Approximations To Roots
(1) Halving The Interval
Approximations To Roots
(1) Halving The Interval
        y
                                         y  f x


                                               x




  If y = f(x) is a continuous function over the interval a  x  b , and
  f(a) and f(b) are opposite in sign,
Approximations To Roots
(1) Halving The Interval
        y
                                         y  f x
     f a 

                 a         b                   x
     f b 



  If y = f(x) is a continuous function over the interval a  x  b , and
  f(a) and f(b) are opposite in sign,
Approximations To Roots
(1) Halving The Interval
        y
                                          y  f x
     f a 

                 a         b                   x
     f b 



  If y = f(x) is a continuous function over the interval a  x  b , and
  f(a) and f(b) are opposite in sign, then at least one root of the equation
   f(x) = 0 lies in the interval a  x  b
e.g Find an approximation to two decimal places for a root of
     x 4  2 x  19  0 in the interval 1  x  3
e.g Find an approximation to two decimal places for a root of
     x 4  2 x  19  0 in the interval 1  x  3
    f  x   x 4  2 x  19   f 1  14  2  19   f 3  34  23  19
                                      16  0              68  0
e.g Find an approximation to two decimal places for a root of
     x 4  2 x  19  0 in the interval 1  x  3
    f  x   x 4  2 x  19   f 1  14  2  19   f 3  34  23  19
                                      16  0             68  0
        1 3
   x1             f 2   2 4  22   19
         2
                         1 0                       1       2         3
      2
e.g Find an approximation to two decimal places for a root of
     x 4  2 x  19  0 in the interval 1  x  3
    f  x   x 4  2 x  19   f 1  14  2  19       f 3  34  23  19
                                      16  0                 68  0
        1 3
   x1             f 2   2 4  22   19
         2
                         1 0                          1        2         3
      2
                                                solution lies in interval 1  x  2
e.g Find an approximation to two decimal places for a root of
     x 4  2 x  19  0 in the interval 1  x  3
    f  x   x 4  2 x  19   f 1  14  2  19       f 3  34  23  19
                                      16  0                 68  0
        1 3
   x1             f 2   2 4  22   19
         2
                         1 0                          1        2         3
      2
                                                solution lies in interval 1  x  2

        1 2
   x2            f 1.5  1.54  21.5  19
           2
                           10.9  0                   1       1.5        2
       1 .5
e.g Find an approximation to two decimal places for a root of
     x 4  2 x  19  0 in the interval 1  x  3
    f  x   x 4  2 x  19   f 1  14  2  19        f 3  34  23  19
                                      16  0                  68  0
        1 3
   x1             f 2   2 4  22   19
         2
                         1 0                           1        2         3
      2
                                                 solution lies in interval 1  x  2

        1 2
   x2            f 1.5  1.54  21.5  19
           2
                           10.9  0                    1       1.5        2
       1 .5
                                                solution lies in interval 1.5  x  2
1 .5  2
x3           f 1.75  1.75 4  21.75  19
         2
                        6.12  0               1.5   1.75   2
    1.75
1 .5  2
x3           f 1.75  1.75 4  21.75  19
         2
                        6.12  0               1.5     1.75       2
    1.75
                                      solution lies in interval 1.75  x  2
1 .5  2
x3           f 1.75  1.75 4  21.75  19
         2
                        6.12  0               1.5     1.75       2
    1.75
                                      solution lies in interval 1.75  x  2

     1.75  2 f 1.88  1.88 4  21.88  19
x4 
        2
                        2.75  0             1.75     1.88        2
    1.88
1 .5  2
x3           f 1.75  1.75 4  21.75  19
         2
                        6.12  0               1.5     1.75       2
    1.75
                                      solution lies in interval 1.75  x  2

     1.75  2 f 1.88  1.88 4  21.88  19
x4 
        2
                        2.75  0             1.75     1.88        2
    1.88
                                      solution lies in interval 1.88  x  2
1 .5  2
x3           f 1.75  1.75 4  21.75  19
         2
                        6.12  0               1.5     1.75       2
    1.75
                                      solution lies in interval 1.75  x  2

     1.75  2 f 1.88  1.88 4  21.88  19
x4 
        2
                        2.75  0             1.75     1.88        2
    1.88
                                      solution lies in interval 1.88  x  2

     1.88  2 f 1.94   1.94 4  21.94   19
x5 
        2
                         0.96  0              1.88   1.94       2
    1.94
1 .5  2
x3           f 1.75  1.75 4  21.75  19
         2
                        6.12  0               1.5     1.75       2
    1.75
                                      solution lies in interval 1.75  x  2

     1.75  2 f 1.88  1.88 4  21.88  19
x4 
        2
                        2.75  0             1.75     1.88        2
    1.88
                                      solution lies in interval 1.88  x  2

     1.88  2 f 1.94   1.94 4  21.94   19
x5 
        2
                         0.96  0              1.88   1.94        2
    1.94
                                       solution lies in interval 1.94  x  2
1.94  2
x6           f 1.97   1.97 4  21.97   19
        2
                         0.001  0                1.94   1.97   2
    1.97
1.94  2
x6           f 1.97   1.97 4  21.97   19
        2
                         0.001  0                1.94   1.97       2
    1.97
                                     solution lies in interval 1.94  x  1.97
1.94  2
x6           f 1.97   1.97 4  21.97   19
        2
                         0.001  0                1.94   1.97       2
    1.97
                                     solution lies in interval 1.94  x  1.97

     1.94  1.97
x7 
          2 f 1.96   1.96 4  21.96   19
                                               1.94       1.96       1.97
    1.96
                       0.32  0
1.94  2
x6           f 1.97   1.97 4  21.97   19
        2
                         0.001  0                1.94   1.97       2
    1.97
                                     solution lies in interval 1.94  x  1.97

     1.94  1.97
x7 
          2 f 1.96   1.96 4  21.96   19
                                               1.94      1.96       1.97
    1.96
                       0.32  0
                                    solution lies in interval 1.96  x  1.97
1.94  2
x6           f 1.97   1.97 4  21.97   19
        2
                         0.001  0                1.94   1.97       2
    1.97
                                     solution lies in interval 1.94  x  1.97

     1.94  1.97
x7 
          2 f 1.96   1.96 4  21.96   19
                                               1.94      1.96       1.97
    1.96
                       0.32  0
                                    solution lies in interval 1.96  x  1.97

     1.96  1.97
x8 
          2
    1.97
1.94  2
x6           f 1.97   1.97 4  21.97   19
        2
                         0.001  0                1.94   1.97       2
    1.97
                                     solution lies in interval 1.94  x  1.97

     1.94  1.97
x7 
          2 f 1.96   1.96 4  21.96   19
                                               1.94      1.96       1.97
    1.96
                       0.32  0
                                    solution lies in interval 1.96  x  1.97

     1.96  1.97
x8 
          2
    1.97
                     an approximation for the root is x  1.97
(2) Newton’s Method of Approximation
(2) Newton’s Method of Approximation
     y




                                       x
(2) Newton’s Method of Approximation
     y




                                            x



 If x0 is a good first approximation to a root of the equation f(x) = 0,
 then a closer approximation is given by;
                                        f  x0 
                              x1  x0 
                                        f  x0 
(2) Newton’s Method of Approximation
     y




                                                  x



 If x0 is a good first approximation to a root of the equation f(x) = 0,
 then a closer approximation is given by;
                                        f  x0 
                              x1  x0 
                                        f  x0 
 Successive approximations x2 , x3 ,  , xn , xn 1are given by;
                                             f  xn 
                              xn 1  xn 
                                             f  xn 
NOTE:
(2) Newton’s Method of Approximation
     y                                                   x0 must be a good first
                                                         approximation
                                                         Newton’s method finds
                                                         where the tangent at x0
                                                         cuts the x axis
                                                  x



 If x0 is a good first approximation to a root of the equation f(x) = 0,
 then a closer approximation is given by;
                                        f  x0 
                              x1  x0 
                                        f  x0 
 Successive approximations x2 , x3 ,  , xn , xn 1are given by;
                                             f  xn 
                              xn 1  xn 
                                             f  xn 
NOTE:
(2) Newton’s Method of Approximation
     y                                                   x0 must be a good first
                                                         approximation
                                       y  f x         Newton’s method finds
                                                         where the tangent at x0
                                                         cuts the x axis
                     x0                           x



 If x0 is a good first approximation to a root of the equation f(x) = 0,
 then a closer approximation is given by;
                                        f  x0 
                              x1  x0 
                                        f  x0 
 Successive approximations x2 , x3 ,  , xn , xn 1are given by;
                                             f  xn 
                              xn 1  xn 
                                             f  xn 
NOTE:
(2) Newton’s Method of Approximation
     y                                                   x0 must be a good first
                                                         approximation
                                       y  f x         Newton’s method finds
                                                         where the tangent at x0
                                                         cuts the x axis
              x1     x0                           x



 If x0 is a good first approximation to a root of the equation f(x) = 0,
 then a closer approximation is given by;
                                        f  x0 
                              x1  x0 
                                        f  x0 
 Successive approximations x2 , x3 ,  , xn , xn 1are given by;
                                             f  xn 
                              xn 1  xn 
                                             f  xn 
NOTE:
(2) Newton’s Method of Approximation
     y                                                   x0 must be a good first
                                                         approximation
                                       y  f x         Newton’s method finds
                                                         where the tangent at x0
                                                         cuts the x axis
              x1     x0                           x            If f  x0   0
                                                           i.e. tangent || x axis
                                                   the method will fail
 If x0 is a good first approximation to a root of the equation f(x) = 0,
 then a closer approximation is given by;
                                        f  x0 
                              x1  x0 
                                        f  x0 
 Successive approximations x2 , x3 ,  , xn , xn 1are given by;
                                             f  xn 
                              xn 1  xn 
                                             f  xn 
e.g Find an approximation to two decimal places for a root of
     x 4  2 x  19  0
e.g Find an approximation to two decimal places for a root of
     x 4  2 x  19  0
    f  x   x 4  2 x  19

   f  x   4 x 3  2
e.g Find an approximation to two decimal places for a root of
     x 4  2 x  19  0
    f  x   x 4  2 x  19

   f  x   4 x 3  2
   x0  1.5        f 1.5  1.54  21.5  19   f 1.5  41.53  2
                            10.9375                     15.5
e.g Find an approximation to two decimal places for a root of
     x 4  2 x  19  0
    f  x   x 4  2 x  19

   f  x   4 x 3  2
   x0  1.5        f 1.5  1.54  21.5  19   f 1.5  41.53  2
                            10.9375                     15.5

                f  x0 
   x1  x0 
                f  x0 
                10.9375
       1 .5 
                  15.5
       2.21
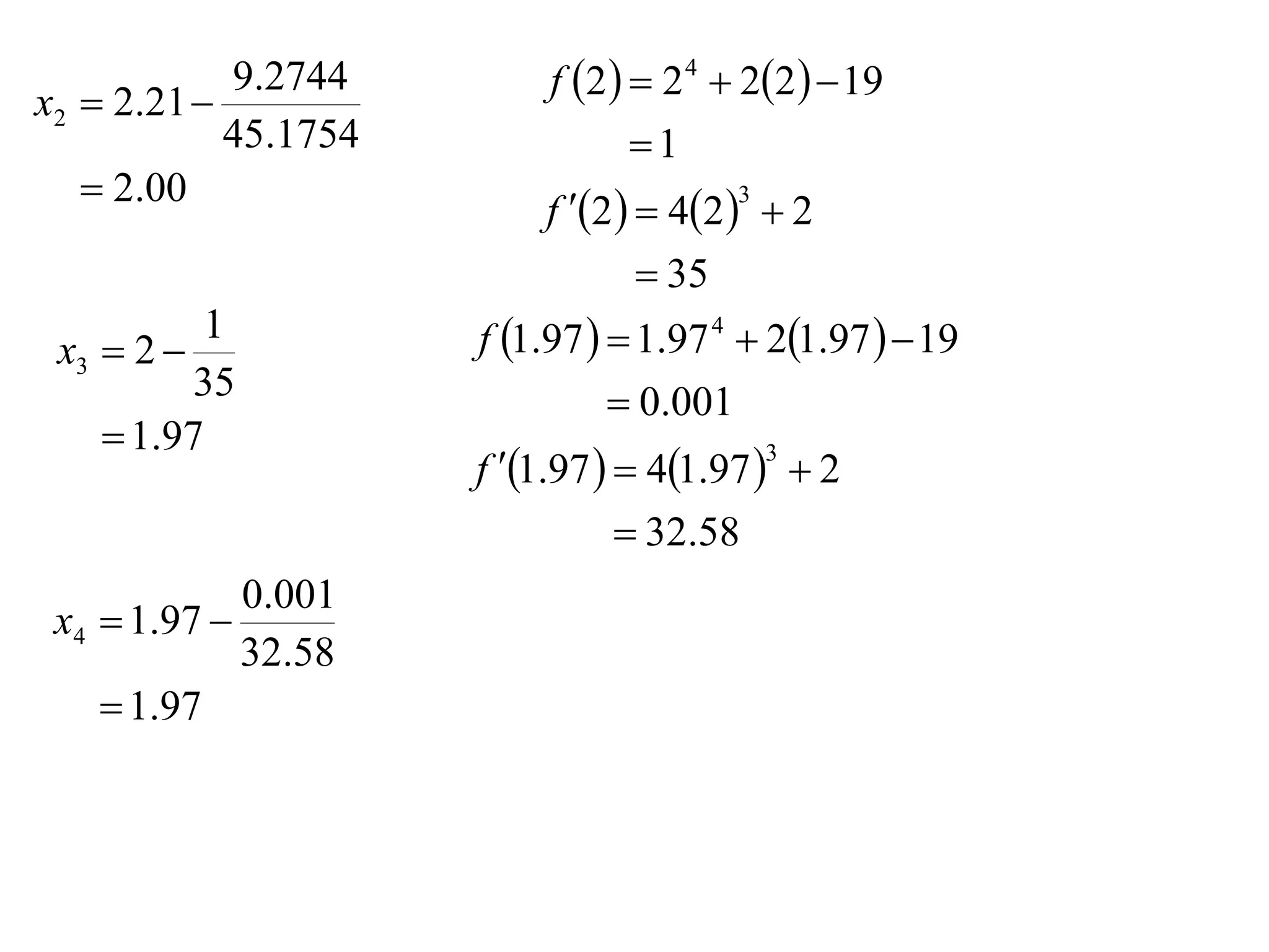
e.g Find an approximation to two decimal places for a root of
     x 4  2 x  19  0
    f  x   x 4  2 x  19

   f  x   4 x 3  2
   x0  1.5        f 1.5  1.54  21.5  19   f 1.5  41.53  2
                            10.9375                        15.5

                f  x0 
   x1  x0                           f 2.21  2.214  22.21  19
                f  x0 
                                                9.2744
                10.9375
       1 .5                        f 2.21  42.21  2
                                                        3
                  15.5
       2.21                                    45.1754
9.2744
x2  2.21 
            45.1754
    2.00
9.2744    f 2   2 4  22   19
x2  2.21 
            45.1754          1
    2.00
                      f 2   42   2
                                    3


                               35
9.2744    f 2   2 4  22   19
x2  2.21 
            45.1754          1
    2.00
                      f 2   42   2
                                    3


                               35
          1
 x3  2 
          35
     1.97
9.2744         f 2   2 4  22   19
x2  2.21 
            45.1754               1
    2.00
                          f 2   42   2
                                         3


                                   35
 x3  2 
          1           f 1.97   1.97 4  21.97   19
          35                     0.001
     1.97
                      f 1.97   41.97   2
                                             3


                                  32.58
9.2744          f 2   2 4  22   19
x2  2.21 
            45.1754                1
    2.00
                           f 2   42   2
                                          3


                                    35
 x3  2 
          1            f 1.97   1.97 4  21.97   19
          35                      0.001
     1.97
                       f 1.97   41.97   2
                                              3


                                   32.58
               0.001
 x4  1.97 
               32.58
    1.97
9.2744                f 2   2 4  22   19
x2  2.21 
            45.1754                      1
    2.00
                                 f 2   42   2
                                                3


                                          35
 x3  2 
          1                  f 1.97   1.97 4  21.97   19
          35                            0.001
     1.97
                             f 1.97   41.97   2
                                                    3


                                         32.58
               0.001
 x4  1.97 
               32.58
    1.97

                 x  1.97 is a better approximation for the root
(ii ) Use Newton's Method to obtain an approximation to   23
      correct to two decimal places
(ii ) Use Newton's Method to obtain an approximation to   23
      correct to two decimal places
   f  x   x 2  23
(ii ) Use Newton's Method to obtain an approximation to   23
      correct to two decimal places
   f  x   x 2  23
   f  x  2x
(ii ) Use Newton's Method to obtain an approximation to    23
      correct to two decimal places
                                              xn12  23
      f  x   x  23
                 2
                                  xn  xn1 
                                                2 xn1
     f  x  2x
                                       xn12  23
                                     
                                         2 xn1
(ii ) Use Newton's Method to obtain an approximation to    23
      correct to two decimal places
                                              xn12  23
      f  x   x  23
                 2
                                  xn  xn1 
                                                2 xn1
     f  x  2x
                                       xn12  23
                                     
                                         2 xn1
       x0  5
(ii ) Use Newton's Method to obtain an approximation to    23
      correct to two decimal places
                                              xn12  23
      f  x   x  23
                 2
                                  xn  xn1 
                                                2 xn1
     f  x  2x
                                       xn12  23
                                     
                                         2 xn1
       x0  5
         52  23
    x1 
          2 5

    x1  4.8
(ii ) Use Newton's Method to obtain an approximation to        23
      correct to two decimal places
                                                  xn12  23
      f  x   x  23
                  2
                                      xn  xn1 
                                                    2 xn1
     f  x  2x
                                           xn12  23
                                         
                                             2 xn1
       x0  5
              52  23      4.82  23
       x1            x2 
               2 5        2  4.8 

    x1  4.8       x2  4.795833333
                   x2  4.80 (to 2 dp)
(ii ) Use Newton's Method to obtain an approximation to        23
      correct to two decimal places
                                                  xn12  23
      f  x   x  23
                  2
                                      xn  xn1 
                                                    2 xn1
     f  x  2x
                                           xn12  23
                                         
                                             2 xn1
       x0  5
              52  23      4.82  23
       x1            x2 
               2 5        2  4.8 

    x1  4.8       x2  4.795833333
                   x2  4.80 (to 2 dp)
                23  4.80 (to 2 dp)
Other Possible Problems with Newton’s Method
Other Possible Problems with Newton’s Method
          Approximations oscillate
Other Possible Problems with Newton’s Method
    y     Approximations oscillate




                                     x
Other Possible Problems with Newton’s Method
    y     Approximations oscillate
                 want to find this root



                                          x
Other Possible Problems with Newton’s Method
    y     Approximations oscillate
                 want to find this root



            x1              x2            x
Other Possible Problems with Newton’s Method
    y     Approximations oscillate
                 want to find this root



            x1              x2            x
Other Possible Problems with Newton’s Method
    y     Approximations oscillate
                 want to find this root



            x1              x2             x


                                          wrong side of stationary point
                                            converges to wrong root
Other Possible Problems with Newton’s Method
    y     Approximations oscillate
                 want to find this root



            x1              x2             x


                                          wrong side of stationary point
                              y             converges to wrong root



                                                                    x
Other Possible Problems with Newton’s Method
    y     Approximations oscillate
                    want to find this root



            x1                 x2             x


                                             wrong side of stationary point
                                  y            converges to wrong root



                                                                       x


             want to find this root
Other Possible Problems with Newton’s Method
    y     Approximations oscillate
                    want to find this root



            x1                 x2             x


                                             wrong side of stationary point
                                  y            converges to wrong root



                                                       x1        x2    x


             want to find this root
Other Possible Problems with Newton’s Method
    y     Approximations oscillate
                    want to find this root



            x1                 x2             x


                                             wrong side of stationary point
                                  y            converges to wrong root



                                                       x1        x2    x


             want to find this root
Other Possible Problems with Newton’s Method
    y     Approximations oscillate
                    want to find this root
                                                     Exercise 6E; 1, 3ac,
                                                       6adf, 8a, 10, 12
            x1                 x2             x


                                             wrong side of stationary point
                                  y            converges to wrong root



                                                       x1        x2    x


             want to find this root

12 x1 t04 07 approximations to roots (2012)

  • 1.
    Approximations To Roots (1)Halving The Interval
  • 2.
    Approximations To Roots (1)Halving The Interval y y  f x x If y = f(x) is a continuous function over the interval a  x  b , and f(a) and f(b) are opposite in sign,
  • 3.
    Approximations To Roots (1)Halving The Interval y y  f x f a  a b x f b  If y = f(x) is a continuous function over the interval a  x  b , and f(a) and f(b) are opposite in sign,
  • 4.
    Approximations To Roots (1)Halving The Interval y y  f x f a  a b x f b  If y = f(x) is a continuous function over the interval a  x  b , and f(a) and f(b) are opposite in sign, then at least one root of the equation f(x) = 0 lies in the interval a  x  b
  • 5.
    e.g Find anapproximation to two decimal places for a root of x 4  2 x  19  0 in the interval 1  x  3
  • 6.
    e.g Find anapproximation to two decimal places for a root of x 4  2 x  19  0 in the interval 1  x  3 f  x   x 4  2 x  19 f 1  14  2  19 f 3  34  23  19  16  0  68  0
  • 7.
    e.g Find anapproximation to two decimal places for a root of x 4  2 x  19  0 in the interval 1  x  3 f  x   x 4  2 x  19 f 1  14  2  19 f 3  34  23  19  16  0  68  0 1 3 x1  f 2   2 4  22   19 2 1 0 1 2 3 2
  • 8.
    e.g Find anapproximation to two decimal places for a root of x 4  2 x  19  0 in the interval 1  x  3 f  x   x 4  2 x  19 f 1  14  2  19 f 3  34  23  19  16  0  68  0 1 3 x1  f 2   2 4  22   19 2 1 0 1 2 3 2  solution lies in interval 1  x  2
  • 9.
    e.g Find anapproximation to two decimal places for a root of x 4  2 x  19  0 in the interval 1  x  3 f  x   x 4  2 x  19 f 1  14  2  19 f 3  34  23  19  16  0  68  0 1 3 x1  f 2   2 4  22   19 2 1 0 1 2 3 2  solution lies in interval 1  x  2 1 2 x2  f 1.5  1.54  21.5  19 2  10.9  0 1 1.5 2  1 .5
  • 10.
    e.g Find anapproximation to two decimal places for a root of x 4  2 x  19  0 in the interval 1  x  3 f  x   x 4  2 x  19 f 1  14  2  19 f 3  34  23  19  16  0  68  0 1 3 x1  f 2   2 4  22   19 2 1 0 1 2 3 2  solution lies in interval 1  x  2 1 2 x2  f 1.5  1.54  21.5  19 2  10.9  0 1 1.5 2  1 .5  solution lies in interval 1.5  x  2
  • 11.
    1 .5 2 x3  f 1.75  1.75 4  21.75  19 2  6.12  0 1.5 1.75 2  1.75
  • 12.
    1 .5 2 x3  f 1.75  1.75 4  21.75  19 2  6.12  0 1.5 1.75 2  1.75  solution lies in interval 1.75  x  2
  • 13.
    1 .5 2 x3  f 1.75  1.75 4  21.75  19 2  6.12  0 1.5 1.75 2  1.75  solution lies in interval 1.75  x  2 1.75  2 f 1.88  1.88 4  21.88  19 x4  2  2.75  0 1.75 1.88 2  1.88
  • 14.
    1 .5 2 x3  f 1.75  1.75 4  21.75  19 2  6.12  0 1.5 1.75 2  1.75  solution lies in interval 1.75  x  2 1.75  2 f 1.88  1.88 4  21.88  19 x4  2  2.75  0 1.75 1.88 2  1.88  solution lies in interval 1.88  x  2
  • 15.
    1 .5 2 x3  f 1.75  1.75 4  21.75  19 2  6.12  0 1.5 1.75 2  1.75  solution lies in interval 1.75  x  2 1.75  2 f 1.88  1.88 4  21.88  19 x4  2  2.75  0 1.75 1.88 2  1.88  solution lies in interval 1.88  x  2 1.88  2 f 1.94   1.94 4  21.94   19 x5  2  0.96  0 1.88 1.94 2  1.94
  • 16.
    1 .5 2 x3  f 1.75  1.75 4  21.75  19 2  6.12  0 1.5 1.75 2  1.75  solution lies in interval 1.75  x  2 1.75  2 f 1.88  1.88 4  21.88  19 x4  2  2.75  0 1.75 1.88 2  1.88  solution lies in interval 1.88  x  2 1.88  2 f 1.94   1.94 4  21.94   19 x5  2  0.96  0 1.88 1.94 2  1.94  solution lies in interval 1.94  x  2
  • 17.
    1.94  2 x6 f 1.97   1.97 4  21.97   19 2  0.001  0 1.94 1.97 2  1.97
  • 18.
    1.94  2 x6 f 1.97   1.97 4  21.97   19 2  0.001  0 1.94 1.97 2  1.97  solution lies in interval 1.94  x  1.97
  • 19.
    1.94  2 x6 f 1.97   1.97 4  21.97   19 2  0.001  0 1.94 1.97 2  1.97  solution lies in interval 1.94  x  1.97 1.94  1.97 x7  2 f 1.96   1.96 4  21.96   19 1.94 1.96 1.97  1.96  0.32  0
  • 20.
    1.94  2 x6 f 1.97   1.97 4  21.97   19 2  0.001  0 1.94 1.97 2  1.97  solution lies in interval 1.94  x  1.97 1.94  1.97 x7  2 f 1.96   1.96 4  21.96   19 1.94 1.96 1.97  1.96  0.32  0  solution lies in interval 1.96  x  1.97
  • 21.
    1.94  2 x6 f 1.97   1.97 4  21.97   19 2  0.001  0 1.94 1.97 2  1.97  solution lies in interval 1.94  x  1.97 1.94  1.97 x7  2 f 1.96   1.96 4  21.96   19 1.94 1.96 1.97  1.96  0.32  0  solution lies in interval 1.96  x  1.97 1.96  1.97 x8  2  1.97
  • 22.
    1.94  2 x6 f 1.97   1.97 4  21.97   19 2  0.001  0 1.94 1.97 2  1.97  solution lies in interval 1.94  x  1.97 1.94  1.97 x7  2 f 1.96   1.96 4  21.96   19 1.94 1.96 1.97  1.96  0.32  0  solution lies in interval 1.96  x  1.97 1.96  1.97 x8  2  1.97  an approximation for the root is x  1.97
  • 23.
    (2) Newton’s Methodof Approximation
  • 24.
    (2) Newton’s Methodof Approximation y x
  • 25.
    (2) Newton’s Methodof Approximation y x If x0 is a good first approximation to a root of the equation f(x) = 0, then a closer approximation is given by; f  x0  x1  x0  f  x0 
  • 26.
    (2) Newton’s Methodof Approximation y x If x0 is a good first approximation to a root of the equation f(x) = 0, then a closer approximation is given by; f  x0  x1  x0  f  x0  Successive approximations x2 , x3 ,  , xn , xn 1are given by; f  xn  xn 1  xn  f  xn 
  • 27.
    NOTE: (2) Newton’s Methodof Approximation y x0 must be a good first approximation Newton’s method finds where the tangent at x0 cuts the x axis x If x0 is a good first approximation to a root of the equation f(x) = 0, then a closer approximation is given by; f  x0  x1  x0  f  x0  Successive approximations x2 , x3 ,  , xn , xn 1are given by; f  xn  xn 1  xn  f  xn 
  • 28.
    NOTE: (2) Newton’s Methodof Approximation y x0 must be a good first approximation y  f x Newton’s method finds where the tangent at x0 cuts the x axis x0 x If x0 is a good first approximation to a root of the equation f(x) = 0, then a closer approximation is given by; f  x0  x1  x0  f  x0  Successive approximations x2 , x3 ,  , xn , xn 1are given by; f  xn  xn 1  xn  f  xn 
  • 29.
    NOTE: (2) Newton’s Methodof Approximation y x0 must be a good first approximation y  f x Newton’s method finds where the tangent at x0 cuts the x axis x1 x0 x If x0 is a good first approximation to a root of the equation f(x) = 0, then a closer approximation is given by; f  x0  x1  x0  f  x0  Successive approximations x2 , x3 ,  , xn , xn 1are given by; f  xn  xn 1  xn  f  xn 
  • 30.
    NOTE: (2) Newton’s Methodof Approximation y x0 must be a good first approximation y  f x Newton’s method finds where the tangent at x0 cuts the x axis x1 x0 x If f  x0   0 i.e. tangent || x axis the method will fail If x0 is a good first approximation to a root of the equation f(x) = 0, then a closer approximation is given by; f  x0  x1  x0  f  x0  Successive approximations x2 , x3 ,  , xn , xn 1are given by; f  xn  xn 1  xn  f  xn 
  • 31.
    e.g Find anapproximation to two decimal places for a root of x 4  2 x  19  0
  • 32.
    e.g Find anapproximation to two decimal places for a root of x 4  2 x  19  0 f  x   x 4  2 x  19 f  x   4 x 3  2
  • 33.
    e.g Find anapproximation to two decimal places for a root of x 4  2 x  19  0 f  x   x 4  2 x  19 f  x   4 x 3  2 x0  1.5 f 1.5  1.54  21.5  19 f 1.5  41.53  2  10.9375  15.5
  • 34.
    e.g Find anapproximation to two decimal places for a root of x 4  2 x  19  0 f  x   x 4  2 x  19 f  x   4 x 3  2 x0  1.5 f 1.5  1.54  21.5  19 f 1.5  41.53  2  10.9375  15.5 f  x0  x1  x0  f  x0   10.9375  1 .5  15.5  2.21
  • 35.
    e.g Find anapproximation to two decimal places for a root of x 4  2 x  19  0 f  x   x 4  2 x  19 f  x   4 x 3  2 x0  1.5 f 1.5  1.54  21.5  19 f 1.5  41.53  2  10.9375  15.5 f  x0  x1  x0  f 2.21  2.214  22.21  19 f  x0   9.2744  10.9375  1 .5  f 2.21  42.21  2 3 15.5  2.21  45.1754
  • 36.
    9.2744 x2  2.21 45.1754  2.00
  • 37.
    9.2744 f 2   2 4  22   19 x2  2.21  45.1754 1  2.00 f 2   42   2 3  35
  • 38.
    9.2744 f 2   2 4  22   19 x2  2.21  45.1754 1  2.00 f 2   42   2 3  35 1 x3  2  35  1.97
  • 39.
    9.2744 f 2   2 4  22   19 x2  2.21  45.1754 1  2.00 f 2   42   2 3  35 x3  2  1 f 1.97   1.97 4  21.97   19 35  0.001  1.97 f 1.97   41.97   2 3  32.58
  • 40.
    9.2744 f 2   2 4  22   19 x2  2.21  45.1754 1  2.00 f 2   42   2 3  35 x3  2  1 f 1.97   1.97 4  21.97   19 35  0.001  1.97 f 1.97   41.97   2 3  32.58 0.001 x4  1.97  32.58  1.97
  • 41.
    9.2744 f 2   2 4  22   19 x2  2.21  45.1754 1  2.00 f 2   42   2 3  35 x3  2  1 f 1.97   1.97 4  21.97   19 35  0.001  1.97 f 1.97   41.97   2 3  32.58 0.001 x4  1.97  32.58  1.97  x  1.97 is a better approximation for the root
  • 42.
    (ii ) UseNewton's Method to obtain an approximation to 23 correct to two decimal places
  • 43.
    (ii ) UseNewton's Method to obtain an approximation to 23 correct to two decimal places f  x   x 2  23
  • 44.
    (ii ) UseNewton's Method to obtain an approximation to 23 correct to two decimal places f  x   x 2  23 f  x  2x
  • 45.
    (ii ) UseNewton's Method to obtain an approximation to 23 correct to two decimal places xn12  23 f  x   x  23 2 xn  xn1  2 xn1 f  x  2x xn12  23  2 xn1
  • 46.
    (ii ) UseNewton's Method to obtain an approximation to 23 correct to two decimal places xn12  23 f  x   x  23 2 xn  xn1  2 xn1 f  x  2x xn12  23  2 xn1 x0  5
  • 47.
    (ii ) UseNewton's Method to obtain an approximation to 23 correct to two decimal places xn12  23 f  x   x  23 2 xn  xn1  2 xn1 f  x  2x xn12  23  2 xn1 x0  5 52  23 x1  2 5 x1  4.8
  • 48.
    (ii ) UseNewton's Method to obtain an approximation to 23 correct to two decimal places xn12  23 f  x   x  23 2 xn  xn1  2 xn1 f  x  2x xn12  23  2 xn1 x0  5 52  23 4.82  23 x1  x2  2 5 2  4.8  x1  4.8 x2  4.795833333 x2  4.80 (to 2 dp)
  • 49.
    (ii ) UseNewton's Method to obtain an approximation to 23 correct to two decimal places xn12  23 f  x   x  23 2 xn  xn1  2 xn1 f  x  2x xn12  23  2 xn1 x0  5 52  23 4.82  23 x1  x2  2 5 2  4.8  x1  4.8 x2  4.795833333 x2  4.80 (to 2 dp)  23  4.80 (to 2 dp)
  • 50.
    Other Possible Problemswith Newton’s Method
  • 51.
    Other Possible Problemswith Newton’s Method Approximations oscillate
  • 52.
    Other Possible Problemswith Newton’s Method y Approximations oscillate x
  • 53.
    Other Possible Problemswith Newton’s Method y Approximations oscillate want to find this root x
  • 54.
    Other Possible Problemswith Newton’s Method y Approximations oscillate want to find this root x1 x2 x
  • 55.
    Other Possible Problemswith Newton’s Method y Approximations oscillate want to find this root x1 x2 x
  • 56.
    Other Possible Problemswith Newton’s Method y Approximations oscillate want to find this root x1 x2 x wrong side of stationary point converges to wrong root
  • 57.
    Other Possible Problemswith Newton’s Method y Approximations oscillate want to find this root x1 x2 x wrong side of stationary point y converges to wrong root x
  • 58.
    Other Possible Problemswith Newton’s Method y Approximations oscillate want to find this root x1 x2 x wrong side of stationary point y converges to wrong root x want to find this root
  • 59.
    Other Possible Problemswith Newton’s Method y Approximations oscillate want to find this root x1 x2 x wrong side of stationary point y converges to wrong root x1 x2 x want to find this root
  • 60.
    Other Possible Problemswith Newton’s Method y Approximations oscillate want to find this root x1 x2 x wrong side of stationary point y converges to wrong root x1 x2 x want to find this root
  • 61.
    Other Possible Problemswith Newton’s Method y Approximations oscillate want to find this root Exercise 6E; 1, 3ac, 6adf, 8a, 10, 12 x1 x2 x wrong side of stationary point y converges to wrong root x1 x2 x want to find this root