บทที่ 1
                       ลําดับอนันตและอนุกรมอนันต
                                        (20 ชั่วโมง)

      ลําดับอนันตและอนุกรมอนันตที่จะกลาวถึงในบทนี้ เปนเรื่องเกี่ยวกับลิมิตของลําดับ
ทฤษฎีบทตาง ๆ เกี่ยวกับลิมตของลําดับ การหาผลบวกของอนุกรมอนันต และการใชสญลักษณ
                          ิ                                                       ั
แทนการบวก ตลอดจนโจทยที่แสดงใหเห็นการนําความรูที่กลาวมาไปใชในการแกปญหาตาง ๆ
                                                                               

ผลการเรียนรูที่คาดหวัง
1. หาลิมิตของลําดับอนันตโดยอาศัยทฤษฎีบทเกี่ยวกับลิมิตได
2. หาผลบวกของอนุกรมอนันตได
3. นําความรูเรื่องลําดับและอนุกรมไปใชแกปญหาได

            ผลการเรียนรูที่คาดหวังดังกลาวเปนผลการเรียนรูที่สอดคลองกับมาตรฐานการเรียนรู
ชวงชั้นที่ 4 ทางดานความรู ในการจัดการเรียนรูผูสอนตองคํานึงถึงมาตรฐานการเรียนรูดาน
ทักษะ/ กระบวนการทางคณิตศาสตรดวยการสอดแทรกกิจกรรมหรือโจทยปญหาที่จะสงเสริมให
ผูเรียนเกิดทักษะ / กระบวนการทางคณิตศาสตรที่จําเปนอันไดแกความสามารถในการแกปญหา
การใหเหตุผล การสื่อสาร การสื่อความหมายทางคณิตศาสตรและการนําเสนอ การเชื่อมโยง
ความรูตาง ๆ ทางคณิตศาสตรและเชื่อมโยงคณิตศาสตรกับศาสตรอื่น และการคิดริเริ่มสรางสรรค
นอกจากนั้น กิจกรรมการเรียนรูควรสงเสริมใหผูเรียนตระหนักในคุณคาและมีเจตคติที่ดีตอวิชา
คณิตศาสตร ตลอดจนฝกใหผูเรียนทํางานอยางเปนระบบ มีระเบียบวินัย รอบคอบ มีความ
รับผิดชอบ มีวิจารณญาณและมีความเชื่อมันในตนเอง
                                            ่
            สาระการเรียนรูคณิตศาสตรเพิ่มเติมเปนสาระการเรียนรูสาหรับการศึกษาตอและอาชีพ
                                                                   ํ
ดังนั้นในการจัดการเรียนรูในสาระนี้ ผูสอนควรสงเสริมใหผูเรียนไดฝกทักษะการคิดวิเคราะห
                             
โดยคํานึงถึงความสมเหตุสมผลของขอมูล ดังนั้น ในการสอนแตละสาระผูสอนจําเปนตองศึกษา
สาระนั้น ๆ ใหเขาใจถองแทเสียกอนแลวเลือกวิธีสอนใหเหมาะสม เพื่อทําใหการจัดการเรียนรู
ไดผลดี
2

ขอเสนอแนะ
          1. รูปแบบการกําหนดลําดับทําไดหลายแบบ ผูสอนควรย้าและยกตัวอยางใหผูเรียนเห็นวา
                                                                 ํ
การกําหนดลําดับโดยการแจงพจนแลวหาพจนทวไปของลําดับนั้น อาจหาพจนทั่วไปไดตางกัน
                                                  ั่
(ดูหนังสือเรียนหนา 3 – 4 และคูมือครูสาระการเรียนรูพื้นฐาน ชันมัธยมศึกษาปที่ 5 เรื่องลําดับ
                                                              ้
และอนุกรม หนา 2)
          2. ผูสอนควรทบทวนเรื่องลําดับจํากัด ลําดับเลขคณิตและลําดับเรขาคณิต และอนุกรม
จํากัดกอนที่จะขยายความตอและกลาวถึงลําดับอนันตและอนุกรมอนันต ผูสอนควรบอกผูเรียน
ดวยวา ยังมีลําดับอื่น ๆ อีกมากมายที่ไมใชลําดับเลขคณิตหรือลําดับเรขาคณิต ผูสอนอาจใช
ประโยชนจากเว็บไซต The On-Line Encyclopedia of Integer Sequences ซึ่งเก็บรวบรวมลําดับ
ตาง ๆ ไวใหคนหาไดมากมาย ที่ http://www.research.att.com/~njas/sequences/ หรือผูสอนอาจ
ใหผูเรียนชวยกันสรางลําดับใหมเอง
          3. ในเรื่องความสัมพันธเวียนเกิด ผูสอนอาจเพิ่มเติมแบบฝกหัดสําหรับผูเรียนที่สนใจ
คณิตศาสตรเปนพิเศษ ผูสอนอาจใหผูเรียนกําหนดลําดับที่กําหนดใหตอไปนี้โดยใชความสัมพันธ
เวียนเกิด
              (1) 1, 2, 4, 8, 16, ..., 2n–1 , ...
                  เพราะวา         a1 = 1
                                   a2 = 2 = 2(1) = 2a1
                                   a3 = 4 = 2(2) = 2a2
                                   a4 = 8 = 2(4) = 2a3

                                an            = 2n–1 = 2an–1
              ดังนั้น กําหนดลําดับนี้โดยใชความสัมพันธเวียนเกิดไดเปนลําดับ an = 2an–1
              เมื่อ n ≥ 2, a1 = 1
          (2) 1, –1, 1, –1, ..., (–1)n+1, ...
              เพราะวา          a1 = 1
                                a2 = –1 = (–1)(1) = (–1)a1
                                a3 = 1 = (–1)(–1) = (–1)a2
                                a4 = –1 = (–1)(1) = (–1)a3

                                  an                           = (–1)an–1
                ดังนั้น กําหนดลําดับนี้โดยใชความสัมพันธเวียนเกิดไดเปนลําดับ an = (–1)an–1
                เมื่อ n ≥ 2, a1 = 1
3

           (3) กําหนดลําดับ 5, 9, 13, 17, ..., 4n + 1, ... โดยใชความสัมพันธเวียนเกิดไดเปน
               ลําดับ an = an–1 + 4 เมื่อ n ≥ 2 , a1 = 5
           (4) กําหนดลําดับ 1, 3, 9, 27, ..., 3n–1, ... โดยใชความสัมพันธเวียนเกิดไดเปนลําดับ
               an = 3an–1 เมื่อ n ≥ 2 , a1 = 1
           (5) กําหนดลําดับ 1, 1, 1, 1, ..., 1, ... โดยใชความสัมพันธเวียนเกิดไดเปนลําดับ
               an = an–1 เมื่อ n ≥ 2, a1 = 1
                                                       n(n + 1)
           (6) กําหนดลําดับ 1, 3, 6, 10, 15, ...,               , ... โดยใชความสัมพันธเวียนเกิด
                                                          2
                    ไดเปนลําดับ an = an–1+ n เมื่อ n ≥ 2, a1 = 1
             (7) กําหนดลําดับ 5, 10, 30, 120, ..., 5n!, ... โดยใชความสัมพันธเวียนเกิดไดเปน
                    ลําดับ an = nan–1 เมื่อ n ≥ 2, a1 = 5
           4. การทบทวนสูตรพจนที่ n ของลําดับเลขคณิต (หนา 7) และสูตรพจนที่ n ของลําดับ
เรขาคณิต (หนา 9) โดยการเขียนยอนกลับ ผูสอนอาจจะแสดงตัวอยางที่เปนตัวเลขใหผูเรียนพิจารณา
ประกอบไปดวยสัก 2 – 3 ตัวอยางกอนที่จะสรุปเปนกรณีทั่วไป และถาผูสอนพิจารณาแลววา
แนวทางของเรื่องเดียวกันทีนําเสนอไวในหนังสือเรียนสาระการเรียนรูพื้นฐาน ชันมัธยมศึกษา
                                ่                                                    ้
ปที่ 5 เขาใจงายกวา ก็อาจขามสวนนี้ไปก็ได อยางไรก็ตาม ผูสอนควรชี้ใหผูเรียนเห็นแนวทาง
ที่แตกตางของทั้งสองวิธี
           5. จากการพิจารณาลิมิตของลําดับ ทําใหแบงลําดับออกเปน 2 ประเภท คือ ลําดับ
ที่มีลิมิต เรียกวา ลําดับลูเขา และลําดับที่ไมมีลิมิต เรียกวา ลําดับลูออก สําหรับลําดับลูออก
ถาพิจารณาลําดับจากกราฟจะแบงออกเปน 3 ประเภทคือ
               (1) ลําดับลูออกซึ่งพจนที่ n มีคามากขึ้นเรื่อย ๆ เมือ n มีคามากขึ้นโดยไมมีที่สนสุด
                                                                      ่                         ิ้
                    เชน 1, 2, 4, ..., 2 n–1 , ...
               (2) ลําดับลูออกซึ่งพจนที่ n มีคาลดลงเรื่อย ๆ เมื่อ n มีคามากขึ้นโดยไมมีที่สิ้นสุด
                    เชน –1, –3, –5, ..., –(2n – 1), ...
               (3) ลําดับลูออกซึ่งมีลักษณะแตกตางจากลําดับในขอ (1) และขอ (2) ซึงเรียกวา
                                                                                          ่
                    ลําดับแกวงกวัด เชน an = (–1)n , bn = (–1)n n
           6. การเชื่อมโยงมโนทัศนเรื่องลิมิตของลําดับกับรูปภาพ ผูสอนอาจเริ่มจากการคํานวณ
                                                                           
แลวเขียนกราฟ และพิจารณาแนวโนมวา เมื่อ n มีคามากขึ้นเรื่อย ๆ กราฟของลําดับ an จะเปน
อยางไร ผูสอนอาจแนะนําการเขียนกราฟโดยใชเครื่องมือตาง ๆ เชน กระดาษกราฟ เครื่องคํานวณ
โปรแกรม Geometer’s Sketchpad หรือโปรแกรมประเภทตารางทํางาน เชน Microsoft Excel
          7. หนังสือเรียนไมไดแสดงวิธีการพิสูจนทฤษฎีบทตาง ๆ เกี่ยวกับลิมิตไว ผูสอนควรให
ผูเรียนพิจารณาคา an โดยตรง หรือทดลองเขียนกราฟของลําดับ an แลวพิจารณาแนวโนมของกราฟ
4
                                            1                      1
เชน ใหผูเรียนพิจารณาลําดับ an =                   และ an =          1
                                                                           เพื่อนําไปสูการยอมรับทฤษฎีบทที่วา
                                            n3
                                                                   n   3

       1
 lim
n →∞ n r
            = 0 เมื่อ r เปนจํานวนจริงบวกใด ๆ ผูเรียนควรอธิบายไดวา เมื่อ n มีคามากขึ้นอยาง
                              1
                                                                                                   1               1
ไมมีที่สิ้นสุด n3 และ       n3   จะมีคามากขึ้นอยางไมมีที่สิ้นสุดดวย ซึ่งจะทําให                     และ          1
                                                                                                                           มีคา
                                                                                                   n3
                                                                                                                   n   3


นอยลงและเขาใกล 0
                                                                               1
             ใหผูเรียนพิจารณาลําดับ an = n4 และ an = n เพื่อนําไปสูการยอมรับทฤษฎีบท
                                                                               4


ที่วา nlim n r หาคาไมได เมื่อ r เปนจํานวนจริงบวกใด ๆ ผูเรียนควรอธิบายไดวา เมื่อ n มี
         →∞
                                                                               
                                                 1
คามากขึ้นอยางไมมีที่สิ้นสุด n4 และ           n4   จะมีคามากขึ้นอยางไมมีที่สิ้นสุดดวย
                                                             n                            n
                                                      ⎛1⎞                          ⎛ 1⎞
               ใหผูเรียนพิจารณาลําดับ an =          ⎜ ⎟        และ an =          ⎜− ⎟       เพื่อนําไปสูการยอมรับ
                                                      ⎝ 3⎠                         ⎝ 4⎠
ทฤษฎีบทที่วา      lim r n
                  n →∞
                             = 0 เมื่อ r เปนจํานวนจริง และ                  r <1

             ใหผูเรียนพิจารณาลําดับ an = 3n และ an = (–4)n เพื่อนําไปสูการยอมรับทฤษฎี
บทที่วา nlim r หาคาไมได เมื่อ r เปนจํานวนจริง และ r > 1
           →∞
                  n



           8. ขอความวา “ nlim a n หาคาไมได” มีความหมายเชนเดียวกับขอความ “ลําดับ an
                             →∞
ไมมลิมต” หรือ “พจนที่ n ของลําดับ an ไมเขาใกลหรือเทากับจํานวนจริง L ใด ๆ เลย” ในบทนี้
      ี ิ
ไมมการใชขอความวา “ nlim a n = ∞ ” หรือ “ nlim a n = – ∞ ”
    ี                    →∞                      →∞
           9. ในหนังสือเรียนหนา 22 ผูสอนควรย้ํากับผูเรียนวา จะใชทฤษฎีบทเกี่ยวกับลิมิตได
                                                                                a    lim a n
เมื่อเงื่อนไขเบืองตนเปนจริงกอนเทานัน เชน จะสรุปวา
                ้                      ้                                    lim n = n →∞                ไดเมื่อ    lim a
                                                                           n →∞ b n  lim b                         n →∞ n
                                                                                    n →∞ n
และ     lim b
       n →∞ n
                  หาคาได และ          lim b ≠ 0
                                       n →∞ n
        ในกรณีที่ไมสามารถใชทฤษฎีบทเกี่ยวกับลิมิตของลําดับ an โดยตรงได อาจตองจัดรูปของ an
กอนการใชทฤษฎีบทเกียวกับลิมิต ดังปรากฏในหลาย ๆ ตัวอยางในหนังสือเรียน อยางไรก็ตาม
                       ่
ลําดับบางลําดับก็ยังคงใชทฤษฎีบทเกียวกับลิมิตไมไดถึงแมจะพยายามจัดรูปใหแตกตางจากเดิม
                                   ่
แลว เชน
                                        2
                                      2n − 3n
           พิจารณาลําดับ      an =
                                       4n − 5
           เนื่องจาก              2
                        lim (2n − 3n)
                       n →∞
                                            และ       lim (4n − 5)
                                                     n →∞
                                                                           หาคาไมไดทั้งคู ฉะนั้น หากตองการ
                          2                                                                          2
                        2n − 3n                                                              lim (2n − 3n)
หา nlim a n = nlim
    →∞         →∞
                                      จึงใชทฤษฎีบทเกี่ยวกับลิมิตที่วา             lim a =
                                                                                   n →∞ n
                                                                                            n →∞                           ไมได
                         4n − 5                                                                lim (4n − 5)
                                                                                              n →∞
           การจัดรูป an กอนการพิจารณาลิมิตอาจทําไดหลาย ๆ แบบ บางคนอาจทําดังนี้
5

                                             2⎛
                                            3⎞                                           3
           2
         2n − 3n
                                        ⎜2 − ⎟
                                         n                                          2−
                           =            ⎝ n⎠                       =                n
          4n − 5                      2⎛4   5 ⎞                                  4
                                                                                  −
                                                                                    5
                                     n ⎜ −    ⎟
                                       ⎝ n n2 ⎠                                  n n2

        กรณีนก็ยงคงใชทฤษฎีบทเกียวกับลิมิตไมได เพราะเปนกรณียกเวน เนื่องจาก
             ้ี ั               ่
     ⎛4 5      ⎞
        −
n →∞ ⎜ n n 2
 lim           ⎟     =0
     ⎝         ⎠
                                  2
                                2n − 3n                      n ( 2n − 3)                     2n − 3
        บางคนอาจทําดังนี้                            =                          =
                                 4n − 5                       ⎛      5⎞
                                                                                             4−
                                                                                                 5
                                                             n⎜4 −      ⎟
                                                              ⎝      n⎠                          n

       การจัดรูป an เชนนี้กยังคงใชทฤษฎีบทเกี่ยวกับลิมิตไมไดเชนเดียวกัน เพราะ
                            ็
 lim (2n − 3) หาคาไมได
n →∞
          จะเห็นไดวาการจัดรูป an ทั้งสองแบบไมสามารถชวยสรุปไดวา a n เปนลําดับลูเขาหรือลู
ออกโดยใชทฤษฎีบทเกียวกับลิมตได จึงตองใชวิธีอื่นพิจารณา เชน การพิจารณาคาของ an
                        ่          ิ
โดยตรง หรือจากกราฟของลําดับ an เปนตน
          10. จากบทนิยามของอนุกรมจะเห็นวา อนุกรมไดจากการบวกพจนทุกพจนของลําดับ
และในการศึกษาเรื่องลิมิตของอนุกรมไดแบงอนุกรมออกเปน 2 ประเภท เชนเดียวกับลําดับ คือ
อนุกรมลูเขาและอนุกรมลูออก จากตัวอยางของอนุกรมลูเขาจะเห็นวา อนุกรมลูเขามักจะไดจาก
ลําดับลูเขา บางคนอาจจะเขาใจอยางไมถูกตองวา ลําดับลูเขาทุกลําดับเมื่อนํามาเขียนเปนอนุกรม
จะไดอนุกรมลูเขาเสมอ ซึ่งเปนขอที่ควรระวังอยางยิ่งดังตัวอยางตอไปนี้
                (1) 1, 1, 1, ..., 1, ...                     เปนลําดับลูเขาที่มีลิมิตเปน 1
                    1 + 1 + 1 + ... + 1 + ...                เปนอนุกรมลูออก
                                     1
               (2) 1, 1 , 1 , ...,           , ...                     เปนลําดับลูเขาที่มีลิมิตเปน 0
                        2 4    2n −1
                        1 1          1
                     1 + + + ... +
                                     n −1
                                          + ...                        เปนอนุกรมลูเขา และผลบวกของ
                        2 4        2
                                                                     อนุกรมนี้มีคาเปน 2
                                                                                 
                   1 1    1
               (3)
                1, , ,..., ,...                                        เปนลําดับลูเขาที่มีลิมิตเปน 0
                   2 3    n
                    1 1         1
                1 + + + ... + + ...                                    เปนอนุกรมลูออก
                                                                                   
                    2 3         n
        การแสดงวาอนุกรม 1 + 1 + 1 + ... + 1 + ...           เปนอนุกรมลูออกนัน จะตองพิสูจนไดวา
                                                                               ้
                              2 3          n
ลําดับผลบวกยอยไมมีลิมิต แตวิธีการพิสูจนคอนขางยุงยากในทีนี้จะแสดงคาของพจนแรก ๆ บาง
                                                              ่
พจนของลําดับผลบวกยอยเพื่อใหเห็นวา เมื่อมีจํานวนพจนมากเขาผลบวกยอยจะมากขึ้นไดเรื่อย ๆ
ดังนี้
6

                              S1     =        1
                                          1
                              S2     =        1+
                                          2
                                          1   1
                              S3   =   1+   +
                                          2   3
                                          1   1   1
                              S4   =   1+   +   +
                                          2   3   4
                                 1 1 1      1 1 1
              แต             1+ + +   > 1+ + +
                                 2 3 4      2 4 4
                                              > 2
              ดังนั้น         S4 > 2
                                                 1 1 1 1 1 1 1
                              S8     =        1+    + + + + + +
                                                 2 3 4 5 6 7 8
                                 1 ⎛1 1⎞ ⎛1 1 1 1⎞
              แต             1+ + ⎜ + ⎟ + ⎜ + + + ⎟
                                 2 ⎝3 4⎠ ⎝5 6 7 8⎠

                              > 1+ 1 + ⎛ 1 + 1 ⎞ + ⎛ 1 + 1 + 1 + 1 ⎞
                                       ⎜       ⎟ ⎜                 ⎟
                                     2 ⎝ 4 4⎠ ⎝8 8 8 8⎠

                              > 21
                                   2
              ดังนั้น         S8 > 2 1
                                       2
                                                 1 ⎛1 1⎞ ⎛1 1 1 1⎞
                              S16 =         1+ + ⎜ + ⎟ + ⎜ + + + ⎟
                                                 2 ⎝3 4⎠ ⎝5 6 7 8⎠
                                              ⎛1 1 1 1 ⎞ ⎛ 1 1 1 1 ⎞
                                            +⎜ + + + ⎟ + ⎜ + + + ⎟
                                              ⎝ 9 10 11 12 ⎠ ⎝ 13 14 15 16 ⎠
                                                 1 ⎛1 1⎞ ⎛1 1 1 1⎞
                              S16 >         1+ + ⎜ + ⎟ + ⎜ + + + ⎟
                                                 2 ⎝ 4 4⎠ ⎝8 8 8 8⎠
                                              ⎛1 1 1 1 1 1 1 1⎞
                                            +⎜ + + + + + + + ⎟
                                              ⎝ 16 16 16 16 16 16 16 16 ⎠
                              S16    >        3

       จะพบวา          S4    (ผลบวก 4 พจนแรก) มากกวา 2
                                                               1
                        S8    (ผลบวก 8 พจนแรก) มากกวา    2
                                                               2
                        S16   (ผลบวก 16 พจนแรก) มากกวา 3
                                                               1
                        S32   (ผลบวก 32 พจนแรก) มากกวา   3
                                                               2
                      S64 (ผลบวก 64 พจนแรก) มากกวา 4
       และผลบวกยอยจะมีคามากขึ้นเรื่อย ๆ ไปไมมีที่สิ้นสุด
       11. จากการศึกษาเรื่องอนุกรมเลขคณิต จะเห็นวาอนุกรมอนันตที่เปนอนุกรมเลขคณิต
สวนมากเปนอนุกรมลูออก จะทําใหบางคนคิดวาอนุกรมอนันตที่เปนอนุกรมเลขคณิตทุกอนุกรม
7

เปนอนุกรมลูออก แตความจริงแลวมีอนุกรมอนันตที่เปนอนุกรมเลขคณิตและเปนอนุกรมลูเขา คือ
             
อนุกรม 0 + 0 + 0 + ... + 0 + ... ซึ่งเปนอนุกรมเลขคณิตที่มี a1 = 0 และ d = 0 และมีผลบวก
เปน 0
         12. ผูสอนควรย้ํากับผูเรียนวาการพิจารณาอนุกรมวาเปนอนุกรมลูเขาหรือลูออกตอง
พิจารณาจากลําดับของผลบวกยอยของอนุกรมเปนหลัก เชน
             พิจารณาอนุกรม 1 – 1 + 1 – 1 + ... + (–1)n–1 + ... จะเห็นวาลําดับของผลบวกยอย
ของอนุกรมนีคือ 1, 0, 1, 0, 1, ... ซึ่งเปนลําดับลูออก
               ้
             ดังนั้น อนุกรม 1 – 1 + 1 – 1 + ... + (–1)n–1 + ... จึงเปนอนุกรมลูออก
             ผูสอนควรเสนอแนะเพิ่มเติมวา อาจมีบางคนเขียนจัดรูปอนุกรมขางตนใหมดังนี้
             1 – 1 + 1 – 1 + ... + (–1)n–1 + ... = (1 – 1) + (1 – 1) + (1 – 1) + ...
ซึ่งจะไดอนุกรม 0 + 0 + 0 + 0 + ... + 0 + ... เปนอนุกรมลูเขา ที่มีผลบวกเปน 0
             หรือบางคนอาจเขียนจัดรูปอนุกรมขางตนใหมดังนี้
             1 – 1 + 1 – 1 + ... + (–1)n–1 + ... = 1 + (–1 + 1) + (–1 + 1) + (–1 + 1) + ...
ซึ่งจะไดอนุกรม 1 + 0 + 0 + 0 + 0 + ... เปนอนุกรมลูเขา ที่มีผลบวกเปน 1
             ผูสอนควรชี้แนะใหผเู รียนเขาใจใหไดวาการเขียนจัดรูปอนุกรมขางตนทั้งสองแบบ
แลวสรุปวา อนุกรม 1 – 1 + 1 – 1 + ... + (–1)n–1 + ... เปนอนุกรมลูเขานั้นไมถูกตอง
         13. ในบทเรียนนี้มุงใหพิจารณาอนุกรมอนันตเฉพาะอนุกรมเรขาคณิตหรืออนุกรมที่
อาจจะหาพจนที่ n ของลําดับผลบวกยอยไดไมยากนัก กลาวคือ ถาเปนอนุกรมเรขาคณิตก็
                                                                                     a1
พิจารณาอัตราสวนรวม r และถา         r <1    ก็สามารถหาผลบวกจากสูตร S =                   สวนอนุกรม
                                                                                    1− r
ที่ไมใชอนุกรมเรขาคณิตนัน ใหหาผลบวกโดยการหาลําดับของผลบวกยอยกอน นั่นคือ จะตอง
                            ้
หาพจนที่ n ของลําดับผลบวกยอยนั้น แลวจึงหาลิมิตของลําดับผลบวกยอย
          14. ในบทเรียนนี้ไดนําเสนออนุกรมประเภทหนึ่งซึ่งมีความสําคัญและนาสนใจเรียกวา
อนุกรมเทเลสโคป (telescoping series)
          อนุกรมเทเลสโคป คือ อนุกรม a1 + a2 + a3 + ... + an + ... ที่สามารถเขียนอยูในรูป
          a1 + a2 + a3 + ... + an + ... = (b1 – b2) + (b2 – b3) + (b3 – b4) + ... + (bn – bn+1) + ...
เมื่อ a1 = b1 – b2
          a2 = b2 – b3
          a3 = b3 – b4

        an = bn – bn+1
ดังนั้น a1 + a2 + a3 ... + an = b1 – bn+1
8


       ผูสอนควรเนนลักษณะพิเศษของอนุกรมประเภทนี้ใหผเู รียนทราบ ตัวอยางของอนุกรม
เทเลสโคปในหนังสือเรียน ดังเชน
         1    1     1               1                    ⎛ 1⎞ ⎛1 1⎞ ⎛1 1⎞                   ⎛1      1 ⎞
            +     +      + ... +                     =   ⎜ 1 − ⎟ + ⎜ − ⎟ + ⎜ − ⎟ + ... + ⎜ −          ⎟
        1⋅ 2 2 ⋅ 3 3 ⋅ 4         n(n + 1)                ⎝ 2⎠ ⎝ 2 3⎠ ⎝3 4⎠                  ⎝ n n +1⎠
                                                                1
                                                     =   1−
                                                              n +1
          3    5      7              2n + 1               ⎛1 1 ⎞ ⎛ 1 1 ⎞          ⎛ 1        1 ⎞
             +     +       + ... + 2                 =    ⎜   − ⎟ + ⎜ − ⎟ + ... + ⎜ 2 −
                                                                                  ⎜n
                                                                                                  ⎟
        1 ⋅ 4 4 ⋅ 9 9 ⋅ 16        n ( n + 1)                                            ( n + 1) ⎟
                                             2                                                  2
                                                          ⎝1 4 ⎠ ⎝ 4 9 ⎠          ⎝               ⎠
                                                                  1
                                                     =   1−
                                                              ( n + 1)
                                                                       2



         15. ผูสอนอาจจะแนะนําสัญลักษณ ∑ ในหัวขอเรื่องสัญลักษณแทนการบวก ไปพรอม
กับหัวขอเรื่องผลบวกของอนุกรมอนันตเลยก็ได หากพิจารณาแลวเห็นวาสอดคลองกับแนว
ทางการจัดการเรียนการสอนที่ปฏิบัติอยู
         16. ในหนังสือเรียนหัวขอ 1.2.2 ไดกลาวถึงสมบัติของ ∑ ที่ควรทราบไว สมบัติ
เหลานั้นแสดงใหเห็นจริงไดโดยงาย ผูสอนควรเชิญชวนใหผูเรียนทดลองพิสูจนสมบัติตาง ๆ ดวย
ตนเอง ดังนี้
                  n
       (1)       ∑c               =         nc                             เมื่อ c เปนคาคงตัว
                 i =1
                   n
                 ∑c               =         c + c + c + ... + c
                 i =1
                                                         n พจน
                                  =         nc
                  n                              n
       (2)       ∑ cai            =         c∑ a i                         เมื่อ c เปนคาคงตัว
                 i=1                         i =1
                  n
                 ∑ cai            =         ca1 + ca2 + ca3 + ... + can
                 i=1
                                  =         c(a1 + a2 + a3 + ... + an)
                                                 n
                                  =         c∑ a i
                                             i =1
                  n                          n                n
       (3)       ∑ (ai + bi )     =         ∑ a i + ∑ bi
                 i =1                       i =1             i =1
                   n
                 ∑ (ai + bi )     =         (a1 + b1) + (a2 + b2) + (a3 + b3) + ... + (an + bn)
                 i =1
                                  =         (a1 + a2 + a3 + ... + an) + (b1 + b2 + b3 + ... + bn)
                                             n                n
                                  =         ∑ a i + ∑ bi
                                            i =1             i =1
9
                                                          n                               n        n
       ในทํานองเดียวกันจะแสดงไดวา ∑ (ai − bi ) = ∑ ai − ∑ bi
                                                         i =1                            i =1     i =1
                                           n
       17. ในการหาผลบวก ∑ i นอกจากวิธีที่แสดงไวในหนังสือเรียนแลว ยังแสดงไดโดยวิธี
                                         i =1
                                     n                        n
เดียวกันกับที่ใชหาสูตรของ ∑ i2 หรือ ∑ i3 ดังนี้
                                    i =1                  i =1
                            2                       2
            เนื่องจาก n – (n – 1)                                             =       2n – 1                          -----(1)
                      (n – 1)2 – (n – 2)2                                     =       2(n – 1) – 1                    -----(2)
                      (n – 2)2 – (n – 3)2                                     =       2(n – 2) – 1                    -----(3)

                                               32 – 22                        =       2(3) – 1                        -----(n–2)
                                               22 – 12                        =       2(2) – 1                        -----(n–1)
                                               12 – 02                        =       2(1) – 1                        -----(n)
                                                                                           n      n
             (1) + (2) + (3) + ... + (n) จะได n2 =                                   2∑ i − ∑1
                                                                                          i=1     i=1
                                                                                            n
                                                                              =          2∑ i − n
                                                                                           i=1
                                                                   n                     n2 + n              n(n + 1)
             ดังนั้น                                              ∑i =                                   =
                                                                  i =1                     2                    2
                                                              n           n          n
             หลังจากศึกษาที่มาของสูตร ∑ i , ∑ i , ∑ i แลว ผูสอนอาจถามผูเรียนตอวา
                                                                                2          3

                                                          i =1           i =1       i =1
             n              n
การหาสูตร ∑ i หรือ ∑ i จะดําเนินการตามวิธีการเดิมไดหรือไม ผูสอนอาจแนะนําให
                   4                 5

            i =1           i =1
ผูเรียนเริ่มตนจาก n – (n – 1)5 และ n6 – (n – 1)6 ตามลําดับ
                       5

            18. แบบฝกหัด 1.2 ข ขอ 7 และขอ 9 อาจจะยากเกินไปหากผูเรียนไมสามารถจัดรูปใหม
ได ดังนัน ผูสอนควรใหคาแนะนําเบื้องตนในแตละขอดังนี้
            ้               ํ
                                1                                                        1   1
           7(1)                                                           =                −
                           n ( n + 1)                                                    n n +1
                                           1                                             1⎛ 1         1 ⎞
           7(2)                                                           =                ⎜       −       ⎟
                           ( 2n − 1)( 2n + 1)                                            2 ⎝ 2n − 1 2n + 1 ⎠
                                    1                                                    1⎛      1               1         ⎞
           7(3)                                                           =               ⎜ n ( n + 1) − ( n + 1)( n + 2 ) ⎟
                                                                                          ⎜                                ⎟
                           n ( n + 1)( n + 2 )                                           2⎝                                ⎠
                                1                                                        1⎛1    1 ⎞
           7(4)                                                           =               ⎜ −     ⎟
                           n ( n + 2)                                                    2⎝ n n +2⎠
                                    2n + 1                                               1         1
           9(1)                                                           =                  −
                           n ( n + 1)                                                          ( n + 1)
                                                2                                          2            2
                                2
                                                                                         n
10

กิจกรรมแสนอแนะ
ลิมิตของลําดับ
กิจกรรมที่ 1
      ผูสอนและผูเรียนชวยกันเขียนกราฟของลําดับ an ตอไปนี้บนกระดานดํา หรือใชโปรแกรม
ประเภทตารางทํางาน เชน Microsoft Excel
                       1
         (1) an =
                      2n
         (2) an = 2
                           (−1)n
         (3) an =     1+
                             n
            (4) an = 2n – 1
            (5) an = (–1)n+1
            จากนั้นชวยกันพิจารณากราฟของลําดับ an เมื่อ n มีคามากขึ้นโดยไมมีที่สิ้นสุด คาของ
พจนที่ n ของลําดับ จะมีคาเขาใกลจํานวนจริงใดหรือไม ซึ่งผูเรียนควรบอกไดวา
            สําหรับ ลําดับในขอ (1) คาของพจนที่ n จะเขาใกล 0
                    ลําดับในขอ (2) คาของพจนที่ n จะเปน 2 เสมอ
                    ลําดับในขอ (3) คาของพจนที่ n จะเขาใกล 1
                    ลําดับในขอ (4) คาของพจนที่ n จะมากขึนเรื่อย ๆ
                                                                ้
                    ลําดับในขอ (5) คาของพจนที่ n จะเปน 1 เมื่อ n เปนจํานวนคี่ และ
                                                         เปน –1 เมื่อ n เปนจํานวนคู
            ผูสอนเสนอแนะผูเรียนวาลําดับในขอ (1), (2) และ (3) คาของพจนที่ n จะเขาใกลหรือ
เทากับจํานวนจริงเพียงจํานวนเดียวเทานั้น ในกรณีที่พจนที่ n ของลําดับมีคาเขาใกลหรือเทากับ
จํานวนจริง L เพียงจํานวนเดียวเทานั้น เมื่อ n มีคามากขึ้นโดยไมมีที่สนสุด จะเรียก L วาเปนลิมิต
                                                                              ิ้
ของลําดับนั้น หรือกลาววาลําดับนั้นมีลิมิตเปน L สวนลําดับที่ไมมีสมบัติเชนนี้จะเปนลําดับที่ไมมี
ลิมิต ผูสอนใหผูเรียนบอกวาลําดับขางตนลําดับใดบางมีลิมิตและลิมตเปนเทาใด ลําดับใดไมมีลิมต
                                                                           ิ                           ิ
ซึ่งผูเรียนควรบอกไดวา ลําดับในขอ (1) มีลิมิตเปน 0 ลําดับในขอ (2) มีลิมิตเปน 2 และลําดับใน
ขอ (3) มีลิมิตเปน 1
            ผูสอนทบทวนผูเรียนเกี่ยวกับลําดับที่มีลิมิตเรียกวา ลําดับลูเขา สวนลําดับที่ไมมีลิมิต
เรียกวาลําดับลูออก แลวผูสอนใหผูเรียนบอกวาลําดับทั้งหาลําดับขางตน ลําดับใดเปนลําดับลูเขา
และลําดับใดเปนลําดับลูออก ซึ่งผูเรียนควรบอกไดวา ลําดับในขอ (1), (2) และ (3) เปนลําดับลู
เขา ลําดับในขอ (4) และ (5) เปนลําดับลูออก
11

กิจกรรมที่ 2
        ผูสอนอาจใชการพับกระดาษแสดงความหมายของลิมิตของลําดับบางลําดับไดดังตอไปนี้
                        1       1       1       1        1
เชน พิจารณาลําดับ 1,       ,       ,       ,        ,        ,…
                        2       4       8       16       32


                                                                         1

                                                                          1
                                                                          2


                                                                          1
                                                                          4


                                                                          1
                                                                          8


                                                                           1
                                                                          16


                                                                           1
                                                                          32


        ผูสอนอธิบายวาถาพับกระดาษตอไปอีก จะไดความยาวของกระดาษนอยลงเรื่อย ๆ จน
เกือบเปน 0 แสดงวา ถา n มีคามากขึ้นโดยไมมีที่สิ้นสุด พจนที่ n ของลําดับจะเขาใกล 0 และ
กลาวไดวา ลิมิตของลําดับขางตนเทากับ 0
         


อนุกรมอนันต
กิจกรรมที่ 3
        ผูสอนอาจประยุกตใชกจกรรมตอไปนี้นําเขาเรื่องอนุกรมอนันตได ใหผูเรียนปฏิบติ
                             ิ                                                        ั
ตามลําดับขั้นและตอบคําถามตอไปนี้
        ขั้นที่ 1 ตัดกระดาษขนาด A4 เปนรูปสี่เหลี่ยมผืนผาสามรูปที่เทากัน ดังรูป
12

        ขั้นที่ 2 แยกสวนที่หนึ่งไวกองหนึ่ง สวนที่สองไวอีกกองหนึ่ง เก็บสวนที่สามไวในมือ
        ขั้นที่ 3 ทําซ้ําขั้นที่ 1 และ 2 กับกระดาษสวนที่สามที่อยูในมือไปเรื่อย ๆ

         1. สมมติวากระดาษ A4 มีพื้นที่ 1 ตารางหนวย และสมมติวาสามารถตัดกระดาษซ้ํา
ตอไปไดอีกอยางตอเนื่องไมสิ้นสุด จะมีกระดาษในกองที่หนึ่งเทาไร กองที่สองเทาไร และมี
เหลืออยูในมือเทาไร ใหเขียนผลบวกของเศษสวนทีใชแทนพื้นที่ของกระดาษที่มีอยูในแตละกอง
                                                ่
         ผูเรียนควรตอบไดวา จะมีกระดาษในกองที่หนึ่งและกองที่สองเทากันคือเทากับ
1 1 1 1
 + + + + ...           ตารางหนวย และกระดาษที่อยูในมือจะชิ้นเล็กลงเรื่อย ๆ จนไมสามารถตัด
3 32 33 34
ไดจริง ๆ
          2. สมมติวาสามารถตัดกระดาษซ้ําตอไปไดอีกอยางตอเนืองอยางไมสิ้นสุด เศษสวนในขอ 1
                                                                 ่
จะมีอยูอยางจํากัดหรือนับไมถวน และผลบวกของเศษสวนเหลานันหาคาไดหรือไม
                                                                   ้
          ผูเรียนควรตอบไดวา เศษสวนในขอ 1 มีอยูอยางไมจํากัด แตผลบวกของเศษสวนเหลานั้น
ยังไมแนใจวาจะหาไดหรือไม
          3. อนุกรมอนันต คือ ผลบวกของจํานวนหลาย ๆ จํานวน นับไมถวน เชน 1 + 2 + 3 + 4
+ 5 + ... + n + ... เปนอนุกรมอนันต อนุกรมนี้สามารถหาผลบวกเปนจํานวน ๆ หนึงไดหรือไม
                                                                                  ่
          ผูเรียนควรตอบไดวา ไมสามารถหาผลบวกดังกลาวได
                             
          4. ถาอนุกรมอนันตไมสามารถหาผลบวกเปนจํานวน ๆ หนึ่งได เรียกอนุกรมนั้นวา
                                                               1 1 1 1
อนุกรมลูออก เชน อนุกรมในขอ 3 เปนอนุกรมลูออก อนุกรม         + + + + ...            ลูออก
                                                               2 2 2 23 2 4
หรือไม ใหสรางแบบจําลองการตัดกระดาษคลาย ๆ กับที่ทํามาแลว
                1 1 1 1
        อนุกรม    + + + + ... ยังไมแนใจวาจะหาผลบวกไดหรือไม แบบจําลองการ
                2 2 2 23 2 4
ตัดกระดาษไปเรื่อย ๆ ซึ่งแทนอนุกรม 1 + 12 + 13 + 14 + ... ในขอ 4 เปนดังนี้
                                  2 2 2 2



                                            1
                                            23          1
                                                        24
                                1
                                2
                                                   1
                                                   22
13

กิจกรรมที่ 4
                        n
       การหาสูตร ∑ i นอกจากจะใชวิธีทางพีชคณิตดังที่ปรากฏในหนังสือเรียนแลว ผูสอน
                       i =1
อาจเพิ่มความนาสนใจใหผูเรียนโดยใชพนที่สรุปการหาผลบวกของ i ไดอีกวิธหนึงดังนี้
                                         ื้                              ี ่
        กําหนดใหรูปสี่เหลี่ยมจัตุรัสเล็ก ๆ 1 รูป มีพื้นที่ 1 ตารางหนวย




                                          รูปที่ 1

       จะเห็นวารูปที่ 1 มีพื้นที่เทากับ 1 + 2 + 3 + 4 ตารางหนวย
       ถานํารูปที่ 1 จํานวนสองรูปมาประกอบกัน จะไดรูปสี่เหลี่ยมผืนผาหนึ่งรูป ดังนี้



                                                                       4
        4
                   4                                                                  5

       รูปสี่เหลี่ยมผืนผาที่ไดมีพื้นที่เปนสองเทาของรูปที่ 1 และมีพื้นที่เทากับ 4 × 5 ตารางหนวย
       ดังนัน จึงได 4 × 5 = 2(1 + 2 + 3 + 4)
             ้
                              4×5
                                    = 1+2+3+4
                               2
        ในทํานองเดียวกัน เมื่อ n เปนจํานวนเต็มบวก และตองการหาคาของ 1 + 2 + 3 + ... + n
ก็พิจารณาจากพื้นที่ได




 n                                                                                                     n



               n                                                                  n+1
14

       จะเห็นวารูปซาย มีพื้นที่เทากับ 1 + 2 + 3 + 4 + ... + n ตารางหนวย
       ถานํารูปซายจํานวนสองรูปมาประกอบกัน จะไดรูปสี่เหลี่ยมผืนผาหนึ่งรูปทีมความยาว
                                                                                     ่ ี
n + 1 หนวย และความกวาง n หนวย
       รูปสี่เหลี่ยมผืนผามีพื้นที่เปนสองเทาของรูปซาย และมีพื้นที่เทากับ n(n + 1) ตารางหนวย
       ดังนัน จึงได n(n + 1) = 2(1 + 2 + 3 + 4 + ... + n)
             ้
                                                    n
                                              =   2∑ i
                                                   i=1
                                        n         n(n + 1)
                                       ∑i =          2
                                       i =1



ตัวอยางแบบทดสอบประจําบท
1. ลําดับตอไปนี้เปนลําดับลูเขาหรือลูออก
                           2n                                                  1 − n2
    (1) an =                                      (2)         an =
                         5n − 3                                               2 + 3n 2
                                                                                         n
                         n2 − n + 7                                               ⎛9⎞
    (3) an =                                      (4)         an =            1+ ⎜ ⎟
                          2n 3 + n 2                                              ⎝ 10 ⎠
                                   n
                           ⎛ 1⎞
    (5) an =             2−⎜− ⎟                   (6)         an = 1 + (–1)n
                           ⎝ 2⎠
2. จงตัดสินวาลําดับตอไปนี้เปนลําดับลูเขาหรือลูออก โดยพิจารณาคาของพจนตาง ๆ ในลําดับ
   โดยตรง หรือใชเครื่องคํานวณชวยเขียนกราฟของลําดับ หรือใชทฤษฎีบทเกี่ยวกับลิมต     ิ
                     n−2                                                              1
    (1) an =                                      (2)         an =        (−1) n +1
                     n + 13                                                           n
3. เขียน 0.249 ใหอยูในรูปเศษสวน
4. จงหาคา
           ∞                                                  ∞
    (1) ∑ 2                                       (2)     ∑ 4k
                                                                      1
          3
          n =1
                 n
                                                          k =1
                                                                      2
                                                                          −1
           ∞ 2n + 7 n                                      ∞
                                                                  ⎛       6           6      ⎞
    (3)    ∑             n
                                                  (4)     ∑ ⎜ 4k − 1 − 4k + 3 ⎟
          n =0       9                                      ⎝
                                                          k =1                ⎠
              1    1     1               1
5. อนุกรม        +     +      + ... +          + ...              เปนอนุกรมลูเขาหรือลูออก
             1⋅ 5 2 ⋅ 6 3 ⋅ 7         n(n + 4)
6. การเลนบันจีจัมป (bungee jump) เปนกิจกรรมทาทายที่ผูเลนกระโดดลงมาจากที่สงโดยมีปลาย
                                                                                       ู
   เชือกดานหนึ่งผูกติดลําตัวหรือหัวเขาของผูเลน ปลายเชือกอีกดานหนึ่งผูกติดไวกบฐานกระโดด
                                                                                     ั
   ชายคนหนึงใชเชือกยาว 250 ฟุต กระโดดบันจีจัมปจากฐานกระโดด และพบวาหลังจากใน
              ่
   แตละครั้งที่เขาดิ่งลงถึงตําแหนงต่ําสุด เชือกที่มีความยืดหยุนสูงจะดึงตัวเขาใหลอยขึ้นเปน
   ระยะทาง 55% ของระยะทางที่เขาดิ่งลงถึงตําแหนงต่ําสุด จงหาระยะทางที่ชายคนนี้เคลื่อนที่
   ลอยขึ้นและดิ่งลงทั้งหมด
15

เฉลยตัวอยางแบบทดสอบประจําบท
                 2n                                     2n                               2
1. (1)    lim
         n →∞ 5n − 3
                             =            lim
                                       n →∞ ⎛
                                                                       =       lim
                                                                              n →∞           3
                                                         3⎞
                                                    n⎜5 − ⎟                          5−
                                                     ⎝   n⎠                                  n
                                                          ⎛    3⎞
         เนื่องจาก    lim 2
                      n →∞
                                 = 2 และ              lim ⎜ 5 − ⎟
                                                     n →∞ ⎝
                                                                            = 5
                                                               n⎠
                                      2                                    lim 2                     2
         จะได               lim
                          n →∞            3
                                                     =                 n →∞                  =
                                    5−                               ⎛   3⎞                          5
                                                                  lim 5 − ⎟
                                          n                       n →∞ ⎜
                                                                       ⎝ n⎠
                                    2n                                               2n                  2
         ดังนั้น ลําดับ   an =                  เปนลําดับลูเขา และ          lim
                                                                               n →∞ 5n − 3
                                                                                                 =
                                   5n − 3                                                                5
                                           ⎛ 1      ⎞               1
                                       n 2 ⎜ 2 − 1⎟                    −1
                1− n  2
                                           ⎝n       ⎠ = lim n 2
   (2)     lim
          n →∞ 2 + 3n 2
                          = nlim →∞ 2 ⎛ 2                     n →∞ 2
                                                    ⎞                  +3
                                      n ⎜ 2 + 3⎟
                                           ⎝n       ⎠              n2

         เนื่องจาก nlim ⎛ 12 − 1⎞ = –1 และ nlim ⎛ 22 + 3 ⎞ = 3
                       →∞ ⎜ n       ⎟                    →∞ ⎜ n       ⎟
                           ⎝        ⎠                          ⎝      ⎠
                             1                        ⎛ 1      ⎞
                               −1               lim         − 1⎟
                                               n →∞ ⎜ n 2
         จะได nlim 2 →∞
                            n2         =              ⎝        ⎠    = −1
                               +3                     ⎛ 2      ⎞          3
                                                lim        + 3⎟
                           n2                  n →∞ ⎜ n 2
                                                      ⎝        ⎠
                               1 − n2
                                           เปนลําดับลูเขา และ nlim 1 − n 2
                                                                            2
                                                                                                                 1
         ดังนั้น ลําดับ a n =                                      →∞ 2 + 3n
                                                                                                     =       −
                               2 + 3n 2                                                                          3
                                           ⎛1 1       7 ⎞             1 1     7
                                        n3 ⎜ − 2 + 3 ⎟                  − 2+ 3
                n −n+7
                 2
                                             n n     n ⎠
   (3)     lim
          n →∞ 2n 2 + n 2
                              = nlim ⎝
                                    →∞
                                                            = nlim n n 1 n
                                                                 →∞
                                              3⎛   1⎞
                                            n ⎜2+ ⎟                      2+
                                               ⎝   n⎠                       n

         เนื่องจาก nlim ⎛ 1 − 13 + 73 ⎞ = 0 และ nlim ⎛ 2 + 1 ⎞ = 2
                       →∞ ⎜ n n          ⎟                →∞ ⎜    ⎟
                           ⎝          n ⎠                    ⎝   n⎠
                           1 1       7
                             − 2+ 3
         จะได nlim n n 1 n = 0 = 0
                      →∞
                              2+                 2
                                  n
         ดังนั้น ลําดับ a n = 2 2 เปนลําดับลูเขา และ nlim n − n + 27 = 0
                              n2 − n + 7                           2


                               2n + n                          →∞ 2n 3 + n
                                                                   n
                                                          ⎛ 9⎞
   (4) เนื่องจาก       lim 1
                      n →∞
                                 = 1 และ              lim
                                                     n →∞ ⎜ 10 ⎟
                                                                       =0
                                                          ⎝ ⎠
                           ⎛ ⎛ 9 ⎞n ⎞                                 ⎛9⎞
                                                                                     n

         จะได         lim ⎜ 1 + ⎜ ⎟ ⎟
                      n →∞ ⎜ ⎝ 10 ⎠ ⎟
                                                    =     lim 1 + lim ⎜ ⎟
                                                         n →∞    n →∞ ⎝ 10 ⎠
                           ⎝         ⎠
                                                    = 1+0
                                      ⎛9⎞
                                                n
                                                                                        ⎛ ⎛ 9 ⎞n ⎞
         ดังนั้น ลําดับ an =       1+ ⎜ ⎟            เปนลําดับลูเขา และ          lim ⎜ 1 +    ⎟
                                                                                   n →∞ ⎜ ⎜ 10 ⎟ ⎟
                                                                                                             =1
                                      ⎝ 10 ⎠                                            ⎝ ⎝ ⎠ ⎠
16
                                                          n
                                                ⎛ 1⎞
   (5) เนื่องจาก      lim 2
                     n →∞
                              = 2 และ       lim −
                                           n →∞ ⎜ 2 ⎟
                                                               =0
                                                ⎝   ⎠
                          ⎛     ⎛ 1⎞ ⎞
                                     n
                                                                 ⎛ 1⎞
                                                                            n

         จะได        lim ⎜ 2 − ⎜ − ⎟ ⎟
                     n →∞ ⎜
                                            =        lim 2 − lim ⎜ − ⎟
                          ⎝     ⎝ 2⎠ ⎟ ⎠
                                                    n →∞    n →∞ ⎝ 2 ⎠

                                            = 2–0                   =       2
                            ⎛ 1⎞
                                   n
                                                                         ⎛     ⎛ 1⎞ ⎞
                                                                                    n

         ดังนั้น an =     2−⎜− ⎟       เปนลําดับลูเขา และ         lim ⎜ 2 − ⎜ − ⎟ ⎟
                                                                    n →∞ ⎜
                                                                                          = 2
                            ⎝ 2⎠                                         ⎝     ⎝ 2⎠ ⎟ ⎠

   (6) ลําดับนี้คือ 0, 2, 0, 2, ... ซึ่งไมมีลิมิต ดังนั้น ลําดับนี้เปนลําดับลูออก

2. (1) พิจารณาคาของ an โดยตรง เมื่อ n มีคามากขึ้น n – 2 และ n +13 มีคาใกลเคียงกัน
                                       n−2
         มาก ลิมิตของลําดับ an =                จึงเทากับ 1
                                       n + 13
         ใชทฤษฎีบทเกี่ยวกับลิมิตเพือสนับสนุนการพิจารณาขางตนดังนี้
                                    ่
                                         ⎛ 2⎞                      2
                                       n ⎜1 − ⎟                1−
                 n−2                     ⎝ n⎠
           lim
          n →∞ n + 13
                            = nlim  →∞ ⎛ 13 ⎞
                                                        = nlim 13
                                                            →∞
                                                                   n
                                      n ⎜1 + ⎟                 1+
                                        ⎝      n⎠                  n

         เนื่องจาก nlim ⎛1 − 2 ⎞ = 1 และ nlim ⎛1 + 13 ⎞ = 1
                       →∞ ⎜       ⎟              →∞ ⎜       ⎟
                           ⎝ n⎠                       ⎝   n⎠
                            2                   ⎛ 2⎞
                        1−                  lim ⎜1 − ⎟
                                           n →∞ ⎝     n⎠
         จะได nlim 13 =
                    →∞
                            n
                        1+                      ⎛ 13 ⎞
                                           lim 1 + ⎟
                            n             n →∞ ⎜⎝     n⎠
                                          1
                                    =              =      1
                                          1
         ดังนั้น ลําดับ a n = n − 2 เปนลําดับลูเขา และ nlim n − 2
                                                            →∞ n + 13
                                                                                  =3
                              n + 13

                                                                1                   1 1   1 1
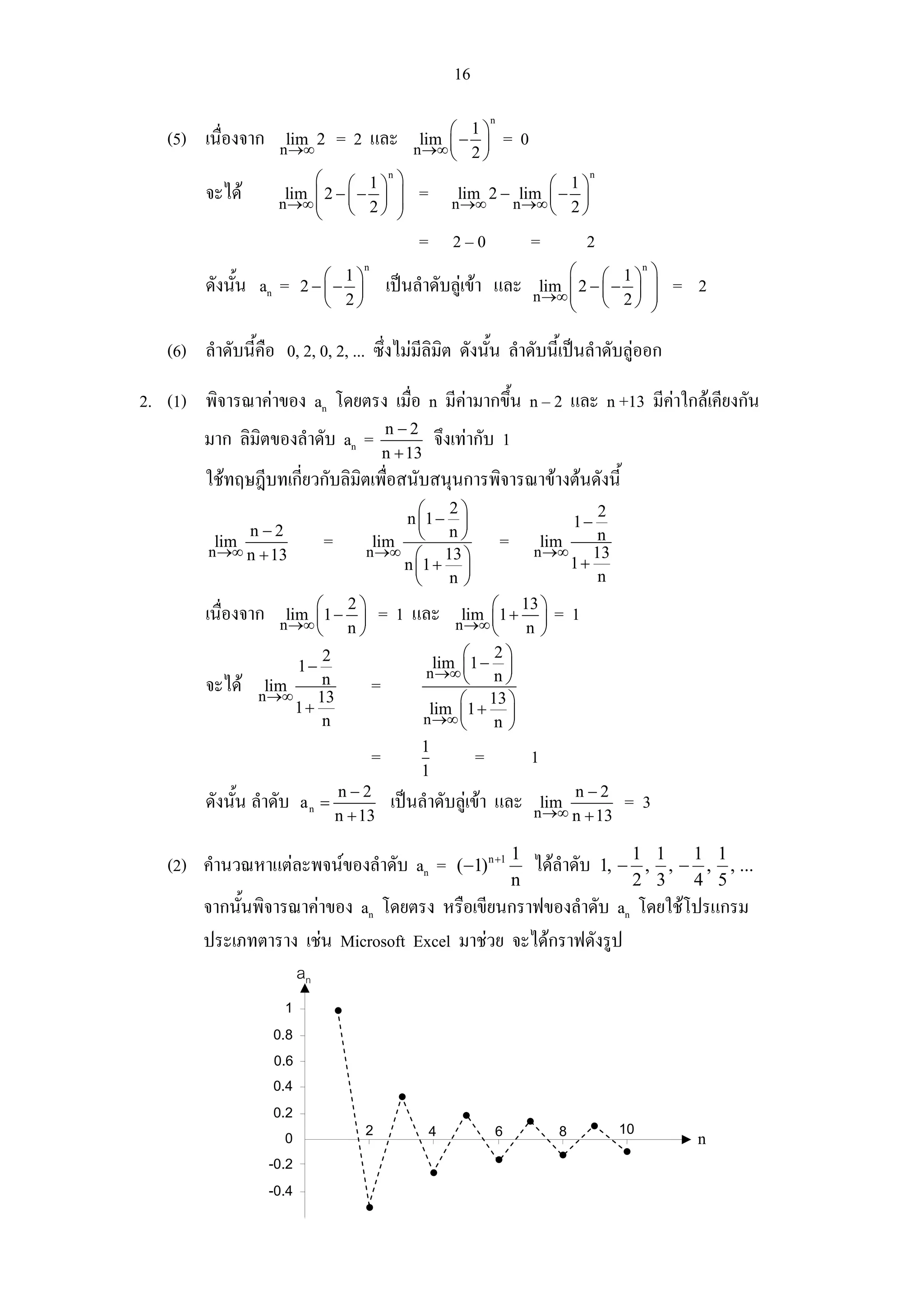
   (2) คํานวณหาแตละพจนของลําดับ an =              (−1) n +1       ไดลําดับ   1, − , , − , , ...
                                                                n                   2 3   4 5
        จากนั้นพิจารณาคาของ an โดยตรง หรือเขียนกราฟของลําดับ an โดยใชโปรแกรม
        ประเภทตาราง เชน Microsoft Excel มาชวย จะไดกราฟดังรูป
                     an
                      1
                    0.8
                    0.6
                    0.4
                    0.2
                      0
                                   2            4          6            8         10
                                                                                            n
                   -0.2
                   -0.4
17

                      จากกราฟ จะเห็นวา an จะเขาใกล 0 เมื่อ n มีคามากขึ้นโดยไมมีที่สนสุด
                                                                                        ิ้
                      ดังนั้น ลําดับ an =                  (−1) n +1
                                                                            1
                                                                                    เปนลําดับลูเขา และ n →∞ ⎛ (−1)n +1 1 ⎞ = 0
                                                                                                          lim ⎜             ⎟
                                                                            n                                 ⎝         n⎠

3.   0.249            =       0.24999...
                      =       0.24 + 0.009 + 0.0009 + 0.00009 + ...
                                           9     9   9
                      =       0.24 +         3
                                               + 4 + 5 + ...
                                          10 10 10
      9     9   9                                                            9
        3
          + 4 + 5 + ...                       เปนอนุกรมเรขาคณิตที่มี a1 =     3
                                                                                   และ r = 1
     10 10 10                                                               10              10
                                           1                        9     9 9
     เนื่องจาก            r       =             <1          อนุกรม 3 + 4 + 5 + ... เปนอนุกรมลูเขา
                                          10                       10 10 10
                                                               9        9
                                           a1                 103     103 =      1
     และมีผลบวกเทากับ                                 =         1
                                                                   = 9              = 0.01
                                          1− r               1−               100
                                                                10     10
                                                                      1
     ดังนั้น     0.249        = 0.24 + 0.01                 = 0.25 =
                                                                      4
               ∞
4. (1) ∑ 2 =          n
                                   2 2 2            2
                                    + 2 + 3 + ... + n + ...
         3     n =1                3 3 3           3
                                                                        2                      1
           เปนอนุกรมเรขาคณิตที่มี a1 =                                         และ r =
                                                                        3                      3
                                                   1                1
           เนื่องจาก           r          =                 =           < 1 อนุกรมนี้เปนอนุกรมลูเขา
                                                   3                3
                                                                            2
                                                    a1
           และมีผลบวกเทากับ                                    =           3
                                                                                1
                                                                                         = 1
                                                   1− r                 1−
                                                                                3
                              ∞
           ดังนั้น ∑ 2 = 1            n
                     3    n =1
                                      n
     (2) ให Sn = ∑ 1
                   4k − 1          k =1
                                               2


                                      1                                    1
           เนื่องจาก                                       =
                               4k − 1 2
                                                                        (2k) 2 − 1
                                                                                1
                                                           =
                                                                        (2k − 1)(2k + 1)
                                                           n ⎛1
                                                                ⎛               1          1       ⎞⎞
           จะได Sn                       =            ∑ ⎜ 2 ⎜ 2k − 1 − 2k + 1 ⎟ ⎟
                                                       k =1⎝ ⎝                 ⎠                    ⎠
                                                       1 n          ⎛       1             1    ⎞
                                          =              ∑ ⎝ 2k − 1 − 2k + 1 ⎠
                                                           ⎜                 ⎟
                                                       2    k =1
                                                       1 ⎛⎛ 1 ⎞ ⎛ 1 1 ⎞ ⎛ 1 1 ⎞           ⎛ 1        1 ⎞⎞
                                          =              ⎜ ⎜1 − ⎟ + ⎜ − ⎟ + ⎜ − ⎟ + ... + ⎜       −       ⎟⎟
                                                       2 ⎝⎝ 3 ⎠ ⎝ 3 5 ⎠ ⎝ 5 7 ⎠           ⎝ 2n − 1 2n + 1 ⎠ ⎠
18

                                           1⎛       1 ⎞
                                 =           ⎜1 −      ⎟
                                           2 ⎝ 2n + 1 ⎠
                                                 1⎛      1 ⎞                                 1
          lim Sn
         n →∞
                                 =          lim ⎜ 1 −
                                           n →∞ 2 ⎝          ⎟                          =
                                                      2n + 1 ⎠                               2
                   ∞
         ดังนั้น ∑ 1                       =        1
                  4k − 1
                k =1
                             2
                                                    2

          ∞ 2n + 7 n                            ∞ 2n                   ∞       n
   (3)   ∑                       =             ∑                    + ∑7
         n =0   9n                             n =0 9
                                                            n
                                                                       9
                                                                      n =0
                                                                               n


                                                ∞ ⎛ 2 ⎞n                  ∞ ⎛ 7 ⎞n
                                 =             ∑⎜               ⎟    + ∑⎜ ⎟
                                               n =0 ⎝ 9 ⎠               ⎝9⎠
                                                                          n =0
                                                   1                  1
                                 =                     2
                                                                +         7
                                               1−                    1−
                                                       9               9
                                               9           9         18 + 63           81
                                 =                  +           =                  =
                                               7 2                        14           14
          ∞ 2n + 7 n                           81
         ∑                       =
         n =0   9n                             14


   (4) ให Sn = ∑ ⎛ 6 − 6 ⎞
                        n

                  ⎜               ⎟
                  ⎝ 4k − 1 4k + 3 ⎠
                       k =1
                                                n
                                                       ⎛        6              6   ⎞
         จะได Sn                =             ∑ ⎝ 4k − 1 − 4k + 3 ⎠
                                                 ⎜                 ⎟
                                               k =1
                                               ⎛ 6⎞ ⎛6 6 ⎞ ⎛ 6 6 ⎞             ⎛ 6        6 ⎞
                                 =             ⎜ 2 − ⎟ + ⎜ − ⎟ + ⎜ − ⎟ + ... + ⎜       −       ⎟
                                               ⎝ 7 ⎠ ⎝ 7 11 ⎠ ⎝ 11 15 ⎠        ⎝ 4n − 1 4n + 3 ⎠
                                                            6
                                 =             2−
                                   4n + 3
                                      ⎛     6 ⎞
          lim S
         n →∞ n
                        =       lim 2 −
                               n →∞ ⎜            ⎟                                     = 2
                                      ⎝   4n + 3 ⎠
                  ∞
         ดังนั้น ∑ ⎛ 6 − 6 ⎞ = 2
                     ⎜               ⎟
                 k =1⎝ 4k − 1 4k + 3 ⎠

                1                    1⎛1  1 ⎞
5. พิจารณา                       =    ⎜ −   ⎟
             k(k + 4)                4⎝k k+4⎠
                            1        1             1                      1
   ดังนั้น Sn =                  +         +               + ... +
                        1⋅ 5         2⋅6       3⋅ 7                  n(n + 4)
                            1 ⎛⎛ 1⎞ ⎛1 1⎞ ⎛1 1⎞ ⎛1 1⎞ ⎛1 1⎞ ⎛1 1 ⎞
                =          ⎜ ⎜1 − ⎟ + ⎜ − ⎟ + ⎜ − ⎟ + ⎜ − ⎟ + ⎜ − ⎟ + ⎜ − ⎟ +
                         4 ⎝ ⎝ 5 ⎠ ⎝ 2 6 ⎠ ⎝ 3 7 ⎠ ⎝ 4 8 ⎠ ⎝ 5 9 ⎠ ⎝ 6 10 ⎠
                        ⎛1 1 ⎞         ⎛1    1 ⎞⎞
                        ⎜ − ⎟ + ... + ⎜ −        ⎟⎟
                        ⎝ 7 11 ⎠       ⎝ n n + 4 ⎠⎠
                        1⎛ 1 1 1⎞ 1⎛              1   1   1     1 ⎞
                =         ⎜1 + + + ⎟ + ⎜ −          −   −     −   ⎟
                        4 ⎝ 2 3 4 ⎠ 4 ⎝ n +1 n + 2 n + 3 n + 4 ⎠
19

                                          ⎛1⎛ 1 1 1⎞ 1⎛ 1        1     1     1 ⎞⎞
   เนื่องจาก     lim Sn
                n →∞
                               =     lim ⎜ ⎜ 1 + + + ⎟ + ⎜ −  −     −     −      ⎟⎟
                                          ⎝ ⎝ 2 3 4 ⎠ 4 ⎝ n +1 n + 2 n + 3 n + 4 ⎠⎠
                                     n →∞ 4

                                     1⎛ 1 1 1⎞
                               =        ⎜1 + + + ⎟
                                     4⎝ 2 3 4⎠
                                     25
                               =
                                     48
                     1         1          1                  1                                                      25
   ดังนั้น อนุกรม          +         +          + ... +               + ...   เปนอนุกรมลูเขา และมีผลบวกเทากับ
                    1⋅ 5       2⋅6       3⋅ 7             n(n + 4)                                                  48

6. ระยะทางทีชายคนนี้เริ่มกระโดดจนถึงตําแหนงต่ําสุดมีระยะทาง 250 ฟุต
               ่
   ชายคนนี้จะลอยขึ้นสูงเปนระยะทาง 55% ของระยะทางที่เขาดิ่งลงถึงตําแหนงต่ําสุด
   มีคาเทากับ 11 ของระยะทางที่เขาดิ่งลงถึงตําแหนงต่ําสุด
                 20
   ระยะทางที่ชายคนนี้ลอยขึ้นครั้งที่ 1 แลวดิ่งลงถึงตําแหนงต่ําสุดมีระยะทาง

                 11           11           11
       คือ 250 ⎛ 20 ⎞ + 250 ⎛ 20 ⎞ = 500 ⎛ 20 ⎞ ฟุต
               ⎜ ⎟          ⎜ ⎟          ⎜ ⎟
               ⎝ ⎠          ⎝ ⎠          ⎝ ⎠

   ระยะทางที่ชายคนนี้ลอยขึ้นครั้งที่ 2 แลวดิ่งลงถึงตําแหนงต่ําสุดมีระยะทางคือ
                     11 11              11 11              11 2
               250 ⎛ 20 ⎞⎛ 20 ⎞ + 250 ⎛ 20 ⎞⎛ 20 ⎞ = 500 ⎛ 20 ⎞
                   ⎜ ⎟⎜ ⎟             ⎜ ⎟⎜ ⎟             ⎜ ⎟                                 ฟุต
                   ⎝ ⎠⎝ ⎠             ⎝ ⎠⎝ ⎠             ⎝ ⎠

   ระยะทางที่ชายคนนี้ลอยขึ้นแลวดิ่งลงเปนเชนนีไปเรื่อย ๆ
                                                ้
   จะไดระยะทางที่ชายคนนี้เคลื่อนที่ลอยขึ้นและดิ่งลงทั้งหมดเทากับ
                                                 2                    3
                  ⎛ 11 ⎞    ⎛ 11 ⎞    ⎛ 11 ⎞
        250 + 500 ⎜ ⎟ + 500 ⎜ ⎟ + 500 ⎜ ⎟ + ...
                  ⎝ 20 ⎠    ⎝ 20 ⎠    ⎝ 20 ⎠
                                                                                        ⎛ 11 ⎛ 11 ⎞2 ⎛ 11 ⎞3    ⎞
                                                                      =       250 + 500 ⎜     + ⎜ ⎟ + ⎜ ⎟ + ... ⎟
                                                                                        ⎜ 20 ⎝ 20 ⎠ ⎝ 20 ⎠      ⎟
                                                                                        ⎝                       ⎠
                                                                                         ⎛ 11 ⎞
                                                                                         ⎜        ⎟
                                                                      =       250 + 500 ⎜ 20 ⎟
                                                                                               11
                                                                                         ⎜1− ⎟
                                                                                         ⎜        ⎟
                                                                                         ⎝ 20 ⎠
                                                                                         ⎛ 11 ⎞
                                                                      =       250 + 500 ⎜ ⎟
                                                                                         ⎝9⎠
                                                 = 861.11
       ดังนั้น ในการกระโดดบันจีจัมปครั้งนี้ ชายคนนี้เคลื่อนที่ลอยขึ้นและดิ่งลงเปนระยะทาง
       ทั้งหมด 861.11 ฟุต
20

                                   เฉลยแบบฝกหัด 1.1 ก
1. (1) a2 =       a1 + 2 – 1 = 0 + 2 – 1 = 1
       a3 =       a2 + 3 – 1 = 1 + 3 – 1 = 3
       a4 =       a3 + 4 – 1 = 3 + 4 – 1 = 6
       a5 =       a4 + 5 – 1 = 6 + 5 – 1 = 10
       ดังนั้น   5 พจนแรกของลําดับนี้คือ 0, 1, 3, 6, 10
   (2) a2 =       1 + 0.05a1 = 1 + 0.05(1000)           = 51
       a3 =       1 + 0.05a2 = 1 + 0.05(51)             = 3.55
       a4 =       1 + 0.05a3 = 1 + 0.05(3.55)           = 1.1775
       a5 =       1 + 0.05a4 = 1 + 0.05(1.1775)         = 1.058875
       ดังนั้น   5 พจนแรกของลําดับนี้คือ 1000, 51, 3.55, 1.1775, 1.058875
   (3) a2 =          6a1 =           6(2) =            12
       a3 =          6a2 =           6(12) =           72
       a4 =          6a3 =           6(72) =           432
       a5 =          6a4 =           6(432) =          2592
       ดังนั้น 5 พจนแรกของลําดับนี้คือ 2, 12, 72, 432, 2592
   (4) a3 =          a2 + 2a1        =         2 + 2(1)         =       4
       a4 =          a3 + 2a2        =         4 + 2(2)         =       8
       a5 =          a4 + 2a3        =         8 + 2(4)         =       16
       ดังนั้น 5 พจนแรกของลําดับนี้คือ 1, 2, 4, 8, 16
   (5) a3 =          a2 + a1         =         0+2              =       2
       a4 =          a3 + a2         =         2+0              =       2
       a5 =          a4 + a3         =         2+2              =       4
       ดังนั้น 5 พจนแรกของลําดับนี้คือ 2, 0, 2, 2, 4
2. (1) เปนลําดับเลขคณิต มีผลตางรวมเปน 2
   (2) เปนลําดับเรขาคณิต มีอัตราสวนรวมเปน –1
   (3) เปนลําดับเลขคณิต มีผลตางรวมเปน –2
                                                   1
   (4) เปนลําดับเรขาคณิต มีอัตราสวนรวมเปน
                                                   3
   (5) ไมเปนทั้งลําดับเลขคณิตและลําดับเรขาคณิต
21

3. (1) d = 4 – (–2) = 6
       เนื่องจาก    an         =         a1 + (n – 1)d
              ∴ an             =         –2 + (n – 1)6
                               =         6n – 8
        พจนที่ n ของลําดับนี้คือ an    = 6n – 8
                1 ⎛ 1⎞              1
   (2) d =       −⎜− ⎟      =
                6 ⎝ 6⎠              3
        เนื่องจาก     an        =        a1 + (n – 1)d
                                            1         1
               ∴      an        =         − + (n − 1)
                                            6         3
                                            3 n
                                =         − +
                                            6 3
                                          2n − 3
                                =
                                             6
                                           2n − 3
        พจนที่ n ของลําดับนี้คือ an =
                                              6

                 1              5
   (3) d =     13 − 11     =
                 2              2
        เนื่องจาก     an        =        a1 + (n – 1)d
                                                        5
               ∴      an        =        11 + (n − 1)
                                                        2
                                          17 5n
                                =            +
                                           2    2
                                          5n + 17
                                =
                                             2
                                           5n + 17
        พจนที่ n ของลําดับนี้คือ an =
                                              2

   (4) d = 22.54 – 19.74 = 2.8
       เนื่องจาก    an        =          a1 + (n – 1)d
              ∴ an            =          19.74 + (n – 1)(2.8)
                              =          2.8n + 16.94
       พจนที่ n ของลําดับนี้คือ an =    2.8n + 16.94
   (5) d = (x + 2) – x = 2
       เนื่องจาก     an       =          a1 + (n – 1)d
              ∴ an            =          x + (n – 1)2
                              =          x + 2n – 2
       พจนที่ n ของลําดับนี้คือ an =    x – 2 + 2n
22

    (6) d = (2a + 4b) – (3a + 2b) = –a + 2b
        เนื่องจาก     an       =       a1 + (n – 1)d
               ∴ an            =       (3a + 2b) + (n – 1)(–a + 2b)
                               =       3a + 2b – na + 2nb + a – 2b
                               =       4a – na + 2nb
        พจนที่ n ของลําดับนี้คือ an = 4a – na + 2nb

4. จะได         5p – p =        6p + 9 – 5p
                 4p      =       p+9
                 3p      =       9
                 p       =       3
    จะได สามพจนแรกของลําดับนี้คือ 3, 15, 27 ลําดับนี้มีผลตางรวมเปน 12
    ดังนั้น สี่พจนตอไปของลําดับนี้คือ 39, 51, 63, 75

5. ใหลําดับนี้มีสามพจนแรกคือ a – d, a, a + d
   จะได         a–d+a+a+d                 =       12              ---------- (1)
                        3   3          3
   และ           (a – d) + a + (a + d) =           408             ---------- (2)
   จาก (1)                        3a       =       12
                                  a        =       4
   จาก (2), a3 – 3a2d + 3ad2 – d3 + a3 + a3 + 3a2d + 3ad2 + d3 = 408
                          3a3 + 6ad2       =       408
                              3      2
                          3(4) + 24d       =       408
                                 24d2 =            408 – 192
                                                     216
                                      d2   =
                                                      24
                                          =        9
                                    d =            3 หรือ –3
    ถา d = 3 แลว จะไดลําดับนี้คือ 1, 4, 7, 10, 13, ...
    ถา d = –3 แลว จะไดลําดับนี้คือ 7, 4, 1, –2, –5, ...
                          −6
6. (1) r         =                =        2
                          −3
           เนื่องจาก    an        =       a1rn–1
                  ∴ an            =       (–3)2n–1
           พจนที่ n ของลําดับนี้คือ an = (–3)2n–1
23
                         −5              1
(2) r     =                   =      −
                         10              2
    เนื่องจาก         an      =      a1rn–1
                                                      n −1
                                        ⎛ 1⎞
          ∴           an      =      10 ⎜ − ⎟
                                        ⎝ 2⎠
                                                      n −1
                                        ⎛ 1⎞
    พจนที่ n ของลําดับนี้คือ an =   10 ⎜ − ⎟
                                        ⎝ 2⎠

                         5
(3) r     =              4
                         1
                              =      5
                         4
    เนื่องจาก         an      =      a1rn–1
                                     ⎛ 1 ⎞ n −1
          ∴           an      =      ⎜ ⎟5
                                     ⎝4⎠
                                     ⎛ 1 ⎞ n −1
    พจนที่ n ของลําดับนี้คือ an =   ⎜ ⎟5
                                     ⎝4⎠

                 5
(4) r     =      3
                 5
                      =       2
                 6
    เนื่องจาก         an      =      a1rn–1
                                     ⎛ 5 ⎞ n −1
          ∴           an      =      ⎜ ⎟ (2)
                                     ⎝6⎠
                                     ⎛ 5 ⎞ n −1
    พจนที่ n ของลําดับนี้คือ an =   ⎜ ⎟ (2)
                                     ⎝6⎠

                 1
                                         3
(5) r     =     12
                  2
                              =      −
                −                        8
                  9
    เนื่องจาก         an      =      a1rn–1
                                                             n −1
                                     ⎛ 2 ⎞⎛ 3 ⎞
          ∴           an      =      ⎜ − ⎟⎜ − ⎟
                                     ⎝ 9 ⎠⎝ 8 ⎠
                                                             n −1
                                     ⎛ 2 ⎞⎛ 3 ⎞
    พจนที่ n ของลําดับนี้คือ an =   ⎜ − ⎟⎜ − ⎟
                                     ⎝ 9 ⎠⎝ 8 ⎠

                a 2 b2               a
(6) r     =                   =
                 ab3                 b
    เนื่องจาก         an      =      a1rn–1
                                                        n −1
                                           ⎛a⎞
          ∴           an      =              3
                                     (ab ) ⎜ ⎟
                                           ⎝b⎠
24

                                                            an
                                             =
                                                           b4− n
                                                            an
             พจนที่ n ของลําดับนี้คือ an =
                                                           b4− n


7. (1) ให a1 = –15 และ a5 = –1215
       จะได a5 = a 1r4 = –1215
                  –15r4 = –1215
                     r4 = 81
                     r = –3 หรือ r = 3
       ดังนั้น สามพจนที่อยูระหวาง –15 กับ –1215 คือ 45, –135, 405 หรือ –45, –135, –405
                        4                        27
   (2) ให a1 =              และ a5 =
                        3                         64
                                                 27
             จะได a5 = a 1r4 =
                                             64
                             4 4             27
                               r         =
                             3               64
                                 4            81
                                 r =
                                             256
                                             3                               3
                                 r =               หรือ r =             −
                                             4                               4
                                                       4           27                3 9               3
             ดังนั้น 3 พจนที่อยูระหวาง                  กับ              คือ 1,    ,     หรือ –1,     , −9
                                                       3           64                4 16              4    16


8. ให a เปนจํานวนทีนําไปบวก
                      ่
   จะได       3 + a, 20 + a, 105 + a เปนลําดับเรขาคณิต
                    20 + a                                 105 + a
   ดังนั้น                                   =
                    3+ a                                    20 + a
                   400 + 40a + a2 =                        315 + 108a + a2
                           68a =                           85
                                                           85                        5
                             a               =                          =
                                                           68                        4
                                     5
   จํานวนที่นําไปบวกคือ
                                     4
25

                                                        เฉลยแบบฝกหัด 1.1 ข

1. (1) ลูออก

               n           1           2       3         4        5        6       7            8        9       10
               an          1           0       –1        0        1        0       –1           0        1        0
                  an
         1.5

              1

         0.5

              0                                                                                                  n
                       1       2           3        4        5    6        7       8        9       10
        -0.5

          -1

        -1.5




(2) ลูเขา

          n            1           2          3              4     5           6      7             8           9     10
          an           1           0       –0.333            0    0.2          0   –0.142           0        –0.111   0

                  an
        1.2

          1

        0.8

        0.6

        0.4

        0.2

          0                                                                                                  n
       -0.2 0                  5               10            15         20             25           30

       -0.4
26

(3) ลูเขา

        n              1    2     3     4         5     6     7     8    9 10
        an            2.5 1.666 1.25    1       0.833 0.714 0.625 0.555 0.5 0.454

                  an

        2.5

              2

         1.5

              1

         0.5

              0                                                           n
                  0                10                20            30



(4) ลูออก

        n              1   2     3      4        5     6      7    8    9    10
        an             2   2   2.666    4       6.4 10.666 18.285 32 56.888 102.4


                      an
              60

              50

              40

              30

              20

              10

                  0                                                           n
                      0        2            4        6        8
27

(5) ลูออก

        n           1      2    3    4    5        6    7        8    9    10
        an          0      4    0    8    0        12   0        16   0    20


                    an
              40
              35
              30
              25
              20
              15
              10
               5
               0                                                                n
                    0            5            10            15            20




(6) ลูเขา

       n 1                 2      3     4     5     6     7     8     9     10
       an 3.5            3.75   3.875 3.937 3.968 3.984 3.992 3.996 3.998 3.999


                    an
              4.1

               4

              3.9

              3.8

              3.7

              3.6

              3.5

              3.4                                                                   n
                    0            2            4             6              8
28

(7) ลูเขา

  n 1                 2    3        4          5      6         7       8       9         10
  an 4                2    1       0.5       0.25   0.125     0.0625 0.03125 0.015625 0.0078125

                  an
              9
              8
              7
              6
              5
              4
              3
              2
              1
              0                                                                       n
                  0                    2            4             6           8




(8) ลูเขา

       n    1                    2           3     4     5     6     7     8     9     10
       an 0.666                0.816       0.873 0.903 0.922 0.934 0.943 0.950 0.955 0.960


                      an
              1.2

                  1

              0.8

              0.6

              0.4

              0.2

                  0                                                               n
                      0                5            10           15         20
29

(9) ลูออก

  n     1     2      3     4      5     6      7     8      9      10
  an –1.333 1.777 –2.370 3.160 –4.213 5.618 –7.491 9.988 –13.318 17.757


                an
         20

         15

         10

          5

          0                                                                      n
                0           2        4       6            8       10    12
         -5

        -10

        -15




(10) ลูเขา

         .n           1           2    3    4     5     6     7     8     9     10
         an          0.25       0.333 0.3 0.222 0.147 0.090 0.053 0.031 0.017 0.009



                     an
          0.35

               0.3

          0.25

               0.2

          0.15

               0.1

          0.05

                0                                                            n
                     0          2        4       6            8    10    12
30

2. ไมเห็นดวย เพราะเปนการสรุปที่ไมถูกตอง ถา x n และ                                   yn   เปนลําดับ การที่จะกลาววา
        ⎛x ⎞                  lim x n
    lim ⎜ n ⎟
    n →∞ y
                      =       n →∞
                                             ไดนน ขอตกลงเบืองตนเกียวกับ
                                                 ั้          ้       ่                      lim x n   และ   lim y n   ตองเปน
        ⎝ n⎠                  lim y n                                                       n →∞            n →∞
                              n →∞

   จริงกอน ขอกําหนดเบื้องตนนั้นคือ                         lim x n
                                                              n →∞
                                                                           และ   lim y n
                                                                                 n →∞
                                                                                           ตองหาคาได
   ในกรณีน้ี ตองจัดรูป an และ bn กอนการใชทฤษฎีบทเกี่ยวกับลิมิต ดังนี้
                                                               1                               1
                                                     n 4 (2 −    )                         2−
         2n 4 − n 2                                           n2                              n2
   จาก                                   =                                       =
         3n 4 + 13                                   n 4 (3 +
                                                              13
                                                                 )                         3+
                                                                                              13
                                                              n4                              n4
                                         1
   และเนื่องจาก           lim(2 −           )    = 2 และ lim(3 + 13 ) = 3
                          n →∞           n2                         n →∞n4
                                                                          1
                                                                      2−
   ดังนั้น            lim
                           2n 4 − n 2
                                                     =            lim    n2
                      n →∞ 3n 4 + 13                             n →∞    13
                                                                      3+
                                                                         n4

                                                                         1
                                                                 lim(2 −   )
                                                     =           n →∞   n2
                                                                        13
                                                                 lim(3 + 4 )
                                                                 n →∞   n

                                                                 2
                                                     =
                                                                 3


                     8                               8      1
3. (1)       lim                     =                 lim
             n →∞   3n                               3 n →∞ n

                                                     8
                                     =                 (0)
                                                     3
                                     =               0
                                                 8
             ดังนั้น ลําดับ an =                         เปนลําดับลูเขา
                                                3n
                                                     n
                         8n                  ⎛8⎞
   (2) จาก                           =       ⎜ ⎟
                         7n                  ⎝7⎠
                                                                n
                              8n                         ⎛8⎞
             จะได       lim
                         n →∞ 7 n
                                         =           lim ⎜ ⎟
                                                     n →∞ 7
                                                         ⎝ ⎠
                          n
                 ⎛8⎞                                                8
             lim ⎜ ⎟             หาคาไมได เพราะ                         >1
             n →∞ 7
                 ⎝ ⎠                                                7
                                                8n
             ดังนั้น ลําดับ an =                          เปนลําดับลูออก
                                                7n

   (3)       (−1) n  = 1 เมื่อ n เปนจํานวนคู และ (−1) = –1 เมื่อ n เปนจํานวนคี่
                                                                                 n



             ดังนั้น ลําดับ an = (–1)n ไมมีลิมิต และเปนลําดับลูออก
31
                  n                                n
            ⎛1⎞                         ⎛1⎞
(4)   lim 3 ⎜ ⎟          =         3lim ⎜ ⎟
      n →∞
            ⎝2⎠                     n →∞ 2
                                        ⎝ ⎠
                         =        3(0)
                         =        0
                                        n
                                  ⎛1⎞
      ดังนั้น ลําดับ an =        3⎜ ⎟        เปนลําดับลูเขา
                                  ⎝2⎠

                                                    1
(5) เนื่องจาก     lim 4      = 4 และ         lim           =0
                  n →∞                       n →∞   n
                    ⎛   1⎞                                           1
      จะได    lim ⎜ 4 + ⎟        =              lim 4 + lim
               n →∞
                    ⎝   n⎠                       n →∞           n →∞ n


                                  =              4+0
                                  =              4
                                       1
      ดังนั้น ลําดับ an =         4+         เปนลําดับลูเขา
                                       n

              6n − 4               6n 4                                                2
(6) จาก                  =           −                          =                1–
               6n                  6n 6n                                              3n
                                                      ⎛ 2 ⎞
      และเนื่องจาก       lim1    = 1 และ         lim ⎜ ⎟ = 0
                                                 n →∞ 3n
                         n →∞
                                                      ⎝ ⎠
                    ⎛ 6n − 4 ⎞                         ⎛    2 ⎞
      จะได    lim ⎜         ⎟    =               lim ⎜1 − ⎟
               n →∞
                    ⎝ 6n ⎠                        n →∞
                                                       ⎝ 3n ⎠
                                                               2
                                  =               lim1 − lim
                                                  n →∞   n →∞ 3n


                                  =              1–0
                                  =              1
                                  6n − 4
      ดังนั้น ลําดับ an =                        เปนลําดับลูเขา
                                   6n

(7) เมื่อ n มีคาเพิ่มขึ้น คาของพจนที่ n ของลําดับนี้จะเพิ่มขึ้น และไมเขาใกลจํานวนใด
    จํานวนหนึ่ง
                                  3n + 5
      ดังนั้น ลําดับ an =                        เปนลําดับลูออก
                                    6

                 n                     n                                 1
(8) จาก                  =                              =
               n +1                ⎛        1⎞
                                                                    1+
                                                                             1
                                 n ⎜1 +      ⎟
                                   ⎝        n⎠                               n
                                                            1
      และเนื่องจาก        lim1    = 1 และ           lim          = 0
                          n →∞                      n →∞    n
                                                      ⎛     ⎞
                   ⎛ n ⎞                              ⎜ 1 ⎟
      จะได    lim ⎜      ⎟       =              lim ⎜      ⎟
                                                      ⎜1+ 1 ⎟
               n →∞ n + 1
                   ⎝      ⎠                      n →∞
                                                      ⎜     ⎟
                                                      ⎝   n⎠
32

                                                         lim1
                                   =                     n →∞
                                                                      1
                                                 lim1 + lim
                                                 n →∞          n →∞   n
                                                  1
                                   =
                                                 1+ 0
                                   =             1
                                   n
     ดังนั้น ลําดับ an =                  เปนลําดับลูเขา
                                 n +1

                          4
(9) เนื่องจาก     lim          = 0 และ nlim 5n             = 0
                  n →∞   n2              →∞ n 2

                          ⎛ 4 + 5n ⎞                                   4          5n
     จะได           lim ⎜      2  ⎟      =                     lim      2
                                                                           + lim 2
                     n →∞
                          ⎝ n ⎠                                 n →∞   n     n →∞ n


                                                 =              0+0
                                                 =              0
                                 4 + 5n
     ดังนั้น ลําดับ an =                    เปนลําดับลูเขา
                                   n2

                                    ⎛ 1⎞                                   1
                                    n⎜2 −⎟                            2−
             2n − 1                 ⎝ n⎠
(10) จาก                  =                               =                n
                                                                           1
             3n + 1                 ⎛ 1⎞                              3+
                                  n ⎜3 + ⎟
                                    ⎝ n⎠                                   n
                              ⎛ 1⎞                                             ⎛     1⎞
     และเนื่องจาก         lim ⎜ 2 − ⎟ = 2
                         n →∞ ⎝
                                                         และ        lim 3 + ⎟
                                                                   n →∞ ⎜
                                                                                          = 3
                                    n⎠                                  ⎝ n⎠
                                                      ⎛   1⎞
                                                 lim ⎜ 2 − ⎟
                      2n − 1                     n →∞
                                                      ⎝   n⎠
     จะได     lim                 =
               n →∞   3n + 1                          ⎛   1⎞
                                                 lim ⎜ 3 + ⎟
                                                 n →∞
                                                      ⎝   n⎠
                                                 2
                                   =
                                                 3
                                 2n − 1
     ดังนั้น ลําดับ an =                   เปนลําดับลูเขา
                                 3n + 1

             3n 2 − 5n
(11) an =                  เปนลําดับลูออก
              7n − 1

              7n 2                        7n 2                             7
(12) จาก                   =                                   =               3
             5n 2 − 3                  ⎛     3 ⎞
                                                                       5−
                                    n2 ⎜ 5 − 2 ⎟
                                       ⎝    n ⎠                                n2
                                                         ⎛     3 ⎞
     และเนื่องจาก        lim 7    = 7 และ            lim ⎜ 5 − 2 ⎟                 = 5
                         n →∞
                                                         ⎝
                                                        n →∞  n ⎠
                     7n 2                        lim 7
     จะได     lim
               n →∞ 5n 2 − 3
                                   =             n →∞

                                               ⎛    3 ⎞
                                          lim ⎜ 5 − 2 ⎟
                                          n →∞
                                               ⎝   n ⎠
33

                                              7
                                     =
                                              5
                                   7n 2
       ดังนั้น ลําดับ an =                    เปนลําดับลูเขา
                                  5n 2 − 3

               4n 2 − 2n + 3                      2 3
(13) จาก                             =        4−    +
                    n2                            n n2
                                                   2                    3
       และเนื่องจาก        lim 4 =       4,   lim     =      0 และ      lim=          0
                           n →∞               n →∞ n                    n2
                                                                        n →∞

                      ⎛ 4n 2 − 2n + 3 ⎞                           ⎛   2 3 ⎞
       จะได     lim ⎜                ⎟           =          lim ⎜ 4 − + 2 ⎟
                 n →∞
                      ⎝      n2       ⎠                      n →∞
                                                                  ⎝   n n ⎠
                                                                              2        3
                                                  =          lim 4 − lim        + lim 2
                                                             n →∞      n →∞   n   n →∞ n


                                                  =          4–0+0
                                                  =          4
                                  4n 2 − 2n + 3
       ดังนั้น ลําดับ an =                             เปนลําดับลูเขา
                                       n2

                                        ⎛    1 ⎞               1
                                    n2 ⎜ 3 − 2 ⎟         3− 2
               3n − 1
                   2
                                        ⎝    n ⎠
(14)   จาก                    =                    = 10       n
              10n − 5n 2              2 ⎛ 10   ⎞              −5
                                    n ⎜ − 5⎟
                                        ⎝n     ⎠           n

       และเนื่องจาก nlim ⎛ 3 − 12 ⎞ = 3 และ nlim ⎛ 10 − 5 ⎞
                            ⎜        ⎟               →∞ ⎜ n       ⎟                = –5
                         →∞
                            ⎝    n ⎠                      ⎝       ⎠
                                                      ⎛      1 ⎞
                                                 lim ⎜ 3 − 2 ⎟
                   ⎛ 3n 2 − 1 ⎞                  n →∞
                                                      ⎝      n ⎠
       จะได nlim ⎜
                →∞ 10n − 5n 2
                                ⎟          =
                   ⎝            ⎠                     ⎛ 10      ⎞
                                                 lim ⎜ − 5 ⎟
                                                 n →∞
                                                      ⎝  n      ⎠
                                                    3
                                           =     −
                                                   5
       ดังนั้น ลําดับ an = 3n − 1 2 เปนลําดับลูเขา
                                  2


                              10n − 5n

                         1
(15) เนื่องจาก      lim    = 0 และ nlim 1 = 0
                                     →∞ n + 1
                    n →∞ n
                       ⎛1     1 ⎞                  1        1
       จะได       lim ⎜ −      ⎟     =       lim − lim
                                                     n →∞ n + 1
                   n →∞ n
                       ⎝    n +1⎠             n →∞ n


                                                  =          0–0
                                                  =          0
                                  1   1
       ดังนั้น ลําดับ an =          −              เปนลําดับลูเขา
                                  n n +1
34
                                                                               n +1
            3n +1                   3n +1                       1⎛ 3⎞
(16) จาก                   =                           =         ⎜ ⎟
            5n + 2                 5 ⋅ 5n +1                    5⎝ 5⎠
                                                                    n +1
                      3n +1                             1⎛ 3⎞
    จะได        lim
                 n →∞ 5n + 2
                                        =          lim ⎜ ⎟
                                                   n →∞ 5 5
                                                         ⎝ ⎠
                                                                    n +1
                                                   1     ⎛3⎞
                                        =            lim ⎜ ⎟
                                                   5 n →∞ 5
                                                         ⎝ ⎠
                                                   1
                                        =            (0)
                                                   5
                                        =          0
                                       n +1
                                   3
    ดังนั้น ลําดับ an =                       เปนลําดับลูเขา
                                   5n + 2

                                                                                          n −1
            2n −1 + 3                     2n −1        3                   1  ⎛2⎞                       1
(17) จาก                       =                    + n+2       =             ⎜ ⎟                 +
                                                                                                       n +1
             3n + 2                      27 ⋅ 3n −1
                                                     3                     27 ⎝ 3 ⎠                   3
                                ⎛ 1 2 n −1 ⎞                    1                          ⎛ 1 ⎞
    และเนื่องจาก            lim ⎜ ⎛ ⎞⎜ ⎟   ⎟           =                   และ         lim ⎜       ⎟          = 0
                           n →∞ ⎜ 27 ⎝ 3 ⎠
                                ⎝
                                           ⎟
                                           ⎠                27                        n →∞ ⎜ 3n +1 ⎟
                                                                                           ⎝       ⎠
                         2n −1 + 3                      ⎛ 1 2 n −1     1 ⎞
    จะได            lim
                     n →∞ 3n + 2
                                        =           lim ⎜ ⎛ ⎞
                                                        ⎜ 27 ⎜ 3 ⎟
                                                                   +       ⎟
                                                                      n +1 ⎟
                                                   n →∞ ⎝ ⎝ ⎠        3     ⎠
                                                                      n −1
                                                   1      ⎛2⎞                                 1
                                        =             lim ⎜ ⎟                  + lim        n +1
                                                   27 n →∞ 3
                                                          ⎝ ⎠                     n →∞    3
                                                   1
                                        =             (0) + 0
                                                   27
                                        =          0
                                       n −1
                                   2       +3
    ดังนั้น ลําดับ an =                          เปนลําดับลูเขา
                                       3n + 2

                                     ⎛          1 ⎞                      1
                                   n ⎜1 −         ⎟                   1−
              n −1                   ⎝           n⎠                       n
(18) จาก                   =                               =             1
              n +1                   ⎛          1 ⎞                   1+
                                   n ⎜1 +         ⎟
                                     ⎝           n⎠                       n
                                    1                                                 1
    และเนื่องจาก           lim(1 −     )        = 1 และ             lim(1 +                )      = 1
                           n →∞      n                              n →∞              n
                                                        ⎛           1 ⎞
                                                   lim ⎜ 1 −          ⎟
                           n −1                    n →∞
                                                        ⎝            n⎠
    จะได      lim                      =
               n →∞        n +1                         ⎛           1 ⎞
                                                   lim 1 +
                                                   n →∞ ⎜             ⎟
                                                        ⎝            n⎠
                                        =          1
                                       n −1
    ดังนั้น ลําดับ an =                          เปนลําดับลูเขา
                                       n +1
35

                                                    1                                  1
                                          n 1−                                1−
              n2 −1                                 n2                                 n2
(19) จาก                     =                                  =
              4n                               4n                                  4
                                      1
     และเนื่องจาก       lim 1 −                = 1 และ              lim 4    = 4
                        n →∞          n2                            n →∞


                                                                    1
                                                           1−
                   n2 −1                                            n2
     จะได    lim                     =             lim
              n →∞ 4n                               n →∞        4
                                                    1      ⎛   1 ⎞
                                      =               lim ⎜1 − 2 ⎟
                                                    4 n →∞ ⎝ n ⎠
                                                    1
                                      =               1
                                                    4
                                                    1
                                      =
                                                    4
                                      n2 −1
     ดังนั้น ลําดับ an =                            เปนลําดับลูเขา
                                      4n


                                                                    1                            1
                                                         n 4−                               4−
                      4n − 1
                         2
                                                                    n2                           n2
(20) จาก                                   =                                   =
               2n + 3 n 3 + 2                        ⎛          2 ⎞                2
                                                    n⎜ 2 + 3 1+ 3 ⎟       2 + 3 1+ 3
                                                     ⎝         n ⎠                n
                            ⎛     1 ⎞                              ⎛            ⎞
     และเนื่องจาก       lim ⎜ 4 − 2 ⎟
                            ⎜                      = 2 และ nlim ⎜ 2 + 3 1 + 23 ⎟ = 3
                        n →∞
                            ⎝    n ⎟⎠
                                                                →∞ ⎜
                                                                   ⎝        n ⎟ ⎠
                                                                                 1
                                                                            4−
                             4n − 1
                                 2
                                                                                 n2
     จะได      lim                                =            lim
                n →∞
                       2n + 3 n 3 + 2                           n →∞                2
                                                                         2 + 3 1+
                                                                                    n3
                                                                       ⎛       1 ⎞
                                                                  lim ⎜ 4 − 2 ⎟
                                                                    n →∞
                                                                       ⎝      n ⎠
                                                   =
                                                                     ⎛          2 ⎞
                                                                lim ⎜ 2 + 3 1 + 3 ⎟
                                                                n →∞
                                                                     ⎝          n ⎠
                                                                2
                                                   =
                                                                3
                                          4n − 1
                                               2
     ดังนั้น ลําดับ an =                                   เปนลําดับลูเขา
                                     2n + 3 n 3 + 2

             ( −1)n
(21) an =              เปนลําดับลูเขา
                n

             8n 2 + 5n + 2
(22) an =                        เปนลําดับลูออก
                3 + 2n
36

4. (1) ไมจริง เชน ลําดับ an = n และ ลําดับ bn = –n เปนลําดับลูออก
        แตลาดับ (an + bn) = n – n = 0 เปนลําดับลูเขา
               ํ
   (2) จริง การพิสูจนโดยขอขัดแยง (proof by contradiction) ทําไดดังนี้
        สิ่งที่กําหนดใหคือ ลําดับ an เปนลําดับลูเขา และ ลําดับ bn เปนลําดับลูออก
        สมมติวา “(an + bn) เปนลําดับลูเขา”
        เนื่องจากลําดับ an และลําดับ (an + bn) เปนลําดับลูเขา จึงไดวา lim a และ
                                                                                                    n →∞
                                                                                                            n


         lim(a n + b n )
         n →∞
                            หาคาได ให         lim a n
                                                 n →∞
                                                            = A และ        lim(a n + b n )
                                                                           n →∞
                                                                                                  =B
         พิจารณา     lim(a n + b n − a n )
                     n →∞
                                                        =      lim b n
                                                               n →∞

         และ         lim(a n + b n − a n )
                     n →∞
                                                        =      lim(a n + b n ) – lim a n
                                                               n →∞                       n →∞

                                               = B–A
         ดังนั้น   lim b n
                   n →∞
                             หาคาได ซึ่งทําให ลําดับ bn เปนลําดับลูเขา
         เกิดขอขัดแยงกับสิ่งทีกําหนดให
                                ่
         จึงสรุปวา ขอความที่สมมติวา “(an + bn) เปนลําดับลูเขา” เปนเท็จ
         นั่นคือ (an + bn) ตองเปนลําดับลูออก
                        r n                                              r n
5. (1)     lim P(1 +      )              =              P lim(1 +          )
           n →∞        12                                   n →∞        12
                                                                                      n
                                        r                                ⎛  r ⎞
          เนื่องจาก               1+      > 1           ดังนั้น     lim ⎜1 + ⎟              หาคาไมได
                                       12                           n →∞
                                                                         ⎝ 12 ⎠
                                             n
                                ⎛   r ⎞
          ดังนั้น an =        P ⎜1 + ⎟             ไมเปนลําดับลูเขา
                                ⎝ 12 ⎠
                                             n
                                ⎛   r ⎞
    (2) จาก an =              P ⎜1 + ⎟
                                ⎝ 12 ⎠
                                                        1.5
          กําหนด              r          =                          =      0.015
                                                        100
                                                             ⎛ 0.015 ⎞
          สิ้นเดือนที่ 1 จะได a1 =                     9000 ⎜1 +    ⎟                =          9011.25
                                                             ⎝    12 ⎠
                                                                                  2
                                                             ⎛ 0.015 ⎞
          สิ้นเดือนที่ 2 จะได a2 =                     9000 ⎜1 +    ⎟                = 9022.51
                                                             ⎝    12 ⎠
                                                                                  3
                                                             ⎛ 0.015 ⎞
          สิ้นเดือนที่ 3 จะได a3 =                     9000 ⎜1 +    ⎟                = 9033.79
                                                             ⎝    12 ⎠
                                                                                  4
                                                             ⎛ 0.015 ⎞
          สิ้นเดือนที่ 4 จะได a4 =                     9000 ⎜1 +    ⎟                = 9045.08
                                                             ⎝    12 ⎠
                                                                                  5
                                                             ⎛ 0.015 ⎞
          สิ้นเดือนที่ 5 จะได a5 =                     9000 ⎜1 +    ⎟                = 9056.39
                                                             ⎝    12 ⎠
                                                                                  6
                                                             ⎛ 0.015 ⎞
          สิ้นเดือนที่ 6 จะได a6 =                     9000 ⎜1 +    ⎟                = 9067.71
                                                             ⎝    12 ⎠
37
                                                                          7
                                                    ⎛ 0.015 ⎞
         สิ้นเดือนที่ 7 จะได a7 =             9000 ⎜1 +    ⎟                      = 9079.05
                                                    ⎝    12 ⎠
                                                                          8
                                                    ⎛ 0.015 ⎞
         สิ้นเดือนที่ 8 จะได a8 =             9000 ⎜1 +    ⎟                      = 9090.39
                                                    ⎝    12 ⎠
                                                                          9
                                                    ⎛ 0.015 ⎞
         สิ้นเดือนที่ 9 จะได a9 =             9000 ⎜1 +    ⎟                      = 9101.76
                                                    ⎝    12 ⎠
                                                                          10
                                                    ⎛ 0.015 ⎞
         สิ้นเดือนที่ 10 จะได a10 =           9000 ⎜ 1 +    ⎟                     = 9113.13
                                                    ⎝     12 ⎠
         ดังนั้น สิบพจนแรกของลําดับ คือ 9011.25, 9022.51, 9033.79, 9045.08, 9056.39,
         9067.71, 9079.05, 9090.39, 9101.76, 9113.13
6. (1) ให an เปนงบรายจายปกติทถูกตัดลงเมื่อเวลาผานไป n ป
                                ี่
       A แทนงบรายจายปกติเปน 2.5 พันลานบาท
                                                              20                                   4
         สิ้นปที่ 1       จะได a1       =         A−             (A)                     =           A
                                                            100                                    5
                                                                                                           2
                                                   4            20 ⎛ 4    ⎞                        ⎛4⎞
         สิ้นปที่ 2       จะได a2       =            A−           ⎜ A⎟                   =       ⎜ ⎟ A
                                                   5            100 ⎝ 5 ⎠                          ⎝5⎠
                                                            2                  2                           3
                                                   ⎛4⎞     20 ⎛ 4 ⎞                                ⎛4⎞
         สิ้นปที่ 3       จะได a3       =        ⎜ ⎟ A−     ⎜ ⎟ A                        =       ⎜ ⎟ A
                                                   ⎝5⎠    100 ⎝ 5 ⎠                                ⎝5⎠

                                                          n
                                                   ⎛4⎞
         สิ้นปท่ี n       จะได an       =        ⎜ ⎟ A
                                                   ⎝5⎠
                                                                               n
                                                                        ⎛4⎞
         ดังนั้น เมื่อเวลาผานไป n ป งบรายจายเปน                 2.5 ⎜ ⎟         พันลานบาท
                                                                        ⎝5⎠
                                              4
   (2) งบรายจายเมื่อสิ้นปที่ 1 เปน             (2.5)                  = 2         พันลานบาท
                                              5
                                                    2
                                              ⎛4⎞
         งบรายจายเมื่อสิ้นปที่ 2 เปน       ⎜ ⎟ (2.5)                  = 1.6        พันลานบาท
                                              ⎝5⎠
                                                    3
                                              ⎛4⎞
         งบรายจายเมื่อสิ้นปที่ 3 เปน       ⎜ ⎟ (2.5)                  = 1.28 พันลานบาท
                                              ⎝5⎠
                                                    4
                                              ⎛4⎞
         งบรายจายเมื่อสิ้นปที่ 4 เปน       ⎜ ⎟ (2.5)                  = 1.024 พันลานบาท
                                              ⎝5⎠
         ดังนั้น งบรายจายในสี่ปแรก หลังถูกตัดงบเปน 2, 1.6, 1.28 และ 1.024 พันลานบาท
         ตามลําดับ
                                                                    n
                       4                               ⎛4⎞
   (3) เนื่องจาก           < 1   จะได         lim 2.5 ⎜ ⎟
                                              n →∞
                                                                         = 0
                       5                               ⎝5⎠
         ดังนั้น ลําดับของงบรายจายนี้เปนลําดับลูเขา
38

                                  เฉลยแบบฝกหัด 1.2 ก

1. (1) ผลบวกยอยของอนุกรมนี้มดังนี้
                             ี
                               1
              S1      =
                               2
                               1 1                                2
              S2      =          +                 =
                               2 6                                3
                               1 1 1                              13
              S3      =          + +               =
                               2 6 18                             18

                                                              n −1
                            1 1 1           1⎛1⎞                                              3n − 1
              Sn      =       + + + ... + ⎜ ⎟                                  =
                            2 6 18          2⎝ 3⎠                                             4 ⋅ 3n −1
                                                                          3n − 1
        ลําดับผลบวกยอยของอนุกรมนี้คือ 1 , 2 , 13 ,               ...,                , ...
                                       2 3 18                             4 ⋅ 3n −1

   (2) ผลบวกยอยของอนุกรมนี้มดังนี้
                             ี
           S1     =      3
           S2     =      3+2                       =              5
              S3      =        3+2+4               =              19
                                       3                           3

                                                           n −1
                                                                                 ⎛ ⎛2⎞          n
                                                                                                    ⎞
              Sn      =        3 + 2 + 4 + ... + 3 ⎛ 2 ⎞
                                                   ⎜ ⎟                =        9 ⎜1 − ⎜ ⎟
                                                                                 ⎜ ⎝3⎠              ⎟
                                                                                                    ⎟
                                       3           ⎝3⎠                           ⎝                  ⎠
                                                    19                  ⎛ ⎛ 2 ⎞n ⎞
        ลําดับผลบวกยอยของอนุกรมนี้คือ 3, 5,           , ...,         9 ⎜ 1 − ⎜ ⎟ ⎟ , ...
                                                                        ⎜ ⎝3⎠ ⎟
                                                     3                  ⎝           ⎠

   (3) ผลบวกยอยของอนุกรมนี้มดังนี้
                             ี
                               1
              S1      =
                               2
                               1 5
              S2      =          +                 =              3
                               2 2
                               1 5 25                             31
              S3      =          + +               =
                               2 2 2                              2


                            1 5 25            1                  1
              Sn      =       + +      + ... + (5) n −1 =      − (1 − 5n )
                            2 2 2             2                  8
        ลําดับผลบวกยอยของอนุกรมนี้คือ 1 , 3, 31 , ..., − 1 (1 − 5n ) , ....
                                       2        2         8
39

(4) ผลบวกยอยของอนุกรมนี้มดังนี้
                          ี
                           1
           S1      =
                           2
                           1     1                      1
           S2      =         + (− )           =
                           2     4                      4
                           1 ⎛ 1⎞ 1                     3
           S3      =         +⎜− ⎟ +          =
                           2 ⎝ 4⎠ 8                     8


                                                                         1⎛ ⎛ 1 ⎞          ⎞
                                                                                       n
                           1 ⎛ 1⎞ 1           (−1) n −1
           Sn      =        + ⎜ − ⎟ + + ... +                    =        ⎜1 − ⎜ − ⎟       ⎟
                           2 ⎝ 4⎠ 8             2n                       3⎜ ⎝ 2 ⎠
                                                                          ⎝
                                                                                           ⎟
                                                                                           ⎠
                                                   1⎛ ⎛ 1 ⎞ ⎞
                                                              n
                                        1 1 3
     ลําดับผลบวกยอยของอนุกรมนี้คือ      , , , ..., ⎜1 − ⎜ − ⎟ ⎟ , ...
                                        2 4 8      3⎜ ⎝ 2 ⎠ ⎟
                                                    ⎝           ⎠


(5) ผลบวกยอยของอนุกรมนี้มดังนี้
                          ี
        S1     =      2
        S2     =      2 + (–1)        =                 1
        S3     =      2 + (–1) + (–4) =                 –3

                                                                               n
           Sn      =       2 + (–1) + (–4) + ... + (5 – 3n)          =           (7 − 3n)
                                                                               2
                                                        n
     ลําดับผลบวกยอยของอนุกรมนี้คือ 2, 1, –3, ...,        (7 − 3n) , ...
                                                        2

(6) ผลบวกยอยของอนุกรมนี้มดังนี้
                          ี
                           3
           S1      =
                           4
                           3 9                          21
           S2      =         +                =
                           4 16                         16
                           3 9 27                       111
           S3      =         + +              =
                           4 16 64                       64


                           3 9 27          ⎛3⎞
                                                    n
                                                                       ⎛ ⎛ 3 ⎞n ⎞
           Sn      =        + +    + ... + ⎜ ⎟               =       3 ⎜1 − ⎜ ⎟ ⎟
                                                                       ⎜ ⎝4⎠ ⎟
                           4 16 64         ⎝4⎠                         ⎝          ⎠
                                        3 21 111                   ⎛ ⎛3⎞ ⎞   n

     ลําดับผลบวกยอยของอนุกรมนี้คือ      , ,     , ...,          3 ⎜ 1 − ⎜ ⎟ ⎟ , ...
                                                                   ⎜ ⎝4⎠ ⎟
                                        4 16 64                    ⎝           ⎠

(7) ผลบวกยอยของอนุกรมนี้มดังนี้
                          ี
        S1     =      0
        S2     =      0+3                     =         3
40

           S3      =       0+3+8                =    11

                                                                   n
                                                                                    2n 3 + 3n 2 − 5n
           Sn      =       0 + 3 + + 8 + ... + (n2 – 1) = ∑ (i 2 − 1) =
                                                                i =1                        6
                                                         3
                                                             + 3n 2 − 5n
     ลําดับผลบวกยอยของอนุกรมนี้คือ 0, 3, 11, ..., 2n                      , ...
                                                                6

(8) ผลบวกยอยของอนุกรมนี้มดังนี้
                          ี
        S1     =      –1
        S2     =      –1 + 0                    =    –1
        S3     =      –1 + 0 + 9                =     8

                                              n 3                3n 4 − 2n 3 − 9n 2 − 4n
           Sn      =       –1 + 0 + 9 + ... + ∑ (i − 2i ) =
                                                         2

                                             i=1                           12

                                            –1, 8, ..., 3n − 2n − 9n − 4n , ...
                                                           4   3      2
     ลําดับผลบวกยอยของอนุกรมนี้คือ –1,
                                                               12

(9) ผลบวกยอยของอนุกรมนี้มดังนี้
                          ี
                             1
           S1      =       −
                            10
                             1  1                                         9
           S2      =       − +                       =                 −
                            10 100                                       100
                             1  1    1                                    91
           S3      =       − +     −                 =                 −
                            10 100 1000                                  1000


                                                                               1⎛ ⎛ 1⎞             ⎞
                                                               n                               n
                                1   1   1          ⎛ −1 ⎞
           Sn      =       −      +   −    + ... + ⎜ ⎟                 =   −      ⎜1 − ⎜ − ⎟       ⎟
                               10 100 1000         ⎝ 10 ⎠                      11 ⎜ ⎝ 10 ⎠
                                                                                  ⎝
                                                                                                   ⎟
                                                                                                   ⎠
                                                                   1⎛ ⎛ 1⎞ ⎞
                                                                              n
                                          1    9       91
     ลําดับผลบวกยอยของอนุกรมนี้คือ     − , −     , −      , ..., − ⎜1 − ⎜ − ⎟ ⎟ , ...
                                         10   100     1000         11 ⎜ ⎝ 10 ⎠ ⎟
                                                                      ⎝         ⎠
(10) ผลบวกยอยของอนุกรมนี้มดังนี้
                           ี
         S1     =      100
         S2     =      100 + 10                 =    110
         S3     =      100 + 10 + 1             =    111

                                                                         1000 ⎛     1 ⎞
           Sn      =       100 + 10 + 1 + 0.1 + ... + 103 – n =               ⎜1 − n ⎟
                                                                           9 ⎝ 10 ⎠
                                                                   1000 ⎛    1 ⎞
     ลําดับผลบวกยอยของอนุกรมนี้คือ 100, 110, 111, ...,                 ⎜1 − n ⎟ , ...
                                                                     9 ⎝ 10 ⎠
41

   (11) ผลบวกยอยของอนุกรมนี้มีดังนี้
            S1      =     1
            S2      =     1–2                                     =             –1
            S3      =     1–2+3                                   =              2
            S4      =     1–2+3–4                                 =             –2
            S5      =     1–2+3–4+5                               =              3
            S6      =     1–2+3–4+5–6                             =             –3

         ลําดับผลบวกยอยของอนุกรมนี้คือ 1, –1, 2, –2, 3, –3, ...
                                 n −1
          1 1 1       1⎛1⎞                                                               1
2. (1)     + + + ... + ⎜ ⎟              + ... เปนอนุกรมเรขาคณิตที่มี r =                    ซึ่ง | r | < 1
          2 6 18      2⎝ 3⎠                                                              3
                                                                            1
                                                                                         3
         ดังนั้น อนุกรมนี้จึงเปนอนุกรมลูเขาที่มีผลบวกเปน                2
                                                                                1
                                                                                     =
                                                                          1−             4
                                                                                3
   (2) อนุกรมลูเขา มีผลบวกเปน 9
                                                1          31
   (3) ลําดับผลบวกยอยของอนุกรมนี้คือ             ,   3,      , ..., − 1 (1 − 5n ) , ...      ลําดับนี้ไมมีลิมิต
                                                2          2           8
         ดังนั้น อนุกรมที่กําหนดให ไมสามารถหาผลบวกได จึงเปนอนุกรมลูออก
                                         1
   (4) อนุกรมลูเขา มีผลบวกเปน
                                         3
                                                                  n
   (5) ลําดับผลบวกยอยของอนุกรมนี้คือ 2, 1, –3, ...,                (7 − 3n) , ...       ลําดับนี้ไมมีลิมิต
                                                                  2
       ดังนั้น อนุกรมที่กําหนดให ไมสามารถหาผลบวกได จึงเปนอนุกรมลูออก
   (6) อนุกรมลูเขา มีผลบวกเปน 3
                                                                      3
                                                                          + 3n 2 − 5n
   (7) ลําดับผลบวกยอยของอนุกรมนี้คือ 0, 3, 11, ..., 2n                                  , ... ลําดับนี้ไมมีลิมิต
                                                                             6
         ดังนั้น อนุกรมทีกําหนดให ไมสามารถหาผลบวกได จึงเปนอนุกรมลูออก
                         ่
                                                                      3n 4 − 2n 3 − 9n 2 − 4n
   (8) ลําดับผลบวกยอยของอนุกรมนี้คือ –1, –1, 8, ...,                                                , ... ลําดับนี้
                                                                                12
         ไมมีลิมิต ดังนั้น อนุกรมที่กําหนดให ไมสามารถหาผลบวกได จึงเปนอนุกรมลูออก
                                           1
   (9) อนุกรมลูเขา มีผลบวกเปน         −
                                          11
                                         1000
   (10) อนุกรมลูเขา มีผลบวกเปน
                                           9
   (11) ลําดับผลบวกยอยของอนุกรมนี้คือ 1, –1, 2, –2, 3, –3, ... ลําดับนี้ไมมีลิมิต
        ดังนั้น อนุกรมทีกําหนดให ไมสามารถหาผลบวกได จึงเปนอนุกรมลูออก
                        ่
42

                       4 + 1 8 + 1 16 + 1                                ⎛ 4 8 16           ⎞ ⎛1 1   1      ⎞
3. (1) จะได                +     +       + ...                 =        ⎜ +      + + ... ⎟ + ⎜ +   + + ... ⎟
                         9    27    81                                   ⎝ 9 27 81          ⎠ ⎝ 9 27 81     ⎠
                                                                           4       1
                                                                =          9 + 9
                                                                              2      1
                                                                         1−     1−
                                                                              3      3
                                                                         ⎛ 4⎞      ⎛ 1 ⎞⎛ 3 ⎞
                                                                =        ⎜ ⎟ (3) + ⎜ ⎟⎜ ⎟
                                                                         ⎝9⎠       ⎝ 9 ⎠⎝ 2 ⎠
                                                                         4 1
                                                                =           +
                                                                         3 6
                                                                         3
                                                                =
                                                                         2
                                   3 3 3         3                                                     1
     (2) อนุกรม            3+       + + + ... + n −1 + ... เปนอนุกรมเรขาคณิตที่มีอัตราสวนรวมเทากับ
                                   2 4 8       2                                                       2
                                       3 3 3            3                    3
               จะได                3 + + + + ... + n −1 + ...      =          1
                                       2 4 8          2                    1−
                                                                               2
                                                                           3
                                                                    =      1
                                                                           2
                                                                                    =                    6
                                                            1                  1                     1                     1
     (3) เมื่อ x เปนจํานวนจริง จะได                           2
                                                                    +
                                                                              2 2
                                                                                        +
                                                                                                  2 3
                                                                                                             + ... +
                                                                                                                             2 n
                                                                                                                                   + ...
                                                          2+x           (2 + x )            (2 + x )                   (2 + x )
                                                                                    1
           เปนอนุกรมเรขาคณิตที่มีอัตราสวนรวมเทากับ                                      2
                                                                                   2+x
                                                                                                1
                                                                                                1
           เนื่องจาก x2            ≥    0 ดังนัน 2 + x2
                                               ้                ≥   2 ซึ่งทําให            2
                                                                                              ≤                  <1
                                                                                        2+x     2
                                                                                                                           1
                           1                1               1                       1                                        2
          ดังนัน
               ้               2
                                   +
                                              2 2
                                                    +
                                                              2 3
                                                                     + ... +
                                                                                     2 n
                                                                                                    + ...    =          2+x
                                                                                                                            1
                       2+x              (2 + x )        (2 + x )               (2 + x )                                1−
                                                                                                                               2
                                                                                                                           2+x
                                                                                                                          1
                                                                                                             =          2
                                                                                                                       x +1
               i
4.        0.9          =               0.9999...
                       =               0.9 + 0.09 + 0.009 + 0.0009 + ...
                              9     9      9   9
                       =         + 2 + 3 + 4 + ...
                             10 10 10 10
                    9    9     9                                                   1
     เนื่องจาก         + 2 + 3 + ... เปนอนุกรมเรขาคณิต ที่มีอัตราสวนรวมเทากับ
                   10 10 10                                                       10
                                                     9
                       9   9      9
     ดังนั้น             +    +      + ...   =      10
                                                       1
                      10 102 103                  1−
                                                      10
                                                  ⎛ 9 ⎞⎛ 10 ⎞
                                             =    ⎜ ⎟⎜ ⎟
                                                  ⎝ 10 ⎠⎝ 9 ⎠
43

                        = 1
                  i
   จะได    0.9         = 1
                  i i
5. (1)      0.21            =   0.212121...
                            =   0.21 + 0.0021 + 0.000021 + ...
                                 21 21 21
                            =        +     +   + ...
                                102 104 106
                                   21
                            =     102
                                     1
                                1− 2
                                    10
                                ⎛ 21 ⎞ ⎛ 10 ⎞
                                           2
                            =   ⎜ 2 ⎟⎜       ⎟
                                ⎝ 10 ⎠ ⎝ 99 ⎠
                                21                7
                            =           =
                                99                33
              i         i
   (2)     0.610 4          =   0.6104104...
                            =   0.6 + 0.0104 + 0.0000104 + 0.0000000104 + ...
                                 6 104 104 104
                            =      +     +  +   + ...
                                10 104 107 1010
                                      104
                                 6       4
                            =      + 10
                                10 1 − 1
                                        103
                                 6 104
                            =      +
                                10 9990
                                5994 + 104
                            =
                                   9990
                                6098
                            =
                                9990
                  i i
   (3)     7.256            =   7.25656...
                            =   7 + 0.2 + 0.056 + 0.00056 + 0.0000056 + ...
                                    2 56 56 56
                            =   7+     +    +  +  + ...
                                   10 103 105 107
                                          56
                                    2       3
                            =   7 + + 10
                                   10 1 − 1
                                           102
                                    2    56
                            =   7+ +
                                   10 990
                                   198 + 56
                            =   7+
                                      990
44
                      254
                =   7
                      990
                      127
                =   7
                      495
          i i
(4)    4.387    =   4.38787...
                =   4 + 0.3 + 0.087 + 0.00087 + 0.0000087 + ...
                         3 87 87 87
                =   4+     +     +  +  + ...
                        10 103 105 107
                               87
                         3       3
                =   4 + + 10
                        10 1 − 1
                                102
                         3 87
                =   4+ +
                        10 990
                        297 + 87
                =   4+
                           990
                      384
                =   4
                      990
                      192
                =   4
                      495
         i i
(5)   0.073     =   0.07373...
                =   0.073 + 0.00073 + 0.0000073 + ...
                     73 73 73
                =        + +    + ...
                    103 105 107
                       73
                =     103
                         1
                    1− 2
                        10
                     73
                =
                    990
          i
(6)     2.9     =   2.999 ...
                =   2 + 0.9 + 0.09 + 0.009 + ...
                        9     9  9
                =   2+     + 2 + 3 + ...
                       10 10 10
                          9
                =   2 + 10
                            1
                       1−
                           10
                       9
                =   2+
                       9
                =   3
45
                                                     2
6. เพราะวา 1 + x + x2 + x3 + ... + xn–1 + ... =
                                                     3
    และเนื่องจาก a1 = 1 , r = x
                   2                1
    จะไดวา               =
                   3               1− x
               2 – 2x      =       3
                                       1
          ∴        x       =       −
                                       2
                                           3                           a1                    3
7. จาก a1 + a1r + a1r2 + a1r3 + ... =           จะได                                =                                 ---------- (1)
                                           2                          1− r                   2
                                           3                           a1                    3
    และ a1 – a1r + a1r2 – a1r3 + ... =          จะได                                =                                 ---------- (2)
                                           4                          1+ r                   4
                  จาก (1),         2a1 + 3r              =              3                                              ---------- (3)
                  จาก (2),         4a1 – 3r              =              3                                              ---------- (4)
                  (3) + (4),       6a1                   =              6
                                   ∴ a1                  =              1
                                                                        3− 2                         1
                  จาก (3) จะได            r             =                               =
                                                                         3                           3
8. (1) รูปสี่เหลี่ยมจัตรัสรูปแรกมีดานยาว 5 หนวย
                       ุ
                                                                  2              2
                                                         ⎛5⎞ ⎛5⎞                                     25
          ดานของรูปสี่เหลี่ยมจัตุรสรูปที่สองยาว
                                   ั                     ⎜ ⎟ +⎜ ⎟                        =
                                                         ⎝2⎠ ⎝2⎠                                     2
                                                                                                     5 2
                                                                                         =                       หนวย
                                                                                                      2
          ดังนั้น รูปสี่เหลี่ยมจัตุรัสรูปที่สองมีเสนรอบรูปยาว               10 2            หนวย
                                                                         2                       2
                                                             ⎛5 2 ⎞ ⎛5 2 ⎞                                       5
    (2) ดานของรูปสี่เหลี่ยมจัตุรสรูปที่สามยาว
                                 ั                           ⎜ 4 ⎟ +⎜ 4 ⎟
                                                             ⎜    ⎟ ⎜    ⎟                               =            หนวย
                                                             ⎝    ⎠ ⎝    ⎠                                       2

          รูปสี่เหลี่ยมจัตรัสรูปที่สามมีเสนรอบรูปยาว 10 หนวย
                          ุ
                                                              2              2
                                                     ⎛5⎞ ⎛5⎞                                         5 2
          ดานของรูปสี่เหลี่ยมจัตุรัสรูปที่สี่ยาว    ⎜ ⎟ +⎜ ⎟                            =                       หนวย
                                                     ⎝4⎠ ⎝4⎠                                          4
          รูปสี่เหลี่ยมจัตรัสรูปที่สี่มีเสนรอบรูปยาว 5 2 หนวย
                          ุ
          จะได ผลบวกของเสนรอบรูปของรูปสี่เหลี่ยมจัตุรัสเปน 20 + 10                                        2   + 10 + 5     2   + ...
                                                                                                                 20
                                                                                         =
                                                                                                                  2
                                                                                                             1−
                                                                                                                 2
                                                          =                                                  20(2 + 2)
9. ความยาวของเสนรอบรูปของรูปสามเหลี่ยมรูปแรก เทากับ 30 นิ้ว
   ความยาวของเสนรอบรูปของรูปสามเหลี่ยมรูปที่สอง เทากับ 15 นิ้ว
                                                                                     15
    ความยาวของเสนรอบรูปของรูปสามเหลี่ยมรูปที่สาม เทากับ                                    นิ้ว
                                                                                      2
46

   ผลบวกของความยาวเสนรอบรูปของรูปสามเหลี่ยมทั้งหมดคือ 30 + 15 + 15 + ...
                                                                                       2
                                                                                     30
                                                                            =          1
                                                                                    1−
                                                                                       2
                                                      = 60
   ∴ ผลบวกความยาวเสนรอบรูปของรูปสามเหลี่ยมทั้งหมดมีคา 60 นิ้ว

10. การแกวงครั้งแรกจากจุดไกลสุดดานหนึ่งไปอีกดานหนึงไดระยะทาง 75 เมตร
                                                     ่
   การแกวงครั้งที่สองไดระยะทาง 75 ⎛ 3 ⎞ เมตร
                                    ⎜ ⎟
                                            ⎝5⎠
                                                                        2
                                        ⎛3⎞ ⎛3⎞
   การแกวงครั้งที่สามไดระยะทาง        ⎜ ⎟ 75 ⎜ ⎟          = 75 ⎛ 3 ⎞ เมตร
                                                                 ⎜ ⎟
                                        ⎝5⎠ ⎝5⎠                 ⎝5⎠
                                                   2                3
                                    ⎛3⎞ ⎛3⎞
   การแกวงครั้งที่สี่ไดระยะทาง    ⎜ ⎟ 75 ⎜ ⎟          = 75 ⎛ 3 ⎞ เมตร
                                                             ⎜ ⎟
                                    ⎝5⎠ ⎝5⎠                   ⎝5⎠
   ระยะทางที่ไดจากการแกวงครั้งใหมเปนเชนนี้ไปเรื่อย ๆ
   ดังนั้น เรือไวกิ้งจะแกวงไปมาตั้งแตเริ่มตนจากจุดสูงสุดเปนระยะทางเทากับ
                              2             3                   ⎛               2   3     ⎞
   75 + 75 ⎛ 3 ⎞ + 75 ⎛ 3 ⎞ + 75 ⎛ 3 ⎞ + ... = 75 ⎜1 + 3 + ⎛ 3 ⎞
           ⎜ ⎟        ⎜ ⎟        ⎜ ⎟                       ⎜ ⎟
                                                                                ⎛3⎞
                                                                              + ⎜ ⎟ + ... ⎟
            ⎝5⎠        ⎝5⎠              ⎝5⎠                     ⎜       5 ⎝5⎠ ⎝5⎠         ⎟
                                                                ⎝                         ⎠
                                                                 ⎛    ⎞
                                                                 ⎜ 1 ⎟
                                                        =     75 ⎜ 3 ⎟
                                                                 ⎜ 1− ⎟
                                                                 ⎜    ⎟
                                                                 ⎝ 5⎠
                                                        = 75 ⎛ 5 ⎞
                                                             ⎜ ⎟
                                                                ⎝2⎠
                                                        = 187.5             เมตร
11. (1) ให an เปนระยะทางที่สารพิษแพรกระจายตอจากตําแหนงเดิมเมื่อเวลาผานไป n ป
        กําหนด a1 = 1500 , a2 = 900 , a3 = 540
        สังเกตวา 900 = 540 = 3
                    1500      900       5
                                                                                              3
         สมมติให an เปนลําดับเรขาคณิตที่มีพจนแรกเปน 1500 และมีอัตราสวนรวมเปน
                                                                                              5
         ให S10 เปนผลบวกของระยะทางที่สารพิษแพรกระจายไปไดเมื่อสิ้นปที่สิบ
                                                                                      9

         จะได          S10         =           1500 + 900 + 540 + ... + 1500 ⎛ 3 ⎞
                                                                              ⎜ ⎟
                                                                              ⎝5⎠
                                                     ⎛ ⎛3⎞ ⎞ 10

                                                1500 ⎜1 − ⎜ ⎟ ⎟
                                                     ⎜ ⎝5⎠ ⎟
                                    =                ⎝          ⎠
                                                         3
                                                      1−
                                                         5
47

                                            5         ⎛ ⎛ 3 ⎞10 ⎞
                                   =          (1500 ) ⎜1 − ⎜ ⎟ ⎟
                                                      ⎜ ⎝5⎠ ⎟
                                            2         ⎝         ⎠
                                                 ⎛    ⎛ ⎞  ⎞ 10

                                   =        3750 ⎜1 − ⎜ 3 ⎟
                                                 ⎜         ⎟
                                                 ⎝     ⎝5⎠ ⎟
                                                           ⎠
                                    =      3727.325
           เมื่อสิ้นปที่สิบ สารพิษจะแพรกระจายไปได 3727.325 เมตร
                                                           1500
   (2) เพราะวา ผลบวกอนันตของอนุกรมนี้เทากับ                3
                                                                        = 3750
                                                           1−
                                                              5
           ดังนั้น สารพิษจะแพรกระจายไปไดไกลทีสุด 3,750 เมตร ซึ่งไปไมถึงโรงเรียน
                                               ่
                                                                          2          n −1
                                                             2 ⎛2⎞          ⎛2⎞
12. ให Sn แทนผลบวกยอย n พจนแรกของอนุกรม                1 + + ⎜ ⎟ + ... + ⎜ ⎟             + ...
                                                             3 ⎝3⎠          ⎝3⎠
                               ⎛ ⎛ 2 ⎞n ⎞
                              1⎜1 − ⎜ ⎟ ⎟
   Sn =
                (
           a1 1 − r n   ) =    ⎜ ⎝3⎠ ⎟
                               ⎝        ⎠   =
                                                  ⎛ ⎛ 2 ⎞n ⎞
                                                3 ⎜1 − ⎜ ⎟ ⎟
              1− r                    2           ⎜ ⎝3⎠ ⎟
                                 1−               ⎝        ⎠
                                      3
                                                                  5
   S1 = 1                                             S2 =                    = 1.6666
                                                                  3
           19                                                     65
   S3 =                 = 2.1111                      S4 =                    = 2.4074
            9                                                     27
            211                                                   665
   S5 =                 = 2.6049                      S6 =                    = 2.7366
            81                                                    243
            2059                                                  6305
   S7 =                  = 2.8244                     S8 =                    = 2.8829
            729                                                   2187
            19171                                                 58025
   S9 =                  = 2.9219                     S10 =                   = 2.9479
             6561                                                 19683
            175099
   S11 =                = 2.9653
             59049


   เมื่อ Sn มีคานอยกวา 3 อยูไมเกิน 1 จะได 2 ≤ Sn < 3
   เมื่อ Sn มีคานอยกวา 3 อยูไมเกิน 0.2 จะได 2.8 ≤ Sn < 3
   เมื่อ Sn มีคานอยกวา 3 อยูไมเกิน 0.05 จะได 2.95 ≤ Sn < 3
   จะได n ที่นอยที่สุด ตามเงือนไขขางตนเปน n = 3, n = 7 และ n = 11 ตามลําดับ
                                ่
                                                             1 1       1
13. ให Sn แทนผลบวกยอย n พจนแรกของอนุกรม                1 + + + ... + + ...
                                                             2 3       n
   โดยใชเครื่องคํานวณ จะได S1             =         1
                                                      3
                                   S2       =                                 =    1.500
                                                      2
48
               11
S3    =                    =   1.833
                6

               25
S4    =                    =   2.083
               12

               137
S5    =                    =   2.283
               60

               49
S6    =                    =   2.450
               20

               363
S7    =                    =   2.592
               140
               761
S8    =                    =   2.717
               280

               7129
S9    =                    =   2.828
               2520

               7381
S10   =                    =   2.928
               2520

               83711
S11   =                    =   3.019
               27720

               86021
S12   =                    =   3.103
               27720

               1145993
S13   =                    =   3.180
                360360

               1171733
S14   =                    =   3.251
                360360

               1195757
S15   =                    =   3.318
                360360

               2436559
S16   =                    =   3.380
               720720

               42142223
S17   =                    =   3.439
               12252240

               14274301
S18   =                    =   3.495
                4084080

               275295799
S19   =                    =   3.547
               77597520
49
                                               55835135
                              S20    =                             =       3.597
                                               15519504

                                               18858053
                              S21    =                             =       3.645
                                                5173168

                                               19093197
                              S22    =                             =       3.690
                                                5173168

                                               444316699
                              S23    =                             =       3.734
                                               118982864

                                               1347822955
                              S24    =                             =       3.775
                                                356948592

                                               34052522467
                              S25    =                             =       3.815
                                               8923714800

                                               34395742267
                              S26    =                             =       3.854
                                               8923714800

                                               312536252003
                              S27    =                             =       3.891
                                               80313433200

                                               315404588903
                              S28    =                             =       3.927
                                               80313433200

                                               9227046511387
                              S29    =                             =       3.961
                                               2329089562800

                                               9304682830147
                              S30    =                             =       3.994
                                               2329089562800

                                               290774257297357
                              S31    =                             =       4.027
                                                72201776446800

         ดังนั้น      n    ที่นอยทีสุด เมื่อ Sn มากกวา 2 คือ 4
                                ่
                      n    ที่นอยทีสุด เมื่อ Sn มากกวา 3 คือ 11
                                    ่
                      n    ที่นอยทีสุด เมื่อ Sn มากกวา 4 คือ 31
                                      ่

14. (1) ไมถูกตอง เพราะ 1 + 2 + 4 + 8 + 16 + 32 + ... เปนอนุกรมอนันตที่เปนอนุกรม
        เรขาคณิต อนุกรมนี้มอัตราสวนรวมเปน 2 ซึ่ง | 2 | > 1 จึงไมสามารถหาผลบวกได
                            ี

   (2) ไมถูกตอง เพราะ 1 – 2 + 4 – 8 + 16 – 32 + ... เปนอนุกรมอนันตที่เปนอนุกรม
       เรขาคณิต อนุกรมนี้มอัตราสวนรวมเปน –2 ซึ่ง | –2 | > 1 จึงไมสามารถหาผลบวกได
                           ี
50

                      a1 (1 − r n )
15.   Sn    =
                         1− r


                          ⎛ ⎛ 3 ⎞n ⎞
                      160 ⎜ 1 − ⎜ ⎟ ⎟
                          ⎜ ⎝2⎠ ⎟
      2110 =              ⎝         ⎠
                                  3
                             1−
                                  2

      n     =            5

16.   ใหพจนแรกของอนุกรมเรขาคณิตเปน a และมีอัตราสวนรวมเปน r
      จะได       a + ar        =       –3
                                                          3
      และ                ar4 + ar5       =            −
                                                          16
                                                1
      แกระบบสมการขางตน จะได r =                  หรือ – 1
                                                2                  2
                1
      ถา r =         แลวจะได a = –2
                2
                 1
      ถา r = –        แลวจะได a = –6
                  2
                                                           255
      ผลบวก 8 พจนแรกของอนุกรมนี้เทากับ               −               ทั้งสองกรณี
                                                              64


18.   เดิมมีแบคทีเรีย 1000 ตัว
                                                          120
      เมื่อเวลาผานไป 1 ชั่วโมง จะมีแบคทีเรีย                      (1000) = 1200 ตัว
                                                          100
                                                                       2
                                                          ⎛ 120 ⎞
      เมื่อเวลาผานไป 2 ชั่วโมง จะมีแบคทีเรีย             ⎜     ⎟          (1000) = 1440 ตัว
                                                          ⎝ 100 ⎠
                                                                       3
                                                          ⎛ 120 ⎞
      เมื่อเวลาผานไป 3 ชั่วโมง จะมีแบคทีเรีย             ⎜     ⎟          (1000) = 1728 ตัว
                                                          ⎝ 100 ⎠
                                                                                 t
                                                                       ⎛ 120 ⎞
      ดังนั้น เมื่อเวลาผานไป t ชั่วโมง จะมีแบคทีเรีย                  ⎜     ⎟       (1000)
                                                                       ⎝ 100 ⎠
                                             10
                                      ⎛ 120 ⎞
      เมื่อ t = 10 จะได a10 =        ⎜     ⎟     (1000)        ≈       6191 ตัว
                                      ⎝ 100 ⎠
51

                                                        เฉลยแบบฝกหัด 1.2 ข
          4
1. (1) ∑ 2i                      =                2+4+6+8
         i =1
          52
   (2) ∑ ( i + 2 )               =                (1 + 2) + (2 + 2) + (3 + 2) + ... + (50 + 2) + (51 + 2) + (52 + 2)
         i =1
           4
   (3) ∑ (10 − 2k ) =                             (10 – 2) + (10 – 4 ) + (10 – 6) +(10 – 8)
         k =1
          20
   (4) ∑ ( i      2
                      + 4)       =                (12 + 4) + (22 + 4) + (32 + 4) + ... + (182 + 4) + (192 + 4) + (202 + 4)
         i =1

          5
2. (1) ∑ 3j = 3(1) + 3(2) + 3(3) + 3(4) + 3(5)
          j=1

                      = 3 + 6 + 9 + 12 + 15
                      = 45
          50
   (2) ∑ 8            = 8 + 8 + 8 + ... + 8
         k =1

                      50 จํานวน
               = 8 x 50
               = 400
              4
   (3)    ∑ i ( i − 3) =
                  2
                                12(1 – 3) + 22(2 – 3) + 32(3 – 3) + 42(4 – 3)
          i =1

                        =       –2 – 4 + 0 + 16
                        =       10
            k+4
              6
                                 2+ 4 3+ 4 4+ 4 5+ 4 6+ 4
   (4)    ∑             =              +       +        +        +
          k =2    k −1                            2 −1 3 −1 4 −1                 5 −1   6 −1
                                                      7 8 9
                                 =                6+ + + +2
                                                      2 3 4
                                                  197
                                 =
                                                   12
              5
   (5)    ∑(k
          k =1
                      2
                          + 3)   =                (12 + 3) + (22 + 3) + (32 + 3) + (42 + 3) + (52 + 3)
                                 =                4 + 7 + 12 + 19 + 28
                                 =                70
           10                    10
   (6)    ∑ (i − 2) = ∑ (i                      − 6i 2 + 12i − 8 )
                            3               3

          i =1                   i =1
                                 10                10         10          10
                             = ∑i       3
                                            − 6∑ i 2 + 12∑ i − ∑ 8
                                 i =1              i =1       i =1        i =1
                                                          2
                                 ⎛ 10 (10 + 1) ⎞     ⎛ 10                ⎞      ⎛ (10 )(10 + 1) ⎞
                             =   ⎜             ⎟ − 6 ⎜ (10 + 1)( 20 + 1) ⎟ + 12 ⎜               ⎟ − 80
                                 ⎝      2      ⎠     ⎝6                  ⎠      ⎝       2       ⎠
                             = 3025 – 2310 + 660 – 80
                             = 1295
52
             15                               15              15
    (7)     ∑ ( i + 5)        =               ∑i         + ∑5
             i =1                             i =1            i =1

                                              15(16)
                              =                              + 5(15)
                                                     2
                              =               195
             20                               20                            9
    (8)     ∑ ( 2i + 1)       =               ∑ ( 2i + 1) – ∑ ( 2i + 1)
            i =10                             i =1                         i =1
                                                 20             20                      9                9
                              =               2∑ i           + ∑1 – 2 ∑ i – ∑1
                                                  i =1          i =1                   i =1             i =1

                                              2(20)(21)                                     2(9)(10)
                              =                                        + 20 –                                  –9
                                                         2                                      2
                              =               420 + 20 – 90 – 9
                              =               341
             15                                               15
    (9)     ∑ ( k + 5) (k − 5)
            k =1
                                              =               ∑(k
                                                              k =1
                                                                           2
                                                                                − 25 )
                                                              15                      15
                                              =               ∑ k – ∑ 25
                                                                       2

                                                              k =1                    k =1

                                                              15(16)(31)
                                              =                                              – 15(25)
                                                                        6
                                              =              1240 – 375
                                              =              865
                                                                                                 ∞
3. (1) 1⋅3 + 2⋅4 + 3⋅5 + ... + n(n + 2) + ...                                     =             ∑ n ( n + 2)
                                                                                                 n =1
                                                                                                  n
            1 1 1        1                                                                              1
    (2)      + + + ... +                                                          =             ∑i
            4 5 6        n                                                                       i=4
                                                                                                  ∞
    (3) arp + arp + 1 + arp + 2 + ... + arp + q + ...                             =             ∑ ar         p+i

                                                                                                 i =0
                                                                                                   n
    (4) 2 + 4 + 6 + ... + 2n                                                      =             ∑ 2i
                                                                                                 i =1
                                                                                                  ∞
            1 1 1            1                                                                                 1
    (5)      + + + ... +             + ...                                        =             ∑3
            3 6 12       3 ( 2n −1 )                                                             n =1        ( 2n −1 )
                                                                                                                          ∞
                    1          1                     1                                      1                                     1
    (6)                  +                +                   + ... +                                   + ...        = ∑
                  2+ 1       3+ 2                 4+ 3                            n + n −1                               n =2   n + n −1

              n                     n
4. (1)      ∑ 6i =             6∑ i
             i =1                  i =1

                                ⎛ n ( n + 1) ⎞
                        =      6⎜            ⎟
                                ⎝      2     ⎠
                        =     3n(n + 1)
53
          k                                  k      k
   (2)   ∑ ( 2i + 1)       =          2∑ i + ∑ 1
         i =1                               i =1   i =1

                                       ⎛ k ( k + 1) ⎞
                           =          2⎜            ⎟+k
                                       ⎝      2     ⎠
                           =          k2 + k + k
                           =          k2 + 2k
          m                                 m
   (3)   ∑3⋅ 4      i
                           =          3∑ 4i
         i =1                            i =1

                           =          3(4 + 42 + 43 + ... + 4m)
                                       ⎛ ( 4 ) (1 − 4m ) ⎞
                           =          3⎜
                                       ⎜ 1− 4
                                                         ⎟
                                                         ⎟
                                       ⎝                 ⎠
                           =          4m + 1 – 4
          n                             n           n
   (4)   ∑ (i
         i =1
                2
                    − i)   =          ∑ i 2 −∑ i
                                       i =1        i =1

                                       n(n + 1)(2n + 1)
                           =                             – n(n + 1)
                                               6               2
                                       n(n + 1) ⎛ 2n + 1 ⎞
                           =                     ⎜ 3 − 1⎟
                                           2     ⎝          ⎠
                                       n(n + 1) ⎛ 2n + 1 − 3 ⎞
                           =                     ⎜           ⎟
                                           2     ⎝     3     ⎠
                                       n(n + 1)(2n − 2)
                           =
                                               6
                                       n(n + 1)(n − 1)
                           =
                                              3
                                       n −n
                                        3
                           =
                                          3
                                                                                  10
5. (1)   1 ⋅ 2 + 2 ⋅ 3 + 3 ⋅ 4 + 4 ⋅ 5 + ... + n(n + 1) + ...          =          ∑ n ( n + 1)
                                                                                  n =1
                                                                                  10            10
                                                                       =          ∑n + ∑n  2

                                                                                  n =1          n =1

                                                                                  10(11)(12) 10 (11)
                                                                       =                    +
                                                                                      6         2
                                                                       =          385 + 55
                                                                       =          440
   (2)   1 ⋅ 4 ⋅ 7 + 2 ⋅ 5 ⋅ 8 + 3 ⋅ 6 ⋅ 9 + ... + n(n + 3)(n + 6) + ...
                                                                10
                                                   =           ∑ n ( n + 3)( n + 6 )
                                                               n =1
                                                               10          10            10
                                                   =           ∑ n 3 + 9∑ n 2 + 18∑ n
                                                               n =1        n =1          n =1
54

                                                             ⎛ 10 (11) ⎞ 9 (10 )(11)( 21) 18 (10 )(11)
                                                                                2

                                                 =           ⎜         ⎟ +               +
                                                             ⎝ 2 ⎠               6             2
                                                 =           3025 + 3465 + 990
                                                 =           7480

   (3)                                                       2
         1(2 + 3) + 4(4 + 3) + 9(6 + 3) + 16(8 + 3) + ... + n (2n + 3) + ...
                                                             10
                                                 =           ∑ n ( 2n + 3)
                                                                      2

                                                             n =1
                                                                10                  10
                                                 =           2∑ n 3 + 3∑ n 2
                                                               i =1                 n =1

                                                              ⎛ 10 (11) ⎞ 3 (10 )(11)( 21)
                                                                                    2

                                                 =           2⎜         ⎟ +
                                                              ⎝ 2 ⎠               6
                                                 =           6050 + 1155
                                                 =           7205

   (4)   12 + 32 + 52 + 7 2 + ... + (2n − 1) 2 + ...
                                                             10
                                                 =           ∑ ( 2n − 1)
                                                                                    2

                                                             n =1
                                                             10
                                                 =           ∑ (4n         2
                                                                               − 4n + 1)
                                                             n =1
                                                                10                  10          10
                                                 =           4∑ n 2 − 4 ∑ n + ∑1
                                                               n =1                 n =1        n =1

                                                              ⎛ 10(11)(21) ⎞    ⎛ (10 )(11) ⎞
                                                 =           4⎜            ⎟ − 4⎜           ⎟ + 10
                                                              ⎝     6      ⎠    ⎝     2     ⎠
                                                 =           1540 – 220 + 10
                                                 =           1330
          ⎛ 1⎞ ⎛ 1 ⎞ ⎛ 1 ⎞                          ⎛ 1⎞
                                                                                               = ∑ n ⎛1 + 1 ⎞
                                                                                                       10
   (5)   1⎜ 1 + ⎟ + 2 ⎜ 1 + ⎟ + 3 ⎜ 1 + ⎟ + ... + n ⎜ 1 + ⎟ + ...                                    ⎜      ⎟
          ⎝ 1⎠ ⎝ 2 ⎠ ⎝ 3 ⎠                          ⎝ n⎠                                             ⎝ n⎠
                                                                                                       n =1
                                                                                    10
                                                                          = ∑ ( n + 1)
                                                                                 n =1
                                                                                                  10          10
                                                                                           = ∑ n + ∑1
                                                                                                 n =1         n =1

                                                                                                 10 (11)
                                                                                           =                  + 10
                                                                                                        2
                                                                                           = 65

6. (1)   1 ⋅ 2 ⋅ 3 + 2 ⋅ 3 ⋅ 4 + 3 ⋅ 4 ⋅ 5 + ... + n(n + 1)(n + 2) + ... + 10 ⋅ 11 ⋅ 12
                                                             10
                                                 =           ∑ n ( n + 1)( n + 2 )
                                                             n =1
55
                                                                          10           10      10
                                                      =                  ∑ n 3 + 3∑ n 2 + 2∑ n
                                                                         n =1          n =1    n =1

                                                                         ⎛ 10 (11) ⎞ 3 (10 )(11)( 21) 2 (10 )(11)
                                                                                       2

                                                      =                  ⎜         ⎟ +               +
                                                                         ⎝ 2 ⎠               6             2
                                                      =                  3025 + 1155 + 110
                                                      =                  4290

   (2)   1 ⋅ 2 + 2 ⋅ 3 + 3 ⋅ 4 + ... + n(n + 1) + ... + 99 ⋅ 100
                                      99
                            =         ∑ n ( n + 1)
                                      n =1
                                                      99                 99
                                     =                ∑ n2 + ∑ n
                                                      n =1               n =1

                                      99 (100 )(199 )                    99 (100 )
                            =                                        +
                                                  6                             2
                            =        328350 + 4950
                            =        333300

   (3) จํานวนเต็มระหวาง 1 ถึง 100 ทีหารดวย 4 แลวเหลือเศษ 3 คือ 7, 11, 15, ... , 99
                                     ่
                                                                                                24
         อนุกรม 7 + 11 + 15 + ... + (4n + 3) + ... + 99 เขียนแทนดวย ∑ ( 4n + 3)
                                                                                               n =1
                 24                                       24              24
         จะได ∑ ( 4n + 3)           =                4∑ n + ∑ 3
                 n =1                                     n =1           n =1

                                                      4 ( 24 )( 25 )
                                     =                                          + ( 24 )( 3)
                                                                 2
                            =      1200 + 72
                            =      1272
         ผลบวกของจํานวนเต็มทังหมดระหวาง 1 ถึง 100 ทีหารดวย 4 แลวเหลือเศษ 3 เปน 1272
                             ้                       ่
          n
                1                      n
                                             ⎛1        1 ⎞
7. (1)   ∑ i ( i + 1)       =         ∑⎜ i − i +1⎟
         i =1                          ⎝
                                      i =1       ⎠
                            ⎛ 1⎞ ⎛1 1⎞ ⎛1 1⎞                ⎛1    1 ⎞
         Sn     =           ⎜ 1 − ⎟ + ⎜ − ⎟ + ⎜ − ⎟ + ... + ⎜ −     ⎟
                            ⎝ 2⎠ ⎝ 2 3⎠ ⎝3 4⎠               ⎝ n n +1⎠
                                   1               n
                =           1−            =
                                 n +1            n +1
                            20
         S20 =
                            21
          n
                        1                             1 n ⎛ 1          1 ⎞
   (2)   ∑ ( 2i − 1)( 2i + 1)        =                  ∑ ⎜ 2i − 1 − 2i + 1 ⎟
         i =1                                         2 i =1 ⎝              ⎠
                            1 ⎡⎛ 1 ⎞ ⎛ 1 1 ⎞ ⎛ 1 1 ⎞                    ⎛ 1          1 ⎞⎤
         Sn     =             ⎢⎜1 − 3 ⎟ + ⎜ 3 − 5 ⎟ + ⎜ 5 − 7 ⎟ + ... + ⎜ 2n − 1 − 2n + 1 ⎟ ⎥
                            2 ⎣⎝      ⎠ ⎝         ⎠ ⎝         ⎠         ⎝                 ⎠⎦
56

                        1⎛     1 ⎞                           n
               =          ⎜1 −     ⎟        =
                        2 ⎝ 2n + 1 ⎠                     2n + 1
                        20
         S20 =
                        41
                                   n
                                            1
   (3) ให Sn          =         ∑ i ( i + 1)( i + 2 )
                                  i =1

                                    1                              1⎛ 1      1 ⎞
         จะได a1      =                              =              ⎜     −      ⎟
                                 1⋅ 2 ⋅ 3                          2 ⎝ 1⋅ 2 2 ⋅ 3 ⎠
                                    1                              1⎛ 1       1 ⎞
               a2      =                              =              ⎜     −      ⎟
                                 2⋅3⋅ 4                            2 ⎝ 2 ⋅3 3⋅ 4 ⎠
                                    1                              1⎛ 1       1 ⎞
               a3      =                              =              ⎜     −      ⎟
                                 3⋅ 4 ⋅5                           2 ⎝ 3⋅ 4 4⋅5 ⎠


                                       1                          1⎛       1             1         ⎞
               an      =                                 =          ⎜           −                  ⎟
                              n ( n + 1)( n + 2 )                 2 ⎜ n ( n + 1) ( n + 1)( n + 2 ) ⎟
                                                                    ⎝                              ⎠
         Sn    =       a1 + a2 + a3 + ... + an
                                 1 ⎡⎛ 1 1 ⎞ ⎛ 1 1 ⎞       ⎛      1             1         ⎞⎤
                       =           ⎢⎜ − ⎟ + ⎜ − ⎟ + ... + ⎜
                                                          ⎜           −                  ⎟⎥
                                                                                         ⎟
                                 2 ⎢⎝ 2 6 ⎠ ⎝ 6 12 ⎠
                                   ⎣                      ⎝ n ( n + 1) ( n + 1)( n + 2 ) ⎠ ⎥
                                                                                           ⎦
                        1⎛1          1         ⎞
               =         ⎜ −
                         ⎜ 2 ( n + 1)( n + 2 ) ⎟
                                               ⎟
                        2⎝                     ⎠
                        1⎛1     1 ⎞                                115
         S20 =            ⎜ −         ⎟               =
                        2 ⎝ 2 21 ⋅ 22 ⎠                            462

          n
                1                1 n ⎛1     1 ⎞
   (4)   ∑ i (i + 2)   =           ∑⎜ i − i + 2 ⎟
         i =1                    2 i =1 ⎝       ⎠
                        1 ⎡⎛ 1 ⎞ ⎛ 1 1 ⎞ ⎛ 1 1 ⎞                    ⎛1      1 ⎞⎤
         Sn    =          ⎢⎜1 − 3 ⎟ + ⎜ 2 − 4 ⎟ + ⎜ 3 − 5 ⎟ + ... + ⎜ n − n + 2 ⎟ ⎥
                        2 ⎣⎝      ⎠ ⎝         ⎠ ⎝         ⎠         ⎝           ⎠⎦
                        1⎡ 1        1       1 ⎤
               =         ⎢1 + 2 − n + 1 − n + 2 ⎥
                        2⎣                      ⎦
                        1⎛3        2n + 3       ⎞
               =          ⎜ −                   ⎟
                        2 ⎜ 2 ( n + 1)( n + 2 ) ⎟
                          ⎝                     ⎠
                        1⎛3    43 ⎞                                325
         S20 =            ⎜ −         ⎟               =
                        2 ⎝ 2 21 ⋅ 22 ⎠                            462

8. (1) ให Sn แทนผลบวกของอนุกรมนี้
           Sn    =    1 + 2⋅2 + 3⋅22 + 4⋅23 + ... + n⋅2n–1                                      ---------- (1)
         (1) × 1 , 2Sn =         1⋅2 + 2⋅22 + 3⋅23 + ... + (n – 1)⋅2n–1 + n⋅2n                  ---------- (2)
              5
         (1) – (2), –Sn =        1 + (2 – 1)2 + (3 – 2)22 + (4 – 3)23 + … + (n – n + 1)2n-1 – n⋅2n
57

                            =       1 + 2 + 22 + 23 + ... + 2n–1 – n⋅2n
                                    1(1 − 2n )
                  –Sn       =                  − n ⋅ 2n
                                      1− 2
              –Sn           =       –1(1 – 2n) – n⋅2n
               Sn           =       (1 – 2n) + n⋅2n
         จะได S10          =       (1 – 210) + 10⋅210
                            =       –1023 + 10240
                            =       9217

   (2) ให Sn แทนผลบวกของอนุกรมนี้
                                       1         1          1             1
                  Sn        =       1 ⋅ + 2 ⋅ 2 + 3 ⋅ 3 + ... + n ⋅ n                        ---------- (1)
                                        5        5         5             5
                        1               1          1                   1      1
         (1) × (2),       Sn =      1 ⋅ 2 + 2 ⋅ 3 + ... + (n − 1) ⋅ n + n ⋅ n +1             ---------- (2)
                        5               5         5                   5     5
                        4           1                1              1                      1         1
         (1) – (2),       Sn =         + (2 − 1) ⋅ 2 + (3 − 2) ⋅ 3 + ... + (n − (n − 1)) ⋅ n − n ⋅ n +1
                        5           5                5              5                     5        5
                                    1 1 1                     1         1
                            =          + + + ... + n − n ⋅ n +1
                                    5 52 53                   5       5
                                    1⎛ ⎛1⎞ ⎞
                                                   n

                                       ⎜1 − ⎜ ⎟ ⎟
                  4                 5⎜ ⎝ 5⎠ ⎟
                                       ⎝             ⎠ −n⋅ 1
                    Sn      =
                  5                       1−
                                               1              5n +1
                                               5
                  4                 1        1             1
                    Sn      =          (1 − n ) − n ⋅ n +1
                  5                 4        5          5
                                     5         1             1
                  Sn        =            (1 − n ) − n ⋅
                                    16        5           4 ⋅ 5n
                                     5         1         1
               จะได        S10 =        (1 − 10 ) −
                                    16        5        2 ⋅ 59

               2n + 1               1         1
9. (1)                      =           −
         n ( n + 1)                       ( n + 1)
                        2             2            2
           2
                                    n
                                      3    5      7              2n + 1
         ให Sn             =            +     +       + ... + 2
                                    1 ⋅ 4 4 ⋅ 9 9 ⋅ 16        n ( n + 1)
                                                                         2



                                    ⎛1 1 ⎞ ⎛ 1 1 ⎞        ⎛ 1       1 ⎞
                            =       ⎜ − ⎟ + ⎜ − ⎟ + ... + ⎜ 2 −
                                                          ⎜n
                                                                          ⎟
                                                                ( n + 1) ⎟
                                                                        2
                                    ⎝1 4 ⎠ ⎝ 4 9 ⎠        ⎝               ⎠
                                            1
                            =       1−
                                         ( n + 1)
                                                    2


                                    n 2 + 2n
                            =
                                    ( n + 1)
                                               2


                                           n 2 + 2n
         ผลบวก n พจนแรก เปน
                                           ( n + 1)
                                                        2
58

                                            2 −1              3− 2 2− 3                                  n +1 − n
   (2) ให Sn                         =          +                  +     + ... +
                                          1⋅ 2                2⋅ 3    3⋅2                                 n n +1
                                  ⎛    1 ⎞ ⎛ 1                1 ⎞ ⎛ 1 1⎞          ⎛                      1      1 ⎞
                      =           ⎜1 −    ⎟+⎜      −            ⎟+⎜   − ⎟ + ... + ⎜                         −       ⎟
                                  ⎝     2⎠ ⎝ 2                 3⎠ ⎝ 3 2⎠          ⎝                       n    n +1 ⎠
                                        1
                      =           1−
                                       n +1
                                                              1
        ผลบวก n พจนแรก เปน                          1−
                                                              n +1

                          ∞                            ∞              n −1
                                  −(n −1)                  ⎛1⎞
10. (1) เนื่องจาก ∑ e                          =      ∑⎜e⎟
                      n =1                            n =1 ⎝ ⎠
                                1 1              1
                Sn            =
                             1+ +
                                    2
                                      + ... +
                                                n −1
                                e e           e
                       ⎛    1 ⎞
                      1⎜1 − n ⎟
            =             ⎝e              ⎠
                                      1
                              1−
                                      e
                                       1
                                   1− n
                                                                           e
         lim Sn       =       lim e
                                       1
                                                              =
         n →∞                 n →∞                                        e −1
                                    1−
                                       e
                                                                                                      e
        ดังนั้น อนุกรมนี้เปนอนุกรมลูเขา และมีผลบวกเทากับ
                                                                                                    e −1

   (2) ลําดับผลบวกยอยของอนุกรมนี้คือ 1, –1, 3, –5, 11, ...
       อนุกรมนี้เปนอนุกรมลูออก
                  9               9           9               9
   (3) Sn =               +               +         + ... +
              100 1002 1003          100n
                9 ⎛       1 ⎞
                  ⎜1 −      n⎟
            = 100 ⎝ 100 ⎠ = 1 ⎛1 − 1 n ⎞
                        1            ⎜      ⎟
                                  11 ⎝ 100 ⎠
                  1−
                       100
                          1⎛    1 ⎞       1
         lim Sn = lim ⎜ 1 −      n ⎟ = 11
         n →∞       n →∞ 11
                            ⎝ 100 ⎠
                                                                                                    1
        ดังนั้น อนุกรมนี้เปนอนุกรมลูเขา และมีผลบวกเทากับ
                                                                                                    11
                                                               5           10 15           20       25            5n
   (4) ลําดับผลบวกยอยของอนุกรมนี้คือ                                 ,        ,       ,        ,        , ...,          , ...
                                                                  2        3       4       5         6            n +1
                                  5n
        เนื่องจาก     lim                     = 5
                      n →∞        n +1
        ดังนั้น อนุกรมนี้เปนอนุกรมลูเขา และมีผลบวกเทากับ 5
59

       ∞      2n + 1                  ∞ ⎛ 1       1      ⎞
(5)    ∑                       =      ∑ ⎜     −          ⎟
      n =1 n 2 (n + 1) 2             n =1⎜ n 2 (n + 1) 2 ⎟
                                         ⎝               ⎠
                 ⎛    1 ⎞ ⎛ 1   1 ⎞ ⎛ 1     1 ⎞         ⎛ 1      1      ⎞
      Sn =       ⎜ 1−   ⎟ +⎜  −   ⎟ + ⎜ 2 − 2 ⎟ + ... + ⎜ 2 −
                                                        ⎜               ⎟
                 ⎝ 22 ⎠ ⎝ 22 32 ⎠ ⎝ 3      4 ⎠          ⎝n    (n + 1) 2 ⎟
                                                                        ⎠
                           1
             =   1−
                      (n + 1) 2
                          ⎛    1    ⎞
      lim Sn
      n →∞
                 =   lim ⎜1 −
                     n →∞ ⎜        2⎟
                                    ⎟
                                               = 1
                          ⎝ (n + 1) ⎠
      ดังนั้น อนุกรมนี้เปนอนุกรมลูเขา และมีผลบวกเทากับ 1

                 ⎛    1 ⎞ ⎛ 1   1 ⎞ ⎛ 1   1 ⎞         ⎛ 1    1 ⎞
(6) Sn =         ⎜1 −   ⎟+⎜   −   ⎟+⎜   −   ⎟ + ... + ⎜   −      ⎟
                 ⎝     2⎠ ⎝ 2    3⎠ ⎝ 3    4⎠         ⎝ n   n +1 ⎠
                           1
          =      1−
                        n +1
                          ⎛    1 ⎞
      lim Sn     =   lim ⎜1 −      ⎟          = 1
      n →∞           n →∞
                          ⎝   n +1 ⎠
      ดังนั้น อนุกรมนี้เปนอนุกรมลูเขา และมีผลบวกเทากับ 1

                                                                16               4
(7) อนุกรมที่กําหนดใหเปนอนุกรมเรขาคณิตที่มี a1 =                   และ r =
                                                                 5               5
      เนื่องจาก | r | < 1 อนุกรมนี้จึงเปนอนุกรมลูเขา
                                              16
                                    a1
      และมีผลบวกเทากับ                   =    5        = 16
                                   1− r       1−
                                                   4
                                                   5

       ∞      1               1 ∞            2
(8)    ∑
              2 −1
                       =         ∑
      n =1 4n                 2 n =1 (2n + 1)(2n − 1)
                                  ∞
                        = 1 ∑⎛ 1 − 1 ⎞
                                     ⎜                  ⎟
                               2 n =1⎝ 2n − 1 2n + 1 ⎠
                 1 ⎛⎛ 1 ⎞ ⎛ 1 1 ⎞ ⎛ 1 1 ⎞                      ⎛ 1          1 ⎞⎞
      Sn =          ⎜ ⎜1 − 3 ⎟ + ⎜ 3 − 5 ⎟ + ⎜ 5 − 7 ⎟ + ... + ⎜ 2n − 1 − 2n + 1 ⎟ ⎟
                 2 ⎝⎝        ⎠ ⎝         ⎠ ⎝         ⎠         ⎝                 ⎠⎠
                  1⎛        1 ⎞
          =         ⎜1 −         ⎟
                  2 ⎝ 2n + 1 ⎠

      lim Sn     = lim 1 ⎛1 − 1 ⎞ = 1
                            ⎜           ⎟
      n →∞           n →∞ 2
                            ⎝ 2n + 1 ⎠           2
                                                                       1
      ดังนั้น อนุกรมนี้เปนอนุกรมลูเขา และมีผลบวกเทากับ
                                                                      2
60

11. ใหอนุกรมนี้คอ a1 + a2 + a3 + ... + an + ... โดยที่ an = 2n – 5
                 ื
                                                             15            15
    จะได ผลบวกของ 15 พจนแรกของอนุกรมนี้ คือ ∑ a n =                      ∑ (2n − 5)
                                                             n =1         n =1
                                                                            15      15
                                                                      =   2 ∑ n– ∑ 5
                                                                            n =1 n =1
                                                                             ⎛ 15(16) ⎞
                                                                      =   2⎜          ⎟ –15(5)
                                                                             ⎝ 2 ⎠
                                                                      = 240 – 75
                                                                      = 165

12. (1) ลําดับของจํานวนเต็มระหวาง 9 กับ 199 ที่ 8 หารลงตัวคือ 16, 24, 32, ..., 192
        เพราะวา      an     =       a1 + (n – 1)8
        จะได         192 =          16 + (n – 1)8
                                             ⎛ 192 − 16 ⎞
                           n        =        ⎜          ⎟ +1
                                             ⎝    8     ⎠
                           n        =        23
                                             n
           จาก             Sn       =          (a1 + a n )
                                             2
                                             23
           จะได           S23      =           (16 + 192)
                                             2
                               =        2392
           ดังนัน ผลบวกของจํานวนเต็มที่อยูระหวาง 9 กับ 199 ที่ 8 หารลงตัวเทากับ 2392
                ้

    (2) ลําดับของจํานวนเต็มระหวาง 9 กับ 199 คือ 10, 11, 12, ..., 198 ซึ่งมี 189 จํานวน
                                             189
           จะได           S189     =            (10 + 198)
                                              2
                                =        19656
           ผลบวกของจํานวนเต็มทีอยูระหวาง 9 กับ 199 เปน 19656
                                ่
           จะไดผลบวกของจํานวนเต็มที่อยูระหวาง 9 กับ 199 ที่ 8 หารไมลงตัวเปน
           19656 – 2392 = 17264

13. (1) e
    (2) π
    (3) ln 2

คณิตเพิ่ม ม6 เล่ม2 - บทที่ 1

  • 1.
    บทที่ 1 ลําดับอนันตและอนุกรมอนันต (20 ชั่วโมง) ลําดับอนันตและอนุกรมอนันตที่จะกลาวถึงในบทนี้ เปนเรื่องเกี่ยวกับลิมิตของลําดับ ทฤษฎีบทตาง ๆ เกี่ยวกับลิมตของลําดับ การหาผลบวกของอนุกรมอนันต และการใชสญลักษณ ิ ั แทนการบวก ตลอดจนโจทยที่แสดงใหเห็นการนําความรูที่กลาวมาไปใชในการแกปญหาตาง ๆ  ผลการเรียนรูที่คาดหวัง 1. หาลิมิตของลําดับอนันตโดยอาศัยทฤษฎีบทเกี่ยวกับลิมิตได 2. หาผลบวกของอนุกรมอนันตได 3. นําความรูเรื่องลําดับและอนุกรมไปใชแกปญหาได ผลการเรียนรูที่คาดหวังดังกลาวเปนผลการเรียนรูที่สอดคลองกับมาตรฐานการเรียนรู ชวงชั้นที่ 4 ทางดานความรู ในการจัดการเรียนรูผูสอนตองคํานึงถึงมาตรฐานการเรียนรูดาน ทักษะ/ กระบวนการทางคณิตศาสตรดวยการสอดแทรกกิจกรรมหรือโจทยปญหาที่จะสงเสริมให ผูเรียนเกิดทักษะ / กระบวนการทางคณิตศาสตรที่จําเปนอันไดแกความสามารถในการแกปญหา การใหเหตุผล การสื่อสาร การสื่อความหมายทางคณิตศาสตรและการนําเสนอ การเชื่อมโยง ความรูตาง ๆ ทางคณิตศาสตรและเชื่อมโยงคณิตศาสตรกับศาสตรอื่น และการคิดริเริ่มสรางสรรค นอกจากนั้น กิจกรรมการเรียนรูควรสงเสริมใหผูเรียนตระหนักในคุณคาและมีเจตคติที่ดีตอวิชา คณิตศาสตร ตลอดจนฝกใหผูเรียนทํางานอยางเปนระบบ มีระเบียบวินัย รอบคอบ มีความ รับผิดชอบ มีวิจารณญาณและมีความเชื่อมันในตนเอง ่ สาระการเรียนรูคณิตศาสตรเพิ่มเติมเปนสาระการเรียนรูสาหรับการศึกษาตอและอาชีพ ํ ดังนั้นในการจัดการเรียนรูในสาระนี้ ผูสอนควรสงเสริมใหผูเรียนไดฝกทักษะการคิดวิเคราะห  โดยคํานึงถึงความสมเหตุสมผลของขอมูล ดังนั้น ในการสอนแตละสาระผูสอนจําเปนตองศึกษา สาระนั้น ๆ ใหเขาใจถองแทเสียกอนแลวเลือกวิธีสอนใหเหมาะสม เพื่อทําใหการจัดการเรียนรู ไดผลดี
  • 2.
    2 ขอเสนอแนะ 1. รูปแบบการกําหนดลําดับทําไดหลายแบบ ผูสอนควรย้าและยกตัวอยางใหผูเรียนเห็นวา ํ การกําหนดลําดับโดยการแจงพจนแลวหาพจนทวไปของลําดับนั้น อาจหาพจนทั่วไปไดตางกัน ั่ (ดูหนังสือเรียนหนา 3 – 4 และคูมือครูสาระการเรียนรูพื้นฐาน ชันมัธยมศึกษาปที่ 5 เรื่องลําดับ  ้ และอนุกรม หนา 2) 2. ผูสอนควรทบทวนเรื่องลําดับจํากัด ลําดับเลขคณิตและลําดับเรขาคณิต และอนุกรม จํากัดกอนที่จะขยายความตอและกลาวถึงลําดับอนันตและอนุกรมอนันต ผูสอนควรบอกผูเรียน ดวยวา ยังมีลําดับอื่น ๆ อีกมากมายที่ไมใชลําดับเลขคณิตหรือลําดับเรขาคณิต ผูสอนอาจใช ประโยชนจากเว็บไซต The On-Line Encyclopedia of Integer Sequences ซึ่งเก็บรวบรวมลําดับ ตาง ๆ ไวใหคนหาไดมากมาย ที่ http://www.research.att.com/~njas/sequences/ หรือผูสอนอาจ ใหผูเรียนชวยกันสรางลําดับใหมเอง 3. ในเรื่องความสัมพันธเวียนเกิด ผูสอนอาจเพิ่มเติมแบบฝกหัดสําหรับผูเรียนที่สนใจ คณิตศาสตรเปนพิเศษ ผูสอนอาจใหผูเรียนกําหนดลําดับที่กําหนดใหตอไปนี้โดยใชความสัมพันธ เวียนเกิด (1) 1, 2, 4, 8, 16, ..., 2n–1 , ... เพราะวา a1 = 1 a2 = 2 = 2(1) = 2a1 a3 = 4 = 2(2) = 2a2 a4 = 8 = 2(4) = 2a3 an = 2n–1 = 2an–1 ดังนั้น กําหนดลําดับนี้โดยใชความสัมพันธเวียนเกิดไดเปนลําดับ an = 2an–1 เมื่อ n ≥ 2, a1 = 1 (2) 1, –1, 1, –1, ..., (–1)n+1, ... เพราะวา a1 = 1 a2 = –1 = (–1)(1) = (–1)a1 a3 = 1 = (–1)(–1) = (–1)a2 a4 = –1 = (–1)(1) = (–1)a3 an = (–1)an–1 ดังนั้น กําหนดลําดับนี้โดยใชความสัมพันธเวียนเกิดไดเปนลําดับ an = (–1)an–1 เมื่อ n ≥ 2, a1 = 1
  • 3.
    3 (3) กําหนดลําดับ 5, 9, 13, 17, ..., 4n + 1, ... โดยใชความสัมพันธเวียนเกิดไดเปน ลําดับ an = an–1 + 4 เมื่อ n ≥ 2 , a1 = 5 (4) กําหนดลําดับ 1, 3, 9, 27, ..., 3n–1, ... โดยใชความสัมพันธเวียนเกิดไดเปนลําดับ an = 3an–1 เมื่อ n ≥ 2 , a1 = 1 (5) กําหนดลําดับ 1, 1, 1, 1, ..., 1, ... โดยใชความสัมพันธเวียนเกิดไดเปนลําดับ an = an–1 เมื่อ n ≥ 2, a1 = 1 n(n + 1) (6) กําหนดลําดับ 1, 3, 6, 10, 15, ..., , ... โดยใชความสัมพันธเวียนเกิด 2 ไดเปนลําดับ an = an–1+ n เมื่อ n ≥ 2, a1 = 1 (7) กําหนดลําดับ 5, 10, 30, 120, ..., 5n!, ... โดยใชความสัมพันธเวียนเกิดไดเปน ลําดับ an = nan–1 เมื่อ n ≥ 2, a1 = 5 4. การทบทวนสูตรพจนที่ n ของลําดับเลขคณิต (หนา 7) และสูตรพจนที่ n ของลําดับ เรขาคณิต (หนา 9) โดยการเขียนยอนกลับ ผูสอนอาจจะแสดงตัวอยางที่เปนตัวเลขใหผูเรียนพิจารณา ประกอบไปดวยสัก 2 – 3 ตัวอยางกอนที่จะสรุปเปนกรณีทั่วไป และถาผูสอนพิจารณาแลววา แนวทางของเรื่องเดียวกันทีนําเสนอไวในหนังสือเรียนสาระการเรียนรูพื้นฐาน ชันมัธยมศึกษา ่  ้ ปที่ 5 เขาใจงายกวา ก็อาจขามสวนนี้ไปก็ได อยางไรก็ตาม ผูสอนควรชี้ใหผูเรียนเห็นแนวทาง ที่แตกตางของทั้งสองวิธี 5. จากการพิจารณาลิมิตของลําดับ ทําใหแบงลําดับออกเปน 2 ประเภท คือ ลําดับ ที่มีลิมิต เรียกวา ลําดับลูเขา และลําดับที่ไมมีลิมิต เรียกวา ลําดับลูออก สําหรับลําดับลูออก ถาพิจารณาลําดับจากกราฟจะแบงออกเปน 3 ประเภทคือ (1) ลําดับลูออกซึ่งพจนที่ n มีคามากขึ้นเรื่อย ๆ เมือ n มีคามากขึ้นโดยไมมีที่สนสุด ่  ิ้ เชน 1, 2, 4, ..., 2 n–1 , ... (2) ลําดับลูออกซึ่งพจนที่ n มีคาลดลงเรื่อย ๆ เมื่อ n มีคามากขึ้นโดยไมมีที่สิ้นสุด เชน –1, –3, –5, ..., –(2n – 1), ... (3) ลําดับลูออกซึ่งมีลักษณะแตกตางจากลําดับในขอ (1) และขอ (2) ซึงเรียกวา ่ ลําดับแกวงกวัด เชน an = (–1)n , bn = (–1)n n 6. การเชื่อมโยงมโนทัศนเรื่องลิมิตของลําดับกับรูปภาพ ผูสอนอาจเริ่มจากการคํานวณ  แลวเขียนกราฟ และพิจารณาแนวโนมวา เมื่อ n มีคามากขึ้นเรื่อย ๆ กราฟของลําดับ an จะเปน อยางไร ผูสอนอาจแนะนําการเขียนกราฟโดยใชเครื่องมือตาง ๆ เชน กระดาษกราฟ เครื่องคํานวณ โปรแกรม Geometer’s Sketchpad หรือโปรแกรมประเภทตารางทํางาน เชน Microsoft Excel 7. หนังสือเรียนไมไดแสดงวิธีการพิสูจนทฤษฎีบทตาง ๆ เกี่ยวกับลิมิตไว ผูสอนควรให ผูเรียนพิจารณาคา an โดยตรง หรือทดลองเขียนกราฟของลําดับ an แลวพิจารณาแนวโนมของกราฟ
  • 4.
    4 1 1 เชน ใหผูเรียนพิจารณาลําดับ an = และ an = 1 เพื่อนําไปสูการยอมรับทฤษฎีบทที่วา n3 n 3 1 lim n →∞ n r = 0 เมื่อ r เปนจํานวนจริงบวกใด ๆ ผูเรียนควรอธิบายไดวา เมื่อ n มีคามากขึ้นอยาง 1 1 1 ไมมีที่สิ้นสุด n3 และ n3 จะมีคามากขึ้นอยางไมมีที่สิ้นสุดดวย ซึ่งจะทําให และ 1 มีคา n3 n 3 นอยลงและเขาใกล 0 1 ใหผูเรียนพิจารณาลําดับ an = n4 และ an = n เพื่อนําไปสูการยอมรับทฤษฎีบท 4 ที่วา nlim n r หาคาไมได เมื่อ r เปนจํานวนจริงบวกใด ๆ ผูเรียนควรอธิบายไดวา เมื่อ n มี →∞  1 คามากขึ้นอยางไมมีที่สิ้นสุด n4 และ n4 จะมีคามากขึ้นอยางไมมีที่สิ้นสุดดวย n n ⎛1⎞ ⎛ 1⎞ ใหผูเรียนพิจารณาลําดับ an = ⎜ ⎟ และ an = ⎜− ⎟ เพื่อนําไปสูการยอมรับ ⎝ 3⎠ ⎝ 4⎠ ทฤษฎีบทที่วา lim r n n →∞ = 0 เมื่อ r เปนจํานวนจริง และ r <1 ใหผูเรียนพิจารณาลําดับ an = 3n และ an = (–4)n เพื่อนําไปสูการยอมรับทฤษฎี บทที่วา nlim r หาคาไมได เมื่อ r เปนจํานวนจริง และ r > 1 →∞ n 8. ขอความวา “ nlim a n หาคาไมได” มีความหมายเชนเดียวกับขอความ “ลําดับ an →∞ ไมมลิมต” หรือ “พจนที่ n ของลําดับ an ไมเขาใกลหรือเทากับจํานวนจริง L ใด ๆ เลย” ในบทนี้ ี ิ ไมมการใชขอความวา “ nlim a n = ∞ ” หรือ “ nlim a n = – ∞ ” ี →∞ →∞ 9. ในหนังสือเรียนหนา 22 ผูสอนควรย้ํากับผูเรียนวา จะใชทฤษฎีบทเกี่ยวกับลิมิตได a lim a n เมื่อเงื่อนไขเบืองตนเปนจริงกอนเทานัน เชน จะสรุปวา ้ ้ lim n = n →∞ ไดเมื่อ lim a n →∞ b n lim b n →∞ n n →∞ n และ lim b n →∞ n หาคาได และ lim b ≠ 0 n →∞ n ในกรณีที่ไมสามารถใชทฤษฎีบทเกี่ยวกับลิมิตของลําดับ an โดยตรงได อาจตองจัดรูปของ an กอนการใชทฤษฎีบทเกียวกับลิมิต ดังปรากฏในหลาย ๆ ตัวอยางในหนังสือเรียน อยางไรก็ตาม ่ ลําดับบางลําดับก็ยังคงใชทฤษฎีบทเกียวกับลิมิตไมไดถึงแมจะพยายามจัดรูปใหแตกตางจากเดิม ่ แลว เชน 2 2n − 3n พิจารณาลําดับ an = 4n − 5 เนื่องจาก 2 lim (2n − 3n) n →∞ และ lim (4n − 5) n →∞ หาคาไมไดทั้งคู ฉะนั้น หากตองการ 2 2 2n − 3n lim (2n − 3n) หา nlim a n = nlim →∞ →∞ จึงใชทฤษฎีบทเกี่ยวกับลิมิตที่วา lim a = n →∞ n n →∞ ไมได 4n − 5 lim (4n − 5) n →∞ การจัดรูป an กอนการพิจารณาลิมิตอาจทําไดหลาย ๆ แบบ บางคนอาจทําดังนี้
  • 5.
    5 2⎛ 3⎞ 3 2 2n − 3n ⎜2 − ⎟ n 2− = ⎝ n⎠ = n 4n − 5 2⎛4 5 ⎞ 4 − 5 n ⎜ − ⎟ ⎝ n n2 ⎠ n n2 กรณีนก็ยงคงใชทฤษฎีบทเกียวกับลิมิตไมได เพราะเปนกรณียกเวน เนื่องจาก ้ี ั ่ ⎛4 5 ⎞ − n →∞ ⎜ n n 2 lim ⎟ =0 ⎝ ⎠ 2 2n − 3n n ( 2n − 3) 2n − 3 บางคนอาจทําดังนี้ = = 4n − 5 ⎛ 5⎞ 4− 5 n⎜4 − ⎟ ⎝ n⎠ n การจัดรูป an เชนนี้กยังคงใชทฤษฎีบทเกี่ยวกับลิมิตไมไดเชนเดียวกัน เพราะ ็ lim (2n − 3) หาคาไมได n →∞ จะเห็นไดวาการจัดรูป an ทั้งสองแบบไมสามารถชวยสรุปไดวา a n เปนลําดับลูเขาหรือลู ออกโดยใชทฤษฎีบทเกียวกับลิมตได จึงตองใชวิธีอื่นพิจารณา เชน การพิจารณาคาของ an ่ ิ โดยตรง หรือจากกราฟของลําดับ an เปนตน 10. จากบทนิยามของอนุกรมจะเห็นวา อนุกรมไดจากการบวกพจนทุกพจนของลําดับ และในการศึกษาเรื่องลิมิตของอนุกรมไดแบงอนุกรมออกเปน 2 ประเภท เชนเดียวกับลําดับ คือ อนุกรมลูเขาและอนุกรมลูออก จากตัวอยางของอนุกรมลูเขาจะเห็นวา อนุกรมลูเขามักจะไดจาก ลําดับลูเขา บางคนอาจจะเขาใจอยางไมถูกตองวา ลําดับลูเขาทุกลําดับเมื่อนํามาเขียนเปนอนุกรม จะไดอนุกรมลูเขาเสมอ ซึ่งเปนขอที่ควรระวังอยางยิ่งดังตัวอยางตอไปนี้ (1) 1, 1, 1, ..., 1, ... เปนลําดับลูเขาที่มีลิมิตเปน 1 1 + 1 + 1 + ... + 1 + ... เปนอนุกรมลูออก 1 (2) 1, 1 , 1 , ..., , ... เปนลําดับลูเขาที่มีลิมิตเปน 0 2 4 2n −1 1 1 1 1 + + + ... + n −1 + ... เปนอนุกรมลูเขา และผลบวกของ 2 4 2 อนุกรมนี้มีคาเปน 2  1 1 1 (3) 1, , ,..., ,... เปนลําดับลูเขาที่มีลิมิตเปน 0 2 3 n 1 1 1 1 + + + ... + + ... เปนอนุกรมลูออก  2 3 n การแสดงวาอนุกรม 1 + 1 + 1 + ... + 1 + ... เปนอนุกรมลูออกนัน จะตองพิสูจนไดวา ้ 2 3 n ลําดับผลบวกยอยไมมีลิมิต แตวิธีการพิสูจนคอนขางยุงยากในทีนี้จะแสดงคาของพจนแรก ๆ บาง ่ พจนของลําดับผลบวกยอยเพื่อใหเห็นวา เมื่อมีจํานวนพจนมากเขาผลบวกยอยจะมากขึ้นไดเรื่อย ๆ ดังนี้
  • 6.
    6 S1 = 1 1 S2 = 1+ 2 1 1 S3 = 1+ + 2 3 1 1 1 S4 = 1+ + + 2 3 4 1 1 1 1 1 1 แต 1+ + + > 1+ + + 2 3 4 2 4 4 > 2 ดังนั้น S4 > 2 1 1 1 1 1 1 1 S8 = 1+ + + + + + + 2 3 4 5 6 7 8 1 ⎛1 1⎞ ⎛1 1 1 1⎞ แต 1+ + ⎜ + ⎟ + ⎜ + + + ⎟ 2 ⎝3 4⎠ ⎝5 6 7 8⎠ > 1+ 1 + ⎛ 1 + 1 ⎞ + ⎛ 1 + 1 + 1 + 1 ⎞ ⎜ ⎟ ⎜ ⎟ 2 ⎝ 4 4⎠ ⎝8 8 8 8⎠ > 21 2 ดังนั้น S8 > 2 1 2 1 ⎛1 1⎞ ⎛1 1 1 1⎞ S16 = 1+ + ⎜ + ⎟ + ⎜ + + + ⎟ 2 ⎝3 4⎠ ⎝5 6 7 8⎠ ⎛1 1 1 1 ⎞ ⎛ 1 1 1 1 ⎞ +⎜ + + + ⎟ + ⎜ + + + ⎟ ⎝ 9 10 11 12 ⎠ ⎝ 13 14 15 16 ⎠ 1 ⎛1 1⎞ ⎛1 1 1 1⎞ S16 > 1+ + ⎜ + ⎟ + ⎜ + + + ⎟ 2 ⎝ 4 4⎠ ⎝8 8 8 8⎠ ⎛1 1 1 1 1 1 1 1⎞ +⎜ + + + + + + + ⎟ ⎝ 16 16 16 16 16 16 16 16 ⎠ S16 > 3 จะพบวา S4 (ผลบวก 4 พจนแรก) มากกวา 2 1 S8 (ผลบวก 8 พจนแรก) มากกวา 2 2 S16 (ผลบวก 16 พจนแรก) มากกวา 3 1 S32 (ผลบวก 32 พจนแรก) มากกวา 3 2 S64 (ผลบวก 64 พจนแรก) มากกวา 4 และผลบวกยอยจะมีคามากขึ้นเรื่อย ๆ ไปไมมีที่สิ้นสุด 11. จากการศึกษาเรื่องอนุกรมเลขคณิต จะเห็นวาอนุกรมอนันตที่เปนอนุกรมเลขคณิต สวนมากเปนอนุกรมลูออก จะทําใหบางคนคิดวาอนุกรมอนันตที่เปนอนุกรมเลขคณิตทุกอนุกรม
  • 7.
    7 เปนอนุกรมลูออก แตความจริงแลวมีอนุกรมอนันตที่เปนอนุกรมเลขคณิตและเปนอนุกรมลูเขา คือ  อนุกรม 0 + 0 + 0 + ... + 0 + ... ซึ่งเปนอนุกรมเลขคณิตที่มี a1 = 0 และ d = 0 และมีผลบวก เปน 0 12. ผูสอนควรย้ํากับผูเรียนวาการพิจารณาอนุกรมวาเปนอนุกรมลูเขาหรือลูออกตอง พิจารณาจากลําดับของผลบวกยอยของอนุกรมเปนหลัก เชน พิจารณาอนุกรม 1 – 1 + 1 – 1 + ... + (–1)n–1 + ... จะเห็นวาลําดับของผลบวกยอย ของอนุกรมนีคือ 1, 0, 1, 0, 1, ... ซึ่งเปนลําดับลูออก ้ ดังนั้น อนุกรม 1 – 1 + 1 – 1 + ... + (–1)n–1 + ... จึงเปนอนุกรมลูออก ผูสอนควรเสนอแนะเพิ่มเติมวา อาจมีบางคนเขียนจัดรูปอนุกรมขางตนใหมดังนี้ 1 – 1 + 1 – 1 + ... + (–1)n–1 + ... = (1 – 1) + (1 – 1) + (1 – 1) + ... ซึ่งจะไดอนุกรม 0 + 0 + 0 + 0 + ... + 0 + ... เปนอนุกรมลูเขา ที่มีผลบวกเปน 0 หรือบางคนอาจเขียนจัดรูปอนุกรมขางตนใหมดังนี้ 1 – 1 + 1 – 1 + ... + (–1)n–1 + ... = 1 + (–1 + 1) + (–1 + 1) + (–1 + 1) + ... ซึ่งจะไดอนุกรม 1 + 0 + 0 + 0 + 0 + ... เปนอนุกรมลูเขา ที่มีผลบวกเปน 1 ผูสอนควรชี้แนะใหผเู รียนเขาใจใหไดวาการเขียนจัดรูปอนุกรมขางตนทั้งสองแบบ แลวสรุปวา อนุกรม 1 – 1 + 1 – 1 + ... + (–1)n–1 + ... เปนอนุกรมลูเขานั้นไมถูกตอง 13. ในบทเรียนนี้มุงใหพิจารณาอนุกรมอนันตเฉพาะอนุกรมเรขาคณิตหรืออนุกรมที่ อาจจะหาพจนที่ n ของลําดับผลบวกยอยไดไมยากนัก กลาวคือ ถาเปนอนุกรมเรขาคณิตก็ a1 พิจารณาอัตราสวนรวม r และถา r <1 ก็สามารถหาผลบวกจากสูตร S = สวนอนุกรม 1− r ที่ไมใชอนุกรมเรขาคณิตนัน ใหหาผลบวกโดยการหาลําดับของผลบวกยอยกอน นั่นคือ จะตอง ้ หาพจนที่ n ของลําดับผลบวกยอยนั้น แลวจึงหาลิมิตของลําดับผลบวกยอย 14. ในบทเรียนนี้ไดนําเสนออนุกรมประเภทหนึ่งซึ่งมีความสําคัญและนาสนใจเรียกวา อนุกรมเทเลสโคป (telescoping series) อนุกรมเทเลสโคป คือ อนุกรม a1 + a2 + a3 + ... + an + ... ที่สามารถเขียนอยูในรูป a1 + a2 + a3 + ... + an + ... = (b1 – b2) + (b2 – b3) + (b3 – b4) + ... + (bn – bn+1) + ... เมื่อ a1 = b1 – b2 a2 = b2 – b3 a3 = b3 – b4 an = bn – bn+1 ดังนั้น a1 + a2 + a3 ... + an = b1 – bn+1
  • 8.
    8 ผูสอนควรเนนลักษณะพิเศษของอนุกรมประเภทนี้ใหผเู รียนทราบ ตัวอยางของอนุกรม เทเลสโคปในหนังสือเรียน ดังเชน 1 1 1 1 ⎛ 1⎞ ⎛1 1⎞ ⎛1 1⎞ ⎛1 1 ⎞ + + + ... + = ⎜ 1 − ⎟ + ⎜ − ⎟ + ⎜ − ⎟ + ... + ⎜ − ⎟ 1⋅ 2 2 ⋅ 3 3 ⋅ 4 n(n + 1) ⎝ 2⎠ ⎝ 2 3⎠ ⎝3 4⎠ ⎝ n n +1⎠ 1 = 1− n +1 3 5 7 2n + 1 ⎛1 1 ⎞ ⎛ 1 1 ⎞ ⎛ 1 1 ⎞ + + + ... + 2 = ⎜ − ⎟ + ⎜ − ⎟ + ... + ⎜ 2 − ⎜n ⎟ 1 ⋅ 4 4 ⋅ 9 9 ⋅ 16 n ( n + 1) ( n + 1) ⎟ 2 2 ⎝1 4 ⎠ ⎝ 4 9 ⎠ ⎝ ⎠ 1 = 1− ( n + 1) 2 15. ผูสอนอาจจะแนะนําสัญลักษณ ∑ ในหัวขอเรื่องสัญลักษณแทนการบวก ไปพรอม กับหัวขอเรื่องผลบวกของอนุกรมอนันตเลยก็ได หากพิจารณาแลวเห็นวาสอดคลองกับแนว ทางการจัดการเรียนการสอนที่ปฏิบัติอยู 16. ในหนังสือเรียนหัวขอ 1.2.2 ไดกลาวถึงสมบัติของ ∑ ที่ควรทราบไว สมบัติ เหลานั้นแสดงใหเห็นจริงไดโดยงาย ผูสอนควรเชิญชวนใหผูเรียนทดลองพิสูจนสมบัติตาง ๆ ดวย ตนเอง ดังนี้ n (1) ∑c = nc เมื่อ c เปนคาคงตัว i =1 n ∑c = c + c + c + ... + c i =1 n พจน = nc n n (2) ∑ cai = c∑ a i เมื่อ c เปนคาคงตัว i=1 i =1 n ∑ cai = ca1 + ca2 + ca3 + ... + can i=1 = c(a1 + a2 + a3 + ... + an) n = c∑ a i i =1 n n n (3) ∑ (ai + bi ) = ∑ a i + ∑ bi i =1 i =1 i =1 n ∑ (ai + bi ) = (a1 + b1) + (a2 + b2) + (a3 + b3) + ... + (an + bn) i =1 = (a1 + a2 + a3 + ... + an) + (b1 + b2 + b3 + ... + bn) n n = ∑ a i + ∑ bi i =1 i =1
  • 9.
    9 n n n ในทํานองเดียวกันจะแสดงไดวา ∑ (ai − bi ) = ∑ ai − ∑ bi i =1 i =1 i =1 n 17. ในการหาผลบวก ∑ i นอกจากวิธีที่แสดงไวในหนังสือเรียนแลว ยังแสดงไดโดยวิธี i =1 n n เดียวกันกับที่ใชหาสูตรของ ∑ i2 หรือ ∑ i3 ดังนี้ i =1 i =1 2 2 เนื่องจาก n – (n – 1) = 2n – 1 -----(1) (n – 1)2 – (n – 2)2 = 2(n – 1) – 1 -----(2) (n – 2)2 – (n – 3)2 = 2(n – 2) – 1 -----(3) 32 – 22 = 2(3) – 1 -----(n–2) 22 – 12 = 2(2) – 1 -----(n–1) 12 – 02 = 2(1) – 1 -----(n) n n (1) + (2) + (3) + ... + (n) จะได n2 = 2∑ i − ∑1 i=1 i=1 n = 2∑ i − n i=1 n n2 + n n(n + 1) ดังนั้น ∑i = = i =1 2 2 n n n หลังจากศึกษาที่มาของสูตร ∑ i , ∑ i , ∑ i แลว ผูสอนอาจถามผูเรียนตอวา 2 3 i =1 i =1 i =1 n n การหาสูตร ∑ i หรือ ∑ i จะดําเนินการตามวิธีการเดิมไดหรือไม ผูสอนอาจแนะนําให 4 5 i =1 i =1 ผูเรียนเริ่มตนจาก n – (n – 1)5 และ n6 – (n – 1)6 ตามลําดับ 5 18. แบบฝกหัด 1.2 ข ขอ 7 และขอ 9 อาจจะยากเกินไปหากผูเรียนไมสามารถจัดรูปใหม ได ดังนัน ผูสอนควรใหคาแนะนําเบื้องตนในแตละขอดังนี้ ้ ํ 1 1 1 7(1) = − n ( n + 1) n n +1 1 1⎛ 1 1 ⎞ 7(2) = ⎜ − ⎟ ( 2n − 1)( 2n + 1) 2 ⎝ 2n − 1 2n + 1 ⎠ 1 1⎛ 1 1 ⎞ 7(3) = ⎜ n ( n + 1) − ( n + 1)( n + 2 ) ⎟ ⎜ ⎟ n ( n + 1)( n + 2 ) 2⎝ ⎠ 1 1⎛1 1 ⎞ 7(4) = ⎜ − ⎟ n ( n + 2) 2⎝ n n +2⎠ 2n + 1 1 1 9(1) = − n ( n + 1) ( n + 1) 2 2 2 2 n
  • 10.
    10 กิจกรรมแสนอแนะ ลิมิตของลําดับ กิจกรรมที่ 1 ผูสอนและผูเรียนชวยกันเขียนกราฟของลําดับ an ตอไปนี้บนกระดานดํา หรือใชโปรแกรม ประเภทตารางทํางาน เชน Microsoft Excel 1 (1) an = 2n (2) an = 2 (−1)n (3) an = 1+ n (4) an = 2n – 1 (5) an = (–1)n+1 จากนั้นชวยกันพิจารณากราฟของลําดับ an เมื่อ n มีคามากขึ้นโดยไมมีที่สิ้นสุด คาของ พจนที่ n ของลําดับ จะมีคาเขาใกลจํานวนจริงใดหรือไม ซึ่งผูเรียนควรบอกไดวา สําหรับ ลําดับในขอ (1) คาของพจนที่ n จะเขาใกล 0 ลําดับในขอ (2) คาของพจนที่ n จะเปน 2 เสมอ ลําดับในขอ (3) คาของพจนที่ n จะเขาใกล 1 ลําดับในขอ (4) คาของพจนที่ n จะมากขึนเรื่อย ๆ ้ ลําดับในขอ (5) คาของพจนที่ n จะเปน 1 เมื่อ n เปนจํานวนคี่ และ เปน –1 เมื่อ n เปนจํานวนคู ผูสอนเสนอแนะผูเรียนวาลําดับในขอ (1), (2) และ (3) คาของพจนที่ n จะเขาใกลหรือ เทากับจํานวนจริงเพียงจํานวนเดียวเทานั้น ในกรณีที่พจนที่ n ของลําดับมีคาเขาใกลหรือเทากับ จํานวนจริง L เพียงจํานวนเดียวเทานั้น เมื่อ n มีคามากขึ้นโดยไมมีที่สนสุด จะเรียก L วาเปนลิมิต ิ้ ของลําดับนั้น หรือกลาววาลําดับนั้นมีลิมิตเปน L สวนลําดับที่ไมมีสมบัติเชนนี้จะเปนลําดับที่ไมมี ลิมิต ผูสอนใหผูเรียนบอกวาลําดับขางตนลําดับใดบางมีลิมิตและลิมตเปนเทาใด ลําดับใดไมมีลิมต ิ ิ ซึ่งผูเรียนควรบอกไดวา ลําดับในขอ (1) มีลิมิตเปน 0 ลําดับในขอ (2) มีลิมิตเปน 2 และลําดับใน ขอ (3) มีลิมิตเปน 1 ผูสอนทบทวนผูเรียนเกี่ยวกับลําดับที่มีลิมิตเรียกวา ลําดับลูเขา สวนลําดับที่ไมมีลิมิต เรียกวาลําดับลูออก แลวผูสอนใหผูเรียนบอกวาลําดับทั้งหาลําดับขางตน ลําดับใดเปนลําดับลูเขา และลําดับใดเปนลําดับลูออก ซึ่งผูเรียนควรบอกไดวา ลําดับในขอ (1), (2) และ (3) เปนลําดับลู เขา ลําดับในขอ (4) และ (5) เปนลําดับลูออก
  • 11.
    11 กิจกรรมที่ 2 ผูสอนอาจใชการพับกระดาษแสดงความหมายของลิมิตของลําดับบางลําดับไดดังตอไปนี้ 1 1 1 1 1 เชน พิจารณาลําดับ 1, , , , , ,… 2 4 8 16 32 1 1 2 1 4 1 8 1 16 1 32 ผูสอนอธิบายวาถาพับกระดาษตอไปอีก จะไดความยาวของกระดาษนอยลงเรื่อย ๆ จน เกือบเปน 0 แสดงวา ถา n มีคามากขึ้นโดยไมมีที่สิ้นสุด พจนที่ n ของลําดับจะเขาใกล 0 และ กลาวไดวา ลิมิตของลําดับขางตนเทากับ 0  อนุกรมอนันต กิจกรรมที่ 3 ผูสอนอาจประยุกตใชกจกรรมตอไปนี้นําเขาเรื่องอนุกรมอนันตได ใหผูเรียนปฏิบติ ิ ั ตามลําดับขั้นและตอบคําถามตอไปนี้ ขั้นที่ 1 ตัดกระดาษขนาด A4 เปนรูปสี่เหลี่ยมผืนผาสามรูปที่เทากัน ดังรูป
  • 12.
    12 ขั้นที่ 2 แยกสวนที่หนึ่งไวกองหนึ่ง สวนที่สองไวอีกกองหนึ่ง เก็บสวนที่สามไวในมือ ขั้นที่ 3 ทําซ้ําขั้นที่ 1 และ 2 กับกระดาษสวนที่สามที่อยูในมือไปเรื่อย ๆ 1. สมมติวากระดาษ A4 มีพื้นที่ 1 ตารางหนวย และสมมติวาสามารถตัดกระดาษซ้ํา ตอไปไดอีกอยางตอเนื่องไมสิ้นสุด จะมีกระดาษในกองที่หนึ่งเทาไร กองที่สองเทาไร และมี เหลืออยูในมือเทาไร ใหเขียนผลบวกของเศษสวนทีใชแทนพื้นที่ของกระดาษที่มีอยูในแตละกอง ่ ผูเรียนควรตอบไดวา จะมีกระดาษในกองที่หนึ่งและกองที่สองเทากันคือเทากับ 1 1 1 1 + + + + ... ตารางหนวย และกระดาษที่อยูในมือจะชิ้นเล็กลงเรื่อย ๆ จนไมสามารถตัด 3 32 33 34 ไดจริง ๆ 2. สมมติวาสามารถตัดกระดาษซ้ําตอไปไดอีกอยางตอเนืองอยางไมสิ้นสุด เศษสวนในขอ 1 ่ จะมีอยูอยางจํากัดหรือนับไมถวน และผลบวกของเศษสวนเหลานันหาคาไดหรือไม ้ ผูเรียนควรตอบไดวา เศษสวนในขอ 1 มีอยูอยางไมจํากัด แตผลบวกของเศษสวนเหลานั้น ยังไมแนใจวาจะหาไดหรือไม 3. อนุกรมอนันต คือ ผลบวกของจํานวนหลาย ๆ จํานวน นับไมถวน เชน 1 + 2 + 3 + 4 + 5 + ... + n + ... เปนอนุกรมอนันต อนุกรมนี้สามารถหาผลบวกเปนจํานวน ๆ หนึงไดหรือไม ่ ผูเรียนควรตอบไดวา ไมสามารถหาผลบวกดังกลาวได  4. ถาอนุกรมอนันตไมสามารถหาผลบวกเปนจํานวน ๆ หนึ่งได เรียกอนุกรมนั้นวา 1 1 1 1 อนุกรมลูออก เชน อนุกรมในขอ 3 เปนอนุกรมลูออก อนุกรม + + + + ... ลูออก 2 2 2 23 2 4 หรือไม ใหสรางแบบจําลองการตัดกระดาษคลาย ๆ กับที่ทํามาแลว 1 1 1 1 อนุกรม + + + + ... ยังไมแนใจวาจะหาผลบวกไดหรือไม แบบจําลองการ 2 2 2 23 2 4 ตัดกระดาษไปเรื่อย ๆ ซึ่งแทนอนุกรม 1 + 12 + 13 + 14 + ... ในขอ 4 เปนดังนี้ 2 2 2 2 1 23 1 24 1 2 1 22
  • 13.
    13 กิจกรรมที่ 4 n การหาสูตร ∑ i นอกจากจะใชวิธีทางพีชคณิตดังที่ปรากฏในหนังสือเรียนแลว ผูสอน i =1 อาจเพิ่มความนาสนใจใหผูเรียนโดยใชพนที่สรุปการหาผลบวกของ i ไดอีกวิธหนึงดังนี้ ื้ ี ่ กําหนดใหรูปสี่เหลี่ยมจัตุรัสเล็ก ๆ 1 รูป มีพื้นที่ 1 ตารางหนวย รูปที่ 1 จะเห็นวารูปที่ 1 มีพื้นที่เทากับ 1 + 2 + 3 + 4 ตารางหนวย ถานํารูปที่ 1 จํานวนสองรูปมาประกอบกัน จะไดรูปสี่เหลี่ยมผืนผาหนึ่งรูป ดังนี้ 4 4 4 5 รูปสี่เหลี่ยมผืนผาที่ไดมีพื้นที่เปนสองเทาของรูปที่ 1 และมีพื้นที่เทากับ 4 × 5 ตารางหนวย ดังนัน จึงได 4 × 5 = 2(1 + 2 + 3 + 4) ้ 4×5 = 1+2+3+4 2 ในทํานองเดียวกัน เมื่อ n เปนจํานวนเต็มบวก และตองการหาคาของ 1 + 2 + 3 + ... + n ก็พิจารณาจากพื้นที่ได n n n n+1
  • 14.
    14 จะเห็นวารูปซาย มีพื้นที่เทากับ 1 + 2 + 3 + 4 + ... + n ตารางหนวย ถานํารูปซายจํานวนสองรูปมาประกอบกัน จะไดรูปสี่เหลี่ยมผืนผาหนึ่งรูปทีมความยาว ่ ี n + 1 หนวย และความกวาง n หนวย รูปสี่เหลี่ยมผืนผามีพื้นที่เปนสองเทาของรูปซาย และมีพื้นที่เทากับ n(n + 1) ตารางหนวย ดังนัน จึงได n(n + 1) = 2(1 + 2 + 3 + 4 + ... + n) ้ n = 2∑ i i=1 n n(n + 1) ∑i = 2 i =1 ตัวอยางแบบทดสอบประจําบท 1. ลําดับตอไปนี้เปนลําดับลูเขาหรือลูออก 2n 1 − n2 (1) an = (2) an = 5n − 3 2 + 3n 2 n n2 − n + 7 ⎛9⎞ (3) an = (4) an = 1+ ⎜ ⎟ 2n 3 + n 2 ⎝ 10 ⎠ n ⎛ 1⎞ (5) an = 2−⎜− ⎟ (6) an = 1 + (–1)n ⎝ 2⎠ 2. จงตัดสินวาลําดับตอไปนี้เปนลําดับลูเขาหรือลูออก โดยพิจารณาคาของพจนตาง ๆ ในลําดับ โดยตรง หรือใชเครื่องคํานวณชวยเขียนกราฟของลําดับ หรือใชทฤษฎีบทเกี่ยวกับลิมต ิ n−2 1 (1) an = (2) an = (−1) n +1 n + 13 n 3. เขียน 0.249 ใหอยูในรูปเศษสวน 4. จงหาคา ∞ ∞ (1) ∑ 2 (2) ∑ 4k 1 3 n =1 n k =1 2 −1 ∞ 2n + 7 n ∞ ⎛ 6 6 ⎞ (3) ∑ n (4) ∑ ⎜ 4k − 1 − 4k + 3 ⎟ n =0 9 ⎝ k =1 ⎠ 1 1 1 1 5. อนุกรม + + + ... + + ... เปนอนุกรมลูเขาหรือลูออก 1⋅ 5 2 ⋅ 6 3 ⋅ 7 n(n + 4) 6. การเลนบันจีจัมป (bungee jump) เปนกิจกรรมทาทายที่ผูเลนกระโดดลงมาจากที่สงโดยมีปลาย ู เชือกดานหนึ่งผูกติดลําตัวหรือหัวเขาของผูเลน ปลายเชือกอีกดานหนึ่งผูกติดไวกบฐานกระโดด ั ชายคนหนึงใชเชือกยาว 250 ฟุต กระโดดบันจีจัมปจากฐานกระโดด และพบวาหลังจากใน ่ แตละครั้งที่เขาดิ่งลงถึงตําแหนงต่ําสุด เชือกที่มีความยืดหยุนสูงจะดึงตัวเขาใหลอยขึ้นเปน ระยะทาง 55% ของระยะทางที่เขาดิ่งลงถึงตําแหนงต่ําสุด จงหาระยะทางที่ชายคนนี้เคลื่อนที่ ลอยขึ้นและดิ่งลงทั้งหมด
  • 15.
    15 เฉลยตัวอยางแบบทดสอบประจําบท 2n 2n 2 1. (1) lim n →∞ 5n − 3 = lim n →∞ ⎛ = lim n →∞ 3 3⎞ n⎜5 − ⎟ 5− ⎝ n⎠ n ⎛ 3⎞ เนื่องจาก lim 2 n →∞ = 2 และ lim ⎜ 5 − ⎟ n →∞ ⎝ = 5 n⎠ 2 lim 2 2 จะได lim n →∞ 3 = n →∞ = 5− ⎛ 3⎞ 5 lim 5 − ⎟ n n →∞ ⎜ ⎝ n⎠ 2n 2n 2 ดังนั้น ลําดับ an = เปนลําดับลูเขา และ lim n →∞ 5n − 3 = 5n − 3 5 ⎛ 1 ⎞ 1 n 2 ⎜ 2 − 1⎟ −1 1− n 2 ⎝n ⎠ = lim n 2 (2) lim n →∞ 2 + 3n 2 = nlim →∞ 2 ⎛ 2 n →∞ 2 ⎞ +3 n ⎜ 2 + 3⎟ ⎝n ⎠ n2 เนื่องจาก nlim ⎛ 12 − 1⎞ = –1 และ nlim ⎛ 22 + 3 ⎞ = 3 →∞ ⎜ n ⎟ →∞ ⎜ n ⎟ ⎝ ⎠ ⎝ ⎠ 1 ⎛ 1 ⎞ −1 lim − 1⎟ n →∞ ⎜ n 2 จะได nlim 2 →∞ n2 = ⎝ ⎠ = −1 +3 ⎛ 2 ⎞ 3 lim + 3⎟ n2 n →∞ ⎜ n 2 ⎝ ⎠ 1 − n2 เปนลําดับลูเขา และ nlim 1 − n 2 2 1 ดังนั้น ลําดับ a n = →∞ 2 + 3n = − 2 + 3n 2 3 ⎛1 1 7 ⎞ 1 1 7 n3 ⎜ − 2 + 3 ⎟ − 2+ 3 n −n+7 2 n n n ⎠ (3) lim n →∞ 2n 2 + n 2 = nlim ⎝ →∞ = nlim n n 1 n →∞ 3⎛ 1⎞ n ⎜2+ ⎟ 2+ ⎝ n⎠ n เนื่องจาก nlim ⎛ 1 − 13 + 73 ⎞ = 0 และ nlim ⎛ 2 + 1 ⎞ = 2 →∞ ⎜ n n ⎟ →∞ ⎜ ⎟ ⎝ n ⎠ ⎝ n⎠ 1 1 7 − 2+ 3 จะได nlim n n 1 n = 0 = 0 →∞ 2+ 2 n ดังนั้น ลําดับ a n = 2 2 เปนลําดับลูเขา และ nlim n − n + 27 = 0 n2 − n + 7 2 2n + n →∞ 2n 3 + n n ⎛ 9⎞ (4) เนื่องจาก lim 1 n →∞ = 1 และ lim n →∞ ⎜ 10 ⎟ =0 ⎝ ⎠ ⎛ ⎛ 9 ⎞n ⎞ ⎛9⎞ n จะได lim ⎜ 1 + ⎜ ⎟ ⎟ n →∞ ⎜ ⎝ 10 ⎠ ⎟ = lim 1 + lim ⎜ ⎟ n →∞ n →∞ ⎝ 10 ⎠ ⎝ ⎠ = 1+0 ⎛9⎞ n ⎛ ⎛ 9 ⎞n ⎞ ดังนั้น ลําดับ an = 1+ ⎜ ⎟ เปนลําดับลูเขา และ lim ⎜ 1 + ⎟ n →∞ ⎜ ⎜ 10 ⎟ ⎟ =1 ⎝ 10 ⎠ ⎝ ⎝ ⎠ ⎠
  • 16.
    16 n ⎛ 1⎞ (5) เนื่องจาก lim 2 n →∞ = 2 และ lim − n →∞ ⎜ 2 ⎟ =0 ⎝ ⎠ ⎛ ⎛ 1⎞ ⎞ n ⎛ 1⎞ n จะได lim ⎜ 2 − ⎜ − ⎟ ⎟ n →∞ ⎜ = lim 2 − lim ⎜ − ⎟ ⎝ ⎝ 2⎠ ⎟ ⎠ n →∞ n →∞ ⎝ 2 ⎠ = 2–0 = 2 ⎛ 1⎞ n ⎛ ⎛ 1⎞ ⎞ n ดังนั้น an = 2−⎜− ⎟ เปนลําดับลูเขา และ lim ⎜ 2 − ⎜ − ⎟ ⎟ n →∞ ⎜ = 2 ⎝ 2⎠ ⎝ ⎝ 2⎠ ⎟ ⎠ (6) ลําดับนี้คือ 0, 2, 0, 2, ... ซึ่งไมมีลิมิต ดังนั้น ลําดับนี้เปนลําดับลูออก 2. (1) พิจารณาคาของ an โดยตรง เมื่อ n มีคามากขึ้น n – 2 และ n +13 มีคาใกลเคียงกัน n−2 มาก ลิมิตของลําดับ an = จึงเทากับ 1 n + 13 ใชทฤษฎีบทเกี่ยวกับลิมิตเพือสนับสนุนการพิจารณาขางตนดังนี้ ่ ⎛ 2⎞ 2 n ⎜1 − ⎟ 1− n−2 ⎝ n⎠ lim n →∞ n + 13 = nlim →∞ ⎛ 13 ⎞ = nlim 13 →∞ n n ⎜1 + ⎟ 1+ ⎝ n⎠ n เนื่องจาก nlim ⎛1 − 2 ⎞ = 1 และ nlim ⎛1 + 13 ⎞ = 1 →∞ ⎜ ⎟ →∞ ⎜ ⎟ ⎝ n⎠ ⎝ n⎠ 2 ⎛ 2⎞ 1− lim ⎜1 − ⎟ n →∞ ⎝ n⎠ จะได nlim 13 = →∞ n 1+ ⎛ 13 ⎞ lim 1 + ⎟ n n →∞ ⎜⎝ n⎠ 1 = = 1 1 ดังนั้น ลําดับ a n = n − 2 เปนลําดับลูเขา และ nlim n − 2 →∞ n + 13 =3 n + 13 1 1 1 1 1 (2) คํานวณหาแตละพจนของลําดับ an = (−1) n +1 ไดลําดับ 1, − , , − , , ... n 2 3 4 5 จากนั้นพิจารณาคาของ an โดยตรง หรือเขียนกราฟของลําดับ an โดยใชโปรแกรม ประเภทตาราง เชน Microsoft Excel มาชวย จะไดกราฟดังรูป an 1 0.8 0.6 0.4 0.2 0 2 4 6 8 10 n -0.2 -0.4
  • 17.
    17 จากกราฟ จะเห็นวา an จะเขาใกล 0 เมื่อ n มีคามากขึ้นโดยไมมีที่สนสุด ิ้ ดังนั้น ลําดับ an = (−1) n +1 1 เปนลําดับลูเขา และ n →∞ ⎛ (−1)n +1 1 ⎞ = 0 lim ⎜ ⎟ n ⎝ n⎠ 3. 0.249 = 0.24999... = 0.24 + 0.009 + 0.0009 + 0.00009 + ... 9 9 9 = 0.24 + 3 + 4 + 5 + ... 10 10 10 9 9 9 9 3 + 4 + 5 + ... เปนอนุกรมเรขาคณิตที่มี a1 = 3 และ r = 1 10 10 10 10 10 1 9 9 9 เนื่องจาก r = <1 อนุกรม 3 + 4 + 5 + ... เปนอนุกรมลูเขา 10 10 10 10 9 9 a1 103 103 = 1 และมีผลบวกเทากับ = 1 = 9 = 0.01 1− r 1− 100 10 10 1 ดังนั้น 0.249 = 0.24 + 0.01 = 0.25 = 4 ∞ 4. (1) ∑ 2 = n 2 2 2 2 + 2 + 3 + ... + n + ... 3 n =1 3 3 3 3 2 1 เปนอนุกรมเรขาคณิตที่มี a1 = และ r = 3 3 1 1 เนื่องจาก r = = < 1 อนุกรมนี้เปนอนุกรมลูเขา 3 3 2 a1 และมีผลบวกเทากับ = 3 1 = 1 1− r 1− 3 ∞ ดังนั้น ∑ 2 = 1 n 3 n =1 n (2) ให Sn = ∑ 1 4k − 1 k =1 2 1 1 เนื่องจาก = 4k − 1 2 (2k) 2 − 1 1 = (2k − 1)(2k + 1) n ⎛1 ⎛ 1 1 ⎞⎞ จะได Sn = ∑ ⎜ 2 ⎜ 2k − 1 − 2k + 1 ⎟ ⎟ k =1⎝ ⎝ ⎠ ⎠ 1 n ⎛ 1 1 ⎞ = ∑ ⎝ 2k − 1 − 2k + 1 ⎠ ⎜ ⎟ 2 k =1 1 ⎛⎛ 1 ⎞ ⎛ 1 1 ⎞ ⎛ 1 1 ⎞ ⎛ 1 1 ⎞⎞ = ⎜ ⎜1 − ⎟ + ⎜ − ⎟ + ⎜ − ⎟ + ... + ⎜ − ⎟⎟ 2 ⎝⎝ 3 ⎠ ⎝ 3 5 ⎠ ⎝ 5 7 ⎠ ⎝ 2n − 1 2n + 1 ⎠ ⎠
  • 18.
    18 1⎛ 1 ⎞ = ⎜1 − ⎟ 2 ⎝ 2n + 1 ⎠ 1⎛ 1 ⎞ 1 lim Sn n →∞ = lim ⎜ 1 − n →∞ 2 ⎝ ⎟ = 2n + 1 ⎠ 2 ∞ ดังนั้น ∑ 1 = 1 4k − 1 k =1 2 2 ∞ 2n + 7 n ∞ 2n ∞ n (3) ∑ = ∑ + ∑7 n =0 9n n =0 9 n 9 n =0 n ∞ ⎛ 2 ⎞n ∞ ⎛ 7 ⎞n = ∑⎜ ⎟ + ∑⎜ ⎟ n =0 ⎝ 9 ⎠ ⎝9⎠ n =0 1 1 = 2 + 7 1− 1− 9 9 9 9 18 + 63 81 = + = = 7 2 14 14 ∞ 2n + 7 n 81 ∑ = n =0 9n 14 (4) ให Sn = ∑ ⎛ 6 − 6 ⎞ n ⎜ ⎟ ⎝ 4k − 1 4k + 3 ⎠ k =1 n ⎛ 6 6 ⎞ จะได Sn = ∑ ⎝ 4k − 1 − 4k + 3 ⎠ ⎜ ⎟ k =1 ⎛ 6⎞ ⎛6 6 ⎞ ⎛ 6 6 ⎞ ⎛ 6 6 ⎞ = ⎜ 2 − ⎟ + ⎜ − ⎟ + ⎜ − ⎟ + ... + ⎜ − ⎟ ⎝ 7 ⎠ ⎝ 7 11 ⎠ ⎝ 11 15 ⎠ ⎝ 4n − 1 4n + 3 ⎠ 6 = 2− 4n + 3 ⎛ 6 ⎞ lim S n →∞ n = lim 2 − n →∞ ⎜ ⎟ = 2 ⎝ 4n + 3 ⎠ ∞ ดังนั้น ∑ ⎛ 6 − 6 ⎞ = 2 ⎜ ⎟ k =1⎝ 4k − 1 4k + 3 ⎠ 1 1⎛1 1 ⎞ 5. พิจารณา = ⎜ − ⎟ k(k + 4) 4⎝k k+4⎠ 1 1 1 1 ดังนั้น Sn = + + + ... + 1⋅ 5 2⋅6 3⋅ 7 n(n + 4) 1 ⎛⎛ 1⎞ ⎛1 1⎞ ⎛1 1⎞ ⎛1 1⎞ ⎛1 1⎞ ⎛1 1 ⎞ = ⎜ ⎜1 − ⎟ + ⎜ − ⎟ + ⎜ − ⎟ + ⎜ − ⎟ + ⎜ − ⎟ + ⎜ − ⎟ + 4 ⎝ ⎝ 5 ⎠ ⎝ 2 6 ⎠ ⎝ 3 7 ⎠ ⎝ 4 8 ⎠ ⎝ 5 9 ⎠ ⎝ 6 10 ⎠ ⎛1 1 ⎞ ⎛1 1 ⎞⎞ ⎜ − ⎟ + ... + ⎜ − ⎟⎟ ⎝ 7 11 ⎠ ⎝ n n + 4 ⎠⎠ 1⎛ 1 1 1⎞ 1⎛ 1 1 1 1 ⎞ = ⎜1 + + + ⎟ + ⎜ − − − − ⎟ 4 ⎝ 2 3 4 ⎠ 4 ⎝ n +1 n + 2 n + 3 n + 4 ⎠
  • 19.
    19 ⎛1⎛ 1 1 1⎞ 1⎛ 1 1 1 1 ⎞⎞ เนื่องจาก lim Sn n →∞ = lim ⎜ ⎜ 1 + + + ⎟ + ⎜ − − − − ⎟⎟ ⎝ ⎝ 2 3 4 ⎠ 4 ⎝ n +1 n + 2 n + 3 n + 4 ⎠⎠ n →∞ 4 1⎛ 1 1 1⎞ = ⎜1 + + + ⎟ 4⎝ 2 3 4⎠ 25 = 48 1 1 1 1 25 ดังนั้น อนุกรม + + + ... + + ... เปนอนุกรมลูเขา และมีผลบวกเทากับ 1⋅ 5 2⋅6 3⋅ 7 n(n + 4) 48 6. ระยะทางทีชายคนนี้เริ่มกระโดดจนถึงตําแหนงต่ําสุดมีระยะทาง 250 ฟุต ่ ชายคนนี้จะลอยขึ้นสูงเปนระยะทาง 55% ของระยะทางที่เขาดิ่งลงถึงตําแหนงต่ําสุด มีคาเทากับ 11 ของระยะทางที่เขาดิ่งลงถึงตําแหนงต่ําสุด 20 ระยะทางที่ชายคนนี้ลอยขึ้นครั้งที่ 1 แลวดิ่งลงถึงตําแหนงต่ําสุดมีระยะทาง 11 11 11 คือ 250 ⎛ 20 ⎞ + 250 ⎛ 20 ⎞ = 500 ⎛ 20 ⎞ ฟุต ⎜ ⎟ ⎜ ⎟ ⎜ ⎟ ⎝ ⎠ ⎝ ⎠ ⎝ ⎠ ระยะทางที่ชายคนนี้ลอยขึ้นครั้งที่ 2 แลวดิ่งลงถึงตําแหนงต่ําสุดมีระยะทางคือ 11 11 11 11 11 2 250 ⎛ 20 ⎞⎛ 20 ⎞ + 250 ⎛ 20 ⎞⎛ 20 ⎞ = 500 ⎛ 20 ⎞ ⎜ ⎟⎜ ⎟ ⎜ ⎟⎜ ⎟ ⎜ ⎟ ฟุต ⎝ ⎠⎝ ⎠ ⎝ ⎠⎝ ⎠ ⎝ ⎠ ระยะทางที่ชายคนนี้ลอยขึ้นแลวดิ่งลงเปนเชนนีไปเรื่อย ๆ ้ จะไดระยะทางที่ชายคนนี้เคลื่อนที่ลอยขึ้นและดิ่งลงทั้งหมดเทากับ 2 3 ⎛ 11 ⎞ ⎛ 11 ⎞ ⎛ 11 ⎞ 250 + 500 ⎜ ⎟ + 500 ⎜ ⎟ + 500 ⎜ ⎟ + ... ⎝ 20 ⎠ ⎝ 20 ⎠ ⎝ 20 ⎠ ⎛ 11 ⎛ 11 ⎞2 ⎛ 11 ⎞3 ⎞ = 250 + 500 ⎜ + ⎜ ⎟ + ⎜ ⎟ + ... ⎟ ⎜ 20 ⎝ 20 ⎠ ⎝ 20 ⎠ ⎟ ⎝ ⎠ ⎛ 11 ⎞ ⎜ ⎟ = 250 + 500 ⎜ 20 ⎟ 11 ⎜1− ⎟ ⎜ ⎟ ⎝ 20 ⎠ ⎛ 11 ⎞ = 250 + 500 ⎜ ⎟ ⎝9⎠ = 861.11 ดังนั้น ในการกระโดดบันจีจัมปครั้งนี้ ชายคนนี้เคลื่อนที่ลอยขึ้นและดิ่งลงเปนระยะทาง ทั้งหมด 861.11 ฟุต
  • 20.
    20 เฉลยแบบฝกหัด 1.1 ก 1. (1) a2 = a1 + 2 – 1 = 0 + 2 – 1 = 1 a3 = a2 + 3 – 1 = 1 + 3 – 1 = 3 a4 = a3 + 4 – 1 = 3 + 4 – 1 = 6 a5 = a4 + 5 – 1 = 6 + 5 – 1 = 10 ดังนั้น 5 พจนแรกของลําดับนี้คือ 0, 1, 3, 6, 10 (2) a2 = 1 + 0.05a1 = 1 + 0.05(1000) = 51 a3 = 1 + 0.05a2 = 1 + 0.05(51) = 3.55 a4 = 1 + 0.05a3 = 1 + 0.05(3.55) = 1.1775 a5 = 1 + 0.05a4 = 1 + 0.05(1.1775) = 1.058875 ดังนั้น 5 พจนแรกของลําดับนี้คือ 1000, 51, 3.55, 1.1775, 1.058875 (3) a2 = 6a1 = 6(2) = 12 a3 = 6a2 = 6(12) = 72 a4 = 6a3 = 6(72) = 432 a5 = 6a4 = 6(432) = 2592 ดังนั้น 5 พจนแรกของลําดับนี้คือ 2, 12, 72, 432, 2592 (4) a3 = a2 + 2a1 = 2 + 2(1) = 4 a4 = a3 + 2a2 = 4 + 2(2) = 8 a5 = a4 + 2a3 = 8 + 2(4) = 16 ดังนั้น 5 พจนแรกของลําดับนี้คือ 1, 2, 4, 8, 16 (5) a3 = a2 + a1 = 0+2 = 2 a4 = a3 + a2 = 2+0 = 2 a5 = a4 + a3 = 2+2 = 4 ดังนั้น 5 พจนแรกของลําดับนี้คือ 2, 0, 2, 2, 4 2. (1) เปนลําดับเลขคณิต มีผลตางรวมเปน 2 (2) เปนลําดับเรขาคณิต มีอัตราสวนรวมเปน –1 (3) เปนลําดับเลขคณิต มีผลตางรวมเปน –2 1 (4) เปนลําดับเรขาคณิต มีอัตราสวนรวมเปน 3 (5) ไมเปนทั้งลําดับเลขคณิตและลําดับเรขาคณิต
  • 21.
    21 3. (1) d= 4 – (–2) = 6 เนื่องจาก an = a1 + (n – 1)d ∴ an = –2 + (n – 1)6 = 6n – 8 พจนที่ n ของลําดับนี้คือ an = 6n – 8 1 ⎛ 1⎞ 1 (2) d = −⎜− ⎟ = 6 ⎝ 6⎠ 3 เนื่องจาก an = a1 + (n – 1)d 1 1 ∴ an = − + (n − 1) 6 3 3 n = − + 6 3 2n − 3 = 6 2n − 3 พจนที่ n ของลําดับนี้คือ an = 6 1 5 (3) d = 13 − 11 = 2 2 เนื่องจาก an = a1 + (n – 1)d 5 ∴ an = 11 + (n − 1) 2 17 5n = + 2 2 5n + 17 = 2 5n + 17 พจนที่ n ของลําดับนี้คือ an = 2 (4) d = 22.54 – 19.74 = 2.8 เนื่องจาก an = a1 + (n – 1)d ∴ an = 19.74 + (n – 1)(2.8) = 2.8n + 16.94 พจนที่ n ของลําดับนี้คือ an = 2.8n + 16.94 (5) d = (x + 2) – x = 2 เนื่องจาก an = a1 + (n – 1)d ∴ an = x + (n – 1)2 = x + 2n – 2 พจนที่ n ของลําดับนี้คือ an = x – 2 + 2n
  • 22.
    22 (6) d = (2a + 4b) – (3a + 2b) = –a + 2b เนื่องจาก an = a1 + (n – 1)d ∴ an = (3a + 2b) + (n – 1)(–a + 2b) = 3a + 2b – na + 2nb + a – 2b = 4a – na + 2nb พจนที่ n ของลําดับนี้คือ an = 4a – na + 2nb 4. จะได 5p – p = 6p + 9 – 5p 4p = p+9 3p = 9 p = 3 จะได สามพจนแรกของลําดับนี้คือ 3, 15, 27 ลําดับนี้มีผลตางรวมเปน 12 ดังนั้น สี่พจนตอไปของลําดับนี้คือ 39, 51, 63, 75 5. ใหลําดับนี้มีสามพจนแรกคือ a – d, a, a + d จะได a–d+a+a+d = 12 ---------- (1) 3 3 3 และ (a – d) + a + (a + d) = 408 ---------- (2) จาก (1) 3a = 12 a = 4 จาก (2), a3 – 3a2d + 3ad2 – d3 + a3 + a3 + 3a2d + 3ad2 + d3 = 408 3a3 + 6ad2 = 408 3 2 3(4) + 24d = 408 24d2 = 408 – 192 216 d2 = 24 = 9 d = 3 หรือ –3 ถา d = 3 แลว จะไดลําดับนี้คือ 1, 4, 7, 10, 13, ... ถา d = –3 แลว จะไดลําดับนี้คือ 7, 4, 1, –2, –5, ... −6 6. (1) r = = 2 −3 เนื่องจาก an = a1rn–1 ∴ an = (–3)2n–1 พจนที่ n ของลําดับนี้คือ an = (–3)2n–1
  • 23.
    23 −5 1 (2) r = = − 10 2 เนื่องจาก an = a1rn–1 n −1 ⎛ 1⎞ ∴ an = 10 ⎜ − ⎟ ⎝ 2⎠ n −1 ⎛ 1⎞ พจนที่ n ของลําดับนี้คือ an = 10 ⎜ − ⎟ ⎝ 2⎠ 5 (3) r = 4 1 = 5 4 เนื่องจาก an = a1rn–1 ⎛ 1 ⎞ n −1 ∴ an = ⎜ ⎟5 ⎝4⎠ ⎛ 1 ⎞ n −1 พจนที่ n ของลําดับนี้คือ an = ⎜ ⎟5 ⎝4⎠ 5 (4) r = 3 5 = 2 6 เนื่องจาก an = a1rn–1 ⎛ 5 ⎞ n −1 ∴ an = ⎜ ⎟ (2) ⎝6⎠ ⎛ 5 ⎞ n −1 พจนที่ n ของลําดับนี้คือ an = ⎜ ⎟ (2) ⎝6⎠ 1 3 (5) r = 12 2 = − − 8 9 เนื่องจาก an = a1rn–1 n −1 ⎛ 2 ⎞⎛ 3 ⎞ ∴ an = ⎜ − ⎟⎜ − ⎟ ⎝ 9 ⎠⎝ 8 ⎠ n −1 ⎛ 2 ⎞⎛ 3 ⎞ พจนที่ n ของลําดับนี้คือ an = ⎜ − ⎟⎜ − ⎟ ⎝ 9 ⎠⎝ 8 ⎠ a 2 b2 a (6) r = = ab3 b เนื่องจาก an = a1rn–1 n −1 ⎛a⎞ ∴ an = 3 (ab ) ⎜ ⎟ ⎝b⎠
  • 24.
    24 an = b4− n an พจนที่ n ของลําดับนี้คือ an = b4− n 7. (1) ให a1 = –15 และ a5 = –1215 จะได a5 = a 1r4 = –1215 –15r4 = –1215 r4 = 81 r = –3 หรือ r = 3 ดังนั้น สามพจนที่อยูระหวาง –15 กับ –1215 คือ 45, –135, 405 หรือ –45, –135, –405 4 27 (2) ให a1 = และ a5 = 3 64 27 จะได a5 = a 1r4 = 64 4 4 27 r = 3 64 4 81 r = 256 3 3 r = หรือ r = − 4 4 4 27 3 9 3 ดังนั้น 3 พจนที่อยูระหวาง กับ คือ 1, , หรือ –1, , −9 3 64 4 16 4 16 8. ให a เปนจํานวนทีนําไปบวก ่ จะได 3 + a, 20 + a, 105 + a เปนลําดับเรขาคณิต 20 + a 105 + a ดังนั้น = 3+ a 20 + a 400 + 40a + a2 = 315 + 108a + a2 68a = 85 85 5 a = = 68 4 5 จํานวนที่นําไปบวกคือ 4
  • 25.
    25 เฉลยแบบฝกหัด 1.1 ข 1. (1) ลูออก n 1 2 3 4 5 6 7 8 9 10 an 1 0 –1 0 1 0 –1 0 1 0 an 1.5 1 0.5 0 n 1 2 3 4 5 6 7 8 9 10 -0.5 -1 -1.5 (2) ลูเขา n 1 2 3 4 5 6 7 8 9 10 an 1 0 –0.333 0 0.2 0 –0.142 0 –0.111 0 an 1.2 1 0.8 0.6 0.4 0.2 0 n -0.2 0 5 10 15 20 25 30 -0.4
  • 26.
    26 (3) ลูเขา n 1 2 3 4 5 6 7 8 9 10 an 2.5 1.666 1.25 1 0.833 0.714 0.625 0.555 0.5 0.454 an 2.5 2 1.5 1 0.5 0 n 0 10 20 30 (4) ลูออก n 1 2 3 4 5 6 7 8 9 10 an 2 2 2.666 4 6.4 10.666 18.285 32 56.888 102.4 an 60 50 40 30 20 10 0 n 0 2 4 6 8
  • 27.
    27 (5) ลูออก n 1 2 3 4 5 6 7 8 9 10 an 0 4 0 8 0 12 0 16 0 20 an 40 35 30 25 20 15 10 5 0 n 0 5 10 15 20 (6) ลูเขา n 1 2 3 4 5 6 7 8 9 10 an 3.5 3.75 3.875 3.937 3.968 3.984 3.992 3.996 3.998 3.999 an 4.1 4 3.9 3.8 3.7 3.6 3.5 3.4 n 0 2 4 6 8
  • 28.
    28 (7) ลูเขา n 1 2 3 4 5 6 7 8 9 10 an 4 2 1 0.5 0.25 0.125 0.0625 0.03125 0.015625 0.0078125 an 9 8 7 6 5 4 3 2 1 0 n 0 2 4 6 8 (8) ลูเขา n 1 2 3 4 5 6 7 8 9 10 an 0.666 0.816 0.873 0.903 0.922 0.934 0.943 0.950 0.955 0.960 an 1.2 1 0.8 0.6 0.4 0.2 0 n 0 5 10 15 20
  • 29.
    29 (9) ลูออก n 1 2 3 4 5 6 7 8 9 10 an –1.333 1.777 –2.370 3.160 –4.213 5.618 –7.491 9.988 –13.318 17.757 an 20 15 10 5 0 n 0 2 4 6 8 10 12 -5 -10 -15 (10) ลูเขา .n 1 2 3 4 5 6 7 8 9 10 an 0.25 0.333 0.3 0.222 0.147 0.090 0.053 0.031 0.017 0.009 an 0.35 0.3 0.25 0.2 0.15 0.1 0.05 0 n 0 2 4 6 8 10 12
  • 30.
    30 2. ไมเห็นดวย เพราะเปนการสรุปที่ไมถูกตองถา x n และ yn เปนลําดับ การที่จะกลาววา ⎛x ⎞ lim x n lim ⎜ n ⎟ n →∞ y = n →∞ ไดนน ขอตกลงเบืองตนเกียวกับ ั้ ้ ่ lim x n และ lim y n ตองเปน ⎝ n⎠ lim y n n →∞ n →∞ n →∞ จริงกอน ขอกําหนดเบื้องตนนั้นคือ lim x n n →∞ และ lim y n n →∞ ตองหาคาได ในกรณีน้ี ตองจัดรูป an และ bn กอนการใชทฤษฎีบทเกี่ยวกับลิมิต ดังนี้ 1 1 n 4 (2 − ) 2− 2n 4 − n 2 n2 n2 จาก = = 3n 4 + 13 n 4 (3 + 13 ) 3+ 13 n4 n4 1 และเนื่องจาก lim(2 − ) = 2 และ lim(3 + 13 ) = 3 n →∞ n2 n →∞n4 1 2− ดังนั้น lim 2n 4 − n 2 = lim n2 n →∞ 3n 4 + 13 n →∞ 13 3+ n4 1 lim(2 − ) = n →∞ n2 13 lim(3 + 4 ) n →∞ n 2 = 3 8 8 1 3. (1) lim = lim n →∞ 3n 3 n →∞ n 8 = (0) 3 = 0 8 ดังนั้น ลําดับ an = เปนลําดับลูเขา 3n n 8n ⎛8⎞ (2) จาก = ⎜ ⎟ 7n ⎝7⎠ n 8n ⎛8⎞ จะได lim n →∞ 7 n = lim ⎜ ⎟ n →∞ 7 ⎝ ⎠ n ⎛8⎞ 8 lim ⎜ ⎟ หาคาไมได เพราะ >1 n →∞ 7 ⎝ ⎠ 7 8n ดังนั้น ลําดับ an = เปนลําดับลูออก 7n (3) (−1) n = 1 เมื่อ n เปนจํานวนคู และ (−1) = –1 เมื่อ n เปนจํานวนคี่ n ดังนั้น ลําดับ an = (–1)n ไมมีลิมิต และเปนลําดับลูออก
  • 31.
    31 n n ⎛1⎞ ⎛1⎞ (4) lim 3 ⎜ ⎟ = 3lim ⎜ ⎟ n →∞ ⎝2⎠ n →∞ 2 ⎝ ⎠ = 3(0) = 0 n ⎛1⎞ ดังนั้น ลําดับ an = 3⎜ ⎟ เปนลําดับลูเขา ⎝2⎠ 1 (5) เนื่องจาก lim 4 = 4 และ lim =0 n →∞ n →∞ n ⎛ 1⎞ 1 จะได lim ⎜ 4 + ⎟ = lim 4 + lim n →∞ ⎝ n⎠ n →∞ n →∞ n = 4+0 = 4 1 ดังนั้น ลําดับ an = 4+ เปนลําดับลูเขา n 6n − 4 6n 4 2 (6) จาก = − = 1– 6n 6n 6n 3n ⎛ 2 ⎞ และเนื่องจาก lim1 = 1 และ lim ⎜ ⎟ = 0 n →∞ 3n n →∞ ⎝ ⎠ ⎛ 6n − 4 ⎞ ⎛ 2 ⎞ จะได lim ⎜ ⎟ = lim ⎜1 − ⎟ n →∞ ⎝ 6n ⎠ n →∞ ⎝ 3n ⎠ 2 = lim1 − lim n →∞ n →∞ 3n = 1–0 = 1 6n − 4 ดังนั้น ลําดับ an = เปนลําดับลูเขา 6n (7) เมื่อ n มีคาเพิ่มขึ้น คาของพจนที่ n ของลําดับนี้จะเพิ่มขึ้น และไมเขาใกลจํานวนใด จํานวนหนึ่ง 3n + 5 ดังนั้น ลําดับ an = เปนลําดับลูออก 6 n n 1 (8) จาก = = n +1 ⎛ 1⎞ 1+ 1 n ⎜1 + ⎟ ⎝ n⎠ n 1 และเนื่องจาก lim1 = 1 และ lim = 0 n →∞ n →∞ n ⎛ ⎞ ⎛ n ⎞ ⎜ 1 ⎟ จะได lim ⎜ ⎟ = lim ⎜ ⎟ ⎜1+ 1 ⎟ n →∞ n + 1 ⎝ ⎠ n →∞ ⎜ ⎟ ⎝ n⎠
  • 32.
    32 lim1 = n →∞ 1 lim1 + lim n →∞ n →∞ n 1 = 1+ 0 = 1 n ดังนั้น ลําดับ an = เปนลําดับลูเขา n +1 4 (9) เนื่องจาก lim = 0 และ nlim 5n = 0 n →∞ n2 →∞ n 2 ⎛ 4 + 5n ⎞ 4 5n จะได lim ⎜ 2 ⎟ = lim 2 + lim 2 n →∞ ⎝ n ⎠ n →∞ n n →∞ n = 0+0 = 0 4 + 5n ดังนั้น ลําดับ an = เปนลําดับลูเขา n2 ⎛ 1⎞ 1 n⎜2 −⎟ 2− 2n − 1 ⎝ n⎠ (10) จาก = = n 1 3n + 1 ⎛ 1⎞ 3+ n ⎜3 + ⎟ ⎝ n⎠ n ⎛ 1⎞ ⎛ 1⎞ และเนื่องจาก lim ⎜ 2 − ⎟ = 2 n →∞ ⎝ และ lim 3 + ⎟ n →∞ ⎜ = 3 n⎠ ⎝ n⎠ ⎛ 1⎞ lim ⎜ 2 − ⎟ 2n − 1 n →∞ ⎝ n⎠ จะได lim = n →∞ 3n + 1 ⎛ 1⎞ lim ⎜ 3 + ⎟ n →∞ ⎝ n⎠ 2 = 3 2n − 1 ดังนั้น ลําดับ an = เปนลําดับลูเขา 3n + 1 3n 2 − 5n (11) an = เปนลําดับลูออก 7n − 1 7n 2 7n 2 7 (12) จาก = = 3 5n 2 − 3 ⎛ 3 ⎞ 5− n2 ⎜ 5 − 2 ⎟ ⎝ n ⎠ n2 ⎛ 3 ⎞ และเนื่องจาก lim 7 = 7 และ lim ⎜ 5 − 2 ⎟ = 5 n →∞ ⎝ n →∞ n ⎠ 7n 2 lim 7 จะได lim n →∞ 5n 2 − 3 = n →∞ ⎛ 3 ⎞ lim ⎜ 5 − 2 ⎟ n →∞ ⎝ n ⎠
  • 33.
    33 7 = 5 7n 2 ดังนั้น ลําดับ an = เปนลําดับลูเขา 5n 2 − 3 4n 2 − 2n + 3 2 3 (13) จาก = 4− + n2 n n2 2 3 และเนื่องจาก lim 4 = 4, lim = 0 และ lim= 0 n →∞ n →∞ n n2 n →∞ ⎛ 4n 2 − 2n + 3 ⎞ ⎛ 2 3 ⎞ จะได lim ⎜ ⎟ = lim ⎜ 4 − + 2 ⎟ n →∞ ⎝ n2 ⎠ n →∞ ⎝ n n ⎠ 2 3 = lim 4 − lim + lim 2 n →∞ n →∞ n n →∞ n = 4–0+0 = 4 4n 2 − 2n + 3 ดังนั้น ลําดับ an = เปนลําดับลูเขา n2 ⎛ 1 ⎞ 1 n2 ⎜ 3 − 2 ⎟ 3− 2 3n − 1 2 ⎝ n ⎠ (14) จาก = = 10 n 10n − 5n 2 2 ⎛ 10 ⎞ −5 n ⎜ − 5⎟ ⎝n ⎠ n และเนื่องจาก nlim ⎛ 3 − 12 ⎞ = 3 และ nlim ⎛ 10 − 5 ⎞ ⎜ ⎟ →∞ ⎜ n ⎟ = –5 →∞ ⎝ n ⎠ ⎝ ⎠ ⎛ 1 ⎞ lim ⎜ 3 − 2 ⎟ ⎛ 3n 2 − 1 ⎞ n →∞ ⎝ n ⎠ จะได nlim ⎜ →∞ 10n − 5n 2 ⎟ = ⎝ ⎠ ⎛ 10 ⎞ lim ⎜ − 5 ⎟ n →∞ ⎝ n ⎠ 3 = − 5 ดังนั้น ลําดับ an = 3n − 1 2 เปนลําดับลูเขา 2 10n − 5n 1 (15) เนื่องจาก lim = 0 และ nlim 1 = 0 →∞ n + 1 n →∞ n ⎛1 1 ⎞ 1 1 จะได lim ⎜ − ⎟ = lim − lim n →∞ n + 1 n →∞ n ⎝ n +1⎠ n →∞ n = 0–0 = 0 1 1 ดังนั้น ลําดับ an = − เปนลําดับลูเขา n n +1
  • 34.
    34 n +1 3n +1 3n +1 1⎛ 3⎞ (16) จาก = = ⎜ ⎟ 5n + 2 5 ⋅ 5n +1 5⎝ 5⎠ n +1 3n +1 1⎛ 3⎞ จะได lim n →∞ 5n + 2 = lim ⎜ ⎟ n →∞ 5 5 ⎝ ⎠ n +1 1 ⎛3⎞ = lim ⎜ ⎟ 5 n →∞ 5 ⎝ ⎠ 1 = (0) 5 = 0 n +1 3 ดังนั้น ลําดับ an = เปนลําดับลูเขา 5n + 2 n −1 2n −1 + 3 2n −1 3 1 ⎛2⎞ 1 (17) จาก = + n+2 = ⎜ ⎟ + n +1 3n + 2 27 ⋅ 3n −1 3 27 ⎝ 3 ⎠ 3 ⎛ 1 2 n −1 ⎞ 1 ⎛ 1 ⎞ และเนื่องจาก lim ⎜ ⎛ ⎞⎜ ⎟ ⎟ = และ lim ⎜ ⎟ = 0 n →∞ ⎜ 27 ⎝ 3 ⎠ ⎝ ⎟ ⎠ 27 n →∞ ⎜ 3n +1 ⎟ ⎝ ⎠ 2n −1 + 3 ⎛ 1 2 n −1 1 ⎞ จะได lim n →∞ 3n + 2 = lim ⎜ ⎛ ⎞ ⎜ 27 ⎜ 3 ⎟ + ⎟ n +1 ⎟ n →∞ ⎝ ⎝ ⎠ 3 ⎠ n −1 1 ⎛2⎞ 1 = lim ⎜ ⎟ + lim n +1 27 n →∞ 3 ⎝ ⎠ n →∞ 3 1 = (0) + 0 27 = 0 n −1 2 +3 ดังนั้น ลําดับ an = เปนลําดับลูเขา 3n + 2 ⎛ 1 ⎞ 1 n ⎜1 − ⎟ 1− n −1 ⎝ n⎠ n (18) จาก = = 1 n +1 ⎛ 1 ⎞ 1+ n ⎜1 + ⎟ ⎝ n⎠ n 1 1 และเนื่องจาก lim(1 − ) = 1 และ lim(1 + ) = 1 n →∞ n n →∞ n ⎛ 1 ⎞ lim ⎜ 1 − ⎟ n −1 n →∞ ⎝ n⎠ จะได lim = n →∞ n +1 ⎛ 1 ⎞ lim 1 + n →∞ ⎜ ⎟ ⎝ n⎠ = 1 n −1 ดังนั้น ลําดับ an = เปนลําดับลูเขา n +1
  • 35.
    35 1 1 n 1− 1− n2 −1 n2 n2 (19) จาก = = 4n 4n 4 1 และเนื่องจาก lim 1 − = 1 และ lim 4 = 4 n →∞ n2 n →∞ 1 1− n2 −1 n2 จะได lim = lim n →∞ 4n n →∞ 4 1 ⎛ 1 ⎞ = lim ⎜1 − 2 ⎟ 4 n →∞ ⎝ n ⎠ 1 = 1 4 1 = 4 n2 −1 ดังนั้น ลําดับ an = เปนลําดับลูเขา 4n 1 1 n 4− 4− 4n − 1 2 n2 n2 (20) จาก = = 2n + 3 n 3 + 2 ⎛ 2 ⎞ 2 n⎜ 2 + 3 1+ 3 ⎟ 2 + 3 1+ 3 ⎝ n ⎠ n ⎛ 1 ⎞ ⎛ ⎞ และเนื่องจาก lim ⎜ 4 − 2 ⎟ ⎜ = 2 และ nlim ⎜ 2 + 3 1 + 23 ⎟ = 3 n →∞ ⎝ n ⎟⎠ →∞ ⎜ ⎝ n ⎟ ⎠ 1 4− 4n − 1 2 n2 จะได lim = lim n →∞ 2n + 3 n 3 + 2 n →∞ 2 2 + 3 1+ n3 ⎛ 1 ⎞ lim ⎜ 4 − 2 ⎟ n →∞ ⎝ n ⎠ = ⎛ 2 ⎞ lim ⎜ 2 + 3 1 + 3 ⎟ n →∞ ⎝ n ⎠ 2 = 3 4n − 1 2 ดังนั้น ลําดับ an = เปนลําดับลูเขา 2n + 3 n 3 + 2 ( −1)n (21) an = เปนลําดับลูเขา n 8n 2 + 5n + 2 (22) an = เปนลําดับลูออก 3 + 2n
  • 36.
    36 4. (1) ไมจริงเชน ลําดับ an = n และ ลําดับ bn = –n เปนลําดับลูออก แตลาดับ (an + bn) = n – n = 0 เปนลําดับลูเขา ํ (2) จริง การพิสูจนโดยขอขัดแยง (proof by contradiction) ทําไดดังนี้ สิ่งที่กําหนดใหคือ ลําดับ an เปนลําดับลูเขา และ ลําดับ bn เปนลําดับลูออก สมมติวา “(an + bn) เปนลําดับลูเขา” เนื่องจากลําดับ an และลําดับ (an + bn) เปนลําดับลูเขา จึงไดวา lim a และ  n →∞ n lim(a n + b n ) n →∞ หาคาได ให lim a n n →∞ = A และ lim(a n + b n ) n →∞ =B พิจารณา lim(a n + b n − a n ) n →∞ = lim b n n →∞ และ lim(a n + b n − a n ) n →∞ = lim(a n + b n ) – lim a n n →∞ n →∞ = B–A ดังนั้น lim b n n →∞ หาคาได ซึ่งทําให ลําดับ bn เปนลําดับลูเขา เกิดขอขัดแยงกับสิ่งทีกําหนดให ่ จึงสรุปวา ขอความที่สมมติวา “(an + bn) เปนลําดับลูเขา” เปนเท็จ นั่นคือ (an + bn) ตองเปนลําดับลูออก r n r n 5. (1) lim P(1 + ) = P lim(1 + ) n →∞ 12 n →∞ 12 n r ⎛ r ⎞ เนื่องจาก 1+ > 1 ดังนั้น lim ⎜1 + ⎟ หาคาไมได 12 n →∞ ⎝ 12 ⎠ n ⎛ r ⎞ ดังนั้น an = P ⎜1 + ⎟ ไมเปนลําดับลูเขา ⎝ 12 ⎠ n ⎛ r ⎞ (2) จาก an = P ⎜1 + ⎟ ⎝ 12 ⎠ 1.5 กําหนด r = = 0.015 100 ⎛ 0.015 ⎞ สิ้นเดือนที่ 1 จะได a1 = 9000 ⎜1 + ⎟ = 9011.25 ⎝ 12 ⎠ 2 ⎛ 0.015 ⎞ สิ้นเดือนที่ 2 จะได a2 = 9000 ⎜1 + ⎟ = 9022.51 ⎝ 12 ⎠ 3 ⎛ 0.015 ⎞ สิ้นเดือนที่ 3 จะได a3 = 9000 ⎜1 + ⎟ = 9033.79 ⎝ 12 ⎠ 4 ⎛ 0.015 ⎞ สิ้นเดือนที่ 4 จะได a4 = 9000 ⎜1 + ⎟ = 9045.08 ⎝ 12 ⎠ 5 ⎛ 0.015 ⎞ สิ้นเดือนที่ 5 จะได a5 = 9000 ⎜1 + ⎟ = 9056.39 ⎝ 12 ⎠ 6 ⎛ 0.015 ⎞ สิ้นเดือนที่ 6 จะได a6 = 9000 ⎜1 + ⎟ = 9067.71 ⎝ 12 ⎠
  • 37.
    37 7 ⎛ 0.015 ⎞ สิ้นเดือนที่ 7 จะได a7 = 9000 ⎜1 + ⎟ = 9079.05 ⎝ 12 ⎠ 8 ⎛ 0.015 ⎞ สิ้นเดือนที่ 8 จะได a8 = 9000 ⎜1 + ⎟ = 9090.39 ⎝ 12 ⎠ 9 ⎛ 0.015 ⎞ สิ้นเดือนที่ 9 จะได a9 = 9000 ⎜1 + ⎟ = 9101.76 ⎝ 12 ⎠ 10 ⎛ 0.015 ⎞ สิ้นเดือนที่ 10 จะได a10 = 9000 ⎜ 1 + ⎟ = 9113.13 ⎝ 12 ⎠ ดังนั้น สิบพจนแรกของลําดับ คือ 9011.25, 9022.51, 9033.79, 9045.08, 9056.39, 9067.71, 9079.05, 9090.39, 9101.76, 9113.13 6. (1) ให an เปนงบรายจายปกติทถูกตัดลงเมื่อเวลาผานไป n ป ี่ A แทนงบรายจายปกติเปน 2.5 พันลานบาท 20 4 สิ้นปที่ 1 จะได a1 = A− (A) = A 100 5 2 4 20 ⎛ 4 ⎞ ⎛4⎞ สิ้นปที่ 2 จะได a2 = A− ⎜ A⎟ = ⎜ ⎟ A 5 100 ⎝ 5 ⎠ ⎝5⎠ 2 2 3 ⎛4⎞ 20 ⎛ 4 ⎞ ⎛4⎞ สิ้นปที่ 3 จะได a3 = ⎜ ⎟ A− ⎜ ⎟ A = ⎜ ⎟ A ⎝5⎠ 100 ⎝ 5 ⎠ ⎝5⎠ n ⎛4⎞ สิ้นปท่ี n จะได an = ⎜ ⎟ A ⎝5⎠ n ⎛4⎞ ดังนั้น เมื่อเวลาผานไป n ป งบรายจายเปน 2.5 ⎜ ⎟ พันลานบาท ⎝5⎠ 4 (2) งบรายจายเมื่อสิ้นปที่ 1 เปน (2.5) = 2 พันลานบาท 5 2 ⎛4⎞ งบรายจายเมื่อสิ้นปที่ 2 เปน ⎜ ⎟ (2.5) = 1.6 พันลานบาท ⎝5⎠ 3 ⎛4⎞ งบรายจายเมื่อสิ้นปที่ 3 เปน ⎜ ⎟ (2.5) = 1.28 พันลานบาท ⎝5⎠ 4 ⎛4⎞ งบรายจายเมื่อสิ้นปที่ 4 เปน ⎜ ⎟ (2.5) = 1.024 พันลานบาท ⎝5⎠ ดังนั้น งบรายจายในสี่ปแรก หลังถูกตัดงบเปน 2, 1.6, 1.28 และ 1.024 พันลานบาท ตามลําดับ n 4 ⎛4⎞ (3) เนื่องจาก < 1 จะได lim 2.5 ⎜ ⎟ n →∞ = 0 5 ⎝5⎠ ดังนั้น ลําดับของงบรายจายนี้เปนลําดับลูเขา
  • 38.
    38 เฉลยแบบฝกหัด 1.2 ก 1. (1) ผลบวกยอยของอนุกรมนี้มดังนี้ ี 1 S1 = 2 1 1 2 S2 = + = 2 6 3 1 1 1 13 S3 = + + = 2 6 18 18 n −1 1 1 1 1⎛1⎞ 3n − 1 Sn = + + + ... + ⎜ ⎟ = 2 6 18 2⎝ 3⎠ 4 ⋅ 3n −1 3n − 1 ลําดับผลบวกยอยของอนุกรมนี้คือ 1 , 2 , 13 , ..., , ... 2 3 18 4 ⋅ 3n −1 (2) ผลบวกยอยของอนุกรมนี้มดังนี้ ี S1 = 3 S2 = 3+2 = 5 S3 = 3+2+4 = 19 3 3 n −1 ⎛ ⎛2⎞ n ⎞ Sn = 3 + 2 + 4 + ... + 3 ⎛ 2 ⎞ ⎜ ⎟ = 9 ⎜1 − ⎜ ⎟ ⎜ ⎝3⎠ ⎟ ⎟ 3 ⎝3⎠ ⎝ ⎠ 19 ⎛ ⎛ 2 ⎞n ⎞ ลําดับผลบวกยอยของอนุกรมนี้คือ 3, 5, , ..., 9 ⎜ 1 − ⎜ ⎟ ⎟ , ... ⎜ ⎝3⎠ ⎟ 3 ⎝ ⎠ (3) ผลบวกยอยของอนุกรมนี้มดังนี้ ี 1 S1 = 2 1 5 S2 = + = 3 2 2 1 5 25 31 S3 = + + = 2 2 2 2 1 5 25 1 1 Sn = + + + ... + (5) n −1 = − (1 − 5n ) 2 2 2 2 8 ลําดับผลบวกยอยของอนุกรมนี้คือ 1 , 3, 31 , ..., − 1 (1 − 5n ) , .... 2 2 8
  • 39.
    39 (4) ผลบวกยอยของอนุกรมนี้มดังนี้ ี 1 S1 = 2 1 1 1 S2 = + (− ) = 2 4 4 1 ⎛ 1⎞ 1 3 S3 = +⎜− ⎟ + = 2 ⎝ 4⎠ 8 8 1⎛ ⎛ 1 ⎞ ⎞ n 1 ⎛ 1⎞ 1 (−1) n −1 Sn = + ⎜ − ⎟ + + ... + = ⎜1 − ⎜ − ⎟ ⎟ 2 ⎝ 4⎠ 8 2n 3⎜ ⎝ 2 ⎠ ⎝ ⎟ ⎠ 1⎛ ⎛ 1 ⎞ ⎞ n 1 1 3 ลําดับผลบวกยอยของอนุกรมนี้คือ , , , ..., ⎜1 − ⎜ − ⎟ ⎟ , ... 2 4 8 3⎜ ⎝ 2 ⎠ ⎟ ⎝ ⎠ (5) ผลบวกยอยของอนุกรมนี้มดังนี้ ี S1 = 2 S2 = 2 + (–1) = 1 S3 = 2 + (–1) + (–4) = –3 n Sn = 2 + (–1) + (–4) + ... + (5 – 3n) = (7 − 3n) 2 n ลําดับผลบวกยอยของอนุกรมนี้คือ 2, 1, –3, ..., (7 − 3n) , ... 2 (6) ผลบวกยอยของอนุกรมนี้มดังนี้ ี 3 S1 = 4 3 9 21 S2 = + = 4 16 16 3 9 27 111 S3 = + + = 4 16 64 64 3 9 27 ⎛3⎞ n ⎛ ⎛ 3 ⎞n ⎞ Sn = + + + ... + ⎜ ⎟ = 3 ⎜1 − ⎜ ⎟ ⎟ ⎜ ⎝4⎠ ⎟ 4 16 64 ⎝4⎠ ⎝ ⎠ 3 21 111 ⎛ ⎛3⎞ ⎞ n ลําดับผลบวกยอยของอนุกรมนี้คือ , , , ..., 3 ⎜ 1 − ⎜ ⎟ ⎟ , ... ⎜ ⎝4⎠ ⎟ 4 16 64 ⎝ ⎠ (7) ผลบวกยอยของอนุกรมนี้มดังนี้ ี S1 = 0 S2 = 0+3 = 3
  • 40.
    40 S3 = 0+3+8 = 11 n 2n 3 + 3n 2 − 5n Sn = 0 + 3 + + 8 + ... + (n2 – 1) = ∑ (i 2 − 1) = i =1 6 3 + 3n 2 − 5n ลําดับผลบวกยอยของอนุกรมนี้คือ 0, 3, 11, ..., 2n , ... 6 (8) ผลบวกยอยของอนุกรมนี้มดังนี้ ี S1 = –1 S2 = –1 + 0 = –1 S3 = –1 + 0 + 9 = 8 n 3 3n 4 − 2n 3 − 9n 2 − 4n Sn = –1 + 0 + 9 + ... + ∑ (i − 2i ) = 2 i=1 12 –1, 8, ..., 3n − 2n − 9n − 4n , ... 4 3 2 ลําดับผลบวกยอยของอนุกรมนี้คือ –1, 12 (9) ผลบวกยอยของอนุกรมนี้มดังนี้ ี 1 S1 = − 10 1 1 9 S2 = − + = − 10 100 100 1 1 1 91 S3 = − + − = − 10 100 1000 1000 1⎛ ⎛ 1⎞ ⎞ n n 1 1 1 ⎛ −1 ⎞ Sn = − + − + ... + ⎜ ⎟ = − ⎜1 − ⎜ − ⎟ ⎟ 10 100 1000 ⎝ 10 ⎠ 11 ⎜ ⎝ 10 ⎠ ⎝ ⎟ ⎠ 1⎛ ⎛ 1⎞ ⎞ n 1 9 91 ลําดับผลบวกยอยของอนุกรมนี้คือ − , − , − , ..., − ⎜1 − ⎜ − ⎟ ⎟ , ... 10 100 1000 11 ⎜ ⎝ 10 ⎠ ⎟ ⎝ ⎠ (10) ผลบวกยอยของอนุกรมนี้มดังนี้ ี S1 = 100 S2 = 100 + 10 = 110 S3 = 100 + 10 + 1 = 111 1000 ⎛ 1 ⎞ Sn = 100 + 10 + 1 + 0.1 + ... + 103 – n = ⎜1 − n ⎟ 9 ⎝ 10 ⎠ 1000 ⎛ 1 ⎞ ลําดับผลบวกยอยของอนุกรมนี้คือ 100, 110, 111, ..., ⎜1 − n ⎟ , ... 9 ⎝ 10 ⎠
  • 41.
    41 (11) ผลบวกยอยของอนุกรมนี้มีดังนี้ S1 = 1 S2 = 1–2 = –1 S3 = 1–2+3 = 2 S4 = 1–2+3–4 = –2 S5 = 1–2+3–4+5 = 3 S6 = 1–2+3–4+5–6 = –3 ลําดับผลบวกยอยของอนุกรมนี้คือ 1, –1, 2, –2, 3, –3, ... n −1 1 1 1 1⎛1⎞ 1 2. (1) + + + ... + ⎜ ⎟ + ... เปนอนุกรมเรขาคณิตที่มี r = ซึ่ง | r | < 1 2 6 18 2⎝ 3⎠ 3 1 3 ดังนั้น อนุกรมนี้จึงเปนอนุกรมลูเขาที่มีผลบวกเปน 2 1 = 1− 4 3 (2) อนุกรมลูเขา มีผลบวกเปน 9 1 31 (3) ลําดับผลบวกยอยของอนุกรมนี้คือ , 3, , ..., − 1 (1 − 5n ) , ... ลําดับนี้ไมมีลิมิต 2 2 8 ดังนั้น อนุกรมที่กําหนดให ไมสามารถหาผลบวกได จึงเปนอนุกรมลูออก 1 (4) อนุกรมลูเขา มีผลบวกเปน 3 n (5) ลําดับผลบวกยอยของอนุกรมนี้คือ 2, 1, –3, ..., (7 − 3n) , ... ลําดับนี้ไมมีลิมิต 2 ดังนั้น อนุกรมที่กําหนดให ไมสามารถหาผลบวกได จึงเปนอนุกรมลูออก (6) อนุกรมลูเขา มีผลบวกเปน 3 3 + 3n 2 − 5n (7) ลําดับผลบวกยอยของอนุกรมนี้คือ 0, 3, 11, ..., 2n , ... ลําดับนี้ไมมีลิมิต 6 ดังนั้น อนุกรมทีกําหนดให ไมสามารถหาผลบวกได จึงเปนอนุกรมลูออก ่ 3n 4 − 2n 3 − 9n 2 − 4n (8) ลําดับผลบวกยอยของอนุกรมนี้คือ –1, –1, 8, ..., , ... ลําดับนี้ 12 ไมมีลิมิต ดังนั้น อนุกรมที่กําหนดให ไมสามารถหาผลบวกได จึงเปนอนุกรมลูออก 1 (9) อนุกรมลูเขา มีผลบวกเปน − 11 1000 (10) อนุกรมลูเขา มีผลบวกเปน 9 (11) ลําดับผลบวกยอยของอนุกรมนี้คือ 1, –1, 2, –2, 3, –3, ... ลําดับนี้ไมมีลิมิต ดังนั้น อนุกรมทีกําหนดให ไมสามารถหาผลบวกได จึงเปนอนุกรมลูออก ่
  • 42.
    42 4 + 1 8 + 1 16 + 1 ⎛ 4 8 16 ⎞ ⎛1 1 1 ⎞ 3. (1) จะได + + + ... = ⎜ + + + ... ⎟ + ⎜ + + + ... ⎟ 9 27 81 ⎝ 9 27 81 ⎠ ⎝ 9 27 81 ⎠ 4 1 = 9 + 9 2 1 1− 1− 3 3 ⎛ 4⎞ ⎛ 1 ⎞⎛ 3 ⎞ = ⎜ ⎟ (3) + ⎜ ⎟⎜ ⎟ ⎝9⎠ ⎝ 9 ⎠⎝ 2 ⎠ 4 1 = + 3 6 3 = 2 3 3 3 3 1 (2) อนุกรม 3+ + + + ... + n −1 + ... เปนอนุกรมเรขาคณิตที่มีอัตราสวนรวมเทากับ 2 4 8 2 2 3 3 3 3 3 จะได 3 + + + + ... + n −1 + ... = 1 2 4 8 2 1− 2 3 = 1 2 = 6 1 1 1 1 (3) เมื่อ x เปนจํานวนจริง จะได 2 + 2 2 + 2 3 + ... + 2 n + ... 2+x (2 + x ) (2 + x ) (2 + x ) 1 เปนอนุกรมเรขาคณิตที่มีอัตราสวนรวมเทากับ 2 2+x 1 1 เนื่องจาก x2 ≥ 0 ดังนัน 2 + x2 ้ ≥ 2 ซึ่งทําให 2 ≤ <1 2+x 2 1 1 1 1 1 2 ดังนัน ้ 2 + 2 2 + 2 3 + ... + 2 n + ... = 2+x 1 2+x (2 + x ) (2 + x ) (2 + x ) 1− 2 2+x 1 = 2 x +1 i 4. 0.9 = 0.9999... = 0.9 + 0.09 + 0.009 + 0.0009 + ... 9 9 9 9 = + 2 + 3 + 4 + ... 10 10 10 10 9 9 9 1 เนื่องจาก + 2 + 3 + ... เปนอนุกรมเรขาคณิต ที่มีอัตราสวนรวมเทากับ 10 10 10 10 9 9 9 9 ดังนั้น + + + ... = 10 1 10 102 103 1− 10 ⎛ 9 ⎞⎛ 10 ⎞ = ⎜ ⎟⎜ ⎟ ⎝ 10 ⎠⎝ 9 ⎠
  • 43.
    43 = 1 i จะได 0.9 = 1 i i 5. (1) 0.21 = 0.212121... = 0.21 + 0.0021 + 0.000021 + ... 21 21 21 = + + + ... 102 104 106 21 = 102 1 1− 2 10 ⎛ 21 ⎞ ⎛ 10 ⎞ 2 = ⎜ 2 ⎟⎜ ⎟ ⎝ 10 ⎠ ⎝ 99 ⎠ 21 7 = = 99 33 i i (2) 0.610 4 = 0.6104104... = 0.6 + 0.0104 + 0.0000104 + 0.0000000104 + ... 6 104 104 104 = + + + + ... 10 104 107 1010 104 6 4 = + 10 10 1 − 1 103 6 104 = + 10 9990 5994 + 104 = 9990 6098 = 9990 i i (3) 7.256 = 7.25656... = 7 + 0.2 + 0.056 + 0.00056 + 0.0000056 + ... 2 56 56 56 = 7+ + + + + ... 10 103 105 107 56 2 3 = 7 + + 10 10 1 − 1 102 2 56 = 7+ + 10 990 198 + 56 = 7+ 990
  • 44.
    44 254 = 7 990 127 = 7 495 i i (4) 4.387 = 4.38787... = 4 + 0.3 + 0.087 + 0.00087 + 0.0000087 + ... 3 87 87 87 = 4+ + + + + ... 10 103 105 107 87 3 3 = 4 + + 10 10 1 − 1 102 3 87 = 4+ + 10 990 297 + 87 = 4+ 990 384 = 4 990 192 = 4 495 i i (5) 0.073 = 0.07373... = 0.073 + 0.00073 + 0.0000073 + ... 73 73 73 = + + + ... 103 105 107 73 = 103 1 1− 2 10 73 = 990 i (6) 2.9 = 2.999 ... = 2 + 0.9 + 0.09 + 0.009 + ... 9 9 9 = 2+ + 2 + 3 + ... 10 10 10 9 = 2 + 10 1 1− 10 9 = 2+ 9 = 3
  • 45.
    45 2 6. เพราะวา 1 + x + x2 + x3 + ... + xn–1 + ... = 3 และเนื่องจาก a1 = 1 , r = x 2 1 จะไดวา = 3 1− x 2 – 2x = 3 1 ∴ x = − 2 3 a1 3 7. จาก a1 + a1r + a1r2 + a1r3 + ... = จะได = ---------- (1) 2 1− r 2 3 a1 3 และ a1 – a1r + a1r2 – a1r3 + ... = จะได = ---------- (2) 4 1+ r 4 จาก (1), 2a1 + 3r = 3 ---------- (3) จาก (2), 4a1 – 3r = 3 ---------- (4) (3) + (4), 6a1 = 6 ∴ a1 = 1 3− 2 1 จาก (3) จะได r = = 3 3 8. (1) รูปสี่เหลี่ยมจัตรัสรูปแรกมีดานยาว 5 หนวย ุ 2 2 ⎛5⎞ ⎛5⎞ 25 ดานของรูปสี่เหลี่ยมจัตุรสรูปที่สองยาว ั ⎜ ⎟ +⎜ ⎟ = ⎝2⎠ ⎝2⎠ 2 5 2 = หนวย 2 ดังนั้น รูปสี่เหลี่ยมจัตุรัสรูปที่สองมีเสนรอบรูปยาว 10 2 หนวย 2 2 ⎛5 2 ⎞ ⎛5 2 ⎞ 5 (2) ดานของรูปสี่เหลี่ยมจัตุรสรูปที่สามยาว ั ⎜ 4 ⎟ +⎜ 4 ⎟ ⎜ ⎟ ⎜ ⎟ = หนวย ⎝ ⎠ ⎝ ⎠ 2 รูปสี่เหลี่ยมจัตรัสรูปที่สามมีเสนรอบรูปยาว 10 หนวย ุ 2 2 ⎛5⎞ ⎛5⎞ 5 2 ดานของรูปสี่เหลี่ยมจัตุรัสรูปที่สี่ยาว ⎜ ⎟ +⎜ ⎟ = หนวย ⎝4⎠ ⎝4⎠ 4 รูปสี่เหลี่ยมจัตรัสรูปที่สี่มีเสนรอบรูปยาว 5 2 หนวย ุ จะได ผลบวกของเสนรอบรูปของรูปสี่เหลี่ยมจัตุรัสเปน 20 + 10 2 + 10 + 5 2 + ... 20 = 2 1− 2 = 20(2 + 2) 9. ความยาวของเสนรอบรูปของรูปสามเหลี่ยมรูปแรก เทากับ 30 นิ้ว ความยาวของเสนรอบรูปของรูปสามเหลี่ยมรูปที่สอง เทากับ 15 นิ้ว 15 ความยาวของเสนรอบรูปของรูปสามเหลี่ยมรูปที่สาม เทากับ นิ้ว 2
  • 46.
    46 ผลบวกของความยาวเสนรอบรูปของรูปสามเหลี่ยมทั้งหมดคือ 30 + 15 + 15 + ... 2 30 = 1 1− 2 = 60 ∴ ผลบวกความยาวเสนรอบรูปของรูปสามเหลี่ยมทั้งหมดมีคา 60 นิ้ว 10. การแกวงครั้งแรกจากจุดไกลสุดดานหนึ่งไปอีกดานหนึงไดระยะทาง 75 เมตร ่ การแกวงครั้งที่สองไดระยะทาง 75 ⎛ 3 ⎞ เมตร ⎜ ⎟ ⎝5⎠ 2 ⎛3⎞ ⎛3⎞ การแกวงครั้งที่สามไดระยะทาง ⎜ ⎟ 75 ⎜ ⎟ = 75 ⎛ 3 ⎞ เมตร ⎜ ⎟ ⎝5⎠ ⎝5⎠ ⎝5⎠ 2 3 ⎛3⎞ ⎛3⎞ การแกวงครั้งที่สี่ไดระยะทาง ⎜ ⎟ 75 ⎜ ⎟ = 75 ⎛ 3 ⎞ เมตร ⎜ ⎟ ⎝5⎠ ⎝5⎠ ⎝5⎠ ระยะทางที่ไดจากการแกวงครั้งใหมเปนเชนนี้ไปเรื่อย ๆ ดังนั้น เรือไวกิ้งจะแกวงไปมาตั้งแตเริ่มตนจากจุดสูงสุดเปนระยะทางเทากับ 2 3 ⎛ 2 3 ⎞ 75 + 75 ⎛ 3 ⎞ + 75 ⎛ 3 ⎞ + 75 ⎛ 3 ⎞ + ... = 75 ⎜1 + 3 + ⎛ 3 ⎞ ⎜ ⎟ ⎜ ⎟ ⎜ ⎟ ⎜ ⎟ ⎛3⎞ + ⎜ ⎟ + ... ⎟ ⎝5⎠ ⎝5⎠ ⎝5⎠ ⎜ 5 ⎝5⎠ ⎝5⎠ ⎟ ⎝ ⎠ ⎛ ⎞ ⎜ 1 ⎟ = 75 ⎜ 3 ⎟ ⎜ 1− ⎟ ⎜ ⎟ ⎝ 5⎠ = 75 ⎛ 5 ⎞ ⎜ ⎟ ⎝2⎠ = 187.5 เมตร 11. (1) ให an เปนระยะทางที่สารพิษแพรกระจายตอจากตําแหนงเดิมเมื่อเวลาผานไป n ป กําหนด a1 = 1500 , a2 = 900 , a3 = 540 สังเกตวา 900 = 540 = 3 1500 900 5 3 สมมติให an เปนลําดับเรขาคณิตที่มีพจนแรกเปน 1500 และมีอัตราสวนรวมเปน 5 ให S10 เปนผลบวกของระยะทางที่สารพิษแพรกระจายไปไดเมื่อสิ้นปที่สิบ 9 จะได S10 = 1500 + 900 + 540 + ... + 1500 ⎛ 3 ⎞ ⎜ ⎟ ⎝5⎠ ⎛ ⎛3⎞ ⎞ 10 1500 ⎜1 − ⎜ ⎟ ⎟ ⎜ ⎝5⎠ ⎟ = ⎝ ⎠ 3 1− 5
  • 47.
    47 5 ⎛ ⎛ 3 ⎞10 ⎞ = (1500 ) ⎜1 − ⎜ ⎟ ⎟ ⎜ ⎝5⎠ ⎟ 2 ⎝ ⎠ ⎛ ⎛ ⎞ ⎞ 10 = 3750 ⎜1 − ⎜ 3 ⎟ ⎜ ⎟ ⎝ ⎝5⎠ ⎟ ⎠ = 3727.325 เมื่อสิ้นปที่สิบ สารพิษจะแพรกระจายไปได 3727.325 เมตร 1500 (2) เพราะวา ผลบวกอนันตของอนุกรมนี้เทากับ 3 = 3750 1− 5 ดังนั้น สารพิษจะแพรกระจายไปไดไกลทีสุด 3,750 เมตร ซึ่งไปไมถึงโรงเรียน ่ 2 n −1 2 ⎛2⎞ ⎛2⎞ 12. ให Sn แทนผลบวกยอย n พจนแรกของอนุกรม 1 + + ⎜ ⎟ + ... + ⎜ ⎟ + ... 3 ⎝3⎠ ⎝3⎠ ⎛ ⎛ 2 ⎞n ⎞ 1⎜1 − ⎜ ⎟ ⎟ Sn = ( a1 1 − r n ) = ⎜ ⎝3⎠ ⎟ ⎝ ⎠ = ⎛ ⎛ 2 ⎞n ⎞ 3 ⎜1 − ⎜ ⎟ ⎟ 1− r 2 ⎜ ⎝3⎠ ⎟ 1− ⎝ ⎠ 3 5 S1 = 1 S2 = = 1.6666 3 19 65 S3 = = 2.1111 S4 = = 2.4074 9 27 211 665 S5 = = 2.6049 S6 = = 2.7366 81 243 2059 6305 S7 = = 2.8244 S8 = = 2.8829 729 2187 19171 58025 S9 = = 2.9219 S10 = = 2.9479 6561 19683 175099 S11 = = 2.9653 59049 เมื่อ Sn มีคานอยกวา 3 อยูไมเกิน 1 จะได 2 ≤ Sn < 3 เมื่อ Sn มีคานอยกวา 3 อยูไมเกิน 0.2 จะได 2.8 ≤ Sn < 3 เมื่อ Sn มีคานอยกวา 3 อยูไมเกิน 0.05 จะได 2.95 ≤ Sn < 3 จะได n ที่นอยที่สุด ตามเงือนไขขางตนเปน n = 3, n = 7 และ n = 11 ตามลําดับ  ่ 1 1 1 13. ให Sn แทนผลบวกยอย n พจนแรกของอนุกรม 1 + + + ... + + ... 2 3 n โดยใชเครื่องคํานวณ จะได S1 = 1 3 S2 = = 1.500 2
  • 48.
    48 11 S3 = = 1.833 6 25 S4 = = 2.083 12 137 S5 = = 2.283 60 49 S6 = = 2.450 20 363 S7 = = 2.592 140 761 S8 = = 2.717 280 7129 S9 = = 2.828 2520 7381 S10 = = 2.928 2520 83711 S11 = = 3.019 27720 86021 S12 = = 3.103 27720 1145993 S13 = = 3.180 360360 1171733 S14 = = 3.251 360360 1195757 S15 = = 3.318 360360 2436559 S16 = = 3.380 720720 42142223 S17 = = 3.439 12252240 14274301 S18 = = 3.495 4084080 275295799 S19 = = 3.547 77597520
  • 49.
    49 55835135 S20 = = 3.597 15519504 18858053 S21 = = 3.645 5173168 19093197 S22 = = 3.690 5173168 444316699 S23 = = 3.734 118982864 1347822955 S24 = = 3.775 356948592 34052522467 S25 = = 3.815 8923714800 34395742267 S26 = = 3.854 8923714800 312536252003 S27 = = 3.891 80313433200 315404588903 S28 = = 3.927 80313433200 9227046511387 S29 = = 3.961 2329089562800 9304682830147 S30 = = 3.994 2329089562800 290774257297357 S31 = = 4.027 72201776446800 ดังนั้น n ที่นอยทีสุด เมื่อ Sn มากกวา 2 คือ 4  ่ n ที่นอยทีสุด เมื่อ Sn มากกวา 3 คือ 11 ่ n ที่นอยทีสุด เมื่อ Sn มากกวา 4 คือ 31 ่ 14. (1) ไมถูกตอง เพราะ 1 + 2 + 4 + 8 + 16 + 32 + ... เปนอนุกรมอนันตที่เปนอนุกรม เรขาคณิต อนุกรมนี้มอัตราสวนรวมเปน 2 ซึ่ง | 2 | > 1 จึงไมสามารถหาผลบวกได ี (2) ไมถูกตอง เพราะ 1 – 2 + 4 – 8 + 16 – 32 + ... เปนอนุกรมอนันตที่เปนอนุกรม เรขาคณิต อนุกรมนี้มอัตราสวนรวมเปน –2 ซึ่ง | –2 | > 1 จึงไมสามารถหาผลบวกได ี
  • 50.
    50 a1 (1 − r n ) 15. Sn = 1− r ⎛ ⎛ 3 ⎞n ⎞ 160 ⎜ 1 − ⎜ ⎟ ⎟ ⎜ ⎝2⎠ ⎟ 2110 = ⎝ ⎠ 3 1− 2 n = 5 16. ใหพจนแรกของอนุกรมเรขาคณิตเปน a และมีอัตราสวนรวมเปน r จะได a + ar = –3 3 และ ar4 + ar5 = − 16 1 แกระบบสมการขางตน จะได r = หรือ – 1 2 2 1 ถา r = แลวจะได a = –2 2 1 ถา r = – แลวจะได a = –6 2 255 ผลบวก 8 พจนแรกของอนุกรมนี้เทากับ − ทั้งสองกรณี 64 18. เดิมมีแบคทีเรีย 1000 ตัว 120 เมื่อเวลาผานไป 1 ชั่วโมง จะมีแบคทีเรีย (1000) = 1200 ตัว 100 2 ⎛ 120 ⎞ เมื่อเวลาผานไป 2 ชั่วโมง จะมีแบคทีเรีย ⎜ ⎟ (1000) = 1440 ตัว ⎝ 100 ⎠ 3 ⎛ 120 ⎞ เมื่อเวลาผานไป 3 ชั่วโมง จะมีแบคทีเรีย ⎜ ⎟ (1000) = 1728 ตัว ⎝ 100 ⎠ t ⎛ 120 ⎞ ดังนั้น เมื่อเวลาผานไป t ชั่วโมง จะมีแบคทีเรีย ⎜ ⎟ (1000) ⎝ 100 ⎠ 10 ⎛ 120 ⎞ เมื่อ t = 10 จะได a10 = ⎜ ⎟ (1000) ≈ 6191 ตัว ⎝ 100 ⎠
  • 51.
    51 เฉลยแบบฝกหัด 1.2 ข 4 1. (1) ∑ 2i = 2+4+6+8 i =1 52 (2) ∑ ( i + 2 ) = (1 + 2) + (2 + 2) + (3 + 2) + ... + (50 + 2) + (51 + 2) + (52 + 2) i =1 4 (3) ∑ (10 − 2k ) = (10 – 2) + (10 – 4 ) + (10 – 6) +(10 – 8) k =1 20 (4) ∑ ( i 2 + 4) = (12 + 4) + (22 + 4) + (32 + 4) + ... + (182 + 4) + (192 + 4) + (202 + 4) i =1 5 2. (1) ∑ 3j = 3(1) + 3(2) + 3(3) + 3(4) + 3(5) j=1 = 3 + 6 + 9 + 12 + 15 = 45 50 (2) ∑ 8 = 8 + 8 + 8 + ... + 8 k =1 50 จํานวน = 8 x 50 = 400 4 (3) ∑ i ( i − 3) = 2 12(1 – 3) + 22(2 – 3) + 32(3 – 3) + 42(4 – 3) i =1 = –2 – 4 + 0 + 16 = 10 k+4 6 2+ 4 3+ 4 4+ 4 5+ 4 6+ 4 (4) ∑ = + + + + k =2 k −1 2 −1 3 −1 4 −1 5 −1 6 −1 7 8 9 = 6+ + + +2 2 3 4 197 = 12 5 (5) ∑(k k =1 2 + 3) = (12 + 3) + (22 + 3) + (32 + 3) + (42 + 3) + (52 + 3) = 4 + 7 + 12 + 19 + 28 = 70 10 10 (6) ∑ (i − 2) = ∑ (i − 6i 2 + 12i − 8 ) 3 3 i =1 i =1 10 10 10 10 = ∑i 3 − 6∑ i 2 + 12∑ i − ∑ 8 i =1 i =1 i =1 i =1 2 ⎛ 10 (10 + 1) ⎞ ⎛ 10 ⎞ ⎛ (10 )(10 + 1) ⎞ = ⎜ ⎟ − 6 ⎜ (10 + 1)( 20 + 1) ⎟ + 12 ⎜ ⎟ − 80 ⎝ 2 ⎠ ⎝6 ⎠ ⎝ 2 ⎠ = 3025 – 2310 + 660 – 80 = 1295
  • 52.
    52 15 15 15 (7) ∑ ( i + 5) = ∑i + ∑5 i =1 i =1 i =1 15(16) = + 5(15) 2 = 195 20 20 9 (8) ∑ ( 2i + 1) = ∑ ( 2i + 1) – ∑ ( 2i + 1) i =10 i =1 i =1 20 20 9 9 = 2∑ i + ∑1 – 2 ∑ i – ∑1 i =1 i =1 i =1 i =1 2(20)(21) 2(9)(10) = + 20 – –9 2 2 = 420 + 20 – 90 – 9 = 341 15 15 (9) ∑ ( k + 5) (k − 5) k =1 = ∑(k k =1 2 − 25 ) 15 15 = ∑ k – ∑ 25 2 k =1 k =1 15(16)(31) = – 15(25) 6 = 1240 – 375 = 865 ∞ 3. (1) 1⋅3 + 2⋅4 + 3⋅5 + ... + n(n + 2) + ... = ∑ n ( n + 2) n =1 n 1 1 1 1 1 (2) + + + ... + = ∑i 4 5 6 n i=4 ∞ (3) arp + arp + 1 + arp + 2 + ... + arp + q + ... = ∑ ar p+i i =0 n (4) 2 + 4 + 6 + ... + 2n = ∑ 2i i =1 ∞ 1 1 1 1 1 (5) + + + ... + + ... = ∑3 3 6 12 3 ( 2n −1 ) n =1 ( 2n −1 ) ∞ 1 1 1 1 1 (6) + + + ... + + ... = ∑ 2+ 1 3+ 2 4+ 3 n + n −1 n =2 n + n −1 n n 4. (1) ∑ 6i = 6∑ i i =1 i =1 ⎛ n ( n + 1) ⎞ = 6⎜ ⎟ ⎝ 2 ⎠ = 3n(n + 1)
  • 53.
    53 k k k (2) ∑ ( 2i + 1) = 2∑ i + ∑ 1 i =1 i =1 i =1 ⎛ k ( k + 1) ⎞ = 2⎜ ⎟+k ⎝ 2 ⎠ = k2 + k + k = k2 + 2k m m (3) ∑3⋅ 4 i = 3∑ 4i i =1 i =1 = 3(4 + 42 + 43 + ... + 4m) ⎛ ( 4 ) (1 − 4m ) ⎞ = 3⎜ ⎜ 1− 4 ⎟ ⎟ ⎝ ⎠ = 4m + 1 – 4 n n n (4) ∑ (i i =1 2 − i) = ∑ i 2 −∑ i i =1 i =1 n(n + 1)(2n + 1) = – n(n + 1) 6 2 n(n + 1) ⎛ 2n + 1 ⎞ = ⎜ 3 − 1⎟ 2 ⎝ ⎠ n(n + 1) ⎛ 2n + 1 − 3 ⎞ = ⎜ ⎟ 2 ⎝ 3 ⎠ n(n + 1)(2n − 2) = 6 n(n + 1)(n − 1) = 3 n −n 3 = 3 10 5. (1) 1 ⋅ 2 + 2 ⋅ 3 + 3 ⋅ 4 + 4 ⋅ 5 + ... + n(n + 1) + ... = ∑ n ( n + 1) n =1 10 10 = ∑n + ∑n 2 n =1 n =1 10(11)(12) 10 (11) = + 6 2 = 385 + 55 = 440 (2) 1 ⋅ 4 ⋅ 7 + 2 ⋅ 5 ⋅ 8 + 3 ⋅ 6 ⋅ 9 + ... + n(n + 3)(n + 6) + ... 10 = ∑ n ( n + 3)( n + 6 ) n =1 10 10 10 = ∑ n 3 + 9∑ n 2 + 18∑ n n =1 n =1 n =1
  • 54.
    54 ⎛ 10 (11) ⎞ 9 (10 )(11)( 21) 18 (10 )(11) 2 = ⎜ ⎟ + + ⎝ 2 ⎠ 6 2 = 3025 + 3465 + 990 = 7480 (3) 2 1(2 + 3) + 4(4 + 3) + 9(6 + 3) + 16(8 + 3) + ... + n (2n + 3) + ... 10 = ∑ n ( 2n + 3) 2 n =1 10 10 = 2∑ n 3 + 3∑ n 2 i =1 n =1 ⎛ 10 (11) ⎞ 3 (10 )(11)( 21) 2 = 2⎜ ⎟ + ⎝ 2 ⎠ 6 = 6050 + 1155 = 7205 (4) 12 + 32 + 52 + 7 2 + ... + (2n − 1) 2 + ... 10 = ∑ ( 2n − 1) 2 n =1 10 = ∑ (4n 2 − 4n + 1) n =1 10 10 10 = 4∑ n 2 − 4 ∑ n + ∑1 n =1 n =1 n =1 ⎛ 10(11)(21) ⎞ ⎛ (10 )(11) ⎞ = 4⎜ ⎟ − 4⎜ ⎟ + 10 ⎝ 6 ⎠ ⎝ 2 ⎠ = 1540 – 220 + 10 = 1330 ⎛ 1⎞ ⎛ 1 ⎞ ⎛ 1 ⎞ ⎛ 1⎞ = ∑ n ⎛1 + 1 ⎞ 10 (5) 1⎜ 1 + ⎟ + 2 ⎜ 1 + ⎟ + 3 ⎜ 1 + ⎟ + ... + n ⎜ 1 + ⎟ + ... ⎜ ⎟ ⎝ 1⎠ ⎝ 2 ⎠ ⎝ 3 ⎠ ⎝ n⎠ ⎝ n⎠ n =1 10 = ∑ ( n + 1) n =1 10 10 = ∑ n + ∑1 n =1 n =1 10 (11) = + 10 2 = 65 6. (1) 1 ⋅ 2 ⋅ 3 + 2 ⋅ 3 ⋅ 4 + 3 ⋅ 4 ⋅ 5 + ... + n(n + 1)(n + 2) + ... + 10 ⋅ 11 ⋅ 12 10 = ∑ n ( n + 1)( n + 2 ) n =1
  • 55.
    55 10 10 10 = ∑ n 3 + 3∑ n 2 + 2∑ n n =1 n =1 n =1 ⎛ 10 (11) ⎞ 3 (10 )(11)( 21) 2 (10 )(11) 2 = ⎜ ⎟ + + ⎝ 2 ⎠ 6 2 = 3025 + 1155 + 110 = 4290 (2) 1 ⋅ 2 + 2 ⋅ 3 + 3 ⋅ 4 + ... + n(n + 1) + ... + 99 ⋅ 100 99 = ∑ n ( n + 1) n =1 99 99 = ∑ n2 + ∑ n n =1 n =1 99 (100 )(199 ) 99 (100 ) = + 6 2 = 328350 + 4950 = 333300 (3) จํานวนเต็มระหวาง 1 ถึง 100 ทีหารดวย 4 แลวเหลือเศษ 3 คือ 7, 11, 15, ... , 99 ่ 24 อนุกรม 7 + 11 + 15 + ... + (4n + 3) + ... + 99 เขียนแทนดวย ∑ ( 4n + 3) n =1 24 24 24 จะได ∑ ( 4n + 3) = 4∑ n + ∑ 3 n =1 n =1 n =1 4 ( 24 )( 25 ) = + ( 24 )( 3) 2 = 1200 + 72 = 1272 ผลบวกของจํานวนเต็มทังหมดระหวาง 1 ถึง 100 ทีหารดวย 4 แลวเหลือเศษ 3 เปน 1272 ้ ่ n 1 n ⎛1 1 ⎞ 7. (1) ∑ i ( i + 1) = ∑⎜ i − i +1⎟ i =1 ⎝ i =1 ⎠ ⎛ 1⎞ ⎛1 1⎞ ⎛1 1⎞ ⎛1 1 ⎞ Sn = ⎜ 1 − ⎟ + ⎜ − ⎟ + ⎜ − ⎟ + ... + ⎜ − ⎟ ⎝ 2⎠ ⎝ 2 3⎠ ⎝3 4⎠ ⎝ n n +1⎠ 1 n = 1− = n +1 n +1 20 S20 = 21 n 1 1 n ⎛ 1 1 ⎞ (2) ∑ ( 2i − 1)( 2i + 1) = ∑ ⎜ 2i − 1 − 2i + 1 ⎟ i =1 2 i =1 ⎝ ⎠ 1 ⎡⎛ 1 ⎞ ⎛ 1 1 ⎞ ⎛ 1 1 ⎞ ⎛ 1 1 ⎞⎤ Sn = ⎢⎜1 − 3 ⎟ + ⎜ 3 − 5 ⎟ + ⎜ 5 − 7 ⎟ + ... + ⎜ 2n − 1 − 2n + 1 ⎟ ⎥ 2 ⎣⎝ ⎠ ⎝ ⎠ ⎝ ⎠ ⎝ ⎠⎦
  • 56.
    56 1⎛ 1 ⎞ n = ⎜1 − ⎟ = 2 ⎝ 2n + 1 ⎠ 2n + 1 20 S20 = 41 n 1 (3) ให Sn = ∑ i ( i + 1)( i + 2 ) i =1 1 1⎛ 1 1 ⎞ จะได a1 = = ⎜ − ⎟ 1⋅ 2 ⋅ 3 2 ⎝ 1⋅ 2 2 ⋅ 3 ⎠ 1 1⎛ 1 1 ⎞ a2 = = ⎜ − ⎟ 2⋅3⋅ 4 2 ⎝ 2 ⋅3 3⋅ 4 ⎠ 1 1⎛ 1 1 ⎞ a3 = = ⎜ − ⎟ 3⋅ 4 ⋅5 2 ⎝ 3⋅ 4 4⋅5 ⎠ 1 1⎛ 1 1 ⎞ an = = ⎜ − ⎟ n ( n + 1)( n + 2 ) 2 ⎜ n ( n + 1) ( n + 1)( n + 2 ) ⎟ ⎝ ⎠ Sn = a1 + a2 + a3 + ... + an 1 ⎡⎛ 1 1 ⎞ ⎛ 1 1 ⎞ ⎛ 1 1 ⎞⎤ = ⎢⎜ − ⎟ + ⎜ − ⎟ + ... + ⎜ ⎜ − ⎟⎥ ⎟ 2 ⎢⎝ 2 6 ⎠ ⎝ 6 12 ⎠ ⎣ ⎝ n ( n + 1) ( n + 1)( n + 2 ) ⎠ ⎥ ⎦ 1⎛1 1 ⎞ = ⎜ − ⎜ 2 ( n + 1)( n + 2 ) ⎟ ⎟ 2⎝ ⎠ 1⎛1 1 ⎞ 115 S20 = ⎜ − ⎟ = 2 ⎝ 2 21 ⋅ 22 ⎠ 462 n 1 1 n ⎛1 1 ⎞ (4) ∑ i (i + 2) = ∑⎜ i − i + 2 ⎟ i =1 2 i =1 ⎝ ⎠ 1 ⎡⎛ 1 ⎞ ⎛ 1 1 ⎞ ⎛ 1 1 ⎞ ⎛1 1 ⎞⎤ Sn = ⎢⎜1 − 3 ⎟ + ⎜ 2 − 4 ⎟ + ⎜ 3 − 5 ⎟ + ... + ⎜ n − n + 2 ⎟ ⎥ 2 ⎣⎝ ⎠ ⎝ ⎠ ⎝ ⎠ ⎝ ⎠⎦ 1⎡ 1 1 1 ⎤ = ⎢1 + 2 − n + 1 − n + 2 ⎥ 2⎣ ⎦ 1⎛3 2n + 3 ⎞ = ⎜ − ⎟ 2 ⎜ 2 ( n + 1)( n + 2 ) ⎟ ⎝ ⎠ 1⎛3 43 ⎞ 325 S20 = ⎜ − ⎟ = 2 ⎝ 2 21 ⋅ 22 ⎠ 462 8. (1) ให Sn แทนผลบวกของอนุกรมนี้ Sn = 1 + 2⋅2 + 3⋅22 + 4⋅23 + ... + n⋅2n–1 ---------- (1) (1) × 1 , 2Sn = 1⋅2 + 2⋅22 + 3⋅23 + ... + (n – 1)⋅2n–1 + n⋅2n ---------- (2) 5 (1) – (2), –Sn = 1 + (2 – 1)2 + (3 – 2)22 + (4 – 3)23 + … + (n – n + 1)2n-1 – n⋅2n
  • 57.
    57 = 1 + 2 + 22 + 23 + ... + 2n–1 – n⋅2n 1(1 − 2n ) –Sn = − n ⋅ 2n 1− 2 –Sn = –1(1 – 2n) – n⋅2n Sn = (1 – 2n) + n⋅2n จะได S10 = (1 – 210) + 10⋅210 = –1023 + 10240 = 9217 (2) ให Sn แทนผลบวกของอนุกรมนี้ 1 1 1 1 Sn = 1 ⋅ + 2 ⋅ 2 + 3 ⋅ 3 + ... + n ⋅ n ---------- (1) 5 5 5 5 1 1 1 1 1 (1) × (2), Sn = 1 ⋅ 2 + 2 ⋅ 3 + ... + (n − 1) ⋅ n + n ⋅ n +1 ---------- (2) 5 5 5 5 5 4 1 1 1 1 1 (1) – (2), Sn = + (2 − 1) ⋅ 2 + (3 − 2) ⋅ 3 + ... + (n − (n − 1)) ⋅ n − n ⋅ n +1 5 5 5 5 5 5 1 1 1 1 1 = + + + ... + n − n ⋅ n +1 5 52 53 5 5 1⎛ ⎛1⎞ ⎞ n ⎜1 − ⎜ ⎟ ⎟ 4 5⎜ ⎝ 5⎠ ⎟ ⎝ ⎠ −n⋅ 1 Sn = 5 1− 1 5n +1 5 4 1 1 1 Sn = (1 − n ) − n ⋅ n +1 5 4 5 5 5 1 1 Sn = (1 − n ) − n ⋅ 16 5 4 ⋅ 5n 5 1 1 จะได S10 = (1 − 10 ) − 16 5 2 ⋅ 59 2n + 1 1 1 9. (1) = − n ( n + 1) ( n + 1) 2 2 2 2 n 3 5 7 2n + 1 ให Sn = + + + ... + 2 1 ⋅ 4 4 ⋅ 9 9 ⋅ 16 n ( n + 1) 2 ⎛1 1 ⎞ ⎛ 1 1 ⎞ ⎛ 1 1 ⎞ = ⎜ − ⎟ + ⎜ − ⎟ + ... + ⎜ 2 − ⎜n ⎟ ( n + 1) ⎟ 2 ⎝1 4 ⎠ ⎝ 4 9 ⎠ ⎝ ⎠ 1 = 1− ( n + 1) 2 n 2 + 2n = ( n + 1) 2 n 2 + 2n ผลบวก n พจนแรก เปน ( n + 1) 2
  • 58.
    58 2 −1 3− 2 2− 3 n +1 − n (2) ให Sn = + + + ... + 1⋅ 2 2⋅ 3 3⋅2 n n +1 ⎛ 1 ⎞ ⎛ 1 1 ⎞ ⎛ 1 1⎞ ⎛ 1 1 ⎞ = ⎜1 − ⎟+⎜ − ⎟+⎜ − ⎟ + ... + ⎜ − ⎟ ⎝ 2⎠ ⎝ 2 3⎠ ⎝ 3 2⎠ ⎝ n n +1 ⎠ 1 = 1− n +1 1 ผลบวก n พจนแรก เปน 1− n +1 ∞ ∞ n −1 −(n −1) ⎛1⎞ 10. (1) เนื่องจาก ∑ e = ∑⎜e⎟ n =1 n =1 ⎝ ⎠ 1 1 1 Sn = 1+ + 2 + ... + n −1 e e e ⎛ 1 ⎞ 1⎜1 − n ⎟ = ⎝e ⎠ 1 1− e 1 1− n e lim Sn = lim e 1 = n →∞ n →∞ e −1 1− e e ดังนั้น อนุกรมนี้เปนอนุกรมลูเขา และมีผลบวกเทากับ e −1 (2) ลําดับผลบวกยอยของอนุกรมนี้คือ 1, –1, 3, –5, 11, ... อนุกรมนี้เปนอนุกรมลูออก 9 9 9 9 (3) Sn = + + + ... + 100 1002 1003 100n 9 ⎛ 1 ⎞ ⎜1 − n⎟ = 100 ⎝ 100 ⎠ = 1 ⎛1 − 1 n ⎞ 1 ⎜ ⎟ 11 ⎝ 100 ⎠ 1− 100 1⎛ 1 ⎞ 1 lim Sn = lim ⎜ 1 − n ⎟ = 11 n →∞ n →∞ 11 ⎝ 100 ⎠ 1 ดังนั้น อนุกรมนี้เปนอนุกรมลูเขา และมีผลบวกเทากับ 11 5 10 15 20 25 5n (4) ลําดับผลบวกยอยของอนุกรมนี้คือ , , , , , ..., , ... 2 3 4 5 6 n +1 5n เนื่องจาก lim = 5 n →∞ n +1 ดังนั้น อนุกรมนี้เปนอนุกรมลูเขา และมีผลบวกเทากับ 5
  • 59.
    59 ∞ 2n + 1 ∞ ⎛ 1 1 ⎞ (5) ∑ = ∑ ⎜ − ⎟ n =1 n 2 (n + 1) 2 n =1⎜ n 2 (n + 1) 2 ⎟ ⎝ ⎠ ⎛ 1 ⎞ ⎛ 1 1 ⎞ ⎛ 1 1 ⎞ ⎛ 1 1 ⎞ Sn = ⎜ 1− ⎟ +⎜ − ⎟ + ⎜ 2 − 2 ⎟ + ... + ⎜ 2 − ⎜ ⎟ ⎝ 22 ⎠ ⎝ 22 32 ⎠ ⎝ 3 4 ⎠ ⎝n (n + 1) 2 ⎟ ⎠ 1 = 1− (n + 1) 2 ⎛ 1 ⎞ lim Sn n →∞ = lim ⎜1 − n →∞ ⎜ 2⎟ ⎟ = 1 ⎝ (n + 1) ⎠ ดังนั้น อนุกรมนี้เปนอนุกรมลูเขา และมีผลบวกเทากับ 1 ⎛ 1 ⎞ ⎛ 1 1 ⎞ ⎛ 1 1 ⎞ ⎛ 1 1 ⎞ (6) Sn = ⎜1 − ⎟+⎜ − ⎟+⎜ − ⎟ + ... + ⎜ − ⎟ ⎝ 2⎠ ⎝ 2 3⎠ ⎝ 3 4⎠ ⎝ n n +1 ⎠ 1 = 1− n +1 ⎛ 1 ⎞ lim Sn = lim ⎜1 − ⎟ = 1 n →∞ n →∞ ⎝ n +1 ⎠ ดังนั้น อนุกรมนี้เปนอนุกรมลูเขา และมีผลบวกเทากับ 1 16 4 (7) อนุกรมที่กําหนดใหเปนอนุกรมเรขาคณิตที่มี a1 = และ r = 5 5 เนื่องจาก | r | < 1 อนุกรมนี้จึงเปนอนุกรมลูเขา 16 a1 และมีผลบวกเทากับ = 5 = 16 1− r 1− 4 5 ∞ 1 1 ∞ 2 (8) ∑ 2 −1 = ∑ n =1 4n 2 n =1 (2n + 1)(2n − 1) ∞ = 1 ∑⎛ 1 − 1 ⎞ ⎜ ⎟ 2 n =1⎝ 2n − 1 2n + 1 ⎠ 1 ⎛⎛ 1 ⎞ ⎛ 1 1 ⎞ ⎛ 1 1 ⎞ ⎛ 1 1 ⎞⎞ Sn = ⎜ ⎜1 − 3 ⎟ + ⎜ 3 − 5 ⎟ + ⎜ 5 − 7 ⎟ + ... + ⎜ 2n − 1 − 2n + 1 ⎟ ⎟ 2 ⎝⎝ ⎠ ⎝ ⎠ ⎝ ⎠ ⎝ ⎠⎠ 1⎛ 1 ⎞ = ⎜1 − ⎟ 2 ⎝ 2n + 1 ⎠ lim Sn = lim 1 ⎛1 − 1 ⎞ = 1 ⎜ ⎟ n →∞ n →∞ 2 ⎝ 2n + 1 ⎠ 2 1 ดังนั้น อนุกรมนี้เปนอนุกรมลูเขา และมีผลบวกเทากับ 2
  • 60.
    60 11. ใหอนุกรมนี้คอ a1+ a2 + a3 + ... + an + ... โดยที่ an = 2n – 5 ื 15 15 จะได ผลบวกของ 15 พจนแรกของอนุกรมนี้ คือ ∑ a n = ∑ (2n − 5) n =1 n =1 15 15 = 2 ∑ n– ∑ 5 n =1 n =1 ⎛ 15(16) ⎞ = 2⎜ ⎟ –15(5) ⎝ 2 ⎠ = 240 – 75 = 165 12. (1) ลําดับของจํานวนเต็มระหวาง 9 กับ 199 ที่ 8 หารลงตัวคือ 16, 24, 32, ..., 192 เพราะวา an = a1 + (n – 1)8 จะได 192 = 16 + (n – 1)8 ⎛ 192 − 16 ⎞ n = ⎜ ⎟ +1 ⎝ 8 ⎠ n = 23 n จาก Sn = (a1 + a n ) 2 23 จะได S23 = (16 + 192) 2 = 2392 ดังนัน ผลบวกของจํานวนเต็มที่อยูระหวาง 9 กับ 199 ที่ 8 หารลงตัวเทากับ 2392 ้ (2) ลําดับของจํานวนเต็มระหวาง 9 กับ 199 คือ 10, 11, 12, ..., 198 ซึ่งมี 189 จํานวน 189 จะได S189 = (10 + 198) 2 = 19656 ผลบวกของจํานวนเต็มทีอยูระหวาง 9 กับ 199 เปน 19656 ่ จะไดผลบวกของจํานวนเต็มที่อยูระหวาง 9 กับ 199 ที่ 8 หารไมลงตัวเปน 19656 – 2392 = 17264 13. (1) e (2) π (3) ln 2