Polymer fibre
reinforced composites
Prepared by
Dr. K. Padmanabhan
Professor
Asst Director, CENC,
Manufacturing
Division
School of MBS
VIT-University
Vellore 632014August, 2010
Contents
• High strength and modulus polymer fibres
• Flexibility and mechanical behaviour
• Structure property correlation
• Moisture attack
• Thermal characteristics
• Case studies from publications
• Applications
High-modulus high-strength organic fibers
• Theoretical estimates for covalently bonded organics show
strength of 20-50 GPa (or more) and modulus of 200 – 300 GPa
• Serious processing problems
• New fibers developed since the early 1970s: high axial molecular
orientation, highly planar, highly aromatic molecules
• Major fibers: Kevlar (polyaramid); Spectra (PE); polybenzoxazole
(PBO) and polybenzothiazole (PBT).
• The latest entry being Zylon made by Toyobo Company of Japan.
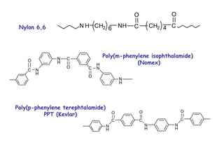
N H CH2 6 NH C
O
CH2 4 C
O
C
O
N
H
N
H
C
O C
O
H
N
N
H
N
H
C
O
C
O
N
H
N
H
C
O
Nylon 6,6
Poly(m-phenylene isophthalamide)
(Nomex)
Poly(p-phenylene terephtalamide)
PPT (Kevlar)
Aramid Fibers
• Aramid (aromatic polyamide) fibers =
poly(paraphenylene terephthalamide)
• Kevlar behaves as a nematic liquid crystal in the melt
which can be spun
• Prepared by solution polycondensation of p-phenylene
diamine and terephthaloyl chloride at low temperatures.
The fiber is spun by extrusion of a solution of the
polymer in a suitable solvent (for example, sulphuric
acid) followed by stretching and thermal annealing
treatment
Liquid crystal Conventional (PET)
Solution
Extrusion
Solid
state
Nematic structure
Low entropy
Random coil
High entropy
Extended chain structure
High chain continuity
High mechanical properties
Folded chain structure
Low chain continuity
Low mechanical properties
Schematic representation of structure formation
during spinning, contrasting PPT and PET behavior
Producing Kevlar fibers
Stephanie Kwolek--Synthesized Kevlar
Phase diagram of the anisotropic solution of PPT
in 100% H2SO4
•Various grades of Kevlar fibers: Kevlar-29, 49, 149 (Kevlar-49 is the
more commonly used in composite structures) and Kevlar 981.
•X-ray diffraction: the structure of Kevlar-49 consists of rigid linear
molecular chains that are highly oriented in the fiber axis direction, with
the chains held together in the transverse direction by hydrogen bonds.
Thus, the polymer molecules form rigid planar sheets.
•Strong covalent bonds in the fiber axis direction - high longitudinal
strength
•Weak hydrogen bonds in the transverse direction - low transverse
strength. ( Van Der Vaal’s bond)
•Aramid fibers exhibit skin and core structures – Core = layers stacked
perpendicular to the fiber axis, composed of rod-shaped crystallites
with an average diameter of 50 nm. These crystallites are closely packed
and held together with hydrogen bonds nearly in the radial direction of
the fiber.
0.51 nm
Schematic diagram of Kevlar® 49 fiber
showing the radially arranged
pleated sheets
Microstructure of aramid fiber
Kevlar fibers
Kevlar-49 Structure
Kevlar - High flexibility but poor
compressive performance
Also low shear performance,
moisture-sensitive, UV-
sensitive
Twaron
(Akzo)
Twaron
HM
Kevlar
29
Kevlar
49
Kevlar
149
HM-50
(Teijin)
Density, g/cm3
1.44 1.45 1.44 1.44 1.47 1.39
Tensile strength, GPa 2.8 2.8 2.8 2.8 2.8 3.0
Tensile modulus, GPa 80 125 62 124 186 74
Tensile strain, % 3.3 2.0 3.5 2.5 1.9 4.2
Coefficient of thermal
expansion,
10-6o
C
Longitudinal:
0 to 100 o
C … … -2.0 … -- …
Radial:
0 to 100 o
C … … 59 … -- …
The Aramid fiber family
Kevlar/epoxy ‫א‬‫ב‬
Note the fibrillar structure of the fiber
•Little creep only
•Excellent temperature resistance (does not melt,
decomposes at ~500°C)
•Linear stress-strain curve until failure in Tension
•Low density : 1.44
•Negative CTE along the axis
•Fiber diameter = 11.9 micron
•Fiber strength variability
Kevlar fiber
Zylon Fibre
www.toyobo.co.jp
ZYLON consists of rigid-rod chain molecules of poly(p-
phenylene-2,6-benzobisoxazole)(PBO).
Tensile Strength : 5.8 GPa
Tensile Modulus : 270 GPa
Ref: K. Padmanabhan , Toyobo Confidentiality Report, 2002.
Polyethylene fibers
The theoretical elastic modulus of the covalent C-C
bond in the fully extended PE molecule is 220 Gpa.
Experimental value in PE fibres - 170 Gpa.
Stretching
Entanglement network Fibrillar crystal
Dyneema or Spectra
Orientation > 95%
Crystallinity up to 85%
Normal PE
Orientation low
Crystallinity < 60%
Extended chain polyethylene
minimum chain folding
UHMWPE fibre structure: (a) macrofibril consists of array of microfibrils;
(b) microfibril; (c) orthorhombic unit cell; (d) view along chain axis
•UHMWPE (Spectra or Dyneema) are highly
anisotropic fibers
•Even higher specific properties than Kevlar because
of lower density (0.98 g/cc)
•Limited to use below 120°C
•Creep problems; weak interfaces
•Applications – ballistic impact-resistant structures
UHMWPE
UHMWPE (Spectra) – high
flexibility and toughness, poor
interfacial bonding
Poly(p-phenylene benzobisthiazole)
PBT or PBZT
Kevlar
Spectra
Flexibility, compressibility, and
limit performance of fibers
FLEXIBILITY
Intense bending strains and stresses applied to fibers during
manufacturing operations (weaving, knitting, filament winding,
etc)
Definition of flexibility:
Bending of an elastic beam: M = (EI)/R = κ(EI)
Units: [N/m2
][m4
]/[m] = [N*m]
M = bending moment
I = second moment of area of cross-section
R = radius of curvature to the neutral surface of cross-section
∫= dAyI 2
E = Young’s modulus
EI = flexural rigidity (≈ resistance of beam to bending)
κ= curvature = 1/R
Intuitively: the flexibility of a fiber is the highest when:
o The radius of curvature is as small as possible (or the
curvature is as large as possible)
o The bending moment necessary to reach a given curvature
is as small as possible
o The appropriate parameter to focus on is ϕ = κ/M, which
must be maximized for highest flexibility.
b
h
M M
12
3
bh
I =
64
4
d
I
π
= MM d
Moment of inertia
Flexibility is thus defined as (for a circular fiber)
where E and d are the fiber bending modulus and
diameter, respectively
As seen, the effect of size (diameter) on flexibility
is by far the strongest, and thus nanoscale
reinforcement promotes high flexibility. Low
modulus also promotes high flexibility.
Units of flexibility are [1/Nm2
]
4
64 dEπϕ =
ASSUMING A CONSTANT DIAMETER:
material d (m) E (Pa) ϕ [N-1
m-2
]
E-glass 1.00E-05 72.0 E+9 28 E+9 max
HM carbon 1.00E-05 750 E+9 2.7 E+9 min
HS carbon 1.00E-05 250 E+9 8.2 E+9
Kevlar 49 1.00E-05 130 E+9 16 E+9
Nicalon 1.00E-05 190 E+9 11 E+9
(Steel) 1.00E-05 210 E+9 9.7 E+9
Performing a ‘gedanken’ experiment:
Using real diameters and moduli:
USING REAL DIAMETERS AND MODULI:
material d (m) E (GPa) ϕ [N-1
m-2
]
E-glass 1.10E-05 72.0 E+9 19 E+9
HM carbon 8.00E-06 750 E+9 6.6 E+9
HS carbon 8.00E-06 250 E+9 20 E+9 max
Kevlar 49 1.20E-05 130 E+9 7.6 E+9
Nicalon 1.50E-05 190 E+9 2.1 E+9 min
SWNT 1.10E-09 1200 E+9 1.16E+25 !
Glass fibers and HS carbon fibers are more tolerant to bending
Compressibility
• The compressive strength of single fibers is very difficult to
measure and is usually inferred from the behavior of composites
including the fibers.
• Euler buckling is one possible mode of compressive failure: it
occurs when a fiber under compression becomes unstable against
lateral movement of its central region.
EI
L
k
Pcr 2
2
π
=
EULER’s
WORK ON
BUCKLING
0 10 20 30 40 50
0.01
0.1
1
10
E S
GLASS
K29
SiC
K49 K149
LM CF
BORON
PBT
PBO
HM CF
STEEL
SPECTRA 1000
THEORETICAL
LIMIT FOR GRAPHITE
SPECIFICSTRENGTH,10
6
m
SPECIFIC MODULUS, 10
6
m
2
1
1260 





=
ρρ
σ E
Hydrolytic Stability of Kevlar
Moisture Regain of Kevlar
TGA of Kevlar
Multiple Fibre Pull out Test
Kevlar Fibre Surface after
Treatment with Acetic Anhydride
Kevlar Fibre Surface
ILSS of Kevlar/Epoxy Composites
Mechanical Testing
Ref: K. Padmanabhan and Kishore , ` Failure behaviour of carbon/epoxy
composites in pin ended buckling and bending tests’, Composites, Vol:26,
No: 3, 1995, p201.
Asymmetric Hybridization
Kevlar Fibre Fibrillation
Composites in Defense
A Bulletproof Vest A missile material case
Uses
• Performance Apparel
• Adhesives and Sealants
• Belts and Hoses
• Composites
Fiber-Optic and
ElectroMechanical Cables
• Friction Products and
Gaskets
Protective Apparel
Tires
Uses
• Ropes and Cables
Uses
• Ballistics&
• Defense
Winners don’t do different things but
they do things differently
- Shiv Khera

Polymer fibre composites

  • 1.
    Polymer fibre reinforced composites Preparedby Dr. K. Padmanabhan Professor Asst Director, CENC, Manufacturing Division School of MBS VIT-University Vellore 632014August, 2010
  • 2.
    Contents • High strengthand modulus polymer fibres • Flexibility and mechanical behaviour • Structure property correlation • Moisture attack • Thermal characteristics • Case studies from publications • Applications
  • 3.
    High-modulus high-strength organicfibers • Theoretical estimates for covalently bonded organics show strength of 20-50 GPa (or more) and modulus of 200 – 300 GPa • Serious processing problems • New fibers developed since the early 1970s: high axial molecular orientation, highly planar, highly aromatic molecules • Major fibers: Kevlar (polyaramid); Spectra (PE); polybenzoxazole (PBO) and polybenzothiazole (PBT). • The latest entry being Zylon made by Toyobo Company of Japan.
  • 4.
    N H CH26 NH C O CH2 4 C O C O N H N H C O C O H N N H N H C O C O N H N H C O Nylon 6,6 Poly(m-phenylene isophthalamide) (Nomex) Poly(p-phenylene terephtalamide) PPT (Kevlar)
  • 5.
    Aramid Fibers • Aramid(aromatic polyamide) fibers = poly(paraphenylene terephthalamide) • Kevlar behaves as a nematic liquid crystal in the melt which can be spun • Prepared by solution polycondensation of p-phenylene diamine and terephthaloyl chloride at low temperatures. The fiber is spun by extrusion of a solution of the polymer in a suitable solvent (for example, sulphuric acid) followed by stretching and thermal annealing treatment
  • 6.
    Liquid crystal Conventional(PET) Solution Extrusion Solid state Nematic structure Low entropy Random coil High entropy Extended chain structure High chain continuity High mechanical properties Folded chain structure Low chain continuity Low mechanical properties Schematic representation of structure formation during spinning, contrasting PPT and PET behavior
  • 7.
  • 8.
  • 9.
    Phase diagram ofthe anisotropic solution of PPT in 100% H2SO4
  • 10.
    •Various grades ofKevlar fibers: Kevlar-29, 49, 149 (Kevlar-49 is the more commonly used in composite structures) and Kevlar 981. •X-ray diffraction: the structure of Kevlar-49 consists of rigid linear molecular chains that are highly oriented in the fiber axis direction, with the chains held together in the transverse direction by hydrogen bonds. Thus, the polymer molecules form rigid planar sheets. •Strong covalent bonds in the fiber axis direction - high longitudinal strength •Weak hydrogen bonds in the transverse direction - low transverse strength. ( Van Der Vaal’s bond) •Aramid fibers exhibit skin and core structures – Core = layers stacked perpendicular to the fiber axis, composed of rod-shaped crystallites with an average diameter of 50 nm. These crystallites are closely packed and held together with hydrogen bonds nearly in the radial direction of the fiber.
  • 11.
    0.51 nm Schematic diagramof Kevlar® 49 fiber showing the radially arranged pleated sheets Microstructure of aramid fiber Kevlar fibers
  • 12.
  • 13.
    Kevlar - Highflexibility but poor compressive performance Also low shear performance, moisture-sensitive, UV- sensitive
  • 14.
    Twaron (Akzo) Twaron HM Kevlar 29 Kevlar 49 Kevlar 149 HM-50 (Teijin) Density, g/cm3 1.44 1.451.44 1.44 1.47 1.39 Tensile strength, GPa 2.8 2.8 2.8 2.8 2.8 3.0 Tensile modulus, GPa 80 125 62 124 186 74 Tensile strain, % 3.3 2.0 3.5 2.5 1.9 4.2 Coefficient of thermal expansion, 10-6o C Longitudinal: 0 to 100 o C … … -2.0 … -- … Radial: 0 to 100 o C … … 59 … -- … The Aramid fiber family
  • 15.
    Kevlar/epoxy ‫א‬‫ב‬ Note thefibrillar structure of the fiber
  • 16.
    •Little creep only •Excellenttemperature resistance (does not melt, decomposes at ~500°C) •Linear stress-strain curve until failure in Tension •Low density : 1.44 •Negative CTE along the axis •Fiber diameter = 11.9 micron •Fiber strength variability Kevlar fiber
  • 17.
    Zylon Fibre www.toyobo.co.jp ZYLON consistsof rigid-rod chain molecules of poly(p- phenylene-2,6-benzobisoxazole)(PBO). Tensile Strength : 5.8 GPa Tensile Modulus : 270 GPa Ref: K. Padmanabhan , Toyobo Confidentiality Report, 2002.
  • 18.
    Polyethylene fibers The theoreticalelastic modulus of the covalent C-C bond in the fully extended PE molecule is 220 Gpa. Experimental value in PE fibres - 170 Gpa. Stretching Entanglement network Fibrillar crystal Dyneema or Spectra Orientation > 95% Crystallinity up to 85% Normal PE Orientation low Crystallinity < 60%
  • 19.
    Extended chain polyethylene minimumchain folding UHMWPE fibre structure: (a) macrofibril consists of array of microfibrils; (b) microfibril; (c) orthorhombic unit cell; (d) view along chain axis
  • 20.
    •UHMWPE (Spectra orDyneema) are highly anisotropic fibers •Even higher specific properties than Kevlar because of lower density (0.98 g/cc) •Limited to use below 120°C •Creep problems; weak interfaces •Applications – ballistic impact-resistant structures UHMWPE
  • 21.
    UHMWPE (Spectra) –high flexibility and toughness, poor interfacial bonding
  • 22.
  • 25.
  • 26.
    FLEXIBILITY Intense bending strainsand stresses applied to fibers during manufacturing operations (weaving, knitting, filament winding, etc) Definition of flexibility: Bending of an elastic beam: M = (EI)/R = κ(EI) Units: [N/m2 ][m4 ]/[m] = [N*m] M = bending moment I = second moment of area of cross-section R = radius of curvature to the neutral surface of cross-section ∫= dAyI 2
  • 27.
    E = Young’smodulus EI = flexural rigidity (≈ resistance of beam to bending) κ= curvature = 1/R Intuitively: the flexibility of a fiber is the highest when: o The radius of curvature is as small as possible (or the curvature is as large as possible) o The bending moment necessary to reach a given curvature is as small as possible o The appropriate parameter to focus on is ϕ = κ/M, which must be maximized for highest flexibility.
  • 28.
    b h M M 12 3 bh I = 64 4 d I π =MM d Moment of inertia
  • 29.
    Flexibility is thusdefined as (for a circular fiber) where E and d are the fiber bending modulus and diameter, respectively As seen, the effect of size (diameter) on flexibility is by far the strongest, and thus nanoscale reinforcement promotes high flexibility. Low modulus also promotes high flexibility. Units of flexibility are [1/Nm2 ] 4 64 dEπϕ =
  • 30.
    ASSUMING A CONSTANTDIAMETER: material d (m) E (Pa) ϕ [N-1 m-2 ] E-glass 1.00E-05 72.0 E+9 28 E+9 max HM carbon 1.00E-05 750 E+9 2.7 E+9 min HS carbon 1.00E-05 250 E+9 8.2 E+9 Kevlar 49 1.00E-05 130 E+9 16 E+9 Nicalon 1.00E-05 190 E+9 11 E+9 (Steel) 1.00E-05 210 E+9 9.7 E+9 Performing a ‘gedanken’ experiment:
  • 31.
    Using real diametersand moduli: USING REAL DIAMETERS AND MODULI: material d (m) E (GPa) ϕ [N-1 m-2 ] E-glass 1.10E-05 72.0 E+9 19 E+9 HM carbon 8.00E-06 750 E+9 6.6 E+9 HS carbon 8.00E-06 250 E+9 20 E+9 max Kevlar 49 1.20E-05 130 E+9 7.6 E+9 Nicalon 1.50E-05 190 E+9 2.1 E+9 min SWNT 1.10E-09 1200 E+9 1.16E+25 ! Glass fibers and HS carbon fibers are more tolerant to bending
  • 32.
    Compressibility • The compressivestrength of single fibers is very difficult to measure and is usually inferred from the behavior of composites including the fibers. • Euler buckling is one possible mode of compressive failure: it occurs when a fiber under compression becomes unstable against lateral movement of its central region.
  • 34.
  • 36.
    0 10 2030 40 50 0.01 0.1 1 10 E S GLASS K29 SiC K49 K149 LM CF BORON PBT PBO HM CF STEEL SPECTRA 1000 THEORETICAL LIMIT FOR GRAPHITE SPECIFICSTRENGTH,10 6 m SPECIFIC MODULUS, 10 6 m 2 1 1260       = ρρ σ E
  • 37.
  • 38.
  • 39.
  • 41.
  • 42.
    Kevlar Fibre Surfaceafter Treatment with Acetic Anhydride
  • 43.
  • 45.
  • 47.
    Mechanical Testing Ref: K.Padmanabhan and Kishore , ` Failure behaviour of carbon/epoxy composites in pin ended buckling and bending tests’, Composites, Vol:26, No: 3, 1995, p201.
  • 50.
  • 52.
  • 55.
    Composites in Defense ABulletproof Vest A missile material case
  • 56.
    Uses • Performance Apparel •Adhesives and Sealants • Belts and Hoses • Composites Fiber-Optic and ElectroMechanical Cables • Friction Products and Gaskets Protective Apparel Tires
  • 57.
  • 58.
  • 59.
    Winners don’t dodifferent things but they do things differently - Shiv Khera

Editor's Notes

  • #2 So, first things first – who am I talking to? How many graduate students? Research technicians? Post-docts? Assistant profs? Associates Profs? How many of you have published a research paper? How many of you have had a paper rejected?