Electric Circuit Analysis
Basic analysis techniques
Ahsan Khawaja
Ahsan_khawaja@comsats.edu.pk
Lecturer
Room 102
Department of Electrical Engineering
Circuit Abstraction
Question: What is the current
through the bulb?
Concept of Abstraction
Solution:
In order to calculate the current, we can replace the bulb with a resistor.
R is the only subject of interest, which serves as an abstraction of the bulb.
Voltage (Potential)
a
b
VVab
5 a、b, which point’s potential is higher?
b
a
V6a
V V4b
V Vab = ?
a b
+Q from point b to point a get energy ,Point a is
Positive? or negative ?
Basic Quantities
Example
Voltage (Potential)
ab
c´
c d
d´
2211
21
221121222
2
21112
1111
111
1b1bb
0
)(
)(
,
0
rRrR
EE
I
rRrRIEEIrEVIrVV
EVV
RrRIEIRVV
rRIEIrVV
IREVEV
IRVIRVVVV
V
dda
dd
cd
cc
bc
aab
a
Basic Quantities
Example
I
Open Circuit R=
I=0, V=E , P=0
E
R0
Short Circuit R=0
E
R0
R=0
0
R
E
I 00
IREV 0
2
RIPE
Basic Quantities
Nodes, Branches, Loops, mesh
• A circuit containing three nodes and five branches.
• Node 1 is redrawn to look like two nodes; it is still one nodes.
Kirchhoff's Current and Voltage Laws
• sum of all currents entering a node is zero
• sum of currents entering node is equal to sum of currents leaving node
KCL
KCL Mathematically
i1(t)
i2(t)
i4(t)
i5(t)
i3(t)
n
j
j
ti
1
0)(
n
j
jI
1
0
Kirchhoff's Current and Voltage Laws
• sum of all currents entering a node is zero
• sum of currents entering node is equal to sum of currents
leaving node
KCL
P1.9
DCBA
iiii
Kirchhoff's Current and Voltage Laws
In
Out
0A B C O
I
I
i i i i
KCL
+
-120V
50* 1W Bulbs
Is
• Find currents through each light bulb:
IB = 1W/120V = 8.3mA
• Apply KCL to the top node:
IS - 50IB = 0
• Solve for IS: IS = 50 IB = 417mA
KCL-Christmas Lights
Kirchhoff's Current and Voltage Laws
KCL
Current divider
N V
G1
G2
I
+
-
I1 I2
121
21
11
1
11
RRR
RR
I
R
RI
R
V
I I
RR
R
I
21
1
2
Kirchhoff's Current and Voltage Laws
In case of parallel : 1 2
1 2
1 1 1
, , V=
I I
G G G
R R R R G
 sum of voltages around any loop in a circuit is zero.
KVL
• A voltage encountered + to - is positive.
• A voltage encountered - to + is negative.
KVL Mathematically 0)(
1
n
j
j tv 0
1
n
j
jV
Kirchhoff's Current and Voltage Laws
KVL
Determine the voltages Vae and Vec.
Kirchhoff's Current and Voltage Laws
10 24 0ae
V
16 12 4 6 0ae
V
4 + 6 + Vec = 0
KVL
Voltage divider
R1
R2
-
V1
+
+
-
V2
+
-
V
21
1
11
RR
R
VIRV
21
2
22
RR
R
VIRV
Important voltage Divider
equations
N
Kirchhoff's Current and Voltage Laws
KVL
Voltage divider
kR 151
Volume control?
Example: Vs = 9V, R1 = 90kΩ, R2 = 30kΩ
Kirchhoff's Current and Voltage Laws
Mesh Analysis
• Technique to find voltage drops around a
loop using the currents that flow within the
loop, Kirchoff’s Voltage Law, and Ohm’s Law
– First result is the calculation of the mesh currents
• Which can be used to calculate the current flowing
through each component
– Second result is a calculation of the voltages
across the components
• Which can be used to calculate the voltage at the
nodes.
Mesh Analysis
 What is a mesh:
 It is a loop which does not
contain any other loops
within it.
i1
i2
This circuit
has two
meshes
Steps in Mesh Analysis
Vin
Step 1
• Identify all of the meshes in the circuit
Vin
Step 2
• Label the currents flowing in each mesh
i1
i2
Vin
Step 3
• Label the voltage across each component in
the circuit
i1
i2
+
V1
_
Vin
+
V3
_
+
V5
_
+
V6
_
+ V2 - + V4 -
Step 4
• Use Kirchoff’s Voltage Law
i1
i2
+
V1
_
Vin
+
V3
_
+
V5
_
+
V6
_
+ V2 - + V4 -
0
0
543
6321
VVV
VVVVVin
Step 5
• Use Ohm’s Law to relate the voltage drops
across each component to the sum of the
currents flowing through them.
– Follow the sign convention on the resistor’s voltage.
RIIV baR
Step 5
i1
i2
+
V1
_
Vin
+
V3
_
+
V5
_
+
V6
_
+ V2 - + V4 -
616
525
424
3213
212
111
RiV
RiV
RiV
RiiV
RiV
RiV
Step 6
• Solve for the mesh currents, i1 and i2
– These currents are related to the currents found
during the nodal analysis.
213
542
62171
iiI
IIi
IIIIi
Step 7
• Once the mesh currents are known, calculate
the voltage across all of the components.
12V
From Previous Slides
616
525
424
3213
212
111
RiV
RiV
RiV
RiiV
RiV
RiV
0
0
543
6321
VVV
VVVVVin
Substituting in Numbers
kiV
kiV
kiV
kiiV
kiV
kiV
1
3
6
5
8
4
16
25
24
213
12
11
0
012
543
6321
VVV
VVVVV
Substituting the results from Ohm’s
Law into the KVL equations
0365
0158412
2221
12111
kikikii
kikiikikiV
Results
• One or more of the mesh currents may have a
negative sign.
Mesh Currents ( A)
i1 740
i2 264
Results
Currents ( A)
IR1 = i1 740
IR2 = i1 740
IR3 = i1- i2 476
IR4 = i2 264
IR5 = i2 264
IR6 = i1 740
IVin = i1 740
The currents through each component in the
circuit.
Example
Using Mesh analysis find the currents
through each resistor
KVL in loop 1:
-2+2i1+4(i1-i2)= 0
6i1-4i2-2= 0
6i1-4i2= 2 …………..1)
KVL in loop 2:
6+4(i2-i1)+i2= 0
-4i1+5i2= -6 ………..2)
From eqn 1)&2)
Loop currents: i1= -1A, i2= -2A
Currents through each resistor:
i2 = i1= -1A
i1 = i2 = -2A
i4 = i1-i2
= -1A-(-2A)
= 1A
i1
i2
Example
Use the mesh current method to determine the power
associated with each voltage source in the circuit.
Calculate the voltage vo across the 8 resistor.
KVL in Loop 1:
-40+2i1+8(i1-i2)=0
KVL in Loop 2:
8(i2-i1)+6i2+6(i2-i3)=0
KVL in Loop 3:
6(i3-i2)+4i3+20=0
i1 i2 i3
10i1-8i2+0i3=40
-8i1+20i2-6i3=0
0i1-6i2+10i3= -20
By solving the matrix
i1=5.6A
i2= 2A
i3= -0.8A
P40v= -40i1= -40(5.6) = -224W
P20v = 20i3= 20(-0.8) = -16W
vo= 8(i1-i2)= 8(5.6-2) = 8(3.6)=28.8V
35
Example
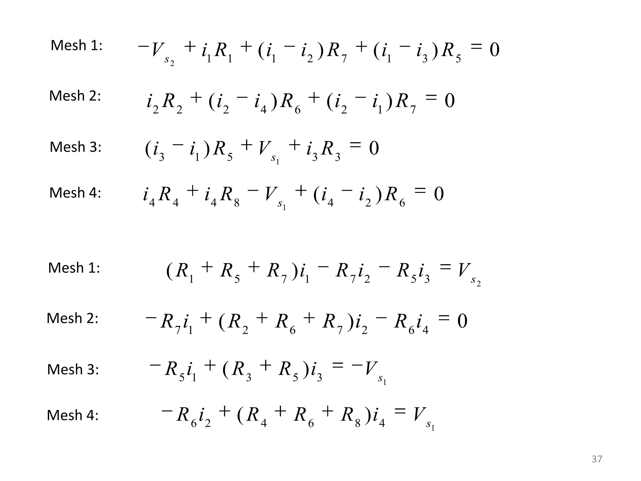
Apply KVL to each mesh
2 1 7 5
0s
V v v v
2 6 7
0v v v
15 3
0s
v v v
Mesh 1:
Mesh 2:
Mesh 3:
14 8 6
0s
v v V vMesh 4:
DC
DC
1R
3R
5R
7R
2R
6R
8R
4R
1v 2v
3v 4v
5v 6v
7v
8v
+ +
+ +
+
+
+
+
-
-
- -
-
-
-
-
1sV
2sV 1i 2i
3i 4i
36
DC
DC
1R
3R
5R
7R
2R
6R
8R
4R
1v 2v
3v 4v
5v 6v
7v
8v
+ +
+ +
+
+
+
+
-
-
- -
-
-
-
-
1sV
2sV 1i 2i
3i 4i
2 1 7 5
0s
V v v v
2 6 7
0v v v
15 3
0s
v v v
Mesh 1:
Mesh 2:
Mesh 3:
14 8 6
0s
v v V vMesh 4:
2 1 1 1 2 7 1 3 5
( ) ( ) 0s
V i R i i R i i R
2 2 2 4 6 2 1 7
( ) ( ) 0i R i i R i i R
13 1 5 3 3
( ) 0s
i i R V i R
Mesh 1:
Mesh 2:
Mesh 3:
14 4 4 8 4 2 6
( ) 0s
i R i R V i i RMesh 4:
Express the voltage in terms of the mesh
currents:
37
2 1 1 1 2 7 1 3 5
( ) ( ) 0s
V i R i i R i i R
2 2 2 4 6 2 1 7
( ) ( ) 0i R i i R i i R
13 1 5 3 3
( ) 0s
i i R V i R
Mesh 1:
Mesh 2:
Mesh 3:
14 4 4 8 4 2 6
( ) 0s
i R i R V i i RMesh 4:
Mesh 1:
Mesh 2:
Mesh 3:
Mesh 4:
21 5 7 1 7 2 5 3
( ) s
R R R i R i R i V
7 1 2 6 7 2 6 4
( ) 0R i R R R i R i
15 1 3 5 3
( ) s
R i R R i V
16 2 4 6 8 4
( ) s
R i R R R i V
38
Mesh 1:
Mesh 2:
Mesh 3:
Mesh 4:
21 5 7 1 7 2 5 3
( ) s
R R R i R i R i V
7 1 2 6 7 2 6 4
( ) 0R i R R R i R i
15 1 3 5 3
( ) s
R i R R i V
16 2 4 6 8 4
( ) s
R i R R R i V
2
1
1
1 5 7 7 5 1
7 2 6 7 6 2
5 3 5 3
6 4 6 8 4
0
00
0 0
0 0
s
s
s
VR R R R R i
R R R R R i
VR R R i
R R R R i V

ECA - Lecture 03

  • 1.
    Electric Circuit Analysis Basicanalysis techniques Ahsan Khawaja Ahsan_khawaja@comsats.edu.pk Lecturer Room 102 Department of Electrical Engineering
  • 2.
    Circuit Abstraction Question: Whatis the current through the bulb? Concept of Abstraction Solution: In order to calculate the current, we can replace the bulb with a resistor. R is the only subject of interest, which serves as an abstraction of the bulb.
  • 3.
    Voltage (Potential) a b VVab 5 a、b,which point’s potential is higher? b a V6a V V4b V Vab = ? a b +Q from point b to point a get energy ,Point a is Positive? or negative ? Basic Quantities Example
  • 4.
  • 5.
    Open Circuit R= I=0,V=E , P=0 E R0 Short Circuit R=0 E R0 R=0 0 R E I 00 IREV 0 2 RIPE Basic Quantities
  • 6.
    Nodes, Branches, Loops,mesh • A circuit containing three nodes and five branches. • Node 1 is redrawn to look like two nodes; it is still one nodes. Kirchhoff's Current and Voltage Laws
  • 7.
    • sum ofall currents entering a node is zero • sum of currents entering node is equal to sum of currents leaving node KCL KCL Mathematically i1(t) i2(t) i4(t) i5(t) i3(t) n j j ti 1 0)( n j jI 1 0 Kirchhoff's Current and Voltage Laws
  • 8.
    • sum ofall currents entering a node is zero • sum of currents entering node is equal to sum of currents leaving node KCL P1.9 DCBA iiii Kirchhoff's Current and Voltage Laws In Out 0A B C O I I i i i i
  • 9.
    KCL + -120V 50* 1W Bulbs Is •Find currents through each light bulb: IB = 1W/120V = 8.3mA • Apply KCL to the top node: IS - 50IB = 0 • Solve for IS: IS = 50 IB = 417mA KCL-Christmas Lights Kirchhoff's Current and Voltage Laws
  • 10.
    KCL Current divider N V G1 G2 I + - I1I2 121 21 11 1 11 RRR RR I R RI R V I I RR R I 21 1 2 Kirchhoff's Current and Voltage Laws In case of parallel : 1 2 1 2 1 1 1 , , V= I I G G G R R R R G
  • 11.
     sum ofvoltages around any loop in a circuit is zero. KVL • A voltage encountered + to - is positive. • A voltage encountered - to + is negative. KVL Mathematically 0)( 1 n j j tv 0 1 n j jV Kirchhoff's Current and Voltage Laws
  • 12.
    KVL Determine the voltagesVae and Vec. Kirchhoff's Current and Voltage Laws 10 24 0ae V 16 12 4 6 0ae V 4 + 6 + Vec = 0
  • 13.
  • 14.
    KVL Voltage divider kR 151 Volumecontrol? Example: Vs = 9V, R1 = 90kΩ, R2 = 30kΩ Kirchhoff's Current and Voltage Laws
  • 15.
    Mesh Analysis • Techniqueto find voltage drops around a loop using the currents that flow within the loop, Kirchoff’s Voltage Law, and Ohm’s Law – First result is the calculation of the mesh currents • Which can be used to calculate the current flowing through each component – Second result is a calculation of the voltages across the components • Which can be used to calculate the voltage at the nodes.
  • 16.
    Mesh Analysis  Whatis a mesh:  It is a loop which does not contain any other loops within it. i1 i2 This circuit has two meshes
  • 17.
    Steps in MeshAnalysis Vin
  • 18.
    Step 1 • Identifyall of the meshes in the circuit Vin
  • 19.
    Step 2 • Labelthe currents flowing in each mesh i1 i2 Vin
  • 20.
    Step 3 • Labelthe voltage across each component in the circuit i1 i2 + V1 _ Vin + V3 _ + V5 _ + V6 _ + V2 - + V4 -
  • 21.
    Step 4 • UseKirchoff’s Voltage Law i1 i2 + V1 _ Vin + V3 _ + V5 _ + V6 _ + V2 - + V4 - 0 0 543 6321 VVV VVVVVin
  • 22.
    Step 5 • UseOhm’s Law to relate the voltage drops across each component to the sum of the currents flowing through them. – Follow the sign convention on the resistor’s voltage. RIIV baR
  • 23.
    Step 5 i1 i2 + V1 _ Vin + V3 _ + V5 _ + V6 _ + V2- + V4 - 616 525 424 3213 212 111 RiV RiV RiV RiiV RiV RiV
  • 24.
    Step 6 • Solvefor the mesh currents, i1 and i2 – These currents are related to the currents found during the nodal analysis. 213 542 62171 iiI IIi IIIIi
  • 25.
    Step 7 • Oncethe mesh currents are known, calculate the voltage across all of the components.
  • 26.
  • 27.
  • 28.
  • 29.
    Substituting the resultsfrom Ohm’s Law into the KVL equations 0365 0158412 2221 12111 kikikii kikiikikiV
  • 30.
    Results • One ormore of the mesh currents may have a negative sign. Mesh Currents ( A) i1 740 i2 264
  • 31.
    Results Currents ( A) IR1= i1 740 IR2 = i1 740 IR3 = i1- i2 476 IR4 = i2 264 IR5 = i2 264 IR6 = i1 740 IVin = i1 740 The currents through each component in the circuit.
  • 32.
    Example Using Mesh analysisfind the currents through each resistor KVL in loop 1: -2+2i1+4(i1-i2)= 0 6i1-4i2-2= 0 6i1-4i2= 2 …………..1) KVL in loop 2: 6+4(i2-i1)+i2= 0 -4i1+5i2= -6 ………..2) From eqn 1)&2) Loop currents: i1= -1A, i2= -2A Currents through each resistor: i2 = i1= -1A i1 = i2 = -2A i4 = i1-i2 = -1A-(-2A) = 1A i1 i2
  • 33.
    Example Use the meshcurrent method to determine the power associated with each voltage source in the circuit. Calculate the voltage vo across the 8 resistor. KVL in Loop 1: -40+2i1+8(i1-i2)=0 KVL in Loop 2: 8(i2-i1)+6i2+6(i2-i3)=0 KVL in Loop 3: 6(i3-i2)+4i3+20=0 i1 i2 i3
  • 34.
    10i1-8i2+0i3=40 -8i1+20i2-6i3=0 0i1-6i2+10i3= -20 By solvingthe matrix i1=5.6A i2= 2A i3= -0.8A P40v= -40i1= -40(5.6) = -224W P20v = 20i3= 20(-0.8) = -16W vo= 8(i1-i2)= 8(5.6-2) = 8(3.6)=28.8V
  • 35.
    35 Example Apply KVL toeach mesh 2 1 7 5 0s V v v v 2 6 7 0v v v 15 3 0s v v v Mesh 1: Mesh 2: Mesh 3: 14 8 6 0s v v V vMesh 4: DC DC 1R 3R 5R 7R 2R 6R 8R 4R 1v 2v 3v 4v 5v 6v 7v 8v + + + + + + + + - - - - - - - - 1sV 2sV 1i 2i 3i 4i
  • 36.
    36 DC DC 1R 3R 5R 7R 2R 6R 8R 4R 1v 2v 3v 4v 5v6v 7v 8v + + + + + + + + - - - - - - - - 1sV 2sV 1i 2i 3i 4i 2 1 7 5 0s V v v v 2 6 7 0v v v 15 3 0s v v v Mesh 1: Mesh 2: Mesh 3: 14 8 6 0s v v V vMesh 4: 2 1 1 1 2 7 1 3 5 ( ) ( ) 0s V i R i i R i i R 2 2 2 4 6 2 1 7 ( ) ( ) 0i R i i R i i R 13 1 5 3 3 ( ) 0s i i R V i R Mesh 1: Mesh 2: Mesh 3: 14 4 4 8 4 2 6 ( ) 0s i R i R V i i RMesh 4: Express the voltage in terms of the mesh currents:
  • 37.
    37 2 1 11 2 7 1 3 5 ( ) ( ) 0s V i R i i R i i R 2 2 2 4 6 2 1 7 ( ) ( ) 0i R i i R i i R 13 1 5 3 3 ( ) 0s i i R V i R Mesh 1: Mesh 2: Mesh 3: 14 4 4 8 4 2 6 ( ) 0s i R i R V i i RMesh 4: Mesh 1: Mesh 2: Mesh 3: Mesh 4: 21 5 7 1 7 2 5 3 ( ) s R R R i R i R i V 7 1 2 6 7 2 6 4 ( ) 0R i R R R i R i 15 1 3 5 3 ( ) s R i R R i V 16 2 4 6 8 4 ( ) s R i R R R i V
  • 38.
    38 Mesh 1: Mesh 2: Mesh3: Mesh 4: 21 5 7 1 7 2 5 3 ( ) s R R R i R i R i V 7 1 2 6 7 2 6 4 ( ) 0R i R R R i R i 15 1 3 5 3 ( ) s R i R R i V 16 2 4 6 8 4 ( ) s R i R R R i V 2 1 1 1 5 7 7 5 1 7 2 6 7 6 2 5 3 5 3 6 4 6 8 4 0 00 0 0 0 0 s s s VR R R R R i R R R R R i VR R R i R R R R i V