1
เลขยกกําลังสมบัติของเลขยกกําลังสมบัติของรากที่nฟงกชันเอกโปรเนนเชียล
•นิยาม
•กราฟของฟงกชัน
การแกสมการและ
อสมการของฟงกชัน
เอกโปรเนนเชียล
การหาคาของ√m+√n
ฟงกชันลอการิทึม
•นิยาม
•กราฟของฟงกชัน
ลอการิทึมสามัญและ
ลอการิทึมธรรมชาติ
แอนตีลอการิทึมการแกสมการและ
อสมการของฟงกชัน
ลอการิทึม
โจทยปญหา
2
ฟงกชันเอกซโปเนนเชียล
1.เลขยกกําลัง
ถา a เปนจํานวนจริงใดๆ และ n เปนจํานวนเต็มบวก
...n
a a a a a= × × × ×
ตัวอยาง เชน
6
2 2 2 2 2 2 2 64= × × × × × =
4
3 3 3 3 3 81= × × × =
n ตัว
เลขยกกําลัง
n
a
เรียกวา เลขชี้กําลัง
เรียกวา เลขฐาน
6 ตัว
4 ตัว
3
2.สมบัติของเลขยกกําลัง
ถา ,a b R∈ และ 0, 0m n> >
1)
( )m n m n
a a a +
⋅ = เมื่อ , 0a m ≠ พรอมกัน และ , 0a n ≠ พรอมกัน
2)
( )
( )m n mn
a a= เมื่อ , 0a m ≠ พรอมกัน
3) ( )n n n
ab a b= เมื่อ , 0a n ≠ พรอมกัน และ , 0b n ≠ พรอมกัน
4) ( )
n
n
n
a a
b b
= เมื่อ , 0a n ≠ พรอมกัน และ 0b ≠
5)
0
1a = เมื่อ 0a ≠
6)
1n
n
a
a
−
= เมื่อ 0a ≠
7)
( )
m
m n
n
a
a
a
−
= เมื่อ 0a ≠
8) ( )
11
mm
mn nna a a
⎛ ⎞
= = ⎜ ⎟
⎝ ⎠
เมื่อ , 0a m ≠ พรอมกัน
ตัวอยาง เชน
1. จงหาคาของ
( 2)
( 1)
5 3 9 3
3 3
n n
n n
−
−
⋅ − ⋅
−
วิธีทํา
4
( 2) 2 ( 2)
( 1)
5 3 9 3 5 3 3 3
33 3
3
3
n n n n
nn n
n
− −
−
⋅ − ⋅ ⋅ − ⋅
=
−
−
[2 ( 2)]
5 3 3
1
3 [1 ]
3
5 3 3
2
3 [ ]
3
3 [5 1]
2
3 [ ]
3
4
2
3
6
n n
n
n n
n
n
n
+ −
⋅ −
=
−
⋅ −
=
−
=
=
⎛ ⎞
⎜ ⎟
⎝ ⎠
=
2. จงหาคาของ
1 1
( ) ( )
1 1
( ) ( )
m n
m n
x x
y y
y y
x x
+ −
+ −
วิธีทํา
1 1 1 1
( ) ( ) ( ) ( )
1 1 1 1
( ) ( ) ( ) ( )
m n m n
m n m n
xy xy
x x
y y y y
xy xy
y y
x x x x
+ −
+ −
=
+ −
+ −
( 1) ( 1)
( 1) ( 1)
m n
m n
m n
m n
xy xy
y y
xy xy
x x
+ −
=
+ −
5
( )
( )
( )
m n
m n
m n
m n
m n
x x
y y
x
y
x
y
+
+
+
=
=
⎛ ⎞
= ⎜ ⎟
⎝ ⎠
3. ถา
( )
3 81x y+
= และ
( )
2
25 5
x
= จงหาคา y
วิธีทํา
3.รากที่ n
ให n เปนจํานวนเต็มบวกที่มากกวา 1 และ ,x a R∈
x จะเปนรากที่ n ของ a ก็ตอเมื่อ
n
x a=
ขอสังเกต
1) เมื่อ n เปนจํานวนเต็มบวกที่มากกวา 1 และเปนจํานวนคู
รากที่ n ของ a
( )
( ) 4
3 81
3 3
4
1 4
3
x y
x y
x y
y
y
+
+
=
=
∴ + =
+ =
∴ =
( )
2
2 2
(2 )
2
25 5
(5 ) 5
5 5
5 5
1
x
x
x
x
x
⋅
=
=
=
=
∴ =
(+) เขียนแทนดวย
n
a
(-) เขียนแทนดวย
n
a−
6
2) เมื่อ n เปนจํานวนเต็มบวกที่มากกวา 1 และเปนจํานวนคี่
ตัวอยาง เชน
1. จงหารากที่ 2 ของ 9
วิธีทํา
∴ รากที่ 2 ของ 9 คือ 3 และ -3
2. จงหารากที่ 3 ของ 8
วิธีทํา
∴ รากที่ 3 ของ 8 คือ 2
รากที่ n ของ a มีจํานวนเดียว เขียนแทนดวย
n
a
รากที่ 2 ของ 9 จํานวนใดยกกําลัง 2 แลวเทากับ 9
2
9x =
2
3 9=
2
( 3) 9− =
รากที่ 3 ของ 8 จํานวนใดยกกําลัง 3 แลวเทากับ 8
3
8x =
3
2 8=
7
3. จงหารากที่ 3 ของ -8
วิธีทํา
∴ รากที่ 3 ของ -8 คือ -2
สมบัติของรากที่ n
กําหนดให a และ b มีรากที่ n และ ,a b R∈
1)
n n n
a b ab⋅ =
2)
n
n
n
a a
bb
= เมื่อ 0b ≠
3)
m
n mn
a a= เมื่อ , 0a m ≠ พรอมกัน
ตัวอยาง เชน
1. จงหาคาของ
3
3
1
6 4
2
+
วิธีทํา
3
3 3
3 3 3
1 1 4
6 4 6 4
2 2 4
×
+ = +
×
3
3
3
4
6 4
2 4
= +
×
รากที่ 3 ของ -8 จํานวนใดยกกําลัง 3 แลวเทากับ -8
3
8x = −
3
( 2) 8− = −
8
3
3
3
3
3
3
3
4
6 4
8
4
6 4
2
1
4(6 )
2
13
4
2
= +
= +
= +
=
2. จงหาคาของ
3
4
81
วิธีทํา
3
344
81 81=
4
4 4 4
81 81 81
81 81 81
3 3 3
27
= × ×
= × ×
= × ×
=
3. จงหาคาของ
1 1 1
3 3 6
6(5) 4(40) 10(25)− +
วิธีทํา
1 1 1 1 1 1 2
3 3 6 3 3 3 6
6(5) 4(40) 10(25) 6(5) 4(8) (5) 10(5)− + = − +
1 1 1
3 3 3
1 1 1
3 3 3
1
3
6(5) 4(2)(5) 10(5)
6(5) 8(5) 10(5)
8(5)
= − +
= − +
=
9
4.การหาคา m n+
พิจารณา 2 2 2
( ) ( ) 2( )( ) ( )a b a a b b+ = + +
2
( ) 2
a ab b
a b ab
= + +
= + +
2
( ) 2 ( )a b ab a b a b∴ + + = + = +
ดังนั้นในการหาคา m n+
……………….พยายามจัดรูป m n+ ใหอยูในรูป ( ) 2a b ab+ + ใหได
ตัวอยาง เชน
1. จงหาคา 5 24+
วิธีทํา
1) จัดรูป 5 24+ ใหอยูในรูป ( ) 2a b ab+ +
5 24 5 2 6+ = +
(3 2) 2 (3)(2)= + +
2) 5 24 (3 2) 2 (3)(2)+ = + +
2
( 3 2)
3 2
= +
= +
2. จงหาคา 5 24−
วิธีทํา
1) จัดรูป 5 24− ใหอยูในรูป ( ) 2a b ab+ −
5 24 5 2 6− = −
(3 2) 2 (3)(2)= + −
2) 5 24 (3 2) 2 (3)(2)− = + −
2
( 3 2)
3 2
= −
= −
10
3. ถา 1.36 1.64x< < แลว 2 1 2 1x x x x+ − + − − มีคาเทากับเทาใด
วิธีทํา
1) ตรวจสอบ ที่ 1.36 1.64x< < 2 1 0, 2 1 0x x x x+ − > − − >
2)
2 1 2 1 [1 ( 1)] 2 (1)( 1) [1 ( 1)] 2 (1)( 1)x x x x x x x x+ − + − − = + − + − + + − − −
2 2
( 1 1) ( 1 1)
1 1 1 1
2
x x
x x
= + − + − −
= + − + − −
=
4. คาของ 8 28+ และ 6 20− มีผลตางเทากับเทาใด
วิธีทํา
1) หาคา 8 28+
8 28 8 2 7+ = +
2
(7 1) 2 (1)(7)
( 7 1)
7 1
= + +
= +
= +
2) หาคา 6 20−
6 20 6 2 5− = −
2
(1 5) 2 (1)(5)
( 5 1)
5 1
= + −
= −
= −
3) 8 28 6 20 ( 7 1) ( 5 1)+ − − = + − −
7 5 2= − +
11
5.ฟงกชันเอกซโปเนนเชียล
ถา f เปนฟงกชันจากเซตของจํานวนจริงไปยังเซตของจํานวนจริง โดยที่
{( , ) | x
f x y R R y a= ∈ × = เมื่อ 0a > และ 1}a ≠ เรียก f วา “ฟงกชันเอ็กซโปเนน
เชียล” และเรียก a วา ฐาน
กราฟของฟงกชันเอกโปเนนเชียล แบงเปน 2 กรณี คือ
1) กรณีที่ 0 1a< <
โดเมน(D) R=
เรนจ(R) { | 0}y R y= ∈ >
2) กรณีที่ 1a >
โดเมน(D) R=
เรนจ(R) { | 0}y R y= ∈ >
ตัวอยาง เชน
1. จงเขียนกราฟของ {( , ) | 2 4}x
f x y R R y= ∈ × = +
วิธีทํา
1) จากสมการ 2 4x
y = + จัดรูปใหม
•
(0,1),0 1x
y a x= < <
กราฟมีลักษณะเปนฟงกชันลด
•(0,1)
, 1x
y a x= >
กราฟมีลักษณะเปนฟงกชันเพิ่ม
12
2 4
( 4) 2
x
x
y
y
= +
∴ − =
จากกราฟ { | }fD x x R= ∈
{ | 4}fR y R y= ∈ >
2. จงเขียนกราฟของ
( 1)
{( , ) | 3 1}x
f x y R R y −
= ∈ × = −
วิธีทํา
1) จากสมการ
( 1)
3 1x
y −
= − จัดรูปใหม
( 1)
( 1)
3 1
( 1) 3
x
x
y
y
−
−
= −
∴ + =
พิจารณากราฟ 2x
y = และเลื่อนกราฟขึ้นบน 4 หนวย
4
•
(0,5)
พิจารณากราฟ 3x
y = และเลื่อนกราฟขึ้นลงลาง 1 หนวย
และเลื่อนกราฟมาทางขวา 1 หนวย
2 4x
y = +
13
จากกราฟ { | }fD x x R= ∈
{ | 1}fR y R y= ∈ > −
3. จงหาเซตคําตอบของอสมการ
1
( ) 9
3
x
<
วิธีทํา
1) วาดกราฟของ
1
( )
3
x
y =
2) พิจารณาที่…………
1
( ) 9
3
x
=
2
(3) 3
2
x
x
−
=
∴ = −
จากกราฟ ที่
1
2 ( ) 9
3
x
x > − ⇒ <
1−
1
(1,0)
•
( 1)
3 1x
y −
= −
•
(0,1)
2x = −
9 1
( )
3
x
y =
14
4. จงวาดกราฟของ {( , ) | 2 }
x
f x y R R y= ∈ × =
วิธีทํา
5. จงวาดกราฟของ {( , ) | 2 }x
f x y R R y= ∈ × =
วิธีทํา
2
x
y =
2 , 0x
y x= ≥
1
2 ( ) , 0
2
x x
y x−
= = <
2 , 0x
y x= ≥1
( ) , 0
2
x
y x= <
•
(0,1)
2 , 0x
y y= ≥
2x
y =
2
2 , 0
x
x
y
y y
− =
= − <
•
(0,1)
•
(0, 1)−
2 , 0x
y y= ≥
2 , 0x
y y= − <
15
6.การแกสมการและอสมการของฟงกชันเอกซโปเนนเชียล
ขออธิบายตามตัวอยางแลวแตกรณีดังนี้
1. จงหาเซตคําตอบของสมการ
(2 1)
3 28(3) 9 0x x+
− + =
วิธีทํา
(2 1)
2
2
3 28(3) 9 0
3 3 28(3) 9 0
3 (3 ) 28(3 ) 9 0
x x
x x
x x
+
− + =
⋅ − + =
⋅ − + =
ให 3x
A =
2
3 28 9 0
(3 1)( 9) 0
1
,9
3
A A
A A
A
− + =
− − =
=
∴เซตคําตอบคือ { 1,2}−
2. ถา
2
4(2 ) 3(2 ) 1 0x x
+ − = แลว 25x
มีคาเทาใด
วิธีทํา
2
4(2 ) 3(2 ) 1 0x x
+ − =
ให 2x
A =
2
4 3 1 0
(4 1)( 1) 0
1
, 1
4
A A
A A
A
+ − =
− + =
= −
1
1
3
3
3 3
1
x
x
x
−
=
=
∴ = −
2
3 9
3 3
2
x
x
x
=
=
∴ =
16
∴เซตคําตอบคือ { 2}−
ถา
2
2
1 1
2 25 25
25 625
x
x −
= − ⇒ = = =
3. จงหาคา x จากสมการ
3 2 1
25 9
3 25
x
x− −
⎛ ⎞ ⎛ ⎞
=⎜ ⎟ ⎜ ⎟
⎝ ⎠ ⎝ ⎠
วิธีทํา
3 2 1
2
13 2 2 2
2
3 2 2(1 )
2
3 2 2(1 )
2
3 2 2
5 9
3 25
5 3
3 5
5 3
3 5
5 5
3 3
5 5
3 3
3 2 2
x
x
x
x
x
x
x
x
x x
x x
− −
−−
− −
− − −
− −
⎛ ⎞ ⎛ ⎞
=⎜ ⎟ ⎜ ⎟
⎝ ⎠ ⎝ ⎠
⎛ ⎞⎛ ⎞
= ⎜ ⎟⎜ ⎟
⎝ ⎠ ⎝ ⎠
⎛ ⎞ ⎛ ⎞
=⎜ ⎟ ⎜ ⎟
⎝ ⎠ ⎝ ⎠
⎛ ⎞ ⎛ ⎞
=⎜ ⎟ ⎜ ⎟
⎝ ⎠ ⎝ ⎠
⎛ ⎞ ⎛ ⎞
=⎜ ⎟ ⎜ ⎟
⎝ ⎠ ⎝ ⎠
∴ − = −
3
2 0
0
x x
x
x
=
=
=
2
1
2
4
2 2
2
x
x
x
−
=
=
∴ = −
2 1x
= −
เนื่องจาก 2x
เปน (+) เสมอ
x∈∅
17
4. ถา
1 2 1
5 5 3775 5x x x+ + −
+ = − แลว x เทากับเทาใด
วิธีทํา
1 2 1
1 2 1
2
3
5 5 3775 5
5 5 5 3775
1
5 5 5 5 5 3775
5
1
5 [5 25 ] 3775
5
151
5 [ ] 3775
5
5
5 3775[ ]
151
5 125
5 5
3
x x x
x x x
x x x
x
x
x
x
x
x
+ + −
+ + −
+ = −
+ + =
⋅ + ⋅ + ⋅ =
+ + =
=
=
=
=
∴ =
5. จงหาผลบวกของคําตอบของสมการ 12 2(3 ) 9(4 ) 18 0x x x
− − + =
วิธีทํา
12 2(3 ) 9(4 ) 18 0
(3 )(4 ) 2(3 ) 9(4 ) 18 0
x x x
x x x x
− − + =
− − + =
ให 3x
A = และ 4x
B =
2 9 18 0
( 2 ) (9 18) 0
( 2) 9( 2) 0
( 2)( 9) 0
9
AB A B
AB A B
A B B
B A
A
− − + =
− − − =
− − − =
− − =
∴ = หรือ 2B =
2
3 9
3 3
2
x
x
x
=
=
∴ =
2 1
4 2
2 2
2 1
1
2
x
x
x
x
=
=
=
∴ =
18
เซตคําตอบ คือ
1
{2, }
2
∴ผลบวกของคําตอบของสมการ คือ
1
2 2.5
2
+ =
6. จงหาเซตคําตอบของอสมการ
2
2
( )
( 3) 3
2 8
x
x x
−
−
<
วิธีทํา
2
2
2
( )
( 3) 3
2
3( )
( 3) 3
2
3 2
3 2
2
2
2 8
2 2
2
( 3) 3( )
3
3 2 3
3 3 2 0
( 2)( 1) 0
1 3
( 2)[( ) ] 0
2 4
( 2) 0
2
x
x x
x
x x
x x x
x x x
x x x
x x x
x x
x
x
−
−
−
−
<
<
− < −
− < −
− + − <
− − + <
− − + <
− <
∴ <
∴เซตคําตอบ คือ ( ,2)−∞
7.ฟงกชันลอการิทึม
ฟงกชันลอการิทึม เปนฟงกชันผกผันของฟงกชันเอกซโปเนนเชียล
ฟงกชันเอกซโปเนนเชียล
{( , ) | x
f x y R R y a= ∈ × = เมื่อ 0a > และ 1}a ≠
ฟงกชันผกผันของเอกซโปเนนเชียล
1
{( , ) | y
f x y R R x a−
= ∈ × = เมื่อ 0a > และ 1}a ≠
ฟงกชันลอการิทึม
{( , ) | logag x y R R y x= ∈ × = เมื่อ 0a > และ 1}a ≠
19
เรียกฟงกชัน g วา เปน ฟงกชันลอการิทึม และ เรียก a วาเปน “ฐานของลอการิทึม”
พิจารณากราฟของฟงกชันลอการิทึม แบงเปนกรณีดังนี้
1) กรณี 1a >
โดเมน(D) { | 0}x x= >
เรนจ(R) R= และกราฟเปนฟงกชันเพิ่ม
2) กรณี 0 1a< <
โดเมน(D) { | 0}x x= >
เรนจ(R) R= และกราฟเปนฟงกชันลด
•
(1,0)
log , 1ay x a= >
•
(1,0)
log ,0 1ay x a= < <
20
ตัวอยางการวาดกราฟฟงกชันลอการิทึมแบบอื่นๆ มีดังนี้
1. จงเขียนกราฟของ 21 log ( 1)y x− = +
วิธีทํา
2. จงเขียนกราฟของ 1
2
1 log ( 1)y x− = +
วิธีทํา
เขียนกราฟ 2logy x= ใหได
ทําการเลื่อนแกน x,แกน y ไปทาซาย 1 หนวยและขึ้นบน 1 หนวย
กราฟของ 21 log ( 1)y x− = + ใหได
•
(0,1)
21 log ( 1)y x− = +
1
1−
21
3. จงเขียนกราฟ 3logy x=
วิธีทํา
เขียนกราฟ 1
2
logy x= ใหได
ทําการเลื่อนแกน x,แกน y ไปทาซาย 1 หนวยและขึ้นบน 1 หนวย
กราฟของ 1
2
1 log ( 1)y x− = + ใหได
•
(0,1)
1
2
1 log ( 1)y x− = +
1
1−
3logy x=
3log , 0y x x= ≥
3log ( ), 0y x x= − <
22
กราฟสมมาตรตามแกน y
4. จงเขียนกราฟ 3logy x=
วิธีทํา
กราฟสมมาตรตามแกน x
•
(0,1)
•
(0, 1)−
3log , 0y x x= ≥
3log ( ), 0y x x= − <
3logy x=
3log , 0y x y= ≥
3log , 0y x y− = <
• (0,1)
3log , 0y x y= ≥
3log , 0y x y− = <
23
สมบัติที่สําคัญของลอการิทึม
กําหนดให 0, 0, 0, 0,x y a b n R> > > > ∈ และ 1, 1a b≠ ≠
1) log 1a a =
2) log 1 0a =
3) log ( ) log loga a axy x y= +
4) log ( ) log loga a a
x
x y
y
= −
5) log ( ) (log )n
a ax n x=
6)
log
log
log
b
a
b
x
x
a
=
7)
loga x
a x=
ตัวอยาง เชน
1. จงหาคาของ 3 3
log 10
3
วิธีทํา
3
33 3
log 10
log 10 log 3 3
3 3
⎛ ⎞
⎜ ⎟⎜ ⎟
⎝ ⎠
=
3
3
2
3
3
log 10
log 3
log 10
3
2
3
3
⎛ ⎞
⎜ ⎟
⎜ ⎟
⎜ ⎟⎜ ⎟
⎝ ⎠
⎛ ⎞
⎜ ⎟
⎜ ⎟
⎜ ⎟⎜ ⎟
⎝ ⎠
=
=
24
3
3
2
log 10
3
2
log 10 3
2
3
3
3
(3 )
10
100
=
=
=
=
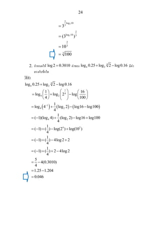
2. กําหนดให log2 0.3010= คาของ 4
4 2log 0.25 log 2 log0.16+ − มีคา
ตรงกับขอใด
วิธีทํา
4
4 2
1
4
4 2
log 0.25 log 2 log0.16
1 16
log log 2 log
4 100
+ −
⎛ ⎞⎛ ⎞ ⎛ ⎞
= + −⎜ ⎟⎜ ⎟ ⎜ ⎟
⎝ ⎠ ⎝ ⎠⎝ ⎠
( ) ( ) ( )1
4 2
4 2
4 2
1
log 4 log 2 log16 log100
4
1
( 1)(log 4) (log 2) log16 log100
4
1
( 1) ( ) log(2 ) log(10 )
4
1
( 1) ( ) 4log2 2
4
1
( 1) ( ) 2 4log2
4
5
4(0.3010)
4
1.25 1.204
0.046
−
= + − −
= − + − +
= − + − +
= − + − +
= − + + −
= −
= −
=
25
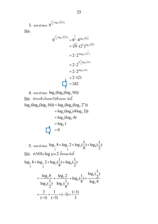
3. จงหาคาของ
3
2
1
( log 121)
3
8
+
วิธีทํา
3
32
2
1 1
( log 121)
log 1213 3
8 8 8
+
= ⋅
3
2
1
3
2
2
2
log 12133
3(log 121 )
1
3( log 121)
3
(log 121)
8 (2 )
2 2
2 2
2 2
2 121
242
= ⋅
= ⋅
= ⋅
= ⋅
= ⋅
=
4. จงหาคาของ 2 4 2log (log (log 16))
วิธีทํา ทําจากขางในออกไปขางนอก ดังนี้
4
2 4 2 2 4 2log (log (log 16)) log (log (log 2 ))=
2 4 2
2 4
2
log (log (4log 2))
log (log 4)
log 1
0
=
=
=
=
5. จงหาคาของ 1 1 2 8
2 8
1 1
log 8 log 2 log ( ) log ( )
8 2
+ + +
วิธีทํา ทําใหเปน log ฐาน 2 ทั้งหมด ดังนี้
1 1 2 8
2 8
1 1
log 8 log 2 log ( ) log ( )
8 2
+ + +
2
2 2
2
2
2 2
1
log ( )
log 8 log 2 1 2log ( )
1 1 8 log 8log ( ) log ( )
2 8
3 1 ( 1)
( 3)
( 1) ( 3) 3
= + + +
−
= + + − +
− −
26
1 1
3 3
3 3
20
3
= − − − −
= −
8.ลอการิทึมสามัญและลอการิทึมธรรมชาติ
ลอการิทึมสามัญ คือ ลอการิทึมที่มีฐานเปน 10 เชน 10log x จะเขียนเปน log x
ลอการิทึมธรรมชาติ คือ ลอการิทึมที่มีฐานเปน e (e เปนจํานวนอตรรกยะที่มีคาประมาณ
2.78182818) เชน loge x จะเขียนเปน ln x
ตัวอยาง เชน
1. จงหาคา log20
วิธีทํา
log20 log(2 10)= ×
log2 log10= +
(0.301) 1= +
1.301=
2. จงหาคา log0.02
วิธีทํา เขียน log0.02 ใหอยูในรูป log( 10 )n
a× เมื่อ 0 10a≤ ≤ และ n I∈ ดังนี้
2
log0.02 log(2 10 )−
= ×
เปดตารางlog a เมื่อ 0 10a≤ ≤
เราเรียกสวนนี้วา “คาแรกเตอริสติก”ของlog 20
เราเรียกสวนนี้วา “แมนทิสสา”ของlog 20
27
2
log2 log(10 )
log2 ( 2)
−
= +
= + −
(0.301) 2
1.699
= −
=
3. จงหาคา (2 )
ln e
e +
วิธีทํา ใชคุณสมบัติของ log ดังนี้
(2 )
ln (2 )(ln )e
e e e+
= +
(2 )(1)
2
e
e
= +
= +
9.แอนตี้ลอการิทึม
แอนตี้ลอการิทึมของ a เขียนแทนดวย loganti a มีความหมายคือ
log 10a
anti a =
ตัวอยาง เชน
1. จงหา log(log2)anti
วิธีทํา
log2
log(log2) 10anti =
2=
2. จงหา log[(log75 log5) log2]anti − +
วิธีทํา
75 2
log[(log75 log5) log2] log[log ]
5
anti anti
×
− + =
เราเรียกสวนนี้วา “คาแรกเตอริสติก”ของlog0.02
เราเรียกสวนนี้วา “แมนทิสสา”ของlog0.02
28
log30
log[log30]
10
30
anti=
=
=
10.การแกสมการและอสมการในรูปของลอการิทึม
มีรายละเอียดตามแตละตัวอยางตอไปนี้
1. จงหาเซตคําตอบของ
2 2 2
log(4 16) log( 4) logx x x− − − =
วิธีทํา
2 2 2
2
2
2
2
2
2
2
2
2
2
2
log(4 16) log( 4) log
4 16
log( ) log( )
4
4 16
4
4( 4)
4
4
4 0
( 2)( 2) 0
2, 2
x x x
x
x
x
x
x
x
x
x
x
x
x
x x
x
− − − =
−
=
−
−
=
−
−
=
−
=
− =
− + =
= −
เมื่อตรวจสอบคําตอบแลวพบวาทั้ง x=2 และ x=-2 ทําใหเกิดคา log0 ซึ่งหาคาไมได
2x∴ = ± จึงไมใชคําตอบของสมการ ⇒เซตคําตอบ = ∅
2. จงหาเซตคําตอบของ
2 2
3 log (log )x x+ =
วิธีทํา
2 2
2
3 log (log )
3 2(log ) (log )
x x
x x
+ =
+ =
ให logA x=
นําคําตอบไปตรวจสอบคําตอบจากโจทย
29
2
2
3 2
2 3 0
( 3)( 1) 0
1,3
A A
A A
A A
A
+ =
− − =
− + =
= −
∴ เซตคําตอบ
1
{ ,1000}
10
=
3. จงหาเซตคําตอบของสมการ 2log 4log 2 5xx + =
วิธีทํา เปลี่ยน log 2x ใหเปน 2log x ดังนี้
2
2
2
2
2
2
2
2
2
2
2 2
log 4log 2 5
log 2
log 4 5
log
4
log 5
log
(log ) 4
5
log
(log ) 4 5(log )
xx
x
x
x
x
x
x
x x
+ =
⎛ ⎞
+ =⎜ ⎟
⎝ ⎠
⎛ ⎞
+ =⎜ ⎟
⎝ ⎠
+
=
+ =
ให 2logA x=
1
log 1
10
1
10
x
x
x
−
= −
=
∴ =
3
log 3
10
1000
x
x
x
=
=
∴ =
เมื่อตรวจสอบคําตอบจากโจทยแลวสามารถหาคา log ได
30
2
2
4 5
5 4 0
( 4)( 1) 0
4,1
A A
A A
A A
A
+ =
− + =
− − =
=
∴ เซตคําตอบ {16,2}=
4. จงหาเซตคําตอบจากสมการ log( 1) log( 1) log3x x− + + =
วิธีทํา ใชคุณสมบัติของ log ดังนี้ คือ
2
2
2
log( 1) log( 1) log3
log[( 1)( 1)] log3
log[ 1] log3
1 3
4 0
( 2)( 2) 0
2, 2
x x
x x
x
x
x
x x
x
− + + =
− + =
− =
− =
− =
− + =
∴ = −
∴ เซตคําตอบ {2}=
2
4
log 4
2
16
x
x
x
=
=
∴ =
2
1
log 1
2
2
x
x
x
=
=
∴ =
เมื่อตรวจสอบคําตอบจากโจทยแลวสามารถหาคา log ได
เมื่อตรวจสอบคําตอบจากโจทยแลวสามารถหาคา log ไมได
31
5. ถา 5log log 2x x= จงหาคา x
วิธีทํา
5
5
5 5
5
5
5 5
5 5
5
5 5
5
5
5 5
5
5 5
5
5
5 5
5
5
5
5 5
log log 2
log
log 2 log
log 10
log
log 2 log
[log 2 log 5]
log
log 2 log
log 2 1
log
log log 2
log 2 1
1
log [ 1] log 2
log 2 1
( log 2)
log [ ] log 2
log 2 1
( 1)
log [ ] 1
log 2 1
log (log 2 1)
l
x x
x
x
x
x
x
x
x
x
x
x
x
x
=
= +
= +
+
= +
+
− =
+
− =
+
−
=
+
−
=
+
= − +
5 5
1
5 5
5 5
og log 10
log log (10 )
1
log log
10
1
10
x
x
x
x
−
= −
=
⎛ ⎞
= ⎜ ⎟
⎝ ⎠
∴ =
∴
1
10
x =
เมื่อตรวจสอบคําตอบจากโจทยแลวสามารถหาคา log ได
32
6. ถา
2
log( 1) 2log 1x x+ − = แลวจงหาคา x
วิธีทํา
2 2
2
2
2
2
2 2
2
2
log( 1) log( ) 1
1
log[ ] 1
1
10
1 10
1 9
1
9
1 1
,
3 3
x x
x
x
x
x
x x
x
x
x
+ − =
+
=
+
=
+ =
=
=
∴ = −
∴
1
3
x =
7. จงหาเซตคําตอบของอสมการ ( )2
(4 2) log(1 ) 0x
x− − >
วิธีทํา
1) กรณีที่ 1 (4 2) 0x
− > และ
2
log(1 ) 0x− >
∴ x∈∅
เมื่อตรวจสอบคําตอบจากโจทยแลวสามารถหาคา log ไมได
2 1
4 2 0
4 2
2 2
2 1
1
2
x
x
x
x
x
− >
>
>
>
>
2
2 0
2
2
log(1 ) 0
(1 ) 10
(1 ) 1
0
x
x
x
x
x
− >
− >
− >
<
∴ ∈∅
33
2) กรณีที่ 2 (4 2) 0x
− < และ
2
log(1 ) 0x− <
∴
1
( 1,0) (0, )
2
x∈ − ∪
8. จงหาเซตคําตอบของอสมการ
2
40 log ( 5) 1x< − <
วิธีทํา
2
4
0 2 1
2
2
0 log ( 5) 1
4 5 4
1 5 4
6 9
( 6,3) ( 3, 6)
x
x
x
x
x
< − <
< − <
< − <
< <
∴ ∈ ∪ − −
9. จงหาเซตคําตอบของอสมการ
2 2
log (2 1) log ( 1)x xx x x+ − < +
วิธีทํา แบงเปนกรณีดังนี้
1) กรณีที่ 1 0 1x< <
2 2
2 2
2
log (2 1) log ( 1)
(2 1) ( 1)
2 0
( 2)( 1) 0
( , 2) (1, )
x xx x x
x x x
x x
x x
x
+ − < +
+ − > +
+ − >
+ − >
∴ ∈ −∞ − ∪ ∞
x∈∅
2 1
4 2 0
4 2
2 2
2 1
1
2
x
x
x
x
x
− <
<
<
<
∴ <
2
2 0
2
2
log(1 ) 0
0 (1 ) 10
0 (1 ) 1
0 1
( 1,0) (0,1)
x
x
x
x
x
− <
< − <
< − <
< <
∴ ∈ − ∪
34
2) กรณีที่ 2 1x >
2 2
2 2
2
log (2 1) log ( 1)
(2 1) ( 1)
2 0
( 2)( 1) 0
( 2,1)
x xx x x
x x x
x x
x x
x
+ − < +
+ − < +
+ − <
+ − <
∴ ∈ −
x∈∅
จากทั้ง 2 กรณี เซตคําตอบคือ ∅
แบบฝกหัด
1. จงหาคาของเลขยกกําลังตอไปนี้
1.1)
2 3 4 5 2
( 3) 3 ( 3) 2 3 2 ( 3)− − − − − × + × −
1.2)
2 4
4 5 2 ( 3)× + × −
35
1.3)
5 2
4 2 4
( 4) ( 5)
2 3 5
− × −
× ×
1.4)
3 4 5 2 2 1 2 2
2 8 9 27n n
x x y x y y+ −
× × ×
1.5)
3 10 10 2 4
(6 49 4 )(4 7 6 )− −
× × × ×
1.6)
2 2
2 3 1 2
7 7 7n n n n n− + − −
× ×
36
1.7)
( 2)6 4 8 2 6 7
4 2 4 7 4 12
6 3
4 9
a b c a b c
a b c a b c
−−
−
⎛ ⎞
÷⎜ ⎟
⎝ ⎠
1.8) 12 75
1.9) 33
54 4
1.10) 3 9 27
37
1.11)
2 2 23
53 3 54
(125) (81) 2( 216) 2(4)+ − +
1.12)
2 7 11 1
3 6 6 4 23 9 32 2
(3 )x y z y x y z
−
−
× ×
1.13)
1
3 2 23
2
3 2 2 3
( ) ( 2 )
( )
a b a ab b
a b a b
−
− × + +
− × +
38
1.14)
1 2 2 1
2 2 1
4 9 3 2
9 2 4 3
n n n n
n n n n
+ +
+ +
⋅ + ⋅
⋅ + ⋅
1.15)
1
2
729 81
27 243
n n n
n n
⎛ ⎞+
⎜ ⎟
+⎝ ⎠
39
1.16) 12 2 35+
1.17) 7 48−
1.18) 6 35−
40
1.19)
1
1
10 2 5 2
6 2 3 2
n n
n n
−
+
⋅ − ⋅
⋅ + ⋅
1.20) 50 32 18+ −
1.21) 3 3 3
5 4 2 32 108+ −
41
2. จงหาวาจํานวนตอไปนี้จํานวนใดมีคานอยที่สุด
65 104 52
3 ,2 ,7
3. ถา , ,x y z เปนจํานวนจริงที่ไมเทากับ 0 และ 2 2
3 4 6x y z−
= = แลว
1 1 1
x y z
+ +
มีคาเทากับเทาใด
42
4. ถาเขียน
3
6
3 2
12
ไดในรูป
1
( )n
a โดยที่ a และ n เปนจํานวนเต็มบวกแลว จงหาคาของ
a และ n
5. จงเขียน
1
2 2 3+
ใหตัวสวนอยูในรูปไมติดกรณฑ
43
6. จงหาคาของ
1 1 1 1
...
1 2 2 3 3 4 2011 2012
+ + + +
+ + + +
7. ให
6 3
6 3
x
+
=
−
และ
6 3
6 3
y
−
=
+
จงหาคาของ 2 2
4x xy y− +
44
8. จงหารากที่สองของ 2
4 1 2 3 5 2x x x− + − −
9. จงพิจารณาขอความตอไปนี้เปนจริงหรือไม
9.1)
2 3
5 5<
9.2)
4 5
1 1
3 3
⎛ ⎞ ⎛ ⎞
<⎜ ⎟ ⎜ ⎟
⎝ ⎠ ⎝ ⎠
45
9.3) ( ) ( )
7 5
sin1 sin1° < °
9.4) ( ) ( )
2 5
tan 46 tan 46° < °
9.5) ถา 48 36
2 , 3a b= = และ 24
5c = แลว
1 1 1
a b c
> >
46
10. จงพิจารณาวาฟงกชัน
2
2
( )
3
x
f x
⎛ ⎞
= −⎜ ⎟
⎝ ⎠
เปนฟงกชันเพิ่มหรือฟงกชันลด
11. ขอใดเปนฟงกชันลด
ก)
1
2
x
y
⎛ ⎞
= ⎜ ⎟
⎝ ⎠
ข) 1
2x
y −
= ค) 2 1
3 x
y +
= ง)
1
3
x
y
−
⎛ ⎞
= ⎜ ⎟
⎝ ⎠
47
12. จงแกสมการหรืออสมการตอไปนี้
12.1) 5 1 6 10x + + =
12.2) 7 5x x+ = −
48
12.3) 7 3 1x x+ = +
12.4)
1
3
27
x
=
49
12.5) 5 125x
≤
12.6)
2 81
3 16
x
⎛ ⎞
≥⎜ ⎟
⎝ ⎠
50
12.7)
2
5 3
1 1
3 27
x x+ +
⎛ ⎞
<⎜ ⎟
⎝ ⎠
12.8) 2 2
2 9(2 ) 2 0x x+
− + =
51
12.9)
23
(3 ) 2 0
4
x x
− =
12.10) 4 1 4 1 6 1
2 9 25 625x x x x− − −
⋅ ⋅ =
52
12.11) ( )
2
2 1
3 2 3 2
x x+ −
+ = −
12.12) 9(4 ) 12(6 ) 4(9 ) 0x x x
− + =
53
12.13) 1
6 3 3 2 9x x x+
+ − ⋅ =
12.14) 5 3
(0.25) (0.5)x x− +
>
54
12.15) 3 16 2 81 5 36x x x
⋅ + ⋅ ≤ ⋅
12.16)
2
2
( )
( 3) 3
2 8
x
x x
−
−
<
55
13. จงหาคาตอไปนี้
ก)
7log 3
7
ข)
3 3
log (10)
3
ค)
2
3
1
4
log 64
ง) 5log 25
5log 25
56
14. จงหาคาของ 36log 5 เมื่อให 6log 5 0.8982=
15. กําหนดให log 2 0.3010= และ log3 0.4771= จงหาคาตอไปนี้
15.1) log8
15.2) log9
57
15.3) log 6
15.4) log300
15.5) log0.02
15.6) log120
58
16. กําหนด log3.51 0.5453= จงหาคาของ
16.1) log3510
16.2) log0.351
17. จงหาคาของ 2 3 1
4
1
log 16 log log 64
9
+ −
59
18. จงหาคาของ 3 93
log 6 log 15 log 400+ −
19. จงหาคาของ 8log2
6log5 log 4 log10− +
60
20. จงหาคาของ 3 3 3 3 3log 120 log 80 log 27 log 24 log 16− + − +
21. จงหาคาของ 3 4 5 2011log 4 log 5 log 6 ... log 2012⋅ ⋅ ⋅ ⋅
61
22. จงหาคาของ
ln10 ln5
e −
23. จงหาวา 15
875 มีกี่หลัก เมื่อกําหนดให log8.75 0.9420=
62
24. จงหาคาของ ln 2 ln10 ln 20+ −
25. ขอใดเปนฟงกชันลดบาง
ก) log(3 )x
y = ข) log3
2 x
y = ค)
log(2 )
1
2
x
y
⎛ ⎞
= ⎜ ⎟
⎝ ⎠
ง) 1
2
log (2 )y x=
63
26. 200
2 เปนเลขจํานวนเต็มที่มีกี่หลัก โดยกําหนดให log 2 0.3010=
27. จงหาคาของ
ก) ln e ข)
1
ln
e
ค) ln3 2ln5
e +
64
28. จงแกสมการหรืออสมการตอไปนี้
28.1) log[3 2log(1 )] 0x+ + =
28.2) 2 2log ( 1) log 3x x+ − =
65
28.3) 2
log( 1) 2log 1x x+ − =
28.4) 27 9
1
log ( 1) log ( 1)
6
x x− − − =
66
28.5) 2
8 3 2log log log ( 2 ) 0x x− =
28.6)
2
2 16
9log 3x x
x+ −
=
67
28.7) 0.5 0.5log ( 5) log (2 3)x x− > −
28.8) 3 3log ( 2) log (3 6)x x+ ≤ −
68
28.9) 3log 4log 3 3 0xx − + =
28.10)
2
7log ( 2 )
4 3 2log log log 7 0x x+
=
69
28.11)
1
2 log16
2
10x
+
=
28.12)
log log
4 3 25
3 4 12
x x
⎛ ⎞ ⎛ ⎞
+ =⎜ ⎟ ⎜ ⎟
⎝ ⎠ ⎝ ⎠
70
28.13) 2
5
log log 2
2
xx + =
28.14) log 28 log 325 log 91 logx x x x+ − =
71
28.15)
2
1 1
2 2
log ( 2 ) log 3x x− >
28.16)
2
1 1
2 2
2log (3 4) log ( 8) 2x x x+ − + + ≥ −
72
28.17) 1
3
0 log 2 3x< <
28.18) 2
1log (5 ) 2x x x+ − ≥
73
28.19) 1 3
2
log [log ( 1)] 1x + > −
28.20) log(3 4) log( 1) 1x x+ > − +
74
28.21)
2
2 4
1 1
log (2 1) log ( )
2 2
x x− − + <
28.22) 2
(4 2)log(1 ) 0x
x− − >

Exponential and logarithm function

  • 1.
    1 เลขยกกําลังสมบัติของเลขยกกําลังสมบัติของรากที่nฟงกชันเอกโปรเนนเชียล •นิยาม •กราฟของฟงกชัน การแกสมการและ อสมการของฟงกชัน เอกโปรเนนเชียล การหาคาของ√m+√n ฟงกชันลอการิทึม •นิยาม •กราฟของฟงกชัน ลอการิทึมสามัญและ ลอการิทึมธรรมชาติ แอนตีลอการิทึมการแกสมการและ อสมการของฟงกชัน ลอการิทึม โจทยปญหา
  • 2.
    2 ฟงกชันเอกซโปเนนเชียล 1.เลขยกกําลัง ถา a เปนจํานวนจริงใดๆและ n เปนจํานวนเต็มบวก ...n a a a a a= × × × × ตัวอยาง เชน 6 2 2 2 2 2 2 2 64= × × × × × = 4 3 3 3 3 3 81= × × × = n ตัว เลขยกกําลัง n a เรียกวา เลขชี้กําลัง เรียกวา เลขฐาน 6 ตัว 4 ตัว
  • 3.
    3 2.สมบัติของเลขยกกําลัง ถา ,a bR∈ และ 0, 0m n> > 1) ( )m n m n a a a + ⋅ = เมื่อ , 0a m ≠ พรอมกัน และ , 0a n ≠ พรอมกัน 2) ( ) ( )m n mn a a= เมื่อ , 0a m ≠ พรอมกัน 3) ( )n n n ab a b= เมื่อ , 0a n ≠ พรอมกัน และ , 0b n ≠ พรอมกัน 4) ( ) n n n a a b b = เมื่อ , 0a n ≠ พรอมกัน และ 0b ≠ 5) 0 1a = เมื่อ 0a ≠ 6) 1n n a a − = เมื่อ 0a ≠ 7) ( ) m m n n a a a − = เมื่อ 0a ≠ 8) ( ) 11 mm mn nna a a ⎛ ⎞ = = ⎜ ⎟ ⎝ ⎠ เมื่อ , 0a m ≠ พรอมกัน ตัวอยาง เชน 1. จงหาคาของ ( 2) ( 1) 5 3 9 3 3 3 n n n n − − ⋅ − ⋅ − วิธีทํา
  • 4.
    4 ( 2) 2( 2) ( 1) 5 3 9 3 5 3 3 3 33 3 3 3 n n n n nn n n − − − ⋅ − ⋅ ⋅ − ⋅ = − − [2 ( 2)] 5 3 3 1 3 [1 ] 3 5 3 3 2 3 [ ] 3 3 [5 1] 2 3 [ ] 3 4 2 3 6 n n n n n n n n + − ⋅ − = − ⋅ − = − = = ⎛ ⎞ ⎜ ⎟ ⎝ ⎠ = 2. จงหาคาของ 1 1 ( ) ( ) 1 1 ( ) ( ) m n m n x x y y y y x x + − + − วิธีทํา 1 1 1 1 ( ) ( ) ( ) ( ) 1 1 1 1 ( ) ( ) ( ) ( ) m n m n m n m n xy xy x x y y y y xy xy y y x x x x + − + − = + − + − ( 1) ( 1) ( 1) ( 1) m n m n m n m n xy xy y y xy xy x x + − = + −
  • 5.
    5 ( ) ( ) () m n m n m n m n m n x x y y x y x y + + + = = ⎛ ⎞ = ⎜ ⎟ ⎝ ⎠ 3. ถา ( ) 3 81x y+ = และ ( ) 2 25 5 x = จงหาคา y วิธีทํา 3.รากที่ n ให n เปนจํานวนเต็มบวกที่มากกวา 1 และ ,x a R∈ x จะเปนรากที่ n ของ a ก็ตอเมื่อ n x a= ขอสังเกต 1) เมื่อ n เปนจํานวนเต็มบวกที่มากกวา 1 และเปนจํานวนคู รากที่ n ของ a ( ) ( ) 4 3 81 3 3 4 1 4 3 x y x y x y y y + + = = ∴ + = + = ∴ = ( ) 2 2 2 (2 ) 2 25 5 (5 ) 5 5 5 5 5 1 x x x x x ⋅ = = = = ∴ = (+) เขียนแทนดวย n a (-) เขียนแทนดวย n a−
  • 6.
    6 2) เมื่อ nเปนจํานวนเต็มบวกที่มากกวา 1 และเปนจํานวนคี่ ตัวอยาง เชน 1. จงหารากที่ 2 ของ 9 วิธีทํา ∴ รากที่ 2 ของ 9 คือ 3 และ -3 2. จงหารากที่ 3 ของ 8 วิธีทํา ∴ รากที่ 3 ของ 8 คือ 2 รากที่ n ของ a มีจํานวนเดียว เขียนแทนดวย n a รากที่ 2 ของ 9 จํานวนใดยกกําลัง 2 แลวเทากับ 9 2 9x = 2 3 9= 2 ( 3) 9− = รากที่ 3 ของ 8 จํานวนใดยกกําลัง 3 แลวเทากับ 8 3 8x = 3 2 8=
  • 7.
    7 3. จงหารากที่ 3ของ -8 วิธีทํา ∴ รากที่ 3 ของ -8 คือ -2 สมบัติของรากที่ n กําหนดให a และ b มีรากที่ n และ ,a b R∈ 1) n n n a b ab⋅ = 2) n n n a a bb = เมื่อ 0b ≠ 3) m n mn a a= เมื่อ , 0a m ≠ พรอมกัน ตัวอยาง เชน 1. จงหาคาของ 3 3 1 6 4 2 + วิธีทํา 3 3 3 3 3 3 1 1 4 6 4 6 4 2 2 4 × + = + × 3 3 3 4 6 4 2 4 = + × รากที่ 3 ของ -8 จํานวนใดยกกําลัง 3 แลวเทากับ -8 3 8x = − 3 ( 2) 8− = −
  • 8.
    8 3 3 3 3 3 3 3 4 6 4 8 4 6 4 2 1 4(6) 2 13 4 2 = + = + = + = 2. จงหาคาของ 3 4 81 วิธีทํา 3 344 81 81= 4 4 4 4 81 81 81 81 81 81 3 3 3 27 = × × = × × = × × = 3. จงหาคาของ 1 1 1 3 3 6 6(5) 4(40) 10(25)− + วิธีทํา 1 1 1 1 1 1 2 3 3 6 3 3 3 6 6(5) 4(40) 10(25) 6(5) 4(8) (5) 10(5)− + = − + 1 1 1 3 3 3 1 1 1 3 3 3 1 3 6(5) 4(2)(5) 10(5) 6(5) 8(5) 10(5) 8(5) = − + = − + =
  • 9.
    9 4.การหาคา m n+ พิจารณา2 2 2 ( ) ( ) 2( )( ) ( )a b a a b b+ = + + 2 ( ) 2 a ab b a b ab = + + = + + 2 ( ) 2 ( )a b ab a b a b∴ + + = + = + ดังนั้นในการหาคา m n+ ……………….พยายามจัดรูป m n+ ใหอยูในรูป ( ) 2a b ab+ + ใหได ตัวอยาง เชน 1. จงหาคา 5 24+ วิธีทํา 1) จัดรูป 5 24+ ใหอยูในรูป ( ) 2a b ab+ + 5 24 5 2 6+ = + (3 2) 2 (3)(2)= + + 2) 5 24 (3 2) 2 (3)(2)+ = + + 2 ( 3 2) 3 2 = + = + 2. จงหาคา 5 24− วิธีทํา 1) จัดรูป 5 24− ใหอยูในรูป ( ) 2a b ab+ − 5 24 5 2 6− = − (3 2) 2 (3)(2)= + − 2) 5 24 (3 2) 2 (3)(2)− = + − 2 ( 3 2) 3 2 = − = −
  • 10.
    10 3. ถา 1.361.64x< < แลว 2 1 2 1x x x x+ − + − − มีคาเทากับเทาใด วิธีทํา 1) ตรวจสอบ ที่ 1.36 1.64x< < 2 1 0, 2 1 0x x x x+ − > − − > 2) 2 1 2 1 [1 ( 1)] 2 (1)( 1) [1 ( 1)] 2 (1)( 1)x x x x x x x x+ − + − − = + − + − + + − − − 2 2 ( 1 1) ( 1 1) 1 1 1 1 2 x x x x = + − + − − = + − + − − = 4. คาของ 8 28+ และ 6 20− มีผลตางเทากับเทาใด วิธีทํา 1) หาคา 8 28+ 8 28 8 2 7+ = + 2 (7 1) 2 (1)(7) ( 7 1) 7 1 = + + = + = + 2) หาคา 6 20− 6 20 6 2 5− = − 2 (1 5) 2 (1)(5) ( 5 1) 5 1 = + − = − = − 3) 8 28 6 20 ( 7 1) ( 5 1)+ − − = + − − 7 5 2= − +
  • 11.
    11 5.ฟงกชันเอกซโปเนนเชียล ถา f เปนฟงกชันจากเซตของจํานวนจริงไปยังเซตของจํานวนจริงโดยที่ {( , ) | x f x y R R y a= ∈ × = เมื่อ 0a > และ 1}a ≠ เรียก f วา “ฟงกชันเอ็กซโปเนน เชียล” และเรียก a วา ฐาน กราฟของฟงกชันเอกโปเนนเชียล แบงเปน 2 กรณี คือ 1) กรณีที่ 0 1a< < โดเมน(D) R= เรนจ(R) { | 0}y R y= ∈ > 2) กรณีที่ 1a > โดเมน(D) R= เรนจ(R) { | 0}y R y= ∈ > ตัวอยาง เชน 1. จงเขียนกราฟของ {( , ) | 2 4}x f x y R R y= ∈ × = + วิธีทํา 1) จากสมการ 2 4x y = + จัดรูปใหม • (0,1),0 1x y a x= < < กราฟมีลักษณะเปนฟงกชันลด •(0,1) , 1x y a x= > กราฟมีลักษณะเปนฟงกชันเพิ่ม
  • 12.
    12 2 4 ( 4)2 x x y y = + ∴ − = จากกราฟ { | }fD x x R= ∈ { | 4}fR y R y= ∈ > 2. จงเขียนกราฟของ ( 1) {( , ) | 3 1}x f x y R R y − = ∈ × = − วิธีทํา 1) จากสมการ ( 1) 3 1x y − = − จัดรูปใหม ( 1) ( 1) 3 1 ( 1) 3 x x y y − − = − ∴ + = พิจารณากราฟ 2x y = และเลื่อนกราฟขึ้นบน 4 หนวย 4 • (0,5) พิจารณากราฟ 3x y = และเลื่อนกราฟขึ้นลงลาง 1 หนวย และเลื่อนกราฟมาทางขวา 1 หนวย 2 4x y = +
  • 13.
    13 จากกราฟ { |}fD x x R= ∈ { | 1}fR y R y= ∈ > − 3. จงหาเซตคําตอบของอสมการ 1 ( ) 9 3 x < วิธีทํา 1) วาดกราฟของ 1 ( ) 3 x y = 2) พิจารณาที่………… 1 ( ) 9 3 x = 2 (3) 3 2 x x − = ∴ = − จากกราฟ ที่ 1 2 ( ) 9 3 x x > − ⇒ < 1− 1 (1,0) • ( 1) 3 1x y − = − • (0,1) 2x = − 9 1 ( ) 3 x y =
  • 14.
    14 4. จงวาดกราฟของ {(, ) | 2 } x f x y R R y= ∈ × = วิธีทํา 5. จงวาดกราฟของ {( , ) | 2 }x f x y R R y= ∈ × = วิธีทํา 2 x y = 2 , 0x y x= ≥ 1 2 ( ) , 0 2 x x y x− = = < 2 , 0x y x= ≥1 ( ) , 0 2 x y x= < • (0,1) 2 , 0x y y= ≥ 2x y = 2 2 , 0 x x y y y − = = − < • (0,1) • (0, 1)− 2 , 0x y y= ≥ 2 , 0x y y= − <
  • 15.
    15 6.การแกสมการและอสมการของฟงกชันเอกซโปเนนเชียล ขออธิบายตามตัวอยางแลวแตกรณีดังนี้ 1. จงหาเซตคําตอบของสมการ (2 1) 328(3) 9 0x x+ − + = วิธีทํา (2 1) 2 2 3 28(3) 9 0 3 3 28(3) 9 0 3 (3 ) 28(3 ) 9 0 x x x x x x + − + = ⋅ − + = ⋅ − + = ให 3x A = 2 3 28 9 0 (3 1)( 9) 0 1 ,9 3 A A A A A − + = − − = = ∴เซตคําตอบคือ { 1,2}− 2. ถา 2 4(2 ) 3(2 ) 1 0x x + − = แลว 25x มีคาเทาใด วิธีทํา 2 4(2 ) 3(2 ) 1 0x x + − = ให 2x A = 2 4 3 1 0 (4 1)( 1) 0 1 , 1 4 A A A A A + − = − + = = − 1 1 3 3 3 3 1 x x x − = = ∴ = − 2 3 9 3 3 2 x x x = = ∴ =
  • 16.
    16 ∴เซตคําตอบคือ { 2}− ถา 2 2 11 2 25 25 25 625 x x − = − ⇒ = = = 3. จงหาคา x จากสมการ 3 2 1 25 9 3 25 x x− − ⎛ ⎞ ⎛ ⎞ =⎜ ⎟ ⎜ ⎟ ⎝ ⎠ ⎝ ⎠ วิธีทํา 3 2 1 2 13 2 2 2 2 3 2 2(1 ) 2 3 2 2(1 ) 2 3 2 2 5 9 3 25 5 3 3 5 5 3 3 5 5 5 3 3 5 5 3 3 3 2 2 x x x x x x x x x x x x − − −− − − − − − − − ⎛ ⎞ ⎛ ⎞ =⎜ ⎟ ⎜ ⎟ ⎝ ⎠ ⎝ ⎠ ⎛ ⎞⎛ ⎞ = ⎜ ⎟⎜ ⎟ ⎝ ⎠ ⎝ ⎠ ⎛ ⎞ ⎛ ⎞ =⎜ ⎟ ⎜ ⎟ ⎝ ⎠ ⎝ ⎠ ⎛ ⎞ ⎛ ⎞ =⎜ ⎟ ⎜ ⎟ ⎝ ⎠ ⎝ ⎠ ⎛ ⎞ ⎛ ⎞ =⎜ ⎟ ⎜ ⎟ ⎝ ⎠ ⎝ ⎠ ∴ − = − 3 2 0 0 x x x x = = = 2 1 2 4 2 2 2 x x x − = = ∴ = − 2 1x = − เนื่องจาก 2x เปน (+) เสมอ x∈∅
  • 17.
    17 4. ถา 1 21 5 5 3775 5x x x+ + − + = − แลว x เทากับเทาใด วิธีทํา 1 2 1 1 2 1 2 3 5 5 3775 5 5 5 5 3775 1 5 5 5 5 5 3775 5 1 5 [5 25 ] 3775 5 151 5 [ ] 3775 5 5 5 3775[ ] 151 5 125 5 5 3 x x x x x x x x x x x x x x x + + − + + − + = − + + = ⋅ + ⋅ + ⋅ = + + = = = = = ∴ = 5. จงหาผลบวกของคําตอบของสมการ 12 2(3 ) 9(4 ) 18 0x x x − − + = วิธีทํา 12 2(3 ) 9(4 ) 18 0 (3 )(4 ) 2(3 ) 9(4 ) 18 0 x x x x x x x − − + = − − + = ให 3x A = และ 4x B = 2 9 18 0 ( 2 ) (9 18) 0 ( 2) 9( 2) 0 ( 2)( 9) 0 9 AB A B AB A B A B B B A A − − + = − − − = − − − = − − = ∴ = หรือ 2B = 2 3 9 3 3 2 x x x = = ∴ = 2 1 4 2 2 2 2 1 1 2 x x x x = = = ∴ =
  • 18.
    18 เซตคําตอบ คือ 1 {2, } 2 ∴ผลบวกของคําตอบของสมการคือ 1 2 2.5 2 + = 6. จงหาเซตคําตอบของอสมการ 2 2 ( ) ( 3) 3 2 8 x x x − − < วิธีทํา 2 2 2 ( ) ( 3) 3 2 3( ) ( 3) 3 2 3 2 3 2 2 2 2 8 2 2 2 ( 3) 3( ) 3 3 2 3 3 3 2 0 ( 2)( 1) 0 1 3 ( 2)[( ) ] 0 2 4 ( 2) 0 2 x x x x x x x x x x x x x x x x x x x x x x − − − − < < − < − − < − − + − < − − + < − − + < − < ∴ < ∴เซตคําตอบ คือ ( ,2)−∞ 7.ฟงกชันลอการิทึม ฟงกชันลอการิทึม เปนฟงกชันผกผันของฟงกชันเอกซโปเนนเชียล ฟงกชันเอกซโปเนนเชียล {( , ) | x f x y R R y a= ∈ × = เมื่อ 0a > และ 1}a ≠ ฟงกชันผกผันของเอกซโปเนนเชียล 1 {( , ) | y f x y R R x a− = ∈ × = เมื่อ 0a > และ 1}a ≠ ฟงกชันลอการิทึม {( , ) | logag x y R R y x= ∈ × = เมื่อ 0a > และ 1}a ≠
  • 19.
    19 เรียกฟงกชัน g วาเปน ฟงกชันลอการิทึม และ เรียก a วาเปน “ฐานของลอการิทึม” พิจารณากราฟของฟงกชันลอการิทึม แบงเปนกรณีดังนี้ 1) กรณี 1a > โดเมน(D) { | 0}x x= > เรนจ(R) R= และกราฟเปนฟงกชันเพิ่ม 2) กรณี 0 1a< < โดเมน(D) { | 0}x x= > เรนจ(R) R= และกราฟเปนฟงกชันลด • (1,0) log , 1ay x a= > • (1,0) log ,0 1ay x a= < <
  • 20.
    20 ตัวอยางการวาดกราฟฟงกชันลอการิทึมแบบอื่นๆ มีดังนี้ 1. จงเขียนกราฟของ21 log ( 1)y x− = + วิธีทํา 2. จงเขียนกราฟของ 1 2 1 log ( 1)y x− = + วิธีทํา เขียนกราฟ 2logy x= ใหได ทําการเลื่อนแกน x,แกน y ไปทาซาย 1 หนวยและขึ้นบน 1 หนวย กราฟของ 21 log ( 1)y x− = + ใหได • (0,1) 21 log ( 1)y x− = + 1 1−
  • 21.
    21 3. จงเขียนกราฟ 3logyx= วิธีทํา เขียนกราฟ 1 2 logy x= ใหได ทําการเลื่อนแกน x,แกน y ไปทาซาย 1 หนวยและขึ้นบน 1 หนวย กราฟของ 1 2 1 log ( 1)y x− = + ใหได • (0,1) 1 2 1 log ( 1)y x− = + 1 1− 3logy x= 3log , 0y x x= ≥ 3log ( ), 0y x x= − <
  • 22.
    22 กราฟสมมาตรตามแกน y 4. จงเขียนกราฟ3logy x= วิธีทํา กราฟสมมาตรตามแกน x • (0,1) • (0, 1)− 3log , 0y x x= ≥ 3log ( ), 0y x x= − < 3logy x= 3log , 0y x y= ≥ 3log , 0y x y− = < • (0,1) 3log , 0y x y= ≥ 3log , 0y x y− = <
  • 23.
    23 สมบัติที่สําคัญของลอการิทึม กําหนดให 0, 0,0, 0,x y a b n R> > > > ∈ และ 1, 1a b≠ ≠ 1) log 1a a = 2) log 1 0a = 3) log ( ) log loga a axy x y= + 4) log ( ) log loga a a x x y y = − 5) log ( ) (log )n a ax n x= 6) log log log b a b x x a = 7) loga x a x= ตัวอยาง เชน 1. จงหาคาของ 3 3 log 10 3 วิธีทํา 3 33 3 log 10 log 10 log 3 3 3 3 ⎛ ⎞ ⎜ ⎟⎜ ⎟ ⎝ ⎠ = 3 3 2 3 3 log 10 log 3 log 10 3 2 3 3 ⎛ ⎞ ⎜ ⎟ ⎜ ⎟ ⎜ ⎟⎜ ⎟ ⎝ ⎠ ⎛ ⎞ ⎜ ⎟ ⎜ ⎟ ⎜ ⎟⎜ ⎟ ⎝ ⎠ = =
  • 24.
    24 3 3 2 log 10 3 2 log 103 2 3 3 3 (3 ) 10 100 = = = = 2. กําหนดให log2 0.3010= คาของ 4 4 2log 0.25 log 2 log0.16+ − มีคา ตรงกับขอใด วิธีทํา 4 4 2 1 4 4 2 log 0.25 log 2 log0.16 1 16 log log 2 log 4 100 + − ⎛ ⎞⎛ ⎞ ⎛ ⎞ = + −⎜ ⎟⎜ ⎟ ⎜ ⎟ ⎝ ⎠ ⎝ ⎠⎝ ⎠ ( ) ( ) ( )1 4 2 4 2 4 2 1 log 4 log 2 log16 log100 4 1 ( 1)(log 4) (log 2) log16 log100 4 1 ( 1) ( ) log(2 ) log(10 ) 4 1 ( 1) ( ) 4log2 2 4 1 ( 1) ( ) 2 4log2 4 5 4(0.3010) 4 1.25 1.204 0.046 − = + − − = − + − + = − + − + = − + − + = − + + − = − = − =
  • 25.
    25 3. จงหาคาของ 3 2 1 ( log121) 3 8 + วิธีทํา 3 32 2 1 1 ( log 121) log 1213 3 8 8 8 + = ⋅ 3 2 1 3 2 2 2 log 12133 3(log 121 ) 1 3( log 121) 3 (log 121) 8 (2 ) 2 2 2 2 2 2 2 121 242 = ⋅ = ⋅ = ⋅ = ⋅ = ⋅ = 4. จงหาคาของ 2 4 2log (log (log 16)) วิธีทํา ทําจากขางในออกไปขางนอก ดังนี้ 4 2 4 2 2 4 2log (log (log 16)) log (log (log 2 ))= 2 4 2 2 4 2 log (log (4log 2)) log (log 4) log 1 0 = = = = 5. จงหาคาของ 1 1 2 8 2 8 1 1 log 8 log 2 log ( ) log ( ) 8 2 + + + วิธีทํา ทําใหเปน log ฐาน 2 ทั้งหมด ดังนี้ 1 1 2 8 2 8 1 1 log 8 log 2 log ( ) log ( ) 8 2 + + + 2 2 2 2 2 2 2 1 log ( ) log 8 log 2 1 2log ( ) 1 1 8 log 8log ( ) log ( ) 2 8 3 1 ( 1) ( 3) ( 1) ( 3) 3 = + + + − = + + − + − −
  • 26.
    26 1 1 3 3 33 20 3 = − − − − = − 8.ลอการิทึมสามัญและลอการิทึมธรรมชาติ ลอการิทึมสามัญ คือ ลอการิทึมที่มีฐานเปน 10 เชน 10log x จะเขียนเปน log x ลอการิทึมธรรมชาติ คือ ลอการิทึมที่มีฐานเปน e (e เปนจํานวนอตรรกยะที่มีคาประมาณ 2.78182818) เชน loge x จะเขียนเปน ln x ตัวอยาง เชน 1. จงหาคา log20 วิธีทํา log20 log(2 10)= × log2 log10= + (0.301) 1= + 1.301= 2. จงหาคา log0.02 วิธีทํา เขียน log0.02 ใหอยูในรูป log( 10 )n a× เมื่อ 0 10a≤ ≤ และ n I∈ ดังนี้ 2 log0.02 log(2 10 )− = × เปดตารางlog a เมื่อ 0 10a≤ ≤ เราเรียกสวนนี้วา “คาแรกเตอริสติก”ของlog 20 เราเรียกสวนนี้วา “แมนทิสสา”ของlog 20
  • 27.
    27 2 log2 log(10 ) log2( 2) − = + = + − (0.301) 2 1.699 = − = 3. จงหาคา (2 ) ln e e + วิธีทํา ใชคุณสมบัติของ log ดังนี้ (2 ) ln (2 )(ln )e e e e+ = + (2 )(1) 2 e e = + = + 9.แอนตี้ลอการิทึม แอนตี้ลอการิทึมของ a เขียนแทนดวย loganti a มีความหมายคือ log 10a anti a = ตัวอยาง เชน 1. จงหา log(log2)anti วิธีทํา log2 log(log2) 10anti = 2= 2. จงหา log[(log75 log5) log2]anti − + วิธีทํา 75 2 log[(log75 log5) log2] log[log ] 5 anti anti × − + = เราเรียกสวนนี้วา “คาแรกเตอริสติก”ของlog0.02 เราเรียกสวนนี้วา “แมนทิสสา”ของlog0.02
  • 28.
    28 log30 log[log30] 10 30 anti= = = 10.การแกสมการและอสมการในรูปของลอการิทึม มีรายละเอียดตามแตละตัวอยางตอไปนี้ 1. จงหาเซตคําตอบของ 2 22 log(4 16) log( 4) logx x x− − − = วิธีทํา 2 2 2 2 2 2 2 2 2 2 2 2 2 2 log(4 16) log( 4) log 4 16 log( ) log( ) 4 4 16 4 4( 4) 4 4 4 0 ( 2)( 2) 0 2, 2 x x x x x x x x x x x x x x x x x − − − = − = − − = − − = − = − = − + = = − เมื่อตรวจสอบคําตอบแลวพบวาทั้ง x=2 และ x=-2 ทําใหเกิดคา log0 ซึ่งหาคาไมได 2x∴ = ± จึงไมใชคําตอบของสมการ ⇒เซตคําตอบ = ∅ 2. จงหาเซตคําตอบของ 2 2 3 log (log )x x+ = วิธีทํา 2 2 2 3 log (log ) 3 2(log ) (log ) x x x x + = + = ให logA x= นําคําตอบไปตรวจสอบคําตอบจากโจทย
  • 29.
    29 2 2 3 2 2 30 ( 3)( 1) 0 1,3 A A A A A A A + = − − = − + = = − ∴ เซตคําตอบ 1 { ,1000} 10 = 3. จงหาเซตคําตอบของสมการ 2log 4log 2 5xx + = วิธีทํา เปลี่ยน log 2x ใหเปน 2log x ดังนี้ 2 2 2 2 2 2 2 2 2 2 2 2 log 4log 2 5 log 2 log 4 5 log 4 log 5 log (log ) 4 5 log (log ) 4 5(log ) xx x x x x x x x x + = ⎛ ⎞ + =⎜ ⎟ ⎝ ⎠ ⎛ ⎞ + =⎜ ⎟ ⎝ ⎠ + = + = ให 2logA x= 1 log 1 10 1 10 x x x − = − = ∴ = 3 log 3 10 1000 x x x = = ∴ = เมื่อตรวจสอบคําตอบจากโจทยแลวสามารถหาคา log ได
  • 30.
    30 2 2 4 5 5 40 ( 4)( 1) 0 4,1 A A A A A A A + = − + = − − = = ∴ เซตคําตอบ {16,2}= 4. จงหาเซตคําตอบจากสมการ log( 1) log( 1) log3x x− + + = วิธีทํา ใชคุณสมบัติของ log ดังนี้ คือ 2 2 2 log( 1) log( 1) log3 log[( 1)( 1)] log3 log[ 1] log3 1 3 4 0 ( 2)( 2) 0 2, 2 x x x x x x x x x x − + + = − + = − = − = − = − + = ∴ = − ∴ เซตคําตอบ {2}= 2 4 log 4 2 16 x x x = = ∴ = 2 1 log 1 2 2 x x x = = ∴ = เมื่อตรวจสอบคําตอบจากโจทยแลวสามารถหาคา log ได เมื่อตรวจสอบคําตอบจากโจทยแลวสามารถหาคา log ไมได
  • 31.
    31 5. ถา 5loglog 2x x= จงหาคา x วิธีทํา 5 5 5 5 5 5 5 5 5 5 5 5 5 5 5 5 5 5 5 5 5 5 5 5 5 5 5 5 5 log log 2 log log 2 log log 10 log log 2 log [log 2 log 5] log log 2 log log 2 1 log log log 2 log 2 1 1 log [ 1] log 2 log 2 1 ( log 2) log [ ] log 2 log 2 1 ( 1) log [ ] 1 log 2 1 log (log 2 1) l x x x x x x x x x x x x x x = = + = + + = + + − = + − = + − = + − = + = − + 5 5 1 5 5 5 5 og log 10 log log (10 ) 1 log log 10 1 10 x x x x − = − = ⎛ ⎞ = ⎜ ⎟ ⎝ ⎠ ∴ = ∴ 1 10 x = เมื่อตรวจสอบคําตอบจากโจทยแลวสามารถหาคา log ได
  • 32.
    32 6. ถา 2 log( 1)2log 1x x+ − = แลวจงหาคา x วิธีทํา 2 2 2 2 2 2 2 2 2 2 log( 1) log( ) 1 1 log[ ] 1 1 10 1 10 1 9 1 9 1 1 , 3 3 x x x x x x x x x x x + − = + = + = + = = = ∴ = − ∴ 1 3 x = 7. จงหาเซตคําตอบของอสมการ ( )2 (4 2) log(1 ) 0x x− − > วิธีทํา 1) กรณีที่ 1 (4 2) 0x − > และ 2 log(1 ) 0x− > ∴ x∈∅ เมื่อตรวจสอบคําตอบจากโจทยแลวสามารถหาคา log ไมได 2 1 4 2 0 4 2 2 2 2 1 1 2 x x x x x − > > > > > 2 2 0 2 2 log(1 ) 0 (1 ) 10 (1 ) 1 0 x x x x x − > − > − > < ∴ ∈∅
  • 33.
    33 2) กรณีที่ 2(4 2) 0x − < และ 2 log(1 ) 0x− < ∴ 1 ( 1,0) (0, ) 2 x∈ − ∪ 8. จงหาเซตคําตอบของอสมการ 2 40 log ( 5) 1x< − < วิธีทํา 2 4 0 2 1 2 2 0 log ( 5) 1 4 5 4 1 5 4 6 9 ( 6,3) ( 3, 6) x x x x x < − < < − < < − < < < ∴ ∈ ∪ − − 9. จงหาเซตคําตอบของอสมการ 2 2 log (2 1) log ( 1)x xx x x+ − < + วิธีทํา แบงเปนกรณีดังนี้ 1) กรณีที่ 1 0 1x< < 2 2 2 2 2 log (2 1) log ( 1) (2 1) ( 1) 2 0 ( 2)( 1) 0 ( , 2) (1, ) x xx x x x x x x x x x x + − < + + − > + + − > + − > ∴ ∈ −∞ − ∪ ∞ x∈∅ 2 1 4 2 0 4 2 2 2 2 1 1 2 x x x x x − < < < < ∴ < 2 2 0 2 2 log(1 ) 0 0 (1 ) 10 0 (1 ) 1 0 1 ( 1,0) (0,1) x x x x x − < < − < < − < < < ∴ ∈ − ∪
  • 34.
    34 2) กรณีที่ 21x > 2 2 2 2 2 log (2 1) log ( 1) (2 1) ( 1) 2 0 ( 2)( 1) 0 ( 2,1) x xx x x x x x x x x x x + − < + + − < + + − < + − < ∴ ∈ − x∈∅ จากทั้ง 2 กรณี เซตคําตอบคือ ∅ แบบฝกหัด 1. จงหาคาของเลขยกกําลังตอไปนี้ 1.1) 2 3 4 5 2 ( 3) 3 ( 3) 2 3 2 ( 3)− − − − − × + × − 1.2) 2 4 4 5 2 ( 3)× + × −
  • 35.
    35 1.3) 5 2 4 24 ( 4) ( 5) 2 3 5 − × − × × 1.4) 3 4 5 2 2 1 2 2 2 8 9 27n n x x y x y y+ − × × × 1.5) 3 10 10 2 4 (6 49 4 )(4 7 6 )− − × × × × 1.6) 2 2 2 3 1 2 7 7 7n n n n n− + − − × ×
  • 36.
    36 1.7) ( 2)6 48 2 6 7 4 2 4 7 4 12 6 3 4 9 a b c a b c a b c a b c −− − ⎛ ⎞ ÷⎜ ⎟ ⎝ ⎠ 1.8) 12 75 1.9) 33 54 4 1.10) 3 9 27
  • 37.
    37 1.11) 2 2 23 533 54 (125) (81) 2( 216) 2(4)+ − + 1.12) 2 7 11 1 3 6 6 4 23 9 32 2 (3 )x y z y x y z − − × × 1.13) 1 3 2 23 2 3 2 2 3 ( ) ( 2 ) ( ) a b a ab b a b a b − − × + + − × +
  • 38.
    38 1.14) 1 2 21 2 2 1 4 9 3 2 9 2 4 3 n n n n n n n n + + + + ⋅ + ⋅ ⋅ + ⋅ 1.15) 1 2 729 81 27 243 n n n n n ⎛ ⎞+ ⎜ ⎟ +⎝ ⎠
  • 39.
    39 1.16) 12 235+ 1.17) 7 48− 1.18) 6 35−
  • 40.
    40 1.19) 1 1 10 2 52 6 2 3 2 n n n n − + ⋅ − ⋅ ⋅ + ⋅ 1.20) 50 32 18+ − 1.21) 3 3 3 5 4 2 32 108+ −
  • 41.
    41 2. จงหาวาจํานวนตอไปนี้จํานวนใดมีคานอยที่สุด 65 10452 3 ,2 ,7 3. ถา , ,x y z เปนจํานวนจริงที่ไมเทากับ 0 และ 2 2 3 4 6x y z− = = แลว 1 1 1 x y z + + มีคาเทากับเทาใด
  • 42.
    42 4. ถาเขียน 3 6 3 2 12 ไดในรูป 1 ()n a โดยที่ a และ n เปนจํานวนเต็มบวกแลว จงหาคาของ a และ n 5. จงเขียน 1 2 2 3+ ใหตัวสวนอยูในรูปไมติดกรณฑ
  • 43.
    43 6. จงหาคาของ 1 11 1 ... 1 2 2 3 3 4 2011 2012 + + + + + + + + 7. ให 6 3 6 3 x + = − และ 6 3 6 3 y − = + จงหาคาของ 2 2 4x xy y− +
  • 44.
    44 8. จงหารากที่สองของ 2 41 2 3 5 2x x x− + − − 9. จงพิจารณาขอความตอไปนี้เปนจริงหรือไม 9.1) 2 3 5 5< 9.2) 4 5 1 1 3 3 ⎛ ⎞ ⎛ ⎞ <⎜ ⎟ ⎜ ⎟ ⎝ ⎠ ⎝ ⎠
  • 45.
    45 9.3) ( )( ) 7 5 sin1 sin1° < ° 9.4) ( ) ( ) 2 5 tan 46 tan 46° < ° 9.5) ถา 48 36 2 , 3a b= = และ 24 5c = แลว 1 1 1 a b c > >
  • 46.
    46 10. จงพิจารณาวาฟงกชัน 2 2 ( ) 3 x fx ⎛ ⎞ = −⎜ ⎟ ⎝ ⎠ เปนฟงกชันเพิ่มหรือฟงกชันลด 11. ขอใดเปนฟงกชันลด ก) 1 2 x y ⎛ ⎞ = ⎜ ⎟ ⎝ ⎠ ข) 1 2x y − = ค) 2 1 3 x y + = ง) 1 3 x y − ⎛ ⎞ = ⎜ ⎟ ⎝ ⎠
  • 47.
  • 48.
    48 12.3) 7 31x x+ = + 12.4) 1 3 27 x =
  • 49.
    49 12.5) 5 125x ≤ 12.6) 281 3 16 x ⎛ ⎞ ≥⎜ ⎟ ⎝ ⎠
  • 50.
    50 12.7) 2 5 3 1 1 327 x x+ + ⎛ ⎞ <⎜ ⎟ ⎝ ⎠ 12.8) 2 2 2 9(2 ) 2 0x x+ − + =
  • 51.
    51 12.9) 23 (3 ) 20 4 x x − = 12.10) 4 1 4 1 6 1 2 9 25 625x x x x− − − ⋅ ⋅ =
  • 52.
    52 12.11) ( ) 2 21 3 2 3 2 x x+ − + = − 12.12) 9(4 ) 12(6 ) 4(9 ) 0x x x − + =
  • 53.
    53 12.13) 1 6 33 2 9x x x+ + − ⋅ = 12.14) 5 3 (0.25) (0.5)x x− + >
  • 54.
    54 12.15) 3 162 81 5 36x x x ⋅ + ⋅ ≤ ⋅ 12.16) 2 2 ( ) ( 3) 3 2 8 x x x − − <
  • 55.
    55 13. จงหาคาตอไปนี้ ก) 7log 3 7 ข) 33 log (10) 3 ค) 2 3 1 4 log 64 ง) 5log 25 5log 25
  • 56.
    56 14. จงหาคาของ 36log5 เมื่อให 6log 5 0.8982= 15. กําหนดให log 2 0.3010= และ log3 0.4771= จงหาคาตอไปนี้ 15.1) log8 15.2) log9
  • 57.
    57 15.3) log 6 15.4)log300 15.5) log0.02 15.6) log120
  • 58.
    58 16. กําหนด log3.510.5453= จงหาคาของ 16.1) log3510 16.2) log0.351 17. จงหาคาของ 2 3 1 4 1 log 16 log log 64 9 + −
  • 59.
    59 18. จงหาคาของ 393 log 6 log 15 log 400+ − 19. จงหาคาของ 8log2 6log5 log 4 log10− +
  • 60.
    60 20. จงหาคาของ 33 3 3 3log 120 log 80 log 27 log 24 log 16− + − + 21. จงหาคาของ 3 4 5 2011log 4 log 5 log 6 ... log 2012⋅ ⋅ ⋅ ⋅
  • 61.
    61 22. จงหาคาของ ln10 ln5 e− 23. จงหาวา 15 875 มีกี่หลัก เมื่อกําหนดให log8.75 0.9420=
  • 62.
    62 24. จงหาคาของ ln2 ln10 ln 20+ − 25. ขอใดเปนฟงกชันลดบาง ก) log(3 )x y = ข) log3 2 x y = ค) log(2 ) 1 2 x y ⎛ ⎞ = ⎜ ⎟ ⎝ ⎠ ง) 1 2 log (2 )y x=
  • 63.
    63 26. 200 2 เปนเลขจํานวนเต็มที่มีกี่หลักโดยกําหนดให log 2 0.3010= 27. จงหาคาของ ก) ln e ข) 1 ln e ค) ln3 2ln5 e +
  • 64.
  • 65.
    65 28.3) 2 log( 1)2log 1x x+ − = 28.4) 27 9 1 log ( 1) log ( 1) 6 x x− − − =
  • 66.
    66 28.5) 2 8 32log log log ( 2 ) 0x x− = 28.6) 2 2 16 9log 3x x x+ − =
  • 67.
    67 28.7) 0.5 0.5log( 5) log (2 3)x x− > − 28.8) 3 3log ( 2) log (3 6)x x+ ≤ −
  • 68.
    68 28.9) 3log 4log3 3 0xx − + = 28.10) 2 7log ( 2 ) 4 3 2log log log 7 0x x+ =
  • 69.
    69 28.11) 1 2 log16 2 10x + = 28.12) log log 43 25 3 4 12 x x ⎛ ⎞ ⎛ ⎞ + =⎜ ⎟ ⎜ ⎟ ⎝ ⎠ ⎝ ⎠
  • 70.
    70 28.13) 2 5 log log2 2 xx + = 28.14) log 28 log 325 log 91 logx x x x+ − =
  • 71.
    71 28.15) 2 1 1 2 2 log( 2 ) log 3x x− > 28.16) 2 1 1 2 2 2log (3 4) log ( 8) 2x x x+ − + + ≥ −
  • 72.
    72 28.17) 1 3 0 log2 3x< < 28.18) 2 1log (5 ) 2x x x+ − ≥
  • 73.
    73 28.19) 1 3 2 log[log ( 1)] 1x + > − 28.20) log(3 4) log( 1) 1x x+ > − +
  • 74.
    74 28.21) 2 2 4 1 1 log(2 1) log ( ) 2 2 x x− − + < 28.22) 2 (4 2)log(1 ) 0x x− − >