7.2 Exploring Exponential
Models
What is an exponential equation?
An exponential equation has the general form
y=abx
1band0b,0wherea
Growth Factor, Decay Factor
Given the general form
y=abx
 When b > 1, b is the
growth factor
 When 0 < b < 1, b is
the decay factor
Growth or Decay???
x
)2.1(10y
x
)9(.5y
x
)54.1(50y
x
)70(.2.5y
x
y )2(4
x
)07(.100y
Growth
Decay
Growth
Decay
Growth
Decay
Graphs of Exponential Functions
x
)2(10y
What is an asymptote?
x
)2(10y“Walking halfway to the wall”
An Asymptote is a line that
a graph approaches as x
or y increases in absolute
value.
In this example, the
asymptote is the x
axis.
Graphing Exponential Functions
x
)5(.100y
X .5x Y=100(.5)x
-3
-2
-1
0
1
2
3
Complete the table using the
integers -3 through 3 for x.
Let’s graph one together
x
)5(.100y
X .5x Y=100(.5)x
-3 .5-3 800
-2 .5-2 400
-1 .5-1 200
0 .50 100
1 .51 50
2 .52 25
3 .53 12.5
Let’s try one
x
y )5(.2
X .5x Y=2(.5)x
-3
-2
-1
0
1
2
3
Complete the table using the
integers -3 through 3 for x. Then
graph the function.
Let’s try one
x
y )5(.2
X .5x Y=2(.5)x
-3
-2
-1
0
1
2
3
Let’s try one
x
y )10(5
X 10x Y=5(10)x
-3
-2
-1
0
1
2
3
Complete the table using the
integers -3 through 3 for x. Then
graph the function.
Let’s try one
x
y )10(5
X 10x Y=5(10)x
-3
-2
-1
0
1
2
3
Writing Exponential Equations
 Find the exponential equation passing through
the points (3,20) and (1,5).
x
aby
a
b3
20
1
3
20
5 b
b
31
205 b
3
20 ab
Start with the general form.
Choose a point. Substitute for x and y using (3, 20)
Solve for a
Substitute x and y using (1, 5) and a using a
b3
2
Division property of exponents
Writing Exponential Equations
 Find the exponential equation passing through
the points (3,20) and (1,5).
2
4
5
20
20
5
205
2
2
2
b
b
b
b
Simplify
Solve for b
2
5
8
20
2
2020
33
b
a
Go back to the equation for a; substitute
in b and solve for a
Writing Exponential Equations
 Find the exponential equation passing through
the points (3,20) and (1,5).
x
aby
x
y )2(
2
5
Going back to the general form,
substitute in a and b
The exponential equation passing through
the points (3,20) and (1,5) is x
y )2(
2
5
Let’s Try One
 Find the exponential equation passing through
the points (2,4) and (3,16).
x
aby
a
b2
4
3
2
4
16 b
b
23
416 b
2
4 ab
Start with the general form.
Choose a point. Substitute for x and y using (2, 4)
Solve for a
Substitute x and y using (3, 16) and a using a
b2
4
Division property of exponents
Writing Exponential Equations
1
416 b
4b
Simplify
Solve for b
25.0
4
1
4
4
2
a
Go back to the equation for a; substitute in
b and solve for a
x
aby
x
y )4(25.0 Going back to the general form,
substitute in a and b
The exponential equation passing through
the points (2,4) and (3,16) is
x
y )4(25.0
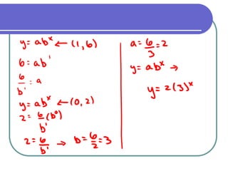
Putting it all together . . .
 Find the equation of the exponential
function that goes through
(1,6) and (0,2). Graph the function.
Modeling Growth with an
Exponential Equation
 The growth factor can be found in word
problems using b = 1 + r
where r = rate or amount of increase.
You can substitute your new b into your
general equation to find the exponential
function.
 EX- a guy puts $1000 into a simple 3%
interest account. What is the exponential
equation?
x
y )03.1(1000
r = rate 3% (write as 0.03)
b = 1 + r = 1.03
x = time
a = amount put into the account
($1,000)
x
aby
 EX – a colony of 1000 bacteria cells
doubles every hour. What is the
exponential equation?
r = 1 (why not 2?)
b = r + 1 = 2
x = time (in hours)
a = the original number in the
colony (1,000 bacteria )
x
y )2(1000
x
aby
b = r + 1, where r is the amount of
increase. We are increasing by 100%
each time something doubles, so r = 1
 EX- a $15000 car depreciates at 10% a
year. What is the exponential equation?
r = - 10% (the car is worth 10%
less each year)
b = 1 - r = 1 – 0.1 = 0.9
x = time (in years)
a = amount put into the account
($15,000)
x
y )9.0(15000
x
aby

7.2 Alg 2 exploring exponential models

  • 1.
  • 2.
    What is anexponential equation? An exponential equation has the general form y=abx 1band0b,0wherea
  • 3.
    Growth Factor, DecayFactor Given the general form y=abx  When b > 1, b is the growth factor  When 0 < b < 1, b is the decay factor
  • 4.
    Growth or Decay??? x )2.1(10y x )9(.5y x )54.1(50y x )70(.2.5y x y)2(4 x )07(.100y Growth Decay Growth Decay Growth Decay
  • 5.
    Graphs of ExponentialFunctions x )2(10y
  • 6.
    What is anasymptote? x )2(10y“Walking halfway to the wall” An Asymptote is a line that a graph approaches as x or y increases in absolute value. In this example, the asymptote is the x axis.
  • 7.
    Graphing Exponential Functions x )5(.100y X.5x Y=100(.5)x -3 -2 -1 0 1 2 3 Complete the table using the integers -3 through 3 for x.
  • 8.
    Let’s graph onetogether x )5(.100y X .5x Y=100(.5)x -3 .5-3 800 -2 .5-2 400 -1 .5-1 200 0 .50 100 1 .51 50 2 .52 25 3 .53 12.5
  • 9.
    Let’s try one x y)5(.2 X .5x Y=2(.5)x -3 -2 -1 0 1 2 3 Complete the table using the integers -3 through 3 for x. Then graph the function.
  • 10.
    Let’s try one x y)5(.2 X .5x Y=2(.5)x -3 -2 -1 0 1 2 3
  • 11.
    Let’s try one x y)10(5 X 10x Y=5(10)x -3 -2 -1 0 1 2 3 Complete the table using the integers -3 through 3 for x. Then graph the function.
  • 12.
    Let’s try one x y)10(5 X 10x Y=5(10)x -3 -2 -1 0 1 2 3
  • 13.
    Writing Exponential Equations Find the exponential equation passing through the points (3,20) and (1,5). x aby a b3 20 1 3 20 5 b b 31 205 b 3 20 ab Start with the general form. Choose a point. Substitute for x and y using (3, 20) Solve for a Substitute x and y using (1, 5) and a using a b3 2 Division property of exponents
  • 14.
    Writing Exponential Equations Find the exponential equation passing through the points (3,20) and (1,5). 2 4 5 20 20 5 205 2 2 2 b b b b Simplify Solve for b 2 5 8 20 2 2020 33 b a Go back to the equation for a; substitute in b and solve for a
  • 15.
    Writing Exponential Equations Find the exponential equation passing through the points (3,20) and (1,5). x aby x y )2( 2 5 Going back to the general form, substitute in a and b The exponential equation passing through the points (3,20) and (1,5) is x y )2( 2 5
  • 16.
    Let’s Try One Find the exponential equation passing through the points (2,4) and (3,16). x aby a b2 4 3 2 4 16 b b 23 416 b 2 4 ab Start with the general form. Choose a point. Substitute for x and y using (2, 4) Solve for a Substitute x and y using (3, 16) and a using a b2 4 Division property of exponents
  • 17.
    Writing Exponential Equations 1 416b 4b Simplify Solve for b 25.0 4 1 4 4 2 a Go back to the equation for a; substitute in b and solve for a x aby x y )4(25.0 Going back to the general form, substitute in a and b The exponential equation passing through the points (2,4) and (3,16) is x y )4(25.0
  • 18.
    Putting it alltogether . . .  Find the equation of the exponential function that goes through (1,6) and (0,2). Graph the function.
  • 21.
    Modeling Growth withan Exponential Equation  The growth factor can be found in word problems using b = 1 + r where r = rate or amount of increase. You can substitute your new b into your general equation to find the exponential function.
  • 22.
     EX- aguy puts $1000 into a simple 3% interest account. What is the exponential equation? x y )03.1(1000 r = rate 3% (write as 0.03) b = 1 + r = 1.03 x = time a = amount put into the account ($1,000) x aby
  • 23.
     EX –a colony of 1000 bacteria cells doubles every hour. What is the exponential equation? r = 1 (why not 2?) b = r + 1 = 2 x = time (in hours) a = the original number in the colony (1,000 bacteria ) x y )2(1000 x aby b = r + 1, where r is the amount of increase. We are increasing by 100% each time something doubles, so r = 1
  • 24.
     EX- a$15000 car depreciates at 10% a year. What is the exponential equation? r = - 10% (the car is worth 10% less each year) b = 1 - r = 1 – 0.1 = 0.9 x = time (in years) a = amount put into the account ($15,000) x y )9.0(15000 x aby