DIKTAT KULIAH
SISTEM LINIER
Disusun Oleh:
Bambang Apriyanto, ST
FAKULTAS TEKNIK
PROGRAM STUDI TEKNIK ELEKTRO
Mata kuliah SISTEM LINIER
FAKULTAS TEKNIK
PROGRAM STUDI TEKNIK ELEKTRO
2007
Program Studi Teknik Elektro UNIBA 2
Mata kuliah SISTEM LINIER
KATA PENGANTAR
Bismillaahirrahmaanirrahiim.
Alhamdulillah penulis panjatkan ke hadirat Allah SWT atas segala rahmat dan
karunia-Nya sehingga penulis dapat menyelesaikan diktat kuliah Sistem Linier. Diktat ini
diharapkan dapat membantu para pembaca khususnya mahasiswa Program Studi Teknik
Elektro Universitas Batam untuklebih mengenal dan memahami konsep sinyal dan sistem
serta penerapannya. Diktat ini dapat diselesaikan atas bantuan banyak pihak, untuk itu
penulis mengucapkan banyak terima kasih.
Penulis menyadari bahwa masih banyak kekurangan dalam diktat ini untuk itu
penulis mengharapkan kritik dan saran untuk penyempurnaan diktat ini. Akhirnya semoga
diktat ini bermanfaat bagi proses belajar mengajar pada Program Studi Teknik Elektro
Universitas Batam
Batam, 1 September 2005
Penulis
Program Studi Teknik Elektro UNIBA ii
Mata kuliah SISTEM LINIER
DAFTAR ISI
Halaman
HALAMAN JUDUL ----------------------------------------------------------------- i
KATA PENGANTAR ---------------------------------------------------------------- ii
DAFTAR ISI --------------------------------------------------------------------------- iii
DAFTAR TABEL --------------------------------------------------------------------- v
DAFTAR GAMBAR ------------------------------------------------------------------ vi
BAB 1. OPERASI SINYAL ----------------------------------------------------- 1
1.1. Pendahuluan -------------------------------------------------------- 1
1.2. Sinyal Diskrit dan Kontinyu -------------------------------------- 1
1.3. Representasi Sinyal ------------------------------------------------- 4
1.4. Pergeseran, Pemantulan dan Penskalaan Waktu ---------------- 6
BAB 2. SISTEM LINIER TAK UBAH WAKTU -------------------------- 10
2.1. Pendahuluan ­­­­­­­­­­­­­­­­­­­­­­­­­­­­­­­­­­­­­­­­­­­­­­­­­­­­­­­­­ 10
2.2. Persamaan Diferensial Sistem ----------------------------------- 11
2.3. Persamaan Beda Sistem -------------------------------------------- 14
2.4. Tanggapan Impuls -------------------------------------------------- 16
2.5. Konvolusi Kontinyu ------------------------------------------------ 17
2.6. Konvolusi Diskrit --------------------------------------------------- 21
BAB 3. TRANSFORMASI LAPLACE -------------------------------------- 25
3.1. Pengertian Laplace Transform --- ------------------------------- 25
3.2. Karakteristik Transformasi Laplace ---------------------------- 27
3.3. Transformasi Laplace Balik ------------------------------------- 29
3.4. Transformasi Laplace Untuk Penyelesaian Persamaan
Diferensial ------------------------------------------------------------ 32
BAB 4. TOPOLOGI SISTEM -------------------------------------------------- 34
4.1. Fungsi Alih --------------------------------------------------------- 34
4.2. Aljabar Diagram Blok -------------------------------------------- 35
4.3. Penerapan Aljabar Diagram Blok Dalam Pemodelan Sistem --- 39
BAB 5. PENDEKATAN RUANG KEADAAN ------------------------------ 44
5.1. Konsep Dasar ------------------------------------------------------- 44
Program Studi Teknik Elektro UNIBA iii
Mata kuliah SISTEM LINIER
5.2. Representasi Sistem Dalam Persamaan Ruang Keadaan ----- 45
5.3. Persamaan Ruang Keadaan Dari Fungsi Alih ------------------ 49
5.4. Kompensator -------------------------------------------------------- 57
5.5. Controllability dan Observability System ----------------------- 60
DAFTAR PUSTAKA ----------------------------------------------------------------- 63
Program Studi Teknik Elektro UNIBA iv
Mata kuliah SISTEM LINIER
DAFTAR TABEL
Halaman
Tabel 3.1 Tabel Transformasi Laplace ----------------------------------------------- 26
Program Studi Teknik Elektro UNIBA v
Mata kuliah SISTEM LINIER
DAFTAR GAMBAR
Halaman
Gambar 1.1 Sistem kontinyu --------------------------------------------------------- 1
Gambar 1.2 Sistem diskrit ---------------------------------------------------------- 1
Gambar 1.3 Sinyal x(t) = u(t) -------------------------------------------------------- 2
Gambar 1.4 Sinyal x(t) = Π (t) -------------------------------------------------------- 2
Gambar 1.5 Sinyal x(t) = Λ (t) ------------------------------------------------------- 3
Gambar 1.6 Sinyal x(n) = δ (n) ------------------------------------------------------ 3
Gambar 1.7 Sinyal x(n) = u(n) -------------------------------------------------------- 3
Gambar 1.8 Sinyal x(t) --------------------------------------------------------------- 4
Gambar 1.9 (a) Sinyal y(t), (b) sinyal y1= u(t-a), (c) sinyal y2=u(t-b) ---------- 5
Gambar 1.10 (a) Sinyal x(2t), (b) Sinyal x(0,5t) ----------------------------------- 7
Gambar 1.11 (a) Sinyal x(t-1), (b) Sinyal x(t+2) ----------------------------------- 8
Gambar 1.12 (a) Sinyal x(-t), (b) Sinyal x(-0,5t) ----------------------------------- 9
Gambar 2.1 Rangkaian RLC untuk contoh 2.1 ------------------------------------ 11
Gambar 2.2 Sinyal x(p), h(p) dan h(t-p) ------------------------------------------- 19
Gambar 2.3 (a) Sinyal x(p) dan h(t-p) pada saat t<1
(b) Sinyal x(p) dan h(t-p) pada saat 1<t<2
(c) Sinyal x(p) dan h(t-p) pada saat 2<t<3
(d) Sinyal x(p) dan h(t-p) pada saat t> ------------------------------- 20
Gambar 2.4 Sinyal r(t) hasil konvolusi x(t) dan h(t) ----------------------------- 21
Gambar 2.5 (a) Sinyal x(k) dan y(k)
(b) Sinyal y(-k) dan y(n-k) pada saat n=1
(c) Sinyal hasil konvolusi r(n) ---------------------------------------- 24
Gambar 4.1 Fungsi alih sistem -------------------------------------------------------- 34
Gambar 4.2 Fungsi alih sistem dengan masukan r keluaran c --------------------- 35
Gambar 4.3 Fungsi alih sistem dengan masukan dan gangguan ----------------- 35
Gambar 5.1 Hubungan masukan dan keluaran dengan keadaan sistem -------- 44
Gambar 5.2 Sistem sederhana dengan masukan x(t) keluaran y(t) --------------- 44
Gambar 5.3 Realisasi umum persamaan keadaan ---------------------------------- 46
Program Studi Teknik Elektro UNIBA vi
Mata kuliah SISTEM LINIER
Gambar 5.4 Sistem massa pegas sederhana ----------------------------------------- 46
Gambar 5.5 Realisasi persamaan keadaan sistem massa pegas ------------------ 47
Gambar 5.6 Penjabaran sistem pada contoh 5.2 ------------------------------------ 48
Gambar 5.7 Realisasi umum persamaan ruang keadaan dari fungsi alih
dengan masukan tidak mengandung turunan ------------------------ 50
Gambar 5.8 Realisasi umum persamaan ruang keadaan dari fungsi alih
dengan masukan mengandung turunan ------------------------------- 51
Gambar 5.9 Realisasi sistem contoh 5.3 ---------------------------------------------- 53
Gambar 5.10 Sistem contoh 5.4 -------------------------------------------------------- 53
Gambar 5.11 Realisasi sistem contoh 5.4 --------------------------------------------- 55
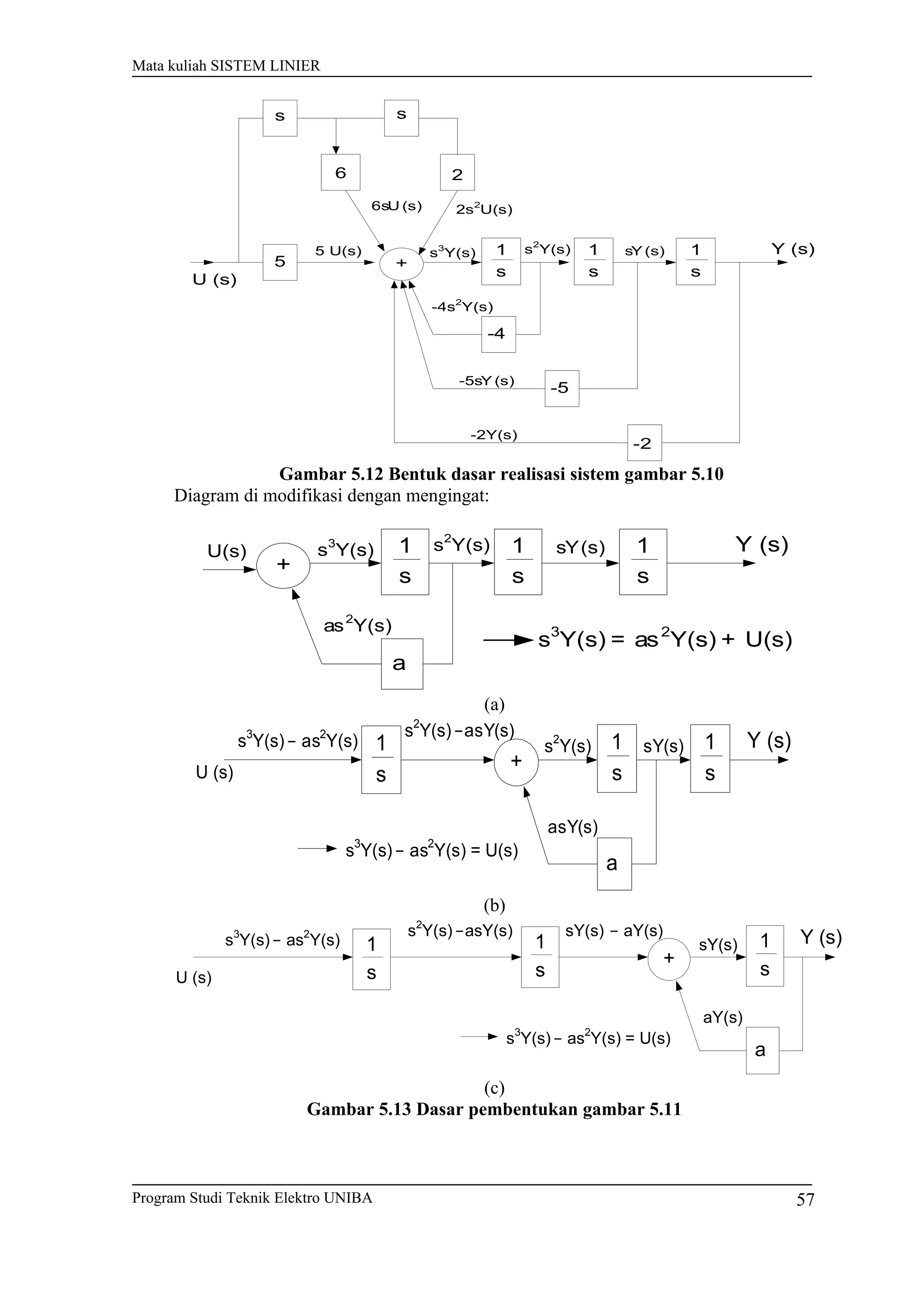
Gambar 5.12 Bentuk dasar realisasi sistem Gambar 5.10 -------------------------- 55
Gambar 5.13 Dasar pembentukan Gambar 5.11 -------------------------------------- 56
Gambar 5.14 Modifikasi realisasi sistem Gambar 5.11 ------------------------------ 56
Gambar 5.15 Realisasi dalam bentuk lain sistem contoh 5.4 ----------------------- 57
Gambar 5.16 Realisasi sistem dengan kompensator di depan --------------------- 58
Gambar 5.17 Realisasi sistem dengan kompensator di belakang ----------------- 59
Program Studi Teknik Elektro UNIBA vii
Mata kuliah SISTEM LINIER
BAB 1
OPERASI SINYAL
1.1. Pendahuluan
Konsep sinyal dan sistem dikembangkan sangat luas diberbagai bidang antara lain:
komunikasi, penerbangan, desain rangkaian elektronik, seismologi, biomedical,
pembangkitan dan distribusi energi, kendali proses kimia, pengolahan suara dan
berbagai penerapan lainnya. Pemahaman yang mendalam mengenai sinyal dan sistem
sangat diperlukan untuk kemajuan penerapan konsep sinyal dan sistem.
Bab 1 dan 2 diktat ini membahas output sistem linier tak ubah waktu dengan berbagai
input. Konsep sinyal dan sistem dibahas baik dalam bentuk kontinyu maupun bentuk
diskrit. Bab 3 akan membahas tentang transformasi laplace dan penggunaanya dalam
analisis sinyal dan sistem.
1.2. Sinyal Diskrit dan Kontinyu
Sinyal kontinyu adalah sinyal yang mempunyai nilai tak terputus dalam kawasan
waktu. x(t) disebut sinyal kontinyu jika mempunyai nilai tak terrputus.
Gambar 1.1 Sistem kontinyu
Gambar diatas menunjukan sistem kontinyu dengan masukan x(t) setelah melalui
proses dalam sistem maka keluaran sistem adalah y(t). Karakteristik y(t) dalam
penerapanya adalah sesuai dengan karakteristik keluaran yang diinginkan perancang
sistem. x(t) dan y(t) mempunyai nilai yang kontinyu sepanjang waktu (t).
Untuk sinyal diskret, nilai dari sinyal ada pada satuan waktu diskret n yang
merupakan bilangan bulat, - ∞ < n < ∞.
Program Studi Teknik Elektro UNIBA
x(t)
sistem
x(t) y(t)
x(t)
t t
x(n)
sistem
x(n) y(n)
x(n)
n n
1
Mata kuliah SISTEM LINIER
Gambar 1.2 Sistem diskrit
Gambar diatas menunjukan sistem diskrit dengan masukan x(n) setelah melalui
proses dalam sistem maka keluaran sistem adalah y(n). Seperti halnya pada
karakteristik keluaran sistem kontinyu maka keluaran sistem diskrit y(n) dalam
penerapannya adalah sesuai dengan karakteristik keluaran yang diinginkan perancang
sistem.
Berikut dijelaskan beberapa sinyal yang sering digunakan dalam analisa sinyal dan
sistem.
a) Sinyal undak satuan u(t)
Suatu sinyal x(t) didefinisikan sebagai u(t) jika
x(t) = 1, t>0
= 0, t<0
Gambar 1.3 Sinyal x(t) = u(t)
Sinyal ini dapat dipakai untuk merepresentasikan permulaan dan akhir suatu
sinyal yang lebih kompleks.
b) Sinyal kotak Π (t)
Sinyal x(t) dikatakan sebagai Π (t) jika
x(t) = 1, -0,5<t<0,5
= 0, t lainnya
Gambar 1.4 Sinyal x(t) = Π (t)
Program Studi Teknik Elektro UNIBA
x(t)
t
1
x(t)
t
1
0,5-0,5
2
x(n)
n
1
x(n)
n
1
Mata kuliah SISTEM LINIER
c)Sinyal segitiga t
Sinyal x(t) disebut sebagai L(t) jika
x(t) = 1 - | t | , -1<t<1
= 0, t lainnya
Gambar 1.5 Sinyal x(t) = Λt)
d) Sinyal pulsa satuan δ (n)
Sinyal x(n) disebut sebagai δ (n) jika
x(n) = 1, n=0
= 0, n lainnya
Gambar 1.6 Sinyal x(n) = δ (n)
Sinyal δ (n) biasa digunakan untuk mencari tanggapan cuplik satuan suatu sistem
diskrit. Sinyal ini juga dipergunakan untuk menyatakan suatu fungsi lain:
∑
∞
−∞=
−= k
knkfnf )()()( δ (1.1)
e) Sinyal undak satuan diskrit u(n)
Sinyal x(n) disebut sebagai u(n) jika
x(n) = 1, n ≥ 0
= 0, n lainnya
Gambar 1.7 Sinyal x(n) = u(n)
Program Studi Teknik Elektro UNIBA
x(t)
t
1
1-1
3
Mata kuliah SISTEM LINIER
1.3. Representasi Sinyal
Sinyal dapat direpresentasikan dalam berbagai cara. Representasi sinyal kontinyu
dapat dijelaskan dengan lebih mudah dengan contoh berikut:
Contoh soal 1.1:
Suatu sinyal kontinyu seperti gambar berikut representasikan dalam suatu persamaan
isyarat:
Gambar 1.8 Sinyal x(t)
Penyelesaian:
Sinyal x(t) diatas mempunyai tiga kondisi yaitu: pada saat 0<t<2, pada saat 2<t<3
dan saat t yang lain. Dengan demikian dapat dirumuskan suatu fungsi sebagai
berikut:
x1(t),0<t<2
x(t) = x2(t),2<t<3
x3(t),t lainnya
Dari grafik x(t) dapat dilihat bahwa kondisi selain 0<t<2 dan 2<t<3 tidak ada sinyal
x(t) atau dapat dituliskan x3(t) = 0. Sedangkan pada saat 2<t<3 terlihat bahwa sinyal
x(t) bernilai 1 sehingga dapat dituliskan x2(t) = 1.
Untuk mencari nilai x1(t) dipergunakan rumusan persamaan garis antara dua titik.
Isyarat x1(t) melalu titik (0,0) yang selanjutnya disebut titik 1 dan titik (2,1) yang
selanjutnya disebut titik 2. Dengan dasar tersebut maka isyarat x1(t) dapat dicari
sebagai berikut:
12
1
12
11 )(
tt
tt
xx
xtx
−
−
=
−
−
dengan memasukan nilai-nilai titik 1 dan titik 2 didapatkan:
02
0
01
0)(1
−
−
=
−
− ttx
maka:
Program Studi Teknik Elektro UNIBA
x(t)
t
1
21 3
4
Mata kuliah SISTEM LINIER
2
)(1
t
tx =
Jadi x(t) dapat ditulis menjadi persamaan berikut :
05t, 0<t<2
x(t) = 1, 2<t<3
0, t lainnya
Untuk menuliskan persamaan x(t) dalam satu persamaan dapat digunakan u(t-a) dan
u(-b) sebagai awal dan akhir dari sinyal tersebut. Hal tersebut dapat dipahami dengan
ilustrasi sebagai berikut:
Gambar 1.9 (a) Sinyal y(t), (b) sinyal y1= u(t-a), (c) sinyal y2=u(t-b)
Pada Gambar 1.9(a) adalah suatu sinyal yang bernilai 1 yang dimulai pada t = a dan
diakhiri pada t = b.
Sinyal tersebut dari gambar dapat dilihat merupakan hasil pengurangan sinyal y1(t) =
u(t-a) (sinyal undak satuan yang tergeser ke kanan sejauh a) dengan sinyal y2(t) =
u(t-b) (sinyal undak satuan yang tergeser ke kanan sejauh a).
y(t) = y1(t) – y2(t)
= u(t-a) –u(t-b)
Untuk menyatakan suatu sinyal x(t) = e-t
yang hanya mempunyai nilai pada saat t=1
sampai t = 5 dapat dinyatakan sebagai berikut:
Program Studi Teknik Elektro UNIBA
y2
(t)
t
1
ba
(c)
y1
(t)
t
1
ba
(b)
y(t)
t
1
ba
(a)
5
Mata kuliah SISTEM LINIER
x(t) = e-t
{u(t-1) – u(t-5)}
Contoh soal 1.2:
Representasikan sinyal pada contoh 1.1 dalam satu persamaan
0,5t, 0<t<2
x(t) = 1, 2<t<3
0, t lainnya
Penyelesaian:
Sinyal tersebut terdiri dari dua isyarat yaitu isyarat bernilai 0,5t yang dimulai dari t=0
sampai t=2 dan isyarat yang bernilai 1 yang mulai saat t=2 dan berakhir pada t=3,
maka dapat dinyatakan sebagai berikut:
x(t) = 0,5t{u(t-0)-u(t-2)} + {u(t-2)-u(t-3)}
= 0,5t {u(t)-u(t-2)} + u(t)-u(t-3)
1.4. Pergeseran, Pemantulan dan Penskalaan Waktu
Dalam suatu sistem terjadi berbagai macam tindakan terhadap isyarat yang
diterimanya. Tindakan atau operasi-operasi isyarat dilakukan dalam upaya
mendapatkan isyarat yang sesuai dengan karakteristik yang diinginkan. Berikut akan
dibahas tiga operasi dasar terhadap sinyal. Operasi pergeseran adalah operasi
menggeser sinyal ke kanan atau ke kiri pada sumbu waktu. Dalam aplikasi
pengolahan sinyal, hal ini dilakukan dengan tunda waktu. Operasi pemantulan
dilakukan dengan mencerminkan isyarat terhadap sumbu vertikalnya. Penskalaan
waktu adalah upaya menyempit dan melebarkan isyarat pada sumbu waktu. Operasi-
operasi tersebut akan mudah dipahami dengan contoh sebagai berikut:
Contoh soal 1.3:
Lakukan operasi-operasi berikut terhadap isyarat x(t) pada contoh soal 1.1.
a) Penskalaan waktu x(2t) dan x(0.5t)
b) Operasi pergeseran x(t-1) dan x(t+2)
c) Operasi pencerminan x(-t) dan x(-0,5t)
Penyelesaian:
a) x(2t) dapat dicari dengan memasukan 2t untuk menggantikan t pada fungsi x(t)
0,5t, 0<t<2
x(t) = 1, 2<t<3
0, t lainnya
Program Studi Teknik Elektro UNIBA 6
Mata kuliah SISTEM LINIER
Nilai t digantidengan 2t maka didapatkan:
0,5.2t, 0<2t<2
x(2t) = 1, 2<2t<3
0, 2t lainnya
Dengan menyederhanakan 2t maka didapat:
t, 0<t<1
x(2t) = 1, 1<t<1,5
0, t lainnya
Sedangkan untuk x(0.5t) dapat dicari sebagai berikut:
0,5(0,5t), 0<0,5t<2
x(0,5t) = 1, 2<0,5t<3
0, 0,5t lainnya
Dengan penyederhanaan didapat:
0,25t , 0<t<4
x(0,5t) = 1, 4<t<6
0, t lainnya
Gambar 1.10 (a) Sinyal x(2t), (b) Sinyal x(0,5t)
Pada Gambar 1.10, kalau dibandingkan dengan gambar sinyal x(t) terlihat jelas
operasi penskalaan waktu. Sinyal x(2t) merupakan operasi penyempitan skala waktu
setengah kali dari skala waktu asli. Sinyal x(0,5t) merupakan operasi pelebaran skala
waktu dua kali dari waktu aslinya.
b) x(t-1) dapat dicari sebagai berikut :
0,5(t-1), 0<t-1<2
x(t-1) = 1, 2<t-1<3
0, t­1 lainnya
Program Studi Teknik Elektro UNIBA
x(0,5t)
t
1
21 3 4 5 6
(b)
x(2t)
t
1
21 3
(a)
7
Mata kuliah SISTEM LINIER
dengan penyederhanaan:
0,5t-0,5, 1<t<3
x(t-1) = 1, 3<t<4
0, t lainnya
Sedangkan x(t+2) dapat dicari sebagai berikut:
0,5(t+2), 0<t+2<2
x(t+2) = 1, 2<t+2<3
0, t+2 lainnya
x(t+2) dapat disederhanakan:
0,5t+1, -2<t<0
x(t+2) = 1, 0<t<1
0, t lainnya
Sinyal x(t-1) dan x(t+2) dapat digambarkan sebagai berikut:
Gambar 1.11 (a) Sinyal x(t-1), (b) Sinyal x(t+2)
Pada Gambar 1.11, terlihat operasi pergeseran sinyal. Sinyal x(t-1) adalah sinyal
x(t) yang tergeser 1 ke kanan. Sinyal x(t+2) adalah sinyal x(t) yang tergeser ke
kiri sejauh 2. Jadi pada isyarat dengan t mempunyai tanda positif maka akan
tergeser ke kanan sebesar suatu bilangan kalau di kurangi suatu bilangan tersebut.
Untuk pergesaran ke kiri (ditambah suatu bilangan) juga demikian.
c) Operasi pencerminan x(-t) dan x(-0,5t)
Nilai x(-t) dapat dicari sebagai berikut:
-0,5t, 0<-t<2
x(-t) = 1, 2<-t<3
0, -t lainnya
4 5
x(t-1)
t
1
21 3
(a)
x(t+2)
t
1
-2 -1 1
(b)
-3 2
8Program Studi Teknik Elektro UNIBA
Mata kuliah SISTEM LINIER
dengan penyederhanaan didapatkan :
-0,5t, -2<t<0
x(-t) = 1, -3<t<-2
0, t lainnya
Sedangkan sinyal x(-0,5t) adalah sebagai berikut:
0,5(-0,5)t, 0<-0,5t<2
x(-0,5t) = 1, 2<-0,5t<3
0, -0,5t lainnya
dengan penyederhanaan didapatkan :
-0,25t, -4<t<0
x(-0,5t) = 1, -6<t<-4
0, t lainnya
Sinyal x(-t) dan x(-0,5t) dapat digambarkan sebagai berikut:
Gambar 1.12 (a) Sinyal x(-t), (b) Sinyal x(-0,5t)
Pada Gambar 1.12, dapat dilihat bahwa sinyal x(-t) adalah hasil pencerminan
sinyal x(t). Sinyal x(-0,5t) adalah hasil pencerminan dan penskalaan waktu sinyal
aslinya.
Program Studi Teknik Elektro UNIBA
1
x(-t)
t
1
-2 -1-3
(a)
x(-0,5t)
t
1
-2 -1-5
(b)
-3-4-6
9
Mata kuliah SISTEM LINIER
BAB 2
SISTEM LINIER TAK UBAH WAKTU
Bab 2 pada diktat ini akan membahas tentang sistem linier tak ubah waktu kausal.
Pembahasan ini dilakukan dengan mempertimbangkan banyaknya model linier yang
digunakan dalam hampir semua bidang kerekayasaan.
Sistem linier mempunyai sifat-sifat sebagai berikut:
a) Sifat kehomogenan
Jika input u memberikan keluaran y maka input au akan menghasilkan keluaran ay.
b) Sifat superposisi
Jika input u1 and u2 menghasilkan output y1 and y2, dan untuk l input (u1+u2)
menghasilkan output (y1+y2).
2.1. Pendahuluan
Sistem dapat diartikan sebagai hubungan antara input dan output. Pada umumnya
input adalah sebab dan output adalah akibat. Beberapa contoh sistem yang umum kita
kenal adalah:
1) Sebuah rangkaian listrik dengan input tegangan dan / atau arus sumber
sedangkan outputnya yaitu tegangan dan / atau arus yang mengalir pada beberapa
titik pada rangkaian tersebut.
2) Sebuah sistem kanal komunikasi dengan input sebanding dengan sinyal
yang ditransmisi pada kanal tersebut sedangkan outputnya adalah sinyal yang
sampai pada ujung kanal.
3) Sebuah sistem biologi seperti mata manusia dengan input sinyal gambar
yang masuk ke retina mata dan outputnya adalah rangsangan syaraf yang
selanjutnya diolah di otak untuk pengambilan keputusan informasi apa yang
masuk.
4) Sebuah manipulator robot dengan input n torsi yang diaplikasikan ke robot
tersebut dan output posisi akhir salah satu lengannya.
5) Proses manufaktur, dengan input bahan mentah yang dimasukkan dan
outputnya berupa jumlah barang yang diproduksinya.
Program Studi Teknik Elektro UNIBA 10
Mata kuliah SISTEM LINIER
6) Lebih spesifik lagi dalam bidang engineering sistem sering diartikan
sebagai model matematik yang mengubungkan antara masukan atau gaya luar
dengan keluaran atau tanggapan sistem. Sistem dapat diklasifikasikan dalam
berbagai kategori.
a) Sistem kausal dan non kausal
♦Sistem kausal: y(t) = x(t) + 2x(t-1)
♦Sistem non kausal: y(t) = x(t+1) – x(t) + 3x(t-2)
Sistem kausal memberikan nilai keluaran terhadap masukan yang telah masuk
pada sistem. Semua sistem fisika yang nyata termasuk dalam sistem kausal.
Sistem non kausal adalah sistem antisipatif yaitu sistem mampu memberi
respon terhadap masukan yang akan datang. Sistem non kausal sering ditemui
dalam aplikasi elektrik modern seperti pada sistem kendali adaptif.
b) Sistem bermemori dan tanpa memori
Sistem bermemori adalah sistem yang keluarannya merupakan fungsi dari
masukan sekarang dan masukan sebelumnya.
/ Sistem bermemori: y(t) = -4x(t-1) + 2x(t)
/ Sistem tanpa memori: y(t) = 2x(t)
2.2. Persamaan Diferensial Sistem
Penggambaran sistem waktu kontinyu, selalu berkaitan dengan bentuk representasi
matematik yang mengambarkan sistem tersebut dalam keseluruhan waktu. Dapat pula
secara sederhana dikatakan, bahwa suatu sistem disebut sebagai sistem waktu
kontinyu jika input dan output berupa sinyal waktu kontinyu. Sistem kontinyu dapat
dinyatakan dalam persamaan diferensial sistem. Dengan masukan adalah x(t) dan
ouput y(t) maka sistem linier tak ubah waktu dapat dinyatakan sebagai berikut:
any(n)
(t) + an-1y(n-1)
(t) + … + a1y’
(t)+ a0y(t) = b0x(t) + b1x’
(t) + … + an-1x(n-1)
(t)+ anxn
(t) (2.1)
Suku kanan persamaan tersebut sering digabungkan menjadi:
f(t) = b0x(t) + b1x’
(t) + ….. + an-1x(n-1)
(t)+ anxn
(t)
dengan f(t) disebut fungsi pemaksa. Berikut contoh persamaan diferensial sistem:
Contoh soal 2.1:
Modelkan sistem berikut dalam persamaan Diferensial
Program Studi Teknik Elektro UNIBA 11
Mata kuliah SISTEM LINIER
Gambar 2.1 Rangkaian RLC untuk contoh 2.1
Penyelesaian:
Dengan hukum Kirchoff tegangan didapatkan:
0,i(t)1/Cdi/dtLRi(t)e(t)
t
0
>++= ∫ tdt
dengan mendiferensialkan kedua suku didapat:
)(
1)(d
L
dt
di(t)
R
dt
de(t)
2
2
ti
Cdt
ti
++=
keadaan awal untuk memecahkan persamaan ini adalah:
2
dt
di(t)
0t
==
= i(0+
)=0
Untuk memecahkan persamaan diferensial disajikan teorema sebagai berikut:
Persamaan diferensial sistem: any(n)
(t) + an-1y(n-1)
(t) + ….. + a1y’
(t)+ a0y(t) mempunyai
keadaan awal: y(0), y’(0),……,yn-1
maka tanggapan lengkap sistem:
y(t) = yho(t) + yf0(t)
dengan:
yho(t) = tanggapan homogen, alami, bebas, dan transient.
yf0(t) = tanggapan paksa, akhir, steady state.
Tanggapan homogen didapatkan dengan menyelesaikan persamaan sistem pada saat
masukan sama dengan nol f(t)=0. Tanggapan ini disebut tanggapan alami sistem
merupakan tanggapan sistem sebelum ada masukan. Tanggapan paksa didapatkan
dengan menerapkan masukan f(t) pada sistem.
Untuk lebih jelas, disajikan contoh berikut.
Contoh soal 2.2:
Selesaikan persamaan diferensial berikut jika diberikan kondisi awal y(0) = 1 dan
y’(0) = 2
y’’(t) + 3y’(t) + 2y(t) = e2t
Penyelesaian:
a) Langkah 1. Mencari yho(t)
Program Studi Teknik Elektro UNIBA 12
ΩR=2 L=1H
C=0,5 F2A/dt i(t)e(t)
Mata kuliah SISTEM LINIER
Persamaan homogen sistem adalah sebagai berikut:
y’’(t) + 3y’(t) + 2y(t) = 0
Dengan permisalan bahwa yho(t) = Aemt
maka didapatkan :
d’’(Aemt
)/dt2
+ 3d’(Aemt
)/dt +2(Aemt
) = 0
Aemt
(m2
+ 3m + 2) = 0
Dari persamaan tersebut terlihat bahwa tidak ada nilai A (selain nol) dan nilai emt
(kecuali m = - ∞) yang membuat nilai suku kiri nol. Nilai A= 0 dan m = - ∞ tidak
diinginkan untuk menyelesaikan persamaan maka nilai m yang memenuhi
persamaan diatas adalah:
(m2
+ 3m + 2) = 0
sehingga m = -1 dan m =-2.
Dengan demikian solusi untuk yho(t) adalah:
yho(t) = A1e-t
+ A2e-2t
b) Langkah 2. Mencari yfo(t)
Menyelesaikan persamaan:
y’’(t) + 3y’(t) + 2y(t) = e2t
Berdasarkan perkiraan keluaraan terhadap masukan yang ada dilakukan
permisalan sebagai berikut:
yfo(t) = Ae2t
Subsitusi ke dalam persamaan sistem menghasilkan:
(4A+6A+2A)e2t
= e2t
dari persamaaan tersebut didapatkan :
(4A+6A+2A) = 1
A = 0,083
Dengan demikian :
yfo(t) = 0,083e2t
c) Langkah 3.
Dengan menggabungkan langkah 1 dan langkah 2 maka didapatkan tanggapan
lengkap sistem:
y(t) = A1e-t
+ A2e-2t
+ 0,083e2t
Program Studi Teknik Elektro UNIBA 13
Mata kuliah SISTEM LINIER
d). Langkah 4.
Menerapkan keadaan awal y(0) = 1 dan y’(0) = 2 pada tanggapan lengkap sistem.
Dengan menerapkan y(0)=1 didapatkan:
y(0) = A1e-1*0
+ A2e-2*0
+ 0,083e2*0
1 = A1 + A2 +0,083
A1 + A2 = 0,917
Dengan menerapkan y’(0) = 2 didapatkan:
d(y(t))/dt = d(A1e-t
)/dt + d(A2e-2t
)/dt+d(0,083e2t
)/dt
dengan memasukan nilai keadaan awal:
2 = - A1 - 2A2 + 0,166
A1 + 2A2 = -1,834
Dengan eliminasi persamaan yang didapatkan dari keadaan 1 dan 2 didapatkan:
A2 = -2,751 dan A1 =3,668
Dengan demikian tanggapan lengkap sistem adalah:
y(t) = 3,668e-t
– 2,751e-2t
+ 0,083e2t
2.3. Persamaan Beda Sistem
Persamaan beda sistem adalah persamaan hubungan masukan dan keluaran pada
sistem diskrit. Dengan keluaran adalah y(n) sedangkan masukan adalah x(n)
persamaaan beda sistem dapat ditulis sebagai berikut:
any(n) + an-1y(n-1) + ….. + apy(n-p) = bnx(n) + bn-1x(n-1) + ….. + an-mx(n-m) (2.2)
Suku kanan persamaan tersebut sering digabungkan menjadi:
f(n) = bnx(n) + bn-1x(n-1) + ….. + an-mx(n-m)
dengan f(n) disebut fungsi pemaksa.
Persamaan beda sistem orde p dengan kondisi awal y(-1), y(-2), y(-3),….y(-p)
mempunyai tanggapan lengkap:
y(n) = yho(n) + yf0(n)
dengan:
yho(n) = tanggapan homogen, alami, bebas, dan transient.
yf0(n) = tanggapan paksa, akhir, steady state.
Tanggapan homogen didapatkan dengan menyelesaikan persamaan sistem pada saat
masukan sama dengan nol f(n)=0. Tanggapan paksa didapatkan dengan menerapkan
masukan f(n) pada sistem.
Program Studi Teknik Elektro UNIBA
14
Mata kuliah SISTEM LINIER
Contoh soal 2.3:
Selesaikan persamaan beda sistem berikut jika diberikan kondisi awal y(-1) = 2
y(n) + 0,2y(n-1) = 6.
Penyelesaian:
a) Langkah 1. Mencari yho(n)
Persamaan homogen sistem adalah sebagai berikut:
y(n) + 0,2y(n-1) = 0
Dengan permisalan yho(n) = C(α )n
maka:
y(n-1) = C(α )n-1
= kα n
dengan k= Cα -1
Subsitusi kepersamaan homogen sistem menghasilkan :
C(α )n
+ 0,2 C(α )n-1
=0
C(α )n-1
(α + 0,2) =0
Hanya nilai C=0 dan (α )n-1
= 0 yamg membuat nilai suku kiri nol dari komponen
C(α )n
. Nilai-nilai ini tidak diinginkan untuk menyelesaikan persamaan maka
nilai α yang memenuhi persamaan diatas adalah:
α + 0,2 =0
α = - 0,2
Dengan demikian solusi untuk yho(n) adalah:
yho(n) = C(-0,2)n
b) Langkah 2. Mencari yfo(n)
Tanggapan paksa sistem didapatkan dengan menyelesaikan persamaan:
y(n) + 0,2y(n-1) =6
Berdasarkan perkiraan keluaran terhadap masukan yang ada dilakukan permisalan
sebagai berikut:
yfo(n) = A (untuk penjumlahan semua yfo(n))
Subsitusi ke dalam persamaan sistem menghasilkan:
yfo(n) + 0,2 yfo(n-1) =6
A + 0,2A =6
A=5
Dengan demikian:
yfo(n) = 5
Program Studi Teknik Elektro UNIBA 15
Mata kuliah SISTEM LINIER
c) Langkah 3.
Dengan menggabungkan langkah 1 dan langkah 2 maka didapatkan tanggapan
lengkap sistem:
y(n) = 5 + C(-0,2)n
d) Langkah 4.
Menerapkan keadaan awal y(0) = 1 dan y’(0) = 2 pada tanggapan lengkap sistem.
Dengan menerapkan y(-1) = 2 didapatkan:
y(-1) = 5 + C(-0,2)-1
5C = 5 – 2
C=0,6
Dengan demikian tanggapan lengkap sistem adalah:
y(n) = 5 + 0,6(-0,2)n
2.4. Tanggapan Impuls
Tanggapan impuls h(t)n adalah tanggapan sistem jika mendapat masukan berupa
sinyal impuls. Suatu sistem linier tak ubah waktu:
any(n)
(t) + an-1y(n-1)
(t) + ….. + a1y’
(t)+ a0y(t) = b0x(t) + b1x’
(t) + ….. + bmxm
(t)
mempunyai tanggapan impuls h(t) dengan rumusan berikut:
x(t) = δ (t) dan y(t)=0, -∞<t<0
h(t) = y(t)| x(t)=δ (t) (2.3)
Contoh soal 2.4:
Tentukan tanggapan impuls sistem 2y’(t) + 3y(t) = 4 x(t).
Penyelesaian:
Untuk mencari tanggapan implus maka masukan x(t) = δ (t).
2y’(t) + 3y(t) = 4 δ (t)
Dengan h(t) = y(t)| x(t)=δ (t) maka persamaan diatas dapat dituliskan sebagai berikut:
2h’(t) + 3h(t) = 4 δ (t) (1)
Dari penyelesaian persamaan diferensial yang telah dipelajari sebelumnya kita dapat
mengasumsikan penyelesaian untuk h(t):
h(t) = Ae-1,5t
u(t) + 0δ (t)
diasumsikan 0δ (t) karena pada sistem orde satu ini masukan tidak mempunyai δ ’(t)
sehingga untuk t>0 δ (t)=0.
Program Studi Teknik Elektro UNIBA 16
Mata kuliah SISTEM LINIER
Dengan subsitusi asumsi ke persamaan (1) dihasilkan:
2d/dt[Ae-1,5t
u(t)] + 3A e-1,5t
u(t) = 4δ (t)
Dengan mempertimbangkan waktu t=0 didapatkan:
2Ae-1,5t
| t=0δ (t) = 4δ (t)
2Aδ (t) = 4δ (t)
A=2
Dengan demikian:
h(t) = 2 e-1,5t
u(t)
Contoh soal 2.5:
Tentukan tanggapan impuls sistem y’’(t) + 3y’(t) + 2y(t) = 3x(t) + 2 x’(t).
Penyelesaian:
Untuk mencari tanggapan implus maka masukan x(t) = δ (t).
y’’(t) + 3y’(t) + 2y(t) = 3δ (t) + 2δ ’(t)
dengan persamaan karakteristik:
m2
+ 3m +2 =0
dan y(t) tidak mengandung komponen δ (t) (tidak terdapat δ ’’(t) diruas kanan)
maka dapat diasumsikan:
y(t)= A1e-t
u(t)+ A2e-2t
u(t)+0δ (t)
atau:
y’(t)= -A1e-t
u(t) -2A2e-2t
u(t)+(A1+A2)δ (t)
maka dengan mengevaluasi komponen δ ’(t) didapatkan :
(A1+A2)δ (t) = 2δ (t)
A1+A2 = 2 (1)
Dengan mengevaluasi koefisien δ (t) didapatkan:
3(A1+A2)δ (t) -A1e-t
| t=0δ (t) -2A2e-2t
| t=0δ (t) = 3δ (t)
3(A1+A2) - A1 - 2A2 = 3
2A1+A2 = 3 (2)
Dengan menyelesaikan persamaan (1) dan (2) didapat A1=1 dan A2 = 1
Dengan demikian tanggapan impuls sistem:
h(t) = e-t
u(t) + e-2t
u(t)
Program Studi Teknik Elektro UNIBA 17
Mata kuliah SISTEM LINIER
2.5. Konvolusi Kontinyu
Keluaran sistem dengan tanggapan impuls h(t) dan masukan x(t) dapat
direpresentasikan sebagai:
∑ −=
τ
τ εδτ εε
all
txty )()()(
∫
∞
∞−
−= dppthpxty )()()( (2.4)
atau dapat juga dinyatakan:
∫
∞
∞−
−= dpptxphty )()()(
Kedua rumusan diatas dikenal sebagai integral konvolusi. Untuk dua fungsi
sembarang x(t) dan h(t) maka integral konvolusi r(t) dapat dinyatakan sebagai:
r(t) = x(t) * h(t)
∫
∞
∞−
−= dppthpxtr )()()(
Konvolusi kontinyu mempunyai sifat-sifat sebagai berikut:
a) Komutatif
x(t)*y(t) = y(t)*x(t)
rxy(t) = ryx(t)
b) Distributif
x(t)*[y(t) ± z(t)] = [x(t)*y(t)] ± [x(t)*z(t)]
rxy(t) = ryx(t) ± rxz(t)
c) Asosiatif
x(t)*[y(t)*z(t)] = [x(t)*y(t)]*z(t)
Untuk memperjelas penggunaan integral konvolusi disajikan contoh sebagai berikut:
Contoh soal 2.5:
Dua buah isyarat mempunyai rumusan sebagai berikut:
x(t) = 1 0<t<1
0, t lainnya
dan,
h(t) = 1 1<t<2
0, t lainnya
Carilah sinyal r(t) yang merupakan hasil konvolusi dua isyarat tersebut.
Program Studi Teknik Elektro UNIBA 18
Mata kuliah SISTEM LINIER
Penyelesaian:
Untuk mencari nilai konvolusi kedua isyarat kontinyu digunakan:
r(t) = x(t) * h(t)
∫
∞
∞−
−= dppthpxtr )()()(
Pada rumus diatas dapat dilihat bahwa untuk mencari nilai r(t) diperlukan sinyal x(p)
dan sinyal h(t-p).
x(t) = 1 0<t<1
0, t lainnya
maka,
x(p) = 1 0<p<1
0, p lainnya
sedangkan h(t-p) dapat dicari sebagai berikut:
h(t-p) = 1 1<t-p<2
0, t-p lainnya
yang dibutuhkan adalah fungsi h dalam p maka:
h(t-p) = 1 -2+t<p<-1+t
0, p lainnya
Untuk mempermudah diilustrasikan sebagai berikut:
Gambar 2.2 Sinyal x(p), h(p) dan h(t-p)
Pada gambar diatas sinyal h(t-p) adalah sinyal h(-p) yang tergeser sejauh t. Dari
rumusan integral konvolusi dapat dilihat bahwa sinyal h(-p) dijalankan dari -∞
sampai +∞. Nilai integral konvolusi dapat dibagi menjadi beberapa kasus penggal
waktu t yaitu:
/ Pada saat t<1
/ Pada saat 1<t<2
/ Pada saat 2<t<3
/ Pada saat t>3
1
x(p)
p
1
-1 1
h(p)
p
1
2-1 1
h(t-p)
p
1
t-1t-2
19Program Studi Teknik Elektro UNIBA
Mata kuliah SISTEM LINIER
Untuk memperjelas keempat kasus ini x(p) dan h(t-p) digambarkan dalam satu sumbu
y(p).
Gambar 2.3 (a) Sinyal x(p) dan h(t-p) pada saat t<1
(b) Sinyal x(p) dan h(t-p) pada saat 1<t<2
(c) Sinyal x(p) dan h(t-p) pada saat 2<t<3
(d) Sinyal x(p) dan h(t-p) pada saat t>3
Hasil konvolusi r(t) pada tiap penggal waktu tersebut adalah sebagai berikut
a) Pada saat t<1
Pada periode ini sinyal h(t-p) belum sampai ke titik awal x(p) maka:
∫
∞
∞−
−= dppthpxtr )()()(
r(t) = 0
Program Studi Teknik Elektro UNIBA
1
h(t-p)
p
1
t-1t-2
y(p)
x(p)
(a)
1
h(t-p)
p
1
t-1t-2
y(p)
x(p)
(b)
1 p
1
h(t-p)
t-1t-2
y(p)
x(p)
(c)
1 p
1
h(t-p)
t-1t-2
y(p)
x(p)
(d)
20
Mata kuliah SISTEM LINIER
b) Pada saat 1<t<2
Pada saat 1<t<2 batasan bawah integral konvolusi berdasar Gambar 2.2 (b) adalah
0 dengan batas atas t-1.
∫
−
−=
1
0
)()()(
t
dppthpxtr
∫
−
=
1
0
)1)(1()(
t
dptr
r(t) = t-1
c) Pada saat 2<t<3
Pada saat 2<t<3 batasan bawah integral konvolusi berdasar Gambar 2.2 (c) adalah
t-2 dengan batas atas 1.
∫−
−=
1
2
)()()(
t
dppthpxtr
∫−
=
1
2
)1)(1()(
t
dptr
r(t) = 1-(t-2)
= 3-t
d) Pada saat t<3
Pada waktu ini h(t-p) sudah meninggalkan batas akhir x(p) sehingga:
∫
∞
∞−
−= dppthpxtr )()()(
r(t) = 0
Dengan demikian hasil konvolusi secara keseluruhan adalah sebagai berikut:
t-1 1<t<2
r(t) = 3-t 2<t<3
0, t lainnya
Gambar 2.4 Sinyal r(t) hasil konvolusi x(t) dan h(t)
Program Studi Teknik Elektro UNIBA
1 t
1 3-t
32
r(t)
t-1
21
Mata kuliah SISTEM LINIER
2.6. Konvolusi Diskrit
Konvolusi diskrit antara dua sinyal x(n) dan h(n) dapat dirumuskan sebagai berikut:
∑==
kall
k)-x(k)h(nh(n)*x(n)r(n) (2.5)
Komputasi tersebut diselesaikan dengan merubah indeks waktu diskrit n menjadi k
dalam sinyal x[n] dan h[n]. Sinyal yang dihasilkan x[k] dan h[k] selanjutnya menjadi
sebuah fungsi waktu diskrit k. Langkah berikutnya adalah menentukan h[n-k]
dengan h[k] merupakan pencerminan dari h[k] yang diorientasikan pada sumbu
vertikal dan h[n-k] merupakan h[ki] yang digeser ke kanan dengan sejauh n. Saat
pertama kali hasil perkalian x[k]k[n-k] terbentuk, nilai pada konvolusi x[n]*v[n]
pada titik n dihitung dengan menjumlahkan nilai x[k]h[n-k] sesuai rentang k pada
sederetan nilai integer tertentu. Untuk lebih jelasnya diperlihatkan dalam contoh
berikut.
Contoh soal 2.6:
Dua buah isyarat diskrit x(n) dan y(n) mempunyai representasi sebagai berikut:
x(n) = 1 n = -1,0,1
0, n lainnya
sedangkan,
1 n=1
y(n) = 2, n=2
0, n lainnya
carilah r(n) = x(n)*y(n).
Penyelesaian:
Untuk mencari nilai r(n) adalah sebagai berikut:
∑==
kall
k)-x(k)y(ny(n)*x(n)r(n)
dari rumusan tersebut dibutuhkan x(k) dan y(n-k).
Nilai x(k) didapat dengan mengganti indeks n menjadi k.
x(k) = 1 k = -1,0,1
0, k lainnya
Sedangkan y(n-k) adalah sebagai berikut :
1 k=n-1
y(n-k) = 2, k=n-2
0, n lainnya
Nilai r(n) dievaluasi untuk setiap n.
22Program Studi Teknik Elektro UNIBA
Mata kuliah SISTEM LINIER
a) Untuk n= -1
x(k) = δ (k+1) + δ (k) + δ (k-1)
y(-1-k) = 2δ (k+3) + δ (k+2)
∑==
kall
k)-x(k)y(ny(n)*x(n)r(n)
∑=
kall
k)-x(k)y(-1r(-1)
r(-1) = .... + x(-3)y(-3) + x(-2)y(-2)+x(-1)y(-1)+x(0)y(0)+....
r(-1) = 0
b) Untuk n= 0
x(k) = δ (k+1) + δ (k) + δ (k-1)
y(-1-k) = 2δ (k+2) + δ (k+1)
∑==
kall
k)-x(k)y(ny(n)*x(n)r(n)
∑=
kall
k)-x(k)y(-1r(0)
r(0) = .... + x(-2)y(-2)+x(-1)y(-1)+x(0)y(0)+x(1)y(1)....
= ...+(0)(2) +(1)(1) +(1)(0)+(1)(0)+....
r(0) = 1
c) Untuk n= 1
x(k) = δ (k+1) + δ (k) + δ (k-1)
y(-1-k) = 2δ (k+1) +δ (k)
r(1) = .... + x(-2)y(-2)+x(-1)y(-1)+x(0)y(0)+x(1)y(1)+x(2)y(2)+....
r(1) = ...+(0)(0)+(1)(2)+(1)(1)+(1)(0)+(0)(0)+....
r(1) = 3
d) Untuk n= 2
x(k) = δ (k+1) + δ (k) + δ (k-1)
y(-1-k) = 2δ (k) +δ (k-1)
r(1) = .... + x(-2)y(-2)+x(-1)y(-1)+x(0)y(0)+x(1)y(1)+x(2)y(2)+....
r(1) = ...+(0)(0)+(1)(0)+(1)(2)+(1)(1)+(0)(0)+....
r(1) = 3
Program Studi Teknik Elektro UNIBA 23
e) Untuk n = 3
x(k) = δ (k+1) + δ (k) + δ (k-1)
y(-1-k) = 2δ (k-1) +δ (k-2)
r(1) = .... x(-2)y(-2)+x(-1)y(-1)+x(0)y(0)+x(1)y(1)+x(2)y(2)+ + x(3)y(3)+....
r(1) = ...+(0)(0)+(1)(0)+(1)(0)+(1)(2)+(0)(1)+(0)(0)....
r(1) = 2
f) Untuk n= 4
x(k) = δ (k+1) + δ (k) + δ (k-1)
y(-1-k) = 2δ (k-2) +δ (k-3)
r(1) = .... x(-2)y(-2)+x(-1)y(-1)+x(0)y(0)+x(1)y(1)+x(2)y(2)+ + x(3)y(3)+....
r(1) = ...+(0)(0)+(1)(0)+(1)(0)+(1)(0)+(0)(2)+(0)(1)....
r(1) = 0
Jadi secara keseluruhan hasil konvolusi antara x(n) dan h(n) adalah:
r(n)= δ (n)+3δ (n-1)+ 3δ (n-2)+2δ (n-3)
x(k)
k
1
1 2-1-2-3 3
y(k)
k
1
1 2-1-2-3 3
2
(a)
y(n-k)
k
1
1 2-1-2-3 3
2
(b)
y(-k)
k
1
1 2-1-2-3 3
2
(c)
r(n)
n
1
1 2-1-2-3 3
2
4 5
3
24Program Studi Teknik Elektro UNIBA
Mata kuliah SISTEM LINIER
Gambar 2.5 (a) Sinyal x(k) dan y(k)
(b) Sinyal y(-k) dan y(n-k) pada saat n=1
(c) Sinyal hasil konvolusi r(n)
Mata kuliah SISTEM LINIER
BAB 3
TRANSFORMASI LAPLACE
3.1. Pengertian Laplace Transform
Transformasi laplace sering dipergunakan untuk menganalisa sinyal dan sistem linier
tak ubah waktu. Transformasi laplace mempunyai banyak karakteristik yang
mempermudah analisa tersebut. Transformasi laplace juga sering digunakan untuk
menyelesaikan persamaan diferensial sistem. Dalam desain sistem transformasi
laplace digunakan untuk menyatakan fungsi alih sistem. Berikut dibahas mengenai
transformasi laplace dimulai dari rumusan transformasi laplace.
( )( ) ( ) ( )∫
∞
−
==
0
st
etfsFtF (3.1)
dengan s adalah bilangan kompleks yaitu s=σ +jω . Penggunaan laplace transform
akan lebih jelas dengan contoh sebagai berikut.
Contoh soal 3.1:
Diketahui suatu fungsi f(t) sebagai berikut:
( ) { 0;0
0;
<
>= t
tAtf
Carilah tranformasi laplace F(s) dari fungsi tersebut.
Penyelesaian:
Dari rumusan transformasi laplace, nilai F(s) dapat dicari sebagai berikut:
( )( )
s
A
e
s
A
e
s
A
e
s
A
dteAtF
st
st
=
−
−
−
=
−
=
=
−∞−
∞−
∞
−
∫
0
0
0

Program Studi Teknik Elektro UNIBA 25
Mata kuliah SISTEM LINIER
Dari penyelesain tersebut dapat dilihat bahwa untuk A=1 berarti f (t) = u (t)
maka F (s) =
s
1
. Jadi untuk fungsi undak dapat diperlihatkan bahwa hasil
transformasi laplace adalah nilai dari fungsi tersebut dibagi dengan s. Untuk lebih
memantapkan penggunaan rumusan transformasi laplace disajikan contoh
transformasi laplace dari fungsi lereng.
Tabel 3.1 Tabel Transformasi Laplace
No f(t) F(s)
1 ( )tδ 1
2 1
s
1
3 t 2
1
s
4
)1(
1
−
−
n
t n
n
s
1
5 n
t 1
!
+n
s
n
6 at
e−
as +
1
7
atn
et
n
−−
−
1
)!1(
1
n
as )(
1
+
8 at
te −
2
)(
1
as +
9 Sin wt 22
ws
w
+
10 Cos wt 22
ws
s
+
11 atn
et −
1
)(
!
+
+ n
as
n
12 wte at
sin−
22
)( was
w
++
13 wte at
cos−
22
)( was
as
++
+
14 ( )at
e
a
−
−1
1
)(
1
ass +
Contoh soal 3.2:
Diketahui suatu fungsi sebagai berikut:
( ) ( 0;0
0;
<
≥= t
tAttf
Carilah F(s).
Program Studi Teknik Elektro UNIBA 26
Mata kuliah SISTEM LINIER
( )( )
∫
∫
∞ −
∞
−
∞
−
−
−
−
=
=
0
0
0
dt
s
eA
s
e
At
dtetAtf
stst
st

2
0
s
A
dte
s
A st
=
= ∫
∞
−
dari penyelesaian tersebut dapat dilihat bahwa hasil transformasi laplace untuk fungsi
lereng adalah gradient fungsi lereng dibagi dengan s. Dengan beberapa contoh
tersebut dapat dilihat bahwa transformasi laplace mengubah fungsi-fungsi umum
dalam t seperti fungsi undak, fungsi lereng, fungsi sinus dan fungsi-fungsi lain
menjadi fungsi-fungsi aljabar variabel kompleks s.
Penggunaan integral untuk mencari transformasi laplace dari suatu fungsi sering
menjadi pekerjaan yang kurang menyenangkan. Untuk lebih mempermudah proses
transformasi pada Tabel 3.1, disajikan tabel transformasi laplace.
3.2. Karakteristik Transformasi Laplace
Transformasi Laplace mempunyai beberapa sifat penting yang berguna untuk analisa
sinyal dan sistem linier tak ubah waktu. Sifat-sifat Transformasi Laplace antara lain
adalah sebagai berikut:
1) £ ( )[ ] ( )sFAtfA =
2) £ ( ) ( )[ ] ( ) ( )sFsFtftf 2121 ±=±
3) £ ( ) ( ) ( )±−=





± 0fsFstf
dt
d
4) £ ( ) ( ) ( ) ( )±−±−=





± 00
1
2
2
2
fsfsFstf
dt
d
5) £ ( ) ( )
( )
( )±−=




 −
−
−
± ∑ 0
1
1
kn
k
knn
n
n
fssFstf
dt
d
6) £ ( )[ ] ( ) ( )[ ]
s
dttf
s
sF
dttf
t ±=
±
∫
∫ +=
0
7) £ ( )[ ] ( ) ( )( )[ ] ±=
=
+−± ∫ ∫∑∫ ∫ += 0
1
1
1
t
k
n
k
knn
n
dttf
ss
sF
dttf 
Program Studi Teknik Elektro UNIBA 27
Penyelesaian:
Mata kuliah SISTEM LINIER
8) £ ( ) ( )
s
sF
dttf
t
=





∫0
9) ( ) ( ) ( ) ( )∫ ∫
∞ ∞
→
=
0 0
0
lim adatdtfjikasFdttf
s
10) £ ( )[ ] ( )asFtfe at
+=−
11) £ ( ) ( )[ ] ( ) 0≥=−− −
ααα α
sFetutf s
12) £ ( )[ ] ( )sF
ds
d
tft 2
2
2
=
13) £ ( )[ ] ( ) ( )sF
ds
d
tft n
n
nn
1−=
14) £ ( )[ ] ( )sF
ds
d
tft −=
15) £ ( ) ( ) ( )sdsFtf
t ∫
∞
=





0
1
16) £ ( )asFa
a
t
f =











Penggunaan sifat-sifat tersebut dalam membantu transformasi sinyal atau sistem
diaplikasikan dalam contoh berikut:
Contoh soal 3.3:
Carilah transformasi Laplace dari gambar sinyal berikut ini:
2a
a
1
a2
1
a2
f (t)
t
Penyelesaian:
Persamaan dari sinyal diatas adalah:
Program Studi Teknik Elektro UNIBA 28
Mata kuliah SISTEM LINIER
( ) ( ) ( )( ) ( ) ( )( )
( ) ( ) ( )atu
a
atu
a
tu
a
atuatu
a
atutu
a
tf
2
121
2
11
222
22
−+−−=
−−−−−−=
F (s) = £ f (t)
( )[ ] ( )[ ] ( )[ ]
( )asas
asas
ee
sa
e
sa
e
sasa
atu
a
atu
a
tu
a
2
2
2
222
222
21
1
111211
2
121
−−
−−
+−=
+−=
−+−−= 
Penyelesaian tersebut didapat dengan mengingat karakteristik:
£ [u(t)] =
s
1
£ ( ) ( )[ ] ( ) 0, ≥=−− −
ααα α
sFetutf s
3.3. Transformasi Laplace Balik
Transformasi balik dipergunakan untuk mendapatkan fungsi atau sinyal dalam bentuk
t dari suatu fungsi laplace s.
( )[ ] ( )tfsF =−1

( ) ( ) ( )∫
∞+
∞−
>=
jc
jc
st
tdsesF
j
tf 0
2
1
π
(3.2)
c = dipilih > dari semua bagian real titik singular.
Cara ini sangat sulit untuk dikerjakan maka dipakai Tabel Transformasi Laplace yang
ada pada Tabel 3.1, yaitu dengan cara mengubah fungsi ke dalam bentuk yang ada
dalam tabel.
( ) ( )
( )
( )( ) ( )
( )( ) ( )
( )nm
pspsps
zszszsk
sA
sB
sF
n
m
<
+++
+++
==


21
21
( ) ( )
( ) n
n
ps
a
ps
a
ps
a
sA
sB
sF
+
++
+
+
+
== 
2
2
1
1
dengan ka (k = 1, 2, …..n), ka dihitung sebagai berikut:
( ) ( )
( )
( ) ( ) ( )
k
ps
k
n
n
k
k
k
kpsk
a
ps
ps
a
ps
ps
a
ps
a
ps
ps
a
sA
sB
ps
k
k
=






+
+
+++
+
++
+
++
+
=





+
−=
−= 
2
2
1
1
jadi:
Program Studi Teknik Elektro UNIBA 29
Mata kuliah SISTEM LINIER
( ) ( )
( ) kps
kk
sA
sB
psa
−=






+=
( ) ( )[ ] ( )021
21
1
1
≥+++==
=





+
−−−
−−
teaeaeasFtf
ea
ps
a
tp
n
tptp
tp
k
k
k
n
k


Berikut contoh penggunaan tabel tranformasi laplace unntuk mendapatkan kembali
f(t) dari F(s) dengan orde penyebut lebih tinggi.
Contoh soal 3.4:
Diketahui F(s) sebagai berikut:
( )
( )( )21
4
++
+
=
ss
s
sF
carilah f (t).
Penyelesaian:
( )
( )( ) 2121
4 21
+
+
+
=
++
+
=
s
a
s
a
ss
s
sF
dengan rumusan ka didapat:
( )
( )( )
( )
( )( )
2
1
4
21
4
2
3
2
4
21
4
1
22
2
11
1
−=





+
+
=





++
+
+=
=





+
+
=





++
+
+=
−=−=
−=−=
ss
ss
s
s
ss
s
sa
s
s
ss
s
sa
jadi:
( ) ( )[ ]
( )
( ) ( )tuee
tee
ss
sFtf
tt
tt
2
2
11
1
23
023
2
2
1
3
−−
−−
−−
−
−=
≥−=






+
−
+





+
=
=


Berikut contoh penggunaan tabel tranformasi laplace untuk mendapatkan kembali f(t)
dari F(s) dengan orde pembilang lebih tinggi.
Contoh soal 3.5:
( )
( )( )21
895 23
++
+++
=
ss
sss
sG
carilah g (t).
Penyelesaian:
Pembagian pembilang dengan penyebut menghasilkan:
Program Studi Teknik Elektro UNIBA 30
Mata kuliah SISTEM LINIER
( )
( )( )
( ) ( ) 0;232
21
4
2
2
≥−++=
++
+
++=
−−
teett
dt
d
ss
s
ssG
tt
δδ
Untuk fungsi dalam yang melibatkan banyak kutub maka Transformasi Laplace
baliknya dikerjakan dengan ekspansi parsial sebagai berikut:
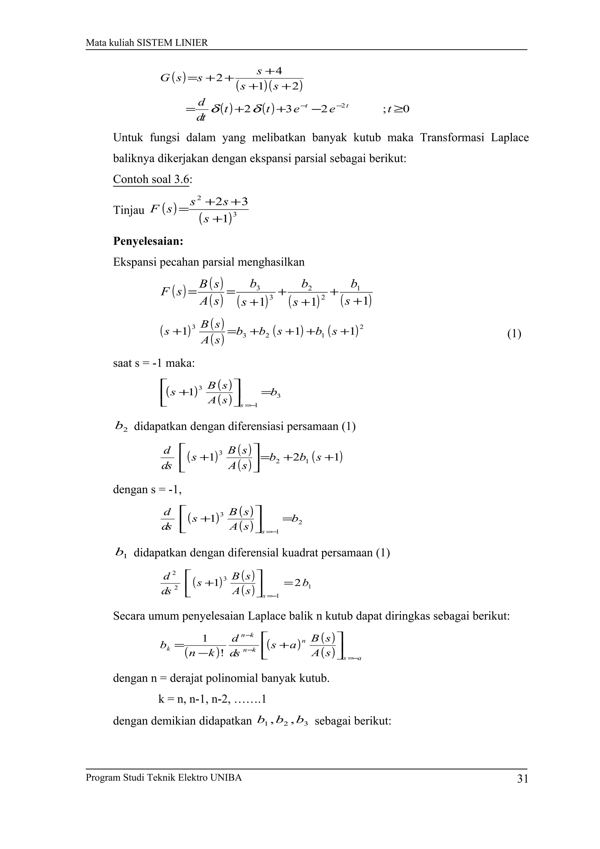
Contoh soal 3.6:
Tinjau ( )
( )3
2
1
32
+
++
=
s
ss
sF
Penyelesaian:
Ekspansi pecahan parsial menghasilkan
( ) ( )
( ) ( ) ( ) ( )111
1
2
2
3
3
+
+
+
+
+
==
s
b
s
b
s
b
sA
sB
sF
( ) ( )
( )
( ) ( )2
123
3
111 ++++=+ sbsbb
sA
sB
s (1)
saat s = -1 maka:
( ) ( )
( ) 3
1
3
1 b
sA
sB
s
s
=





+
−=
2b didapatkan dengan diferensiasi persamaan (1)
( ) ( )
( )
( )121 12
3
++=





+ sbb
sA
sB
s
ds
d
dengan s = -1,
( ) ( )
( ) 2
1
3
1 b
sA
sB
s
ds
d
s
=





+
−=
1b didapatkan dengan diferensial kuadrat persamaan (1)
( ) ( )
( ) 1
1
3
2
2
21 b
sA
sB
s
ds
d
s
=





+
−=
Secara umum penyelesaian Laplace balik n kutub dapat diringkas sebagai berikut:
( )
( ) ( )
( ) as
n
kn
kn
k
sA
sB
as
ds
d
kn
b
−=
−
−






+
−
=
!
1
dengan n = derajat polinomial banyak kutub.
k = n, n-1, n-2, …….1
dengan demikian didapatkan 321 ,, bbb sebagai berikut:
Program Studi Teknik Elektro UNIBA 31
Mata kuliah SISTEM LINIER
( ) ( )
( )
[ ]
2
32
1
32
1
1
2
1
3
2
3
3
=
++=






+
++
+=
−=
−=
s
s
ss
s
ss
sb
( ) ( )
( )
[ ]
0
22
)32(
1
32
1
1
1
2
1
3
2
3
2
=
+=




++=






+
++
+=
−=
−=
−=
s
s
s
s
ss
ds
d
s
ss
s
ds
d
b
( ) ( )
( )
1
2.
2
1
)32(
!2
1
1
32
1
!2
1
1
2
2
2
1
3
2
3
2
2
1
=
=






++=






+
++
+=
−=
−=
s
s
ss
ds
d
s
ss
s
ds
d
b
jadi untuk contoh soal 3.6.
( ) ( )[ ]
( ) ( )
( ) ( )
( ) ( )tuet
tet
eet
sss
sFtf
t
t
tt
−
−
−−
−
−
+=
≥+=
+=






+
+
+
+
+
=
=
1
01
1
1
1
0
1
2
2
2
2
23
1
1


3.4. Transformasi Laplace Untuk Penyelesaian Persamaan Diferensial
Penyelesaian persamaan diferensial dengan mencari tanggapan homogen dan
tanggapan paksa yang telah dibahas dalam Bab 2. Penyelesaian dengan cara tersebut
memerlukan perumpamaan tanggapan yang tepat. Cara yang lebih mudah untuk
menyelesaikan persamaan diferensial tanpa harus menggunakan perumpamaan
tanggapan adalah dengan transformasi Laplace.
Untuk mendapatkan solusi persamaan diferensial yang pertama dilakukan adalah
pengubahan persamaan ke bentuk s. Untuk lebih jelasnya disajikan contoh berikut:
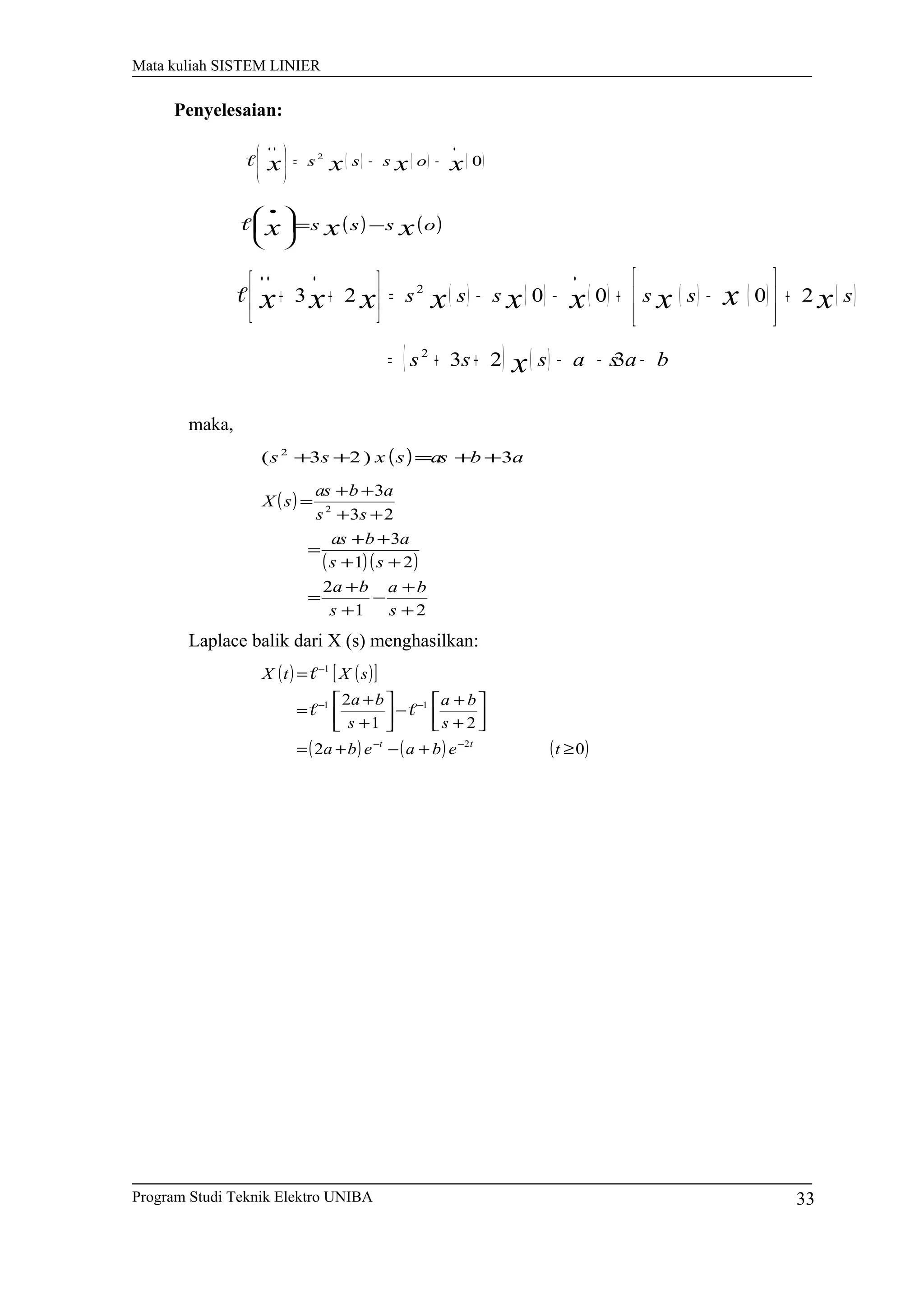
Contoh soal 3.7:
Carilah penyelesaian untuk persamaan diferensial berikut ini:
( ) ( ) bxaxxxx ===++ 0,0,023 

Program Studi Teknik Elektro UNIBA 32
Mata kuliah SISTEM LINIER
Penyelesaian:
( ) ( ) ( )02
xxxx osss
•••
−−=






( ) ( )osss xxx −=




 •

( ) ( ) ( ) ( ) ( ) ( )
( ) ( ) baa ssss
ssssss
x
xxxxxxxxx
−−−++=
+








−+−−=





++
••••
323
200023
2
2

maka,
( ) abassxss 3)23( 2
++=++
( )
( )( )
21
2
21
3
23
3
2
+
+
−
+
+
=
++
++
=
++
++
=
s
ba
s
ba
ss
abas
ss
abas
sX
Laplace balik dari X (s) menghasilkan:
( ) ( )[ ]
( ) ( ) ( )02
21
2
2
11
1
≥+−+=




+
+
−





+
+
=
=
−−
−−
−
tebaeba
s
ba
s
ba
sXtX
tt


Program Studi Teknik Elektro UNIBA 33
Mata kuliah SISTEM LINIER
BAB 4
TOPOLOGI SISTEM
4.1. Fungsi Alih
Sistem dapat direpresentasikan dalam berbagai representasi.
Representasi sistem kontinyu adalah sebagai berikut:
1) Persamaan dIferensial.
any(n)
(t) + an-1y(n-1)
(t) + ….. + a1y’
(t)+ a0y(t) = b0x(t) + b1x’
(t) + ….. + an-1x(n-1)
(t)+ anxn
(t)
2) Tanggapan impuls h(t).
h(t) = y(t)| x(t)=δ (t)
3) Fungsi alih sistem H(s).
1) Persamaan keadaan.
Untuk sistem diskrit:
1) Persamaan beda.
any(n)
(t) + an-1y(n-1)
(t) + ….. + a1y’
(t)+ a0y(t) = b0x(t) + b1x’
(t) + ….. + an-1x(n-1)
(t)+ anxn
(t)
2) Tanggapan cuplik satuan h(n).
h(n) = y(n)| x(n)=δ (n)
3) Fungsi alih sistem H(z).
4) Persamaan keadaan.
Fungsi alih menghubungkan antara masukan dan keluaran sistem. Fungsi alih untuk
fungsi kontinyu biasa dinyatakan dalam s (transformasi laplace) sedangkan untuk
fungsi diskrit dalam z (transformasi z).
Fungsi alih sistem =
Jurusan Teknik Elektro ISTA Yogyakarta
Keluaran Sistem
Masukan sistem
34
Mata kuliah SISTEM LINIER
( ) ( )
( )sX
sY
sH = ( )
( )
( )zX
zY
zH =
H (s)
Y (s)X (s)
Gambar 4.1 Fungsi alih sistem
4.2. Aljabar Diagram Blok
Representasi dalam fungsi alih sistem dapat diuraikan lagi menjadi hubungan antara
elemen-elemen dasar penyusunan. Hubungan tersebut disebut diagram blok. Pada
bagian ini akan dijelaskan konsep-konsep aljabar diagram blok yang berlaku dalam s
maupun z.
A B C
D
ce f y
x
+-
r
Gambar 4.2 Fungsi alih sistem dengan masukan r keluaran c
e = r –x
f = A.e = A ( r-x)
y = B.f = A.B (r-x)
c = C.y = A.B.C (r-x)
dengan x = D.c maka,
c = A.B.C. (r-D.c)
= A.B.C.r – A.B.C.D.c
(1+ABCD)c = ABCr
jadi: ABCD
ABC
r
c
+
=
1
Untuk sistem dengan beberapa masukan (masukan dan 2 gangguan) fungsi alihnya
dapat dicari sebagai berikut:
Program Studi Teknik Elektro UNIBA 35
Mata kuliah SISTEM LINIER
A B C
D
ce f y
x
+-
r
+
- +
+g t
z1 z2
Gambar 4.3 Fungsi alih sistem dengan masukan dan gangguan
Dari gambar didapatkan
e = r – x
f = Ae = A( r-x)
g = f + z1 = A (r-x) + z1
y = Bg = AB (r – x) + Bz1
t = y + z2 = AB (r-x) + Bz1 + z2
c = Ct = ABC (r-x) + BCz1 + Cz2
dengan x = Dc maka,
c = ABC (r-Dc) + BCz1
= ABCr – ABCDc + BCz1 + Cz2
(1+ ABCD) c = ABCr + BCz1 + Cz2
jadi:
r
c
(z1 = 0, z2 =0)
ABCD
ABC
r
c
+
=
1
⇒
1z
c
(r =0, z2 = 0) ABCD
BC
z
c
+
=
11
⇒
2z
c
( r =0, z1 = 0) ABCD
C
z
c
+
=
12
Untuk mempermudah modifiikasi diagram blok sistem yang berguna untuk mencari
konfigurasi yang lebih baik disajikan aturan aljabar diagram blok sebagai berikut:
Program Studi Teknik Elektro UNIBA 36
Mata kuliah SISTEM LINIER
Digram Blok Awal Diagram Blok ekuivalen
+- ++
A A-B
B C
A-B+C ++ +-
A A+C
C
A-B+C
B
+-
+
C
A A-B+C
B
+
++-
A
B
A-B
C
A-B+C
1.
2.
Program Studi Teknik Elektro UNIBA 37
Mata kuliah SISTEM LINIER
G1 G2
A AG1 AG1G2
G1 G2
A AG1 AG1G2
G2 G1
A AG2 AG1G2
G1G2A AG1G2
++
G1
G2
A AG1
AG2
AG1+AG2
G1+G2A AG1+AG2
+-
GA AG AG-B
B
+-
G
1/G
A A-B/G AG-B
B
3.
4.
5.
6.
+-
GA A-B AG-BG
B
+-
G
G
A AG
AG-BG
BGB
G
A
AG
AG
G
G
A
AG
AG
7.
8.
Program Studi Teknik Elektro UNIBA 38
Mata kuliah SISTEM LINIER
+-
A
B
A-B
A-B
+-
+
-
A
A-B
A-B
B
B
++
G1
G2
A AG1
AG2
AG1+AG2
++
G1
G1
G2
A AG1
AG2
AG1+AG2
G
1/G
A AG
A
GA AG
A
9.
10.
11.
+-
G1
G2
A B
+-
G2 G31
G2
A B
+-
G1
G2
A B
G1
1+G1G2
A B
12.
13.
Contoh soal 4.1:
Sederhanakan diagram blok berikut:
+- ++
G1 +
- G2 G3
H2
H1
R
C
1.
Program Studi Teknik Elektro UNIBA 39
Mata kuliah SISTEM LINIER
Penyelesaian:
Diagram blok 1 tersebut dengan mengakses titik umpan balik bagian atas ke depan
maka didapatkan diagram blok 2 berikut ini:
+- ++
G1 G2 G3
H1
R
C
+
-
H2
G1
2.
+-
R
+
- G3G1G2
1-G1G2H1
H2
G1
C4.
+-
G1G2G3
1-G1G2H1+G2G3H2
R C
5.
G1G2G3
1-G1G2H1+G2G3H2+G1G2G3
CR6.
4.3. Penerapan Aljabar Diagram Dalam Pemodelan Sistem
Dalam aplikasi sering suatu sistem fisis dimodelkan dalam bentuk matematis untuk
dapat dianalisa dan dirancang dengan lebih mudah. Beirikut akan dibahas sistem
permukaan zat cair
Program Studi Teknik Elektro UNIBA 40
Q
H
Mata kuliah SISTEM LINIER
Katup pengontrol
Katup beban
Kapasitas
C
Resistansi
R
Q + qi
H + h Q + qo
= laju aliran zat cair sec/3
m
qi = penyimpangan kecil laju aliran masuk sec/3
m
q0 = penyimpangan kecil laju aliran keluar sec/3
m
= Tinggi permukaan zat cair m
h = perubahan permukaan zat cair m
a) Resistansi
R =
b) Kapasitansi
C =
Untuk aliran Laminar,
Q = K H
Dengan, K = koefisien , sec/3
m
Resistansi untuk aliran Laminar,
Q
H
dq
dh
R ==
Untuk aliran Turbulens,
Q = K H
Program Studi Teknik Elektro UNIBA
Perubahan Perbedaan Permukaan (m)
Perubahan laju Aliran
Perubahan Cairan Yang Disimpan
Perubahan Potensial m
41
Mata kuliah SISTEM LINIER
Q
H
Q
HH
K
H
dQ
dH
dH
H
K
dQ
dQ
dH
tR
2
2
2
2
=
=
=
=
=
jadi,
Q
H
tR
2
=
Mencari Fungsi alih Sistem
C
dt
dh
= qi – qo (1)
dan,
qo =
R
h
(2)
substitusi persamaan (2) ke persamaan (1),
RC
dt
dh
+ h = Rqi
Dengan laplace transform dihasilkan:
CR (s +1 ) H(s) = R Qi (s)
Jika qi dianggap sebagai masukan dan h sebagai keluaran maka:
( )
( ) 1+
=
sRC
R
sQ
sN
i
apabila qo adalah keluaran dan qi adalah masukan, maka:
( )
( ) 1
10
+
=
sRCsQ
sQ
i
Untuk memahami pentingnya pemahaman tentang diagram blok sistem, maka
disajikan sebuah contoh untuk mendapat model sistem permukaan cairan dengan
interaksi:
Program Studi Teknik Elektro UNIBA 42
Resistansi:
Mata kuliah SISTEM LINIER
Q + q
H1 + h1 H2 + h2
C1
C2
R2
Tangki1 Tangki2
R1
Q + q1
Q + q2
dari gambar diatas di dapatkan:
1
1
21
1
21
Q
R
HH
q
Rs
hh
=
−
=
−
⇒
 (1)
( ) ( ) ( )sQsQsHsCqq
dt
dh
C 1111
1
1 −=−=
⇒
 (2)
( ) ( )sQ
R
sH
q
R
h
2
2
2
2
2
2
==
⇒
 (3)
( ) ( ) ( )sQsQsHCsqq
dt
hd
C 212221
2
2 −=−=
⇒
 (4)
+ -
1
R1
H1(s)
H2(s)
Q1(s)
+ -
1
C1S
Q(s)
Q1(s)
H1(s)
1
R2
H2(s) Q2(s)
+ -
1
C2S
Q2(s)
H2(s)Q1(s)
jika q adalah masukan dan q2 adalah keluaran, maka didapatkan bagan sebagai
berikut:
Program Studi Teknik Elektro UNIBA 43
Mata kuliah SISTEM LINIER
+-
1
C1S
+
- 1
R1
+-
1
C2S
1
R2
Q(s)
Q1(s)
H1(s)
H2(s)
Q1(s)
Q2(s)
H2(s)
Q2(s)
dengan penyederhanaan
+-+
- 1
C1S
1
R1
+-
1
C2S
R2C1S
1
R2
Q1(s) Q1(s) Q2(s)
+
-
1
R1C1s+1
1
R2C2s+1
R2C1s
1
R1C1R2C2s2
+( R1C1 + R2C2 + R2C1) s+1
Q(s) Q2 (s)
Q(s) Q2 (s)
jadi,
( )
( ) ( ) 1
1
122211
2
2211
2
++++
=
sCRCRCRsCRCRsQ
sQ
Program Studi Teknik Elektro UNIBA 44
Suatu sistem dapat diungkap berdasarkan hubungan masukan-keluaran saja (fungsi
alih) atau termasuk keadaan (dalam) sistem juga,
h (t)
H (s)
x (t)
X (s)
y (t)
Y (s)
= h (t) x(t)
= H (s) X(s)
dengan persamaan keadaan (state equation):
Gambar 5.1 Hubungan masukan dan keluaran dengan keadaan sistem
Pada Gambar 5.1, terlihat ada dua hubungan yang saling terkait, yaitu:
a) Masukan dengan keadaan sistem
b) Keluaran dengan keadaan sistem
Pada representasi dengan pendekatan ruang keadaan, maka keadaan sistem termasuk
kondisi awal akan terpantau yang dijelaskan dengan gambar sebagai berikut.
+
a
x (t) y (t) y (t)
Gambar 5.2 Sistem sederhana dengan masukan x(t) keluaran y(t)
Dari Gambar 5.2, dapat dituliskan:
( )=
•
ty x (t) + a y (t)
atau,
( )ty
•
- ay (t) = x (t)
tanpa masukan awal x (t) = 0 maka,
( )ty
•
= a y(t)
dy (t) = a y(t) dt
y (t) = a ∫ y(t) dt
bila operasi di mulai pada saat t = 0 maka,
Keadaan
Masukan Keluaran
45Program Studi Teknik Elektro UNIBA
Mata kuliah SISTEM LINIER
5.1. Konsep Dasar
BAB 5
PENDEKATAN RUANG KEADAAN
Mata kuliah SISTEM LINIER
( ) ( ) ( )
( )
( ) ( )[ ] awalkondisita
ta
tdtyaty
t
t
→−=
=
= ∫
0
0
0
ηη
η
Pada hasil y(t) terlihat kondisi awal sistem. Pembuktian juga dilakukan dengan
transformasi laplace sebagai berikut:
s Y(s) – y(0) = a Y(s)
(s-a) Y(s) = y(0)
Y(s) =
( )
as
y
−
0
y(t) = y (0) eat
dari hasil tersebut dapat dilihat bahwa walaupun masukan X (t) = 0, sistem akan tetap
mempunyai keluaran kalau nilai awal tidak nol (y (0) ≠ 0).
5.2. Representasi Sistem Dalam Persamaan Ruang Keadaan (State Space Equation)
Representasi ini memungkinkan untuk sistem dengan banyak masukan dan banyak
keluaran. Sistem dapat dinyatakan sebagai berikut :
•
X 1 (t) = f1 (X1, X2,……., Xn ; U1, U2,……..,Ur ; t )
•
X 2 (t) = f2 (X1, X2,……., Xn ; U1, U2,……..,Ur ; t )
•
•
•
•
X n (t) = fn (X1, X2,……., Xn ; U1, U2,……..,Ur ; t )
dengan keluaran,
y1 (t) = g1 (X1, X2,……., Xn ; U1, U2,……..,Ur ; t )
y2 (t) = g2 (X1, X2,……., Xn ; U1, U2,……..,Ur ; t )
•
•
•
ym (t) = gm (X1, X2,……., Xn ; U1, U2,……..,Ur ; t )
penulisan secara sederhana:
•
X (t) = f (x, u, t )
y (t) = g (x, u, t )
Program Studi Teknik Elektro UNIBA 46
Mata kuliah SISTEM LINIER
dengan:
( )
( )
( )
( )
( )
( )
( )
( )
( )









=










=










=
tu
tu
tu
ty
ty
ty
tx
tx
tx
rmn

111
untuk fungsi f dan g eksplisit terhadap waktu t maka,
•
X (t) = A (t) x(t) + B (t) u (t)
y (t) = C (t) x(t) + D (t) u (t)
untuk sistem linier tak ubah waktu,
•
X (t) = Ax(t) + Bu (t) → Persamaan keadaan
y (t) = Cx(t) + Du (t) → Persamaan keluaran
A adalah matriks keadaan.
B adalah matriks masukan.
C adalah matriks keluaran.
D adalah matriks transmisi langsung.
+
+
+
+
B (t)
D (t)
A (t)
C (t)
X (t) y (t)u (t) X (t)
dt
Gambar 5.3 Realisasi umum persamaan keadaan
Contoh soal 5.1:
Representasikan sistem berikut dalam persamaan ruang keadaan.
Gambar 5.4 Sistem massa pegas sederhana
Penyelesaian:
Fungsi alih sistem:
( )
( ) kbsmssU
sY
++
= 2
1
Program Studi Teknik Elektro UNIBA
b
k
u (t)
y (t)
M
47
Mata kuliah SISTEM LINIER
persamaan deferensial sistem:
m
••
y + b
•
y + ky = u
dengan menentukan:
x1(t) = y (t)
x2 (t) =
•
y (t)
maka diperoleh,
•
X 1 = x2
•
X 2 = u
m
ykky
m
11
+





−−
•
Dengan demikian di dapatkan persamaan keadaan:
•
X 1 = x2
•
X 2 = u
m
x
m
b
x
m
k 1
21 +−−
dan persamaan keluaran :
y = x1
dalam bentuk matriks dapat ditulis sebagai berikut:
[ ] [ ]001
1
010
2
1
2
1
2
1
=





=








−
+













−−
=








•
•
D
x
x
y
u
mx
x
m
b
m
k
x
x
C
BA

  
Realisasi persamaan keadaan tersebut adalah sebagai berikut:
+
-
+
+
u 1
m
b
m
k
m
x2
x1
yx2
Gambar 5.5 Realisasi persamaan keadaan sistem massa pegas
Contoh soal 5.2:
Dapatkan persamaan ruang keadaan dari gambar berikut:
Program Studi Teknik Elektro UNIBA 48
Mata kuliah SISTEM LINIER
+
-
s + z
s + p
K
s (s +a )
u y
Penyelesaian:
Dilakukan ekspansi parsial terhadap ps
zs
+
+
maka:
ps
zs
+
+
= 1+ ps
pz
+
−
sedangkan,
( ) ass
K
ass
K
+
•=
+
1
jadi kalau di gambarkan lagi akan menjadi sebagai berikut:
+
-
+
+z - p
s + p
K
s
1
s+a
yx1x2
nx3
m
u
m = u – x1
n = x3 + u – x1
Gambar 5.6 Penjabaran sistem pada contoh 5.2
dari gambar didapatkan:
•
X 1 = -ax1 + x2
•
X 2 = -Kx1 + kx3 + Ku
•
X 3 = - (z – p)x1 – px3 + (z – p)u
y = x1
dalam bentuk matriks dapat ditulis sebagai berikut:
( )
[ ]










=










−
+




















−−−
−
−
=














•
•
•
3
2
1
3
2
1
3
2
1
001
0
0
0
01
x
x
x
y
u
pz
K
x
x
x
ppz
KK
a
x
x
x
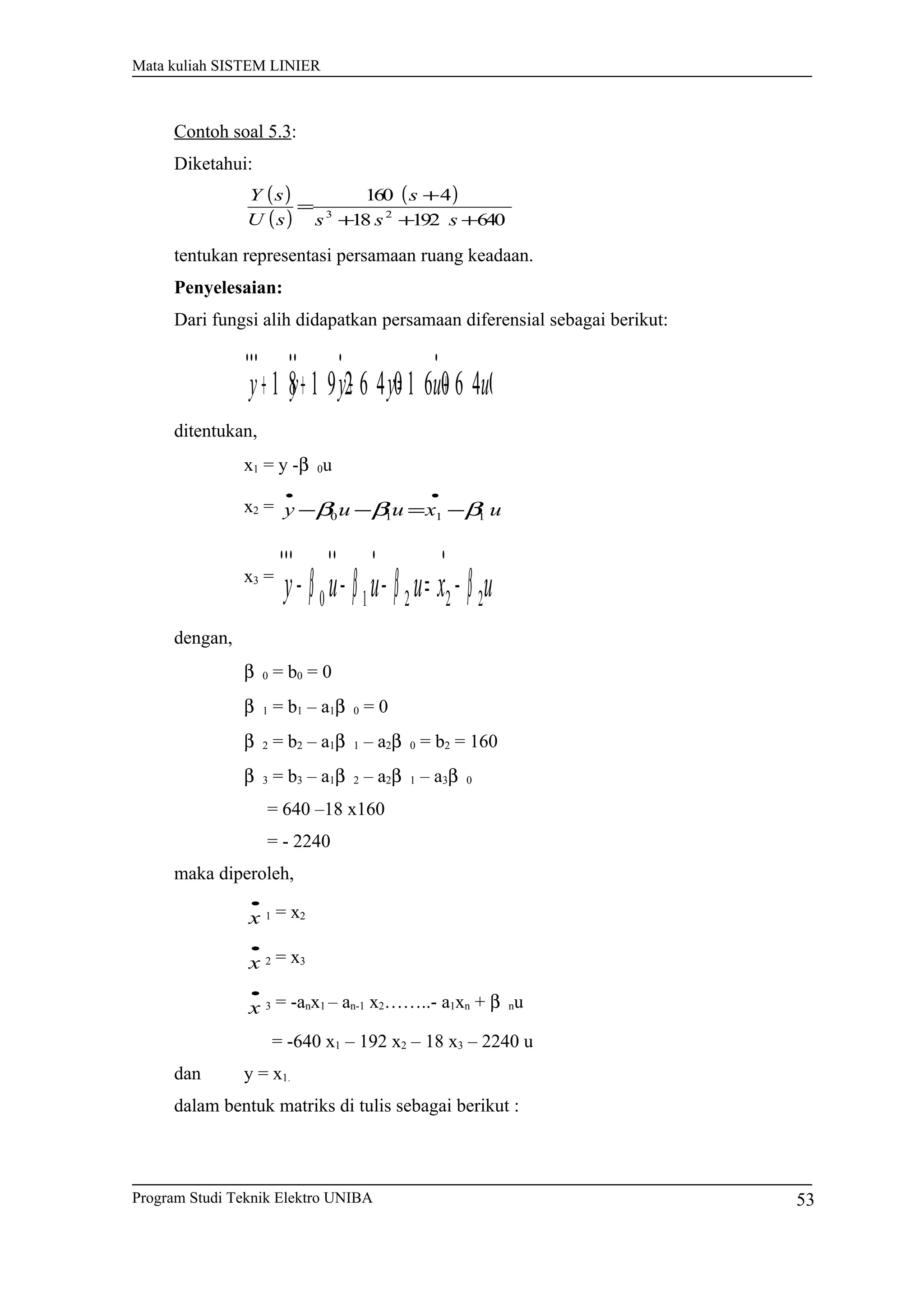
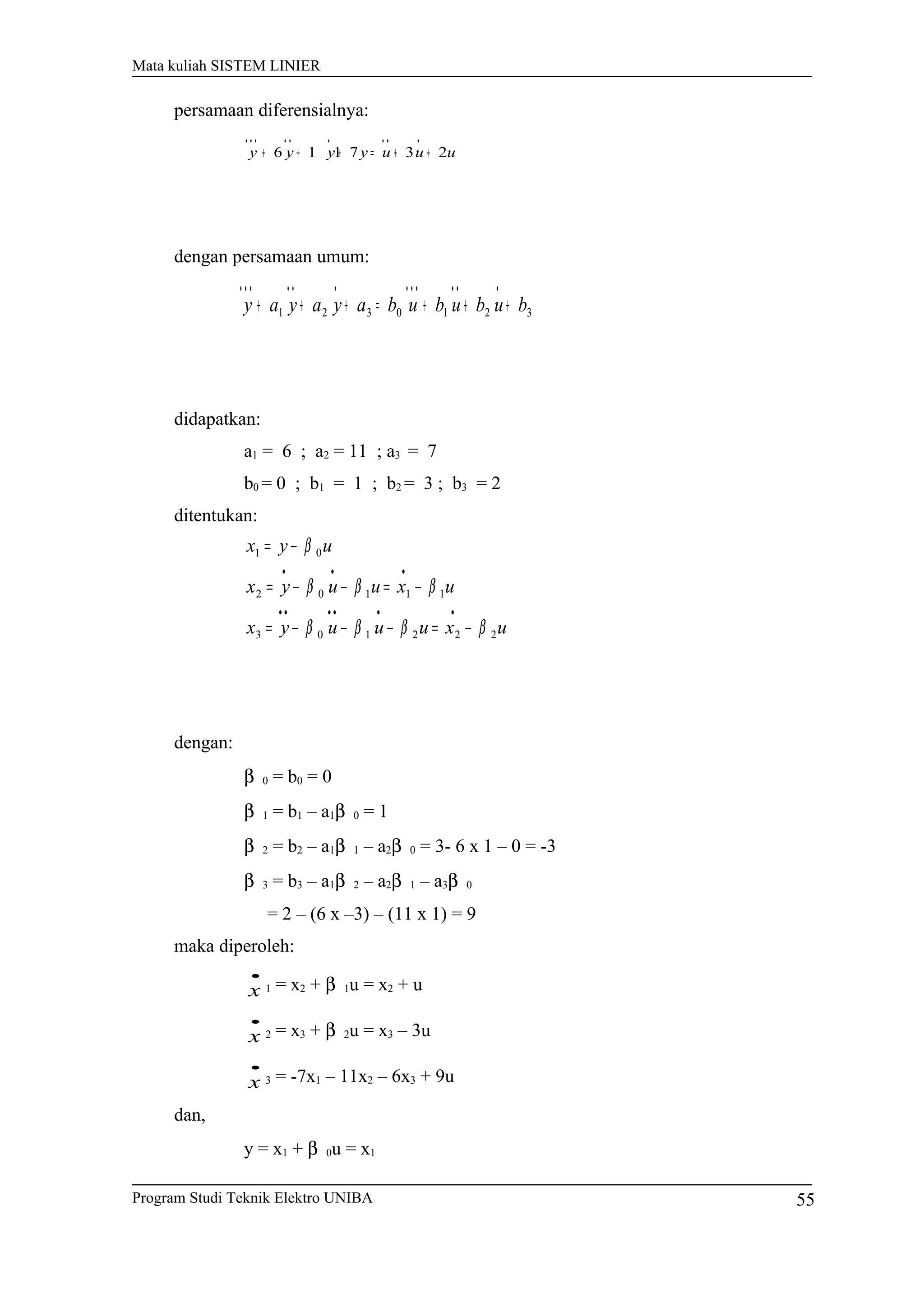
5.3. Persamaan Ruang Keadaan Dari Fungsi Alih
Untuk mencari persamaan keadaan dari fungsi alih persamaan ruang keadaan sistem
orde-n dari persamaan diferensial dengan masukan tanpa turunannya.
Program Studi Teknik Elektro UNIBA 49
Mata kuliah SISTEM LINIER
( ) ( )
uyayayay nn
nn
=+++
•
−
−
1
1
1 
ditentukan variabel keadaan sebagai berikut:
x1 = y
x2 =
•
y
•
•
•
xn = y(n-1)
maka turunan variabel keadaan dapat ditulis sebagai berikut:
•
X 1 = x2
•
X 2 = x3
•
•
•
•
X n-1 = xn
•
X n = - anx1 – an-1x2 ……….- a1xn + u dan y = x1
dalam bentuk matriks dapat ditulis:

u
x
x
x
aaaax
x
x
B
n
A
nnn
n












+




























−−−−
=














−−
•
•
•
1
0
0
1000
0100
0010
2
1
121
2
1

  






dan persamaan keluarannya adalah:
[ ]
















=
nx
x
x
x
y

 3
2
1
0001
realisasi dari persamaan ruang keadaan diatas adalah sebagai berikut:
Program Studi Teknik Elektro UNIBA 50
Mata kuliah SISTEM LINIER
+
-
+
+
+
+
+
+
y
x1x2
anan-1a2a1
xn-1xnu
Gambar 5.7 Realisasi umum persamaan ruang keadaan dari fungsi alih
dengan masukan tidak mengandung turunan
Persamaan ruang keadaan dari fungsi alih dengan masukan mengandung turunan:
( )
( ) nn
nn
nn
nn
aasas
bsbsbsb
sU
sY
++++
++++
=
−
−
−
−
1
1
1
1
1
10


persamaan diferensial dari fungsi diatas adalah:
( ) ( ) ( ) ( )
ubububyayayay n
nn
nn
nn
++=++++ −
−
−
 1
101
1
1
ditentukan variabel keadaan sebagai berikut:
x1 = y - β 0 u
x2 =
•
y - β 0
•
u - β 1u =
•
x 1 - β 1u
x3 =
••
y -β 0
••
u - β 1
•
u -β 2u =
•
x 2- β 2u
•
•
•
xn = y(n-1)
- β 0u(n-1)
- β 1u(n-2)
……..- β n-2
•
u -β n-1u =
•
x n-1- β n-1u
dengan:
β 0 = b0
β 1 = b1- a1β 0
β 2 = b2 – a1β 1-a2β 1-a3β 0
•
•
•
β n = bn – a1β n-1……..-an-1β 1- anβ 0
maka didapatkan,
Program Studi Teknik Elektro UNIBA 51
Mata kuliah SISTEM LINIER
•
x 1 = x2 + β 1u
•
x 2 = x3 + β 2u
•
•
•
•
x n-1 = xn + β n-1u
•
x n = -anx1 – an-1x2……….-a1xn + β nu
dan,
y = x1 + β 0u
dalam bentuk matriks dapat ditulis sebagai berikut:
[ ] u
x
x
x
y
u
x
x
x
x
aaaa
x
x
x
x
n
n
n
n
n
nnn
n
n
0
2
1
1
2
1
1
2
1
121
1
2
1
001
1000
0100
0010
β
β
β
β
β
+












=
















+
































−−−−
=


















−−
−−
•
•
−
•
•









Realisasi sistem:
+
+
+
+
+
+
+
+
+
+
+
-
ßn
ßn-1
a1
an-1
ß1 ß0
an
u xn x2 x1 y
Gambar 5.8 Realisasi umum persamaan ruang keadaan dari fungsi alih
dengan masukan mengandung turunan
Program Studi Teknik Elektro UNIBA 52
Mata kuliah SISTEM LINIER
Contoh soal 5.3:
Diketahui:
( )
( )
( )
64019218
4160
23
+++
+
=
sss
s
sU
sY
tentukan representasi persamaan ruang keadaan.
Penyelesaian:
Dari fungsi alih didapatkan persamaan diferensial sebagai berikut:
uuyyyy 6 4 01 6 06 4 01 9 21 8 +=+++
•••••••
ditentukan,
x1 = y -β 0u
x2 = uxuuy 1110 βββ −=−−
••
x3 =
uxuuuy 22210 ββββ −=−−−
•••••••
dengan,
β 0 = b0 = 0
β 1 = b1 – a1β 0 = 0
β 2 = b2 – a1β 1 – a2β 0 = b2 = 160
β 3 = b3 – a1β 2 – a2β 1 – a3β 0
= 640 –18 x160
= - 2240
maka diperoleh,
•
x 1 = x2
•
x 2 = x3
•
x 3 = -anx1 – an-1 x2……..- a1xn + β nu
= -640 x1 – 192 x2 – 18 x3 – 2240 u
dan y = x1.
dalam bentuk matriks di tulis sebagai berikut :
Program Studi Teknik Elektro UNIBA 53
Mata kuliah SISTEM LINIER
u
x
x
x
x
x
x










−
+




















−−−
=














•
•
•
2240
160
0
18192640
100
010
3
2
1
3
2
1
dan
[ ] [ ]u
x
x
x
y 0001
3
2
1
+










=
realisasi persamaan diatas adalah sebagai berikut:
+
-
+
+
+
+
+
+
-2240
18 192 640
160
u x3 x3
x2 x2
x1
x1 y
Gambar 5.9 Realisasi sistem contoh 5.3
Contoh soal 5.4:
Carilah representasi dalam persamaan ruang keadaan untuk diagram blok berikut ini:
+
-
s+1 s+1
s+3
u y
Gambar 5.10 Sistem contoh 5.4
Penyelesaian:
( )
( )
( )( )
( )( )( )
7116
23
3211
21
23
2
+++
++
=
++++
++
=
sss
ss
sss
ss
sU
sY
Program Studi Teknik Elektro UNIBA 54
Mata kuliah SISTEM LINIER
persamaan diferensialnya:
uuuyyyy 2371 16 ++=+++
•••••••••
dengan persamaan umum:
3210321 bubububayayay +++=+++
••••••••••••
didapatkan:
a1 = 6 ; a2 = 11 ; a3 = 7
b0 = 0 ; b1 = 1 ; b2 = 3 ; b3 = 2
ditentukan:
uxuuuyx
uxuuyx
uyx
222103
11102
01
ββββ
βββ
β
−=−−−=
−=−−=
−=
••••••
•••
dengan:
β 0 = b0 = 0
β 1 = b1 – a1β 0 = 1
β 2 = b2 – a1β 1 – a2β 0 = 3- 6 x 1 – 0 = -3
β 3 = b3 – a1β 2 – a2β 1 – a3β 0
= 2 – (6 x –3) – (11 x 1) = 9
maka diperoleh:
•
x 1 = x2 + β 1u = x2 + u
•
x 2 = x3 + β 2u = x3 – 3u
•
x 3 = -7x1 – 11x2 – 6x3 + 9u
dan,
y = x1 + β 0u = x1
Program Studi Teknik Elektro UNIBA 55
Mata kuliah SISTEM LINIER
dalam bentuk matriks:
[ ]










=










−+




















−−−
=














•
•
•
3
2
1
3
2
1
3
2
1
001
9
3
1
6117
100
010
x
x
x
y
u
x
x
x
x
x
x
realisasi sistemnya adalah:
+
-
+
+
+
+
+
+
+
+u
9
6 11
-3
x3 x2 x1
7
y
Gambar 5.11 Realisasi sistem contoh 5.4
Bentuk lain penyajian persamaan ruang keadaan dari fungsi alih yang mengandung
turunan masukan:
( ) ( )
( ) 254
562
23
2
+++
++
==
sss
ss
sU
sY
sH
sistem dari gambar dapat ditulis kembali ke persamaan menjadi:
s3
Y(s) + 4s2
Y(s) + 5s Y(s) +2Y(s) = 2s2
U(s) +6sU(s) + 5U(s)
s3
Y(s) = - 4s2
Y(s) - 5s Y(s) - 2Y(s) + 2s2
U(s) +6sU(s) + 5U(s)
Persamaan diatas jika digambarkan:
Program Studi Teknik Elektro UNIBA 56
Mata kuliah SISTEM LINIER
+
1
s
1
s
1
s
s s
26
5
-4
-5
-2
Y (s)
U (s)
5 U(s)
6sU (s) 2s2
U(s)
s3
Y(s) s2
Y(s) sY (s)
-4s2
Y(s)
-5sY (s)
-2Y(s)
Gambar 5.12 Bentuk dasar realisasi sistem gambar 5.10
Diagram di modifikasi dengan mengingat:
+
1
s
1
s
1
s
a
Y (s)s3
Y(s) s2
Y(s) sY(s)
as2
Y(s)
U(s)
s3
Y(s) = as2
Y(s) + U(s)
(a)
1
s
+
1
s
1
s
a
s2
Y(s) sY(s)
asY(s)
Y (s)
s2
Y(s) asY(s)
s3
Y(s) as2
Y(s)
U (s)
s3
Y(s) as2
Y(s) = U(s)
(b)
1
s
+
1
s
1
s
a
sY(s)
aY(s)
Y (s)s2
Y(s) asY(s)
s3
Y(s) as2
Y(s)
U (s)
s3
Y(s) as2
Y(s) = U(s)
sY(s) aY(s)
(c)
Gambar 5.13 Dasar pembentukan gambar 5.11
Program Studi Teknik Elektro UNIBA 57
Mata kuliah SISTEM LINIER
Umpan balik dalam suatu rangkaian mempunyai hasil yang sama walaupun di
tempatkan dimana saja.
Diagram dapat di gambar sebagai berikut :
+
1
s
1
s
1
s
5 + +
s2
Y(s) + 4sY(s) – 5Y(s) – 2sU(s) – 6U(s)
s3
Y(s) + 4s2
Y(s) + 5sY(s) – 2s2
U(s) – 6sU(s)
s2
Y(s) + 4sY(s) – 2sU(s)
sY(s) + 4Y(s) – 2U(s)
U(s)
p
6 2
-4
sY(s)
2U(s)
Y(s)
-4Y(s)
q
t
r
p
x
q
-5Y(s)
r
p
-5
-2
-2U(s)
5U(s)
Gambar 5.14 Modifikasi realisasi sistem gambar 5.11
→ s3
Y(s) + 4s2
Y(s) + 5sY(s) + 2Y(s) = 2s2
U(s) + 6sU(s) + 5U(s)
t = p + q + r
p = t- q – r = sY(s) – 2U(s) – (- 4Y(s))
Representasi persamaan keadaannya adalah sebagai berikut:
+ ++
1
s
1
s
1
s
5
-2
6
-5
2
-4
x3x3 x2 x2 x1
U(s)
x1 Y(s)
Gambar 5.15 Realisasi dalam bentuk lain sistem contoh 5.4
didapatkan
•
x 1 = -4x1 + x2 + 2u
•
x 2 = -5x1 + x3 + 6u
•
x 3 = -2x1 + 5u
dan,
y = x1
dalam bentuk matriks ditulis:
Program Studi Teknik Elektro UNIBA 58
Mata kuliah SISTEM LINIER
[ ]










=










+




















−
−
−
=














•
•
•
3
2
1
3
2
1
3
2
1
001
5
6
2
002
105
014
x
x
x
y
u
x
x
x
x
x
x
5.4. Kompensator
Kompensator dipasang mendapat sistem yang stabil dengan cara mengkompensasi
bagian sistem yang tidak stabil.
Sistem tak stabil:
1
s-a
X(s) Y(s)
Kompensator:
s-a
s-b
X(s) X`(s)
Secara aljabar ditulis:
1
s-a
s-a
s-b
X(s) Y(s)
Kompensator dapat dipasang di depan atau di belakang sistem:
X Ys-a
s-b
1
s-a
s-a
s-b
1
s-a
X Y
Program Studi Teknik Elektro UNIBA 59
Mata kuliah SISTEM LINIER
Perbedaan efek pemasangan kompensator di depan atau di belakang akan dalam
representasi persamaan keadaan berikut:
Untuk sistem dengan H(s) =
1
1
−s
dikompensasi dengan
1
1
+
−
s
s
maka:
+++-2
1
-1 1
U x2
V
yx1x1x2
Gambar 5.17 Realisasi sistem dengan kompensator di depan
untuk kompensator:
•
x 2 = -x2 – 2u
keluaran kompensator:
V = x2 + u
untuk sistem yang di kompensasi,
•
x 1 = x1 + v = x1 + x2 + u
keluaran,
y = x1
dalam bentuk matriks:
[ ] [ ]u
x
x
y
u
x
x
x
x
001
2
1
10
11
2
1
2
1
2
1
+





=






−
+











−
=








•
•
bentuk controllable, masukan dari masing-masing sistem dapat di kendalikan.
Kompensator di pasang di belakang.
1
s-1
u ys-1
s+1
dengan penguraian didapat:
Program Studi Teknik Elektro UNIBA 60
Mata kuliah SISTEM LINIER
+ ++
1
1 -1
U x2 yx1x1x2 -2
Gambar 5.17 Realisasi sistem dengan kompensator di belakang
•
x 1 = -x1 – 2x2
•
x 2 = x2 + u
dan,
y = x1 + x2
dalam bentuk matriks:
u
x
x
x
x






+










 −−
=








•
•
1
0
10
21
2
1
2
1
dan,
[ ] 





=
2
1
11
x
x
y
bentuk observable, dari keluaran dapat dilihat penyebab ketidakterkendalian.
5.5. Controllability dan Observability Sistem
1). Controllability
Syarat suatu sistem controllable:
Rank [ An-1
B An-2
B ………..AB B] = n
Contoh soal 5.5:
Diketahui suatu persamaan keadaan:
Program Studi Teknik Elektro UNIBA 61
Mata kuliah SISTEM LINIER
[ ] 





=






+










 −
=








•
•
2
1
2
1
2
1
01
1
1
4,04,0
2,01
x
x
y
x
x
x
x
Tinjaulah apakah sistem contollable.
Penyelesaian:






=






=










 −
=
1
1
8,0
8,0
1
1
4,04,0
2,01
B
AB
jadi,
[ ]
1
18,0
18,0
18,0
18,0
=











=
rank
BAB
n =2 rank seharusnya = 2 jadi sistem uncotrollable.
2). Observability
Syarat suatu sistem observable.
n
CA
CA
C
rank
n
=












−1

Contoh soal 5.6:
[ ] 





=






+











=








•
•
2
1
2
1
2
1
10
4
8
10
41
x
x
y
u
x
x
x
x
tinjaulah apakah sistem observable.
Penyelesaian:
n = 2 (sistem orde 2 )
Program Studi Teknik Elektro UNIBA 62
Mata kuliah SISTEM LINIER
[ ] [ ]
1
10
10
10
41
1010
=






=











==
rank
CA
C
rank
CAC
jadi sistem unobservable.
Contoh perhitungan rang matriks.
Contoh soal 5.7:












=
131
042
042
131
M
rank M = ….?
Penyelesaian:
1) Operasi → baris ke 3 - baris ke 2












=
131
000
042
131
M
2) Operasi : baris ke 4 - baris ke 1












=
000
000
042
131
M
3) Operasi : baris ke 2 - 2x baris ke 1












−−
=
000
000
220
131
M
jadi rank M = 2
[ ] [ ]021
1
1
4,02,0
6,05,0
=−−=






=





=
DC
BA
Program Studi Teknik Elektro UNIBA 63
Mata kuliah SISTEM LINIER
Program Studi Teknik Elektro UNIBA 64
DAFTAR PUSTAKA
Hans J. W., (penerjemah), 1996, " Sinyal dan Sistem Linier", Edisi ke-3, Erlangga, Jakarta.
O’Flynn M., Moriarty, E., 1987, “Linier Systems, Time Domain and Transform Analysis”,
John Wiley & Son, New York
Ogata K., "Teknik Kendali Automatik", Edisi ke-3, Erlangga, Jakarta.
Robert, M. J., “Signal and System” , Mc Graw Hill, New York.
Simon H., Barry V. V. , 2004, “Sinyal and Sistem”, John Wiley & Son, New York.

Diktat sistem-linier

  • 1.
    DIKTAT KULIAH SISTEM LINIER DisusunOleh: Bambang Apriyanto, ST FAKULTAS TEKNIK PROGRAM STUDI TEKNIK ELEKTRO
  • 2.
    Mata kuliah SISTEMLINIER FAKULTAS TEKNIK PROGRAM STUDI TEKNIK ELEKTRO 2007 Program Studi Teknik Elektro UNIBA 2
  • 3.
    Mata kuliah SISTEMLINIER KATA PENGANTAR Bismillaahirrahmaanirrahiim. Alhamdulillah penulis panjatkan ke hadirat Allah SWT atas segala rahmat dan karunia-Nya sehingga penulis dapat menyelesaikan diktat kuliah Sistem Linier. Diktat ini diharapkan dapat membantu para pembaca khususnya mahasiswa Program Studi Teknik Elektro Universitas Batam untuklebih mengenal dan memahami konsep sinyal dan sistem serta penerapannya. Diktat ini dapat diselesaikan atas bantuan banyak pihak, untuk itu penulis mengucapkan banyak terima kasih. Penulis menyadari bahwa masih banyak kekurangan dalam diktat ini untuk itu penulis mengharapkan kritik dan saran untuk penyempurnaan diktat ini. Akhirnya semoga diktat ini bermanfaat bagi proses belajar mengajar pada Program Studi Teknik Elektro Universitas Batam Batam, 1 September 2005 Penulis Program Studi Teknik Elektro UNIBA ii
  • 4.
    Mata kuliah SISTEMLINIER DAFTAR ISI Halaman HALAMAN JUDUL ----------------------------------------------------------------- i KATA PENGANTAR ---------------------------------------------------------------- ii DAFTAR ISI --------------------------------------------------------------------------- iii DAFTAR TABEL --------------------------------------------------------------------- v DAFTAR GAMBAR ------------------------------------------------------------------ vi BAB 1. OPERASI SINYAL ----------------------------------------------------- 1 1.1. Pendahuluan -------------------------------------------------------- 1 1.2. Sinyal Diskrit dan Kontinyu -------------------------------------- 1 1.3. Representasi Sinyal ------------------------------------------------- 4 1.4. Pergeseran, Pemantulan dan Penskalaan Waktu ---------------- 6 BAB 2. SISTEM LINIER TAK UBAH WAKTU -------------------------- 10 2.1. Pendahuluan ­­­­­­­­­­­­­­­­­­­­­­­­­­­­­­­­­­­­­­­­­­­­­­­­­­­­­­­­­ 10 2.2. Persamaan Diferensial Sistem ----------------------------------- 11 2.3. Persamaan Beda Sistem -------------------------------------------- 14 2.4. Tanggapan Impuls -------------------------------------------------- 16 2.5. Konvolusi Kontinyu ------------------------------------------------ 17 2.6. Konvolusi Diskrit --------------------------------------------------- 21 BAB 3. TRANSFORMASI LAPLACE -------------------------------------- 25 3.1. Pengertian Laplace Transform --- ------------------------------- 25 3.2. Karakteristik Transformasi Laplace ---------------------------- 27 3.3. Transformasi Laplace Balik ------------------------------------- 29 3.4. Transformasi Laplace Untuk Penyelesaian Persamaan Diferensial ------------------------------------------------------------ 32 BAB 4. TOPOLOGI SISTEM -------------------------------------------------- 34 4.1. Fungsi Alih --------------------------------------------------------- 34 4.2. Aljabar Diagram Blok -------------------------------------------- 35 4.3. Penerapan Aljabar Diagram Blok Dalam Pemodelan Sistem --- 39 BAB 5. PENDEKATAN RUANG KEADAAN ------------------------------ 44 5.1. Konsep Dasar ------------------------------------------------------- 44 Program Studi Teknik Elektro UNIBA iii
  • 5.
    Mata kuliah SISTEMLINIER 5.2. Representasi Sistem Dalam Persamaan Ruang Keadaan ----- 45 5.3. Persamaan Ruang Keadaan Dari Fungsi Alih ------------------ 49 5.4. Kompensator -------------------------------------------------------- 57 5.5. Controllability dan Observability System ----------------------- 60 DAFTAR PUSTAKA ----------------------------------------------------------------- 63 Program Studi Teknik Elektro UNIBA iv
  • 6.
    Mata kuliah SISTEMLINIER DAFTAR TABEL Halaman Tabel 3.1 Tabel Transformasi Laplace ----------------------------------------------- 26 Program Studi Teknik Elektro UNIBA v
  • 7.
    Mata kuliah SISTEMLINIER DAFTAR GAMBAR Halaman Gambar 1.1 Sistem kontinyu --------------------------------------------------------- 1 Gambar 1.2 Sistem diskrit ---------------------------------------------------------- 1 Gambar 1.3 Sinyal x(t) = u(t) -------------------------------------------------------- 2 Gambar 1.4 Sinyal x(t) = Π (t) -------------------------------------------------------- 2 Gambar 1.5 Sinyal x(t) = Λ (t) ------------------------------------------------------- 3 Gambar 1.6 Sinyal x(n) = δ (n) ------------------------------------------------------ 3 Gambar 1.7 Sinyal x(n) = u(n) -------------------------------------------------------- 3 Gambar 1.8 Sinyal x(t) --------------------------------------------------------------- 4 Gambar 1.9 (a) Sinyal y(t), (b) sinyal y1= u(t-a), (c) sinyal y2=u(t-b) ---------- 5 Gambar 1.10 (a) Sinyal x(2t), (b) Sinyal x(0,5t) ----------------------------------- 7 Gambar 1.11 (a) Sinyal x(t-1), (b) Sinyal x(t+2) ----------------------------------- 8 Gambar 1.12 (a) Sinyal x(-t), (b) Sinyal x(-0,5t) ----------------------------------- 9 Gambar 2.1 Rangkaian RLC untuk contoh 2.1 ------------------------------------ 11 Gambar 2.2 Sinyal x(p), h(p) dan h(t-p) ------------------------------------------- 19 Gambar 2.3 (a) Sinyal x(p) dan h(t-p) pada saat t<1 (b) Sinyal x(p) dan h(t-p) pada saat 1<t<2 (c) Sinyal x(p) dan h(t-p) pada saat 2<t<3 (d) Sinyal x(p) dan h(t-p) pada saat t> ------------------------------- 20 Gambar 2.4 Sinyal r(t) hasil konvolusi x(t) dan h(t) ----------------------------- 21 Gambar 2.5 (a) Sinyal x(k) dan y(k) (b) Sinyal y(-k) dan y(n-k) pada saat n=1 (c) Sinyal hasil konvolusi r(n) ---------------------------------------- 24 Gambar 4.1 Fungsi alih sistem -------------------------------------------------------- 34 Gambar 4.2 Fungsi alih sistem dengan masukan r keluaran c --------------------- 35 Gambar 4.3 Fungsi alih sistem dengan masukan dan gangguan ----------------- 35 Gambar 5.1 Hubungan masukan dan keluaran dengan keadaan sistem -------- 44 Gambar 5.2 Sistem sederhana dengan masukan x(t) keluaran y(t) --------------- 44 Gambar 5.3 Realisasi umum persamaan keadaan ---------------------------------- 46 Program Studi Teknik Elektro UNIBA vi
  • 8.
    Mata kuliah SISTEMLINIER Gambar 5.4 Sistem massa pegas sederhana ----------------------------------------- 46 Gambar 5.5 Realisasi persamaan keadaan sistem massa pegas ------------------ 47 Gambar 5.6 Penjabaran sistem pada contoh 5.2 ------------------------------------ 48 Gambar 5.7 Realisasi umum persamaan ruang keadaan dari fungsi alih dengan masukan tidak mengandung turunan ------------------------ 50 Gambar 5.8 Realisasi umum persamaan ruang keadaan dari fungsi alih dengan masukan mengandung turunan ------------------------------- 51 Gambar 5.9 Realisasi sistem contoh 5.3 ---------------------------------------------- 53 Gambar 5.10 Sistem contoh 5.4 -------------------------------------------------------- 53 Gambar 5.11 Realisasi sistem contoh 5.4 --------------------------------------------- 55 Gambar 5.12 Bentuk dasar realisasi sistem Gambar 5.10 -------------------------- 55 Gambar 5.13 Dasar pembentukan Gambar 5.11 -------------------------------------- 56 Gambar 5.14 Modifikasi realisasi sistem Gambar 5.11 ------------------------------ 56 Gambar 5.15 Realisasi dalam bentuk lain sistem contoh 5.4 ----------------------- 57 Gambar 5.16 Realisasi sistem dengan kompensator di depan --------------------- 58 Gambar 5.17 Realisasi sistem dengan kompensator di belakang ----------------- 59 Program Studi Teknik Elektro UNIBA vii
  • 9.
    Mata kuliah SISTEMLINIER BAB 1 OPERASI SINYAL 1.1. Pendahuluan Konsep sinyal dan sistem dikembangkan sangat luas diberbagai bidang antara lain: komunikasi, penerbangan, desain rangkaian elektronik, seismologi, biomedical, pembangkitan dan distribusi energi, kendali proses kimia, pengolahan suara dan berbagai penerapan lainnya. Pemahaman yang mendalam mengenai sinyal dan sistem sangat diperlukan untuk kemajuan penerapan konsep sinyal dan sistem. Bab 1 dan 2 diktat ini membahas output sistem linier tak ubah waktu dengan berbagai input. Konsep sinyal dan sistem dibahas baik dalam bentuk kontinyu maupun bentuk diskrit. Bab 3 akan membahas tentang transformasi laplace dan penggunaanya dalam analisis sinyal dan sistem. 1.2. Sinyal Diskrit dan Kontinyu Sinyal kontinyu adalah sinyal yang mempunyai nilai tak terputus dalam kawasan waktu. x(t) disebut sinyal kontinyu jika mempunyai nilai tak terrputus. Gambar 1.1 Sistem kontinyu Gambar diatas menunjukan sistem kontinyu dengan masukan x(t) setelah melalui proses dalam sistem maka keluaran sistem adalah y(t). Karakteristik y(t) dalam penerapanya adalah sesuai dengan karakteristik keluaran yang diinginkan perancang sistem. x(t) dan y(t) mempunyai nilai yang kontinyu sepanjang waktu (t). Untuk sinyal diskret, nilai dari sinyal ada pada satuan waktu diskret n yang merupakan bilangan bulat, - ∞ < n < ∞. Program Studi Teknik Elektro UNIBA x(t) sistem x(t) y(t) x(t) t t x(n) sistem x(n) y(n) x(n) n n 1
  • 10.
    Mata kuliah SISTEMLINIER Gambar 1.2 Sistem diskrit Gambar diatas menunjukan sistem diskrit dengan masukan x(n) setelah melalui proses dalam sistem maka keluaran sistem adalah y(n). Seperti halnya pada karakteristik keluaran sistem kontinyu maka keluaran sistem diskrit y(n) dalam penerapannya adalah sesuai dengan karakteristik keluaran yang diinginkan perancang sistem. Berikut dijelaskan beberapa sinyal yang sering digunakan dalam analisa sinyal dan sistem. a) Sinyal undak satuan u(t) Suatu sinyal x(t) didefinisikan sebagai u(t) jika x(t) = 1, t>0 = 0, t<0 Gambar 1.3 Sinyal x(t) = u(t) Sinyal ini dapat dipakai untuk merepresentasikan permulaan dan akhir suatu sinyal yang lebih kompleks. b) Sinyal kotak Π (t) Sinyal x(t) dikatakan sebagai Π (t) jika x(t) = 1, -0,5<t<0,5 = 0, t lainnya Gambar 1.4 Sinyal x(t) = Π (t) Program Studi Teknik Elektro UNIBA x(t) t 1 x(t) t 1 0,5-0,5 2
  • 11.
    x(n) n 1 x(n) n 1 Mata kuliah SISTEMLINIER c)Sinyal segitiga t Sinyal x(t) disebut sebagai L(t) jika x(t) = 1 - | t | , -1<t<1 = 0, t lainnya Gambar 1.5 Sinyal x(t) = Λt) d) Sinyal pulsa satuan δ (n) Sinyal x(n) disebut sebagai δ (n) jika x(n) = 1, n=0 = 0, n lainnya Gambar 1.6 Sinyal x(n) = δ (n) Sinyal δ (n) biasa digunakan untuk mencari tanggapan cuplik satuan suatu sistem diskrit. Sinyal ini juga dipergunakan untuk menyatakan suatu fungsi lain: ∑ ∞ −∞= −= k knkfnf )()()( δ (1.1) e) Sinyal undak satuan diskrit u(n) Sinyal x(n) disebut sebagai u(n) jika x(n) = 1, n ≥ 0 = 0, n lainnya Gambar 1.7 Sinyal x(n) = u(n) Program Studi Teknik Elektro UNIBA x(t) t 1 1-1 3
  • 12.
    Mata kuliah SISTEMLINIER 1.3. Representasi Sinyal Sinyal dapat direpresentasikan dalam berbagai cara. Representasi sinyal kontinyu dapat dijelaskan dengan lebih mudah dengan contoh berikut: Contoh soal 1.1: Suatu sinyal kontinyu seperti gambar berikut representasikan dalam suatu persamaan isyarat: Gambar 1.8 Sinyal x(t) Penyelesaian: Sinyal x(t) diatas mempunyai tiga kondisi yaitu: pada saat 0<t<2, pada saat 2<t<3 dan saat t yang lain. Dengan demikian dapat dirumuskan suatu fungsi sebagai berikut: x1(t),0<t<2 x(t) = x2(t),2<t<3 x3(t),t lainnya Dari grafik x(t) dapat dilihat bahwa kondisi selain 0<t<2 dan 2<t<3 tidak ada sinyal x(t) atau dapat dituliskan x3(t) = 0. Sedangkan pada saat 2<t<3 terlihat bahwa sinyal x(t) bernilai 1 sehingga dapat dituliskan x2(t) = 1. Untuk mencari nilai x1(t) dipergunakan rumusan persamaan garis antara dua titik. Isyarat x1(t) melalu titik (0,0) yang selanjutnya disebut titik 1 dan titik (2,1) yang selanjutnya disebut titik 2. Dengan dasar tersebut maka isyarat x1(t) dapat dicari sebagai berikut: 12 1 12 11 )( tt tt xx xtx − − = − − dengan memasukan nilai-nilai titik 1 dan titik 2 didapatkan: 02 0 01 0)(1 − − = − − ttx maka: Program Studi Teknik Elektro UNIBA x(t) t 1 21 3 4
  • 13.
    Mata kuliah SISTEMLINIER 2 )(1 t tx = Jadi x(t) dapat ditulis menjadi persamaan berikut : 05t, 0<t<2 x(t) = 1, 2<t<3 0, t lainnya Untuk menuliskan persamaan x(t) dalam satu persamaan dapat digunakan u(t-a) dan u(-b) sebagai awal dan akhir dari sinyal tersebut. Hal tersebut dapat dipahami dengan ilustrasi sebagai berikut: Gambar 1.9 (a) Sinyal y(t), (b) sinyal y1= u(t-a), (c) sinyal y2=u(t-b) Pada Gambar 1.9(a) adalah suatu sinyal yang bernilai 1 yang dimulai pada t = a dan diakhiri pada t = b. Sinyal tersebut dari gambar dapat dilihat merupakan hasil pengurangan sinyal y1(t) = u(t-a) (sinyal undak satuan yang tergeser ke kanan sejauh a) dengan sinyal y2(t) = u(t-b) (sinyal undak satuan yang tergeser ke kanan sejauh a). y(t) = y1(t) – y2(t) = u(t-a) –u(t-b) Untuk menyatakan suatu sinyal x(t) = e-t yang hanya mempunyai nilai pada saat t=1 sampai t = 5 dapat dinyatakan sebagai berikut: Program Studi Teknik Elektro UNIBA y2 (t) t 1 ba (c) y1 (t) t 1 ba (b) y(t) t 1 ba (a) 5
  • 14.
    Mata kuliah SISTEMLINIER x(t) = e-t {u(t-1) – u(t-5)} Contoh soal 1.2: Representasikan sinyal pada contoh 1.1 dalam satu persamaan 0,5t, 0<t<2 x(t) = 1, 2<t<3 0, t lainnya Penyelesaian: Sinyal tersebut terdiri dari dua isyarat yaitu isyarat bernilai 0,5t yang dimulai dari t=0 sampai t=2 dan isyarat yang bernilai 1 yang mulai saat t=2 dan berakhir pada t=3, maka dapat dinyatakan sebagai berikut: x(t) = 0,5t{u(t-0)-u(t-2)} + {u(t-2)-u(t-3)} = 0,5t {u(t)-u(t-2)} + u(t)-u(t-3) 1.4. Pergeseran, Pemantulan dan Penskalaan Waktu Dalam suatu sistem terjadi berbagai macam tindakan terhadap isyarat yang diterimanya. Tindakan atau operasi-operasi isyarat dilakukan dalam upaya mendapatkan isyarat yang sesuai dengan karakteristik yang diinginkan. Berikut akan dibahas tiga operasi dasar terhadap sinyal. Operasi pergeseran adalah operasi menggeser sinyal ke kanan atau ke kiri pada sumbu waktu. Dalam aplikasi pengolahan sinyal, hal ini dilakukan dengan tunda waktu. Operasi pemantulan dilakukan dengan mencerminkan isyarat terhadap sumbu vertikalnya. Penskalaan waktu adalah upaya menyempit dan melebarkan isyarat pada sumbu waktu. Operasi- operasi tersebut akan mudah dipahami dengan contoh sebagai berikut: Contoh soal 1.3: Lakukan operasi-operasi berikut terhadap isyarat x(t) pada contoh soal 1.1. a) Penskalaan waktu x(2t) dan x(0.5t) b) Operasi pergeseran x(t-1) dan x(t+2) c) Operasi pencerminan x(-t) dan x(-0,5t) Penyelesaian: a) x(2t) dapat dicari dengan memasukan 2t untuk menggantikan t pada fungsi x(t) 0,5t, 0<t<2 x(t) = 1, 2<t<3 0, t lainnya Program Studi Teknik Elektro UNIBA 6
  • 15.
    Mata kuliah SISTEMLINIER Nilai t digantidengan 2t maka didapatkan: 0,5.2t, 0<2t<2 x(2t) = 1, 2<2t<3 0, 2t lainnya Dengan menyederhanakan 2t maka didapat: t, 0<t<1 x(2t) = 1, 1<t<1,5 0, t lainnya Sedangkan untuk x(0.5t) dapat dicari sebagai berikut: 0,5(0,5t), 0<0,5t<2 x(0,5t) = 1, 2<0,5t<3 0, 0,5t lainnya Dengan penyederhanaan didapat: 0,25t , 0<t<4 x(0,5t) = 1, 4<t<6 0, t lainnya Gambar 1.10 (a) Sinyal x(2t), (b) Sinyal x(0,5t) Pada Gambar 1.10, kalau dibandingkan dengan gambar sinyal x(t) terlihat jelas operasi penskalaan waktu. Sinyal x(2t) merupakan operasi penyempitan skala waktu setengah kali dari skala waktu asli. Sinyal x(0,5t) merupakan operasi pelebaran skala waktu dua kali dari waktu aslinya. b) x(t-1) dapat dicari sebagai berikut : 0,5(t-1), 0<t-1<2 x(t-1) = 1, 2<t-1<3 0, t­1 lainnya Program Studi Teknik Elektro UNIBA x(0,5t) t 1 21 3 4 5 6 (b) x(2t) t 1 21 3 (a) 7
  • 16.
    Mata kuliah SISTEMLINIER dengan penyederhanaan: 0,5t-0,5, 1<t<3 x(t-1) = 1, 3<t<4 0, t lainnya Sedangkan x(t+2) dapat dicari sebagai berikut: 0,5(t+2), 0<t+2<2 x(t+2) = 1, 2<t+2<3 0, t+2 lainnya x(t+2) dapat disederhanakan: 0,5t+1, -2<t<0 x(t+2) = 1, 0<t<1 0, t lainnya Sinyal x(t-1) dan x(t+2) dapat digambarkan sebagai berikut: Gambar 1.11 (a) Sinyal x(t-1), (b) Sinyal x(t+2) Pada Gambar 1.11, terlihat operasi pergeseran sinyal. Sinyal x(t-1) adalah sinyal x(t) yang tergeser 1 ke kanan. Sinyal x(t+2) adalah sinyal x(t) yang tergeser ke kiri sejauh 2. Jadi pada isyarat dengan t mempunyai tanda positif maka akan tergeser ke kanan sebesar suatu bilangan kalau di kurangi suatu bilangan tersebut. Untuk pergesaran ke kiri (ditambah suatu bilangan) juga demikian. c) Operasi pencerminan x(-t) dan x(-0,5t) Nilai x(-t) dapat dicari sebagai berikut: -0,5t, 0<-t<2 x(-t) = 1, 2<-t<3 0, -t lainnya 4 5 x(t-1) t 1 21 3 (a) x(t+2) t 1 -2 -1 1 (b) -3 2 8Program Studi Teknik Elektro UNIBA
  • 17.
    Mata kuliah SISTEMLINIER dengan penyederhanaan didapatkan : -0,5t, -2<t<0 x(-t) = 1, -3<t<-2 0, t lainnya Sedangkan sinyal x(-0,5t) adalah sebagai berikut: 0,5(-0,5)t, 0<-0,5t<2 x(-0,5t) = 1, 2<-0,5t<3 0, -0,5t lainnya dengan penyederhanaan didapatkan : -0,25t, -4<t<0 x(-0,5t) = 1, -6<t<-4 0, t lainnya Sinyal x(-t) dan x(-0,5t) dapat digambarkan sebagai berikut: Gambar 1.12 (a) Sinyal x(-t), (b) Sinyal x(-0,5t) Pada Gambar 1.12, dapat dilihat bahwa sinyal x(-t) adalah hasil pencerminan sinyal x(t). Sinyal x(-0,5t) adalah hasil pencerminan dan penskalaan waktu sinyal aslinya. Program Studi Teknik Elektro UNIBA 1 x(-t) t 1 -2 -1-3 (a) x(-0,5t) t 1 -2 -1-5 (b) -3-4-6 9
  • 18.
    Mata kuliah SISTEMLINIER BAB 2 SISTEM LINIER TAK UBAH WAKTU Bab 2 pada diktat ini akan membahas tentang sistem linier tak ubah waktu kausal. Pembahasan ini dilakukan dengan mempertimbangkan banyaknya model linier yang digunakan dalam hampir semua bidang kerekayasaan. Sistem linier mempunyai sifat-sifat sebagai berikut: a) Sifat kehomogenan Jika input u memberikan keluaran y maka input au akan menghasilkan keluaran ay. b) Sifat superposisi Jika input u1 and u2 menghasilkan output y1 and y2, dan untuk l input (u1+u2) menghasilkan output (y1+y2). 2.1. Pendahuluan Sistem dapat diartikan sebagai hubungan antara input dan output. Pada umumnya input adalah sebab dan output adalah akibat. Beberapa contoh sistem yang umum kita kenal adalah: 1) Sebuah rangkaian listrik dengan input tegangan dan / atau arus sumber sedangkan outputnya yaitu tegangan dan / atau arus yang mengalir pada beberapa titik pada rangkaian tersebut. 2) Sebuah sistem kanal komunikasi dengan input sebanding dengan sinyal yang ditransmisi pada kanal tersebut sedangkan outputnya adalah sinyal yang sampai pada ujung kanal. 3) Sebuah sistem biologi seperti mata manusia dengan input sinyal gambar yang masuk ke retina mata dan outputnya adalah rangsangan syaraf yang selanjutnya diolah di otak untuk pengambilan keputusan informasi apa yang masuk. 4) Sebuah manipulator robot dengan input n torsi yang diaplikasikan ke robot tersebut dan output posisi akhir salah satu lengannya. 5) Proses manufaktur, dengan input bahan mentah yang dimasukkan dan outputnya berupa jumlah barang yang diproduksinya. Program Studi Teknik Elektro UNIBA 10
  • 19.
    Mata kuliah SISTEMLINIER 6) Lebih spesifik lagi dalam bidang engineering sistem sering diartikan sebagai model matematik yang mengubungkan antara masukan atau gaya luar dengan keluaran atau tanggapan sistem. Sistem dapat diklasifikasikan dalam berbagai kategori. a) Sistem kausal dan non kausal ♦Sistem kausal: y(t) = x(t) + 2x(t-1) ♦Sistem non kausal: y(t) = x(t+1) – x(t) + 3x(t-2) Sistem kausal memberikan nilai keluaran terhadap masukan yang telah masuk pada sistem. Semua sistem fisika yang nyata termasuk dalam sistem kausal. Sistem non kausal adalah sistem antisipatif yaitu sistem mampu memberi respon terhadap masukan yang akan datang. Sistem non kausal sering ditemui dalam aplikasi elektrik modern seperti pada sistem kendali adaptif. b) Sistem bermemori dan tanpa memori Sistem bermemori adalah sistem yang keluarannya merupakan fungsi dari masukan sekarang dan masukan sebelumnya. / Sistem bermemori: y(t) = -4x(t-1) + 2x(t) / Sistem tanpa memori: y(t) = 2x(t) 2.2. Persamaan Diferensial Sistem Penggambaran sistem waktu kontinyu, selalu berkaitan dengan bentuk representasi matematik yang mengambarkan sistem tersebut dalam keseluruhan waktu. Dapat pula secara sederhana dikatakan, bahwa suatu sistem disebut sebagai sistem waktu kontinyu jika input dan output berupa sinyal waktu kontinyu. Sistem kontinyu dapat dinyatakan dalam persamaan diferensial sistem. Dengan masukan adalah x(t) dan ouput y(t) maka sistem linier tak ubah waktu dapat dinyatakan sebagai berikut: any(n) (t) + an-1y(n-1) (t) + … + a1y’ (t)+ a0y(t) = b0x(t) + b1x’ (t) + … + an-1x(n-1) (t)+ anxn (t) (2.1) Suku kanan persamaan tersebut sering digabungkan menjadi: f(t) = b0x(t) + b1x’ (t) + ….. + an-1x(n-1) (t)+ anxn (t) dengan f(t) disebut fungsi pemaksa. Berikut contoh persamaan diferensial sistem: Contoh soal 2.1: Modelkan sistem berikut dalam persamaan Diferensial Program Studi Teknik Elektro UNIBA 11
  • 20.
    Mata kuliah SISTEMLINIER Gambar 2.1 Rangkaian RLC untuk contoh 2.1 Penyelesaian: Dengan hukum Kirchoff tegangan didapatkan: 0,i(t)1/Cdi/dtLRi(t)e(t) t 0 >++= ∫ tdt dengan mendiferensialkan kedua suku didapat: )( 1)(d L dt di(t) R dt de(t) 2 2 ti Cdt ti ++= keadaan awal untuk memecahkan persamaan ini adalah: 2 dt di(t) 0t == = i(0+ )=0 Untuk memecahkan persamaan diferensial disajikan teorema sebagai berikut: Persamaan diferensial sistem: any(n) (t) + an-1y(n-1) (t) + ….. + a1y’ (t)+ a0y(t) mempunyai keadaan awal: y(0), y’(0),……,yn-1 maka tanggapan lengkap sistem: y(t) = yho(t) + yf0(t) dengan: yho(t) = tanggapan homogen, alami, bebas, dan transient. yf0(t) = tanggapan paksa, akhir, steady state. Tanggapan homogen didapatkan dengan menyelesaikan persamaan sistem pada saat masukan sama dengan nol f(t)=0. Tanggapan ini disebut tanggapan alami sistem merupakan tanggapan sistem sebelum ada masukan. Tanggapan paksa didapatkan dengan menerapkan masukan f(t) pada sistem. Untuk lebih jelas, disajikan contoh berikut. Contoh soal 2.2: Selesaikan persamaan diferensial berikut jika diberikan kondisi awal y(0) = 1 dan y’(0) = 2 y’’(t) + 3y’(t) + 2y(t) = e2t Penyelesaian: a) Langkah 1. Mencari yho(t) Program Studi Teknik Elektro UNIBA 12 ΩR=2 L=1H C=0,5 F2A/dt i(t)e(t)
  • 21.
    Mata kuliah SISTEMLINIER Persamaan homogen sistem adalah sebagai berikut: y’’(t) + 3y’(t) + 2y(t) = 0 Dengan permisalan bahwa yho(t) = Aemt maka didapatkan : d’’(Aemt )/dt2 + 3d’(Aemt )/dt +2(Aemt ) = 0 Aemt (m2 + 3m + 2) = 0 Dari persamaan tersebut terlihat bahwa tidak ada nilai A (selain nol) dan nilai emt (kecuali m = - ∞) yang membuat nilai suku kiri nol. Nilai A= 0 dan m = - ∞ tidak diinginkan untuk menyelesaikan persamaan maka nilai m yang memenuhi persamaan diatas adalah: (m2 + 3m + 2) = 0 sehingga m = -1 dan m =-2. Dengan demikian solusi untuk yho(t) adalah: yho(t) = A1e-t + A2e-2t b) Langkah 2. Mencari yfo(t) Menyelesaikan persamaan: y’’(t) + 3y’(t) + 2y(t) = e2t Berdasarkan perkiraan keluaraan terhadap masukan yang ada dilakukan permisalan sebagai berikut: yfo(t) = Ae2t Subsitusi ke dalam persamaan sistem menghasilkan: (4A+6A+2A)e2t = e2t dari persamaaan tersebut didapatkan : (4A+6A+2A) = 1 A = 0,083 Dengan demikian : yfo(t) = 0,083e2t c) Langkah 3. Dengan menggabungkan langkah 1 dan langkah 2 maka didapatkan tanggapan lengkap sistem: y(t) = A1e-t + A2e-2t + 0,083e2t Program Studi Teknik Elektro UNIBA 13
  • 22.
    Mata kuliah SISTEMLINIER d). Langkah 4. Menerapkan keadaan awal y(0) = 1 dan y’(0) = 2 pada tanggapan lengkap sistem. Dengan menerapkan y(0)=1 didapatkan: y(0) = A1e-1*0 + A2e-2*0 + 0,083e2*0 1 = A1 + A2 +0,083 A1 + A2 = 0,917 Dengan menerapkan y’(0) = 2 didapatkan: d(y(t))/dt = d(A1e-t )/dt + d(A2e-2t )/dt+d(0,083e2t )/dt dengan memasukan nilai keadaan awal: 2 = - A1 - 2A2 + 0,166 A1 + 2A2 = -1,834 Dengan eliminasi persamaan yang didapatkan dari keadaan 1 dan 2 didapatkan: A2 = -2,751 dan A1 =3,668 Dengan demikian tanggapan lengkap sistem adalah: y(t) = 3,668e-t – 2,751e-2t + 0,083e2t 2.3. Persamaan Beda Sistem Persamaan beda sistem adalah persamaan hubungan masukan dan keluaran pada sistem diskrit. Dengan keluaran adalah y(n) sedangkan masukan adalah x(n) persamaaan beda sistem dapat ditulis sebagai berikut: any(n) + an-1y(n-1) + ….. + apy(n-p) = bnx(n) + bn-1x(n-1) + ….. + an-mx(n-m) (2.2) Suku kanan persamaan tersebut sering digabungkan menjadi: f(n) = bnx(n) + bn-1x(n-1) + ….. + an-mx(n-m) dengan f(n) disebut fungsi pemaksa. Persamaan beda sistem orde p dengan kondisi awal y(-1), y(-2), y(-3),….y(-p) mempunyai tanggapan lengkap: y(n) = yho(n) + yf0(n) dengan: yho(n) = tanggapan homogen, alami, bebas, dan transient. yf0(n) = tanggapan paksa, akhir, steady state. Tanggapan homogen didapatkan dengan menyelesaikan persamaan sistem pada saat masukan sama dengan nol f(n)=0. Tanggapan paksa didapatkan dengan menerapkan masukan f(n) pada sistem. Program Studi Teknik Elektro UNIBA 14
  • 23.
    Mata kuliah SISTEMLINIER Contoh soal 2.3: Selesaikan persamaan beda sistem berikut jika diberikan kondisi awal y(-1) = 2 y(n) + 0,2y(n-1) = 6. Penyelesaian: a) Langkah 1. Mencari yho(n) Persamaan homogen sistem adalah sebagai berikut: y(n) + 0,2y(n-1) = 0 Dengan permisalan yho(n) = C(α )n maka: y(n-1) = C(α )n-1 = kα n dengan k= Cα -1 Subsitusi kepersamaan homogen sistem menghasilkan : C(α )n + 0,2 C(α )n-1 =0 C(α )n-1 (α + 0,2) =0 Hanya nilai C=0 dan (α )n-1 = 0 yamg membuat nilai suku kiri nol dari komponen C(α )n . Nilai-nilai ini tidak diinginkan untuk menyelesaikan persamaan maka nilai α yang memenuhi persamaan diatas adalah: α + 0,2 =0 α = - 0,2 Dengan demikian solusi untuk yho(n) adalah: yho(n) = C(-0,2)n b) Langkah 2. Mencari yfo(n) Tanggapan paksa sistem didapatkan dengan menyelesaikan persamaan: y(n) + 0,2y(n-1) =6 Berdasarkan perkiraan keluaran terhadap masukan yang ada dilakukan permisalan sebagai berikut: yfo(n) = A (untuk penjumlahan semua yfo(n)) Subsitusi ke dalam persamaan sistem menghasilkan: yfo(n) + 0,2 yfo(n-1) =6 A + 0,2A =6 A=5 Dengan demikian: yfo(n) = 5 Program Studi Teknik Elektro UNIBA 15
  • 24.
    Mata kuliah SISTEMLINIER c) Langkah 3. Dengan menggabungkan langkah 1 dan langkah 2 maka didapatkan tanggapan lengkap sistem: y(n) = 5 + C(-0,2)n d) Langkah 4. Menerapkan keadaan awal y(0) = 1 dan y’(0) = 2 pada tanggapan lengkap sistem. Dengan menerapkan y(-1) = 2 didapatkan: y(-1) = 5 + C(-0,2)-1 5C = 5 – 2 C=0,6 Dengan demikian tanggapan lengkap sistem adalah: y(n) = 5 + 0,6(-0,2)n 2.4. Tanggapan Impuls Tanggapan impuls h(t)n adalah tanggapan sistem jika mendapat masukan berupa sinyal impuls. Suatu sistem linier tak ubah waktu: any(n) (t) + an-1y(n-1) (t) + ….. + a1y’ (t)+ a0y(t) = b0x(t) + b1x’ (t) + ….. + bmxm (t) mempunyai tanggapan impuls h(t) dengan rumusan berikut: x(t) = δ (t) dan y(t)=0, -∞<t<0 h(t) = y(t)| x(t)=δ (t) (2.3) Contoh soal 2.4: Tentukan tanggapan impuls sistem 2y’(t) + 3y(t) = 4 x(t). Penyelesaian: Untuk mencari tanggapan implus maka masukan x(t) = δ (t). 2y’(t) + 3y(t) = 4 δ (t) Dengan h(t) = y(t)| x(t)=δ (t) maka persamaan diatas dapat dituliskan sebagai berikut: 2h’(t) + 3h(t) = 4 δ (t) (1) Dari penyelesaian persamaan diferensial yang telah dipelajari sebelumnya kita dapat mengasumsikan penyelesaian untuk h(t): h(t) = Ae-1,5t u(t) + 0δ (t) diasumsikan 0δ (t) karena pada sistem orde satu ini masukan tidak mempunyai δ ’(t) sehingga untuk t>0 δ (t)=0. Program Studi Teknik Elektro UNIBA 16
  • 25.
    Mata kuliah SISTEMLINIER Dengan subsitusi asumsi ke persamaan (1) dihasilkan: 2d/dt[Ae-1,5t u(t)] + 3A e-1,5t u(t) = 4δ (t) Dengan mempertimbangkan waktu t=0 didapatkan: 2Ae-1,5t | t=0δ (t) = 4δ (t) 2Aδ (t) = 4δ (t) A=2 Dengan demikian: h(t) = 2 e-1,5t u(t) Contoh soal 2.5: Tentukan tanggapan impuls sistem y’’(t) + 3y’(t) + 2y(t) = 3x(t) + 2 x’(t). Penyelesaian: Untuk mencari tanggapan implus maka masukan x(t) = δ (t). y’’(t) + 3y’(t) + 2y(t) = 3δ (t) + 2δ ’(t) dengan persamaan karakteristik: m2 + 3m +2 =0 dan y(t) tidak mengandung komponen δ (t) (tidak terdapat δ ’’(t) diruas kanan) maka dapat diasumsikan: y(t)= A1e-t u(t)+ A2e-2t u(t)+0δ (t) atau: y’(t)= -A1e-t u(t) -2A2e-2t u(t)+(A1+A2)δ (t) maka dengan mengevaluasi komponen δ ’(t) didapatkan : (A1+A2)δ (t) = 2δ (t) A1+A2 = 2 (1) Dengan mengevaluasi koefisien δ (t) didapatkan: 3(A1+A2)δ (t) -A1e-t | t=0δ (t) -2A2e-2t | t=0δ (t) = 3δ (t) 3(A1+A2) - A1 - 2A2 = 3 2A1+A2 = 3 (2) Dengan menyelesaikan persamaan (1) dan (2) didapat A1=1 dan A2 = 1 Dengan demikian tanggapan impuls sistem: h(t) = e-t u(t) + e-2t u(t) Program Studi Teknik Elektro UNIBA 17
  • 26.
    Mata kuliah SISTEMLINIER 2.5. Konvolusi Kontinyu Keluaran sistem dengan tanggapan impuls h(t) dan masukan x(t) dapat direpresentasikan sebagai: ∑ −= τ τ εδτ εε all txty )()()( ∫ ∞ ∞− −= dppthpxty )()()( (2.4) atau dapat juga dinyatakan: ∫ ∞ ∞− −= dpptxphty )()()( Kedua rumusan diatas dikenal sebagai integral konvolusi. Untuk dua fungsi sembarang x(t) dan h(t) maka integral konvolusi r(t) dapat dinyatakan sebagai: r(t) = x(t) * h(t) ∫ ∞ ∞− −= dppthpxtr )()()( Konvolusi kontinyu mempunyai sifat-sifat sebagai berikut: a) Komutatif x(t)*y(t) = y(t)*x(t) rxy(t) = ryx(t) b) Distributif x(t)*[y(t) ± z(t)] = [x(t)*y(t)] ± [x(t)*z(t)] rxy(t) = ryx(t) ± rxz(t) c) Asosiatif x(t)*[y(t)*z(t)] = [x(t)*y(t)]*z(t) Untuk memperjelas penggunaan integral konvolusi disajikan contoh sebagai berikut: Contoh soal 2.5: Dua buah isyarat mempunyai rumusan sebagai berikut: x(t) = 1 0<t<1 0, t lainnya dan, h(t) = 1 1<t<2 0, t lainnya Carilah sinyal r(t) yang merupakan hasil konvolusi dua isyarat tersebut. Program Studi Teknik Elektro UNIBA 18
  • 27.
    Mata kuliah SISTEMLINIER Penyelesaian: Untuk mencari nilai konvolusi kedua isyarat kontinyu digunakan: r(t) = x(t) * h(t) ∫ ∞ ∞− −= dppthpxtr )()()( Pada rumus diatas dapat dilihat bahwa untuk mencari nilai r(t) diperlukan sinyal x(p) dan sinyal h(t-p). x(t) = 1 0<t<1 0, t lainnya maka, x(p) = 1 0<p<1 0, p lainnya sedangkan h(t-p) dapat dicari sebagai berikut: h(t-p) = 1 1<t-p<2 0, t-p lainnya yang dibutuhkan adalah fungsi h dalam p maka: h(t-p) = 1 -2+t<p<-1+t 0, p lainnya Untuk mempermudah diilustrasikan sebagai berikut: Gambar 2.2 Sinyal x(p), h(p) dan h(t-p) Pada gambar diatas sinyal h(t-p) adalah sinyal h(-p) yang tergeser sejauh t. Dari rumusan integral konvolusi dapat dilihat bahwa sinyal h(-p) dijalankan dari -∞ sampai +∞. Nilai integral konvolusi dapat dibagi menjadi beberapa kasus penggal waktu t yaitu: / Pada saat t<1 / Pada saat 1<t<2 / Pada saat 2<t<3 / Pada saat t>3 1 x(p) p 1 -1 1 h(p) p 1 2-1 1 h(t-p) p 1 t-1t-2 19Program Studi Teknik Elektro UNIBA
  • 28.
    Mata kuliah SISTEMLINIER Untuk memperjelas keempat kasus ini x(p) dan h(t-p) digambarkan dalam satu sumbu y(p). Gambar 2.3 (a) Sinyal x(p) dan h(t-p) pada saat t<1 (b) Sinyal x(p) dan h(t-p) pada saat 1<t<2 (c) Sinyal x(p) dan h(t-p) pada saat 2<t<3 (d) Sinyal x(p) dan h(t-p) pada saat t>3 Hasil konvolusi r(t) pada tiap penggal waktu tersebut adalah sebagai berikut a) Pada saat t<1 Pada periode ini sinyal h(t-p) belum sampai ke titik awal x(p) maka: ∫ ∞ ∞− −= dppthpxtr )()()( r(t) = 0 Program Studi Teknik Elektro UNIBA 1 h(t-p) p 1 t-1t-2 y(p) x(p) (a) 1 h(t-p) p 1 t-1t-2 y(p) x(p) (b) 1 p 1 h(t-p) t-1t-2 y(p) x(p) (c) 1 p 1 h(t-p) t-1t-2 y(p) x(p) (d) 20
  • 29.
    Mata kuliah SISTEMLINIER b) Pada saat 1<t<2 Pada saat 1<t<2 batasan bawah integral konvolusi berdasar Gambar 2.2 (b) adalah 0 dengan batas atas t-1. ∫ − −= 1 0 )()()( t dppthpxtr ∫ − = 1 0 )1)(1()( t dptr r(t) = t-1 c) Pada saat 2<t<3 Pada saat 2<t<3 batasan bawah integral konvolusi berdasar Gambar 2.2 (c) adalah t-2 dengan batas atas 1. ∫− −= 1 2 )()()( t dppthpxtr ∫− = 1 2 )1)(1()( t dptr r(t) = 1-(t-2) = 3-t d) Pada saat t<3 Pada waktu ini h(t-p) sudah meninggalkan batas akhir x(p) sehingga: ∫ ∞ ∞− −= dppthpxtr )()()( r(t) = 0 Dengan demikian hasil konvolusi secara keseluruhan adalah sebagai berikut: t-1 1<t<2 r(t) = 3-t 2<t<3 0, t lainnya Gambar 2.4 Sinyal r(t) hasil konvolusi x(t) dan h(t) Program Studi Teknik Elektro UNIBA 1 t 1 3-t 32 r(t) t-1 21
  • 30.
    Mata kuliah SISTEMLINIER 2.6. Konvolusi Diskrit Konvolusi diskrit antara dua sinyal x(n) dan h(n) dapat dirumuskan sebagai berikut: ∑== kall k)-x(k)h(nh(n)*x(n)r(n) (2.5) Komputasi tersebut diselesaikan dengan merubah indeks waktu diskrit n menjadi k dalam sinyal x[n] dan h[n]. Sinyal yang dihasilkan x[k] dan h[k] selanjutnya menjadi sebuah fungsi waktu diskrit k. Langkah berikutnya adalah menentukan h[n-k] dengan h[k] merupakan pencerminan dari h[k] yang diorientasikan pada sumbu vertikal dan h[n-k] merupakan h[ki] yang digeser ke kanan dengan sejauh n. Saat pertama kali hasil perkalian x[k]k[n-k] terbentuk, nilai pada konvolusi x[n]*v[n] pada titik n dihitung dengan menjumlahkan nilai x[k]h[n-k] sesuai rentang k pada sederetan nilai integer tertentu. Untuk lebih jelasnya diperlihatkan dalam contoh berikut. Contoh soal 2.6: Dua buah isyarat diskrit x(n) dan y(n) mempunyai representasi sebagai berikut: x(n) = 1 n = -1,0,1 0, n lainnya sedangkan, 1 n=1 y(n) = 2, n=2 0, n lainnya carilah r(n) = x(n)*y(n). Penyelesaian: Untuk mencari nilai r(n) adalah sebagai berikut: ∑== kall k)-x(k)y(ny(n)*x(n)r(n) dari rumusan tersebut dibutuhkan x(k) dan y(n-k). Nilai x(k) didapat dengan mengganti indeks n menjadi k. x(k) = 1 k = -1,0,1 0, k lainnya Sedangkan y(n-k) adalah sebagai berikut : 1 k=n-1 y(n-k) = 2, k=n-2 0, n lainnya Nilai r(n) dievaluasi untuk setiap n. 22Program Studi Teknik Elektro UNIBA
  • 31.
    Mata kuliah SISTEMLINIER a) Untuk n= -1 x(k) = δ (k+1) + δ (k) + δ (k-1) y(-1-k) = 2δ (k+3) + δ (k+2) ∑== kall k)-x(k)y(ny(n)*x(n)r(n) ∑= kall k)-x(k)y(-1r(-1) r(-1) = .... + x(-3)y(-3) + x(-2)y(-2)+x(-1)y(-1)+x(0)y(0)+.... r(-1) = 0 b) Untuk n= 0 x(k) = δ (k+1) + δ (k) + δ (k-1) y(-1-k) = 2δ (k+2) + δ (k+1) ∑== kall k)-x(k)y(ny(n)*x(n)r(n) ∑= kall k)-x(k)y(-1r(0) r(0) = .... + x(-2)y(-2)+x(-1)y(-1)+x(0)y(0)+x(1)y(1).... = ...+(0)(2) +(1)(1) +(1)(0)+(1)(0)+.... r(0) = 1 c) Untuk n= 1 x(k) = δ (k+1) + δ (k) + δ (k-1) y(-1-k) = 2δ (k+1) +δ (k) r(1) = .... + x(-2)y(-2)+x(-1)y(-1)+x(0)y(0)+x(1)y(1)+x(2)y(2)+.... r(1) = ...+(0)(0)+(1)(2)+(1)(1)+(1)(0)+(0)(0)+.... r(1) = 3 d) Untuk n= 2 x(k) = δ (k+1) + δ (k) + δ (k-1) y(-1-k) = 2δ (k) +δ (k-1) r(1) = .... + x(-2)y(-2)+x(-1)y(-1)+x(0)y(0)+x(1)y(1)+x(2)y(2)+.... r(1) = ...+(0)(0)+(1)(0)+(1)(2)+(1)(1)+(0)(0)+.... r(1) = 3 Program Studi Teknik Elektro UNIBA 23
  • 32.
    e) Untuk n= 3 x(k) = δ (k+1) + δ (k) + δ (k-1) y(-1-k) = 2δ (k-1) +δ (k-2) r(1) = .... x(-2)y(-2)+x(-1)y(-1)+x(0)y(0)+x(1)y(1)+x(2)y(2)+ + x(3)y(3)+.... r(1) = ...+(0)(0)+(1)(0)+(1)(0)+(1)(2)+(0)(1)+(0)(0).... r(1) = 2 f) Untuk n= 4 x(k) = δ (k+1) + δ (k) + δ (k-1) y(-1-k) = 2δ (k-2) +δ (k-3) r(1) = .... x(-2)y(-2)+x(-1)y(-1)+x(0)y(0)+x(1)y(1)+x(2)y(2)+ + x(3)y(3)+.... r(1) = ...+(0)(0)+(1)(0)+(1)(0)+(1)(0)+(0)(2)+(0)(1).... r(1) = 0 Jadi secara keseluruhan hasil konvolusi antara x(n) dan h(n) adalah: r(n)= δ (n)+3δ (n-1)+ 3δ (n-2)+2δ (n-3) x(k) k 1 1 2-1-2-3 3 y(k) k 1 1 2-1-2-3 3 2 (a) y(n-k) k 1 1 2-1-2-3 3 2 (b) y(-k) k 1 1 2-1-2-3 3 2 (c) r(n) n 1 1 2-1-2-3 3 2 4 5 3 24Program Studi Teknik Elektro UNIBA Mata kuliah SISTEM LINIER Gambar 2.5 (a) Sinyal x(k) dan y(k) (b) Sinyal y(-k) dan y(n-k) pada saat n=1 (c) Sinyal hasil konvolusi r(n)
  • 33.
    Mata kuliah SISTEMLINIER BAB 3 TRANSFORMASI LAPLACE 3.1. Pengertian Laplace Transform Transformasi laplace sering dipergunakan untuk menganalisa sinyal dan sistem linier tak ubah waktu. Transformasi laplace mempunyai banyak karakteristik yang mempermudah analisa tersebut. Transformasi laplace juga sering digunakan untuk menyelesaikan persamaan diferensial sistem. Dalam desain sistem transformasi laplace digunakan untuk menyatakan fungsi alih sistem. Berikut dibahas mengenai transformasi laplace dimulai dari rumusan transformasi laplace. ( )( ) ( ) ( )∫ ∞ − == 0 st etfsFtF (3.1) dengan s adalah bilangan kompleks yaitu s=σ +jω . Penggunaan laplace transform akan lebih jelas dengan contoh sebagai berikut. Contoh soal 3.1: Diketahui suatu fungsi f(t) sebagai berikut: ( ) { 0;0 0; < >= t tAtf Carilah tranformasi laplace F(s) dari fungsi tersebut. Penyelesaian: Dari rumusan transformasi laplace, nilai F(s) dapat dicari sebagai berikut: ( )( ) s A e s A e s A e s A dteAtF st st = − − − = − = = −∞− ∞− ∞ − ∫ 0 0 0  Program Studi Teknik Elektro UNIBA 25
  • 34.
    Mata kuliah SISTEMLINIER Dari penyelesain tersebut dapat dilihat bahwa untuk A=1 berarti f (t) = u (t) maka F (s) = s 1 . Jadi untuk fungsi undak dapat diperlihatkan bahwa hasil transformasi laplace adalah nilai dari fungsi tersebut dibagi dengan s. Untuk lebih memantapkan penggunaan rumusan transformasi laplace disajikan contoh transformasi laplace dari fungsi lereng. Tabel 3.1 Tabel Transformasi Laplace No f(t) F(s) 1 ( )tδ 1 2 1 s 1 3 t 2 1 s 4 )1( 1 − − n t n n s 1 5 n t 1 ! +n s n 6 at e− as + 1 7 atn et n −− − 1 )!1( 1 n as )( 1 + 8 at te − 2 )( 1 as + 9 Sin wt 22 ws w + 10 Cos wt 22 ws s + 11 atn et − 1 )( ! + + n as n 12 wte at sin− 22 )( was w ++ 13 wte at cos− 22 )( was as ++ + 14 ( )at e a − −1 1 )( 1 ass + Contoh soal 3.2: Diketahui suatu fungsi sebagai berikut: ( ) ( 0;0 0; < ≥= t tAttf Carilah F(s). Program Studi Teknik Elektro UNIBA 26
  • 35.
    Mata kuliah SISTEMLINIER ( )( ) ∫ ∫ ∞ − ∞ − ∞ − − − − = = 0 0 0 dt s eA s e At dtetAtf stst st  2 0 s A dte s A st = = ∫ ∞ − dari penyelesaian tersebut dapat dilihat bahwa hasil transformasi laplace untuk fungsi lereng adalah gradient fungsi lereng dibagi dengan s. Dengan beberapa contoh tersebut dapat dilihat bahwa transformasi laplace mengubah fungsi-fungsi umum dalam t seperti fungsi undak, fungsi lereng, fungsi sinus dan fungsi-fungsi lain menjadi fungsi-fungsi aljabar variabel kompleks s. Penggunaan integral untuk mencari transformasi laplace dari suatu fungsi sering menjadi pekerjaan yang kurang menyenangkan. Untuk lebih mempermudah proses transformasi pada Tabel 3.1, disajikan tabel transformasi laplace. 3.2. Karakteristik Transformasi Laplace Transformasi Laplace mempunyai beberapa sifat penting yang berguna untuk analisa sinyal dan sistem linier tak ubah waktu. Sifat-sifat Transformasi Laplace antara lain adalah sebagai berikut: 1) £ ( )[ ] ( )sFAtfA = 2) £ ( ) ( )[ ] ( ) ( )sFsFtftf 2121 ±=± 3) £ ( ) ( ) ( )±−=      ± 0fsFstf dt d 4) £ ( ) ( ) ( ) ( )±−±−=      ± 00 1 2 2 2 fsfsFstf dt d 5) £ ( ) ( ) ( ) ( )±−=      − − − ± ∑ 0 1 1 kn k knn n n fssFstf dt d 6) £ ( )[ ] ( ) ( )[ ] s dttf s sF dttf t ±= ± ∫ ∫ += 0 7) £ ( )[ ] ( ) ( )( )[ ] ±= = +−± ∫ ∫∑∫ ∫ += 0 1 1 1 t k n k knn n dttf ss sF dttf  Program Studi Teknik Elektro UNIBA 27 Penyelesaian:
  • 36.
    Mata kuliah SISTEMLINIER 8) £ ( ) ( ) s sF dttf t =      ∫0 9) ( ) ( ) ( ) ( )∫ ∫ ∞ ∞ → = 0 0 0 lim adatdtfjikasFdttf s 10) £ ( )[ ] ( )asFtfe at +=− 11) £ ( ) ( )[ ] ( ) 0≥=−− − ααα α sFetutf s 12) £ ( )[ ] ( )sF ds d tft 2 2 2 = 13) £ ( )[ ] ( ) ( )sF ds d tft n n nn 1−= 14) £ ( )[ ] ( )sF ds d tft −= 15) £ ( ) ( ) ( )sdsFtf t ∫ ∞ =      0 1 16) £ ( )asFa a t f =            Penggunaan sifat-sifat tersebut dalam membantu transformasi sinyal atau sistem diaplikasikan dalam contoh berikut: Contoh soal 3.3: Carilah transformasi Laplace dari gambar sinyal berikut ini: 2a a 1 a2 1 a2 f (t) t Penyelesaian: Persamaan dari sinyal diatas adalah: Program Studi Teknik Elektro UNIBA 28
  • 37.
    Mata kuliah SISTEMLINIER ( ) ( ) ( )( ) ( ) ( )( ) ( ) ( ) ( )atu a atu a tu a atuatu a atutu a tf 2 121 2 11 222 22 −+−−= −−−−−−= F (s) = £ f (t) ( )[ ] ( )[ ] ( )[ ] ( )asas asas ee sa e sa e sasa atu a atu a tu a 2 2 2 222 222 21 1 111211 2 121 −− −− +−= +−= −+−−=  Penyelesaian tersebut didapat dengan mengingat karakteristik: £ [u(t)] = s 1 £ ( ) ( )[ ] ( ) 0, ≥=−− − ααα α sFetutf s 3.3. Transformasi Laplace Balik Transformasi balik dipergunakan untuk mendapatkan fungsi atau sinyal dalam bentuk t dari suatu fungsi laplace s. ( )[ ] ( )tfsF =−1  ( ) ( ) ( )∫ ∞+ ∞− >= jc jc st tdsesF j tf 0 2 1 π (3.2) c = dipilih > dari semua bagian real titik singular. Cara ini sangat sulit untuk dikerjakan maka dipakai Tabel Transformasi Laplace yang ada pada Tabel 3.1, yaitu dengan cara mengubah fungsi ke dalam bentuk yang ada dalam tabel. ( ) ( ) ( ) ( )( ) ( ) ( )( ) ( ) ( )nm pspsps zszszsk sA sB sF n m < +++ +++ ==   21 21 ( ) ( ) ( ) n n ps a ps a ps a sA sB sF + ++ + + + ==  2 2 1 1 dengan ka (k = 1, 2, …..n), ka dihitung sebagai berikut: ( ) ( ) ( ) ( ) ( ) ( ) k ps k n n k k k kpsk a ps ps a ps ps a ps a ps ps a sA sB ps k k =       + + +++ + ++ + ++ + =      + −= −=  2 2 1 1 jadi: Program Studi Teknik Elektro UNIBA 29
  • 38.
    Mata kuliah SISTEMLINIER ( ) ( ) ( ) kps kk sA sB psa −=       += ( ) ( )[ ] ( )021 21 1 1 ≥+++== =      + −−− −− teaeaeasFtf ea ps a tp n tptp tp k k k n k   Berikut contoh penggunaan tabel tranformasi laplace unntuk mendapatkan kembali f(t) dari F(s) dengan orde penyebut lebih tinggi. Contoh soal 3.4: Diketahui F(s) sebagai berikut: ( ) ( )( )21 4 ++ + = ss s sF carilah f (t). Penyelesaian: ( ) ( )( ) 2121 4 21 + + + = ++ + = s a s a ss s sF dengan rumusan ka didapat: ( ) ( )( ) ( ) ( )( ) 2 1 4 21 4 2 3 2 4 21 4 1 22 2 11 1 −=      + + =      ++ + += =      + + =      ++ + += −=−= −=−= ss ss s s ss s sa s s ss s sa jadi: ( ) ( )[ ] ( ) ( ) ( )tuee tee ss sFtf tt tt 2 2 11 1 23 023 2 2 1 3 −− −− −− − −= ≥−=       + − +      + = =   Berikut contoh penggunaan tabel tranformasi laplace untuk mendapatkan kembali f(t) dari F(s) dengan orde pembilang lebih tinggi. Contoh soal 3.5: ( ) ( )( )21 895 23 ++ +++ = ss sss sG carilah g (t). Penyelesaian: Pembagian pembilang dengan penyebut menghasilkan: Program Studi Teknik Elektro UNIBA 30
  • 39.
    Mata kuliah SISTEMLINIER ( ) ( )( ) ( ) ( ) 0;232 21 4 2 2 ≥−++= ++ + ++= −− teett dt d ss s ssG tt δδ Untuk fungsi dalam yang melibatkan banyak kutub maka Transformasi Laplace baliknya dikerjakan dengan ekspansi parsial sebagai berikut: Contoh soal 3.6: Tinjau ( ) ( )3 2 1 32 + ++ = s ss sF Penyelesaian: Ekspansi pecahan parsial menghasilkan ( ) ( ) ( ) ( ) ( ) ( )111 1 2 2 3 3 + + + + + == s b s b s b sA sB sF ( ) ( ) ( ) ( ) ( )2 123 3 111 ++++=+ sbsbb sA sB s (1) saat s = -1 maka: ( ) ( ) ( ) 3 1 3 1 b sA sB s s =      + −= 2b didapatkan dengan diferensiasi persamaan (1) ( ) ( ) ( ) ( )121 12 3 ++=      + sbb sA sB s ds d dengan s = -1, ( ) ( ) ( ) 2 1 3 1 b sA sB s ds d s =      + −= 1b didapatkan dengan diferensial kuadrat persamaan (1) ( ) ( ) ( ) 1 1 3 2 2 21 b sA sB s ds d s =      + −= Secara umum penyelesaian Laplace balik n kutub dapat diringkas sebagai berikut: ( ) ( ) ( ) ( ) as n kn kn k sA sB as ds d kn b −= − −       + − = ! 1 dengan n = derajat polinomial banyak kutub. k = n, n-1, n-2, …….1 dengan demikian didapatkan 321 ,, bbb sebagai berikut: Program Studi Teknik Elektro UNIBA 31
  • 40.
    Mata kuliah SISTEMLINIER ( ) ( ) ( ) [ ] 2 32 1 32 1 1 2 1 3 2 3 3 = ++=       + ++ += −= −= s s ss s ss sb ( ) ( ) ( ) [ ] 0 22 )32( 1 32 1 1 1 2 1 3 2 3 2 = +=     ++=       + ++ += −= −= −= s s s s ss ds d s ss s ds d b ( ) ( ) ( ) 1 2. 2 1 )32( !2 1 1 32 1 !2 1 1 2 2 2 1 3 2 3 2 2 1 = =       ++=       + ++ += −= −= s s ss ds d s ss s ds d b jadi untuk contoh soal 3.6. ( ) ( )[ ] ( ) ( ) ( ) ( ) ( ) ( )tuet tet eet sss sFtf t t tt − − −− − − += ≥+= +=       + + + + + = = 1 01 1 1 1 0 1 2 2 2 2 23 1 1   3.4. Transformasi Laplace Untuk Penyelesaian Persamaan Diferensial Penyelesaian persamaan diferensial dengan mencari tanggapan homogen dan tanggapan paksa yang telah dibahas dalam Bab 2. Penyelesaian dengan cara tersebut memerlukan perumpamaan tanggapan yang tepat. Cara yang lebih mudah untuk menyelesaikan persamaan diferensial tanpa harus menggunakan perumpamaan tanggapan adalah dengan transformasi Laplace. Untuk mendapatkan solusi persamaan diferensial yang pertama dilakukan adalah pengubahan persamaan ke bentuk s. Untuk lebih jelasnya disajikan contoh berikut: Contoh soal 3.7: Carilah penyelesaian untuk persamaan diferensial berikut ini: ( ) ( ) bxaxxxx ===++ 0,0,023   Program Studi Teknik Elektro UNIBA 32
  • 41.
    Mata kuliah SISTEMLINIER Penyelesaian: ( ) ( ) ( )02 xxxx osss ••• −−=       ( ) ( )osss xxx −=      •  ( ) ( ) ( ) ( ) ( ) ( ) ( ) ( ) baa ssss ssssss x xxxxxxxxx −−−++= +         −+−−=      ++ •••• 323 200023 2 2  maka, ( ) abassxss 3)23( 2 ++=++ ( ) ( )( ) 21 2 21 3 23 3 2 + + − + + = ++ ++ = ++ ++ = s ba s ba ss abas ss abas sX Laplace balik dari X (s) menghasilkan: ( ) ( )[ ] ( ) ( ) ( )02 21 2 2 11 1 ≥+−+=     + + −      + + = = −− −− − tebaeba s ba s ba sXtX tt   Program Studi Teknik Elektro UNIBA 33
  • 42.
    Mata kuliah SISTEMLINIER BAB 4 TOPOLOGI SISTEM 4.1. Fungsi Alih Sistem dapat direpresentasikan dalam berbagai representasi. Representasi sistem kontinyu adalah sebagai berikut: 1) Persamaan dIferensial. any(n) (t) + an-1y(n-1) (t) + ….. + a1y’ (t)+ a0y(t) = b0x(t) + b1x’ (t) + ….. + an-1x(n-1) (t)+ anxn (t) 2) Tanggapan impuls h(t). h(t) = y(t)| x(t)=δ (t) 3) Fungsi alih sistem H(s). 1) Persamaan keadaan. Untuk sistem diskrit: 1) Persamaan beda. any(n) (t) + an-1y(n-1) (t) + ….. + a1y’ (t)+ a0y(t) = b0x(t) + b1x’ (t) + ….. + an-1x(n-1) (t)+ anxn (t) 2) Tanggapan cuplik satuan h(n). h(n) = y(n)| x(n)=δ (n) 3) Fungsi alih sistem H(z). 4) Persamaan keadaan. Fungsi alih menghubungkan antara masukan dan keluaran sistem. Fungsi alih untuk fungsi kontinyu biasa dinyatakan dalam s (transformasi laplace) sedangkan untuk fungsi diskrit dalam z (transformasi z). Fungsi alih sistem = Jurusan Teknik Elektro ISTA Yogyakarta Keluaran Sistem Masukan sistem 34
  • 43.
    Mata kuliah SISTEMLINIER ( ) ( ) ( )sX sY sH = ( ) ( ) ( )zX zY zH = H (s) Y (s)X (s) Gambar 4.1 Fungsi alih sistem 4.2. Aljabar Diagram Blok Representasi dalam fungsi alih sistem dapat diuraikan lagi menjadi hubungan antara elemen-elemen dasar penyusunan. Hubungan tersebut disebut diagram blok. Pada bagian ini akan dijelaskan konsep-konsep aljabar diagram blok yang berlaku dalam s maupun z. A B C D ce f y x +- r Gambar 4.2 Fungsi alih sistem dengan masukan r keluaran c e = r –x f = A.e = A ( r-x) y = B.f = A.B (r-x) c = C.y = A.B.C (r-x) dengan x = D.c maka, c = A.B.C. (r-D.c) = A.B.C.r – A.B.C.D.c (1+ABCD)c = ABCr jadi: ABCD ABC r c + = 1 Untuk sistem dengan beberapa masukan (masukan dan 2 gangguan) fungsi alihnya dapat dicari sebagai berikut: Program Studi Teknik Elektro UNIBA 35
  • 44.
    Mata kuliah SISTEMLINIER A B C D ce f y x +- r + - + +g t z1 z2 Gambar 4.3 Fungsi alih sistem dengan masukan dan gangguan Dari gambar didapatkan e = r – x f = Ae = A( r-x) g = f + z1 = A (r-x) + z1 y = Bg = AB (r – x) + Bz1 t = y + z2 = AB (r-x) + Bz1 + z2 c = Ct = ABC (r-x) + BCz1 + Cz2 dengan x = Dc maka, c = ABC (r-Dc) + BCz1 = ABCr – ABCDc + BCz1 + Cz2 (1+ ABCD) c = ABCr + BCz1 + Cz2 jadi: r c (z1 = 0, z2 =0) ABCD ABC r c + = 1 ⇒ 1z c (r =0, z2 = 0) ABCD BC z c + = 11 ⇒ 2z c ( r =0, z1 = 0) ABCD C z c + = 12 Untuk mempermudah modifiikasi diagram blok sistem yang berguna untuk mencari konfigurasi yang lebih baik disajikan aturan aljabar diagram blok sebagai berikut: Program Studi Teknik Elektro UNIBA 36
  • 45.
    Mata kuliah SISTEMLINIER Digram Blok Awal Diagram Blok ekuivalen +- ++ A A-B B C A-B+C ++ +- A A+C C A-B+C B +- + C A A-B+C B + ++- A B A-B C A-B+C 1. 2. Program Studi Teknik Elektro UNIBA 37
  • 46.
    Mata kuliah SISTEMLINIER G1 G2 A AG1 AG1G2 G1 G2 A AG1 AG1G2 G2 G1 A AG2 AG1G2 G1G2A AG1G2 ++ G1 G2 A AG1 AG2 AG1+AG2 G1+G2A AG1+AG2 +- GA AG AG-B B +- G 1/G A A-B/G AG-B B 3. 4. 5. 6. +- GA A-B AG-BG B +- G G A AG AG-BG BGB G A AG AG G G A AG AG 7. 8. Program Studi Teknik Elektro UNIBA 38
  • 47.
    Mata kuliah SISTEMLINIER +- A B A-B A-B +- + - A A-B A-B B B ++ G1 G2 A AG1 AG2 AG1+AG2 ++ G1 G1 G2 A AG1 AG2 AG1+AG2 G 1/G A AG A GA AG A 9. 10. 11. +- G1 G2 A B +- G2 G31 G2 A B +- G1 G2 A B G1 1+G1G2 A B 12. 13. Contoh soal 4.1: Sederhanakan diagram blok berikut: +- ++ G1 + - G2 G3 H2 H1 R C 1. Program Studi Teknik Elektro UNIBA 39
  • 48.
    Mata kuliah SISTEMLINIER Penyelesaian: Diagram blok 1 tersebut dengan mengakses titik umpan balik bagian atas ke depan maka didapatkan diagram blok 2 berikut ini: +- ++ G1 G2 G3 H1 R C + - H2 G1 2. +- R + - G3G1G2 1-G1G2H1 H2 G1 C4. +- G1G2G3 1-G1G2H1+G2G3H2 R C 5. G1G2G3 1-G1G2H1+G2G3H2+G1G2G3 CR6. 4.3. Penerapan Aljabar Diagram Dalam Pemodelan Sistem Dalam aplikasi sering suatu sistem fisis dimodelkan dalam bentuk matematis untuk dapat dianalisa dan dirancang dengan lebih mudah. Beirikut akan dibahas sistem permukaan zat cair Program Studi Teknik Elektro UNIBA 40
  • 49.
    Q H Mata kuliah SISTEMLINIER Katup pengontrol Katup beban Kapasitas C Resistansi R Q + qi H + h Q + qo = laju aliran zat cair sec/3 m qi = penyimpangan kecil laju aliran masuk sec/3 m q0 = penyimpangan kecil laju aliran keluar sec/3 m = Tinggi permukaan zat cair m h = perubahan permukaan zat cair m a) Resistansi R = b) Kapasitansi C = Untuk aliran Laminar, Q = K H Dengan, K = koefisien , sec/3 m Resistansi untuk aliran Laminar, Q H dq dh R == Untuk aliran Turbulens, Q = K H Program Studi Teknik Elektro UNIBA Perubahan Perbedaan Permukaan (m) Perubahan laju Aliran Perubahan Cairan Yang Disimpan Perubahan Potensial m 41
  • 50.
    Mata kuliah SISTEMLINIER Q H Q HH K H dQ dH dH H K dQ dQ dH tR 2 2 2 2 = = = = = jadi, Q H tR 2 = Mencari Fungsi alih Sistem C dt dh = qi – qo (1) dan, qo = R h (2) substitusi persamaan (2) ke persamaan (1), RC dt dh + h = Rqi Dengan laplace transform dihasilkan: CR (s +1 ) H(s) = R Qi (s) Jika qi dianggap sebagai masukan dan h sebagai keluaran maka: ( ) ( ) 1+ = sRC R sQ sN i apabila qo adalah keluaran dan qi adalah masukan, maka: ( ) ( ) 1 10 + = sRCsQ sQ i Untuk memahami pentingnya pemahaman tentang diagram blok sistem, maka disajikan sebuah contoh untuk mendapat model sistem permukaan cairan dengan interaksi: Program Studi Teknik Elektro UNIBA 42 Resistansi:
  • 51.
    Mata kuliah SISTEMLINIER Q + q H1 + h1 H2 + h2 C1 C2 R2 Tangki1 Tangki2 R1 Q + q1 Q + q2 dari gambar diatas di dapatkan: 1 1 21 1 21 Q R HH q Rs hh = − = − ⇒  (1) ( ) ( ) ( )sQsQsHsCqq dt dh C 1111 1 1 −=−= ⇒  (2) ( ) ( )sQ R sH q R h 2 2 2 2 2 2 == ⇒  (3) ( ) ( ) ( )sQsQsHCsqq dt hd C 212221 2 2 −=−= ⇒  (4) + - 1 R1 H1(s) H2(s) Q1(s) + - 1 C1S Q(s) Q1(s) H1(s) 1 R2 H2(s) Q2(s) + - 1 C2S Q2(s) H2(s)Q1(s) jika q adalah masukan dan q2 adalah keluaran, maka didapatkan bagan sebagai berikut: Program Studi Teknik Elektro UNIBA 43
  • 52.
    Mata kuliah SISTEMLINIER +- 1 C1S + - 1 R1 +- 1 C2S 1 R2 Q(s) Q1(s) H1(s) H2(s) Q1(s) Q2(s) H2(s) Q2(s) dengan penyederhanaan +-+ - 1 C1S 1 R1 +- 1 C2S R2C1S 1 R2 Q1(s) Q1(s) Q2(s) + - 1 R1C1s+1 1 R2C2s+1 R2C1s 1 R1C1R2C2s2 +( R1C1 + R2C2 + R2C1) s+1 Q(s) Q2 (s) Q(s) Q2 (s) jadi, ( ) ( ) ( ) 1 1 122211 2 2211 2 ++++ = sCRCRCRsCRCRsQ sQ Program Studi Teknik Elektro UNIBA 44
  • 53.
    Suatu sistem dapatdiungkap berdasarkan hubungan masukan-keluaran saja (fungsi alih) atau termasuk keadaan (dalam) sistem juga, h (t) H (s) x (t) X (s) y (t) Y (s) = h (t) x(t) = H (s) X(s) dengan persamaan keadaan (state equation): Gambar 5.1 Hubungan masukan dan keluaran dengan keadaan sistem Pada Gambar 5.1, terlihat ada dua hubungan yang saling terkait, yaitu: a) Masukan dengan keadaan sistem b) Keluaran dengan keadaan sistem Pada representasi dengan pendekatan ruang keadaan, maka keadaan sistem termasuk kondisi awal akan terpantau yang dijelaskan dengan gambar sebagai berikut. + a x (t) y (t) y (t) Gambar 5.2 Sistem sederhana dengan masukan x(t) keluaran y(t) Dari Gambar 5.2, dapat dituliskan: ( )= • ty x (t) + a y (t) atau, ( )ty • - ay (t) = x (t) tanpa masukan awal x (t) = 0 maka, ( )ty • = a y(t) dy (t) = a y(t) dt y (t) = a ∫ y(t) dt bila operasi di mulai pada saat t = 0 maka, Keadaan Masukan Keluaran 45Program Studi Teknik Elektro UNIBA Mata kuliah SISTEM LINIER 5.1. Konsep Dasar BAB 5 PENDEKATAN RUANG KEADAAN
  • 54.
    Mata kuliah SISTEMLINIER ( ) ( ) ( ) ( ) ( ) ( )[ ] awalkondisita ta tdtyaty t t →−= = = ∫ 0 0 0 ηη η Pada hasil y(t) terlihat kondisi awal sistem. Pembuktian juga dilakukan dengan transformasi laplace sebagai berikut: s Y(s) – y(0) = a Y(s) (s-a) Y(s) = y(0) Y(s) = ( ) as y − 0 y(t) = y (0) eat dari hasil tersebut dapat dilihat bahwa walaupun masukan X (t) = 0, sistem akan tetap mempunyai keluaran kalau nilai awal tidak nol (y (0) ≠ 0). 5.2. Representasi Sistem Dalam Persamaan Ruang Keadaan (State Space Equation) Representasi ini memungkinkan untuk sistem dengan banyak masukan dan banyak keluaran. Sistem dapat dinyatakan sebagai berikut : • X 1 (t) = f1 (X1, X2,……., Xn ; U1, U2,……..,Ur ; t ) • X 2 (t) = f2 (X1, X2,……., Xn ; U1, U2,……..,Ur ; t ) • • • • X n (t) = fn (X1, X2,……., Xn ; U1, U2,……..,Ur ; t ) dengan keluaran, y1 (t) = g1 (X1, X2,……., Xn ; U1, U2,……..,Ur ; t ) y2 (t) = g2 (X1, X2,……., Xn ; U1, U2,……..,Ur ; t ) • • • ym (t) = gm (X1, X2,……., Xn ; U1, U2,……..,Ur ; t ) penulisan secara sederhana: • X (t) = f (x, u, t ) y (t) = g (x, u, t ) Program Studi Teknik Elektro UNIBA 46
  • 55.
    Mata kuliah SISTEMLINIER dengan: ( ) ( ) ( ) ( ) ( ) ( ) ( ) ( ) ( )          =           =           = tu tu tu ty ty ty tx tx tx rmn  111 untuk fungsi f dan g eksplisit terhadap waktu t maka, • X (t) = A (t) x(t) + B (t) u (t) y (t) = C (t) x(t) + D (t) u (t) untuk sistem linier tak ubah waktu, • X (t) = Ax(t) + Bu (t) → Persamaan keadaan y (t) = Cx(t) + Du (t) → Persamaan keluaran A adalah matriks keadaan. B adalah matriks masukan. C adalah matriks keluaran. D adalah matriks transmisi langsung. + + + + B (t) D (t) A (t) C (t) X (t) y (t)u (t) X (t) dt Gambar 5.3 Realisasi umum persamaan keadaan Contoh soal 5.1: Representasikan sistem berikut dalam persamaan ruang keadaan. Gambar 5.4 Sistem massa pegas sederhana Penyelesaian: Fungsi alih sistem: ( ) ( ) kbsmssU sY ++ = 2 1 Program Studi Teknik Elektro UNIBA b k u (t) y (t) M 47
  • 56.
    Mata kuliah SISTEMLINIER persamaan deferensial sistem: m •• y + b • y + ky = u dengan menentukan: x1(t) = y (t) x2 (t) = • y (t) maka diperoleh, • X 1 = x2 • X 2 = u m ykky m 11 +      −− • Dengan demikian di dapatkan persamaan keadaan: • X 1 = x2 • X 2 = u m x m b x m k 1 21 +−− dan persamaan keluaran : y = x1 dalam bentuk matriks dapat ditulis sebagai berikut: [ ] [ ]001 1 010 2 1 2 1 2 1 =      =         − +              −− =         • • D x x y u mx x m b m k x x C BA     Realisasi persamaan keadaan tersebut adalah sebagai berikut: + - + + u 1 m b m k m x2 x1 yx2 Gambar 5.5 Realisasi persamaan keadaan sistem massa pegas Contoh soal 5.2: Dapatkan persamaan ruang keadaan dari gambar berikut: Program Studi Teknik Elektro UNIBA 48
  • 57.
    Mata kuliah SISTEMLINIER + - s + z s + p K s (s +a ) u y Penyelesaian: Dilakukan ekspansi parsial terhadap ps zs + + maka: ps zs + + = 1+ ps pz + − sedangkan, ( ) ass K ass K + •= + 1 jadi kalau di gambarkan lagi akan menjadi sebagai berikut: + - + +z - p s + p K s 1 s+a yx1x2 nx3 m u m = u – x1 n = x3 + u – x1 Gambar 5.6 Penjabaran sistem pada contoh 5.2 dari gambar didapatkan: • X 1 = -ax1 + x2 • X 2 = -Kx1 + kx3 + Ku • X 3 = - (z – p)x1 – px3 + (z – p)u y = x1 dalam bentuk matriks dapat ditulis sebagai berikut: ( ) [ ]           =           − +                     −−− − − =               • • • 3 2 1 3 2 1 3 2 1 001 0 0 0 01 x x x y u pz K x x x ppz KK a x x x 5.3. Persamaan Ruang Keadaan Dari Fungsi Alih Untuk mencari persamaan keadaan dari fungsi alih persamaan ruang keadaan sistem orde-n dari persamaan diferensial dengan masukan tanpa turunannya. Program Studi Teknik Elektro UNIBA 49
  • 58.
    Mata kuliah SISTEMLINIER ( ) ( ) uyayayay nn nn =+++ • − − 1 1 1  ditentukan variabel keadaan sebagai berikut: x1 = y x2 = • y • • • xn = y(n-1) maka turunan variabel keadaan dapat ditulis sebagai berikut: • X 1 = x2 • X 2 = x3 • • • • X n-1 = xn • X n = - anx1 – an-1x2 ……….- a1xn + u dan y = x1 dalam bentuk matriks dapat ditulis:  u x x x aaaax x x B n A nnn n             +                             −−−− =               −− • • • 1 0 0 1000 0100 0010 2 1 121 2 1           dan persamaan keluarannya adalah: [ ]                 = nx x x x y   3 2 1 0001 realisasi dari persamaan ruang keadaan diatas adalah sebagai berikut: Program Studi Teknik Elektro UNIBA 50
  • 59.
    Mata kuliah SISTEMLINIER + - + + + + + + y x1x2 anan-1a2a1 xn-1xnu Gambar 5.7 Realisasi umum persamaan ruang keadaan dari fungsi alih dengan masukan tidak mengandung turunan Persamaan ruang keadaan dari fungsi alih dengan masukan mengandung turunan: ( ) ( ) nn nn nn nn aasas bsbsbsb sU sY ++++ ++++ = − − − − 1 1 1 1 1 10   persamaan diferensial dari fungsi diatas adalah: ( ) ( ) ( ) ( ) ubububyayayay n nn nn nn ++=++++ − − −  1 101 1 1 ditentukan variabel keadaan sebagai berikut: x1 = y - β 0 u x2 = • y - β 0 • u - β 1u = • x 1 - β 1u x3 = •• y -β 0 •• u - β 1 • u -β 2u = • x 2- β 2u • • • xn = y(n-1) - β 0u(n-1) - β 1u(n-2) ……..- β n-2 • u -β n-1u = • x n-1- β n-1u dengan: β 0 = b0 β 1 = b1- a1β 0 β 2 = b2 – a1β 1-a2β 1-a3β 0 • • • β n = bn – a1β n-1……..-an-1β 1- anβ 0 maka didapatkan, Program Studi Teknik Elektro UNIBA 51
  • 60.
    Mata kuliah SISTEMLINIER • x 1 = x2 + β 1u • x 2 = x3 + β 2u • • • • x n-1 = xn + β n-1u • x n = -anx1 – an-1x2……….-a1xn + β nu dan, y = x1 + β 0u dalam bentuk matriks dapat ditulis sebagai berikut: [ ] u x x x y u x x x x aaaa x x x x n n n n n nnn n n 0 2 1 1 2 1 1 2 1 121 1 2 1 001 1000 0100 0010 β β β β β +             =                 +                                 −−−− =                   −− −− • • − • •          Realisasi sistem: + + + + + + + + + + + - ßn ßn-1 a1 an-1 ß1 ß0 an u xn x2 x1 y Gambar 5.8 Realisasi umum persamaan ruang keadaan dari fungsi alih dengan masukan mengandung turunan Program Studi Teknik Elektro UNIBA 52
  • 61.
    Mata kuliah SISTEMLINIER Contoh soal 5.3: Diketahui: ( ) ( ) ( ) 64019218 4160 23 +++ + = sss s sU sY tentukan representasi persamaan ruang keadaan. Penyelesaian: Dari fungsi alih didapatkan persamaan diferensial sebagai berikut: uuyyyy 6 4 01 6 06 4 01 9 21 8 +=+++ ••••••• ditentukan, x1 = y -β 0u x2 = uxuuy 1110 βββ −=−− •• x3 = uxuuuy 22210 ββββ −=−−− ••••••• dengan, β 0 = b0 = 0 β 1 = b1 – a1β 0 = 0 β 2 = b2 – a1β 1 – a2β 0 = b2 = 160 β 3 = b3 – a1β 2 – a2β 1 – a3β 0 = 640 –18 x160 = - 2240 maka diperoleh, • x 1 = x2 • x 2 = x3 • x 3 = -anx1 – an-1 x2……..- a1xn + β nu = -640 x1 – 192 x2 – 18 x3 – 2240 u dan y = x1. dalam bentuk matriks di tulis sebagai berikut : Program Studi Teknik Elektro UNIBA 53
  • 62.
    Mata kuliah SISTEMLINIER u x x x x x x           − +                     −−− =               • • • 2240 160 0 18192640 100 010 3 2 1 3 2 1 dan [ ] [ ]u x x x y 0001 3 2 1 +           = realisasi persamaan diatas adalah sebagai berikut: + - + + + + + + -2240 18 192 640 160 u x3 x3 x2 x2 x1 x1 y Gambar 5.9 Realisasi sistem contoh 5.3 Contoh soal 5.4: Carilah representasi dalam persamaan ruang keadaan untuk diagram blok berikut ini: + - s+1 s+1 s+3 u y Gambar 5.10 Sistem contoh 5.4 Penyelesaian: ( ) ( ) ( )( ) ( )( )( ) 7116 23 3211 21 23 2 +++ ++ = ++++ ++ = sss ss sss ss sU sY Program Studi Teknik Elektro UNIBA 54
  • 63.
    Mata kuliah SISTEMLINIER persamaan diferensialnya: uuuyyyy 2371 16 ++=+++ ••••••••• dengan persamaan umum: 3210321 bubububayayay +++=+++ •••••••••••• didapatkan: a1 = 6 ; a2 = 11 ; a3 = 7 b0 = 0 ; b1 = 1 ; b2 = 3 ; b3 = 2 ditentukan: uxuuuyx uxuuyx uyx 222103 11102 01 ββββ βββ β −=−−−= −=−−= −= •••••• ••• dengan: β 0 = b0 = 0 β 1 = b1 – a1β 0 = 1 β 2 = b2 – a1β 1 – a2β 0 = 3- 6 x 1 – 0 = -3 β 3 = b3 – a1β 2 – a2β 1 – a3β 0 = 2 – (6 x –3) – (11 x 1) = 9 maka diperoleh: • x 1 = x2 + β 1u = x2 + u • x 2 = x3 + β 2u = x3 – 3u • x 3 = -7x1 – 11x2 – 6x3 + 9u dan, y = x1 + β 0u = x1 Program Studi Teknik Elektro UNIBA 55
  • 64.
    Mata kuliah SISTEMLINIER dalam bentuk matriks: [ ]           =           −+                     −−− =               • • • 3 2 1 3 2 1 3 2 1 001 9 3 1 6117 100 010 x x x y u x x x x x x realisasi sistemnya adalah: + - + + + + + + + +u 9 6 11 -3 x3 x2 x1 7 y Gambar 5.11 Realisasi sistem contoh 5.4 Bentuk lain penyajian persamaan ruang keadaan dari fungsi alih yang mengandung turunan masukan: ( ) ( ) ( ) 254 562 23 2 +++ ++ == sss ss sU sY sH sistem dari gambar dapat ditulis kembali ke persamaan menjadi: s3 Y(s) + 4s2 Y(s) + 5s Y(s) +2Y(s) = 2s2 U(s) +6sU(s) + 5U(s) s3 Y(s) = - 4s2 Y(s) - 5s Y(s) - 2Y(s) + 2s2 U(s) +6sU(s) + 5U(s) Persamaan diatas jika digambarkan: Program Studi Teknik Elektro UNIBA 56
  • 65.
    Mata kuliah SISTEMLINIER + 1 s 1 s 1 s s s 26 5 -4 -5 -2 Y (s) U (s) 5 U(s) 6sU (s) 2s2 U(s) s3 Y(s) s2 Y(s) sY (s) -4s2 Y(s) -5sY (s) -2Y(s) Gambar 5.12 Bentuk dasar realisasi sistem gambar 5.10 Diagram di modifikasi dengan mengingat: + 1 s 1 s 1 s a Y (s)s3 Y(s) s2 Y(s) sY(s) as2 Y(s) U(s) s3 Y(s) = as2 Y(s) + U(s) (a) 1 s + 1 s 1 s a s2 Y(s) sY(s) asY(s) Y (s) s2 Y(s) asY(s) s3 Y(s) as2 Y(s) U (s) s3 Y(s) as2 Y(s) = U(s) (b) 1 s + 1 s 1 s a sY(s) aY(s) Y (s)s2 Y(s) asY(s) s3 Y(s) as2 Y(s) U (s) s3 Y(s) as2 Y(s) = U(s) sY(s) aY(s) (c) Gambar 5.13 Dasar pembentukan gambar 5.11 Program Studi Teknik Elektro UNIBA 57
  • 66.
    Mata kuliah SISTEMLINIER Umpan balik dalam suatu rangkaian mempunyai hasil yang sama walaupun di tempatkan dimana saja. Diagram dapat di gambar sebagai berikut : + 1 s 1 s 1 s 5 + + s2 Y(s) + 4sY(s) – 5Y(s) – 2sU(s) – 6U(s) s3 Y(s) + 4s2 Y(s) + 5sY(s) – 2s2 U(s) – 6sU(s) s2 Y(s) + 4sY(s) – 2sU(s) sY(s) + 4Y(s) – 2U(s) U(s) p 6 2 -4 sY(s) 2U(s) Y(s) -4Y(s) q t r p x q -5Y(s) r p -5 -2 -2U(s) 5U(s) Gambar 5.14 Modifikasi realisasi sistem gambar 5.11 → s3 Y(s) + 4s2 Y(s) + 5sY(s) + 2Y(s) = 2s2 U(s) + 6sU(s) + 5U(s) t = p + q + r p = t- q – r = sY(s) – 2U(s) – (- 4Y(s)) Representasi persamaan keadaannya adalah sebagai berikut: + ++ 1 s 1 s 1 s 5 -2 6 -5 2 -4 x3x3 x2 x2 x1 U(s) x1 Y(s) Gambar 5.15 Realisasi dalam bentuk lain sistem contoh 5.4 didapatkan • x 1 = -4x1 + x2 + 2u • x 2 = -5x1 + x3 + 6u • x 3 = -2x1 + 5u dan, y = x1 dalam bentuk matriks ditulis: Program Studi Teknik Elektro UNIBA 58
  • 67.
    Mata kuliah SISTEMLINIER [ ]           =           +                     − − − =               • • • 3 2 1 3 2 1 3 2 1 001 5 6 2 002 105 014 x x x y u x x x x x x 5.4. Kompensator Kompensator dipasang mendapat sistem yang stabil dengan cara mengkompensasi bagian sistem yang tidak stabil. Sistem tak stabil: 1 s-a X(s) Y(s) Kompensator: s-a s-b X(s) X`(s) Secara aljabar ditulis: 1 s-a s-a s-b X(s) Y(s) Kompensator dapat dipasang di depan atau di belakang sistem: X Ys-a s-b 1 s-a s-a s-b 1 s-a X Y Program Studi Teknik Elektro UNIBA 59
  • 68.
    Mata kuliah SISTEMLINIER Perbedaan efek pemasangan kompensator di depan atau di belakang akan dalam representasi persamaan keadaan berikut: Untuk sistem dengan H(s) = 1 1 −s dikompensasi dengan 1 1 + − s s maka: +++-2 1 -1 1 U x2 V yx1x1x2 Gambar 5.17 Realisasi sistem dengan kompensator di depan untuk kompensator: • x 2 = -x2 – 2u keluaran kompensator: V = x2 + u untuk sistem yang di kompensasi, • x 1 = x1 + v = x1 + x2 + u keluaran, y = x1 dalam bentuk matriks: [ ] [ ]u x x y u x x x x 001 2 1 10 11 2 1 2 1 2 1 +      =       − +            − =         • • bentuk controllable, masukan dari masing-masing sistem dapat di kendalikan. Kompensator di pasang di belakang. 1 s-1 u ys-1 s+1 dengan penguraian didapat: Program Studi Teknik Elektro UNIBA 60
  • 69.
    Mata kuliah SISTEMLINIER + ++ 1 1 -1 U x2 yx1x1x2 -2 Gambar 5.17 Realisasi sistem dengan kompensator di belakang • x 1 = -x1 – 2x2 • x 2 = x2 + u dan, y = x1 + x2 dalam bentuk matriks: u x x x x       +            −− =         • • 1 0 10 21 2 1 2 1 dan, [ ]       = 2 1 11 x x y bentuk observable, dari keluaran dapat dilihat penyebab ketidakterkendalian. 5.5. Controllability dan Observability Sistem 1). Controllability Syarat suatu sistem controllable: Rank [ An-1 B An-2 B ………..AB B] = n Contoh soal 5.5: Diketahui suatu persamaan keadaan: Program Studi Teknik Elektro UNIBA 61
  • 70.
    Mata kuliah SISTEMLINIER [ ]       =       +            − =         • • 2 1 2 1 2 1 01 1 1 4,04,0 2,01 x x y x x x x Tinjaulah apakah sistem contollable. Penyelesaian:       =       =            − = 1 1 8,0 8,0 1 1 4,04,0 2,01 B AB jadi, [ ] 1 18,0 18,0 18,0 18,0 =            = rank BAB n =2 rank seharusnya = 2 jadi sistem uncotrollable. 2). Observability Syarat suatu sistem observable. n CA CA C rank n =             −1  Contoh soal 5.6: [ ]       =       +            =         • • 2 1 2 1 2 1 10 4 8 10 41 x x y u x x x x tinjaulah apakah sistem observable. Penyelesaian: n = 2 (sistem orde 2 ) Program Studi Teknik Elektro UNIBA 62
  • 71.
    Mata kuliah SISTEMLINIER [ ] [ ] 1 10 10 10 41 1010 =       =            == rank CA C rank CAC jadi sistem unobservable. Contoh perhitungan rang matriks. Contoh soal 5.7:             = 131 042 042 131 M rank M = ….? Penyelesaian: 1) Operasi → baris ke 3 - baris ke 2             = 131 000 042 131 M 2) Operasi : baris ke 4 - baris ke 1             = 000 000 042 131 M 3) Operasi : baris ke 2 - 2x baris ke 1             −− = 000 000 220 131 M jadi rank M = 2 [ ] [ ]021 1 1 4,02,0 6,05,0 =−−=       =      = DC BA Program Studi Teknik Elektro UNIBA 63
  • 72.
    Mata kuliah SISTEMLINIER Program Studi Teknik Elektro UNIBA 64 DAFTAR PUSTAKA Hans J. W., (penerjemah), 1996, " Sinyal dan Sistem Linier", Edisi ke-3, Erlangga, Jakarta. O’Flynn M., Moriarty, E., 1987, “Linier Systems, Time Domain and Transform Analysis”, John Wiley & Son, New York Ogata K., "Teknik Kendali Automatik", Edisi ke-3, Erlangga, Jakarta. Robert, M. J., “Signal and System” , Mc Graw Hill, New York. Simon H., Barry V. V. , 2004, “Sinyal and Sistem”, John Wiley & Son, New York.