3)4
= (–3)n–1
n – 1 = 4
n = 5
ดังนั้น 162 เปนพจนที่ 5 ของลําดับเรขาคณิต 2, –6, 18, ...
57
14. ในป พ.ศ. 2540 มีประชากร 60,000 คน และแตละปมีประชากรเพิ่มขึ้น 2%
ถาเดิมมีประชากร 60000 คน สิ้นปแรกจะมีประชากร 60000 × 1.02 คน
ถาเดิมมีประชากร 60000 × 1.02 คน สิ้นปจะมีประชากร 60000 × (1.02)2
คน
ถาเดิมมีประชากร 60000 × (1.02)2
คน สิ้นปจะมีประชากร 60000 × (1.02)3
คน
ดังนั้น จํานวนประชากรในอีก n ป ขางหนานับจากป พ.ศ. 2540 คือ
60000 × (1.02)n
คน
ในป พ.ศ. 2555 หรืออีก 15 ปตอไป จะมีประชากรเทากับ 60000 × (1.02)15
คน
≈ 80,752 คน
15. 1) ลําดับ 7, 9, 11, 13, ...,
เปนลําดับเลขคณิต มีผลตางรวมเปน 2
2) ลําดับ 6, –6, 6, –6, ...,
เปนลําดับเรขาคณิต มีอัตราสวนรวมเปน –1
3) ลําดับ 4, 2, 0, –2, ...,
เปนลําดับเลขคณิต มีผลตางรวมเปน –2
4) ลําดับ 3, 1, 3
1
, 9
1
, ...,
เปนลําดับเรขาคณิต มีอัตราสวนรวมเปน 1
3
5) ลําดับ 1
4
− , 2
5
− , 1
2
− , 4
7
− , ...,
ไมเปนทั้งลําดับเลขคณิตและลําดับเรขาคณิต
เฉลยแบบฝกหัด 1.2.1
1. ลําดับเลขคณิต 5, 7, 9, 11, 13, ... มี a1 = 5 และ d = 2
จาก Sn = n
2
{2a1 + (n – 1)d}
จะได S50 = 50
2
{2(5) + (50 – 1)2}
= 25(108)
= 2,700
58
2. ลําดับเลขคณิต 0, 2, 4, 6, 8, ... มี a1 = 0 และ d = 2
จาก Sn = n
2
{2a1 + (n – 1)d}
จะได S30 = 30
2
{2(0) + (30 – 1)2}
= 15(58)
= 870
3. ลําดับเลขคณิต 2, 6, 10, 14, 18, ... มี a1 = 2 และ d = 4
จาก Sn = n
2
{2a1 + (n – 1)d}
จะได S40 = 40
2
{2(2) + (40 – 1)4}
= 20(160)
= 3,200
4. ลําดับเลขคณิต –2, 3, 8, 13, 18, ... มี a1 = –2 และ d = 5
จาก Sn = n
2
{2a1 + (n – 1)d}
จะได S60 = 60
2
{2(–2) + (60 – 1)5}
= 30(291)
= 8,730
5. ลําดับเลขคณิต 5, 2, –1, –4, –7, ... มี a1 = 5 และ d = –3
จาก Sn = n
2
{2a1 + (n – 1)d}
จะได S75 = 75
2
{2(5) + (75 – 1)(–3)}
= 75
2
(–212)
= –7,950
59
6. ลําดับเลขคณิต 1
2
, 1, 3
2
, 2, 5
2
, ... มี a1 = 1
2
และ d = 1
2
จาก Sn = n
2
{2a1 + (n – 1)d}
จะได S50 = 50
2
{2 1
2
 
 
 
+ (50 – 1) 1
2
 
 
 
}
= 25 51
2
 
 
 
= 1275
2
7. ลําดับเลขคณิต 1
3
− , 1
3
, 1, 5
3
, 7
3
, ... มี a1 = 1
3
− และ d = 2
3
จาก Sn = n
2
{2a1 + (n – 1)d}
จะได S100 = 100
2
{2 1
3
 
− 
 
+ (100 – 1) 2
3
 
 
 
}
= 50 196
3
 
 
 
= 9800
3
8. 1) ลําดับ 6, 9, 12, 15, ..., 99 เปนลําดับเลขคณิต ที่มี a1 = 6 และ d = 3
จาก an = a1 + (n – 1)d
จะได 99 = 6 + (n – 1)3
n = 32
และ S32 = 6 + 9 + 12 + 15 + ... + 99
จาก Sn = 1 n
n
(a a )
2
+
S32 = 32
2
(6 + 99)
= 16 (105)
= 1,680
60
2) เนื่องจากลําดับ –7, –10, –13, –16, ..., –109 เปนลําดับเลขคณิต
ที่มี a1 = –7 และ d = –3
จาก an = a1 + (n – 1)d
–109 = (–7) + (n – 1)(–3)
จะได n = 35
และ S35 = (–7) + (–10) + (–13) + (–16) + ... + (–109)
= 35
2
{(–7)+(–109)}
= 35(–58)
= –2030
3) เนื่องจากลําดับ –7, –4, –1, 2, ..., 131 เปนลําดับเลขคณิต
ที่มี a1 = –7 และ d = 3
จาก an = a1 + (n – 1)d
131 = –7 + (n – 1)3
จะได n = 47
และ S47 = (–7) + (–4) + (–1) + 2 + ... + 131
= 47
2
{(–7) + 131}
= 47(62)
= 2914
9. ให a1 = 6, d = 4 และ an = 26
จาก an = a1 + (n – 1)d
26 = 6 + (n – 1)4
n = 6
จาก Sn = n
2
(a1 + an)
จะได S6 = 6
2
(6 + 26)
= 3(32)
= 96
61
10. ใหผลบวกของจํานวนเต็มคี่บวก 100 จํานวนแรกเขียนแทนดวยอนุกรม
1 + 3 + 5 + 7 + 9 + ... + 199 ซึ่งจะเห็นวา อนุกรมขางตนเปนอนุกรมเลขคณิตที่มี
a1 = 1 และ an = 199
จาก Sn = n
2
(a1 + an)
จะได S100 = 100
2
(1 + 199)
= 50(200)
= 10,000
11. ใหผลบวกของจํานวนเต็มบวก 20 จํานวนแรกที่เปนพหุคูณของ 3
เขียนแทนดวยอนุกรม 3 + 6 + 9 + ... + 60
จะเห็นวา อนุกรมขางตนเปนอนุกรมเลขคณิตที่มี a1 = 3 และ an = 60
จาก Sn = n
2
(a1 + an)
จะได S20 = 20
2
(3 + 60)
= 10(63)
= 630
12. ใหผลบวกของจํานวนคี่ตั้งแต 17 ถึง 379 เขียนแทนดวยอนุกรม 17 + 19 + 21 + ... + 379
จะเห็นวา อนุกรมขางตนเปนอนุกรมเลขคณิต ที่มี a1 = 17 และ d = 2
จาก an = a1 + (n – 1)d
379 = 17 + (n – 1)2
จะได n = 182
จาก Sn = n
2
(a1 + an)
จะได S182 = 182
2
(17 + 379)
= 91(396)
= 36,036
62
13. กําหนดให a10 = 20, a5 = 10
จะได a1 + 9d = 20 ---------- (1)
และ a1 + 4d = 10 ---------- (2)
(2) – (1) 5d = 10
d = 2
แทนคา d = 2 ใน (1) จะได a1 = 2
เพราะวา a7 = 2 + (7 – 1)(2) = 14
a15 = 2 + (15 – 1)(2) = 30
จาก Sn = n
2
(a1 + an)
เนื่องจากผลบวกพจนที่ 8 ถึง 15 = S15 – S7
= 15
2
(2 + 30) – 7
2
(2 + 14)
= 15(16) – 7(8)
= 184
14. ใหเงินเดือนที่ชายคนนี้ไดรับตั้งแตป พ.ศ. 2540 เขียนแทนดวยลําดับเลขคณิตดังนี้
9500, 10200, 10900, 11600, ... ลําดับขางตนเปนลําดับเลขคณิตที่มี a1 = 9500
และ d = 700
จาก an = a1 + (n – 1)d
เมื่อ n = 11
จะได a11 = 9500 + (11 – 1)700
= 9500 + 10(700)
= 16,500
นั่นคือ ในป พ.ศ. 2550 เขาจะไดรับเงินเดือนเดือนละ 16,500 บาท
63
15. ใหจํานวนเงินที่ทิมเก็บออมตั้งแตวันแรกเขียนแทนดวยอนุกรม
1 + 2 + 3 + ... + 30 อนุกรมขางตนเปนอนุกรมเลขคณิตที่มี a1 = 1, a30 = 30
จาก Sn = n
2
(a1 + an)
S30 = 30
2
(1 + 30)
= 15(31)
= 465
นั่นคือ ครบ 30 วัน ทิมมีเงินออมทั้งหมด 465 บาท
เฉลยแบบฝกหัด 1.2.2
1. 1) กําหนดให n = 4, a1 = 3, r = 2
จาก Sn =
n
1a (r 1)
r 1
−
−
จะได S4 =
4
3(2 1)
2 1
−
−
= 3(15)
= 45
2) กําหนดให n = 7, a1 = 5, r = 4
จาก Sn =
n
1a (r 1)
r 1
−
−
จะได S7 =
7
5(4 1)
4 1
−
−
= 5(16383)
3
= 27305
64
3) กําหนดให n = 9, a1 = –3, r = 5
จาก Sn =
n
1a (r 1)
r 1
−
−
จะได S9 =
9
( 3)(5 1)
5 1
− −
−
= 93
(5 1)
4
− −
= –1,464,843
4) กําหนดให n = 11, a1 = –7, r = 3
จาก Sn =
n
1a (r 1)
r 1
−
−
จะได S11 =
11
( 7)(3 1)
3 1
− −
−
= 117
(3 1)
2
− −
= –620,011
5) กําหนดให n = 14, a1 = –5, r = –2
จาก Sn =
n
1a (r 1)
r 1
−
−
จะได S14 =
14
( 5)(( 2) 1)]
2 1
− − −
− −
= 5
3
(16383)
= 27,305
2. อนุกรมเรขาคณิต 2 + 6 + 18 + 54 + ... มี a1 = 2 และ r = 3
จาก Sn =
n
1a (r 1)
r 1
−
−
จะได S9 =
9
2(3 1)
3 1
−
−
= 19,682
65
3. อนุกรมเรขาคณิต 9 + 12 + 16 + 64
3
+ ... มี a1 = 9 และ r = 4
3
จาก Sn =
n
1a (r 1)
r 1
−
−
จะได S8 =
84
9 ( ) 1
3
4
1
3
 
−  
−
= 84
27 ( ) 1
3
 
−  
= 58975
243
4. อนุกรมเรขาคณิต 2 4 8 16
...
3 9 27 81
+ + + + มี a1 = 2
3
และ r = 2
3
จาก Sn =
n
1a (r 1)
r 1
−
−
=
n
1a (1 r )
1 r
−
−
จะได S10 =
102 2
(1 ( ) )
3 3
2
1
3
−
−
= 2(1 – (3
2
)10
)
= 116,050
59,049
5. 1) อนุกรมเรขาคณิต 9 + 27 + 81 + ... + 729 มี a1 = 9, r = 3, an = 729
จาก an = a1rn–1
จะได 729 = 9(3)n–1
81 = 3n–1
34
= 3n–1
n – 1 = 4
n = 5
66
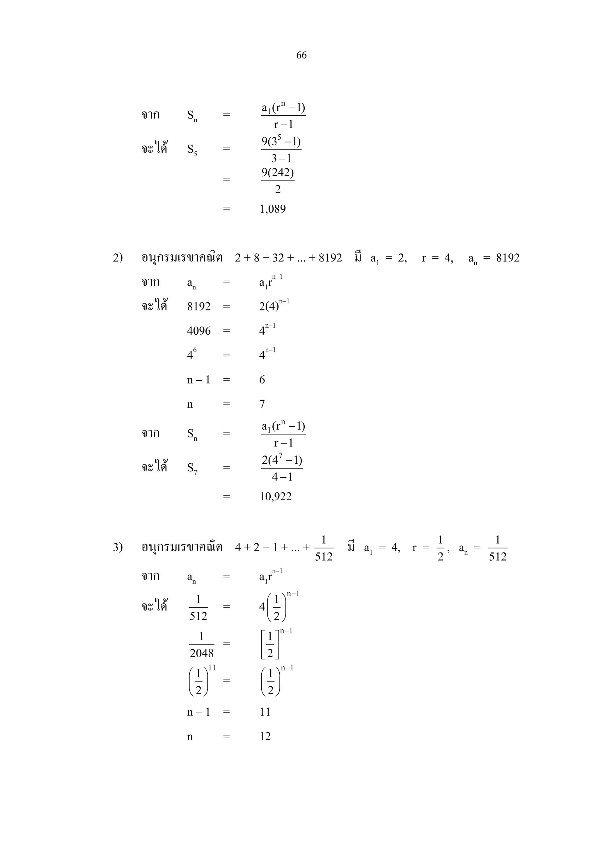
จาก Sn =
n
1a (r 1)
r 1
−
−
จะได S5 =
5
9(3 1)
3 1
−
−
= 9(242)
2
= 1,089
2) อนุกรมเรขาคณิต 2 + 8 + 32 + ... + 8192 มี a1 = 2, r = 4, an = 8192
จาก an = a1rn–1
จะได 8192 = 2(4)n–1
4096 = 4n–1
46
= 4n–1
n – 1 = 6
n = 7
จาก Sn =
n
1a (r 1)
r 1
−
−
จะได S7 =
7
2(4 1)
4 1
−
−
= 10,922
3) อนุกรมเรขาคณิต 4 + 2 + 1 + ... + 1
512
มี a1 = 4, r = 1
2
, an = 1
512
จาก an = a1rn–1
จะได 1
512
= 4
n 1
1
2
−
 
 
 
1
2048
=
n 1
1
2
−
 
  
11
1
2
 
 
 
=
n 1
1
2
−
 
 
 
n – 1 = 11
n = 12
67
จาก Sn =
n
1a (1 r )
1 r
−
−
จะได S12 =
121
4(1 ( ) )
2
1
1
2
−
−
= 12
1
8(1 )
2
−
= 4095
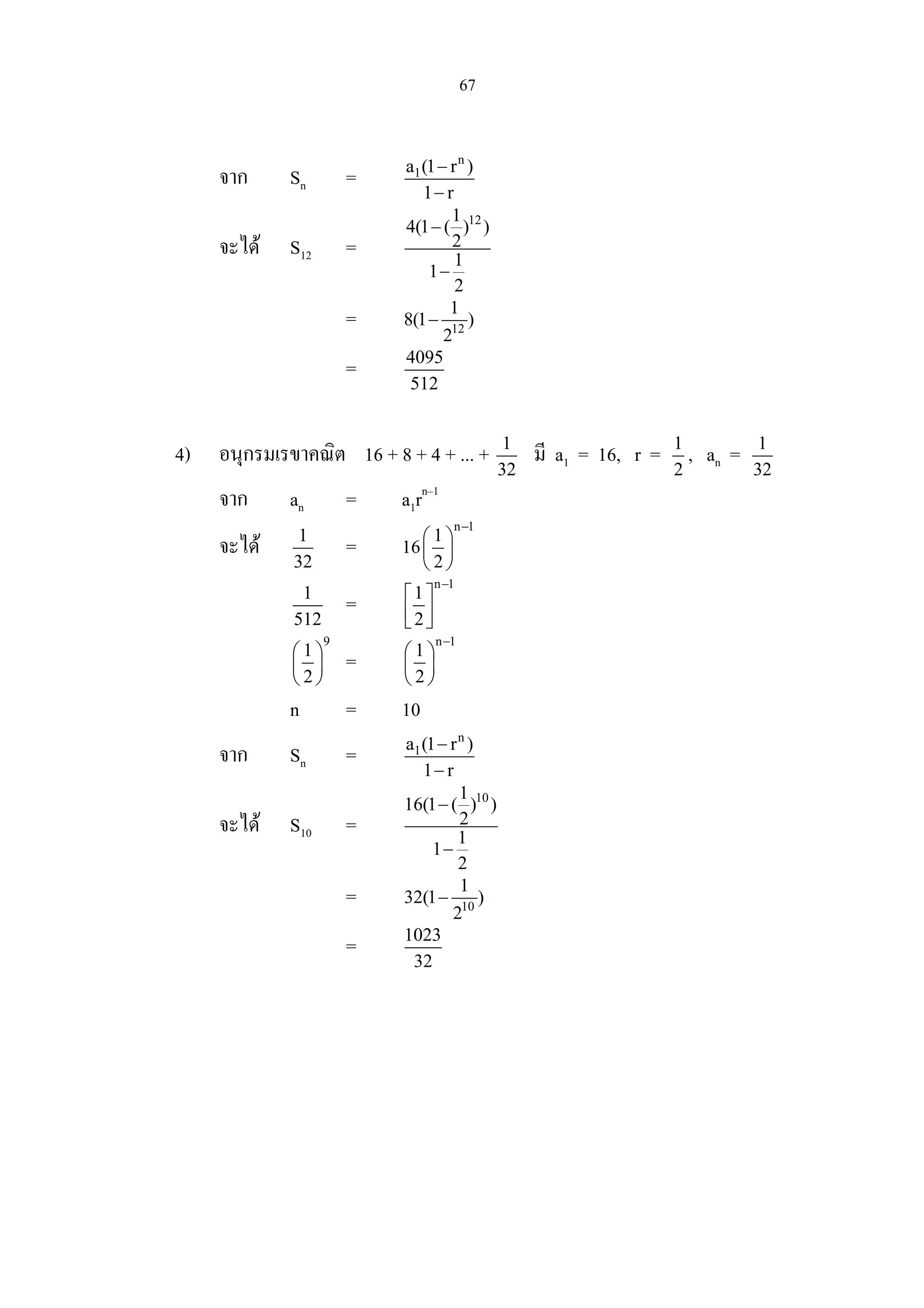
512
4) อนุกรมเรขาคณิต 16 + 8 + 4 + ... + 1
32
มี a1 = 16, r = 1
2
, an = 1
32
จาก an = a1rn–1
จะได 1
32
= 16
n 1
1
2
−
 
 
 
1
512
=
n 1
1
2
−
 
  
9
1
2
 
 
 
=
n 1
1
2
−
 
 
 
n = 10
จาก Sn =
n
1a (1 r )
1 r
−
−
จะได S10 =
101
16(1 ( ) )
2
1
1
2
−
−
= 10
1
32(1 )
2
−
= 1023
32
68
5) อนุกรมเรขาคณิต 1 + (–2) + 4 + ... + 256 มี a1 = 1, r = –2, an = 256
จาก an = a1rn–1
จะได 256 = 1(–2)n–1
28
= (–2)n–1
(–2)8
= (–2)n–1
n – 1 = 8
n = 9
จาก Sn =
n
1a (1 r )
1 r
−
−
จะได S9 =
9
1(1 ( 2) )
1 ( 2)
− −
− −
= 171
6) อนุกรมเรขาคณิต (–1) + 3 + (–9) + ... + (–729) มี a1 = –1, r = –3,
an = –729
จาก an = a1rn–1
จะได –729 = (–1)(–3)n–1
729 = (–3)n–1
36
= (–3)n–1
(–3)6
= (–3)n–1
n = 7
จาก Sn =
n
1a (1 r )
1 r
−
−
จะได S7 =
7
( 1)(1 ( 3) )
1 ( 3)
− − −
− −
= –546.5
69
6. ใหเงินที่พลเก็บออมตั้งแตวันแรกเขียนแทนดวยอนุกรมเรขาคณิต
1 + 2 + 4 + 8 + ... + 214
ที่มี a1 = 1, r = 2, n = 15
จาก Sn =
n
1a (r 1)
r 1
−
−
จะได S15 =
15
1(2 1)
2 1
−
−
= 215
– 1
= 32,767
นั่นคือ เมื่อครบ 15 วัน พลจะมีเงินออมทั้งหมด 32,767 บาท
7. ซื้อรถยนตมาในราคา 1,000,000 บาท ในแตละปราคารถยนตคันนี้ลดลง 20%
รถยนตราคา 1,000,000 หรือ 106
บาท เมื่อสิ้นป (ครบ 1 ป) ราคารถยนตจะเทากับ
6 80
10
100
× บาท
รถยนตราคา 6 80
10
100
 
× 
 
บาท เมื่อสิ้นป (ครบปที่ 2) ราคารถยนตจะเทากับ
2
6 80
10
100
 
× 
 
บาท
รถยนตราคา
2
6 80
10
100
 
× 
 
บาท เมื่อสิ้นป (ครบปที่ 3) ราคารถยนตจะเทากับ
3
6 80
10
100
 
× 
 
บาท
ดังนั้น เมื่อครบ 5 ป รถยนตคันนี้มีมูลคาทางบัญชี
5
6 80
10
100
 
× 
 
บาท
=
5
6 8
10
10
 
×   
=
6
5
5
10
8
10
×
= 5
10 8×
= 327,680 บาท
70
8. เมื่อวางแผนยอดขายเทากับ 300,000 บาท แตละไตรมาสตองการใหยอดขายเพิ่มขึ้น 3%
ยอดขาย 300,000 ครบไตรมาสแรก ยอดขายจะเทากับ 300,000 ×
103
100
บาท
ยอดขาย 300,000 ×
103
100
ครบไตรมาสที่สอง ยอดขายจะเทากับ 300,000×
2
103
100
 
 
 
บาท
ยอดขาย 300,000×
2
103
100
 
 
 
ครบไตรมาสที่สาม ยอดขายจะเทากับ 300,000×
3
103
100
 
 
 
บาท
ดังนั้น เมื่อครบ 2 ป (8 ไตรมาส) ยอดขายจะเทากับ 300,000 ×
8
103
100
 
 
 
บาท
≈ 300,000 × (1.26677)
≈ 380,031
9. ถังน้ําจุ 5,832 ลิตร แตละวันจะใชน้ําไป 1
3
ของปริมาณน้ําในถังที่มีอยู
วันแรกมีน้ํา 5832 ลิตร เมื่อใชน้ําแลวมีน้ําเหลืออยู 5832 ×
2
3
ลิตร
วันที่สองมีน้ํา 5832 ×
2
3
ลิตร เมื่อใชน้ําแลวมีน้ําเหลืออยู 5832 ×
2
2
3
 
 
 
ลิตร
วันที่สามมีน้ํา 5832 ×
2
2
3
 
 
 
ลิตร เมื่อใชน้ําแลวมีน้ําเหลืออยู 5832 ×
3
2
3
 
 
 
ลิตร
ดังนั้น เมื่อครบ 6 วัน จะมีน้ําเหลืออยูในถัง 5832 ×
6
2
3
 
 
 
ลิตร = 512 ลิตร
10. ถังใบหนึ่งมีน้ําอยู 20 ลิตร ตักน้ําออกจากถังครึ่งหนึ่ง แลวแทนดวยของเหลว
จากนั้นตักน้ําที่มีสวนผสมของของเหลวออกมาครึ่งถัง แสดงวา
แตละครั้งเมื่อตักแลวปริมาณน้ําจะลดลง 50%
เดิมมีน้ํา 20 ลิตร ตักน้ําออกจากถังครั้งที่ 1 จะมีน้ําเหลืออยู 20 ×
1
2
ลิตร
เดิมมีน้ํา 20 ×
1
2
ลิตร เมื่อตักออกครั้งที่ 2 จะมีน้ําเหลืออยู 20 ×
2
1
2
 
 
 
ลิตร
เดิมมีน้ํา 20 ×
1
2
ลิตร เมื่อตักออกครั้งที่ 3 จะมีน้ําเหลืออยู 20 ×
3
1
2
 
 
 
ลิตร
ดังนั้น เมื่อครบ 8 ครั้ง จะมีน้ําเหลืออยูในถัง 20 ×
8
1
2
 
 
 
ลิตร = 5
64
ลิตร

Basic m5-1-chapter1

  • 1.
    บทที่ 1 ลําดับและอนุกรม ( 18ชั่วโมง ) ลําดับและอนุกรมที่จะกลาวถึงในบทนี้ จะเปนเรื่องเกี่ยวกับการหาพจนทั่วไปของ ลําดับที่สามารถหาพจนทั่วไปไดงาย ลําดับเลขคณิต ลําดับเรขาคณิต อนุกรมเลขคณิต และอนุกรมเรขาคณิต รวมทั้งโจทยที่แสดงใหเห็นการนําความรูในเรื่องที่กลาวมาไปใช ในการแกปญหาที่เกี่ยวของกับชีวิตประจําวัน ผลการเรียนรูที่คาดหวัง 1. เขาใจความหมายของลําดับ และหาพจนทั่วไปของลําดับจํากัดที่กําหนดใหได 2. เขาใจความหมายของลําดับเลขคณิตและลําดับเรขาคณิต หาพจนตาง ๆ ของลําดับ เลขคณิตและลําดับเรขาคณิตได 3. เขาใจความหมายของผลบวก n พจนแรกของอนุกรมเลขคณิต และอนุกรมเรขาคณิต 4. หาผลบวก n พจนแรกของอนุกรมเลขคณิต และอนุกรมเรขาคณิต โดยใชสูตรและ นําไปใชได ผลการเรียนรูดังกลาวเปนผลการเรียนรูที่สอดคลองกับมาตรฐานการเรียนรู ชวงชั้นทางดานความรู ในการเรียนการสอนทุกครั้งผูสอนตองคํานึงถึงมาตรฐานการเรียนรู ทางดานทักษะและกระบวนการทางคณิตศาสตรที่จําเปนและสอดแทรกกิจกรรมปญหา หรือคําถามที่เสริมสรางทักษะกระบวนการเหลานั้นดวย นอกจากนั้นควรปลูกฝงใหผูเรียน ทํางานอยางเปนระบบ มีระเบียบวินัย รอบคอบ มีความรับผิดชอบมีวิจารณญาณและมี ความเชื่อมั่นในตัวเอง
  • 2.
    2 ขอเสนอแนะ 1. การกําหนดลําดับอาจจะกําหนดโดยพจนทั่วไปหรือกําหนดโดยการแจงพจน การกําหนดลําดับโดยการแจงพจนแลวใหหาพจนทั่วไปของลําดับนั้น อาจหาพจนทั่วไปได ตางกันและทําใหลําดับนั้นเปนลําดับที่ตางกันดวยกลาวคือ ลําดับที่ตางกันอาจจะมีพจนตน ๆ เหมือนกัน เชน (1) 1, 2 1 , 3 1 , ..., n 1 , ... เมื่อ n = 4 จะไดพจนที่ 4 เทากับ 4 1 และ 1, 2 1 , 3 1 , ..., 6n12n6n 1 23 −+− , ... เมื่อ n = 4 จะไดพจนที่ 4 เทากับ 1 10 (2) 1 1 1 , , 2 4 8 , ..., n 1 2 , ... เมื่อ n = 4 จะไดพจนที่ 4 เทากับ 1 16 และ 1 1 1 , , 2 4 8 , ..., 2 6 (n 1)(n n 6)+ − + , ... เมื่อ n = 4 จะไดพจนที่ 4 เทากับ 1 15 ในหนังสือเรียนไดกลาวถึงการหาพจนทั่วไปของลําดับเมื่อกําหนดลําดับ โดยการแจงพจน เนื่องจากตองการใหผูเรียนไดฝกการสรุปกฎเกณฑ ดังนั้นในการออกขอสอบใหหาพจนทั่วไป ถาผูสอนกําหนดใหหาพจนทั่วไปของ ลําดับอนันตจะตองระวังวาคําตอบอาจจะตางกันแตเปนคําตอบที่ถูกตองทั้งหมด
  • 3.
    3 2. การหาพจนทั่วไปของลําดับที่กําหนดเฉพาะพจนตน ๆให แลวจึงหาพจน ทั่วไปโดยการพิจารณาความสัมพันธระหวาง an กับ n แลวสรุปเปนกฎเกณฑ ผูสอนควร เริ่มจากลําดับที่สามารถสังเกตเห็นความสัมพันธระหวาง an กับ n ไดงายโดยอาจเริ่มตนจาก ตัวอยางดังนี้ (1) กําหนดลําดับ 2, 4, 8, 16, ... ให เปลี่ยนรูปแตละพจนเพื่อหาความสัมพันธระหวาง an และ n ไดดังนี้ a1 = 2 = 21 a2 = 4 = 22 a3 = 8 = 23 a4 = 16 = 24 จะได an = 2n (2) กําหนดลําดับ 1, 3, 7, 15, ... ให เปลี่ยนรูปแตละพจนเพื่อหาความสัมพันธระหวาง an กับ n ไดดังนี้ a1 = 1 = 2 – 1 = 21 – 1 a2 = 3 = 4 – 1 = 22 – 1 a3 = 7 = 8 – 1 = 23 – 1 a4 = 15 = 16 – 1 = 24 – 1 จากความสัมพันธขางตน จะได an = 2n – 1 (3) กําหนดลําดับ 1, 2 1 , 6 1 , 24 1 , ... ให เปลี่ยนรูปแตละพจนเพื่อหาความสัมพันธระหวาง an กับ n ดังนี้ a1 = 1 = 1 1 a2 = 2 1 = 21 1 ⋅ a3 = 6 1 = 321 1 ⋅⋅ a4 = 24 1 = 4321 1 ⋅⋅⋅ จากความสัมพันธขางตน จะได an = n...321 1 ⋅⋅⋅⋅
  • 4.
    4 จากตัวอยางที่กลาวมาจะเห็นวา การหาพจนทั่วไปของลําดับที่กําหนดใหจะเปน ตัวอยางที่ไมซับซอน เนื่องจากไมไดใหความสําคัญของการหาพจนทั่วไปเพียงแตตองการ ใหผูสอนเห็นตัวอยางการสอนที่ทําใหผูเรียนสามารถหาพจนทั่วไปของลําดับที่กําหนดให ไดเทานั้น ทั้งนี้ ผูสอนไมควรเนนวิธีการที่กลาวมาโดยการหาตัวอยางที่ซับซอนมากเกินไป เพียงแตหาโจทยที่เหมาะกับความสามารถของผูเรียนเพื่อใหผูเรียนฝกการสรุปกฎเกณฑโดย อาศัยการสังเกตจากพจนในลําดับที่กําหนดใหเทานั้น สําหรับผูเรียนที่มีความถนัดในวิชาคณิตศาสตรอาจมีขอสงสัยวา ถาลําดับที่ กําหนดใหไมสามารถหาพจนทั่วไปตามวิธีการที่กลาวมาไดจะมีวิธีการหาพจนทั่วไปของ ลําดับไดอยางไร ผูสอนอาจนําเสนอความรูเพิ่มเติมเรื่องการหาฟงกชันพหุนาม เพื่อนํามา เชื่อมโยงกับการหาพจนทั่วไปของลําดับได เนื่องจากลําดับก็เปนฟงกชันเชนกัน ดังนี้ ตัวอยางที่ 1 ให f(x) = 5x + 3 พิจารณาคาของ f(x) และผลตางของ f(x) เมื่อ x = 0, 1, 2, 3, 4, 5 ดังนี้ x 0 1 2 3 4 5 f(x) 3 8 13 18 23 28 ผลตางของคา f(x) 5 5 5 5 5 จากตัวอยางขางตน จะเห็นวา f เปนฟงกชันพหุนามดีกรี 1 และมีผลตางครั้งที่ หนึ่งเปนคาคงตัวที่เทากับ 5 ซึ่งไมเทากับศูนย
  • 5.
    5 ตัวอยางที่ 2 ใหf(x) = x2 + x + 3 พิจารณาคาของ f(x) และผลตางของ f(x) เมื่อ x = -1, 0, 1, 2, 3, 4, 5 ดังนี้ x -1 0 1 2 3 4 5 f(x) 3 3 5 9 15 23 33 ผลตางครั้งที่ 1 0 2 4 6 8 10 ผลตางครั้งที่ 2 2 2 2 2 2 จากตัวอยาง จะเห็นวา ฟงกชันที่กําหนดใหเปนฟงกชันพหุนามดีกรี 2 และมี ผลตางครั้งที่สองเปนคาคงตัวซึ่งไมเทากับศูนย ตัวอยางที่ 3 ให f(x) = 2x3 + x - 10 พิจารณาคาของ f(x) และผลตางของ f(x) เมื่อ x = 0, 1, 2, 3, 4, 5, 6 ดังนี้ x 0 1 2 3 4 5 6 f(x) -10 -7 8 47 122 245 428 ผลตางครั้งที่ 1 3 15 39 75 123 183 ผลตางครั้งที่ 2 12 24 36 48 60 ผลตางครั้งที่ 3 12 12 12 12 จากตัวอยาง จะเห็นวา ฟงกชันที่กําหนดใหเปนฟงกชันพหุนามดีกรี 3 และ ผลตางครั้งที่สามเปนคาคงตัวที่เทากับ 12 ซึ่งไมเทากับศูนย ในกรณีทั่วไป เชน เมื่อ f เปนฟงกชันพหุนามดีกรี 2
  • 6.
    6 ให f(x) =ax2 + bx + c ผลตางครั้งที่ (1) ผลตางครั้งที่ (2) จะได f(1) = a + b + c f(2) = 4a + 2b + c f(3) = 9a + 3b + c f(4) = 16a + 4b + c f(5) = 25a + 5b + c จากตัวอยางขางตน จะเห็นวา ฟงกชันพหุนามกําลังสองมีผลตางของ f(x) ครั้งที่ 2 เปนคาคงตัวที่ไมเทากับศูนย สําหรับฟงกชันพหุนามอื่นที่มีดีกรีไมเทากับสอง ก็มีสมบัติขางตนที่เกี่ยวกับผลตางของคาของฟงกชันพหุนามเชนเดียวกัน สรุปวา เมื่อ f เปนฟงกชันพหุนามดีกรี n เมื่อ n ∈ {1, 2, 3, ...} ผลตางของ คาของฟงกชัน f ครั้งที่ n จะเปนคาคงตัวและไมเทากับศูนย ขอสรุปที่กลาวมานี้มีที่มา จากทฤษฎีบทที่มีชื่อวา Polynomial Difference Theorem ซึ่งกลาววา “ฟงกชัน f จะเปน ฟงกชันพหุนามดีกรีที่ n ก็ตอเมื่อ มีคา x ที่ทําใหผลตางของคาของฟงกชันครั้งที่ n เปน คาคงตัวที่ไมเทากับศูนย ซึ่งสวนมากจะใช x ที่เปนจํานวนที่เรียงถัดกัน เชน 1, 2, 3, 4, …” ตอไปจะพิจารณาคาของ f(x) ที่กําหนดให เพื่อพิจารณาวา f เปนฟงกชัน พหุนามหรือไม โดยใชขอสรุปจากทฤษฎีที่กลาวมาขางตน ดังตัวอยางตอไปนี้ ตัวอยางที่ 4 ให f เปนฟงกชัน จากคา x และ f(x) ที่กําหนดให จงพิจารณาวา f เปนฟงกชันพหุนามหรือไม โดยหาวา มีผลตางของคาของ ฟงกชัน f ที่เปนคาคงตัวที่ไมเทากับศูนยหรือไม x 1 2 3 4 5 f(x) 3 -3 -13 -27 -45 ผลตางครั้งที่ 1 -6 -10 -14 -18 ผลตางครั้งที่ 2 -4 -4 -4 จะไดวา ผลตางครั้งที่สองของคาของฟงกชัน f เปนคาคงตัวและไมเทากับศูนย สรุปไดวา f เปนฟงกชันพหุนามดีกรี 2 3a + b 5a + b 7a + b 9a + b 2a 2a 2a
  • 7.
    7 ตัวอยางที่ 5 จากตารางจงพิจารณาวา y เปนคาของฟงกชันพหุนามหรือไม และ ถาเปน จงหาดีกรีของฟงกชันพหุนามนั้น x 1 2 3 4 5 6 7 8 y 2 12 36 80 150 252 392 576 วิธีทํา จากตารางพิจารณาคาของ y และผลตางคาของ y ดังนี้ x 1 2 3 4 5 6 7 8 y 2 12 36 80 150 252 392 576 ผลตางครั้งที่ 1 10 24 44 70 102 140 184 ผลตางครั้งที่ 2 14 20 26 32 38 44 ผลตางครั้งที่ 3 6 6 6 6 6 จะพบวา ผลตางครั้งที่สามของคา y เปนคาคงตัวที่ไมเทากับศูนย สรุปไดวา y เปนคาของฟงกชันพหุนามดีกรี 3 จากตัวอยางที่กลาวมา จะเห็นไดวา จากคา x และ f(x) ที่กําหนดให ถาพบวา ผลตางของคา f(x) ครั้งที่ n เปนคาคงตัวที่ไมเทากับศูนยแลว f จะเปน ฟงกชันพหุนามดีกรี n แตจะยังไมสามารถบอกไดวา f คือ ฟงกชันใด ตัวอยาง ตอไปนี้จะแสดงวิธีการหาฟงกชัน f จากคา x และ f(x) ที่กําหนดให เมื่อไดขอสรุป วา f เปนฟงกชันพหุนามดีกรี n ตัวอยางที่ 6 กําหนดคาของ x และ f(x) ดังตาราง x 1 2 3 4 5 6 f(x) 1 4 10 20 35 56
  • 8.
    8 จากคาที่กําหนดให หาผลตางของ f(x)ไดดังนี้ x 1 2 3 4 5 6 f(x) 1 4 10 20 35 56 ผลตางครั้งที่ 1 3 6 10 15 21 ผลตางครั้งที่ 2 3 4 5 6 ผลตางครั้งที่ 3 1 1 1 จะเห็นวา ผลตางครั้งที่สามของ f(x) เปนคาคงตัวที่ไมเทากับศูนย สรุปไดวา f เปนฟงกชันพหุนามดีกรี 3 จากขอสรุปขางตน จะหาฟงกชันพหุนาม f ไดโดย ให f(x) = ax3 + bx2 + cx + d จะหาคาของ a, b, c และ d ซึ่งเปนคาคงตัวไดดังนี้ เมื่อ x = 4 จะได f(4) = 20 นั่นคือ 64a + 16b + 4c + d = 20 ------------- (1) x = 3 จะได f(3) = 10 นั่นคือ 27a + 9b + 3c + d = 10 ------------- (2) x = 2 จะได f(2) = 4 นั่นคือ 8a + 4b + 2c + d = 4 ------------- (3) x = 1 จะได f(1) = 1 นั่นคือ a + b + c + d = 1 ------------- (4) (3) - (4) 7a + 3b + c = 3 ------------- (5) (2) - (3) 19a + 5b + c = 6 ------------- (6) (1) - (2) 37a + 7b + c = 10 ------------- (7) (7) - (6) 18a + 2b = 4 ------------- (8) (6) - (5) 12a + 2b = 3 ------------- (9)
  • 9.
    9 จาก (8) -(9) จะได 6a = 1 หรือ a = 1 6 แทนคา a = 1 6 จะไดวา b = 1 2 , c = 1 3 และ d = 0 นั่นคือ f(x) = 1 6 1 2 1 3 3 2 x x x+ + สําหรับการหาพจนทั่วไปของลําดับที่กําหนดใหอาจทําไดโดยการใชสมบัติ ของฟงกชันพหุนามที่กลาวมาโดยสมมติพจนทั่วไปในรูปฟงกชันพหุนามใหดังนี้ an + b เมื่อผลตางของคาของฟงกชันครั้งที่ 1 เปนคาคงตัวที่ไมเทากับศูนย an2 + bn + c เมื่อผลตางของคาของฟงกชันครั้งที่ 2 เปนคาคงตัวที่ไมเทากับศูนย an3 + bn2 + cn + d เมื่อผลตางของคาของฟงกชันครั้งที่ 3 เปนคาคงตัวที่ไมเทากับศูนย สําหรับการตัดสินใจวา จะใชพหุนามดีกรีเทาใดขึ้นอยูกับการหาผลตาง ระหวางพจนในลําดับดังตัวอยางตอไปนี้ ตัวอยางที่ 7 จงหาพจนทั่วไปของลําดับจํากัดตอไปนี้ 1) 2, 4, 6, 8, 10 2) 1, 3, 7, 13 วิธีทํา 1) จากลําดับที่กําหนดหาผลตางระหวางสองพจนติดกันไดดังนี้ 2 4 6 8 10 ผลตางครั้งที่ 1 2 2 2 2 ผลตางครั้งที่หนึ่งเปนคาคงตัวที่เทากับ 2 ในกรณีนี้จะหาพจนทั่วไปของ ลําดับที่กําหนดให โดยให an = an + b จากนั้นจึงหา a และ b โดยแทนคาของ n และ an ไดดังนี้ a1 = 2 = a + b ---------- (1) a2 = 4 = 2a + b ---------- (2) a3 = 6 = 3a + b ---------- (3) a4 = 8 = 4a + b ---------- (4) a5 = 10 = 5a + b ---------- (5)
  • 10.
    10 จากสมการ (1) และ(2) จะได a = 2, b = 0 และ an = 2n เมื่อทดลองแทน a, b ดวย 2 และ 0 ตามลําดับ ในสมการ (1) ถึง (5) ตามลําดับ จะพบวา สมการดังกลาวเปนจริง จะไดพจนทั่วไปของลําดับ 2, 4, 6, 8, 10 คือ an = 2n 2) จากลําดับที่กําหนดหาผลตางระหวางสองพจนติดกันไดดังนี้ 1 3 7 13 ผลตางครั้งที่ 1 2 4 6 ผลตางครั้งที่ 2 2 2 จะไดวา ผลตางครั้งที่สองคือ 2 เปนคาคงตัวที่ไมเทากับศูนย ให an = an2 + bn + c แทน n ในพจนทั่วไปดวย 1, 2, 3, 4 ไดดังนี้ 1 = a + b + c ---------- (1) 3 = 4a + 2b + c ---------- (2) 7 = 9a + 3b + c ---------- (3) 13 = 16a + 4b + c ---------- (4) แกระบบสมการเพื่อหา a, b และ c ไดดังนี้ (2) – (1) 2 = 3a + b ---------- (5) (3) – (2) 4 = 5a + b ---------- (6) (6) – (5) 2 = 2a หรือ a = 1 แทน a = 1 ใน (5) จะได b = –1 แทน a และ b ดวย 1 และ –1 ตามลําดับ ใน (1) จะได c = 1 ดังนั้น an = n2 – n + 1 ตรวจสอบโดยแทน n ดวย 1, 2, 3 และ 4 จะได a1, a2, a3 และ a4 ตามที่กําหนด แสดงวา พจนทั่วไปที่หาไดถูกตอง
  • 11.
    11 3. ในหนังสือเรียนไดกลาวถึงรายละเอียดของลําดับที่มีชื่อเฉพาะไวสองชนิด คือ ลําดับเลขคณิตและลําดับเรขาคณิตนอกจากลําดับทั้งสองชนิดนี้แลวยังมีลําดับอื่นที่ มีชื่อเฉพาะซึ่งอาจจะตั้งชื่อตามลักษณะของลําดับนั้น ๆ หรือตั้งตามชื่อของนักคณิตศาสตร ที่เปนผูคนพบลําดับนั้น ซึ่งนักเรียนจะไดพบในการเรียนคณิตศาสตรระดับสูงตอไป ตัวอยางของลําดับที่มีชื่อเฉพาะเหลานั้นไดแก ลําดับฮารโมนิก (Harmonic sequence) คือ ลําดับซึ่งสวนกลับของพจนทุกพจน เปนลําดับเลขคณิต เชน 1, 2 1 , 3 1 , 4 1 , ..., n 1 , ... เปนลําดับฮารโมนิก เพราะวา 1, 2, 3, 4, ..., n, ... เปนลําดับเลขคณิต ลําดับสลับ (alternating sequence) คือ ลําดับซึ่งพจนที่ n กับพจนที่ n + 1 มีเครื่องหมายตรงขามกัน เชน 1, –1, 1, –1, ..., (–1)n–1 , ... –1, 2 1 , 3 1 − , 4 1 , ..., n )1( n − , ... ลําดับฟโบนักชี (Fibonacci sequence) เปนลําดับของจํานวนเต็มบวก ซึ่งมีสมบัติ วา an = an–2 + an–1, n ≥ 3 เชน 1, 1, 2, 3, 5, ... 1, 3, 4, 7, 11, ... ลําดับโคชี (Cauchy sequence) คือ ลําดับซึ่ง an – an–1 มีคาเขาใกลหรือเทากับ ศูนย เมื่อ n มีคามากขึ้นโดยไมมีที่สิ้นสุด เชน 1, 2 1 , 4 1 , 8 1 , ..., 1n 2 1 − , ... 1, 2 1 , 3 1 , 4 1 , ..., n 1 , ... 1, 1, 1, 1 , ..., 1 , ... ผูสอนอาจยกตัวอยางของลําดับที่กลาวมาเพิ่มเติมโดยพิจารณาจากความสามารถ ของผูเรียนเปนสําคัญ
  • 12.
    12 กิจกรรมเสนอแนะ สําหรับผูเรียนที่มีความสามารถในการเรียนวิชาคณิตศาสตรนอย ผูสอนอาจตองใช กิจกรรมที่มีรูปภาพประกอบเพื่อชวยใหผูเรียนสามารถหาขอสรุปในการหาพจนทั่วไปไดงาย ขึ้นดังนี้ กิจกรรมที่ 1 เนื้อหาการหาพจนทั่วไปของลําดับ จุดประสงค เพื่อใหผูเรียนรูจักวิธีคิดและมีทักษะในการหาพจนทั่วไปของลําดับ ลักษณะกิจกรรม ผูสอนใหผูเรียนเรียนรูและสรุปความหมายของลําดับและสามารถหาพจน ถัดไปจากลําดับที่กําหนดใหจากตัวอยางและคําถามของผูสอน โดยผูสอนใชปญหานําเขาสู เนื้อหา เพื่อใหผูเรียนหาคําตอบสุดทายได กิจกรรม 1. ผูสอนใหผูเรียนชวยกันหาจํานวนรูปสี่เหลี่ยมจัตุรัสจากรูปที่กําหนดใหตอไปนี้ รูปที่ (1) (2) (3) (4) (5) 2. ผูสอนอาจใหขอแนะโดยใชคําถามตอไปนี้ 1) รูปสี่เหลี่ยมจัตุรัสในรูปที่กําหนดใหมีขนาดใดบาง 2) รูปสี่เหลี่ยมจัตุรัสแตละขนาดมีอยางละกี่รูป 4. ผูสอนใหผูเรียนหาผลรวมของจํานวนรูปสี่เหลี่ยมจัตุรัสของแตละรูปโดยใช ตารางตอไปนี้
  • 13.
    13 ขนาด ตร. หนวยจํานวนรูปสี่เหลี่ยมจัตุรัสแตละขนาด รูปที่ 1 4 9 16 25 จํานวนรูปสี่เหลี่ยมจัตุรัสทั้ง หมด 1 1 - - - - 1 2 4 1 - - - 1 + 4 = 5 3 9 4 1 - - 1 + 4 + 9 = 14 4 16 9 4 1 - 1 + 4 + 9 + 16 = 30 5 25 16 9 4 1 1 + 4 + 9 + 16 + 25 = 55 ตารางที่ 1 5. ผูสอนใหผูเรียนบอกความสัมพันธของจํานวนรูปสี่เหลี่ยมจัตุรัสที่มีขนาด 1 ตารางหนวย กับความยาวของดานของรูปสี่เหลี่ยมจัตุรัสแตละรูป ซึ่งผูเรียนควรบอกไดวา รูปที่ ความยาวของดานของ รูปสี่เหลี่ยมจัตุรัส (หนวย) จํานวนรูปสี่เหลี่ยมจัตุรัส ที่มีขนาด 1 ตารางหนวย (ตร.หนวย) 1 2 3 4 5 1 2 3 4 5 1 หรือ 12 4 หรือ 22 9 หรือ 32 16 หรือ 42 25 หรือ 52 ตารางที่ 2 ใหผูเรียนเขียนแทนจํานวนรูปสี่เหลี่ยมจัตุรัสทั้งหมดของแตละรูปจากตาราง ที่ 1 ใหอยูในรูปของผลบวกที่อยูในรูปของกําลังสองสมบูรณ ดังนี้ จํานวนรูปสี่เหลี่ยมจัตุรัสของรูปที่ 1 เทากับ 12 = 1 จํานวนรูปสี่เหลี่ยมจัตุรัสของรูปที่ 2 เทากับ 12 + 22 = 5 จํานวนรูปสี่เหลี่ยมจัตุรัสของรูปที่ 3 เทากับ 12 + 22 + 32 = 14 จํานวนรูปสี่เหลี่ยมจัตุรัสของรูปที่ 4 เทากับ 12 + 22 + 32 + 42 = 30 จํานวนรูปสี่เหลี่ยมจัตุรัสของรูปที่ 5 เทากับ 12 + 22 + 32 + 42 + 52 = 55 จากแนวคิดในการหารูปสี่เหลี่ยมจัตุรัสขางตน ผูสอนใหผูเรียนหา จํานวนรูปสี่เหลี่ยมจัตุรัสทั้งหมด เมื่อรูปสี่เหลี่ยมจัตุรัสมีขนาด 6 × 6 , 7 × 7 , 8 × 8, 9 × 9 และ 10 × 10 ตารางหนวย
  • 14.
    14 กิจกรรมเพิ่มเติม 1) ผูสอนใหผูเรียนหาจํานวนรูปสามเหลี่ยมทั้งหมดในรูปตอไปนี้ (1) (2)(3) (4) (5) 2) ผูสอนใหผูเรียนหาจํานวนรูปสี่เหลี่ยมทั้งหมดในรูปตอไปนี้ (1) (2) (3) (4) (5) กิจกรรมที่ 2 ในการเรียนการสอนเรื่องลําดับและอนุกรม ผูสอนอาจใชใบงานในการจัดกิจกรรม เชน ในตัวอยางกิจกรรมที่จะกลาวถึงตอไปนี้จะใชใบงานสามใบ โดยที่แตละใบงานมี จุดประสงคดังนี้ ใบงานที่ 1 และ 2 เพื่อใหผูเรียนเกิดทักษะในการหาพจนทั่วไปของลําดับจํากัด ใบงานที่ 3 เพื่อใหผูเรียนรูจักเชื่อมโยงความรูในเรื่องลําดับและอนุกรม และ สามารถนํามาใชในการแกปญหาได ในการใชใบงานผูสอนควรพัฒนาทักษะกระบวนการทางคณิตศาสตรไปดวย เชน ในบางกรณีที่ผูเรียนมีคําตอบที่แตกตางกันผูสอนควรใหโอกาสผูเรียนไดนําเสนอ วิธีการคิดพรอมทั้งแสดงความสามารถในการใหเหตุผล
  • 15.
    15 ใบงานที่ 1 1. พิจารณาแบบรูปตอไปนี้และจงเขียนรูปที่ (4), (5) และ (6) (1) (2) (3) 2. จงเติมจํานวนรูปสี่เหลี่ยมจัตุรัสในตารางตอไปนี้ รูปที่ จํานวน รูปสี่เหลี่ยมจัตุรัส ความสัมพันธของรูปที่ (n) และจํานวนรูปสี่เหลี่ยมจัตุรัส ในแตละรูป 1 1 1 2 5 1 + 4 = 1 + (4 × 1) 3 9 1 + 8 = 1 + (4 × 2) 4 5 6 3. จากแบบรูปที่กําหนดให จงหาวา รูปที่ (10) และ (20) ควรจะมีจํานวนรูปสี่เหลี่ยมจัตุรัส เทาใดในแตละรูป 4. จงหาจํานวนรูปสี่เหลี่ยมจัตุรัสของรูปที่ (n)
  • 16.
    16 ใบงานที่ 2 (1) (2)(3) ในรูปที่ (1) มีจํานวนจุด 3 จุด และมีจํานวนเสนที่เชื่อมจุดเทากับ 3 เสน 1. จงเติมจํานวนจุดและเสนในตารางที่กําหนดใหตอไปนี้ พรอมทั้งหาความสัมพันธ 2. จงหาจํานวนจุดและจํานวนเสนที่เชื่อมระหวางจุดในรูปที่ (10) และรูปที่ (25) 3. จงหาจํานวนจุดและจํานวนเสนเชื่อมระหวางจุดในรูปที่ (n) รูปที่ จน.จุด ความสัมพันธระหวางรูปที่ กําหนดและจํานวนจุด 1 3 1+2 = 1+2 (1) 2 5 1+4 = 1+2(2) 3 7 1+6 = 1+2(3) 4 5 6 รูปที่ จน. เสนเชื่อม ระหวางจุด ความสัมพันธระหวางรูปที่ กําหนดและจํานวนเสนเชื่อมจุด 1 3 3 × 1 2 6 3 × 2 3 9 3 × 3 4 5 6
  • 17.
    17 ใบงานที่ 3 (1) (2) ใหS(1) แทนผลบวกที่กําหนดใหในตารางที่ (1) S(2) แทนผลบวกที่กําหนดใหในตารางที่ (2) 1. จงหาผลบวกในตารางที่ (1) และ (2) 2. จงอธิบายวา ผลบวก S(1) และ S(2) มีความสัมพันธกันอยางไร 3. 1, 2, 3, 4, ..., 10 เปนลําดับเลขคณิตหรือไม 4. จงหาผลบวกของ 10 พจนแรกของอนุกรม 1 + 2 + 3 + 4 + ... + 10 5. จงหาผลบวกของอนุกรม 13 + 23 + 33 + 43 + ... + 103 โดยใชความสัมพันธในขอ 2 6. ถา 13 + 23 + 33 + 43 + ... + n3 = 44,100 จงหาคาของ 1 + 2 + 3 + 4 + ... + n ในการหาพจนถัดไปของลําดับที่กําหนดใหโดยใชการสังเกตความสัมพันธของพจน ผูสอนอาจใชวิธีการในกิจกรรมตอไปนี้เพื่อชวยใหผูเรียนสามารถหาพจนถัดไปของลําดับที่ กําหนดใหไดงายขึ้นดังนี้ อนุกรม S(1) 1 1 1 + 2 3 1 + 2 + 3 6 1 + 2 + 3 + 4 1 + 2 + 3 + 4 + 5 1 + 2 + 3 + 4 + 5 + 6 อนุกรม S(2) 13 1 13 + 23 9 13 + 23 + 33 36 13 + 23 + 33 + 43 13 + 23 + 33 + 43 + 53 13 + 23 + 33 + 43 + 53 + 63
  • 18.
    18 กิจกรรมที่ 3 เนื้อหา ความหมายของลําดับและการหาพจนทั่วไปของลําดับ จุดประสงค เพื่อใหผูเรียนเขาใจความหมายของลําดับและรูจักวิธีการหาพจนทั่วไป ของลําดับจํากัด ความหมายของลําดับ ผูสอนใหผูเรียนเขียนจํานวนตอไปนี้ 1) จํานวนนับ 1 , 2 , 3 , 4 , 5 , ... 2) จํานวนเต็มบวกที่เปนจํานวนคู 2 , 4 , 6 , 8 , 10 , ... 3) จํานวนเต็มบวกที่เปนจํานวนคี่ 1 , 3 , 5 , 7 , 9 , ... 4) จํานวนเต็มบวกที่เขียนไดในรูปกําลังสองสมบูรณ 1 , 4 , 9 , 16 , 25 , ... ผูสอนแนะนําวาจํานวนที่เขียนอยูในแบบรูปขางตนเรียกวา ลําดับของจํานวน และ แตละจํานวนในลําดับเรียกวา พจน 5) ผูสอนใหผูเรียนหาจํานวนถัดไปของลําดับตอไปนี้ พรอมทั้งบอกเหตุผลประกอบ 1) 5 , 10 , 15 , 20 คําตอบ : จํานวนถัดไปคือ 25 เหตุผล : ผลตางของแตละจํานวนเทากับ 5 และ 20 + 5 = 25 2) 1 , 8 , 27 , 64 คําตอบ : จํานวนถัดไปคือ 125 เหตุผล : แตละจํานวนเขียนอยูในรูปกําลังสามของจํานวนเต็ม จํานวนถัดไปคือ พจนที่ 5 ซึ่งมีคาเทากับ 53 ผูสอนใหผูเรียนหาจํานวนถัดไปของลําดับตอไปนี้ พรอมทั้งใหเหตุผลประกอบคําตอบ 1) 7 , 14 , 21 , 28 5) 8 , 64 , 216 , 512 2) 4 , 16 , 36 , 64 6) 4 , 9 , 25 , 49 3) 1 , 27 , 125 , 343 7) 11 , 22 , 33 , 44 4) 1 , 3 , 9 , 27 8) 1 , 9 , 36 , 100
  • 19.
    19 ในกรณีที่ผูเรียนไมสามารถหาคําตอบได ผูสอนอาจแนะนําวิธีการสังเกต โดยการ ยกตัวอยางที่หลากหลายเพื่อใหผูเรียนหาขอสรุปและคําตอบที่ตองการไดดังนี้ พิจารณาผลตางของจํานวนในพจนที่อยูถัดไปแตละคูวาผลตางดังกลาวมีคาเพิ่มขึ้น หรือลดลง ในกรณีที่พจนถัดไปมีคาเพิ่มขึ้น พจนที่อยูถัดไปอาจจะไดจากการบวกหรือคูณพจน กอนหนานั้นดวย จํานวนใดจํานวนหนึ่ง ในกรณีที่พจนถัดไปมีคานอยลง พจนที่อยูถัดไปอาจจะไดจากการลบหรือหารพจน กอนหนานั้นดวยจํานวนใดจํานวนหนึ่ง จากการสังเกตดวยวิธีการที่กลาวมาจะชวยทําใหไดขอสรุปที่งายขึ้นดังตัวอยางตอไปนี้ จงหาพจนถัดไปของลําดับตอไปนี้ 1) 1 , 4 , 7 , 10 พิจารณาผลตางของพจนแตละคูในลําดับ 1 , 4 , 7 , 10 1 4 7 10 3 3 3 3 พบวาลําดับของผลตางมีคาเพิ่มขึ้นคงที่เทากับ 3 นั่นคือพจนที่อยูถัดไปจะไดจากการนํา 3 ไปบวกกับจํานวนที่อยูในพจนกอนหนานั้น ดังนั้น พจนถัดไปคือ 10 + 3 หรือ 13 2) 100 , 99 , 97 , 94 พิจารณาผลตางของแตละพจนในลําดับ 100 , 99 , 97 , 94 100 99 97 94 -1 -2 -3 -4 พบวาลําดับของผลตางมีคาลดลงทีละ 1 ไปเรื่อย ๆ และพจนถัดจาก 94 ควรจะมีคาลดลงจาก 94 เทากับ 4 นั่นคือ มีคาเทากับ 94 – 4 หรือ 90
  • 20.
    20 จงหาพจนถัดไปของลําดับตอไปนี้อีก 2 พจน 1)1 , 3 , 7 , 13 คําตอบ 1 3 7 13 21 31 2 4 6 8 10 พจนถัดไปจะไดจากการบวกพจนกอนหนานั้นดังนี้ 13 + 8 = 21 และ 21 + 10 = 31 2) 16 , 8 , 4 , 2 คําตอบ 16 8 4 2 1 1 2 ÷2 ÷2 ÷2 ÷2 ÷2 พจนถัดไปจะไดจากผลหารของพจนกอนหนานั้นดวย 2 3) 2 , 20 , 200 , 2000 คําตอบ 2 20 200 2000 20000 200000 ×10 ×10 ×10 ×10 ×10 พจนถัดไปจะไดจากผลคูณของพจนกอนหนานั้นดวย 10 เมื่อผูเรียนมีความเขาใจในวิธีการหาพจนทั่วไปของลําดับจํากัดจากตัวอยางที่ผูสอน นําเสนอแลว ผูสอนอาจใหโจทยเพิ่มเติม โดยพิจารณาจากความสามารถของผูเรียน เพื่อให ผูเรียนไดฝกทักษะดังนี้
  • 21.
    21 จงหาพจนถัดไปของลําดับตอไปนี้ 1) 2 ,6 , 10 , 14 10) 20 , 10 , 5 , 2.5 2) 200 , 195 , 190 , 185 11) 2 , 3 , 6 , 11 3) 1 , 4 , 16 , 64 12) 3 , 5 , 9 , 15 4) 729 , 243 , 81 , 27 13) 4 , 7 , 12 , 19 5) 2 , 7 , 17 , 32 14) 50 , 49 , 47 , 44 6) 5 , 10 , 30 , 120 15) 60 , 58 , 54 , 48 7) 5 , 4 , 1 , -4 16) 5 , 9 , 17 , 29 8) 100 , 98 , 94 , 88 17) 8 , 13 , 23 , 38 9) 7 , 7 , 14 , 42 18) 78 , 75 , 69 , 60 คําตอบ 1) 18 2) 180 3) 256 4) 9 5) 52 6) 600 7) –11 8) 80 9) 168 10) 1.25 11) 18 12) 23 13) 28 14) 40 15) 40 16) 45 17) 58 18) 48 สําหรับบางชั้นเรียนที่ผูเรียนมีความสนใจในเรื่องการหาพจนทั่วไปของลําดับ ผูสอน อาจเพิ่มการหาพจนถัดไปจากลําดับที่กําหนดใหโดยวิธีพิจารณาจากผลตางของพจนจากตัวอยาง ที่กลาวมาแลว ซึ่งบางครั้งอาจยังไมสามารถสรุปคําตอบได ในกรณี เชนนี้อาจจะใชวิธีพิจารณาลําดับของผลตางที่ไดอีกครั้ง ดังตัวอยางตอไปนี้ ตัวอยาง จงหาพจนถัดไปของลําดับ 3 , 9 , 19 , 37 , 67 พิจารณาผลตางของลําดับ 3 , 9 , 19 , 37 , 67 3 9 19 37 67 6 10 18 30
  • 22.
    22 พบวาผลตางมีคาเพิ่มขึ้น แตยังไมสามารถหาพจนถัดจาก 67ได เพราะไมสามารถบอกไดวา พจนถัดไปของลําดับ 6, 10, 18, 30 คือจํานวนใด พิจารณาผลตางของลําดับ 6 , 10 , 18 , 30 6 10 18 30 4 8 12 พบวา ผลตางของลําดับมีคาเพิ่มขึ้นครั้งละ 4 นั่นคือ จากพจนแรกคือ 4 พจนถัดไปไดจากผลบวกของพจนแรกคือ 4 บวกกับ 4 ซึ่งเทากับ 8 และพจนถัดไปคือ 8 + 4 ซึ่งเทากับ 12 ในทํานองเดียวกัน พจนถัดไปของ 12 จะเทากับ 12 + 4 หรือ 16* 3 9 19 37 67 6 10 18 30 4 8 12 16 * จาก 16 * จะสามารถหาพจนถัดไปของลําดับของผลตางครั้งแรก คือ 30 พจนถัดไปไดจากผลบวกของ 30 + 16 ซึ่งเทากับ 46** 3 9 19 37 67 6 10 18 30 46 ** 4 8 12 16 * และจาก 46** เราสามารถหาพจนถัดไปของลําดับ 3, 9, 19, 37, 67 พจนถัดไปไดจาก 67 + 46 ซึ่งเทากับ 113
  • 23.
    23 3 9 1937 67 113 6 10 18 30 46 ** 4 8 12 16 * และดวยวิธีการเดียวกันนี้ จะสามารถหาพจนถัดไปของลําดับ 3, 9, 19, 37, 67 ไดอีกดังนี้ ลําดับของผลตางครั้งที่สอง คือ 4 , 8 , 12 , 16 , 20 , 24 ลําดับของผลตางครั้งที่หนึ่ง คือ 6 , 10 , 18 , 30 , 46 , 66 , 90 จากผลตางครั้งที่ 1 และ 2 หาพจนถัดไปของลําดับ 3, 9, 19, 37, 67, 113 ไดดังนี้ 3 9 19 37 67 113 179 269 6 10 18 30 46 66 90 4 8 12 16 20 24 จะไดลําดับ 3 , 9 , 19 , 37 , 67 , 113 , 179 , 269 สําหรับลําดับที่กําหนดใหบางลําดับอาจจะตองใชวิธีเดียวกับที่กลาวมาขางตน หาผลตางครั้งที่ 3 หรือมากกวานั้นเพื่อหาพจนถัดไป ดังตัวอยางตอไปนี้ ตัวอยาง จงหาพจนถัดไปที่กําหนดให โดยใชวิธีพิจารณาผลตางของพจนที่อยูถัดกัน 1 1 2 3 5 8 13 21 34 0 1 1 2 3 5 8 13 1 0 1 1 2 3 5 -1 1 0 1 1 2
  • 24.
    24 ลําดับของผลตางครั้งที่ 1 คือ0 , 1 , 1 , 2 , 3 , 5 , 8 , 13 ลําดับของผลตางครั้งที่ 2 คือ 1 , 0 , 1 , 1 , 2 , 3 , 5 ลําดับของผลตางครั้งที่ 3 คือ -1 , 1 , 0 , 1 , 1 , 2 มีขอสังเกต จากลําดับของผลตางครั้งที่ 3 ซึ่งเทากับ -1, 1, 0, 1, 1, 2 ดังนี้ พจนที่ 3 คือ 0 ไดจาก ผลบวกของจํานวนในพจนที่ 1 และ 2 -1 +1 = 0 พจนที่ 4 คือ 1 ไดจาก ผลบวกของจํานวนในพจนที่ 2 และ 3 1 + 0 = 1 พจนที่ 5 คือ 1 ไดจาก ผลบวกของจํานวนในพจนที่ 3 และ 4 0 + 1 = 1 พจนที่ 6 คือ 2 ไดจาก ผลบวกของจํานวนในพจนที่ 4 และ 5 1 + 1 = 2 ผูสอนใหผูเรียนหาพจนถัดไปของลําดับที่กําหนดใหดังนี้ จากลําดับผลตางครั้งที่ 3 พจนถัดไปของลําดับ -1, 1, 0, 1, 1, 2 คือ 3* และจะไดพจนถัดไปของลําดับของผลตางครั้งที่ 2 เทากับ 8** พจนถัดไปของลําดับของผลตางครั้งที่ 1 เทากับ 21*** นั่นคือพจนถัดไปของลําดับ 1 , 1 , 2 , 3 , 5 , 8 , 13 , 21 , 34 เทากับ 21 + 34 หรือ 55 1 1 2 3 5 8 13 21 34 55 0 1 1 2 3 5 8 13 21*** 1 0 1 1 2 3 5 8** -1 1 0 1 1 2 3*
  • 25.
    25 โจทยเพิ่มเติม จงหาพจนถัดไปของลําดับที่กําหนดใหตอไปนี้ 1) 2 ,11 , 26 , 47, 74 5) 2 , 9 , 20 , 37 , 62 2) 3 , 12 , 23 , 37 , 55 6) 2 , 6 , 15 , 34 , 68 3) 1 , 9 , 18 , 30 , 47 7) 3 , 3 , 6 , 9 , 15 4) 4 , 7 , 12 , 19 , 28 8) 4 , 6 , 10 , 16 , 26 คําตอบ 1) 107 2) 78 3) 71 4) 39 5) 97 6) 122 7) 24 8) 42
  • 26.
    26 ตัวอยางแบบทดสอบประจําบท 1. จงเขียนพจนที่ 1,2 และ 3 ของลําดับตอไปนี้ 1) an = n 2 2) an = 2 – 3n 3) an = n(n – 1) 2. จงหาพจนที่ 5 ของลําดับที่กําหนดใหตอไปนี้ 1) 1, 6, 11, 16 2) 3 1 , 5 4 , 7 9 , 9 16 3. จงหาวา 64 เปนพจนที่เทาใดของลําดับ an = 5n + 4 4. จงหาพจนทั่วไปของลําดับตอไปนี้ 1) 0, 1, 2, 3 2) 2 1 , 3 2 , 4 3 , 5 4 5. จงหาผลตางรวมและพจนที่ n ของลําดับเลขคณิตตอไปนี้ 1) 1, 4, 7, 10, ... 2) 14, 8, 2, –4, ... 6. จงหาอัตราสวนรวมและพจนที่ n ของลําดับเรขาคณิตตอไปนี้ 1) 2 1 , 2 5 , 2 25 , 2 125 , ... 2) 10, 5, 2 5 , 4 5 , ... 7. จงหาวาลําดับที่กําหนดใหตอไปนี้ มีลําดับใดเปนลําดับเลขคณิต ลําดับใดเปนลําดับ เรขาคณิต 1) 15, 30, 60, 120, ... 2) 15, 30, 45, 60, ... 3) 15, 30, 90, 360, ...
  • 27.
    27 8. ในชั้นเรียนหนึ่งมีนักเรียนทั้งหมด 35คน ถานักเรียนคนที่ 1, 2, 3, 4, ..., 35 นับ 3, 6, 9, 12, ... เรื่อย ๆ ไป ถามวา คนที่ 35 จะนับจํานวนใด 9. ถา 3 และ 1 27 เปนพจนที่ 1 และพจนที่ 5 ในลําดับเรขาคณิต จงหาพจนที่ 2, 3 และ 4 ของลําดับเรขาคณิตนี้ 10. จงหาผลบวกของจํานวนคูทั้งหมดที่มีคาอยูระหวาง 41 และ 101 11. จงหาผลบวกของ 7 พจนแรกของอนุกรมที่กําหนดใหดังนี้ 4 + 4⋅31 + 4⋅32 + 4⋅33 + … + 4⋅36 12. ถาในการแขงฟุตบอลของโรงเรียนระดับประเทศครั้งหนึ่ง มีผูเขาแขงขันทั้งหมด 64 ทีม โดยในการแขงขันแตละครั้ง (ครั้งละ 2 ทีม) ทีมที่ชนะจะไดแขงขันในรอบตอไป ถามวา จะตองจัดการแขงขันทั้งหมดกี่ครั้ง จึงจะไดทีมที่ชนะเลิศ ตัวอยางเชน ถามีทั้งหมด 8 ทีม จะตองจัดการแขงขันทั้งหมด ดังนี้ จากแผนภาพพบวา จะตองจัดการแขงขันทั้งหมด 4 + 2 + 1 = 7 ครั้ง 1 ครั้ง 2 ครั้ง 4 ครั้ง ทีมที่ชนะเลิศ
  • 28.
    28 เฉลยตัวอยางแบบทดสอบประจําบท 1. 1) an= 2 n a1 = 2 1 = 2 a2 = 2 2 = 1 a3 = 2 3 2) an = 2 – 3n a1 = 2 – 3(1) = –1 a2 = 2 – 3(2) = –4 a3 = 2 – 3(3) = –7 3) an = n(n – 1) a1 = 1(1 – 1) = 0 a2 = 2(2 – 1) = 2 a3 = 3(3 – 1) = 6 2. 1) 21 2) 25 11 3. จาก an = 5n + 4 จะได 64 = 5n + 4 5n = 60 n = 12 จะไดวา 64 เปนพจนที่ 12 ของลําดับ an = 5n + 4 ตรวจสอบคําตอบ a12 = 5(12) + 4 = 64
  • 29.
    29 4. 1) an= n – 1 2) an = n n 1+ 5. 1) ผลตางรวมของลําดับ 1, 4, 7, 10, ... เทากับ 3 จาก an = a1 + (n – 1)d เมื่อ a1 = 1 และ d = 3 จะได an = 1 + (n – 1)3 = 3n – 2 2) ผลตางรวมของลําดับ 14, 8, 2, –4, ... เทากับ –6 จาก an = a1 + (n – 1)d เมื่อ a1 = 14 และ d = –6 จะได an = 14 + (n – 1)(–6) = 14 – 6n + 6 = 20 – 6n 6. 1) อัตราสวนรวมของลําดับ 1 5 25 125 , , , 2 2 2 2 หาไดจาก 5 1 2 2 ÷ = 25 5 2 2 ÷ = 125 25 2 2 ÷ = 5 จาก an = a1rn–1 เมื่อ a1 = 1 2 และ r = 5 จะได an = n 11 (5) 2 − 2) อัตราสวนรวมของลําดับ 10, 5, 5 2 , 5 4 , ... หาไดจาก 5 10 = 5 5 2 ÷ = 5 5 4 2 ÷ = 1 2 จาก an = a1rn–1 เมื่อ a1 = 10 และ r = 1 2 จะได an = n 11 10( ) 2 −
  • 30.
    30 7. 1) ลําดับเรขาคณิตที่มีอัตราสวนรวมเทากับ2 2) ลําดับเลขคณิตที่มีผลตางรวมเทากับ 15 3) ไมเปนทั้งลําดับเลขคณิตและลําดับเรขาคณิต 8. พิจารณาลําดับ 3, 6, 9, 12, ... พบวา ลําดับดังกลาวเปนลําดับเลขคณิตที่มีผลตางรวม เทากับ 3 จาก an = a1 + (n – 1)d เมื่อ a = 3 และ d = 3 จะได a35 = 3 + (35 – 1)(3) = 105 ดังนั้น คนที่ 35 จะตองนับ 105 9. พิจารณาลําดับเรขาคณิต 3, a2, a3, a4, 1 27 จาก an = a1rn–1 จะได 1 27 = 3r5–1 r4 = 4 1 3 = 41 ( ) 3 r = 1 3 จะได an = n 11 3( ) 3 − a1 = 3 a2 = 1 a3 = 1 3 a4 = 1 9 และ a5 = 1 27 นั่นคือ 1, 1 3 , 1 9 เปนพจนสามพจนในลําดับเรขาคณิตที่เรียงอยูระหวาง 1 และ 1 27
  • 31.
    31 10. พิจารณาลําดับของจํานวนคูที่มีคาอยูระหวาง 41และ 101 จะไดลําดับ 42, 44, 46, ..., 100 เนื่องจากลําดับขางตนเปนลําดับเลขคณิตที่มีผลตางรวมเทากับ 2 จาก an = a1 + (n – 1)d จะได 100 = 42 + (n – 1)2 100 = 2n + 40 และ n = 30 จาก Sn = n 2 (a1 + an) จะได S30 = 30 2 (42 + 100) = 15(142) = 2130 นั่นคือ ผลบวกของจํานวนคูที่มีคาอยูระหวาง 41 และ 101 จะมีคาเปน 2130 11. จากอนุกรม 4 + 4⋅31 + 4⋅32 + … + 4⋅36 ซึ่งเปนอนุกรมเรขาคณิตที่มี a1 = 4 , r = 3 และ sn = n 1a (r 1) r 1 − − จะได s7 = 7 4(1 3 ) 1 3 − − = 2(37 – 1) = 4372
  • 32.
    32 12. ถามีทีมทั้งหมด 64ทีม จะตองจัดการแขงขันครั้งแรกเทากับ 64 ÷ 2 = 32 หรือ 25 ครั้ง นั่นคือ จะตองจัดการแขงขันทั้งหมด 1 + 21 + 22 + 23 + 24 + 25 ครั้ง ซึ่งผลบวกขางตนอยูในรูปอนุกรมเรขาคณิตที่มี a1 = 1 , r = 2 และ n = 5 จาก sn = n 1a (r 1) r 1 − − จะได s5 = 5 1(2 1) 2 1 − − = 63 ดังนั้น จะตองจัดการแขงขันทั้งหมด 63 ครั้ง จึงจะไดทีมที่ชนะเลิศ ทีมที่ชนะเลิศ 1 ครั้ง 21 ครั้ง 22 ครั้ง 23 ครั้ง 24 ครั้ง 25 ครั้ง
  • 33.
    26 ตัวอยางแบบทดสอบประจําบท 1. จงเขียนพจนที่ 1,2 และ 3 ของลําดับตอไปนี้ 1) an = n 2 2) an = 2 – 3n 3) an = n(n – 1) 2. จงหาพจนที่ 5 ของลําดับที่กําหนดใหตอไปนี้ 1) 1, 6, 11, 16 2) 3 1 , 5 4 , 7 9 , 9 16 3. จงหาวา 64 เปนพจนที่เทาใดของลําดับ an = 5n + 4 4. จงหาพจนทั่วไปของลําดับตอไปนี้ 1) 0, 1, 2, 3 2) 2 1 , 3 2 , 4 3 , 5 4 5. จงหาผลตางรวมและพจนที่ n ของลําดับเลขคณิตตอไปนี้ 1) 1, 4, 7, 10, ... 2) 14, 8, 2, –4, ... 6. จงหาอัตราสวนรวมและพจนที่ n ของลําดับเรขาคณิตตอไปนี้ 1) 2 1 , 2 5 , 2 25 , 2 125 , ... 2) 10, 5, 2 5 , 4 5 , ... 7. จงหาวาลําดับที่กําหนดใหตอไปนี้ มีลําดับใดเปนลําดับเลขคณิต ลําดับใดเปนลําดับ เรขาคณิต 1) 15, 30, 60, 120, ... 2) 15, 30, 45, 60, ... 3) 15, 30, 90, 360, ...
  • 34.
    27 8. ในชั้นเรียนหนึ่งมีนักเรียนทั้งหมด 35คน ถานักเรียนคนที่ 1, 2, 3, 4, ..., 35 นับ 3, 6, 9, 12, ... เรื่อย ๆ ไป ถามวา คนที่ 35 จะนับจํานวนใด 9. ถา 3 และ 1 27 เปนพจนที่ 1 และพจนที่ 5 ในลําดับเรขาคณิต จงหาพจนที่ 2, 3 และ 4 ของลําดับเรขาคณิตนี้ 10. จงหาผลบวกของจํานวนคูทั้งหมดที่มีคาอยูระหวาง 41 และ 101 11. จงหาผลบวกของ 7 พจนแรกของอนุกรมที่กําหนดใหดังนี้ 4 + 4⋅31 + 4⋅32 + 4⋅33 + … + 4⋅36 12. ถาในการแขงฟุตบอลของโรงเรียนระดับประเทศครั้งหนึ่ง มีผูเขาแขงขันทั้งหมด 64 ทีม โดยในการแขงขันแตละครั้ง (ครั้งละ 2 ทีม) ทีมที่ชนะจะไดแขงขันในรอบตอไป ถามวา จะตองจัดการแขงขันทั้งหมดกี่ครั้ง จึงจะไดทีมที่ชนะเลิศ ตัวอยางเชน ถามีทั้งหมด 8 ทีม จะตองจัดการแขงขันทั้งหมด ดังนี้ จากแผนภาพพบวา จะตองจัดการแขงขันทั้งหมด 4 + 2 + 1 = 7 ครั้ง 1 ครั้ง 2 ครั้ง 4 ครั้ง ทีมที่ชนะเลิศ
  • 35.
    28 เฉลยตัวอยางแบบทดสอบประจําบท 1. 1) an= 2 n a1 = 2 1 = 2 a2 = 2 2 = 1 a3 = 2 3 2) an = 2 – 3n a1 = 2 – 3(1) = –1 a2 = 2 – 3(2) = –4 a3 = 2 – 3(3) = –7 3) an = n(n – 1) a1 = 1(1 – 1) = 0 a2 = 2(2 – 1) = 2 a3 = 3(3 – 1) = 6 2. 1) 21 2) 25 11 3. จาก an = 5n + 4 จะได 64 = 5n + 4 5n = 60 n = 12 จะไดวา 64 เปนพจนที่ 12 ของลําดับ an = 5n + 4 ตรวจสอบคําตอบ a12 = 5(12) + 4 = 64
  • 36.
    29 4. 1) an= n – 1 2) an = n n 1+ 5. 1) ผลตางรวมของลําดับ 1, 4, 7, 10, ... เทากับ 3 จาก an = a1 + (n – 1)d เมื่อ a1 = 1 และ d = 3 จะได an = 1 + (n – 1)3 = 3n – 2 2) ผลตางรวมของลําดับ 14, 8, 2, –4, ... เทากับ –6 จาก an = a1 + (n – 1)d เมื่อ a1 = 14 และ d = –6 จะได an = 14 + (n – 1)(–6) = 14 – 6n + 6 = 20 – 6n 6. 1) อัตราสวนรวมของลําดับ 1 5 25 125 , , , 2 2 2 2 หาไดจาก 5 1 2 2 ÷ = 25 5 2 2 ÷ = 125 25 2 2 ÷ = 5 จาก an = a1rn–1 เมื่อ a1 = 1 2 และ r = 5 จะได an = n 11 (5) 2 − 2) อัตราสวนรวมของลําดับ 10, 5, 5 2 , 5 4 , ... หาไดจาก 5 10 = 5 5 2 ÷ = 5 5 4 2 ÷ = 1 2 จาก an = a1rn–1 เมื่อ a1 = 10 และ r = 1 2 จะได an = n 11 10( ) 2 −
  • 37.
    30 7. 1) ลําดับเรขาคณิตที่มีอัตราสวนรวมเทากับ2 2) ลําดับเลขคณิตที่มีผลตางรวมเทากับ 15 3) ไมเปนทั้งลําดับเลขคณิตและลําดับเรขาคณิต 8. พิจารณาลําดับ 3, 6, 9, 12, ... พบวา ลําดับดังกลาวเปนลําดับเลขคณิตที่มีผลตางรวม เทากับ 3 จาก an = a1 + (n – 1)d เมื่อ a = 3 และ d = 3 จะได a35 = 3 + (35 – 1)(3) = 105 ดังนั้น คนที่ 35 จะตองนับ 105 9. พิจารณาลําดับเรขาคณิต 3, a2, a3, a4, 1 27 จาก an = a1rn–1 จะได 1 27 = 3r5–1 r4 = 4 1 3 = 41 ( ) 3 r = 1 3 จะได an = n 11 3( ) 3 − a1 = 3 a2 = 1 a3 = 1 3 a4 = 1 9 และ a5 = 1 27 นั่นคือ 1, 1 3 , 1 9 เปนพจนสามพจนในลําดับเรขาคณิตที่เรียงอยูระหวาง 1 และ 1 27
  • 38.
    31 10. พิจารณาลําดับของจํานวนคูที่มีคาอยูระหวาง 41และ 101 จะไดลําดับ 42, 44, 46, ..., 100 เนื่องจากลําดับขางตนเปนลําดับเลขคณิตที่มีผลตางรวมเทากับ 2 จาก an = a1 + (n – 1)d จะได 100 = 42 + (n – 1)2 100 = 2n + 40 และ n = 30 จาก Sn = n 2 (a1 + an) จะได S30 = 30 2 (42 + 100) = 15(142) = 2130 นั่นคือ ผลบวกของจํานวนคูที่มีคาอยูระหวาง 41 และ 101 จะมีคาเปน 2130 11. จากอนุกรม 4 + 4⋅31 + 4⋅32 + … + 4⋅36 ซึ่งเปนอนุกรมเรขาคณิตที่มี a1 = 4 , r = 3 และ sn = n 1a (r 1) r 1 − − จะได s7 = 7 4(1 3 ) 1 3 − − = 2(37 – 1) = 4372
  • 39.
    32 12. ถามีทีมทั้งหมด 64ทีม จะตองจัดการแขงขันครั้งแรกเทากับ 64 ÷ 2 = 32 หรือ 25 ครั้ง นั่นคือ จะตองจัดการแขงขันทั้งหมด 1 + 21 + 22 + 23 + 24 + 25 ครั้ง ซึ่งผลบวกขางตนอยูในรูปอนุกรมเรขาคณิตที่มี a1 = 1 , r = 2 และ n = 5 จาก sn = n 1a (r 1) r 1 − − จะได s5 = 5 1(2 1) 2 1 − − = 63 ดังนั้น จะตองจัดการแขงขันทั้งหมด 63 ครั้ง จึงจะไดทีมที่ชนะเลิศ ทีมที่ชนะเลิศ 1 ครั้ง 21 ครั้ง 22 ครั้ง 23 ครั้ง 24 ครั้ง 25 ครั้ง
  • 40.
    33 เฉลยแบบฝกหัด 1.1.1 1. 1)จาก an = 2n + 5 จะได a1 = 2(1) + 5 = 7 a2 = 2(2) + 5 = 9 a3 = 2(3) + 5 = 11 a4 = 2(4) + 5 = 13 ดังนั้น 4 พจนแรกของลําดับนี้คือ 7, 9, 11, 13 2) จาก an = n 2 1       จะได a1 = 1 2 1       = 2 1 a2 = 2 2 1       = 4 1 a3 = 3 2 1       = 8 1 a4 = 4 2 1       = 16 1 ดังนั้น 4 พจนแรกของลําดับนี้คือ 2 1 , 4 1 , 8 1 , 16 1 3) จาก an = (–2)n จะได a1 = (–2)1 = –2 a2 = (–2)2 = 4 a3 = (–2)3 = –8 a4 = (–2)4 = 16 ดังนั้น 4 พจนแรกของลําดับนี้คือ –2, 4, –8, 16 4) จาก an = n 1n + จะได a1 = 1 11+ = 2 a2 = 2 12+ = 2 3
  • 41.
    34 a3 = 3 13+ =3 4 a4 = 4 14+ = 4 5 ดังนั้น 4 พจนแรกของลําดับนี้คือ 2, 2 3 , 3 4 , 4 5 5) จาก an = n )1(1 n −+ จะได a1 = 1 )1(1 1 −+ = 0 a2 = 2 )1(1 2 −+ = 1 a3 = 3 )1(1 3 −+ = 0 a4 = 4 )1(1 4 −+ = 2 1 ดังนั้น 4 พจนแรกของลําดับนี้คือ 0, 1, 0, 2 1 6) จาก an = n n 3 2 จะได a1 = 1 1 2 3 = 3 2 a2 = 2 2 3 2 = 9 4 a3 = 3 3 3 2 = 27 8 a4 = 4 4 3 2 = 81 16 ดังนั้น 4 พจนแรกของลําดับนี้คือ 3 2 , 9 4 , 27 8 , 81 16 7) จาก an = (n – 1)(n + 1) จะได a1 = (1 – 1)(1 + 1) = 0 a2 = (2 – 1)(2 + 1) = 3 a3 = (3 – 1)(3 + 1) = 8 a4 = (4 – 1)(4 + 1) = 15 ดังนั้น 4 พจนแรกของลําดับนี้คือ 0, 3, 8, 15
  • 42.
    35 8) จาก an= n(n – 1)(n – 2) จะได a1 = 1(1 – 1)(1 – 2) = 0 a2 = 2(2 – 1)(2 – 2) = 0 a3 = 3(3 – 1)(3 – 2) = 6 a4 = 4(4 – 1)(4 – 2) = 24 ดังนั้น 4 พจนแรกของลําดับนี้คือ 0, 0, 6, 24 2. 1) 2 , 6 , 10 , 14 , 18 , 22 +4 +4 +4 +4 +4 2) 200 , 195 , 190 , 185 , 180 , 175 –5 –5 –5 –5 –5 3) 1 , 4 , 16 , 64 , 256 , 1024 ×4 ×4 ×4 ×4 ×4 4) 729 , 243 , 81 , 27 , 9 , 3 ÷3 ÷3 ÷3 ÷3 ÷3 5) 2 , 7 , 17 , 32 , 52 , 77 +5 +10 +15 +20 +25 6) 5 , 10 , 30 , 120 , 600 , 3600 ×2 ×3 ×4 ×5 ×6 7) 5 , 4 , 1 , –4 , –11 , –20 –1 –3 –5 –7 –9 8) 100 , 98 , 94 , 88 , 80 , 70 –2 –4 –6 –8 –10
  • 43.
    36 เฉลยแบบฝกหัด 1.1.2 1. 1)an = 4n – 2 a1 = 4(1) – 2 = 2 a2 = 4(2) – 2 = 6 a3 = 4(3) – 2 = 10 a4 = 4(4) – 2 = 14 2) an = n(n – 1) a1 = 1(1 – 1) = 0 a2 = 2(2 – 1) = 2 a3 = 3(3 – 1) = 6 a4 = 4(4 – 1) = 12 3) an = 2n n 1+ a1 = 2(1) 1 1+ = 1 a2 = 2(2) 2 1+ = 4 3 a3 = 2(3) 3 1+ = 3 2 a4 = 2(4) 4 1+ = 8 5 4) an = n 1 2       a1 = 1 1 2       = 1 2 a2 = 2 1 2       = 1 4 a3 = 3 1 2       = 1 8 a4 = 4 1 2       = 1 16
  • 44.
    37 5) an =(–1)n a1 = (–1)1 = –1 a2 = (–1)2 = 1 a3 = (–1)3 = –1 a4 = (–1)4 = 1 2. 1) 1, 1 2 , 1 4 , 1 8 an = n 1 1 2 − 2) 1, 3, 9, 27 an = 3n–1 3) 24, 8, 8 3 , 8 9 an = n 1 1 24 3 −   ×    4) 2 3 4 5 , , , 3 4 5 6 an = n 1 n 2 + + 5) 0.4, 0.04, 0.004, 0.0004 an = n 4 10
  • 45.
    38 3. 1) พิจารณาลําดับ1, 3, 5, 7, 9, ... จะเห็นวา a1 = 1 = 2(1) – 1 a2 = 3 = 2(2) – 1 a3 = 5 = 2(3) – 1 a4 = 7 = 2(4) – 1 a5 = 9 = 2(5) – 1 ดังนั้น พจนทั่วไป an = 2n – 1 2) พิจารณาลําดับ 4, 8, 12, 16, 20, ... จะเห็นวา a1 = 4 = 4(1) a2 = 8 = 4(2) a3 = 12 = 4(3) a4 = 16 = 4(4) a5 = 20 = 4(5) ดังนั้น พจนทั่วไป an = 4n 3) พิจารณาลําดับ 3, 7, 11, 15, 19, ... จะเห็นวา a1 = 3 = 4(1) – 1 a2 = 7 = 4(2) – 1 a3 = 11 = 4(3) – 1 a4 = 15 = 4(4) – 1 a5 = 19 = 4(5) – 1 ดังนั้น พจนทั่วไป an = 4n – 1
  • 46.
    39 4) พิจารณาลําดับ 7,12, 17, 22, 27, ... จะเห็นวา a1 = 7 = 5(1) + 2 a2 = 12 = 5(2) + 2 a3 = 17 = 5(3) + 2 a4 = 22 = 5(4) + 2 a5 = 27 = 5(5) + 2 ดังนั้น พจนทั่วไป an = 5n + 2 5) พิจารณาลําดับ 1, 6, 11, 16, 21, ... จะเห็นวา a1 = 1 = 5(1) – 4 a2 = 6 = 5(2) – 4 a3 = 11 = 5(3) – 4 a4 = 16 = 5(4) – 4 a5 = 21 = 5(5) – 4 ดังนั้น พจนทั่วไป an = 5n – 4 6) พิจารณาลําดับ 0, –1, –2, –3, –4, ... จะเห็นวา a1 = 0 = 1 – 1 a2 = –1 = 1 – 2 a3 = –2 = 1 – 3 a4 = –3 = 1 – 4 a5 = –4 = 1 – 5 ดังนั้น พจนทั่วไป an = 1 – n
  • 47.
    40 7) พิจารณาลําดับ 1,–1, –3, –5, –7, ... จะเห็นวา a1 = 1 = 3 – 2(1) a2 = –1 = 3 – 2(2) a3 = –3 = 3 – 2(3) a4 = –5 = 3 – 2(4) a5 = –8 = 3 – 2(5) ดังนั้น พจนทั่วไป an = 3 – 2n 8) พิจารณาลําดับ 3, 0, –3, –6, –9, ... จะเห็นวา a1 = 3 = 6 – 3(1) a2 = 0 = 6 – 3(2) a3 = –3 = 6 – 3(3) a4 = –6 = 6 – 3(4) a5 = –9 = 6 – 3(5) ดังนั้น พจนทั่วไป an = 6 – 3n 9) พิจารณาลําดับ 3, 1, –1, –3, –5, ... จะเห็นวา a1 = 3 = 5 – 2(1) a2 = 1 = 5 – 2(2) a3 = –1 = 5 – 2(3) a4 = –3 = 5 – 2(4) a5 = –5 = 5 – 2(5) ดังนั้น พจนทั่วไป an = 5 – 2n
  • 48.
    41 10) พิจารณาลําดับ –5,–3, –1, 1, 3, ... จะเห็นวา a1 = –5 = 2(1) – 7 a2 = –3 = 2(2) – 7 a3 = –1 = 2(3) – 7 a4 = 1 = 2(4) – 7 a5 = 3 = 2(5) – 7 ดังนั้น พจนทั่วไป an = 2n – 7 11) พิจารณาลําดับ 3 1 , 6 1 , 9 1 , 12 1 , 15 1 , ... จะเห็นวา a1 = 3 1 = )1(3 1 a2 = 6 1 = )2(3 1 a3 = 9 1 = )3(3 1 a4 = 12 1 = )4(3 1 a5 = 15 1 = )5(3 1 ดังนั้น พจนทั่วไป an = n3 1 12) พิจารณาลําดับ 1, 4 1 , 9 1 , 16 1 , 25 1 , ... จะเห็นวา a1 = 1 = 1 1 a2 = 4 1 = 2 1 2 a3 = 9 1 = 2 1 3 a4 = 16 1 = 2 1 4 a5 = 25 1 = 2 1 5 ดังนั้น พจนทั่วไป an = 2 n 1
  • 49.
    42 13) พิจารณาลําดับ 2 1 ,3 2 , 4 3 , 5 4 , 6 5 , ... จะเห็นวา a1 = 2 1 = 11 1 + a2 = 3 2 = 12 2 + a3 = 4 3 = 3 3 1+ a4 = 5 4 = 4 4 1+ a5 = 6 5 = 5 5 1+ ดังนั้น พจนทั่วไป an = 1n n + 14) พิจารณาลําดับ 5 2 , 7 4 , 9 8 , 11 16 , 13 32 , ... จะเห็นวา a1 = 5 2 = 3)1(2 21 + a2 = 7 4 = 3)2(2 22 + a3 = 9 8 = 3)3(2 23 + a4 = 11 16 = 3)4(2 24 + a5 = 13 32 = 3)5(2 25 + ดังนั้น พจนทั่วไป an = 3n2 2n + 15) พิจารณาลําดับ 0, 2 1 , 3 2 , 4 3 , 5 4 , ... จะเห็นวา a1 = 0 = 1 11− a2 = 2 1 = 2 12− a3 = 3 2 = 3 13− a4 = 4 3 = 4 14− a5 = 5 4 = 5 15− ดังนั้น พจนทั่วไป an = n 1n −
  • 50.
    43 เฉลยแบบฝกหัด 1.1.3 1. 1)จาก a1 = 2, d = 4 จะได a2 = a1 + d = 2 + 4 = 6 a3 = a1 + 2d = 2 + 2(4) = 10 a4 = a1 + 3d = 2 + 3(4) = 14 ดังนั้น 4 พจนแรกของลําดับเลขคณิตนี้คือ 2, 6, 10, 14 2) จาก a1 = 3, d = 5 จะได a2 = a1 + d = 3 + 5 = 8 a3 = a1 + 2d = 3 + 2(5) = 13 a4 = a1 + 3d = 3 + 3(5) = 18 ดังนั้น 4 พจนแรกของลําดับเลขคณิตนี้คือ 3, 8, 13, 18 3) จาก a1 = –3, d = 3 จะได a2 = a1 + d = –3 + 3 = 0 a3 = a1 + 2d = –3 + 2(3) = 3 a4 = a1 + 3d = –3 + 3(3) = 6 ดังนั้น 4 พจนแรกของลําดับเลขคณิตนี้คือ –3, 0, 3, 6 4) จาก a1 = –4, d = 2 จะได a2 = a1 + d = –4 + 2 = –2 a3 = a1 + 2d = –4 + 2(2) = 0 a4 = a1 + 3d = –4 + 3(2) = 2 ดังนั้น 4 พจนแรกของลําดับเลขคณิตนี้คือ –4, –2, 0, 2
  • 51.
    44 5) จาก a1= 5, d = –2 จะได a2 = a1 + d = 5 + (–2) = –3 a3 = a1 + 2d = 5 + 2(–2) = 1 a4 = a1 + 3d = 5 + 3(–2) = –1 ดังนั้น 4 พจนแรกของลําดับเลขคณิตนี้คือ 5, 3, 1, –1 6) จาก a1 = –3, d = –4 จะได a2 = a1 + d = –3 + (–4) = –7 a3 = a1 + 2d = –3 + 2(–4) = –11 a4 = a1 + 3d = –3 + 3(–4) = –15 ดังนั้น 4 พจนแรกของลําดับเลขคณิตนี้คือ –3, –7, –11, –15 7) จาก a1 = 2 1 , d = 2 1 จะได a2 = a1 + d = 2 1 2 1 + = 1 a3 = a1 + 2d =       + 2 1 2 2 1 = 2 3 a4 = a1 + 3d =       + 2 1 3 2 1 = 2 ดังนั้น 4 พจนแรกของลําดับเลขคณิตนี้คือ 2 1 , 1, 2 3 , 2 8) จาก a1 = 2 5 , d = 2 3 − จะได a2 = a1 + d =       −+ 2 3 2 5 = 1 a3 = a1 + 2d =       −+ 2 3 2 2 5 = 2 1 − a4 = a1 + 3d =       −+ 2 3 3 2 5 = –2 ดังนั้น 4 พจนแรกของลําดับเลขคณิตนี้คือ 2 5 , 1, 2 1 − , –2
  • 52.
    45 2. 1) จากan = a1 + (n – 1)d เมื่อ a1 = 4, d = 3 จะได a3 = 4 + (3 – 1)3 a3 = 4 + 6 a3 = 10 2) จาก an = a1 + (n – 1)d เมื่อ a1 = –4, d = –5 จะได a8 = –4 + (8 – 1)(–5) a8 = –4 – 35 a8 = –39 3) จาก an = a1 + (n – 1)d เมื่อ a1 = –5, d = 2 จะได a9 = –5 + (9 – 1)2 a9 = 11 4) จาก an = a1 + (n – 1)d เมื่อ a1 = 7, d = –3 จะได a12 = 7 + (12 – 1)(–3) a12 = –26 5) จาก an = a1 + (n – 1)d เมื่อ a1 = 5 4 , d = –1 จะได a20 = 5 4 + (20 – 1)(–1) = 4 19 5 − a12 = 91 5 − 6) จาก an = a1 + (n – 1)d เมื่อ a1 = 2 1 − , d = –2 จะได a15 = 2 1 − + (15 – 1)(–2) = 1 28 2 − − = 1 ( 28) 2 − + a15 = 1 28 2 −
  • 53.
    46 7) จาก an= a1 + (n – 1)d เมื่อ a1 = 4, d = 2 1 จะได a11 = 4 + (11 – 1)(1 2 ) a11 = 9 8) จาก an = a1 + (n – 1)d เมื่อ a1 = 3 4 , d = 3 1 จะได a15 = 4 3 + (15 – 1)(1 3 ) = 4 14 3 3 + a15 = 6 3. 1) จากลําดับเลขคณิต 11, 13, 15, 17, 19, ... ที่มี a1 = 11 และ d = 2 จะได an = 11 + (n – 1)2 = 2n + 9 ดังนั้น พจนที่ n หรือ an = 2n + 9 2) จากลําดับเลขคณิต 7, 10, 13, 16, 19, ... ที่มี a1 = 7 และ d = 3 จะได an = 7 + (n – 1)3 = 3n + 4 ดังนั้น พจนที่ n หรือ an = 3n + 4 3) จากลําดับเลขคณิต 2, –1, –4, –7, –10, ... ที่มี a1 = 2 และ d = –3 จะได an = 2 + (n – 1)(–3) = 5 – 3n ดังนั้น พจนที่ n หรือ an = 5 – 3n 4) จากลําดับเลขคณิต 4, 2, 0, –2, –4, ... ที่มี a1 = 4 และ d = –2 จะได an = 4 + (n – 1)(–2) = 6 – 2n ดังนั้น พจนที่ n หรือ an = 6 – 2n
  • 54.
    47 5) จากลําดับเลขคณิต 0,2 1 , 1, 2 3 , 2, ... ที่มี a1 = 0 และ d = 2 1 จะได an = 0 + (n – 1)(2 1 ) = 2 1n− ดังนั้น พจนที่ n หรือ an = 2 1n− 6) จากลําดับเลขคณิต 2 3 , 2, 2 5 , 3, 2 7 , ... ที่มี a1 = 2 3 และ d = 2 1 จะได an = 2 3 + (n – 1)(2 1 ) = 1 2 n + ดังนั้น พจนที่ n หรือ an = 1 2 n + หรือ n 2 2 + 4. จาก an = –n – 3 จะได a20 = –20 – 3 = –23 a50 = –50 – 3 = –53 5. จากลําดับเลขคณิต 3, 8, 13, 18, 23, ... ที่มี a1 = 3 และ d = 5 จาก an = a1 + (n – 1)d จะได a15 = 3 + (15 – 1)(5) a15 = 73 6. กําหนดให a6 = 12 และ a10 = 16 จะได a1 + 5d = 12 --------- (1) และ a1 + 9d = 16 --------- (2) (2) – (1) 4d = 4 d = 1 แทน d = 1 ใน (1) จะได a1 = 7 ดังนั้น พจนแรกของลําดับเลขคณิตนี้คือ 7
  • 55.
    48 7. ให a3= 20 และ a7 = 32 จะได a1 + 2d = 20 --------- (1) และ a1 + 6d = 32 --------- (2) (2) – (1) 4d = 12 d = 3 แทน d = 3 ใน (1) จะได a1 = 14 จาก an = a1 + (n – 1)d จะได a25 = 14 + (25 – 1)(3) a25 = 86 8. ให a2 = 16 และ a12 = 116 จะได a1 + d = 16 --------- (1) และ a1 + 11d = 116 --------- (2) (2) – (1) 10d = 100 d = 10 แทน d = 10 ใน (1) จะได a1 = 6 จาก an = a1 + (n – 1)d = 6 + (n – 1)(10) = 10n – 4 จะไดวา an = 10n – 4 และ d = 10 9. ลําดับ –1, –6, –11, ... เปนลําดับเลขคณิตที่มี a1 = –1 และ d = –5 จาก an = a1 + (n – 1)d จะได –176 = –1 + (n – 1)(–5) –175 = (n – 1)(–5) 35 = n – 1 36 = n ดังนั้น –176 เปนพจนที่ 36 ของลําดับเลขคณิต –1, –6, –11, ...
  • 56.
    49 10. จํานวนสามจํานวนแรกซึ่งอยูระหวาง 100ถึง 1000 ที่หารดวย 13 ลงตัว คือ 104, 117, 130 จํานวนสุดทายซึ่งอยูระหวาง 100 ถึง 1000 ที่หารดวย 13 ลงตัว คือ 988 เขียนจํานวนขางตนเปนลําดับไดดังนี้ 104, 117, 130, ..., 988 จะเห็นวาลําดับดังกลาวเปนลําดับเลขคณิตที่มี a1 = 104 และ d = 13 จาก an = a1 + (n – 1)d จะได 988 = 104 + (n – 1)(13) 884 = 13n – 13 13n = 897 n = 69 จะไดวา จํานวนซึ่งอยูระหวาง 100 กับ 1000 ที่หารดวย 13 ลงตัว มีทั้งหมด 69 จํานวน 11. ให a1, a2, a3, ... เปนลําดับเลขคณิตที่มี a1 = 39 และ a3 = 51 จะได a1 + 2d = 51 39 + 2d = 51 2d = 12 d = 6 และ a2 = a1 + d = 39 + 6 = 45 ดังนั้น จํานวนที่อยูระหวาง 39 และ 51 ที่ทําใหสามจํานวนนี้อยูในลําดับเลขคณิตคือ 45 12. ให a1 = 5 และ a7 = 29 เปนพจนที่ 1 และพจนที่ 7 ในลําดับเลขคณิต จะได a1 + 6d = 29 5 + 6d = 29 6d = 24 d = 4 ดังนั้น 5 พจนซึ่งเรียงอยูระหวาง 5 กับ 29 คือ 5 + 4, 5 + 2 (4), 5 + 3(4) และ 5 + 4(4) หรือ 9, 13, 17, 21, 25
  • 57.
    50 13. ให a1= 20, a2 = 16 และ a3 = 12 เปนพจนสามพจนในลําดับเลขคณิต จาก 20, 16, 12... จะได d = –4 จาก an = a1 + (n – 1)d –96 = 20 + (n – 1)(–4) 4n = 96 + 20 + 4 n = 120 4 n = 30 ดังนั้น –96 เปนพจนที่ 30 ของลําดับเลขคณิต 20, 16, 12, ... 14. ให a1 เปนราคาที่บริษัทรับซื้อคืนสําหรับรถยนตที่ใชแลว 1 ป a5 เปนราคาที่บริษัทรับซื้อคืนสําหรับรถยนตที่ใชแลว 5 ป โดยที่ a1 = 900,000 และ d = –70,000 จาก a5 = a1 + 4d = 900,000 + 4(–70,000) = 620,000 ดังนั้น เมื่อครบ 5 ป บริษัทที่ขายรถยนตคันนี้จะรับซื้อคืนในราคา 620,000 บาท 15. ให a1 = 52 และ an = 7 โดยที่ d = –1 จาก an = a1 + (n – 1)d จะได 7 = 52 + (n – 1)(–1) 53 – n = 7 n = 46 ดังนั้น มีไมทั้งหมด 46 ชั้น นั่นคือ ความสูงของไมกองนี้ เทากับ 46 × 3 หรือ 138 เซนติเมตร
  • 58.
    51 เฉลยแบบฝกหัด 1.1.4 1. 1)ลําดับ 2, 4, 8, 16, ... อัตราสวนรวมคือ 4 2 = 2 2) ลําดับ 18, 6, 2, 2 3 , ... อัตราสวนรวมคือ 6 18 = 1 3 3) ลําดับ 75, 15, 3, 3 5 , ... อัตราสวนรวมคือ 15 75 = 1 5 4) ลําดับ –8, –0.8, –0.08, –0.008, ... อัตราสวนรวมคือ 0.8 8 − − = 1 10 5) ลําดับ –1, 1, –1, 1, ... อัตราสวนรวมคือ 1 1− = –1 6) ลําดับ 2 3 , 4 3 , 8 3 , 16 3 , ... อัตราสวนรวมคือ 4 2 3 3 ÷ = 4 3 × 3 2 = 2 7) ลําดับ 1 x , 2 1 x , 3 1 x , ... อัตราสวนรวมคือ 2 1 1 x x ÷ = 2 1 x × x = 1 x 8) ลําดับ 5, 5a 2 , 2 5a 4 , 3 5a 8 ... อัตราสวนรวมคือ 5a 5 2 ÷ = 5a 2 × 1 5 = a 2 2. 1) จากลําดับเรขาคณิต 1, 7, 49, 343, ... ที่มี a1 = 1 และ r2 = 7 จะได a5 = a1r4 = 74 = 2401 a6 = a1r5 = 75 = 16807 a7 = a1r6 = 76 = 117649 ดังนั้น สามพจนถัดไปคือ 2401, 16807, 117649
  • 59.
    52 2) จากลําดับเรขาคณิต –1,2, –4, 8, ... ที่มี a1 = –1 และ r2 = –2 จะได a5 = (–1)(–2)4 = –16 a6 = (–1)(–2)5 = 32 a7 = (–1)(–2)6 = –64 ดังนั้น สามพจนถัดไปคือ –16, 32, –64 3) จากลําดับเรขาคณิต 3, 1, 1 3 , 1 9 , ... ที่มี a1 = 3 และ r = 1 3 จะได a5 = 4 1 3 3       = 1 27 a6 = 5 1 3 3       = 1 81 a7 = 6 1 3 3       = 1 243 ดังนั้น สามพจนถัดไปคือ 1 27 , 1 81 , 1 243 3. จากลําดับเรขาคณิต 2, 4, 8, 16, ... ที่มี a1 = 2 และ r = 2 จาก an = a1rn–1 จะได a9 = 2(2)8 a9 = 512 4. จากลําดับเรขาคณิต 2, –10, 50, –250, ... ที่มี a1 = 2 และ r = –5 จาก an = a1rn–1 จะได a11 = 2(–5)10 a11 = 2(510 ) 5. จากลําดับเรขาคณิต 1, a 2 , 2 a 4 , 3 a 8 , ... ที่มี a1 = 1 และ r = a 2 จาก an = a1rn–1 จะได a10 = 9 a 1 2       = 9 a 512
  • 60.
    53 6. จากลําดับเรขาคณิต 1 2 ,1 6 , 1 18 , 1 54 , ... ที่มี a1 = 1 2 และ r = 1 3 จาก an = a1rn–1 จะได a8 = 7 1 1 2 3          a8 = 1 4374 7. 1) จากลําดับเรขาคณิต 1, 3, 9, ... ที่มี a1 = 1 และ r = 3 จาก an = a1rn–1 จะได an = 1(3)n–1 = 3n–1 2) จากลําดับเรขาคณิต 25, 5, 1, ... ที่มี a1 = 25 และ r = 1 5 จาก an = a1rn–1 จะได an = 25 n 1 1 5 −       = 53–n 3) จากลําดับเรขาคณิต 1, –1, 1, –1 ที่มี a1 = 1 และ r = –1 จาก an = a1rn–1 จะได an = 1(–1)n–1 = (–1)n–1 4) จากลําดับเรขาคณิต –2, 4, –8, ... ที่มี a1 = –2 และ r = –2 จาก an = a1rn–1 จะได an = (–2)(–2)n–1 = (–2)n
  • 61.
    54 5) จากลําดับเรขาคณิต 1 x ,2 1 x , 3 1 x , ... ที่มี a1 = 1 x และ r = 1 x จาก an = a1rn–1 จะได an = n 1 1 1 x x −          = n 1 x 6) จากลําดับเรขาคณิต 1, 0.3, 0.09, 0.027, ... ที่มี a1 = 1 และ r = 0.3 จาก an = a1rn–1 จะได an = 1(0.3)n–1 = (0.3)n–1 7) จากลําดับเรขาคณิต –8, –0.8, –0.08, –0.008, ... ที่มี a1 = –8 และ r = 1 10 จาก an = a1rn–1 จะได an = (–8) n 1 1 10 −       = n 1 8 10 − − 8) จากลําดับเรขาคณิต 2, 2 3 , 6, ... ที่มี a1 = 2 และ r = 3 จาก an = a1rn–1 จะได an = 2( 3 )n–1 8. ให a5 = 32 3 และ r = 2 จะได a1r4 = 32 3 a1(24 ) = 32 3 a1 = 32 1 3 16 × ดังนั้น พจนแรกของลําดับคือ 2 3
  • 62.
    55 9. ให a3= 12 และ a6 = 96 จะได a3 = a1r2 = 12 ---------- (1) และ a6 = a1r5 = 96 ---------- (2) (2) ÷ (1) จะได r3 = 8 r = 2 ดังนั้น อัตราสวนรวมของลําดับนี้คือ 2 10. ให a2 = 3 8 และ a5 = 64 81 จะได a1r = 8 3 ---------- (1) และ a1r4 = 64 81 ---------- (2) (2) ÷ (1) จะได r3 = 8 27 r = 2 3 ดังนั้น อัตราสวนรวมของลําดับนี้คือ 2 3 11. ให a r , a, ar เปนสามพจนแรกของลําดับเรขาคณิต จะได a r + a + ar = –3 ---------- (1) และ a r       (a)(ar) = 8 a3 = 8 a = 2 แทน a = 2 ใน (1) จะได 2 r + 2 + 2r = –3 2 + 2r + 2r2 = – 3r 2r2 + 5r + 2 = 0 (2r + 1)(r + 2) = 0 r = 1 2 − , –2
  • 63.
    56 ถา a =2, r = 1 2 − จะไดลําดับเรขาคณิต –4, 2, –1, 1 2 , .... ถา a = 2, r = –2 จะไดลําดับเรขาคณิต –1, 2, –4, 8, ... เมื่อตรวจสอบคําตอบจะพบวา ลําดับเรขาคณิตขางตนมีผลบวกและผลคูณของ สามพจนแรกเทากับ –3 และ 8 ตามลําดับ 12. 1) ให a1 = 5 และ a3 = 20 จะได a1r2 = 20 5r2 = 20 r = ±2 ถา r = 2 จํานวนที่อยูระหวาง 5 และ 20 คือ 10 ถา r = –2 จํานวนที่อยูระหวาง 5 และ 20 คือ –10 2) ให a1 = 8 และ a3 = 12 จะได a1r2 = 12 8r2 = 12 r = 3 2 ± ถา r = 3 2 จํานวนที่อยูระหวาง 8 และ 12 คือ 4 6 ถา r = 3 2 − จํานวนที่อยูระหวาง 8 และ 12 คือ 4 6− 13. ลําดับเรขาคณิต 2, –6, 18, ... ที่มี a1 = 2 และ r = –3 จาก an = a1rn–1 จะได 162 = 2(–3)n–1 81 = (–3)n–1 (–3)4 = (–3)n–1 n – 1 = 4 n = 5 ดังนั้น 162 เปนพจนที่ 5 ของลําดับเรขาคณิต 2, –6, 18, ...
  • 64.
    57 14. ในป พ.ศ.2540 มีประชากร 60,000 คน และแตละปมีประชากรเพิ่มขึ้น 2% ถาเดิมมีประชากร 60000 คน สิ้นปแรกจะมีประชากร 60000 × 1.02 คน ถาเดิมมีประชากร 60000 × 1.02 คน สิ้นปจะมีประชากร 60000 × (1.02)2 คน ถาเดิมมีประชากร 60000 × (1.02)2 คน สิ้นปจะมีประชากร 60000 × (1.02)3 คน ดังนั้น จํานวนประชากรในอีก n ป ขางหนานับจากป พ.ศ. 2540 คือ 60000 × (1.02)n คน ในป พ.ศ. 2555 หรืออีก 15 ปตอไป จะมีประชากรเทากับ 60000 × (1.02)15 คน ≈ 80,752 คน 15. 1) ลําดับ 7, 9, 11, 13, ..., เปนลําดับเลขคณิต มีผลตางรวมเปน 2 2) ลําดับ 6, –6, 6, –6, ..., เปนลําดับเรขาคณิต มีอัตราสวนรวมเปน –1 3) ลําดับ 4, 2, 0, –2, ..., เปนลําดับเลขคณิต มีผลตางรวมเปน –2 4) ลําดับ 3, 1, 3 1 , 9 1 , ..., เปนลําดับเรขาคณิต มีอัตราสวนรวมเปน 1 3 5) ลําดับ 1 4 − , 2 5 − , 1 2 − , 4 7 − , ..., ไมเปนทั้งลําดับเลขคณิตและลําดับเรขาคณิต เฉลยแบบฝกหัด 1.2.1 1. ลําดับเลขคณิต 5, 7, 9, 11, 13, ... มี a1 = 5 และ d = 2 จาก Sn = n 2 {2a1 + (n – 1)d} จะได S50 = 50 2 {2(5) + (50 – 1)2} = 25(108) = 2,700
  • 65.
    58 2. ลําดับเลขคณิต 0,2, 4, 6, 8, ... มี a1 = 0 และ d = 2 จาก Sn = n 2 {2a1 + (n – 1)d} จะได S30 = 30 2 {2(0) + (30 – 1)2} = 15(58) = 870 3. ลําดับเลขคณิต 2, 6, 10, 14, 18, ... มี a1 = 2 และ d = 4 จาก Sn = n 2 {2a1 + (n – 1)d} จะได S40 = 40 2 {2(2) + (40 – 1)4} = 20(160) = 3,200 4. ลําดับเลขคณิต –2, 3, 8, 13, 18, ... มี a1 = –2 และ d = 5 จาก Sn = n 2 {2a1 + (n – 1)d} จะได S60 = 60 2 {2(–2) + (60 – 1)5} = 30(291) = 8,730 5. ลําดับเลขคณิต 5, 2, –1, –4, –7, ... มี a1 = 5 และ d = –3 จาก Sn = n 2 {2a1 + (n – 1)d} จะได S75 = 75 2 {2(5) + (75 – 1)(–3)} = 75 2 (–212) = –7,950
  • 66.
    59 6. ลําดับเลขคณิต 1 2 ,1, 3 2 , 2, 5 2 , ... มี a1 = 1 2 และ d = 1 2 จาก Sn = n 2 {2a1 + (n – 1)d} จะได S50 = 50 2 {2 1 2       + (50 – 1) 1 2       } = 25 51 2       = 1275 2 7. ลําดับเลขคณิต 1 3 − , 1 3 , 1, 5 3 , 7 3 , ... มี a1 = 1 3 − และ d = 2 3 จาก Sn = n 2 {2a1 + (n – 1)d} จะได S100 = 100 2 {2 1 3   −    + (100 – 1) 2 3       } = 50 196 3       = 9800 3 8. 1) ลําดับ 6, 9, 12, 15, ..., 99 เปนลําดับเลขคณิต ที่มี a1 = 6 และ d = 3 จาก an = a1 + (n – 1)d จะได 99 = 6 + (n – 1)3 n = 32 และ S32 = 6 + 9 + 12 + 15 + ... + 99 จาก Sn = 1 n n (a a ) 2 + S32 = 32 2 (6 + 99) = 16 (105) = 1,680
  • 67.
    60 2) เนื่องจากลําดับ –7,–10, –13, –16, ..., –109 เปนลําดับเลขคณิต ที่มี a1 = –7 และ d = –3 จาก an = a1 + (n – 1)d –109 = (–7) + (n – 1)(–3) จะได n = 35 และ S35 = (–7) + (–10) + (–13) + (–16) + ... + (–109) = 35 2 {(–7)+(–109)} = 35(–58) = –2030 3) เนื่องจากลําดับ –7, –4, –1, 2, ..., 131 เปนลําดับเลขคณิต ที่มี a1 = –7 และ d = 3 จาก an = a1 + (n – 1)d 131 = –7 + (n – 1)3 จะได n = 47 และ S47 = (–7) + (–4) + (–1) + 2 + ... + 131 = 47 2 {(–7) + 131} = 47(62) = 2914 9. ให a1 = 6, d = 4 และ an = 26 จาก an = a1 + (n – 1)d 26 = 6 + (n – 1)4 n = 6 จาก Sn = n 2 (a1 + an) จะได S6 = 6 2 (6 + 26) = 3(32) = 96
  • 68.
    61 10. ใหผลบวกของจํานวนเต็มคี่บวก 100จํานวนแรกเขียนแทนดวยอนุกรม 1 + 3 + 5 + 7 + 9 + ... + 199 ซึ่งจะเห็นวา อนุกรมขางตนเปนอนุกรมเลขคณิตที่มี a1 = 1 และ an = 199 จาก Sn = n 2 (a1 + an) จะได S100 = 100 2 (1 + 199) = 50(200) = 10,000 11. ใหผลบวกของจํานวนเต็มบวก 20 จํานวนแรกที่เปนพหุคูณของ 3 เขียนแทนดวยอนุกรม 3 + 6 + 9 + ... + 60 จะเห็นวา อนุกรมขางตนเปนอนุกรมเลขคณิตที่มี a1 = 3 และ an = 60 จาก Sn = n 2 (a1 + an) จะได S20 = 20 2 (3 + 60) = 10(63) = 630 12. ใหผลบวกของจํานวนคี่ตั้งแต 17 ถึง 379 เขียนแทนดวยอนุกรม 17 + 19 + 21 + ... + 379 จะเห็นวา อนุกรมขางตนเปนอนุกรมเลขคณิต ที่มี a1 = 17 และ d = 2 จาก an = a1 + (n – 1)d 379 = 17 + (n – 1)2 จะได n = 182 จาก Sn = n 2 (a1 + an) จะได S182 = 182 2 (17 + 379) = 91(396) = 36,036
  • 69.
    62 13. กําหนดให a10= 20, a5 = 10 จะได a1 + 9d = 20 ---------- (1) และ a1 + 4d = 10 ---------- (2) (2) – (1) 5d = 10 d = 2 แทนคา d = 2 ใน (1) จะได a1 = 2 เพราะวา a7 = 2 + (7 – 1)(2) = 14 a15 = 2 + (15 – 1)(2) = 30 จาก Sn = n 2 (a1 + an) เนื่องจากผลบวกพจนที่ 8 ถึง 15 = S15 – S7 = 15 2 (2 + 30) – 7 2 (2 + 14) = 15(16) – 7(8) = 184 14. ใหเงินเดือนที่ชายคนนี้ไดรับตั้งแตป พ.ศ. 2540 เขียนแทนดวยลําดับเลขคณิตดังนี้ 9500, 10200, 10900, 11600, ... ลําดับขางตนเปนลําดับเลขคณิตที่มี a1 = 9500 และ d = 700 จาก an = a1 + (n – 1)d เมื่อ n = 11 จะได a11 = 9500 + (11 – 1)700 = 9500 + 10(700) = 16,500 นั่นคือ ในป พ.ศ. 2550 เขาจะไดรับเงินเดือนเดือนละ 16,500 บาท
  • 70.
    63 15. ใหจํานวนเงินที่ทิมเก็บออมตั้งแตวันแรกเขียนแทนดวยอนุกรม 1 +2 + 3 + ... + 30 อนุกรมขางตนเปนอนุกรมเลขคณิตที่มี a1 = 1, a30 = 30 จาก Sn = n 2 (a1 + an) S30 = 30 2 (1 + 30) = 15(31) = 465 นั่นคือ ครบ 30 วัน ทิมมีเงินออมทั้งหมด 465 บาท เฉลยแบบฝกหัด 1.2.2 1. 1) กําหนดให n = 4, a1 = 3, r = 2 จาก Sn = n 1a (r 1) r 1 − − จะได S4 = 4 3(2 1) 2 1 − − = 3(15) = 45 2) กําหนดให n = 7, a1 = 5, r = 4 จาก Sn = n 1a (r 1) r 1 − − จะได S7 = 7 5(4 1) 4 1 − − = 5(16383) 3 = 27305
  • 71.
    64 3) กําหนดให n= 9, a1 = –3, r = 5 จาก Sn = n 1a (r 1) r 1 − − จะได S9 = 9 ( 3)(5 1) 5 1 − − − = 93 (5 1) 4 − − = –1,464,843 4) กําหนดให n = 11, a1 = –7, r = 3 จาก Sn = n 1a (r 1) r 1 − − จะได S11 = 11 ( 7)(3 1) 3 1 − − − = 117 (3 1) 2 − − = –620,011 5) กําหนดให n = 14, a1 = –5, r = –2 จาก Sn = n 1a (r 1) r 1 − − จะได S14 = 14 ( 5)(( 2) 1)] 2 1 − − − − − = 5 3 (16383) = 27,305 2. อนุกรมเรขาคณิต 2 + 6 + 18 + 54 + ... มี a1 = 2 และ r = 3 จาก Sn = n 1a (r 1) r 1 − − จะได S9 = 9 2(3 1) 3 1 − − = 19,682
  • 72.
    65 3. อนุกรมเรขาคณิต 9+ 12 + 16 + 64 3 + ... มี a1 = 9 และ r = 4 3 จาก Sn = n 1a (r 1) r 1 − − จะได S8 = 84 9 ( ) 1 3 4 1 3   −   − = 84 27 ( ) 1 3   −   = 58975 243 4. อนุกรมเรขาคณิต 2 4 8 16 ... 3 9 27 81 + + + + มี a1 = 2 3 และ r = 2 3 จาก Sn = n 1a (r 1) r 1 − − = n 1a (1 r ) 1 r − − จะได S10 = 102 2 (1 ( ) ) 3 3 2 1 3 − − = 2(1 – (3 2 )10 ) = 116,050 59,049 5. 1) อนุกรมเรขาคณิต 9 + 27 + 81 + ... + 729 มี a1 = 9, r = 3, an = 729 จาก an = a1rn–1 จะได 729 = 9(3)n–1 81 = 3n–1 34 = 3n–1 n – 1 = 4 n = 5
  • 73.
    66 จาก Sn = n 1a(r 1) r 1 − − จะได S5 = 5 9(3 1) 3 1 − − = 9(242) 2 = 1,089 2) อนุกรมเรขาคณิต 2 + 8 + 32 + ... + 8192 มี a1 = 2, r = 4, an = 8192 จาก an = a1rn–1 จะได 8192 = 2(4)n–1 4096 = 4n–1 46 = 4n–1 n – 1 = 6 n = 7 จาก Sn = n 1a (r 1) r 1 − − จะได S7 = 7 2(4 1) 4 1 − − = 10,922 3) อนุกรมเรขาคณิต 4 + 2 + 1 + ... + 1 512 มี a1 = 4, r = 1 2 , an = 1 512 จาก an = a1rn–1 จะได 1 512 = 4 n 1 1 2 −       1 2048 = n 1 1 2 −      11 1 2       = n 1 1 2 −       n – 1 = 11 n = 12
  • 74.
    67 จาก Sn = n 1a(1 r ) 1 r − − จะได S12 = 121 4(1 ( ) ) 2 1 1 2 − − = 12 1 8(1 ) 2 − = 4095 512 4) อนุกรมเรขาคณิต 16 + 8 + 4 + ... + 1 32 มี a1 = 16, r = 1 2 , an = 1 32 จาก an = a1rn–1 จะได 1 32 = 16 n 1 1 2 −       1 512 = n 1 1 2 −      9 1 2       = n 1 1 2 −       n = 10 จาก Sn = n 1a (1 r ) 1 r − − จะได S10 = 101 16(1 ( ) ) 2 1 1 2 − − = 10 1 32(1 ) 2 − = 1023 32
  • 75.
    68 5) อนุกรมเรขาคณิต 1+ (–2) + 4 + ... + 256 มี a1 = 1, r = –2, an = 256 จาก an = a1rn–1 จะได 256 = 1(–2)n–1 28 = (–2)n–1 (–2)8 = (–2)n–1 n – 1 = 8 n = 9 จาก Sn = n 1a (1 r ) 1 r − − จะได S9 = 9 1(1 ( 2) ) 1 ( 2) − − − − = 171 6) อนุกรมเรขาคณิต (–1) + 3 + (–9) + ... + (–729) มี a1 = –1, r = –3, an = –729 จาก an = a1rn–1 จะได –729 = (–1)(–3)n–1 729 = (–3)n–1 36 = (–3)n–1 (–3)6 = (–3)n–1 n = 7 จาก Sn = n 1a (1 r ) 1 r − − จะได S7 = 7 ( 1)(1 ( 3) ) 1 ( 3) − − − − − = –546.5
  • 76.
    69 6. ใหเงินที่พลเก็บออมตั้งแตวันแรกเขียนแทนดวยอนุกรมเรขาคณิต 1 +2 + 4 + 8 + ... + 214 ที่มี a1 = 1, r = 2, n = 15 จาก Sn = n 1a (r 1) r 1 − − จะได S15 = 15 1(2 1) 2 1 − − = 215 – 1 = 32,767 นั่นคือ เมื่อครบ 15 วัน พลจะมีเงินออมทั้งหมด 32,767 บาท 7. ซื้อรถยนตมาในราคา 1,000,000 บาท ในแตละปราคารถยนตคันนี้ลดลง 20% รถยนตราคา 1,000,000 หรือ 106 บาท เมื่อสิ้นป (ครบ 1 ป) ราคารถยนตจะเทากับ 6 80 10 100 × บาท รถยนตราคา 6 80 10 100   ×    บาท เมื่อสิ้นป (ครบปที่ 2) ราคารถยนตจะเทากับ 2 6 80 10 100   ×    บาท รถยนตราคา 2 6 80 10 100   ×    บาท เมื่อสิ้นป (ครบปที่ 3) ราคารถยนตจะเทากับ 3 6 80 10 100   ×    บาท ดังนั้น เมื่อครบ 5 ป รถยนตคันนี้มีมูลคาทางบัญชี 5 6 80 10 100   ×    บาท = 5 6 8 10 10   ×    = 6 5 5 10 8 10 × = 5 10 8× = 327,680 บาท
  • 77.
    70 8. เมื่อวางแผนยอดขายเทากับ 300,000บาท แตละไตรมาสตองการใหยอดขายเพิ่มขึ้น 3% ยอดขาย 300,000 ครบไตรมาสแรก ยอดขายจะเทากับ 300,000 × 103 100 บาท ยอดขาย 300,000 × 103 100 ครบไตรมาสที่สอง ยอดขายจะเทากับ 300,000× 2 103 100       บาท ยอดขาย 300,000× 2 103 100       ครบไตรมาสที่สาม ยอดขายจะเทากับ 300,000× 3 103 100       บาท ดังนั้น เมื่อครบ 2 ป (8 ไตรมาส) ยอดขายจะเทากับ 300,000 × 8 103 100       บาท ≈ 300,000 × (1.26677) ≈ 380,031 9. ถังน้ําจุ 5,832 ลิตร แตละวันจะใชน้ําไป 1 3 ของปริมาณน้ําในถังที่มีอยู วันแรกมีน้ํา 5832 ลิตร เมื่อใชน้ําแลวมีน้ําเหลืออยู 5832 × 2 3 ลิตร วันที่สองมีน้ํา 5832 × 2 3 ลิตร เมื่อใชน้ําแลวมีน้ําเหลืออยู 5832 × 2 2 3       ลิตร วันที่สามมีน้ํา 5832 × 2 2 3       ลิตร เมื่อใชน้ําแลวมีน้ําเหลืออยู 5832 × 3 2 3       ลิตร ดังนั้น เมื่อครบ 6 วัน จะมีน้ําเหลืออยูในถัง 5832 × 6 2 3       ลิตร = 512 ลิตร 10. ถังใบหนึ่งมีน้ําอยู 20 ลิตร ตักน้ําออกจากถังครึ่งหนึ่ง แลวแทนดวยของเหลว จากนั้นตักน้ําที่มีสวนผสมของของเหลวออกมาครึ่งถัง แสดงวา แตละครั้งเมื่อตักแลวปริมาณน้ําจะลดลง 50% เดิมมีน้ํา 20 ลิตร ตักน้ําออกจากถังครั้งที่ 1 จะมีน้ําเหลืออยู 20 × 1 2 ลิตร เดิมมีน้ํา 20 × 1 2 ลิตร เมื่อตักออกครั้งที่ 2 จะมีน้ําเหลืออยู 20 × 2 1 2       ลิตร เดิมมีน้ํา 20 × 1 2 ลิตร เมื่อตักออกครั้งที่ 3 จะมีน้ําเหลืออยู 20 × 3 1 2       ลิตร ดังนั้น เมื่อครบ 8 ครั้ง จะมีน้ําเหลืออยูในถัง 20 × 8 1 2       ลิตร = 5 64 ลิตร