Magnetic forces,
Materials and Devices
MR. HIMANSHU DIWAKAR
ASSISTANT PROFESSOR
JETGI
1
Magnetic Field
 The region around a magnet in which it exerts
forces on other magnets and on objects made of
iron is a magnetic field.
2
Magnet Field: Cause
Moving charges produce magnetic
fields.
3
Magnetic Intensity OR Magnetising force (H)
Magnetic Intensity at a point is the force experienced by a north
pole of unit pole strength placed at that point due to pole strength
of the given magnet.
Its SI unit is ampere-turns per linear metre.
Magnetic Field Strength or Magnetic Induction
or Magnetic Flux Density (B)
Magnetic Flux Density is the number of magnetic lines of force
passing normally through a unit area of a substance.
Its SI unit is weber-m-2 or Tesla (T).
Relation Between B & H
B = μ H
(where μ is the permeability of the medium)
4
Magnetic Susceptibility (Xm )
It is the property of the substance which shows how easily a
substance can be magnetised.
It can also be defined as the ratio of intensity of magnetisation (I) in a
substance to the magnetic intensity (H) applied to the substance.
Xm = I / H
i) Susceptibility has no unit.
ii) When –ve , solid is dimagnetic.
iii) When small range of +ve, Solid is paramagnetic.
iv) If large range value of +ve, Solid is ferromagnetic.
v) It may be positive or negative.
5
Curie Temperature (C)
The temperature above which ferromagnetic material
looses their magnetic properties.
Above C temp, domain structure for gets destructed and
domain looses their alignment.
Relation between Magnetic Permeability (μr) &
Susceptibility (cm )
μr = 1 + cm
6
Magnetic Dipole & Dipole Moment
A pair of magnetic poles of equal and opposite strengths
separated by a finite distance is called a magnetic dipole.
The magnetic dipole moment is the product of the pole
strength m and the separation 2l between the poles.
SI unit of pole strength is A.m .
Magnetic Dipole Moment is M = m.2l
The direction of the dipole moment is from South
pole to North Pole along the axis of the magnet.
7
The Phenomenon of attracting magnetic substances like
iron, nickel, cobalt, etc.
• A body possessing the property of magnetism is called a
magnet.
• A magnetic pole is a point near the end of the magnet
where magnetism is concentrated.
• Earth is a natural magnet.
•The region where the magnetic forces act is called the
“magnetic field”.
Magnetism
8
 Magnetism arises from the Magnetic Moment or
Magnetic dipole of Magnetic Materials.
 When the electrons revolves around the nucleus Orbital
magnetic moment arises, similarly when the electron
spins, spin Magnetic moment arises.
 The permanent Magnetic Moments can arise due to the
1.The orbital magnetic moment of the electrons
2.The spin magnetic moment of the electrons, and
3.The spin magnetic moment of the nucleus.
Origin Of Magnetisation
9
1/13/2017
ORIGIN OF MAGNETISM IN MATERIALS
Nuclear spin
Orbital motion of electrons
Origin of Magnetism Spin of electrons
A moving electric charge, macroscopically or “microscopically” is
responsible for Magnetism.
Weak effect
Unpaired electrons required
for net Magnetic Moment
Magnetic Moment resultant from the spin of a single unpaired electron
→ Bohr Magneton = 9.273 x 1024 A/m2
10
• Magnetic Materials are those materials in which a state of magnetization
can be induced.
• Such materials when magnetized create a magnetic field in the
surrounding space.
Magnetic Materials 11
• Paramagnetic
• Diamagnetic
• Ferromagnetic
• Ferrimagnetic
• Antiferromagnetic
Classification Of
Magnetic Materials
12
• It is a substance or body which very weakly attracted by the poles of a
magnet, but not retaining any permanent magnetism.
• These have relative permeability slightly greater than unity and are
magnetized slightly.
• They attract the lines of forces weakly.
Paramagnetic 13
• Al, Pt, Ca, O2 are such materials. 14
Paramagnetism 15
• It is a substance which create a magnetic field in opposite to an externally
applied field.
• Susceptibility is negative.
• These have relative permeability slightly less than unity.
• They repel the lines of force slightly.
Diamagnetic 16
• The examples are bismuth silver, copper
and hydrogen.
17
Diamagnetism 18
• A type of material that is highly attracted to magnets and can become
permanently magnetized is called as ferromagnetic.
• The relative permeability is much greater than unity and are dependent on
the field strength.
• These have high susceptibility.
Ferromagnetic 19
• Fe, Co, Ni, Cr, Mn are such materials.
20
Ferrimagnetism
1.)Ferrimagnetism is a phenomenon in which the magnetic interaction
between any two dipoles align anti-parallel to each other.
2.)But since the magnitude of dipoles are not equal.
3.)The cancellation of magnetic moments become incomplete resulting in a
net magnetization in the material.
4.)Ferrimagnetic materials possess magnetic dipoles moment due to the
spin of the electron.
5.)A Ferrimagnetic material is composed of more state of different
transition elements.
6.)The susceptibility is very Large and +ve.
21
Antiferromagnetism
 It is refer to a phenomenon in which the magnetic
interaction between any two dipoles align themselves
anti-parallel to each other.
 Since all dipoles are of equal magnitude,the net
magnetisation is zero.
 Like ferromagnetic materials antiferromagnetic
materials also possess dipole moment due to spin of
the electron.
 The opposite alignment of adjacent dipoles due to an
exchange interaction.
 The susceptibility is very small and is +ve.
22
Antiferromagnetism 23
Type of Magnetism Susceptibility Atomic / Magnetic Behaviour
Example /
Susceptibility
Diamagnetism Small & negative.
Atoms have
no magnetic
moment
Au
Cu
-2.74x10-6-
0.77x10-6
Paramagnetism Small & positive.
Atoms have
randomly
oriented
magnetic
moments
β Pt
Mn
0.19x10-6
21.04x10-6
66.10x10-6
Ferromagnetism
Large & positive,
function of
applied field,
microstructure
dependent.
Atoms have
parallel
aligned
magnetic
moments
Fe ~100,000
Antiferromagnetism Small & positive.
Atoms have
mixed parallel
and anti-
parallel
aligned
magnetic
moments
Cr 3.6x10-6
Ferrimagnetism
Large & positive,
function of
applied field,
microstructure
dependent
Atoms have
anti-parallel
aligned
magnetic
moments
Ba
ferri
te
~3
24
Magnetization In Materials
25
Introduction
 Magnetism arises from the Magnetic Moment or
Magnetic dipole of Magnetic Materials.
 When the electrons revolves around the nucleus Orbital
magnetic moment arises, similarly when the electron
spins, spin Magnetic moment arises.
 The permanent Magnetic Moments can arise due to the
1.The orbital magnetic moment of the electrons
2.The spin magnetic moment of the electrons, and
3.The spin magnetic moment of the nucleus.
26
Magnetic Induction or Magnetic flux Density
The Magnetic induction in any material is the number
of lines of magnetic force passing through unit area
perpendicularly. Units: Wb/m2 or Tesla.
Magnetic field intensity (H)
The Magnetic field intensity at any point in the
magnetic field is the force experienced by an unit north
pole placed at that point.
Units : A/m
27
Permeability: ( µ )
The Magnetic induction B is proportional to the
applied Magnetic field intensity H.
H
B
HB
HB





Where µ permeability of a medium
28
Relative permeability µr
The ratio of permeability of medium to the permeability
of free space is called relative permeability µr of the solid.
00
0
B
B
H
B
H
B
r
r






29
Magnetization
Magnetization refers to the process of
converting a non-magnetic material into a
Magnetic material.
The intensity of Magnetization is directly
related to the applied field H.
H
M
HM
HM
m
m





litysusceptibimagnetic
30
mr
r
r
r
r
r
r
H
M
H
MH
MH
B
H
B
MH
B
MHB
MHB
HHB
HHHB
HB
HB
HB




























1
1
)(
typermeabilirelative
)(
)(
ionmagnetizattheisMWhere
)1(
0
0
0
00
00
000
0
31
Origin of Magnetic Moment
The Magnetic moment in a material originates from the
orbital motion and spinning motion of electrons in an
atom.
e
µlm
32
Consider an atom & each electron in that, orbiting
around the nucleus produces a loop current
i = q / t
i = q f
Where f is a frequency of electron..
If L is the angular momentum of electron, the Magnetic
moment of the electron
µlm = (Area of loop) x (Current)
33
L
m
q
mvr
m
q
qvr
r
vq
r
q
r
f
q
r
qfr
t
q
r
lm
lm
lm
lm
lm
lm
lm
lm
.
2
.
2
2
)
2
)((
)
2
)((
)2
2
)((
))((
))((
2
2
2
2
2





















Where L is a Angular Momentum of electron
34
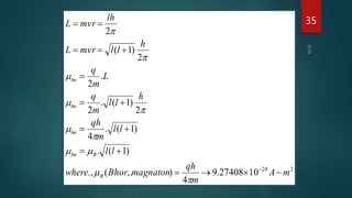
224
1027408.9
4
),.(.,
)1(.
)1(.
4
2
)1(.
2
.
2
2
)1(
2
mA
m
qh
magnatonBhorwhere
ll
ll
m
qh
h
ll
m
q
L
m
q
h
llmvrL
lh
mvrL
B
Blm
lm
lm
lm


















35
36
Thank you

Magnetic forces, materials and devices 3rd 3

  • 1.
    Magnetic forces, Materials andDevices MR. HIMANSHU DIWAKAR ASSISTANT PROFESSOR JETGI 1
  • 2.
    Magnetic Field  Theregion around a magnet in which it exerts forces on other magnets and on objects made of iron is a magnetic field. 2
  • 3.
    Magnet Field: Cause Movingcharges produce magnetic fields. 3
  • 4.
    Magnetic Intensity ORMagnetising force (H) Magnetic Intensity at a point is the force experienced by a north pole of unit pole strength placed at that point due to pole strength of the given magnet. Its SI unit is ampere-turns per linear metre. Magnetic Field Strength or Magnetic Induction or Magnetic Flux Density (B) Magnetic Flux Density is the number of magnetic lines of force passing normally through a unit area of a substance. Its SI unit is weber-m-2 or Tesla (T). Relation Between B & H B = μ H (where μ is the permeability of the medium) 4
  • 5.
    Magnetic Susceptibility (Xm) It is the property of the substance which shows how easily a substance can be magnetised. It can also be defined as the ratio of intensity of magnetisation (I) in a substance to the magnetic intensity (H) applied to the substance. Xm = I / H i) Susceptibility has no unit. ii) When –ve , solid is dimagnetic. iii) When small range of +ve, Solid is paramagnetic. iv) If large range value of +ve, Solid is ferromagnetic. v) It may be positive or negative. 5
  • 6.
    Curie Temperature (C) Thetemperature above which ferromagnetic material looses their magnetic properties. Above C temp, domain structure for gets destructed and domain looses their alignment. Relation between Magnetic Permeability (μr) & Susceptibility (cm ) μr = 1 + cm 6
  • 7.
    Magnetic Dipole &Dipole Moment A pair of magnetic poles of equal and opposite strengths separated by a finite distance is called a magnetic dipole. The magnetic dipole moment is the product of the pole strength m and the separation 2l between the poles. SI unit of pole strength is A.m . Magnetic Dipole Moment is M = m.2l The direction of the dipole moment is from South pole to North Pole along the axis of the magnet. 7
  • 8.
    The Phenomenon ofattracting magnetic substances like iron, nickel, cobalt, etc. • A body possessing the property of magnetism is called a magnet. • A magnetic pole is a point near the end of the magnet where magnetism is concentrated. • Earth is a natural magnet. •The region where the magnetic forces act is called the “magnetic field”. Magnetism 8
  • 9.
     Magnetism arisesfrom the Magnetic Moment or Magnetic dipole of Magnetic Materials.  When the electrons revolves around the nucleus Orbital magnetic moment arises, similarly when the electron spins, spin Magnetic moment arises.  The permanent Magnetic Moments can arise due to the 1.The orbital magnetic moment of the electrons 2.The spin magnetic moment of the electrons, and 3.The spin magnetic moment of the nucleus. Origin Of Magnetisation 9
  • 10.
    1/13/2017 ORIGIN OF MAGNETISMIN MATERIALS Nuclear spin Orbital motion of electrons Origin of Magnetism Spin of electrons A moving electric charge, macroscopically or “microscopically” is responsible for Magnetism. Weak effect Unpaired electrons required for net Magnetic Moment Magnetic Moment resultant from the spin of a single unpaired electron → Bohr Magneton = 9.273 x 1024 A/m2 10
  • 11.
    • Magnetic Materialsare those materials in which a state of magnetization can be induced. • Such materials when magnetized create a magnetic field in the surrounding space. Magnetic Materials 11
  • 12.
    • Paramagnetic • Diamagnetic •Ferromagnetic • Ferrimagnetic • Antiferromagnetic Classification Of Magnetic Materials 12
  • 13.
    • It isa substance or body which very weakly attracted by the poles of a magnet, but not retaining any permanent magnetism. • These have relative permeability slightly greater than unity and are magnetized slightly. • They attract the lines of forces weakly. Paramagnetic 13
  • 14.
    • Al, Pt,Ca, O2 are such materials. 14
  • 15.
  • 16.
    • It isa substance which create a magnetic field in opposite to an externally applied field. • Susceptibility is negative. • These have relative permeability slightly less than unity. • They repel the lines of force slightly. Diamagnetic 16
  • 17.
    • The examplesare bismuth silver, copper and hydrogen. 17
  • 18.
  • 19.
    • A typeof material that is highly attracted to magnets and can become permanently magnetized is called as ferromagnetic. • The relative permeability is much greater than unity and are dependent on the field strength. • These have high susceptibility. Ferromagnetic 19
  • 20.
    • Fe, Co,Ni, Cr, Mn are such materials. 20
  • 21.
    Ferrimagnetism 1.)Ferrimagnetism is aphenomenon in which the magnetic interaction between any two dipoles align anti-parallel to each other. 2.)But since the magnitude of dipoles are not equal. 3.)The cancellation of magnetic moments become incomplete resulting in a net magnetization in the material. 4.)Ferrimagnetic materials possess magnetic dipoles moment due to the spin of the electron. 5.)A Ferrimagnetic material is composed of more state of different transition elements. 6.)The susceptibility is very Large and +ve. 21
  • 22.
    Antiferromagnetism  It isrefer to a phenomenon in which the magnetic interaction between any two dipoles align themselves anti-parallel to each other.  Since all dipoles are of equal magnitude,the net magnetisation is zero.  Like ferromagnetic materials antiferromagnetic materials also possess dipole moment due to spin of the electron.  The opposite alignment of adjacent dipoles due to an exchange interaction.  The susceptibility is very small and is +ve. 22
  • 23.
  • 24.
    Type of MagnetismSusceptibility Atomic / Magnetic Behaviour Example / Susceptibility Diamagnetism Small & negative. Atoms have no magnetic moment Au Cu -2.74x10-6- 0.77x10-6 Paramagnetism Small & positive. Atoms have randomly oriented magnetic moments β Pt Mn 0.19x10-6 21.04x10-6 66.10x10-6 Ferromagnetism Large & positive, function of applied field, microstructure dependent. Atoms have parallel aligned magnetic moments Fe ~100,000 Antiferromagnetism Small & positive. Atoms have mixed parallel and anti- parallel aligned magnetic moments Cr 3.6x10-6 Ferrimagnetism Large & positive, function of applied field, microstructure dependent Atoms have anti-parallel aligned magnetic moments Ba ferri te ~3 24
  • 25.
  • 26.
    Introduction  Magnetism arisesfrom the Magnetic Moment or Magnetic dipole of Magnetic Materials.  When the electrons revolves around the nucleus Orbital magnetic moment arises, similarly when the electron spins, spin Magnetic moment arises.  The permanent Magnetic Moments can arise due to the 1.The orbital magnetic moment of the electrons 2.The spin magnetic moment of the electrons, and 3.The spin magnetic moment of the nucleus. 26
  • 27.
    Magnetic Induction orMagnetic flux Density The Magnetic induction in any material is the number of lines of magnetic force passing through unit area perpendicularly. Units: Wb/m2 or Tesla. Magnetic field intensity (H) The Magnetic field intensity at any point in the magnetic field is the force experienced by an unit north pole placed at that point. Units : A/m 27
  • 28.
    Permeability: ( µ) The Magnetic induction B is proportional to the applied Magnetic field intensity H. H B HB HB      Where µ permeability of a medium 28
  • 29.
    Relative permeability µr Theratio of permeability of medium to the permeability of free space is called relative permeability µr of the solid. 00 0 B B H B H B r r       29
  • 30.
    Magnetization Magnetization refers tothe process of converting a non-magnetic material into a Magnetic material. The intensity of Magnetization is directly related to the applied field H. H M HM HM m m      litysusceptibimagnetic 30
  • 31.
  • 32.
    Origin of MagneticMoment The Magnetic moment in a material originates from the orbital motion and spinning motion of electrons in an atom. e µlm 32
  • 33.
    Consider an atom& each electron in that, orbiting around the nucleus produces a loop current i = q / t i = q f Where f is a frequency of electron.. If L is the angular momentum of electron, the Magnetic moment of the electron µlm = (Area of loop) x (Current) 33
  • 34.
  • 35.
  • 36.