Bab 2: Model Matematis Sistem Dinamis                       EL303 Sistem Kendali
_____________________________________________________________________________


               MODEL MATEMATIS
                SISTEM DINAMIS




              PENDAHULUAN



              KLASIFIKASI SISTEM



              MODEL MATEMATIS SISTEM FISIS



              PEMODELAN STATE SPACE




Teknik Elektro ITB                   [EYS- 98]                    hal 1 dari 28
_____________________________________________________________________________
Bab 2: Model Matematis Sistem Dinamis                       EL303 Sistem Kendali
_____________________________________________________________________________


                       PENDAHULUAN


 Untuk analisis dan desain sistem kendali, sistem fisis harus
  dibuat model fisisnya.

 Model fisis harus dapat menggambarkan karakteristik dinamis
  sistem tsb secara memadai.


 Model matematis diturunkan dari hukum-hukum fisis sistem
  ybs.
  - Dinamika sistem mekanis dimodelkan dengan hukum-hukum
    Newton.
  - Dinamika sistem elektrik dimodelkan dengan hukum-hukum
    Kirchoff, Ohm.

 Model matematis suatu sistem: kumpulan persamaan yang
  menggambarkan dinamika suatu sistem secara memadai.

 Model matematis dapat meningkat akurasinya dengan
  memodelkan secara lebih lengkap, bila diperlukan dalam
  analisis yang teliti.


 Perlu kompromi antara kesederhanaan model dengan akurasi
  hasil analisis.




Teknik Elektro ITB                   [EYS- 98]                    hal 2 dari 28
_____________________________________________________________________________
Bab 2: Model Matematis Sistem Dinamis                       EL303 Sistem Kendali
_____________________________________________________________________________



 Kesederhanaan model dicapai dengan memperhatikan faktor-
  faktor penting saja dalam pemodelan.


   - Pemodelan dengan persamaan differential (bukan parsial),
     akan menghilangkan sifat-sifat nonlinear tertentu dan
     parameter-parameter terdistribusi yang mungkin ada pada
     sistem.
   - Pemodelan suatu komponen pada frekuensi rendah tidak
     dapat digunakan pada frekuensi tinggi.


 Suatu sistem yang memiliki model matematis sama tidak selalu
  menggambarkan model fisis yang sama (Misal: analogi sistem
  mekanis dengan sistem elektrik).

 Dua pendekatan analisis :
  - Fungsi Alih (Tradisional, untuk sistem SISO)
  - State Space (Modern, untuk sistem modern, misal MIMO)




Teknik Elektro ITB                   [EYS- 98]                    hal 3 dari 28
_____________________________________________________________________________
Bab 2: Model Matematis Sistem Dinamis                       EL303 Sistem Kendali
_____________________________________________________________________________


                 KLASIFIKASI SISTEM




   - LINEAR VS NONLINEAR


   - TIME-INVARIANT VS TIME-VARYING


   - CONTINUOUS-TIME VS DISCRETE-TIME


   - DETERMINISTIC VS STOCHASTIC


   - LUMPED- VS DISTRIBUTED - PARAMETERS


   - TRANSFER FUNCTION VS STATE SPACE




Teknik Elektro ITB                   [EYS- 98]                    hal 4 dari 28
_____________________________________________________________________________
Bab 2: Model Matematis Sistem Dinamis                       EL303 Sistem Kendali
_____________________________________________________________________________


   - LINEAR VS NON-LINEAR


   - Sistem fisis umumnya bersifat nonlinear dalam tingkat
     tertentu.

   - Untuk daerah kerja yang kecil, sistem nonlinear dapat
     dianggap linear (piece-wise linearisation)




                          Daerah linear




   - Sistem linear : berlaku hukum superposisi:
     - respons suatu sistem terhadap beberapa input berbeda
        merupakan kombinasi respons masing-masing input.

   - Pengujian kelinearan suatu sistem melalui input sinusoidal.

   - Dalam beberapa hal elemen-elemen nonlinear sengaja
     disertakan dalam sistem kendali untuk optimasi unjuk kerja.
     - Relay on-off dipakai pada sistem kontrol optimal waktu,
        sistem kendali pesawat dan sistem peluru kendali.




Teknik Elektro ITB                   [EYS- 98]                    hal 5 dari 28
_____________________________________________________________________________
Bab 2: Model Matematis Sistem Dinamis                       EL303 Sistem Kendali
_____________________________________________________________________________




TIME-INVARIANT VS TIME-VARYING

   - Sistem time-invariant memiliki parameter-parameter yang
     konstan, tak tergantung waktu.

   - Respons nya tak tergantung pada saat kapan input diberikan.

   - Sistem time-varying memiliki satu atau lebih parameter yang
     berubah terhadap waktu.

   - Respons nya tergantung pada waktu diberikan input.

   - Contoh Sistem Kendali Time-varying:
     Sistem kendali pesawat ruang angkasa : bobotnya berkurang
     akibat konsumsi bahan bakar.




CONTINUOUS-TIME VS DISCRETE-TIME
   - Sistem kontinyu waktu : memiliki semua variabel / sinyal
     yang kontinyu terhadap waktu.

   - Sistem diskrit waktu : memiliki satu atau lebih variabel /
     sinyal yang diskrit terhadap waktu.




Teknik Elektro ITB                   [EYS- 98]                    hal 6 dari 28
_____________________________________________________________________________
Bab 2: Model Matematis Sistem Dinamis                       EL303 Sistem Kendali
_____________________________________________________________________________


DETERMINISTIC VS STOCHASTIC

   - Sistem deterministik memiliki respons terhadap suatu input
     yang dapat ditebak dan berulang / konsisten.

   - Sistem stokastik: respons terhadap input yang sama tidak
     selalu menghasilkan output yang sama.




LUMPED- VS DISTRIBUTED – PARAMETERS

   - Pemodelan komponen yang sederhana bila dapat dianggap
     bahwa parameter-parameter komponen tsb dapat dimodelkan
     secara terkumpul disatu titik.

   - Dicirikan dengan persamaan differensial biasa.

   - Pemodelan parameter terdistribusi lebih tepat digunakan,
     misalnya pada sistem transmisi.

   - Dicirikan dengan persamaan differensial parsial.




Teknik Elektro ITB                   [EYS- 98]                    hal 7 dari 28
_____________________________________________________________________________
Bab 2: Model Matematis Sistem Dinamis                       EL303 Sistem Kendali
_____________________________________________________________________________


TRANSFER FUNCTION VS STATE SPACE


   - Analisis sistem sederhana, SISO yang bersifat linear,
     kontinyu, time-invariant, lumped-parameters, deterministik,
     dapat dilakukan melalui pendekatan tradisional (fungsi alih)
     yang merupakan domain frekuensi kompleks. Alat bantu
     analisis dan perancangan dapat berupa Root Locus (domain
     waktu), Bode Plot atau Nyquist (domain frekuensi).


   - Untuk sistem modern yang kompleks dan berakurasi tinggi
     (ditandai dengan MIMO, non-linear, time-varying, optimal,
     robust) harus digunakan pendekatan state space yang bersifat
     domain waktu.




Teknik Elektro ITB                   [EYS- 98]                    hal 8 dari 28
_____________________________________________________________________________
Bab 2: Model Matematis Sistem Dinamis                       EL303 Sistem Kendali
_____________________________________________________________________________


Model Matematis untuk Rangkaian Elektrik(1)

          L              R                                    Hukum Fisis : Kirchoff
                                                        Persamaan dinamis sistem
                             c                          / Persamaan differensial
   ei                                       eo
                                                            di       1
                                                                Ri   idt  ei
           i
                                                        L
                                                            dt       c
                                                        1
                                                        c
                                                           idt  eo


Dalam bentuk Laplace : (anggap kondisi mula = 0)

                                 1
        sLI ( s)  RI ( s)         I ( s)  Ei ( s)
                                 Cs

         1                          I (s)
             I ( s )  Eo ( s )           sEo ( s)
        sC                            C
                                   I (s)
        s 2 LI ( s )  RsI ( s )          sEi ( s )
                                     c

Fungsi alih :


                         I (s)
   Eo ( s )                C                 1
                                   
   E i (s)  2            1          LCs 2  RCs  1
               s L  Rs   I ( s)
                         C



Teknik Elektro ITB                   [EYS- 98]                    hal 9 dari 28
_____________________________________________________________________________
Bab 2: Model Matematis Sistem Dinamis                       EL303 Sistem Kendali
_____________________________________________________________________________


Model Matematis untuk Rangkaian Elektrik (2)

                  R                L1


       e(t)                         C+
                                     -                 L2 e0(t)
                  i1(t)                     i2(t)




                             di1
          e(t )  Ri1  L1        e0               (1)
                             dt
                    di2
          e0  L2                                   ( 2)
                    dt



          ic  i1 (t )  i2 (t )
                   d (t )
          ic  C e 0
                      dt
                                           i1  i2  C
                                                        de0
                                                        dt
                                                                       (3)




Teknik Elektro ITB                   [EYS- 98]                    hal 10 dari 28
_____________________________________________________________________________
Bab 2: Model Matematis Sistem Dinamis                       EL303 Sistem Kendali
_____________________________________________________________________________

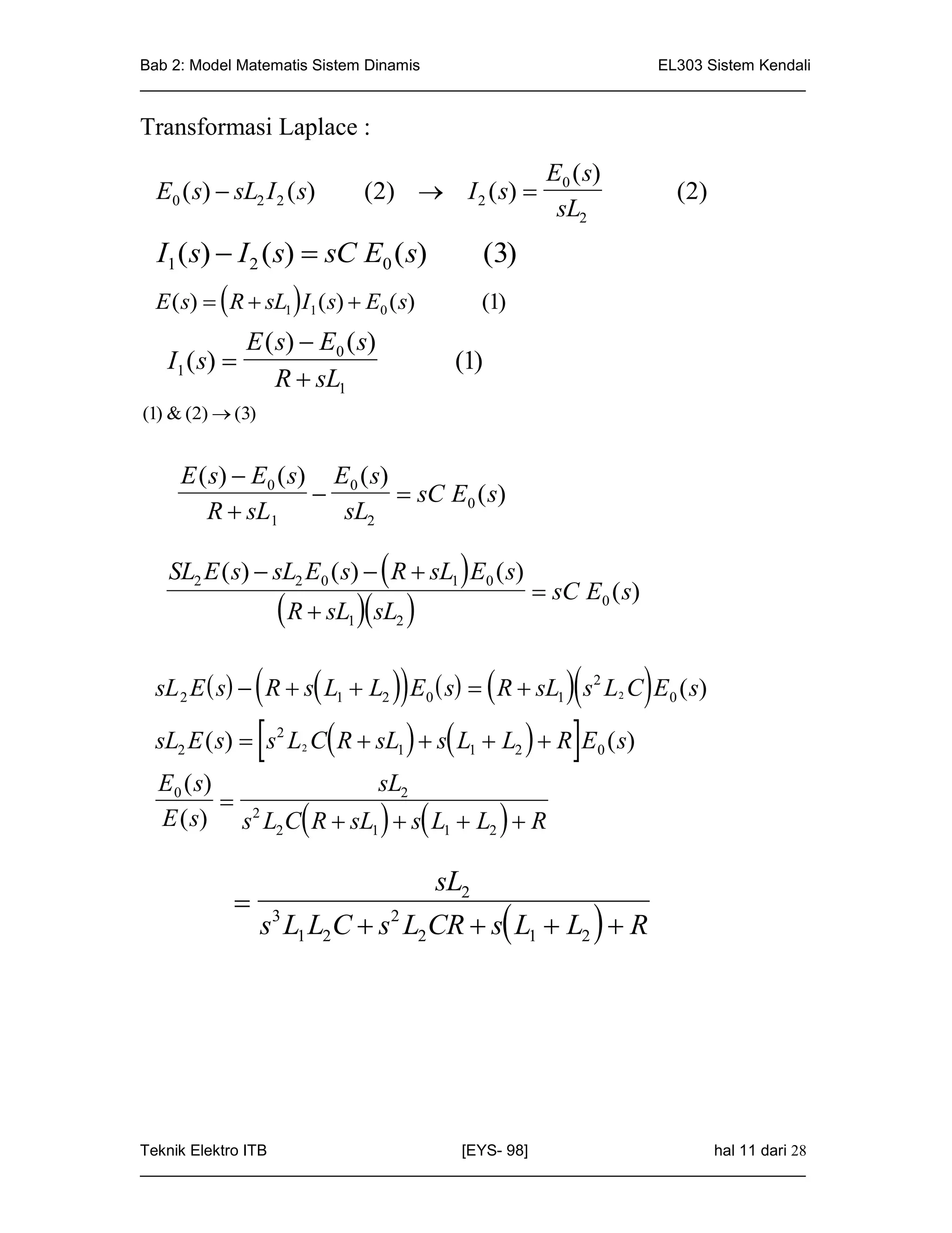
Transformasi Laplace :
                                                           E0 ( s)
 E0 ( s)  sL2 I 2 ( s)          (2)  I 2 ( s)                         ( 2)
                                                            sL2
  I1 ( s)  I 2 ( s)  sC E0 ( s)                (3)
 E ( s)   R  sL1  I1 ( s)  E0 ( s)         (1)
               E ( s)  E0 ( s)
   I1 ( s)                                (1)
                   R  sL1
(1) & (2)  (3)


     E ( s)  E0 ( s) E0 ( s)
                              sC E0 ( s)
        R  sL1        sL2

   SL2 E ( s)  sL2 E0 ( s)   R  sL1  E0 ( s)
                                                           sC E0 ( s)
                     R  sL sL 
                             1      2



                                              
 sL 2 E  s  R  s L1  L2  E0  s   R  sL1  s2 L2 C E0 ( s)

 sL E ( s)   s L C R  sL   s L  L   R E ( s)
    2
                    2
                        2           1       1         2          0

  E0 ( s)               sL2
           2
  E ( s) s L2 C R  sL1   s L1  L2   R

                                          sL2
            
                  s3 L1 L2 C  s2 L2 CR  s L1  L2   R




Teknik Elektro ITB                   [EYS- 98]                    hal 11 dari 28
_____________________________________________________________________________
Bab 2: Model Matematis Sistem Dinamis                       EL303 Sistem Kendali
_____________________________________________________________________________


Model Matematis untuk Rangkaian Elektrik (3)



                      i2     R2                 Op Amp ideal :
                                                Zin = ~
       R1                                              Sehingga i0 = 0
                             -
ei     i1     ex      i0
                             +      eo          ex ~0virtual ground,
                                                sehingga
                                                  i   1       i   2




Persamaan Rangkaian:

     ei  ex ex  eo   e  e
                     i  o
        R1     R2     R1  R2


Diperoleh:


                     R2
            eo        e:
                     R1




Teknik Elektro ITB                   [EYS- 98]                    hal 12 dari 28
_____________________________________________________________________________
Bab 2: Model Matematis Sistem Dinamis                       EL303 Sistem Kendali
_____________________________________________________________________________


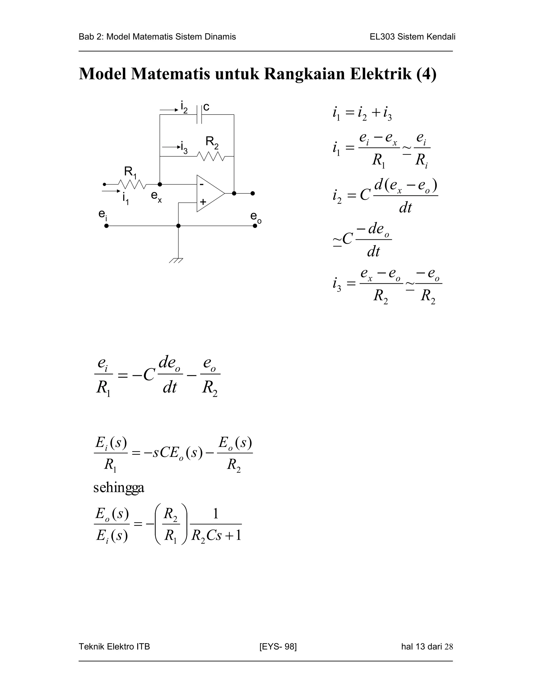
Model Matematis untuk Rangkaian Elektrik (4)
                     i2   c                           i1  i2  i3
                                                             ei  e x ei
                     i3    R2
                                                      i1            ~
                                                                R1     Ri
         R1
                          -                                  d (e x  eo )
         i1    ex
                          +
                                                      i2  C
    ei                              eo
                                                                  dt
                                                           de o
                                                      ~C
                                                            dt
                                                          e e e
                                                      i3  x o ~ o
                                                             R2       R2



   ei      deo eo
       C    
   R1      dt R2


   Ei ( s )                 E ( s)
              sCEo ( s )  o
    R1                       R2
   sehingga
   Eo ( s )    R      1
              2 
                R  R Cs  1
   Ei ( s )     1 2




Teknik Elektro ITB                   [EYS- 98]                    hal 13 dari 28
_____________________________________________________________________________
Bab 2: Model Matematis Sistem Dinamis                       EL303 Sistem Kendali
_____________________________________________________________________________


Model Matematis untuk Sistem Mekanis:
Translasi(1)
         u input                               pada t < 0 : sistem tak bergerak
                                               pada t = 0 gerobak di gerakan
                                    y output   dengan
                                               kecepatan konstan
           k
                      m
                                                du
               b                                    kons tan
                                                dt

                                               y = output relatif terhadap
                                               ground


                      d2y    dy du 
                     m 2  b    k  y  u   0
                      dt     dt dt 
                      d2y   dy        du
                     m 2  b  ky  b     ku
                      dt    dt        dt

Laplace :

                     ms   2
                                      
                             bs  k Y ( s)  bs  k U ( s)
                     Y ( s)       bs  k
                            
                     U ( s) ms 2  bs  k




Teknik Elektro ITB                   [EYS- 98]                    hal 14 dari 28
_____________________________________________________________________________
Bab 2: Model Matematis Sistem Dinamis                       EL303 Sistem Kendali
_____________________________________________________________________________




Model untuk Sistem Mekanis : Translasi(2)


                                x

             k
                            m             gaya luar f
         b


Hukum Newton kedua :                                    M = massa, (kg)
                          ma   F                      A = percepatan, m / s2
                                                        F = gaya, N
                   d2x     dx
                 m       b  kx  f
                   d 2    dt

Laplace :

                 ms2 X ( s)  bs X ( s)  kX ( s)  F ( s)

Diperoleh Fungsi Alih:
                   X ( s)     1
                           2
                   F ( s) ms  bs  k

Ambil :
                 f = (t) , sehingga F(s) = 1; m= 1; b=2; k = 1

                             1              1
             X ( s)                
                        s2  2 s  1 ( s  1)( s  1)
Teknik Elektro ITB                   [EYS- 98]                    hal 15 dari 28
_____________________________________________________________________________
Bab 2: Model Matematis Sistem Dinamis                       EL303 Sistem Kendali
_____________________________________________________________________________


Model Matematis untuk Sistem Mekanis: Rotasi

                              J   T

                              J = momen inersia beban kg m2
                               = percepatan sudut beban rad / s2
                               T = torsi yang diberikan pada sistem Nm




                                                           J
                               T                                   w

                                                                       b

      d 2     d
    J 2 b        T
       dt      dt                             = kecepatan sudut rad / s
    atau :                                    = simpangan sudut (rad)

      d
    J       b  T
       dt




Teknik Elektro ITB                   [EYS- 98]                    hal 16 dari 28
_____________________________________________________________________________
Bab 2: Model Matematis Sistem Dinamis                       EL303 Sistem Kendali
_____________________________________________________________________________


Model Matematis untuk Generator DC :
                     Rf                          Rg                 Lg


          ef                                      eg                     ea         zL
                                Lf
                                                            ia
               if
     if = arus medan              n                     ia = arus jangkar
 Kecepatan konstan n
 Arus output ia dapat dikontrol dari besarnya arus if

 eg  k1  n  
   k2  i f
                             eg  k g  i f                                  (1)



                                  Konstanta generator



KVL pada kiri/input :


                        dif
e f : R f i f  L f
 (1)                                                         ( 2)
                        dt
                 eg
         if                                                (3)
                 kg
Substitusi (3) - (2):

            eg       L f deg
ef  Rf          
            kg         k g dt

Teknik Elektro ITB                   [EYS- 98]                    hal 17 dari 28
_____________________________________________________________________________
Bab 2: Model Matematis Sistem Dinamis                       EL303 Sistem Kendali
_____________________________________________________________________________

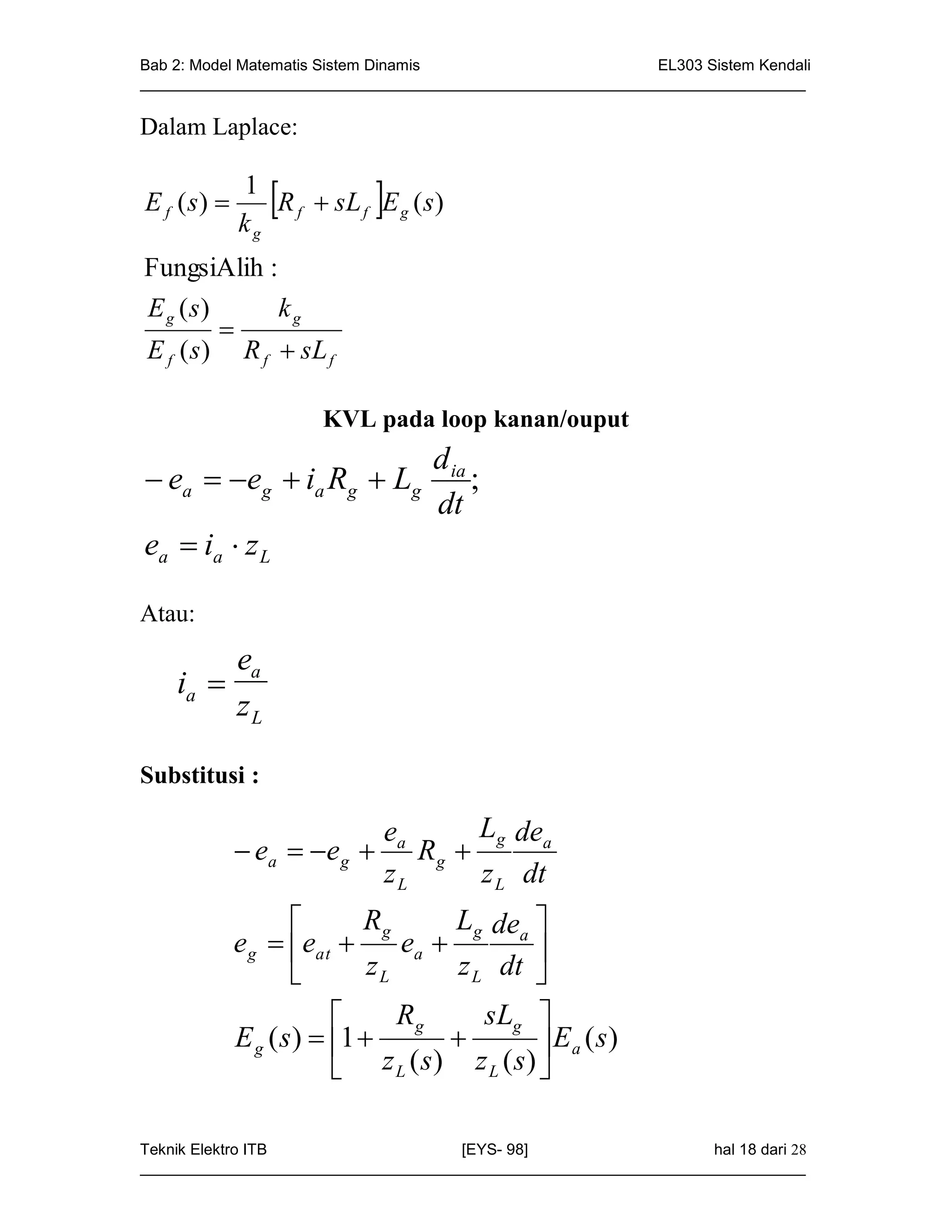
Dalam Laplace:


E f ( s) 
             1
             kg
                           
                R f  sL f E g ( s )

FungsiAlih :
E g (s)       kg
         
E f ( s ) R f  sL f

                      KVL pada loop kanan/ouput
                                   d ia
 ea  eg  ia Rg  Lg                 ;
                                   dt
ea  ia  z L

Atau:
         ea
    ia 
         zL

Substitusi :

                           ea     Lg dea
              ea   e g  R g 
                           zL     z L dt
                           Rg        Lg dea 
             e g  eat         ea          
                            zL        z L dt 
                               Rg        sLg 
             E g ( s )  1                   Ea ( s)
                             z L ( s) z L (s) 

Teknik Elektro ITB                   [EYS- 98]                    hal 18 dari 28
_____________________________________________________________________________
Bab 2: Model Matematis Sistem Dinamis                       EL303 Sistem Kendali
_____________________________________________________________________________




          z L ( s) 
                   E ( s)
          z L ( s)  a

Diperoleh:


       Ea ( s)           z L ( s)
               
       E g ( s) z L ( s)  Rg  Lg s


Sehingga :

Ea ( s) E g ( s) Ea ( s)
                x
E f ( s) E f ( s) E g ( s)
             Rg                   z L ( s)
                    x
           R  sLf       z L ( s)  Rg  sLg




Teknik Elektro ITB                   [EYS- 98]                    hal 19 dari 28
_____________________________________________________________________________
Bab 2: Model Matematis Sistem Dinamis                       EL303 Sistem Kendali
_____________________________________________________________________________


Model Matematis untuk Motor DC dengan
Pengontrolan Arus Jangkar

                               rangkaian jangkar
           Rm            Lm


   ea                         em         o(t)       simpangan sudut
                  ia

                                                  J  inersia
               ia = arus jangkar Lf
                                                  B= damping
                                          If

                                       Ef = konstan
                              if = arus medan


em = tegangan terinduksi

     em  k1    n             n= kecepatan rotasi (putaran)motor



          k2  i f             = konstan
If = konstan


sehingga
                      do
     em  ke  n  ke                      ke = konstanta tegangan motor
                       dt

Teknik Elektro ITB                   [EYS- 98]                    hal 20 dari 28
_____________________________________________________________________________
Bab 2: Model Matematis Sistem Dinamis                       EL303 Sistem Kendali
_____________________________________________________________________________




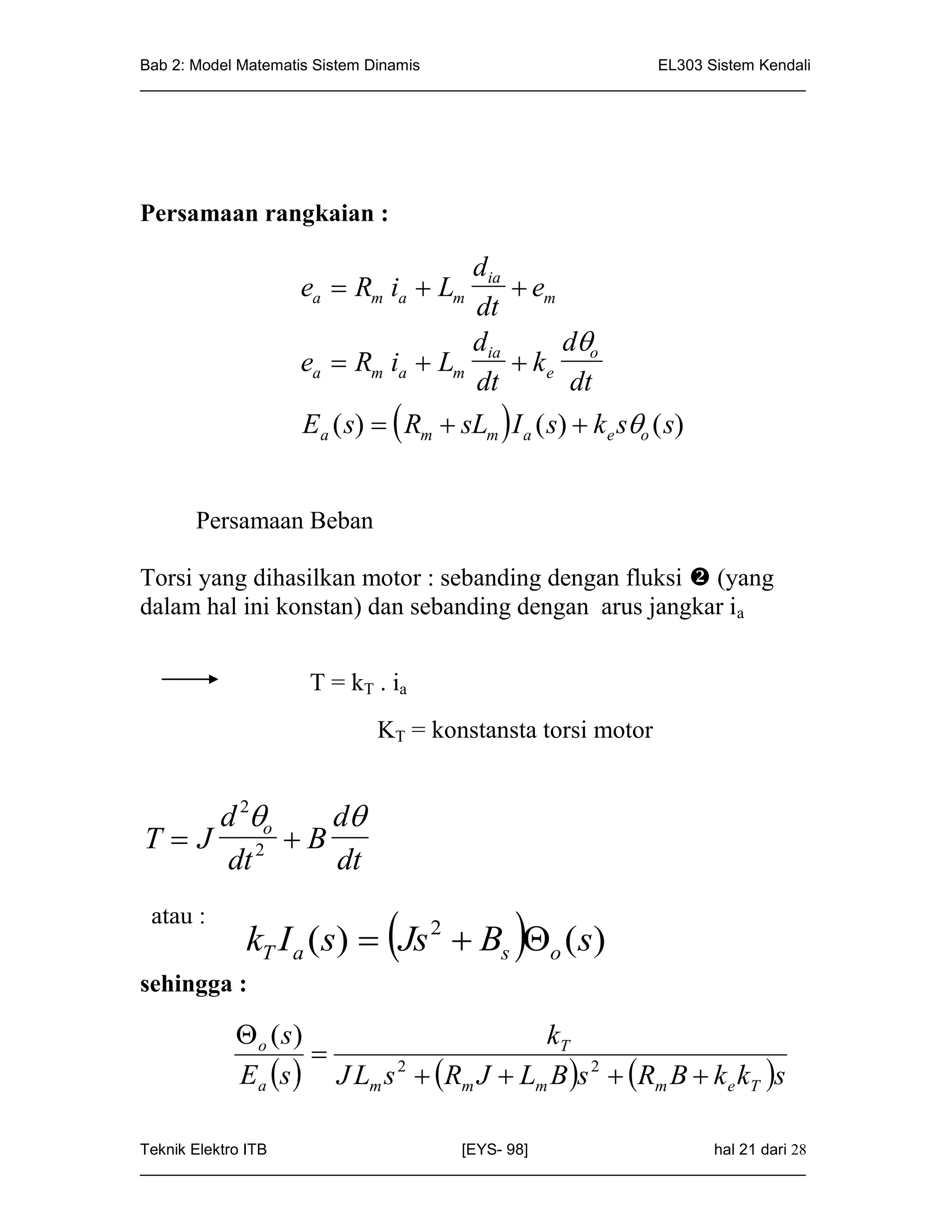
Persamaan rangkaian :

                                  dia
                   ea  Rm ia  Lm     em
                                   dt
                                  d        d
                   ea  Rm ia  Lm ia  k e o
                                   dt       dt
                   Ea ( s)   Rm  sLm  I a ( s)  k e so ( s)


      Persamaan Beban

Torsi yang dihasilkan motor : sebanding dengan fluksi  (yang
dalam hal ini konstan) dan sebanding dengan arus jangkar ia


                    T = k T . ia
                            KT = konstansta torsi motor


     d 2o d
T  J 2 B
     dt    dt
 atau :
                             
            kT I a (s)  Js 2  Bs o (s)   
sehingga :

            o ( s)                     kT
                    
           Ea s  J Lm s 2  Rm J  Lm B s 2  Rm B  k e kT s

Teknik Elektro ITB                   [EYS- 98]                    hal 21 dari 28
_____________________________________________________________________________
Bab 2: Model Matematis Sistem Dinamis                       EL303 Sistem Kendali
_____________________________________________________________________________



Dengan definisi :

        Lm
Ta                 Konstanta waktu jangkar
        Rm

       J Rm             Konstanta waktu motor
Tm          
       ke kT

       Rm B
                       Faktor redaman
       ke kT

Diperoleh:


        s s                 kT
                
                    
       Ea s  s TaTm s 2  Tm   Ta s    1             




Teknik Elektro ITB                   [EYS- 98]                    hal 22 dari 28
_____________________________________________________________________________
Bab 2: Model Matematis Sistem Dinamis                       EL303 Sistem Kendali
_____________________________________________________________________________


Model Matematis untuk Motor DC dengan
Pengontrolan Arus Jangkar :
                                       back emf volt
      Ra         La
                                    simpangan sudut pores motor rad
 ea                   eb                     J
           ia
                                           moren
                                                    b = kref gesekan motor + beban
      ia = arus jangkar                    inersia                    Nm / rad/s
                                           motor + beban
                             if konstan      kg m2
                              arus medan

                       torsi yang dihasilkan motor, Nm




Fluksi oleh arus medan :

                     k f i f              untuk if konstan
                                            Konstan

Torsi T :

           T  ki ia   ki  ia  k f  i f  k  ia
                                      k = konstanta motor - torsi

Tegangan Back EMF:

Tegangan EMF:          proporsional terhadap fluksi (konstan) &
kecepatan sudut putaran poros motor.

                              d
                eb  kb 
                              dt

Teknik Elektro ITB                   [EYS- 98]                    hal 23 dari 28
_____________________________________________________________________________
Bab 2: Model Matematis Sistem Dinamis                       EL303 Sistem Kendali
_____________________________________________________________________________



Persamaan input :

                dia
           La        Ra ia eb  ea
                dt
Persamaan output :

                      d 2   d
        T  k  ia  J 2  b
                      dt     dt




Teknik Elektro ITB                   [EYS- 98]                    hal 24 dari 28
_____________________________________________________________________________
Bab 2: Model Matematis Sistem Dinamis                       EL303 Sistem Kendali
_____________________________________________________________________________


Model Matematis untuk Sistem Generator-Motor
Ward-Leonard
Generator dc mendrive motor dc dengan pengontrolan arus jangkar

Konfigurasi dasar :

            Rf                    Rg            Lg       Rm               Lm


  ef              Lf              eg                                      em
            if                                                    ia                 o
                       n                                                                 J
                    generator dc                                            If
                                                                                     B
                                                                          Ef
                                                                       servo motor



Fungsi alih :

 E g  s              kg
            
 E f  s        R f  sL f


Persamaan Loop kanan :

                                                   d
                     
       eg  Rg  Rm ia  Lg  Lm          din
                                           dt
                                                ke o
                                                    dt
       E ( s)   R  R   s L  L I ( s)  k s ( s)
        g              g      m        g    m    a       e    o




Teknik Elektro ITB                   [EYS- 98]                    hal 25 dari 28
_____________________________________________________________________________
Bab 2: Model Matematis Sistem Dinamis                       EL303 Sistem Kendali
_____________________________________________________________________________




Persamaan Beban :

                          d 2 o      d
                T J             B o
                          d 2         dt
                                               
                kT  I a ( s )  Js 2  Bs o ( s )

                I (s) 
                        Js      2
                                   Bs  
                                       o ( s)
                  a
                                 kT
atau :

                                                   
         ea  eg  Rm  Rm  Rg ; Lm  Lm  Lg , sehingga     
          o ( s)                         kT
                  
                         g      m   
                                      g     m   g     m   g   
         E g ( s) s J L  L s2  R  R J  L  L B s  R  R B  k k
                       m                                          e T             
sehingga :


              o  s  o ( s) E g ( s)
                             x
             e f ( s) E g ( s) E f ( s)

                           = ……………………..




Teknik Elektro ITB                   [EYS- 98]                    hal 26 dari 28
_____________________________________________________________________________
Bab 2: Model Matematis Sistem Dinamis                       EL303 Sistem Kendali
_____________________________________________________________________________




      Model Matematis untuk Motor DC dengan
      Pengontrolan Arus Medan

                       Rf                           Ia = arus jangkar konstan


               ef                   Lf                                Ea
                   if
        if = arus medan                   o(t)
                                J
                                         B

Torsi yang dihasilkan motor :
                              T ~ a  kons tan
                              ~ if
sehingga
             T = kT . if
Pers beban :
              d 2o   do
         T  J 2 B
               dt      dt
              J d 2o   do
           if                 B
                    kT dt 2          dt


Pers loop kiri / input :



Teknik Elektro ITB                   [EYS- 98]                    hal 27 dari 28
_____________________________________________________________________________
Bab 2: Model Matematis Sistem Dinamis                       EL303 Sistem Kendali
_____________________________________________________________________________


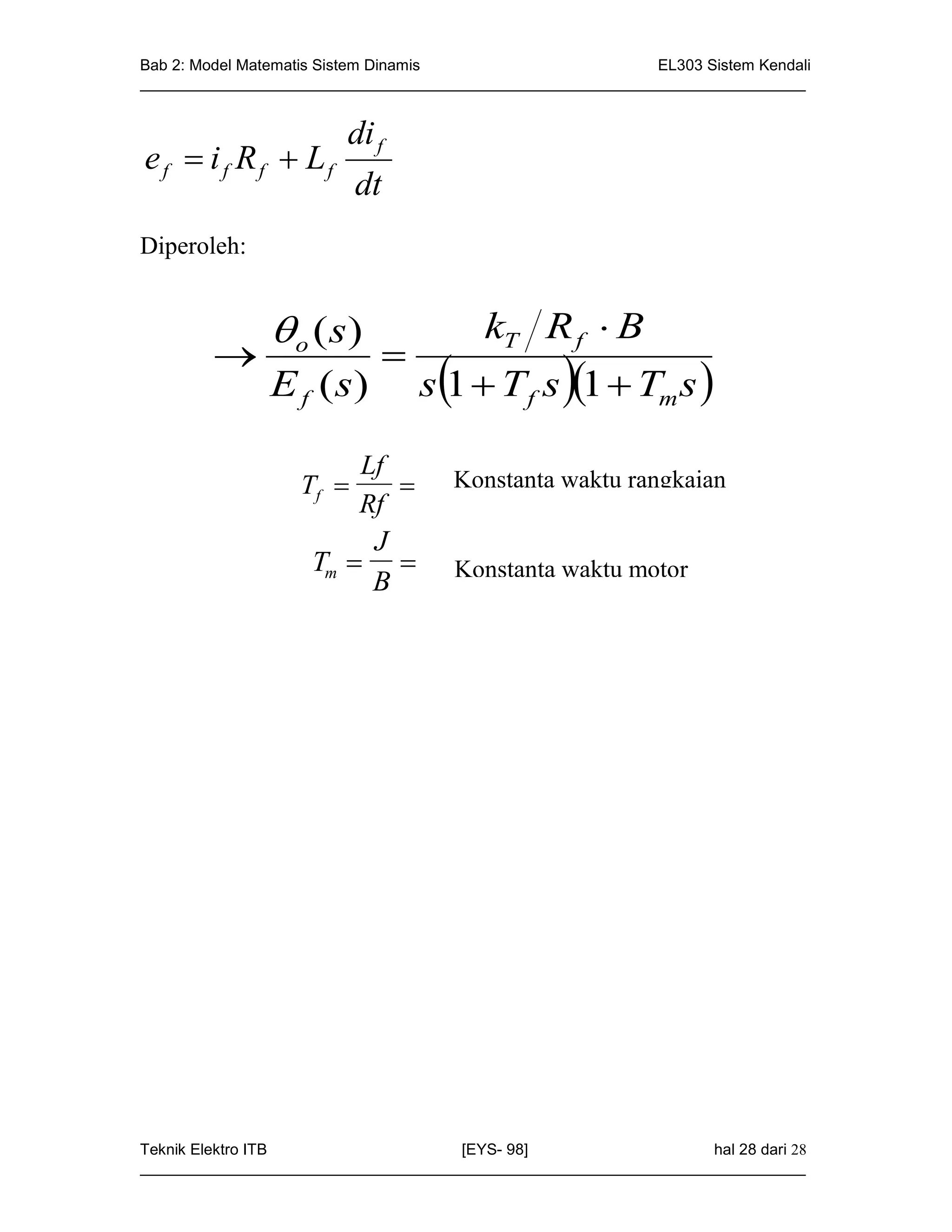
                        di f
e f  i f Rf  Lf
                          dt
Diperoleh:


                o ( s)                  kT R f  B
                           
               E f ( s)          s1  T f s 1  Tm s 

                        Lf
                   Tf              Konstanta waktu rangkaian
                        Rf           medan
                         J
                    Tm             Konstanta waktu motor
                         B




Teknik Elektro ITB                   [EYS- 98]                    hal 28 dari 28
_____________________________________________________________________________

Bab2 1 model matematis sistem dinamis

  • 1.
    Bab 2: ModelMatematis Sistem Dinamis EL303 Sistem Kendali _____________________________________________________________________________ MODEL MATEMATIS SISTEM DINAMIS  PENDAHULUAN  KLASIFIKASI SISTEM  MODEL MATEMATIS SISTEM FISIS  PEMODELAN STATE SPACE Teknik Elektro ITB [EYS- 98] hal 1 dari 28 _____________________________________________________________________________
  • 2.
    Bab 2: ModelMatematis Sistem Dinamis EL303 Sistem Kendali _____________________________________________________________________________ PENDAHULUAN  Untuk analisis dan desain sistem kendali, sistem fisis harus dibuat model fisisnya.  Model fisis harus dapat menggambarkan karakteristik dinamis sistem tsb secara memadai.  Model matematis diturunkan dari hukum-hukum fisis sistem ybs. - Dinamika sistem mekanis dimodelkan dengan hukum-hukum Newton. - Dinamika sistem elektrik dimodelkan dengan hukum-hukum Kirchoff, Ohm.  Model matematis suatu sistem: kumpulan persamaan yang menggambarkan dinamika suatu sistem secara memadai.  Model matematis dapat meningkat akurasinya dengan memodelkan secara lebih lengkap, bila diperlukan dalam analisis yang teliti.  Perlu kompromi antara kesederhanaan model dengan akurasi hasil analisis. Teknik Elektro ITB [EYS- 98] hal 2 dari 28 _____________________________________________________________________________
  • 3.
    Bab 2: ModelMatematis Sistem Dinamis EL303 Sistem Kendali _____________________________________________________________________________  Kesederhanaan model dicapai dengan memperhatikan faktor- faktor penting saja dalam pemodelan. - Pemodelan dengan persamaan differential (bukan parsial), akan menghilangkan sifat-sifat nonlinear tertentu dan parameter-parameter terdistribusi yang mungkin ada pada sistem. - Pemodelan suatu komponen pada frekuensi rendah tidak dapat digunakan pada frekuensi tinggi.  Suatu sistem yang memiliki model matematis sama tidak selalu menggambarkan model fisis yang sama (Misal: analogi sistem mekanis dengan sistem elektrik).  Dua pendekatan analisis : - Fungsi Alih (Tradisional, untuk sistem SISO) - State Space (Modern, untuk sistem modern, misal MIMO) Teknik Elektro ITB [EYS- 98] hal 3 dari 28 _____________________________________________________________________________
  • 4.
    Bab 2: ModelMatematis Sistem Dinamis EL303 Sistem Kendali _____________________________________________________________________________ KLASIFIKASI SISTEM - LINEAR VS NONLINEAR - TIME-INVARIANT VS TIME-VARYING - CONTINUOUS-TIME VS DISCRETE-TIME - DETERMINISTIC VS STOCHASTIC - LUMPED- VS DISTRIBUTED - PARAMETERS - TRANSFER FUNCTION VS STATE SPACE Teknik Elektro ITB [EYS- 98] hal 4 dari 28 _____________________________________________________________________________
  • 5.
    Bab 2: ModelMatematis Sistem Dinamis EL303 Sistem Kendali _____________________________________________________________________________ - LINEAR VS NON-LINEAR - Sistem fisis umumnya bersifat nonlinear dalam tingkat tertentu. - Untuk daerah kerja yang kecil, sistem nonlinear dapat dianggap linear (piece-wise linearisation) Daerah linear - Sistem linear : berlaku hukum superposisi: - respons suatu sistem terhadap beberapa input berbeda merupakan kombinasi respons masing-masing input. - Pengujian kelinearan suatu sistem melalui input sinusoidal. - Dalam beberapa hal elemen-elemen nonlinear sengaja disertakan dalam sistem kendali untuk optimasi unjuk kerja. - Relay on-off dipakai pada sistem kontrol optimal waktu, sistem kendali pesawat dan sistem peluru kendali. Teknik Elektro ITB [EYS- 98] hal 5 dari 28 _____________________________________________________________________________
  • 6.
    Bab 2: ModelMatematis Sistem Dinamis EL303 Sistem Kendali _____________________________________________________________________________ TIME-INVARIANT VS TIME-VARYING - Sistem time-invariant memiliki parameter-parameter yang konstan, tak tergantung waktu. - Respons nya tak tergantung pada saat kapan input diberikan. - Sistem time-varying memiliki satu atau lebih parameter yang berubah terhadap waktu. - Respons nya tergantung pada waktu diberikan input. - Contoh Sistem Kendali Time-varying: Sistem kendali pesawat ruang angkasa : bobotnya berkurang akibat konsumsi bahan bakar. CONTINUOUS-TIME VS DISCRETE-TIME - Sistem kontinyu waktu : memiliki semua variabel / sinyal yang kontinyu terhadap waktu. - Sistem diskrit waktu : memiliki satu atau lebih variabel / sinyal yang diskrit terhadap waktu. Teknik Elektro ITB [EYS- 98] hal 6 dari 28 _____________________________________________________________________________
  • 7.
    Bab 2: ModelMatematis Sistem Dinamis EL303 Sistem Kendali _____________________________________________________________________________ DETERMINISTIC VS STOCHASTIC - Sistem deterministik memiliki respons terhadap suatu input yang dapat ditebak dan berulang / konsisten. - Sistem stokastik: respons terhadap input yang sama tidak selalu menghasilkan output yang sama. LUMPED- VS DISTRIBUTED – PARAMETERS - Pemodelan komponen yang sederhana bila dapat dianggap bahwa parameter-parameter komponen tsb dapat dimodelkan secara terkumpul disatu titik. - Dicirikan dengan persamaan differensial biasa. - Pemodelan parameter terdistribusi lebih tepat digunakan, misalnya pada sistem transmisi. - Dicirikan dengan persamaan differensial parsial. Teknik Elektro ITB [EYS- 98] hal 7 dari 28 _____________________________________________________________________________
  • 8.
    Bab 2: ModelMatematis Sistem Dinamis EL303 Sistem Kendali _____________________________________________________________________________ TRANSFER FUNCTION VS STATE SPACE - Analisis sistem sederhana, SISO yang bersifat linear, kontinyu, time-invariant, lumped-parameters, deterministik, dapat dilakukan melalui pendekatan tradisional (fungsi alih) yang merupakan domain frekuensi kompleks. Alat bantu analisis dan perancangan dapat berupa Root Locus (domain waktu), Bode Plot atau Nyquist (domain frekuensi). - Untuk sistem modern yang kompleks dan berakurasi tinggi (ditandai dengan MIMO, non-linear, time-varying, optimal, robust) harus digunakan pendekatan state space yang bersifat domain waktu. Teknik Elektro ITB [EYS- 98] hal 8 dari 28 _____________________________________________________________________________
  • 9.
    Bab 2: ModelMatematis Sistem Dinamis EL303 Sistem Kendali _____________________________________________________________________________ Model Matematis untuk Rangkaian Elektrik(1) L R Hukum Fisis : Kirchoff Persamaan dinamis sistem c / Persamaan differensial ei eo di 1  Ri   idt  ei i L dt c 1 c idt  eo Dalam bentuk Laplace : (anggap kondisi mula = 0) 1 sLI ( s)  RI ( s)  I ( s)  Ei ( s) Cs 1 I (s) I ( s )  Eo ( s )   sEo ( s) sC C I (s) s 2 LI ( s )  RsI ( s )   sEi ( s ) c Fungsi alih : I (s) Eo ( s ) C 1   E i (s)  2 1 LCs 2  RCs  1  s L  Rs   I ( s)  C Teknik Elektro ITB [EYS- 98] hal 9 dari 28 _____________________________________________________________________________
  • 10.
    Bab 2: ModelMatematis Sistem Dinamis EL303 Sistem Kendali _____________________________________________________________________________ Model Matematis untuk Rangkaian Elektrik (2) R L1 e(t) C+ - L2 e0(t) i1(t) i2(t) di1 e(t )  Ri1  L1  e0 (1) dt di2 e0  L2 ( 2) dt ic  i1 (t )  i2 (t ) d (t ) ic  C e 0 dt  i1  i2  C de0 dt (3) Teknik Elektro ITB [EYS- 98] hal 10 dari 28 _____________________________________________________________________________
  • 11.
    Bab 2: ModelMatematis Sistem Dinamis EL303 Sistem Kendali _____________________________________________________________________________ Transformasi Laplace : E0 ( s) E0 ( s)  sL2 I 2 ( s) (2)  I 2 ( s)  ( 2) sL2 I1 ( s)  I 2 ( s)  sC E0 ( s) (3) E ( s)   R  sL1  I1 ( s)  E0 ( s) (1) E ( s)  E0 ( s) I1 ( s)  (1) R  sL1 (1) & (2)  (3) E ( s)  E0 ( s) E0 ( s)   sC E0 ( s) R  sL1 sL2 SL2 E ( s)  sL2 E0 ( s)   R  sL1  E0 ( s)  sC E0 ( s)  R  sL sL  1 2     sL 2 E  s  R  s L1  L2  E0  s   R  sL1  s2 L2 C E0 ( s) sL E ( s)   s L C R  sL   s L  L   R E ( s) 2 2 2 1 1 2 0 E0 ( s) sL2  2 E ( s) s L2 C R  sL1   s L1  L2   R sL2  s3 L1 L2 C  s2 L2 CR  s L1  L2   R Teknik Elektro ITB [EYS- 98] hal 11 dari 28 _____________________________________________________________________________
  • 12.
    Bab 2: ModelMatematis Sistem Dinamis EL303 Sistem Kendali _____________________________________________________________________________ Model Matematis untuk Rangkaian Elektrik (3) i2 R2 Op Amp ideal : Zin = ~ R1 Sehingga i0 = 0 - ei i1 ex i0 + eo ex ~0virtual ground, sehingga i 1  i 2 Persamaan Rangkaian: ei  ex ex  eo e e   i  o R1 R2 R1 R2 Diperoleh: R2 eo   e: R1 Teknik Elektro ITB [EYS- 98] hal 12 dari 28 _____________________________________________________________________________
  • 13.
    Bab 2: ModelMatematis Sistem Dinamis EL303 Sistem Kendali _____________________________________________________________________________ Model Matematis untuk Rangkaian Elektrik (4) i2 c i1  i2  i3 ei  e x ei i3 R2 i1  ~ R1 Ri R1 - d (e x  eo ) i1 ex + i2  C ei eo dt  de o ~C dt e e e i3  x o ~ o R2 R2 ei deo eo  C  R1 dt R2 Ei ( s ) E ( s)   sCEo ( s )  o R1 R2 sehingga Eo ( s ) R  1   2   R  R Cs  1 Ei ( s )  1 2 Teknik Elektro ITB [EYS- 98] hal 13 dari 28 _____________________________________________________________________________
  • 14.
    Bab 2: ModelMatematis Sistem Dinamis EL303 Sistem Kendali _____________________________________________________________________________ Model Matematis untuk Sistem Mekanis: Translasi(1) u input pada t < 0 : sistem tak bergerak pada t = 0 gerobak di gerakan y output dengan kecepatan konstan k m du b  kons tan dt y = output relatif terhadap ground d2y  dy du  m 2  b    k  y  u   0 dt  dt dt  d2y dy du m 2  b  ky  b  ku dt dt dt Laplace : ms 2   bs  k Y ( s)  bs  k U ( s) Y ( s) bs  k  U ( s) ms 2  bs  k Teknik Elektro ITB [EYS- 98] hal 14 dari 28 _____________________________________________________________________________
  • 15.
    Bab 2: ModelMatematis Sistem Dinamis EL303 Sistem Kendali _____________________________________________________________________________ Model untuk Sistem Mekanis : Translasi(2) x k m gaya luar f b Hukum Newton kedua : M = massa, (kg) ma   F A = percepatan, m / s2 F = gaya, N d2x dx m  b  kx  f d 2 dt Laplace : ms2 X ( s)  bs X ( s)  kX ( s)  F ( s) Diperoleh Fungsi Alih: X ( s) 1  2 F ( s) ms  bs  k Ambil : f = (t) , sehingga F(s) = 1; m= 1; b=2; k = 1 1 1 X ( s)   s2  2 s  1 ( s  1)( s  1) Teknik Elektro ITB [EYS- 98] hal 15 dari 28 _____________________________________________________________________________
  • 16.
    Bab 2: ModelMatematis Sistem Dinamis EL303 Sistem Kendali _____________________________________________________________________________ Model Matematis untuk Sistem Mekanis: Rotasi J   T J = momen inersia beban kg m2  = percepatan sudut beban rad / s2 T = torsi yang diberikan pada sistem Nm J T w b d 2 d J 2 b T dt dt  = kecepatan sudut rad / s atau :  = simpangan sudut (rad) d J  b  T dt Teknik Elektro ITB [EYS- 98] hal 16 dari 28 _____________________________________________________________________________
  • 17.
    Bab 2: ModelMatematis Sistem Dinamis EL303 Sistem Kendali _____________________________________________________________________________ Model Matematis untuk Generator DC : Rf Rg Lg ef eg ea zL Lf ia if if = arus medan n ia = arus jangkar  Kecepatan konstan n  Arus output ia dapat dikontrol dari besarnya arus if eg  k1  n     k2  i f  eg  k g  i f (1) Konstanta generator KVL pada kiri/input : dif e f : R f i f  L f (1) ( 2) dt eg if  (3) kg Substitusi (3) - (2): eg L f deg ef  Rf  kg k g dt Teknik Elektro ITB [EYS- 98] hal 17 dari 28 _____________________________________________________________________________
  • 18.
    Bab 2: ModelMatematis Sistem Dinamis EL303 Sistem Kendali _____________________________________________________________________________ Dalam Laplace: E f ( s)  1 kg   R f  sL f E g ( s ) FungsiAlih : E g (s) kg  E f ( s ) R f  sL f KVL pada loop kanan/ouput d ia  ea  eg  ia Rg  Lg ; dt ea  ia  z L Atau: ea ia  zL Substitusi : ea Lg dea  ea   e g  R g  zL z L dt  Rg Lg dea  e g  eat  ea    zL z L dt   Rg sLg  E g ( s )  1    Ea ( s)  z L ( s) z L (s)  Teknik Elektro ITB [EYS- 98] hal 18 dari 28 _____________________________________________________________________________
  • 19.
    Bab 2: ModelMatematis Sistem Dinamis EL303 Sistem Kendali _____________________________________________________________________________  z L ( s)    E ( s)  z L ( s)  a Diperoleh: Ea ( s) z L ( s)  E g ( s) z L ( s)  Rg  Lg s Sehingga : Ea ( s) E g ( s) Ea ( s)  x E f ( s) E f ( s) E g ( s) Rg z L ( s)  x R  sLf z L ( s)  Rg  sLg Teknik Elektro ITB [EYS- 98] hal 19 dari 28 _____________________________________________________________________________
  • 20.
    Bab 2: ModelMatematis Sistem Dinamis EL303 Sistem Kendali _____________________________________________________________________________ Model Matematis untuk Motor DC dengan Pengontrolan Arus Jangkar rangkaian jangkar Rm Lm ea em   o(t) simpangan sudut ia J inersia ia = arus jangkar Lf B= damping If Ef = konstan if = arus medan em = tegangan terinduksi em  k1    n n= kecepatan rotasi (putaran)motor   k2  i f  = konstan If = konstan sehingga do em  ke  n  ke ke = konstanta tegangan motor dt Teknik Elektro ITB [EYS- 98] hal 20 dari 28 _____________________________________________________________________________
  • 21.
    Bab 2: ModelMatematis Sistem Dinamis EL303 Sistem Kendali _____________________________________________________________________________ Persamaan rangkaian : dia ea  Rm ia  Lm  em dt d d ea  Rm ia  Lm ia  k e o dt dt Ea ( s)   Rm  sLm  I a ( s)  k e so ( s) Persamaan Beban Torsi yang dihasilkan motor : sebanding dengan fluksi  (yang dalam hal ini konstan) dan sebanding dengan arus jangkar ia T = k T . ia KT = konstansta torsi motor d 2o d T  J 2 B dt dt atau :  kT I a (s)  Js 2  Bs o (s)  sehingga :  o ( s) kT  Ea s  J Lm s 2  Rm J  Lm B s 2  Rm B  k e kT s Teknik Elektro ITB [EYS- 98] hal 21 dari 28 _____________________________________________________________________________
  • 22.
    Bab 2: ModelMatematis Sistem Dinamis EL303 Sistem Kendali _____________________________________________________________________________ Dengan definisi : Lm Ta   Konstanta waktu jangkar Rm J Rm Konstanta waktu motor Tm   ke kT Rm B    Faktor redaman ke kT Diperoleh:  s s  kT   Ea s  s TaTm s 2  Tm   Ta s    1  Teknik Elektro ITB [EYS- 98] hal 22 dari 28 _____________________________________________________________________________
  • 23.
    Bab 2: ModelMatematis Sistem Dinamis EL303 Sistem Kendali _____________________________________________________________________________ Model Matematis untuk Motor DC dengan Pengontrolan Arus Jangkar : back emf volt Ra La  simpangan sudut pores motor rad ea eb  J ia moren b = kref gesekan motor + beban ia = arus jangkar inersia Nm / rad/s motor + beban if konstan kg m2 arus medan torsi yang dihasilkan motor, Nm Fluksi oleh arus medan :   k f i f   untuk if konstan Konstan Torsi T : T  ki ia   ki  ia  k f  i f  k  ia k = konstanta motor - torsi Tegangan Back EMF: Tegangan EMF: proporsional terhadap fluksi (konstan) & kecepatan sudut putaran poros motor. d eb  kb  dt Teknik Elektro ITB [EYS- 98] hal 23 dari 28 _____________________________________________________________________________
  • 24.
    Bab 2: ModelMatematis Sistem Dinamis EL303 Sistem Kendali _____________________________________________________________________________ Persamaan input : dia La  Ra ia eb  ea dt Persamaan output : d 2 d T  k  ia  J 2  b dt dt Teknik Elektro ITB [EYS- 98] hal 24 dari 28 _____________________________________________________________________________
  • 25.
    Bab 2: ModelMatematis Sistem Dinamis EL303 Sistem Kendali _____________________________________________________________________________ Model Matematis untuk Sistem Generator-Motor Ward-Leonard Generator dc mendrive motor dc dengan pengontrolan arus jangkar Konfigurasi dasar : Rf Rg Lg Rm Lm ef Lf eg em if ia o n J generator dc If B Ef servo motor Fungsi alih : E g  s kg  E f  s R f  sL f Persamaan Loop kanan : d    eg  Rg  Rm ia  Lg  Lm  din dt  ke o dt E ( s)   R  R   s L  L I ( s)  k s ( s) g g m g m a e o Teknik Elektro ITB [EYS- 98] hal 25 dari 28 _____________________________________________________________________________
  • 26.
    Bab 2: ModelMatematis Sistem Dinamis EL303 Sistem Kendali _____________________________________________________________________________ Persamaan Beban : d 2 o d T J B o d 2 dt   kT  I a ( s )  Js 2  Bs o ( s ) I (s)  Js 2  Bs  o ( s) a kT atau :    ea  eg  Rm  Rm  Rg ; Lm  Lm  Lg , sehingga   o ( s) kT   g m   g m g   m g   E g ( s) s J L  L s2  R  R J  L  L B s  R  R B  k k m e T   sehingga :  o  s  o ( s) E g ( s)  x e f ( s) E g ( s) E f ( s) = …………………….. Teknik Elektro ITB [EYS- 98] hal 26 dari 28 _____________________________________________________________________________
  • 27.
    Bab 2: ModelMatematis Sistem Dinamis EL303 Sistem Kendali _____________________________________________________________________________ Model Matematis untuk Motor DC dengan Pengontrolan Arus Medan Rf Ia = arus jangkar konstan ef Lf Ea if if = arus medan  o(t) J B Torsi yang dihasilkan motor : T ~ a  kons tan ~ if sehingga T = kT . if Pers beban : d 2o do T  J 2 B dt dt J d 2o do if  B kT dt 2 dt Pers loop kiri / input : Teknik Elektro ITB [EYS- 98] hal 27 dari 28 _____________________________________________________________________________
  • 28.
    Bab 2: ModelMatematis Sistem Dinamis EL303 Sistem Kendali _____________________________________________________________________________ di f e f  i f Rf  Lf dt Diperoleh:  o ( s) kT R f  B   E f ( s) s1  T f s 1  Tm s  Lf Tf   Konstanta waktu rangkaian Rf medan J Tm   Konstanta waktu motor B Teknik Elektro ITB [EYS- 98] hal 28 dari 28 _____________________________________________________________________________