15-1
Chapter 15
Organic Compounds and the
Atomic Properties of Carbon
15-2
Organic Compounds and the Atomic Properties of Carbon
15.1 The Special Nature of Carbon and the Characteristics of
Organic Molecules
15.2 The Structures and Classes of Hydrocarbons
15.3 Some Important Classes of Organic Reactions
15.4 Properties and Reactivities of Common Functional Groups
15.5 The Monomer-Polymer Theme I: Synthetic Macromolecules
15.6 The Monomer-Polymer Theme II: Biological Macromolecules
15-3
Bonding Properties of Carbon
• Carbon forms covalent bonds in all its elemental forms
and compounds.
– The ground state electron configuration of C is [He]2s22p2; the
formation of carbon ions is therefore energetically unfavorable.
– C has an electronegativity of 2.5, which is midway between that
of most metals and nonmetals. C prefers to share electrons.
• Carbon exhibits catenation, the ability to bond to itself
and form stable chain, ring, and branched compounds.
– The small size of the C atom allows it to form short, strong
bonds.
– The tetrahedral shape of the C atom allows catenation.
15-4
Figure 15.1 The position of carbon in the periodic table.
15-5
Comparison of Carbon and Silicon
• As atomic size increases down the group, bonds
between identical atoms become longer and weaker.
– A C–C bond is much stronger than a Si–Si bond.
• The bond energies of a C–C bond, a C–O bond, and a
C–Cl bond are very similar.
– C compounds can undergo a variety of reactions and remain
stable, while Si compounds cannot.
• Si has low energy d orbitals available for reaction,
allowing Si compounds to be more reactive than C
compounds.
15-6
Diversity and Reactivity of Organic Molecules
• Many organic compounds contain heteroatoms, atoms
other than C and H.
– The most common of these are O, N, and the halogens.
• Most reactions involve the interaction of electron rich
area in one molecule with an electron poor site in
another.
– C–C bonds and C–H bonds tend to be unreactive.
– Bonds between C and a heteroatom are usually polar, creating
an imbalance in electron density and providing a site for
reactions to occur.
15-7
Figure 15.2 Heteroatoms and different bonding arrangements
lead to great chemical diversity.
Copyright © The McGraw-Hill Companies, Inc. Permission required for reproduction or display.
15-8
Carbon Skeletons
Each C atom can form a maximum of 4 bonds.
Groups joined by a single bond can rotate, so there are
often several different arrangements of a given carbon
skeleton that are equivalent:
15-9
Figure 15.3 Some five-carbon skeletons.
15-10
Drawing Carbon Skeletons
Each C atom can form a maximum of four bonds.
These may be four single bonds, OR one double and two single bonds,
OR one triple and one single bond.
The arrangement of C atoms determines the skeleton, so a
straight chain and a bent chain represent the same
skeleton.
Groups joined by a single bond can rotate freely, so a
branch pointing down is the same as one point up.
15-11
Figure 15.4 Adding the H-atom skin to the C-atom skeleton.
A C atom single-bonded to one
other atom gets three H atoms.
A C atom single-bonded to two
other atoms gets two H atoms.
A C atom single-bonded to three
other atoms gets one H atom. A C atom single-bonded to four other atoms
is already fully bonded (no H atoms).
15-12
Figure 15.4 continued
A double-bonded C atom is
treated as if it were bonded to
two other atoms.
A double- and single-bonded C
atom or a triple-bonded C atom is
treated as if it were bonded to three
other atoms.
15-13
Sample Problem 15.1 Drawing Hydrocarbons
PLAN: In each case, we draw the longest carbon chain first and
then work down to smaller chains with branches at
different points along them. Then we add H atoms to give
each C a total of four bonds.
PROBLEM: Draw structures that have different atom arrangements
for hydrocarbons with
(a) Six C atoms, no multiple bonds, and no rings
(b) Four C atoms, one double bond, and no rings
(c) Four C atoms, no multiple bonds, and one ring
15-14
Sample Problem 15.1
(a) Six carbons, no rings
Alkanes, cannot be named
based on their molecular
formulas but with their
structures C6H14
15-15
Sample Problem 15.1
(b) Four C atoms, one double bond, and no rings
15-16
Sample Problem 15.1
(c) Compounds with four C atoms and one ring
Organic chemists use a systematic set of rules,
called the IUPAC rules, to name organic
molecules based on their structural formulas
instead of their chemical formulas.
15-17
Alkanes
Hydrocarbons contain only C and H.
Alkanes are hydrocarbons that contain only single bonds
and are referred to as saturated hydrocarbons.
The general formula for an alkane is CnH2n+2, where n is
any positive integer.
Alkanes comprise a homologous series, a group of
compounds in which each member differs from the next by
a –CH2– group.
15-18
Naming Organic Compounds
The root name of the compound is determined from the
number of C atoms in the longest continuous chain.
The name of any organic compound is comprised of three
portions:
PREFIX + ROOT + SUFFIX
The prefix identifies any groups attached to the main
chain.
The suffix indicates the type of organic compound, and is
placed after the root.
The suffix for an alkane is –ane.
15-19
Table 15.1 Numerical Roots for Carbon Chains and Branches
Roots Number of C
Atoms
meth- 1
eth- 2
prop- 3
but- 4
pent- 5
hex- 6
hept- 7
oct- 8
non- 9
dec- 10
15-20
Table 15.2 Rules for Naming an Organic Compound
15-21
Figure 15.5 Ways of depicting the alkane 3-ethyl-
2-methylhexane.
15-22
Figure 15.6 Depicting cycloalkanes.
Cyclopropane
Cyclobutane
15-23
Cyclopentane Cyclohexane
Figure 15.6 Depicting cycloalkanes.
15-24
15-25
Constitutional Isomers
Constitutional or structural isomers have the same
molecular formula but a different arrangement of the
bonded atoms.
A straight-chain alkane may have many branched
structural isomers.
Structural isomers are different compounds and have
different properties.
If the isomers contain the same functional groups, their properties
will still be similar.
15-26
Table 15.3 The Constitutional Isomers of C4H10 and C5H12
15-27
Chiral Molecules
Stereoisomers are molecules with the same arrangement
of atoms but different orientations of groups in space.
Optical isomers are mirror images of each other that
cannot be superimposed.
A molecule must be asymmetric in order to exist as a pair
of optical isomers. An asymmetric molecule is termed
chiral.
Typically, a carbon atom is a chiral center if it is bonded to four different
groups.
15-28
Figure 15.8 An analogy for optical isomers.
If two compounds are mirror images of each other that cannot
be superimposed, they are called optical isomers.
15-29
Figure 15.9 Two chiral molecules.
optical isomers of 3-methylhexane optical isomers of alanine
15-30
Optical Activity
Optical isomers have identical physical properties, except
that they rotate the plane of polarized light in opposite
directions.
A chiral compound is optically active; i.e., it rotates the
plane of polarized light.
A compound that rotates the plane of light clockwise is
called dextrorotatory, while a compound that rotates the
plane of light counterclockwise is called levorotatory.
In their chemical properties, optical isomers differ only in
a chiral (asymmetric) environment.
15-31
Figure 15.10 The rotation of plane-polarized light by an optically
active substance.
15-32
Figure 15.11 The binding site of an enzyme.
An enzyme provides a chiral environment and therefore distinguishes
one optical isomer from another. The shape of one optical isomer fits the
binding site, but the mirror image shape of the other isomer does not.
15-33
Naproxen
Many drugs are chiral molecules. One optical isomer has a
certain biological activity while the other has a different type of
activity or none at all.
15-34
Alkenes
A hydrocarbon that contains at least one C=C bond is
called an alkene.
Alkenes are unsaturated and have the general formula
CnH2n.
To name an alkene, the root name is determined by the
number of C atoms in the longest chain that also
contains the double bond.
The C chain is numbered from the end closest to the double bond.
The suffix for alkenes is –ene.
15-35
Geometric Isomers
The double bond of an alkene restricts rotation, so that
the relative positions of the atoms attached to the double
bond are fixed.
Alkenes may exist as geometric or cis-trans isomers,
which differ in the orientation of the groups attached to
the double bond.
Geometric isomers have different physical properties.
15-36
Table 15.4 The Geometric Isomers of 2-Butene
15-37
Figure 15.12 The initial chemical event in vision and the change in
the shape of retinal.
15-38
Alkynes
An alkyne is a hydrocarbon that contains at least one
CΞC triple bond.
Alkynes have the general formula CnH2n-2 and they are
also considred unsaturated carbons.
Alkynes are named in the same way as alkenes, using
the suffix –yne.
15-39
Sample Problem 15.2 Naming Alkanes, Alkenes, and Alkynes
PROBLEM: Give the systematic name for each of the following,
indicate the chiral center in part (d), and draw two
geometric isomers for part (e).
PLAN: For (a) to (c), we find the longest continuous chain (root) and
add the suffix –ane because there are only single bonds. Then
we name the branches, numbering the C chain from the end
closest to the first branch. For (d) and (e) the longest chain must
include the double bond.
15-40
Sample Problem 15.2
SOLUTION:
2,3-dimethylbutane
3,4-dimethylhexane
1-ethyl-2-methylcyclopentane
15-41
Sample Problem 15.2
3-methyl-1-pentene
cis-2,3-dimethyl-3-hexene trans-2,3-dimethyl-3-hexene
15-42
Figure 15.13 Representations of benzene.
Resonance forms
having alternating single
and double bonds.
Resonance hybrid shows the
delocalized electrons as either
an unbroken or a dashed circle.
Benzene is an aromatic hydrocarbon.
Copyright © The McGraw-Hill Companies, Inc. Permission required for reproduction or display.
15-43
methylbenzene
(toluene)
bp = 110.6°C
1,2-dimethylbenzene
(o-xylene)
bp = 144.4°C
1,3-dimethylbenzene
(m-xylene)
bp = 139.1°C
1,4-dimethylbenzene
(p-xylene)
bp = 138.3°C
2,4,6-trinitromethylbenzene
(trinitrotoluene, TNT)
15-44
Tools of the Laboratory Nuclear Magnetic Resonance (NMR)
Spectroscopy
Figure B15.1 The basis of proton spin resonance.
15-45
Tools of the Laboratory
Figure B15.2 The 1H-NMR spectrum of acetone.
Nuclear Magnetic Resonance (NMR)
Spectroscopy
15-46
Tools of the Laboratory
Figure B15.3 The 1H-NMR spectrum of dimethoxymethane.
Nuclear Magnetic Resonance (NMR)
Spectroscopy
15-47
Tools of the Laboratory
Figure B15.4 An MRI scan showing a brain tumor.
Nuclear Magnetic Resonance (NMR)
Spectroscopy
15-48
Types of Organic Reactions
An addition reaction occurs when an unsaturated reactant
becomes a saturated product:
The C=C, CΞC, and C=O bonds commonly undergo
addition reactions.
In each case, it is the π bond that breaks, leaving the σ bond intact.
15-49
Reactants (bonds broken)
1 C=C = 614 kJ
4 C–H = 1652 kJ
1 H–Cl = 427 kJ
Total = 2693 kJ
Products (bonds formed)
1 C–C = -347 kJ
5 C–H = -2065 kJ
1 C–Cl = -339 kJ
Total = -2751kJ
DH°rxn = SDH°bonds broken + SDH°bonds formed = 2693 kJ + (-2751 kJ) = -58 kJ
Copyright © The McGraw-Hill Companies, Inc. Permission required for reproduction or display.
15-50
Figure 15.14 A color test for C=C bonds.
This compound has no C=C
bond, so the Br2 does not react.
Br2 (in pipet) reacts with a compound
that has a C=C bond, and the orange-
brown color of Br2 disappears.
15-51
Types of Organic Reactions
An elimination reaction occurs when a saturated reactant
becomes an unsaturated product.
This reaction is the reverse of addition.
The groups typically eliminated are H and a halogen atom
or H and an –OH group.
15-52
The driving force for an elimination reaction is the
formation of a small, stable molecule such as HCl (g) or
H2O.
Copyright © The McGraw-Hill Companies, Inc. Permission required for reproduction or display.
15-53
Types of Organic Reactions
A substitution reaction occurs when an atom or group
from an added reagent substitutes for one attached to a
carbon in the organic reagent.
The C atom at which substitution may be saturated or
unsaturated, and X and Y can be many different atoms.
15-54
The main flavor ingredient in banana oil is formed through a
substitution reaction:
Copyright © The McGraw-Hill Companies, Inc. Permission required for reproduction or display.
15-55
Sample Problem 15.3 Recognizing the Type of Organic
Reaction
PLAN: We determine the type of reaction by looking for any
change in the number of atoms bonded to C.
• An addition reaction results in more atoms bonded to C.
• An elimination reaction results in fewer atoms bonded to C.
• If there are the same number of atoms bonded to C, the
reaction is a substitution.
PROBLEM: State whether each reaction is an addition, elimination,
or substitution:
15-56
Sample Problem 15.3
SOLUTION:
This is an elimination reaction; two bonds in the reactant, C–H and
C –Br, are absent in the product.
This is an addition reaction; two more C–H bonds have formed in the
product.
This is a substitution reaction; the reactant C–Br bond has been
replaced by a C–O bond in the product.
15-57
Functional Groups
Organic compounds are classified according to their
functional groups, a group of atoms bonded in a
particular way.
The functional groups in a compound determine both its
physical properties and its chemical reactivity.
Functional groups affect the polarity of a compound, and therefore
determine the intermolecular forces it exhibits.
Functional groups define the regions of high and low electron density in
a compound, thus determining its reactivity.
15-58
Table 15.5 Important Functional Groups in Organic Compounds
15-59
Table 15.5 Important Functional Groups in Organic Compounds
15-60
Alcohols
The alcohol functional group consists of a carbon bonded
to an –OH group.
Alcohols are named by replacing the –e at the end of the
parent hydrocarbon name with the suffix –ol.
Alcohols have high melting and boiling points since they
can form hydrogen bonds between their molecules.
15-61
Reactions of Alcohols
Alcohols undergo elimination and substitution reactions.
dehydration (elimination)
oxidation
(elimination)
15-62
Figure 15.15 Some molecules with the alcohol functional group.
15-63
Haloalkanes
Haloalkanes or alkyl halides contain a halogen atom
bonded to carbon.
Haloalkanes are named by identifying the halogen with a
prefix on the hydrocarbon name. The C bearing the
halogen must be numbered.
15-64
Reactions of Haloalkanes
Haloalkanes undergo substitution and elimination reactions.
15-65
Figure 15.16 A tetrachlorobiphenyl, one of 209 polychlorinated
biphenyls (PCBs).
15-66
Amines
The amine functional group contains a N atom.
The systematic name for an amine is formed by dropping
the final –e of the alkane and adding the suffix –amine.
Common names that use the name of the alkyl group
followed by the suffix –amine are also widely used.
15-67
Figure 15.17 General structures of amines.
Amines are classified according to the number of R groups directly
attached to the N atom.
15-68
Figure 15.18 Some biomolecules with the amine functional group.
Lysine (1°
amine)
amino acid found
in proteins
Adenine (1°
amine)
component of
nucleic acids
Epinephrine
(adrenaline; 2° amine)
neurotransmitter in
brain; hormone released
during stress
Cocaine (3°
amine)
brain stimulant;
widely abused drug
15-69
Properties and Reactions of Amines
Primary and secondary amines can form H bonds;
therefore they have higher melting and boiling points than
hydrocarbons or alkyl halides of similar mass.
Amines of low molar mass are fishy smelling, water
soluble, and weakly basic.
Tertiary amines cannot form H bonds between their
molecules because they lack a polar N–H bond.
Amines undergo a variety of reactions, including
substitution reactions.
15-70
Sample Problem 15.4 Predicting the Reactions of Alcohols,
Alkyl Halides, and Amines
PLAN: We first determine the functional group(s) of the reactant(s)
and then examine any inorganic reagent(s) to decide on the
reaction type. Keep in mind that, in general, these functional
groups undergo substitution or elimination.
PROBLEM: Determine the reaction type and predict the product(s)
for each reaction:
15-71
SOLUTION:
Sample Problem 15.4
(a) In this reaction the OH of the NaOH reaction substitutes for the I
in the organic reagent:
(b) This is a substitution reaction:
(c) This is an elimination reaction since acidic Cr2O7
2- is a strong
oxidizing agent:
15-72
Alkenes
Alkenes contain the C=C double bond:
Alkenes typically undergo addition reactions.
The electron-rich double bond is readily attracted to the partially
positive H atoms of H3O+ ions and hydrohalic acids.
15-73
Aromatic Hydrocarbons
Benzene is an aromatic hydrocarbon and is a resonance
hybrid. Its p bond electrons are delocalized.
Aromatic compounds are unusually stable and although
they contain double bonds they undergo substitution rather
than addition reactions.
15-74
Figure 15.19 The stability of benzene.
Benzene releases less energy
during hydrogenation than expected,
because it is already much more
stable than a similar imaginary
alkene.
15-75
Aldehydes and Ketones
Aldehydes and ketones both contain the carbonyl
group, C=O.
Aldehydes are named by replacing the final –e of the
alkane name with the suffix –al.
Ketones have the suffix –one and the position of the
carbonyl must always be indicated.
R and R′ indicate
hydrocarbon groups.
15-76
Figure 15.20 Some common aldehydes and ketones.
Methanal (formaldehyde) Used
to make resins in plywood,
dishware, countertops;
biological preservative
Ethanal (acetaldehyde)
Narcotic product of ethanol
metabolism; used to make
perfumes, flavors, plastics,
other chemicals
2-Propanone (acetone)
Solvent for fat, rubber, plastic,
varnish, lacquer; chemical
feedstock
2-Butanone
(methyl ethyl ketone)
Important solvent
Benzaldehyde
Artificial almond
flavoring
15-77
Figure 15.21 The polar carbonyl group.
The C=O bond is electron rich and is also highly polar. It
readily undergoes addition reactions, and the electron-poor C
atom attracts electron-rich groups.
15-78
Reactions of Aldehydes and Ketones
Reduction to alcohols is an example of an addition reaction:
Organometallic compounds, which have a metal atom
covalently bonded to C, add to the electron-poor carbonyl C:
15-79
Sample Problem 15.5 Predicting the Steps in a Reaction
Sequence
PLAN: For each step we examine the functional group of the
reactant and the reagent above the yield arrow to decide on
the most likely product.
PROBLEM: Fill in the blanks in the following reaction sequence:
SOLUTION: The first step involves an alkyl halide reacting with OH-,
so this is probably a substitution reaction, which yields an
alcohol. In the next step the alcohol is oxidized to a
ketone and finally the organometallic reagent adds to the
ketone to give an alcohol with one more C in its skeleton:
15-80
Sample Problem 15.5
15-81
Carboxylic Acids
Carboxylic acids are named by replacing the –e of the
alkane with the suffix –oic acid.
Carboxylic acids contain the functional group –COOH, or
Carboxylic acids are weak acids in water, and react with
strong bases:
15-82
Figure 15.22 Some molecules with the carboxylic acid functional
group.
Methanoic acid (formic acid)
An irritating component of ant and
bee stings
Butanoic acid (butyric acid)
Odor of rancid butter; suspected
component of monkey sex
attractant
Octadecanoic acid (stearic acid)
Found in animal fats; used in making
candles and soaps
Benzoic acid
Calorimetric standard; used in
preserving food, dyeing fabric,
curing tobacco
15-83
Esters
The ester group is formed by the reaction of an alcohol and a
carboxylic acid.
Ester groups occur commonly in lipids, which are formed by
the esterification of fatty acids.
Esterification is a dehydration-condensation reaction.
15-84
Figure 15.23 Some lipid molecules with the ester functional group.
Cetyl palmitate
The most common
lipid in whale
blubber
Lecithin Phospholipid found in all cell
membranes
Tristearin Typical dietary fat
used as an energy store in
animals
15-85
Saponification
Ester hydrolysis can be carried out using either aqueous
acid or aqueous base. When base is used the process is
called saponification.
This is the process used to make soaps from lipids.
15-86
Amides
An amide contains the functional group:
Amides, like esters, can be hydrolyzed to give a
carboxylic acid and an amine.
The peptide bond, which links amino acids in a protein,
is an amide group.
15-87
Lysergic acid diethylamide (LSD-25)
A potent hallucinogen
Figure 15.24 Some molecules with the amide functional group.
N,N-Dimethylmethanamide
(dimethylformamide)
Major organic solvent; used in
production of synthetic fibers
Acetaminophen
Active ingredient in nonaspirin
pain relievers; used to make dyes
and photographic chemicals
15-88
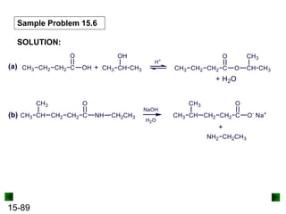
Sample Problem 15.6 Predicting the Reactions of the Carboxylic
Acid Family
PROBLEM: Predict the product(s) of the following reactions:
PLAN: We identify the functional groups in the reactant(s) and see
how they change. In (a), a carboxylic acid reacts with an
alcohol, so the reaction must be a substitution to form an
ester. In (b), an amide reacts with aqueous base, so
hydrolysis occurs.
15-89
Sample Problem 15.6
SOLUTION:
15-90
Figure 15.25 The formation of carboxylic, phosphoric, and sulfuric
acid anhydrides.
P and S form acids, anhydrides and esters that
are analogous to organic compounds.
15-91
Figure 15.26 A phosphate ester and a sulfonamide.
Glucose-6-phosphate
Sulfanilamide
15-92
Functional Groups with Triple Bonds
Alkynes contain the electron rich –CΞC– group, which
readily undergoes addition reactions:
Nitriles contain the group –CΞN and are made by a
substution reaction of an alkyl halide with CN- (cyanide):
15-93
Sample Problem 15.7
SOLUTION:
Recognizing Functional Groups
PLAN: Use Table 15.5 to identify the various functional groups.
PROBLEM: Circle and name the functional groups in the following molecules:
carboxylic acid
ester
aromatic ring
aromatic ring
alcohol
2° amine
ketone
alkene
haloalkane
15-94
Polymers
Addition polymers, also called chain-growth polymers
form when monomers undergo an addition reaction with
each other.
The monomers of most addition polymers contain an alkene group.
Condensation polymers are formed when monomers link
by a dehydration-condensation type reaction.
The monomers of condensation polymers have two functional groups,
and each monomer can link to two others.
15-95
Figure 15.27 Steps in the free-radical polymerization of ethylene.
15-96
Table 15.6 Some Major Addition Polymers
15-97
Table 15.6 Some Major Addition Polymers
15-98
Figure 15.28 The formation of nylon-66.
Nylon-66 is a condensation polymer,
made by reacting a diacid with a
diamine. The polyamide forms
between the two liquid phases.
15-99
Figure 15.29 The structure of glucose in aqueous solution and the
formation of a disaccharide.
15-
Figure 15.30 The common amino acids.
15-
Figure 15.30 The common amino acids.
15-
Figure 15.31 The structural hierarchy of proteins.
15-
collagen silk
fibroin
Figure 15.32 The shapes of fibrous proteins.
15-
Figure 15.33 Nucleic acid precursors and their linkage.
15-
Figure 15.34 The double helix of DNA and a section showing
base pairs.
15-
Figure 15.35 Key stages in protein synthesis.
15-
Figure 15.36 Key stages in DNA replication.
15-
Chemical Connections
Figure B15.5 Nucleoside triphosphate monomers.
Chemical Connections
Figure B15.5 Nucleoside triphosphate monomers.
15-
A. B.
C. D.
Chemical Connections
Figure B15.6 Steps in the Sanger method of DNA sequencing.
15-
Chemical Connections
Figure B15.7 STR analysis of DNA in the blood of seven suspects
and that in blood found at a crime scene.

Organic Chemistry.ppt

  • 1.
    15-1 Chapter 15 Organic Compoundsand the Atomic Properties of Carbon
  • 2.
    15-2 Organic Compounds andthe Atomic Properties of Carbon 15.1 The Special Nature of Carbon and the Characteristics of Organic Molecules 15.2 The Structures and Classes of Hydrocarbons 15.3 Some Important Classes of Organic Reactions 15.4 Properties and Reactivities of Common Functional Groups 15.5 The Monomer-Polymer Theme I: Synthetic Macromolecules 15.6 The Monomer-Polymer Theme II: Biological Macromolecules
  • 3.
    15-3 Bonding Properties ofCarbon • Carbon forms covalent bonds in all its elemental forms and compounds. – The ground state electron configuration of C is [He]2s22p2; the formation of carbon ions is therefore energetically unfavorable. – C has an electronegativity of 2.5, which is midway between that of most metals and nonmetals. C prefers to share electrons. • Carbon exhibits catenation, the ability to bond to itself and form stable chain, ring, and branched compounds. – The small size of the C atom allows it to form short, strong bonds. – The tetrahedral shape of the C atom allows catenation.
  • 4.
    15-4 Figure 15.1 Theposition of carbon in the periodic table.
  • 5.
    15-5 Comparison of Carbonand Silicon • As atomic size increases down the group, bonds between identical atoms become longer and weaker. – A C–C bond is much stronger than a Si–Si bond. • The bond energies of a C–C bond, a C–O bond, and a C–Cl bond are very similar. – C compounds can undergo a variety of reactions and remain stable, while Si compounds cannot. • Si has low energy d orbitals available for reaction, allowing Si compounds to be more reactive than C compounds.
  • 6.
    15-6 Diversity and Reactivityof Organic Molecules • Many organic compounds contain heteroatoms, atoms other than C and H. – The most common of these are O, N, and the halogens. • Most reactions involve the interaction of electron rich area in one molecule with an electron poor site in another. – C–C bonds and C–H bonds tend to be unreactive. – Bonds between C and a heteroatom are usually polar, creating an imbalance in electron density and providing a site for reactions to occur.
  • 7.
    15-7 Figure 15.2 Heteroatomsand different bonding arrangements lead to great chemical diversity. Copyright © The McGraw-Hill Companies, Inc. Permission required for reproduction or display.
  • 8.
    15-8 Carbon Skeletons Each Catom can form a maximum of 4 bonds. Groups joined by a single bond can rotate, so there are often several different arrangements of a given carbon skeleton that are equivalent:
  • 9.
    15-9 Figure 15.3 Somefive-carbon skeletons.
  • 10.
    15-10 Drawing Carbon Skeletons EachC atom can form a maximum of four bonds. These may be four single bonds, OR one double and two single bonds, OR one triple and one single bond. The arrangement of C atoms determines the skeleton, so a straight chain and a bent chain represent the same skeleton. Groups joined by a single bond can rotate freely, so a branch pointing down is the same as one point up.
  • 11.
    15-11 Figure 15.4 Addingthe H-atom skin to the C-atom skeleton. A C atom single-bonded to one other atom gets three H atoms. A C atom single-bonded to two other atoms gets two H atoms. A C atom single-bonded to three other atoms gets one H atom. A C atom single-bonded to four other atoms is already fully bonded (no H atoms).
  • 12.
    15-12 Figure 15.4 continued Adouble-bonded C atom is treated as if it were bonded to two other atoms. A double- and single-bonded C atom or a triple-bonded C atom is treated as if it were bonded to three other atoms.
  • 13.
    15-13 Sample Problem 15.1Drawing Hydrocarbons PLAN: In each case, we draw the longest carbon chain first and then work down to smaller chains with branches at different points along them. Then we add H atoms to give each C a total of four bonds. PROBLEM: Draw structures that have different atom arrangements for hydrocarbons with (a) Six C atoms, no multiple bonds, and no rings (b) Four C atoms, one double bond, and no rings (c) Four C atoms, no multiple bonds, and one ring
  • 14.
    15-14 Sample Problem 15.1 (a)Six carbons, no rings Alkanes, cannot be named based on their molecular formulas but with their structures C6H14
  • 15.
    15-15 Sample Problem 15.1 (b)Four C atoms, one double bond, and no rings
  • 16.
    15-16 Sample Problem 15.1 (c)Compounds with four C atoms and one ring Organic chemists use a systematic set of rules, called the IUPAC rules, to name organic molecules based on their structural formulas instead of their chemical formulas.
  • 17.
    15-17 Alkanes Hydrocarbons contain onlyC and H. Alkanes are hydrocarbons that contain only single bonds and are referred to as saturated hydrocarbons. The general formula for an alkane is CnH2n+2, where n is any positive integer. Alkanes comprise a homologous series, a group of compounds in which each member differs from the next by a –CH2– group.
  • 18.
    15-18 Naming Organic Compounds Theroot name of the compound is determined from the number of C atoms in the longest continuous chain. The name of any organic compound is comprised of three portions: PREFIX + ROOT + SUFFIX The prefix identifies any groups attached to the main chain. The suffix indicates the type of organic compound, and is placed after the root. The suffix for an alkane is –ane.
  • 19.
    15-19 Table 15.1 NumericalRoots for Carbon Chains and Branches Roots Number of C Atoms meth- 1 eth- 2 prop- 3 but- 4 pent- 5 hex- 6 hept- 7 oct- 8 non- 9 dec- 10
  • 20.
    15-20 Table 15.2 Rulesfor Naming an Organic Compound
  • 21.
    15-21 Figure 15.5 Waysof depicting the alkane 3-ethyl- 2-methylhexane.
  • 22.
    15-22 Figure 15.6 Depictingcycloalkanes. Cyclopropane Cyclobutane
  • 23.
  • 24.
  • 25.
    15-25 Constitutional Isomers Constitutional orstructural isomers have the same molecular formula but a different arrangement of the bonded atoms. A straight-chain alkane may have many branched structural isomers. Structural isomers are different compounds and have different properties. If the isomers contain the same functional groups, their properties will still be similar.
  • 26.
    15-26 Table 15.3 TheConstitutional Isomers of C4H10 and C5H12
  • 27.
    15-27 Chiral Molecules Stereoisomers aremolecules with the same arrangement of atoms but different orientations of groups in space. Optical isomers are mirror images of each other that cannot be superimposed. A molecule must be asymmetric in order to exist as a pair of optical isomers. An asymmetric molecule is termed chiral. Typically, a carbon atom is a chiral center if it is bonded to four different groups.
  • 28.
    15-28 Figure 15.8 Ananalogy for optical isomers. If two compounds are mirror images of each other that cannot be superimposed, they are called optical isomers.
  • 29.
    15-29 Figure 15.9 Twochiral molecules. optical isomers of 3-methylhexane optical isomers of alanine
  • 30.
    15-30 Optical Activity Optical isomershave identical physical properties, except that they rotate the plane of polarized light in opposite directions. A chiral compound is optically active; i.e., it rotates the plane of polarized light. A compound that rotates the plane of light clockwise is called dextrorotatory, while a compound that rotates the plane of light counterclockwise is called levorotatory. In their chemical properties, optical isomers differ only in a chiral (asymmetric) environment.
  • 31.
    15-31 Figure 15.10 Therotation of plane-polarized light by an optically active substance.
  • 32.
    15-32 Figure 15.11 Thebinding site of an enzyme. An enzyme provides a chiral environment and therefore distinguishes one optical isomer from another. The shape of one optical isomer fits the binding site, but the mirror image shape of the other isomer does not.
  • 33.
    15-33 Naproxen Many drugs arechiral molecules. One optical isomer has a certain biological activity while the other has a different type of activity or none at all.
  • 34.
    15-34 Alkenes A hydrocarbon thatcontains at least one C=C bond is called an alkene. Alkenes are unsaturated and have the general formula CnH2n. To name an alkene, the root name is determined by the number of C atoms in the longest chain that also contains the double bond. The C chain is numbered from the end closest to the double bond. The suffix for alkenes is –ene.
  • 35.
    15-35 Geometric Isomers The doublebond of an alkene restricts rotation, so that the relative positions of the atoms attached to the double bond are fixed. Alkenes may exist as geometric or cis-trans isomers, which differ in the orientation of the groups attached to the double bond. Geometric isomers have different physical properties.
  • 36.
    15-36 Table 15.4 TheGeometric Isomers of 2-Butene
  • 37.
    15-37 Figure 15.12 Theinitial chemical event in vision and the change in the shape of retinal.
  • 38.
    15-38 Alkynes An alkyne isa hydrocarbon that contains at least one CΞC triple bond. Alkynes have the general formula CnH2n-2 and they are also considred unsaturated carbons. Alkynes are named in the same way as alkenes, using the suffix –yne.
  • 39.
    15-39 Sample Problem 15.2Naming Alkanes, Alkenes, and Alkynes PROBLEM: Give the systematic name for each of the following, indicate the chiral center in part (d), and draw two geometric isomers for part (e). PLAN: For (a) to (c), we find the longest continuous chain (root) and add the suffix –ane because there are only single bonds. Then we name the branches, numbering the C chain from the end closest to the first branch. For (d) and (e) the longest chain must include the double bond.
  • 40.
  • 41.
  • 42.
    15-42 Figure 15.13 Representationsof benzene. Resonance forms having alternating single and double bonds. Resonance hybrid shows the delocalized electrons as either an unbroken or a dashed circle. Benzene is an aromatic hydrocarbon. Copyright © The McGraw-Hill Companies, Inc. Permission required for reproduction or display.
  • 43.
    15-43 methylbenzene (toluene) bp = 110.6°C 1,2-dimethylbenzene (o-xylene) bp= 144.4°C 1,3-dimethylbenzene (m-xylene) bp = 139.1°C 1,4-dimethylbenzene (p-xylene) bp = 138.3°C 2,4,6-trinitromethylbenzene (trinitrotoluene, TNT)
  • 44.
    15-44 Tools of theLaboratory Nuclear Magnetic Resonance (NMR) Spectroscopy Figure B15.1 The basis of proton spin resonance.
  • 45.
    15-45 Tools of theLaboratory Figure B15.2 The 1H-NMR spectrum of acetone. Nuclear Magnetic Resonance (NMR) Spectroscopy
  • 46.
    15-46 Tools of theLaboratory Figure B15.3 The 1H-NMR spectrum of dimethoxymethane. Nuclear Magnetic Resonance (NMR) Spectroscopy
  • 47.
    15-47 Tools of theLaboratory Figure B15.4 An MRI scan showing a brain tumor. Nuclear Magnetic Resonance (NMR) Spectroscopy
  • 48.
    15-48 Types of OrganicReactions An addition reaction occurs when an unsaturated reactant becomes a saturated product: The C=C, CΞC, and C=O bonds commonly undergo addition reactions. In each case, it is the π bond that breaks, leaving the σ bond intact.
  • 49.
    15-49 Reactants (bonds broken) 1C=C = 614 kJ 4 C–H = 1652 kJ 1 H–Cl = 427 kJ Total = 2693 kJ Products (bonds formed) 1 C–C = -347 kJ 5 C–H = -2065 kJ 1 C–Cl = -339 kJ Total = -2751kJ DH°rxn = SDH°bonds broken + SDH°bonds formed = 2693 kJ + (-2751 kJ) = -58 kJ Copyright © The McGraw-Hill Companies, Inc. Permission required for reproduction or display.
  • 50.
    15-50 Figure 15.14 Acolor test for C=C bonds. This compound has no C=C bond, so the Br2 does not react. Br2 (in pipet) reacts with a compound that has a C=C bond, and the orange- brown color of Br2 disappears.
  • 51.
    15-51 Types of OrganicReactions An elimination reaction occurs when a saturated reactant becomes an unsaturated product. This reaction is the reverse of addition. The groups typically eliminated are H and a halogen atom or H and an –OH group.
  • 52.
    15-52 The driving forcefor an elimination reaction is the formation of a small, stable molecule such as HCl (g) or H2O. Copyright © The McGraw-Hill Companies, Inc. Permission required for reproduction or display.
  • 53.
    15-53 Types of OrganicReactions A substitution reaction occurs when an atom or group from an added reagent substitutes for one attached to a carbon in the organic reagent. The C atom at which substitution may be saturated or unsaturated, and X and Y can be many different atoms.
  • 54.
    15-54 The main flavoringredient in banana oil is formed through a substitution reaction: Copyright © The McGraw-Hill Companies, Inc. Permission required for reproduction or display.
  • 55.
    15-55 Sample Problem 15.3Recognizing the Type of Organic Reaction PLAN: We determine the type of reaction by looking for any change in the number of atoms bonded to C. • An addition reaction results in more atoms bonded to C. • An elimination reaction results in fewer atoms bonded to C. • If there are the same number of atoms bonded to C, the reaction is a substitution. PROBLEM: State whether each reaction is an addition, elimination, or substitution:
  • 56.
    15-56 Sample Problem 15.3 SOLUTION: Thisis an elimination reaction; two bonds in the reactant, C–H and C –Br, are absent in the product. This is an addition reaction; two more C–H bonds have formed in the product. This is a substitution reaction; the reactant C–Br bond has been replaced by a C–O bond in the product.
  • 57.
    15-57 Functional Groups Organic compoundsare classified according to their functional groups, a group of atoms bonded in a particular way. The functional groups in a compound determine both its physical properties and its chemical reactivity. Functional groups affect the polarity of a compound, and therefore determine the intermolecular forces it exhibits. Functional groups define the regions of high and low electron density in a compound, thus determining its reactivity.
  • 58.
    15-58 Table 15.5 ImportantFunctional Groups in Organic Compounds
  • 59.
    15-59 Table 15.5 ImportantFunctional Groups in Organic Compounds
  • 60.
    15-60 Alcohols The alcohol functionalgroup consists of a carbon bonded to an –OH group. Alcohols are named by replacing the –e at the end of the parent hydrocarbon name with the suffix –ol. Alcohols have high melting and boiling points since they can form hydrogen bonds between their molecules.
  • 61.
    15-61 Reactions of Alcohols Alcoholsundergo elimination and substitution reactions. dehydration (elimination) oxidation (elimination)
  • 62.
    15-62 Figure 15.15 Somemolecules with the alcohol functional group.
  • 63.
    15-63 Haloalkanes Haloalkanes or alkylhalides contain a halogen atom bonded to carbon. Haloalkanes are named by identifying the halogen with a prefix on the hydrocarbon name. The C bearing the halogen must be numbered.
  • 64.
    15-64 Reactions of Haloalkanes Haloalkanesundergo substitution and elimination reactions.
  • 65.
    15-65 Figure 15.16 Atetrachlorobiphenyl, one of 209 polychlorinated biphenyls (PCBs).
  • 66.
    15-66 Amines The amine functionalgroup contains a N atom. The systematic name for an amine is formed by dropping the final –e of the alkane and adding the suffix –amine. Common names that use the name of the alkyl group followed by the suffix –amine are also widely used.
  • 67.
    15-67 Figure 15.17 Generalstructures of amines. Amines are classified according to the number of R groups directly attached to the N atom.
  • 68.
    15-68 Figure 15.18 Somebiomolecules with the amine functional group. Lysine (1° amine) amino acid found in proteins Adenine (1° amine) component of nucleic acids Epinephrine (adrenaline; 2° amine) neurotransmitter in brain; hormone released during stress Cocaine (3° amine) brain stimulant; widely abused drug
  • 69.
    15-69 Properties and Reactionsof Amines Primary and secondary amines can form H bonds; therefore they have higher melting and boiling points than hydrocarbons or alkyl halides of similar mass. Amines of low molar mass are fishy smelling, water soluble, and weakly basic. Tertiary amines cannot form H bonds between their molecules because they lack a polar N–H bond. Amines undergo a variety of reactions, including substitution reactions.
  • 70.
    15-70 Sample Problem 15.4Predicting the Reactions of Alcohols, Alkyl Halides, and Amines PLAN: We first determine the functional group(s) of the reactant(s) and then examine any inorganic reagent(s) to decide on the reaction type. Keep in mind that, in general, these functional groups undergo substitution or elimination. PROBLEM: Determine the reaction type and predict the product(s) for each reaction:
  • 71.
    15-71 SOLUTION: Sample Problem 15.4 (a)In this reaction the OH of the NaOH reaction substitutes for the I in the organic reagent: (b) This is a substitution reaction: (c) This is an elimination reaction since acidic Cr2O7 2- is a strong oxidizing agent:
  • 72.
    15-72 Alkenes Alkenes contain theC=C double bond: Alkenes typically undergo addition reactions. The electron-rich double bond is readily attracted to the partially positive H atoms of H3O+ ions and hydrohalic acids.
  • 73.
    15-73 Aromatic Hydrocarbons Benzene isan aromatic hydrocarbon and is a resonance hybrid. Its p bond electrons are delocalized. Aromatic compounds are unusually stable and although they contain double bonds they undergo substitution rather than addition reactions.
  • 74.
    15-74 Figure 15.19 Thestability of benzene. Benzene releases less energy during hydrogenation than expected, because it is already much more stable than a similar imaginary alkene.
  • 75.
    15-75 Aldehydes and Ketones Aldehydesand ketones both contain the carbonyl group, C=O. Aldehydes are named by replacing the final –e of the alkane name with the suffix –al. Ketones have the suffix –one and the position of the carbonyl must always be indicated. R and R′ indicate hydrocarbon groups.
  • 76.
    15-76 Figure 15.20 Somecommon aldehydes and ketones. Methanal (formaldehyde) Used to make resins in plywood, dishware, countertops; biological preservative Ethanal (acetaldehyde) Narcotic product of ethanol metabolism; used to make perfumes, flavors, plastics, other chemicals 2-Propanone (acetone) Solvent for fat, rubber, plastic, varnish, lacquer; chemical feedstock 2-Butanone (methyl ethyl ketone) Important solvent Benzaldehyde Artificial almond flavoring
  • 77.
    15-77 Figure 15.21 Thepolar carbonyl group. The C=O bond is electron rich and is also highly polar. It readily undergoes addition reactions, and the electron-poor C atom attracts electron-rich groups.
  • 78.
    15-78 Reactions of Aldehydesand Ketones Reduction to alcohols is an example of an addition reaction: Organometallic compounds, which have a metal atom covalently bonded to C, add to the electron-poor carbonyl C:
  • 79.
    15-79 Sample Problem 15.5Predicting the Steps in a Reaction Sequence PLAN: For each step we examine the functional group of the reactant and the reagent above the yield arrow to decide on the most likely product. PROBLEM: Fill in the blanks in the following reaction sequence: SOLUTION: The first step involves an alkyl halide reacting with OH-, so this is probably a substitution reaction, which yields an alcohol. In the next step the alcohol is oxidized to a ketone and finally the organometallic reagent adds to the ketone to give an alcohol with one more C in its skeleton:
  • 80.
  • 81.
    15-81 Carboxylic Acids Carboxylic acidsare named by replacing the –e of the alkane with the suffix –oic acid. Carboxylic acids contain the functional group –COOH, or Carboxylic acids are weak acids in water, and react with strong bases:
  • 82.
    15-82 Figure 15.22 Somemolecules with the carboxylic acid functional group. Methanoic acid (formic acid) An irritating component of ant and bee stings Butanoic acid (butyric acid) Odor of rancid butter; suspected component of monkey sex attractant Octadecanoic acid (stearic acid) Found in animal fats; used in making candles and soaps Benzoic acid Calorimetric standard; used in preserving food, dyeing fabric, curing tobacco
  • 83.
    15-83 Esters The ester groupis formed by the reaction of an alcohol and a carboxylic acid. Ester groups occur commonly in lipids, which are formed by the esterification of fatty acids. Esterification is a dehydration-condensation reaction.
  • 84.
    15-84 Figure 15.23 Somelipid molecules with the ester functional group. Cetyl palmitate The most common lipid in whale blubber Lecithin Phospholipid found in all cell membranes Tristearin Typical dietary fat used as an energy store in animals
  • 85.
    15-85 Saponification Ester hydrolysis canbe carried out using either aqueous acid or aqueous base. When base is used the process is called saponification. This is the process used to make soaps from lipids.
  • 86.
    15-86 Amides An amide containsthe functional group: Amides, like esters, can be hydrolyzed to give a carboxylic acid and an amine. The peptide bond, which links amino acids in a protein, is an amide group.
  • 87.
    15-87 Lysergic acid diethylamide(LSD-25) A potent hallucinogen Figure 15.24 Some molecules with the amide functional group. N,N-Dimethylmethanamide (dimethylformamide) Major organic solvent; used in production of synthetic fibers Acetaminophen Active ingredient in nonaspirin pain relievers; used to make dyes and photographic chemicals
  • 88.
    15-88 Sample Problem 15.6Predicting the Reactions of the Carboxylic Acid Family PROBLEM: Predict the product(s) of the following reactions: PLAN: We identify the functional groups in the reactant(s) and see how they change. In (a), a carboxylic acid reacts with an alcohol, so the reaction must be a substitution to form an ester. In (b), an amide reacts with aqueous base, so hydrolysis occurs.
  • 89.
  • 90.
    15-90 Figure 15.25 Theformation of carboxylic, phosphoric, and sulfuric acid anhydrides. P and S form acids, anhydrides and esters that are analogous to organic compounds.
  • 91.
    15-91 Figure 15.26 Aphosphate ester and a sulfonamide. Glucose-6-phosphate Sulfanilamide
  • 92.
    15-92 Functional Groups withTriple Bonds Alkynes contain the electron rich –CΞC– group, which readily undergoes addition reactions: Nitriles contain the group –CΞN and are made by a substution reaction of an alkyl halide with CN- (cyanide):
  • 93.
    15-93 Sample Problem 15.7 SOLUTION: RecognizingFunctional Groups PLAN: Use Table 15.5 to identify the various functional groups. PROBLEM: Circle and name the functional groups in the following molecules: carboxylic acid ester aromatic ring aromatic ring alcohol 2° amine ketone alkene haloalkane
  • 94.
    15-94 Polymers Addition polymers, alsocalled chain-growth polymers form when monomers undergo an addition reaction with each other. The monomers of most addition polymers contain an alkene group. Condensation polymers are formed when monomers link by a dehydration-condensation type reaction. The monomers of condensation polymers have two functional groups, and each monomer can link to two others.
  • 95.
    15-95 Figure 15.27 Stepsin the free-radical polymerization of ethylene.
  • 96.
    15-96 Table 15.6 SomeMajor Addition Polymers
  • 97.
    15-97 Table 15.6 SomeMajor Addition Polymers
  • 98.
    15-98 Figure 15.28 Theformation of nylon-66. Nylon-66 is a condensation polymer, made by reacting a diacid with a diamine. The polyamide forms between the two liquid phases.
  • 99.
    15-99 Figure 15.29 Thestructure of glucose in aqueous solution and the formation of a disaccharide.
  • 100.
    15- Figure 15.30 Thecommon amino acids.
  • 101.
    15- Figure 15.30 Thecommon amino acids.
  • 102.
    15- Figure 15.31 Thestructural hierarchy of proteins.
  • 103.
    15- collagen silk fibroin Figure 15.32The shapes of fibrous proteins.
  • 104.
    15- Figure 15.33 Nucleicacid precursors and their linkage.
  • 105.
    15- Figure 15.34 Thedouble helix of DNA and a section showing base pairs.
  • 106.
    15- Figure 15.35 Keystages in protein synthesis.
  • 107.
    15- Figure 15.36 Keystages in DNA replication.
  • 108.
    15- Chemical Connections Figure B15.5Nucleoside triphosphate monomers. Chemical Connections Figure B15.5 Nucleoside triphosphate monomers.
  • 109.
    15- A. B. C. D. ChemicalConnections Figure B15.6 Steps in the Sanger method of DNA sequencing.
  • 110.
    15- Chemical Connections Figure B15.7STR analysis of DNA in the blood of seven suspects and that in blood found at a crime scene.