MESH AND SUPERMESH 
ANALYSIS 
1
Methods of Analysis 
1. Mesh Analysis 
2. Supermesh Analysis
Process of Mesh Analysis 
1. Identify every mesh in the circuit. 
2. Label each mesh with a mesh current. 
It is recommended that all mesh 
currents be labeled in the same direction 
(either clockwise (CW) or counter-clockwise 
(CCW)).
Mesh Analysis (Cont’d) 
4. Within a particular mesh of interest, use 
Ohm’s law to express the voltage across 
any element within that mesh as the 
difference between the two mesh 
currents of continuous meshes shared by 
the element times the element impedance. 
The current within the mesh of interest is 
always considered to be larger than the 
rest of the mesh currents.
Mesh Analysis (Cont’d) 
5. Apply KVL to sum all voltages in that 
mesh of interest. The resulting algebraic 
equation (called mesh equation) has all 
mesh currents as its unknowns. 
6. Repeat steps 4 and 5 until all meshes are 
accounted for. The number of equations 
must be equal to the number of mesh 
currents.
Mesh Analysis (Cont’d) 
8. If a current source exists only in one 
mesh, the mesh current is equal to the 
source current, and KVL is not applied to 
this mesh. 
9. Solve the resulting simultaneous mesh 
equations to obtain the values of the 
unknown mesh currents. 
10. Use the values of mesh currents above 
to find voltages and/or currents 
throughout the rest of the circuit.
7 
Example 
Number of nodes, n = 7 
Number of branches, b = 10 
Number of loops, l = 4 
l = b - n +1
8 
Example 
Apply KVL to each mesh 
-Vs2 + v1 + v7 - v5 = 0 
2 6 7 v - v - v = 0 
5 1 3 0 s v + v + v = 
Mesh 1: 
Mesh 2: 
Mesh 3: 
4 8 1 6 0 s Mesh 4: v + v -V + v =
9 
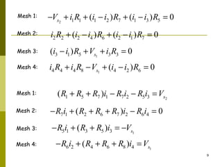
2 1 1 1 -Vs + i R + (i - i2 )R7 + (i1 -i3 )R5 = 0 
2 2 2 4 6 2 1 7 i R + (i -i )R + (i -i )R = 0 
3 1 5 1 3 3 ( ) 0 s i - i R +V + i R = 
Mesh 1: 
Mesh 2: 
Mesh 3: 
4 4 4 8 1 4 2 6 ( ) 0 s Mesh 4: i R + i R -V + i -i R = 
Mesh 1: 
Mesh 2: 
Mesh 3: 
Mesh 4: 
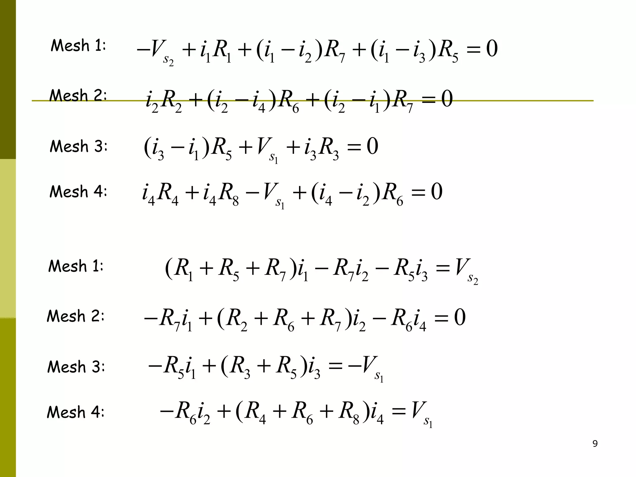
1 5 7 1 7 2 5 3 2 ( ) s R + R + R i - R i - R i =V 
7 1 2 6 7 2 6 4 -R i + (R + R + R )i - R i = 0 
5 1 3 5 3 1 ( ) s -R i + R + R i = -V 
6 2 4 6 8 4 1 ( ) s -R i + R + R + R i =V
Ʀ + + - - ƶƦ ƶ Ʀ ƶ 
ç ¸ç ¸ ç ¸ ç - + + - ¸ç ¸ ç ¸ = ç ¸ ç - + ¸ç ¸ - ç ¸ç ¸ ç ¸ è - + + øè ø çè ø¸ 
10 
Mesh 1: 
Mesh 2: 
Mesh 3: 
Mesh 4: 
1 5 7 1 7 2 5 3 2 ( ) s R + R + R i - R i - R i =V 
7 1 2 6 7 2 6 4 -R i + (R + R + R )i - R i = 0 
5 1 3 5 3 1 ( ) s -R i + R + R i = -V 
6 2 4 6 8 4 1 ( ) s -R i + R + R + R i =V 
2 
1 
0 0 
1 
0 
1 5 7 7 5 1 
7 2 6 7 6 2 
0 0 
5 3 5 3 
0 0 
6 4 6 8 4 
s 
s 
s 
R R R R R i V 
R R R R R i 
R R R i V 
R R R R i V
Supermesh 
If a current source exists between two 
contiguous meshes, the two meshes are 
collapsed into a single mesh called a 
supermesh, and the current source and any 
elements connected in series with it removed. 
However, KVL must still be satisfied within a 
supermesh using the old mesh current labels. 
Also, the removal of the current source 
provides another mesh equation.
Contd…
Properties of a Supermesh 
1. The current is not completely ignored 
 provides the constraint equation necessary to 
solve for the mesh current. 
1. Several current sources in adjacency form a 
bigger supermesh.
i i 
+ = 
i i 
6 14 20 
1 2 
- = - 
6 
1 2 
Example 
If a supermesh consists of two 
meshes, two equations are needed; 
one is obtained using KVL and Ohm’s 
law to the supermesh and the other 
is obtained by relation regulated 
due to the current source.
 Similarly, a supermesh formed from three 
meshes needs three equations: one is from 
the supermesh and the other two equations 
are obtained from the two current sources.
i i i i i 
++ -+= 
2 4 8( ) 6 0 
1 3 3 4 2 
i i 
-=- 
5 
1 2 
i i i 
-=- 
2 3 4 
i i i 
-++= 
8( ) 2 10 0 
3 4 4
THANK YOU

MESH AND SUPERMESH ANALYSIS

  • 1.
    MESH AND SUPERMESH ANALYSIS 1
  • 2.
    Methods of Analysis 1. Mesh Analysis 2. Supermesh Analysis
  • 3.
    Process of MeshAnalysis 1. Identify every mesh in the circuit. 2. Label each mesh with a mesh current. It is recommended that all mesh currents be labeled in the same direction (either clockwise (CW) or counter-clockwise (CCW)).
  • 4.
    Mesh Analysis (Cont’d) 4. Within a particular mesh of interest, use Ohm’s law to express the voltage across any element within that mesh as the difference between the two mesh currents of continuous meshes shared by the element times the element impedance. The current within the mesh of interest is always considered to be larger than the rest of the mesh currents.
  • 5.
    Mesh Analysis (Cont’d) 5. Apply KVL to sum all voltages in that mesh of interest. The resulting algebraic equation (called mesh equation) has all mesh currents as its unknowns. 6. Repeat steps 4 and 5 until all meshes are accounted for. The number of equations must be equal to the number of mesh currents.
  • 6.
    Mesh Analysis (Cont’d) 8. If a current source exists only in one mesh, the mesh current is equal to the source current, and KVL is not applied to this mesh. 9. Solve the resulting simultaneous mesh equations to obtain the values of the unknown mesh currents. 10. Use the values of mesh currents above to find voltages and/or currents throughout the rest of the circuit.
  • 7.
    7 Example Numberof nodes, n = 7 Number of branches, b = 10 Number of loops, l = 4 l = b - n +1
  • 8.
    8 Example ApplyKVL to each mesh -Vs2 + v1 + v7 - v5 = 0 2 6 7 v - v - v = 0 5 1 3 0 s v + v + v = Mesh 1: Mesh 2: Mesh 3: 4 8 1 6 0 s Mesh 4: v + v -V + v =
  • 9.
    9 2 11 1 -Vs + i R + (i - i2 )R7 + (i1 -i3 )R5 = 0 2 2 2 4 6 2 1 7 i R + (i -i )R + (i -i )R = 0 3 1 5 1 3 3 ( ) 0 s i - i R +V + i R = Mesh 1: Mesh 2: Mesh 3: 4 4 4 8 1 4 2 6 ( ) 0 s Mesh 4: i R + i R -V + i -i R = Mesh 1: Mesh 2: Mesh 3: Mesh 4: 1 5 7 1 7 2 5 3 2 ( ) s R + R + R i - R i - R i =V 7 1 2 6 7 2 6 4 -R i + (R + R + R )i - R i = 0 5 1 3 5 3 1 ( ) s -R i + R + R i = -V 6 2 4 6 8 4 1 ( ) s -R i + R + R + R i =V
  • 10.
    æ + +- - öæ ö æ ö ç ¸ç ¸ ç ¸ ç - + + - ¸ç ¸ ç ¸ = ç ¸ ç - + ¸ç ¸ - ç ¸ç ¸ ç ¸ è - + + øè ø çè ø¸ 10 Mesh 1: Mesh 2: Mesh 3: Mesh 4: 1 5 7 1 7 2 5 3 2 ( ) s R + R + R i - R i - R i =V 7 1 2 6 7 2 6 4 -R i + (R + R + R )i - R i = 0 5 1 3 5 3 1 ( ) s -R i + R + R i = -V 6 2 4 6 8 4 1 ( ) s -R i + R + R + R i =V 2 1 0 0 1 0 1 5 7 7 5 1 7 2 6 7 6 2 0 0 5 3 5 3 0 0 6 4 6 8 4 s s s R R R R R i V R R R R R i R R R i V R R R R i V
  • 11.
    Supermesh If acurrent source exists between two contiguous meshes, the two meshes are collapsed into a single mesh called a supermesh, and the current source and any elements connected in series with it removed. However, KVL must still be satisfied within a supermesh using the old mesh current labels. Also, the removal of the current source provides another mesh equation.
  • 12.
  • 13.
    Properties of aSupermesh 1. The current is not completely ignored  provides the constraint equation necessary to solve for the mesh current. 1. Several current sources in adjacency form a bigger supermesh.
  • 14.
    i i += i i 6 14 20 1 2 - = - 6 1 2 Example If a supermesh consists of two meshes, two equations are needed; one is obtained using KVL and Ohm’s law to the supermesh and the other is obtained by relation regulated due to the current source.
  • 15.
     Similarly, asupermesh formed from three meshes needs three equations: one is from the supermesh and the other two equations are obtained from the two current sources.
  • 16.
    i i ii i ++ -+= 2 4 8( ) 6 0 1 3 3 4 2 i i -=- 5 1 2 i i i -=- 2 3 4 i i i -++= 8( ) 2 10 0 3 4 4
  • 17.