Waveguides
Mr. HIMANSHU DIWAKAR
Assistant Professor
GETGI
JIT 1
JIT 2
Basic waveguides
1. Waveguide
Rectangular waveguide Circular waveguide Coaxial line
Optical waveguide Parallel-plate waveguide
JIT 3
 Transverse Electro Magnetic (TEM) wave:
Here both electric and magnetic fields are directed
components. (i.e.) E z = 0 and Hz = 0
 Transverse Electric (TE) wave: Here only the electric field is purely transverse to the direction
of propagation and the magnetic field is not purely transverse. (i.e.) E z = 0, Hz ≠ 0
 Transverse Magnetic (TM) wave: Here only magnetic field is transverse to the direction of
propagation and the electric field is not purely transverse. (i.e.) E z ≠ 0, Hz = 0.
 Hybrid (HE) wave: Here neither electric nor magnetic fields are purely transverse to the
direction of propagation. (i.e.) E z ≠ 0, Hz ≠ 0.
4
Types of Modes
JIT
Transmission line
 Voltage applied between conductors(E: vertically between
the conductors)
 Interior fields: TEM (Transverse ElectroMagnetic) wave
(wave vector indicates the direction of wave propagation
as well as the direction of power flow)
1. Waveguide
JIT 5
Waveguide
 A waveguide is a structure that guides waves, such
as electromagnetic waves or sound waves They enable a signal to
propagate with minimal loss of energy by restricting expansion to
one dimension or two
 Zigzag reflection, waveguide mode, cutoff frequency
 k|||| du kk
JIT 6
JIT 7
The electric and magnetic wave equations in frequency
domain is given by
𝛻2
𝐸 = 𝛾2
𝐸
𝛻2
𝐻 = 𝛾2
𝐻
𝛾2
= 𝑗𝜔𝜇(𝜎 + 𝑗𝜔𝜀)
For a loss less dielectric or perfect conductor
𝛾2
= −𝜔2
𝜇𝜀
The above equations are like Helmholtz equations
𝛻2
𝐸𝑧𝑠 = 𝛾2
𝐸𝑧𝑠
Let 𝐸𝑧𝑠=X(x).Y(y).Z(z)
Be the solution of above equations
JIT 8
Cont’d
So separation equation
-𝑘 𝑥
2
−𝑘 𝑦
2
−𝑘 𝑧
2
= 𝛾2
On Solving the above equations
𝐸𝑧𝑠 = 𝐴. sin 𝑘 𝑥. 𝑥 + 𝐵. cos(𝑘 𝑥. 𝑥) × 𝐶. sin 𝑘 𝑦. 𝑦 + 𝐷. cos(𝑘 𝑦. 𝑦)
× 𝐸. sin 𝑘 𝑧. 𝑧 + 𝐹. cos(𝑘 𝑧. 𝑧)
The propagation of wave in guide is conventionally assumed in +ve Z
direction.
JIT 9
Here the propagation constant 𝛾𝑔 in guide differs from intrinsic
propagation constant 𝛾
Let 𝛾𝑔
2 = 𝛾 2 + 𝑘 𝑥
2
+ 𝑘 𝑦
2
And 𝛾𝑔
2
= 𝛾 2
+ 𝑘 𝑐
2
Where 𝑘 𝑐= 𝑘 𝑥
2
+ 𝑘 𝑦
2
is cutoff wave number.
For a lossless dielectric 𝛾2 = −𝜔2 𝜇𝜀
So 𝛾𝑔= ±𝑗 𝜔2 𝜇𝜀 − 𝑘 𝑐
2
So there are three cases….
JIT 10
Cont’d
Case 1
If 𝜔2
𝜇𝜀 = 𝑘 𝑐
2
𝛾𝑔= 0 no propagation
This is critical condition for cutoff propagation
𝜔𝑐=
1
𝜇𝜖
𝑘 𝑥
2
+ 𝑘 𝑦
2
𝑓𝑐=
1
2𝜋 𝜇𝜖
𝑘 𝑥
2
+ 𝑘 𝑦
2
JIT 11
JIT 12
Case 2
If 𝜔2
𝜇𝜀 > 𝑘 𝑐
2
𝛾𝑔= ±𝑗𝛽𝑔 = ±𝑗𝜔 𝜇𝜖 1 −
𝑓𝑐
𝑓
2
This shows that operating frequency should be greater than critical
frequency to propagate the wave in wave in wave guide
JIT 13
Case 3
If 𝜔2
𝜇𝜀 < 𝑘 𝑐
2
𝛾𝑔= ±𝛼 𝑔 = ±𝜔 𝜇𝜖
𝑓𝑐
𝑓
2
− 1
This shows that if operating frequency is below the cutoff frequency the
wave will decay exponentially wrt a factor -𝛼 𝑔 𝑧 and there will no wave
propagation
There for the solution of Helmholtz equation in rectangular co-ordinates
is given by
𝐸𝑧𝑠 = 𝐴. sin 𝑘 𝑥. 𝑥 + 𝐵. cos(𝑘 𝑥. 𝑥) × 𝐶. sin 𝑘 𝑦. 𝑦 + 𝐷. cos(𝑘 𝑦. 𝑦)
× 𝑒−𝑗𝛽
Rectangular waveguide
  WR (Waveguide Rectangular) series
- EIA (Electronic Industry Association) designation
WR-62
- Size: 1.58 cmx0.79 cm
- Recommended range: 12.4-18.0 GHz
- Cutoff: 9.486 GHz
2/
cm/10054262inch/10062
ab
.a



JIT 14
Waveguide modes
 TE (Transverse Electric) mode
- E parallel to the transverse plane of the waveguide
- In waveguide Wave propagates in +ve Z direction
- TEmn in characterized by Ez=0
- In other words the z component of magnetic field must exist
in order to have energy transmission in the guide.
 TM (Transverse Magnetic) mode
- H is within the transverse plane of the waveguide
JIT 15
TE modes in rectangular waveguides
𝛻2 × 𝐸𝑠 = −𝑗𝜔𝜇𝐻𝑠
𝛻2 × 𝐻𝑠 = −𝑗𝜔𝜇𝐸𝑠
Therefore the magnetic field in +ve Z direction ie. The solution of above
partial differential equations
H0z is the amplitude constant, so field equations in rectangular
waveguides
JIT 16
mode:)sin()sin(),(
mode:)cos()cos(),(
mn
zj
nmz
mn
zj
nmz
TMeybxayxE
TEeybxayxH
mn
mn






222
and,,where nmmnnm bak
b
n
b
a
m
a  

zj
nmzz
mn
eybxaHH 
 )cos()cos(0
Utilization
Transmission of power
3. Waveguide
JIT 17
TE and TM modes
  Hz and Ez fields: TE and TM modes
 Non-TEM modes: Hz = Ez = 0
 Concept of a dominant mode: TE10 mode
mode:)sin()sin(),(
mode:)cos()cos(),(
mn
zj
nmz
mn
zj
nmz
TMeybxayxE
TEeybxayxH
mn
mn






Boundary condition enforcements
: PEC (Perfect Electric Conductor)
222
and,,where nmmnnm bak
b
n
b
a
m
a  

3. Waveguide
JIT 18
Cutoff wave no kc = 𝑘 𝑥
2
+ 𝑘 𝑦
2
Where 𝑘 𝑥=𝑎 𝑚 and 𝑘 𝑦=𝑏 𝑛
kc =
𝑚𝜋
𝑎
2
+
𝑛𝜋
𝑏
2
= 𝜔𝑐 𝜇𝜀
fc =
1
𝜇𝜀
𝑚𝜋
𝑎
2
+
𝑛𝜋
𝑏
2
Propagation constant as discussed earlier
𝛾𝑔= ±𝑗 𝜔2 𝜇𝜀 − 𝑘 𝑐
2
So from case-1 and case-2 propagation constant or phase constant
𝛽𝑔 = 𝜔 𝜇𝜖 1 −
𝑓𝑐
𝑓
2
JIT 19
And attenuation constant
𝛼 𝑔 = 𝜔 𝜇𝜖
𝑓𝑐
𝑓
2
− 1
We know that 𝑓𝑐 =
𝑐
𝜆 𝑐
𝑎𝑛𝑑 𝜆 𝑐 =
𝑐
𝑓𝑐
So cutoff frequency
𝜆 𝑐 =
𝑐
𝑐
2𝜋
𝑚
𝑎
2
+
𝑛
𝑏
2
𝜆 𝑐 =
2
𝑚
𝑎
2
+
𝑛
𝑏
2
JIT 20
Dominant mode: TE10 mode







a
k

 2
10
.0and1where
)/cos(
)cos()cos(),(
10
10
01





nm
eax
eybxayxH
zj
zj
z




3. Waveguide
JIT 21
Parallel-plate waveguide
2. Parallel-plate
Phase front: out of phase
Phase front: in phase (guided mode)
JIT 22
Wavenumbers
22
mm kk 
mediumcnonmagnetiandLossless
c
n
c
k r
rooo

 
indexrefrectiveaiswheren
2. Parallel-plate
JIT 23
 mdkdk mm 2
d
m
km


Reflections
2. Parallel-plate
JIT 24
0 
TE and TM modes
2. Parallel-plate
TM modeTE mode
JIT 25
Cutoff frequency
22
22
1111
11
2
coscoscoscoscos





































 
nd
cm
k
kd
m
kkk
nd
m
nd
cm
kd
m
k
k
kk
mm
m
mmm







nd
cm
m cm

 :mode,forfrequencycutoff
2
1 








 cm
m
c
n
propagate.notdoesmodetheandimaginaryis,If
propagate.willmodetheandconstantphasevalued-real,If
mcm
mcm




2. Parallel-plate
JIT 26
m
ndc
cm
cm
22
:hwavelengtcutoff 



2
1
2







cm
m
n





Cutoff wavelength
2. Parallel-plate
JIT 27
TE mode representation
   
 
waves.planedownwardandupwardtheof
ionsuperpositthefromresultingpatternceinterferentheisfieldmodeTEThe
cutoff)abovemode(TE
)cos(sin)Re(),(
sinsin2)(
,and
'
0
'
000
r
0
r
0
ztxkEeEtzE
exkEexkjEeeeEE
zxkk
eEeEE
mm
tj
ysy
zj
m
zj
m
zjxjkxjk
ys
zxzmxmzmxm
jj
ys
mmmmm










aaraakaak du
kk du
2. Parallel-plate
JIT 28
   
)cutoffbelowmodeTE(
)cos(sin),(andsin
1
2
1,If
'
0
'
0
22
texkEtzEexkEE
n
c
n
j
z
my
z
mys
cm
cmcm
cm
mmcm
mm








 














TE mode representation
infinity.approachesas90gapproachin
increases,anglewavethe,decreased)isor(cutoffbeyondincreasedisAs
guide.down theprogressforwardnomakingarethey
forth;andbackreflectingjustarewavesplanetheand0),(cutoffAt
o
cm


  m
cm
cm
m




 cos
2. Parallel-plate
JIT 29
Phase and group velocity
mm
c
n
k 

 sinsinm 
m
pm
n
c
v


sin
velocityPhase
m

m
cm
m
gm
n
c
n
c
d
d
v 




sin1:velocityGroup
2







.relativityspecialaofprincipletheenot violat:
mediumin thelightofspeedtheexceedmayThis
2. Parallel-plate
JIT 30
Field analysis
cnkk /where22
 ss EE
):variation-,0(0
)ofcomponenta(onlymodesTE
2
2
2
2
2
2
2
2
2
zj
ysysysysys
m
ezE
y
EkE
z
E
y
E
x
y













E
zj
mys
m
exfEE 
 )(0
0)()(
)( 2
2
2
2
 xfk
dx
xfd
mm
m
 0)(
)(
, 2
2
2
22
2  xfk
dx
xfd
kk mm
m
mm








d
xm
xfdxxE
xkxkxf
my
mmm

sin)(.and0atzerobemust:BC
),sin()cos()(


2. Parallel-plate
JIT 31
Characteristics of TE mode
cavityresonantldimensionaOne
2
sinsincutoff,At
2
2
cutoff,At/2and0
.2isshiftphasetrip-roundNet
walls.conductingebetween thdownandupbouncessimplywaveThe
zero.isguidein theincidenceofanglewaveplanethecutoff,At
00 













cm
ysys
cm
cm
cmmm
xn
EE
d
xm
EE
n
m
d
n
d
m
nkk
m







zj
ys
m
e
d
xm
EE  






 sin0
2. Parallel-plate
JIT 32
Field representations
x
zj
mmz
zj
mmx
ys
z
ys mm
exkEjexkEk
z
E
x
E
y
j
zx
aaaaE
E
HE
H
s
s
ss
s












)sin()cos(
,ofcomponentaOnly
modeTEaforofcomponentsand
00
zj
m
m
zs
zj
m
m
xs
mm
exkE
k
jHexkEH 

 
 )cos(,)sin( 00
2. Parallel-plate
JIT 33
   
 1cossinand
)(cos)(sin||
||
22222
00222/1220
**



AAkk
EkE
xkxkk
E
HHHH
mm
mmmm
zszsxsxsxs
*





s
sss
H
HHH
Intrinsic impedance

2. Parallel-plate
JIT 34
Circular waveguide
  WC (Waveguide Circular) series
 Hz and Ez fields: TE and TM modes
3. Waveguide
JIT 35
JIT 36
 A microstrip is constructed with a flat conductor suspended over a ground
plane. The conductor and ground plane are separated by a dielectric.
 The surface microstrip transmission line also has free space (air) as the
dielectric above the conductor.
 This structure can be built in materials other than printed circuit boards,
but will always consist of a conductor separated from a ground plane by
some dielectric material.
Microstrip transmission line
4. Tx line
Circular waveguide
Circular waveguides offer implementation advantages
over rectangular waveguide in that installation is much simpler.
When forming runs for turns and offsets - particularly when large radii
are involved - and the wind loading is less on a round cross-section,
meaning towers do not need to be as robust.
JIT 37
For a circular waveguide of radius a,
we can perform the same sequence
of steps in cylindrical coordinates as
we did in rectangular coordinates to
find the transverse field components
in terms of the longitudinal (i.e. Ez,
Hz) components.
JIT 38
The scalar Helmholtz equation in cylindrical co-ordinate is given by
Using the method of separation of variables, the solution of above equation
is assumed
𝛹 = 𝑅 𝑟 . ∅ ∅ . 𝑍 𝑧 −−−− −(1)
Substituting (1) into (a) and solving this equation for
𝑅 𝑟 , ∅ ∅ 𝑎𝑛𝑑 𝑍 𝑧
So here also
𝑘 𝑐
2
+ 𝛾2
= 𝛾𝑔
2
This is also called as characteristic equation of Bessel’s equations.
For a lossless guide
𝛽𝑔 = ± 𝜔2 𝜇𝜖 − 𝑘 𝑐
2
JIT 39
(a)
The total solution of Helmholtz equation in cylindrical co-ordinate
JIT 40
TE Modes in Circular Waveguides
It is commonly assumed that the waves in a circular waveguide are
propagating in the positive z direction. Here in this mode 𝐸𝑧 = 0, so
𝐸 𝑥, 𝐸 𝑦, 𝐻 𝑥, 𝐻 𝑦 𝑎𝑛𝑑 𝐻𝑧.
After substituting boundary conditions the final solution is
𝛹 = 𝛹0. 𝐽 𝑛 𝑘 𝑐. 𝑟 cos 𝑛∅ . 𝑒−𝑗𝛽 𝑔 𝑧
For a lossless dielectric, Maxwell’s equations
𝛻 × 𝐸 = −𝑗𝜔𝜇𝐻𝑠
𝛻 × 𝐻 = 𝑗𝜔𝜇𝐸𝑠
JIT 41
In cylindrical co-ordinates, the components of E and
H fields can be expressed as
JIT 42
When the differentiation 𝜕/𝜕𝑧 is replaced by (−𝑗𝛽𝑔)and the z
component 𝐸𝑧 by zero, the TE mode equations in terms of 𝐻𝑧in
circular waveguide are expressed as 𝐸 𝑍 = 0
JIT 43
Where 𝑘 𝑐
2
= 𝜔2 𝜇𝜖 − 𝛽𝑔
The permissible value of kc can be written as
𝑘 𝑐 =
𝑋 𝑛𝑝
′
𝑎
Where 𝑋 𝑛𝑝
′
is a constant
And from above table 𝑋 𝑛𝑝
′
=1.841 for TM11 MODE
JIT 44
The final equations for the E and H fields can be
written as
JIT 45
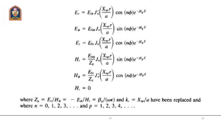
Where Zg = Er/ 𝐻∅, = - 𝐸∅/ Hr has been replaced for the wave
impedance in the guide and where n = 0,1,2,3,... And p = 1, 2, 3, 4,....
The first subscript n represents the number of full cycles of field
variation in one revolution through 2𝜋 rad of ∅.
The second subscript p indicates the number of zeroes of 𝐸∅.
The mode propagation constant is determined by
𝛽𝑔 = ± 𝜔2 𝜇𝜖 −
𝑋 𝑛𝑝
′
𝑎
JIT 46
The cutoff wave number of a mode is that for which the mode
propagation constant vanishes. Hence
𝑘 𝑐 =
𝑋 𝑛𝑝
′
𝑎
= 𝜔𝑐 𝜇𝜖
So
𝑓𝑐 =
𝑋 𝑛𝑝
′
2𝜋𝑎 𝜇𝜖
And the phase velocity for TE modes is
𝑣𝑔 =
𝜔
𝛽𝑔
=
𝑣 𝑝
1 −
𝑓𝑐
𝑓
2
𝑤ℎ𝑒𝑟𝑒 𝑣 𝑝 =
1
𝜇𝜖
=
𝑐
𝜇 𝑟 𝜖 𝑟
JIT 47
The wavelength and wave impedance for TE modes in a circular guide
are given, respectively, by
JIT 48
𝒁 𝒈 =
𝑬 𝒙
𝑯 𝒚
=
TM Modes in Circular Waveguides
The TMnp modes in a circular guide are characterized by Hz = 0.
However, the z component of the electric field E, must exist in order to
have energy transmission in the guide.
Consequently, the Helmholtz equation for Ez in a circular waveguide is
given by
Its solution is given in Eq.
Which is subject to the given boundary conditions.
JIT 49
(A)
JIT 50
Similarly
On differentiating equation (A) wrt z and substituting the result in
above equations yield the field equations of TMnp modes in a
circular waveguide:
JIT 51
JIT 52
Some of the TM-mode characteristic equations in the circular guide
are identical to those of the TE mode, but some are different. For
convenience, all are shown here:
JIT 53
It should be noted that the dominant mode, or the mode
of lowest cutoff frequency in a circular waveguide, is
the mode of TEnp that has the smallest value of the
product, kc .a = 1. 841, as shown in above Table.
JIT 54
JIT 55
Thank you

Microwave waveguides 1st 1

  • 1.
  • 2.
  • 3.
    Basic waveguides 1. Waveguide Rectangularwaveguide Circular waveguide Coaxial line Optical waveguide Parallel-plate waveguide JIT 3
  • 4.
     Transverse ElectroMagnetic (TEM) wave: Here both electric and magnetic fields are directed components. (i.e.) E z = 0 and Hz = 0  Transverse Electric (TE) wave: Here only the electric field is purely transverse to the direction of propagation and the magnetic field is not purely transverse. (i.e.) E z = 0, Hz ≠ 0  Transverse Magnetic (TM) wave: Here only magnetic field is transverse to the direction of propagation and the electric field is not purely transverse. (i.e.) E z ≠ 0, Hz = 0.  Hybrid (HE) wave: Here neither electric nor magnetic fields are purely transverse to the direction of propagation. (i.e.) E z ≠ 0, Hz ≠ 0. 4 Types of Modes JIT
  • 5.
    Transmission line  Voltageapplied between conductors(E: vertically between the conductors)  Interior fields: TEM (Transverse ElectroMagnetic) wave (wave vector indicates the direction of wave propagation as well as the direction of power flow) 1. Waveguide JIT 5
  • 6.
    Waveguide  A waveguideis a structure that guides waves, such as electromagnetic waves or sound waves They enable a signal to propagate with minimal loss of energy by restricting expansion to one dimension or two  Zigzag reflection, waveguide mode, cutoff frequency  k|||| du kk JIT 6
  • 7.
  • 8.
    The electric andmagnetic wave equations in frequency domain is given by 𝛻2 𝐸 = 𝛾2 𝐸 𝛻2 𝐻 = 𝛾2 𝐻 𝛾2 = 𝑗𝜔𝜇(𝜎 + 𝑗𝜔𝜀) For a loss less dielectric or perfect conductor 𝛾2 = −𝜔2 𝜇𝜀 The above equations are like Helmholtz equations 𝛻2 𝐸𝑧𝑠 = 𝛾2 𝐸𝑧𝑠 Let 𝐸𝑧𝑠=X(x).Y(y).Z(z) Be the solution of above equations JIT 8
  • 9.
    Cont’d So separation equation -𝑘𝑥 2 −𝑘 𝑦 2 −𝑘 𝑧 2 = 𝛾2 On Solving the above equations 𝐸𝑧𝑠 = 𝐴. sin 𝑘 𝑥. 𝑥 + 𝐵. cos(𝑘 𝑥. 𝑥) × 𝐶. sin 𝑘 𝑦. 𝑦 + 𝐷. cos(𝑘 𝑦. 𝑦) × 𝐸. sin 𝑘 𝑧. 𝑧 + 𝐹. cos(𝑘 𝑧. 𝑧) The propagation of wave in guide is conventionally assumed in +ve Z direction. JIT 9
  • 10.
    Here the propagationconstant 𝛾𝑔 in guide differs from intrinsic propagation constant 𝛾 Let 𝛾𝑔 2 = 𝛾 2 + 𝑘 𝑥 2 + 𝑘 𝑦 2 And 𝛾𝑔 2 = 𝛾 2 + 𝑘 𝑐 2 Where 𝑘 𝑐= 𝑘 𝑥 2 + 𝑘 𝑦 2 is cutoff wave number. For a lossless dielectric 𝛾2 = −𝜔2 𝜇𝜀 So 𝛾𝑔= ±𝑗 𝜔2 𝜇𝜀 − 𝑘 𝑐 2 So there are three cases…. JIT 10 Cont’d
  • 11.
    Case 1 If 𝜔2 𝜇𝜀= 𝑘 𝑐 2 𝛾𝑔= 0 no propagation This is critical condition for cutoff propagation 𝜔𝑐= 1 𝜇𝜖 𝑘 𝑥 2 + 𝑘 𝑦 2 𝑓𝑐= 1 2𝜋 𝜇𝜖 𝑘 𝑥 2 + 𝑘 𝑦 2 JIT 11
  • 12.
    JIT 12 Case 2 If𝜔2 𝜇𝜀 > 𝑘 𝑐 2 𝛾𝑔= ±𝑗𝛽𝑔 = ±𝑗𝜔 𝜇𝜖 1 − 𝑓𝑐 𝑓 2 This shows that operating frequency should be greater than critical frequency to propagate the wave in wave in wave guide
  • 13.
    JIT 13 Case 3 If𝜔2 𝜇𝜀 < 𝑘 𝑐 2 𝛾𝑔= ±𝛼 𝑔 = ±𝜔 𝜇𝜖 𝑓𝑐 𝑓 2 − 1 This shows that if operating frequency is below the cutoff frequency the wave will decay exponentially wrt a factor -𝛼 𝑔 𝑧 and there will no wave propagation There for the solution of Helmholtz equation in rectangular co-ordinates is given by 𝐸𝑧𝑠 = 𝐴. sin 𝑘 𝑥. 𝑥 + 𝐵. cos(𝑘 𝑥. 𝑥) × 𝐶. sin 𝑘 𝑦. 𝑦 + 𝐷. cos(𝑘 𝑦. 𝑦) × 𝑒−𝑗𝛽
  • 14.
    Rectangular waveguide  WR (Waveguide Rectangular) series - EIA (Electronic Industry Association) designation WR-62 - Size: 1.58 cmx0.79 cm - Recommended range: 12.4-18.0 GHz - Cutoff: 9.486 GHz 2/ cm/10054262inch/10062 ab .a    JIT 14
  • 15.
    Waveguide modes  TE(Transverse Electric) mode - E parallel to the transverse plane of the waveguide - In waveguide Wave propagates in +ve Z direction - TEmn in characterized by Ez=0 - In other words the z component of magnetic field must exist in order to have energy transmission in the guide.  TM (Transverse Magnetic) mode - H is within the transverse plane of the waveguide JIT 15
  • 16.
    TE modes inrectangular waveguides 𝛻2 × 𝐸𝑠 = −𝑗𝜔𝜇𝐻𝑠 𝛻2 × 𝐻𝑠 = −𝑗𝜔𝜇𝐸𝑠 Therefore the magnetic field in +ve Z direction ie. The solution of above partial differential equations H0z is the amplitude constant, so field equations in rectangular waveguides JIT 16 mode:)sin()sin(),( mode:)cos()cos(),( mn zj nmz mn zj nmz TMeybxayxE TEeybxayxH mn mn       222 and,,where nmmnnm bak b n b a m a    zj nmzz mn eybxaHH   )cos()cos(0
  • 17.
  • 18.
    TE and TMmodes   Hz and Ez fields: TE and TM modes  Non-TEM modes: Hz = Ez = 0  Concept of a dominant mode: TE10 mode mode:)sin()sin(),( mode:)cos()cos(),( mn zj nmz mn zj nmz TMeybxayxE TEeybxayxH mn mn       Boundary condition enforcements : PEC (Perfect Electric Conductor) 222 and,,where nmmnnm bak b n b a m a    3. Waveguide JIT 18
  • 19.
    Cutoff wave nokc = 𝑘 𝑥 2 + 𝑘 𝑦 2 Where 𝑘 𝑥=𝑎 𝑚 and 𝑘 𝑦=𝑏 𝑛 kc = 𝑚𝜋 𝑎 2 + 𝑛𝜋 𝑏 2 = 𝜔𝑐 𝜇𝜀 fc = 1 𝜇𝜀 𝑚𝜋 𝑎 2 + 𝑛𝜋 𝑏 2 Propagation constant as discussed earlier 𝛾𝑔= ±𝑗 𝜔2 𝜇𝜀 − 𝑘 𝑐 2 So from case-1 and case-2 propagation constant or phase constant 𝛽𝑔 = 𝜔 𝜇𝜖 1 − 𝑓𝑐 𝑓 2 JIT 19
  • 20.
    And attenuation constant 𝛼𝑔 = 𝜔 𝜇𝜖 𝑓𝑐 𝑓 2 − 1 We know that 𝑓𝑐 = 𝑐 𝜆 𝑐 𝑎𝑛𝑑 𝜆 𝑐 = 𝑐 𝑓𝑐 So cutoff frequency 𝜆 𝑐 = 𝑐 𝑐 2𝜋 𝑚 𝑎 2 + 𝑛 𝑏 2 𝜆 𝑐 = 2 𝑚 𝑎 2 + 𝑛 𝑏 2 JIT 20
  • 21.
    Dominant mode: TE10mode        a k   2 10 .0and1where )/cos( )cos()cos(),( 10 10 01      nm eax eybxayxH zj zj z     3. Waveguide JIT 21
  • 22.
    Parallel-plate waveguide 2. Parallel-plate Phasefront: out of phase Phase front: in phase (guided mode) JIT 22
  • 23.
    Wavenumbers 22 mm kk  mediumcnonmagnetiandLossless c n c kr rooo    indexrefrectiveaiswheren 2. Parallel-plate JIT 23
  • 24.
     mdkdk mm2 d m km   Reflections 2. Parallel-plate JIT 24
  • 25.
    0  TE andTM modes 2. Parallel-plate TM modeTE mode JIT 25
  • 26.
    Cutoff frequency 22 22 1111 11 2 coscoscoscoscos                                        nd cm k kd m kkk nd m nd cm kd m k k kk mm m mmm        nd cm mcm   :mode,forfrequencycutoff 2 1           cm m c n propagate.notdoesmodetheandimaginaryis,If propagate.willmodetheandconstantphasevalued-real,If mcm mcm     2. Parallel-plate JIT 26
  • 27.
  • 28.
    TE mode representation      waves.planedownwardandupwardtheof ionsuperpositthefromresultingpatternceinterferentheisfieldmodeTEThe cutoff)abovemode(TE )cos(sin)Re(),( sinsin2)( ,and ' 0 ' 000 r 0 r 0 ztxkEeEtzE exkEexkjEeeeEE zxkk eEeEE mm tj ysy zj m zj m zjxjkxjk ys zxzmxmzmxm jj ys mmmmm           aaraakaak du kk du 2. Parallel-plate JIT 28
  • 29.
       )cutoffbelowmodeTE( )cos(sin),(andsin 1 2 1,If ' 0 ' 0 22 texkEtzEexkEE n c n j z my z mys cm cmcm cm mmcm mm                         TE mode representation infinity.approachesas90gapproachin increases,anglewavethe,decreased)isor(cutoffbeyondincreasedisAs guide.down theprogressforwardnomakingarethey forth;andbackreflectingjustarewavesplanetheand0),(cutoffAt o cm     m cm cm m      cos 2. Parallel-plate JIT 29
  • 30.
    Phase and groupvelocity mm c n k    sinsinm  m pm n c v   sin velocityPhase m  m cm m gm n c n c d d v      sin1:velocityGroup 2        .relativityspecialaofprincipletheenot violat: mediumin thelightofspeedtheexceedmayThis 2. Parallel-plate JIT 30
  • 31.
    Field analysis cnkk /where22 ss EE ):variation-,0(0 )ofcomponenta(onlymodesTE 2 2 2 2 2 2 2 2 2 zj ysysysysys m ezE y EkE z E y E x y              E zj mys m exfEE   )(0 0)()( )( 2 2 2 2  xfk dx xfd mm m  0)( )( , 2 2 2 22 2  xfk dx xfd kk mm m mm         d xm xfdxxE xkxkxf my mmm  sin)(.and0atzerobemust:BC ),sin()cos()(   2. Parallel-plate JIT 31
  • 32.
    Characteristics of TEmode cavityresonantldimensionaOne 2 sinsincutoff,At 2 2 cutoff,At/2and0 .2isshiftphasetrip-roundNet walls.conductingebetween thdownandupbouncessimplywaveThe zero.isguidein theincidenceofanglewaveplanethecutoff,At 00               cm ysys cm cm cmmm xn EE d xm EE n m d n d m nkk m        zj ys m e d xm EE          sin0 2. Parallel-plate JIT 32
  • 33.
  • 34.
        1cossinand )(cos)(sin|| || 22222 00222/1220 **    AAkk EkE xkxkk E HHHH mm mmmm zszsxsxsxs *      s sss H HHH Intrinsic impedance  2. Parallel-plate JIT 34
  • 35.
    Circular waveguide  WC (Waveguide Circular) series  Hz and Ez fields: TE and TM modes 3. Waveguide JIT 35
  • 36.
    JIT 36  Amicrostrip is constructed with a flat conductor suspended over a ground plane. The conductor and ground plane are separated by a dielectric.  The surface microstrip transmission line also has free space (air) as the dielectric above the conductor.  This structure can be built in materials other than printed circuit boards, but will always consist of a conductor separated from a ground plane by some dielectric material. Microstrip transmission line 4. Tx line
  • 37.
    Circular waveguide Circular waveguidesoffer implementation advantages over rectangular waveguide in that installation is much simpler. When forming runs for turns and offsets - particularly when large radii are involved - and the wind loading is less on a round cross-section, meaning towers do not need to be as robust. JIT 37
  • 38.
    For a circularwaveguide of radius a, we can perform the same sequence of steps in cylindrical coordinates as we did in rectangular coordinates to find the transverse field components in terms of the longitudinal (i.e. Ez, Hz) components. JIT 38
  • 39.
    The scalar Helmholtzequation in cylindrical co-ordinate is given by Using the method of separation of variables, the solution of above equation is assumed 𝛹 = 𝑅 𝑟 . ∅ ∅ . 𝑍 𝑧 −−−− −(1) Substituting (1) into (a) and solving this equation for 𝑅 𝑟 , ∅ ∅ 𝑎𝑛𝑑 𝑍 𝑧 So here also 𝑘 𝑐 2 + 𝛾2 = 𝛾𝑔 2 This is also called as characteristic equation of Bessel’s equations. For a lossless guide 𝛽𝑔 = ± 𝜔2 𝜇𝜖 − 𝑘 𝑐 2 JIT 39 (a)
  • 40.
    The total solutionof Helmholtz equation in cylindrical co-ordinate JIT 40
  • 41.
    TE Modes inCircular Waveguides It is commonly assumed that the waves in a circular waveguide are propagating in the positive z direction. Here in this mode 𝐸𝑧 = 0, so 𝐸 𝑥, 𝐸 𝑦, 𝐻 𝑥, 𝐻 𝑦 𝑎𝑛𝑑 𝐻𝑧. After substituting boundary conditions the final solution is 𝛹 = 𝛹0. 𝐽 𝑛 𝑘 𝑐. 𝑟 cos 𝑛∅ . 𝑒−𝑗𝛽 𝑔 𝑧 For a lossless dielectric, Maxwell’s equations 𝛻 × 𝐸 = −𝑗𝜔𝜇𝐻𝑠 𝛻 × 𝐻 = 𝑗𝜔𝜇𝐸𝑠 JIT 41
  • 42.
    In cylindrical co-ordinates,the components of E and H fields can be expressed as JIT 42
  • 43.
    When the differentiation𝜕/𝜕𝑧 is replaced by (−𝑗𝛽𝑔)and the z component 𝐸𝑧 by zero, the TE mode equations in terms of 𝐻𝑧in circular waveguide are expressed as 𝐸 𝑍 = 0 JIT 43 Where 𝑘 𝑐 2 = 𝜔2 𝜇𝜖 − 𝛽𝑔
  • 44.
    The permissible valueof kc can be written as 𝑘 𝑐 = 𝑋 𝑛𝑝 ′ 𝑎 Where 𝑋 𝑛𝑝 ′ is a constant And from above table 𝑋 𝑛𝑝 ′ =1.841 for TM11 MODE JIT 44
  • 45.
    The final equationsfor the E and H fields can be written as JIT 45
  • 46.
    Where Zg =Er/ 𝐻∅, = - 𝐸∅/ Hr has been replaced for the wave impedance in the guide and where n = 0,1,2,3,... And p = 1, 2, 3, 4,.... The first subscript n represents the number of full cycles of field variation in one revolution through 2𝜋 rad of ∅. The second subscript p indicates the number of zeroes of 𝐸∅. The mode propagation constant is determined by 𝛽𝑔 = ± 𝜔2 𝜇𝜖 − 𝑋 𝑛𝑝 ′ 𝑎 JIT 46
  • 47.
    The cutoff wavenumber of a mode is that for which the mode propagation constant vanishes. Hence 𝑘 𝑐 = 𝑋 𝑛𝑝 ′ 𝑎 = 𝜔𝑐 𝜇𝜖 So 𝑓𝑐 = 𝑋 𝑛𝑝 ′ 2𝜋𝑎 𝜇𝜖 And the phase velocity for TE modes is 𝑣𝑔 = 𝜔 𝛽𝑔 = 𝑣 𝑝 1 − 𝑓𝑐 𝑓 2 𝑤ℎ𝑒𝑟𝑒 𝑣 𝑝 = 1 𝜇𝜖 = 𝑐 𝜇 𝑟 𝜖 𝑟 JIT 47
  • 48.
    The wavelength andwave impedance for TE modes in a circular guide are given, respectively, by JIT 48 𝒁 𝒈 = 𝑬 𝒙 𝑯 𝒚 =
  • 49.
    TM Modes inCircular Waveguides The TMnp modes in a circular guide are characterized by Hz = 0. However, the z component of the electric field E, must exist in order to have energy transmission in the guide. Consequently, the Helmholtz equation for Ez in a circular waveguide is given by Its solution is given in Eq. Which is subject to the given boundary conditions. JIT 49 (A)
  • 50.
  • 51.
    Similarly On differentiating equation(A) wrt z and substituting the result in above equations yield the field equations of TMnp modes in a circular waveguide: JIT 51
  • 52.
  • 53.
    Some of theTM-mode characteristic equations in the circular guide are identical to those of the TE mode, but some are different. For convenience, all are shown here: JIT 53
  • 54.
    It should benoted that the dominant mode, or the mode of lowest cutoff frequency in a circular waveguide, is the mode of TEnp that has the smallest value of the product, kc .a = 1. 841, as shown in above Table. JIT 54
  • 55.