Maximum & Minimum
Values
Calculus 1
Chapter 4.1 and 4.3
Ms. Medina
Why is this important?
• An important application of differential calculus are
problems dealing with optimization.
Examples:
• What is the shape of a can that minimizes manufacturing
cost?
• What is the maximum acceleration of a space
shuttle?
• What is the radius of a contracted windpipe that
expels air most rapidly during a cough?
Definition: Absolute Maximum &
Minimum
Absolute Maximum (global maximum)
A function f has an absolute maximum at c if f(􏰅c) ≥ 􏰅􏰅f(􏰅x)
􏰅for all x in D, where D is the domain of f. The number f(􏰅c) 􏰅
is called the maximum value of f on D.
Absolute Minimum (global minimum)
A function f has an absolute minimum at c if f(􏰅c)􏰅 ≤ 􏰅 f(􏰅x)
􏰅 for all x in D and the number f(􏰅c)􏰅 is called the minimum
value of f on D.
The maximum and minimum values of f are called the extreme
values of f.
Find the Maximum and
Minimum ?
Minimum value f(a)
Maximum value
f(d)
Absolute Minimum value
at f (x) = 0
No Maximum value
No Minimum value
No Maximum value
Definition: Local Maximum &
Minimum
Local Maximum (relative maximum)
A function f has a local maximum at c if f􏰮(c)􏰮 ≥􏰮 f(􏰮
x)􏰮 when x is near c. [This means that f(􏰮c)􏰮 ≥􏰮 f􏰮
(x)􏰮 for all x in some open interval containing c.]
Local Minimum (relative minimum)
Similarly, f has a local minimum at c if f(􏰮c)􏰮 ≤􏰮 f(􏰮
x)􏰮 when x is near c.
Definition: Critical numbers
Critical Numbers
• A critical number of a function f is a number c in the
domain of f such that either f`’(c)􏰯 =􏰯 0 or f’(c)􏰯
does not exist.
• If f has a local maximum or minimum at c, then c is a
critical number of f.
Closed Interval Method
Finding the absolute maximum and minimum values of a
continuous function f on a closed interval 􏰮a, b􏰮:
1. Find the values of f at the critical numbers of f in 􏰮a, b
􏰮.
2. Find the values of f at the endpoints of the interval.
3. The largest of the values from Steps 1 and 2 is the
absolute maximum value; the smallest of these values
is the absolute minimum value.
Increasing & Decreasing
Test
Increasing
If f’(􏰮􏰮x) > 0 on an interval,
then f is increasing on that
interval.
Decreasing
If f’(􏰮x)􏰮 <􏰮 0 on an
interval, then f is decreasing
on that interval.
The First Derivative Test
• Suppose that c is a critical number of
a continuous function f.
• If f’􏰮 changes from positive to
negative at c, then f has a local
maximum at c.
• If f’􏰮 changes from negative to
positive at c, then f has a local
minimum at c.
• If f’ does not change sign at c, then f
has no local maximum or minimum at
c.
• Example:
If f’ is positive on both sides of c or
negative on both sides
Direction Critical
Point
Direction
+ c -
- c +
- c -
+ c +
Definition: Concave up & Down
Concave Up
• If the graph of f lies above
all of its tangents on an
interval I, then it is called
concave upward on I.
Concave Down
• If the graph of f lies below
all of its tangents on I, it is
called concave downward
on I.
Concavity Test
• If f”(x) > 􏰮􏰮0 for all x in I,
then the graph of f is
concave upward on I.
• If f”(x) < 􏰮􏰮0 for all x in I,
then the graph of f is
concave downward on I.
Definition: Inflection Points
• A point P on a curve y = f(􏰮
x)􏰮 is called an inflection
point if f is continuous
there and the curve
changes from
• concave upward to
concave down- ward
• concave downward to
concave upward
at P.
The Second Derivative Test
• Suppose f’’ is continuous near c.
• If f’(c)􏰮 =􏰮 0 and f’’(c)􏰮􏰮 > 0,then f has a local minimum
at c.
• If f’(c) = 􏰮􏰮0and f”(c) < 0,then f has a local maximum at c.
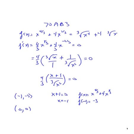
Example of Second Derivative Test
Reference
• Stewart, J., Calculus Early Transcendental, sixth
edition. 2008.

Maximums and minimum

  • 1.
    Maximum & Minimum Values Calculus1 Chapter 4.1 and 4.3 Ms. Medina
  • 2.
    Why is thisimportant? • An important application of differential calculus are problems dealing with optimization. Examples: • What is the shape of a can that minimizes manufacturing cost? • What is the maximum acceleration of a space shuttle? • What is the radius of a contracted windpipe that expels air most rapidly during a cough?
  • 3.
    Definition: Absolute Maximum& Minimum Absolute Maximum (global maximum) A function f has an absolute maximum at c if f(􏰅c) ≥ 􏰅􏰅f(􏰅x) 􏰅for all x in D, where D is the domain of f. The number f(􏰅c) 􏰅 is called the maximum value of f on D. Absolute Minimum (global minimum) A function f has an absolute minimum at c if f(􏰅c)􏰅 ≤ 􏰅 f(􏰅x) 􏰅 for all x in D and the number f(􏰅c)􏰅 is called the minimum value of f on D. The maximum and minimum values of f are called the extreme values of f.
  • 4.
    Find the Maximumand Minimum ? Minimum value f(a) Maximum value f(d) Absolute Minimum value at f (x) = 0 No Maximum value No Minimum value No Maximum value
  • 5.
    Definition: Local Maximum& Minimum Local Maximum (relative maximum) A function f has a local maximum at c if f􏰮(c)􏰮 ≥􏰮 f(􏰮 x)􏰮 when x is near c. [This means that f(􏰮c)􏰮 ≥􏰮 f􏰮 (x)􏰮 for all x in some open interval containing c.] Local Minimum (relative minimum) Similarly, f has a local minimum at c if f(􏰮c)􏰮 ≤􏰮 f(􏰮 x)􏰮 when x is near c.
  • 6.
    Definition: Critical numbers CriticalNumbers • A critical number of a function f is a number c in the domain of f such that either f`’(c)􏰯 =􏰯 0 or f’(c)􏰯 does not exist. • If f has a local maximum or minimum at c, then c is a critical number of f.
  • 7.
    Closed Interval Method Findingthe absolute maximum and minimum values of a continuous function f on a closed interval 􏰮a, b􏰮: 1. Find the values of f at the critical numbers of f in 􏰮a, b 􏰮. 2. Find the values of f at the endpoints of the interval. 3. The largest of the values from Steps 1 and 2 is the absolute maximum value; the smallest of these values is the absolute minimum value.
  • 8.
    Increasing & Decreasing Test Increasing Iff’(􏰮􏰮x) > 0 on an interval, then f is increasing on that interval. Decreasing If f’(􏰮x)􏰮 <􏰮 0 on an interval, then f is decreasing on that interval.
  • 9.
    The First DerivativeTest • Suppose that c is a critical number of a continuous function f. • If f’􏰮 changes from positive to negative at c, then f has a local maximum at c. • If f’􏰮 changes from negative to positive at c, then f has a local minimum at c. • If f’ does not change sign at c, then f has no local maximum or minimum at c. • Example: If f’ is positive on both sides of c or negative on both sides Direction Critical Point Direction + c - - c + - c - + c +
  • 10.
    Definition: Concave up& Down Concave Up • If the graph of f lies above all of its tangents on an interval I, then it is called concave upward on I. Concave Down • If the graph of f lies below all of its tangents on I, it is called concave downward on I.
  • 11.
    Concavity Test • Iff”(x) > 􏰮􏰮0 for all x in I, then the graph of f is concave upward on I. • If f”(x) < 􏰮􏰮0 for all x in I, then the graph of f is concave downward on I.
  • 12.
    Definition: Inflection Points •A point P on a curve y = f(􏰮 x)􏰮 is called an inflection point if f is continuous there and the curve changes from • concave upward to concave down- ward • concave downward to concave upward at P.
  • 13.
    The Second DerivativeTest • Suppose f’’ is continuous near c. • If f’(c)􏰮 =􏰮 0 and f’’(c)􏰮􏰮 > 0,then f has a local minimum at c. • If f’(c) = 􏰮􏰮0and f”(c) < 0,then f has a local maximum at c. Example of Second Derivative Test
  • 14.
    Reference • Stewart, J.,Calculus Early Transcendental, sixth edition. 2008.