Embed presentation
Download as PDF, PPTX














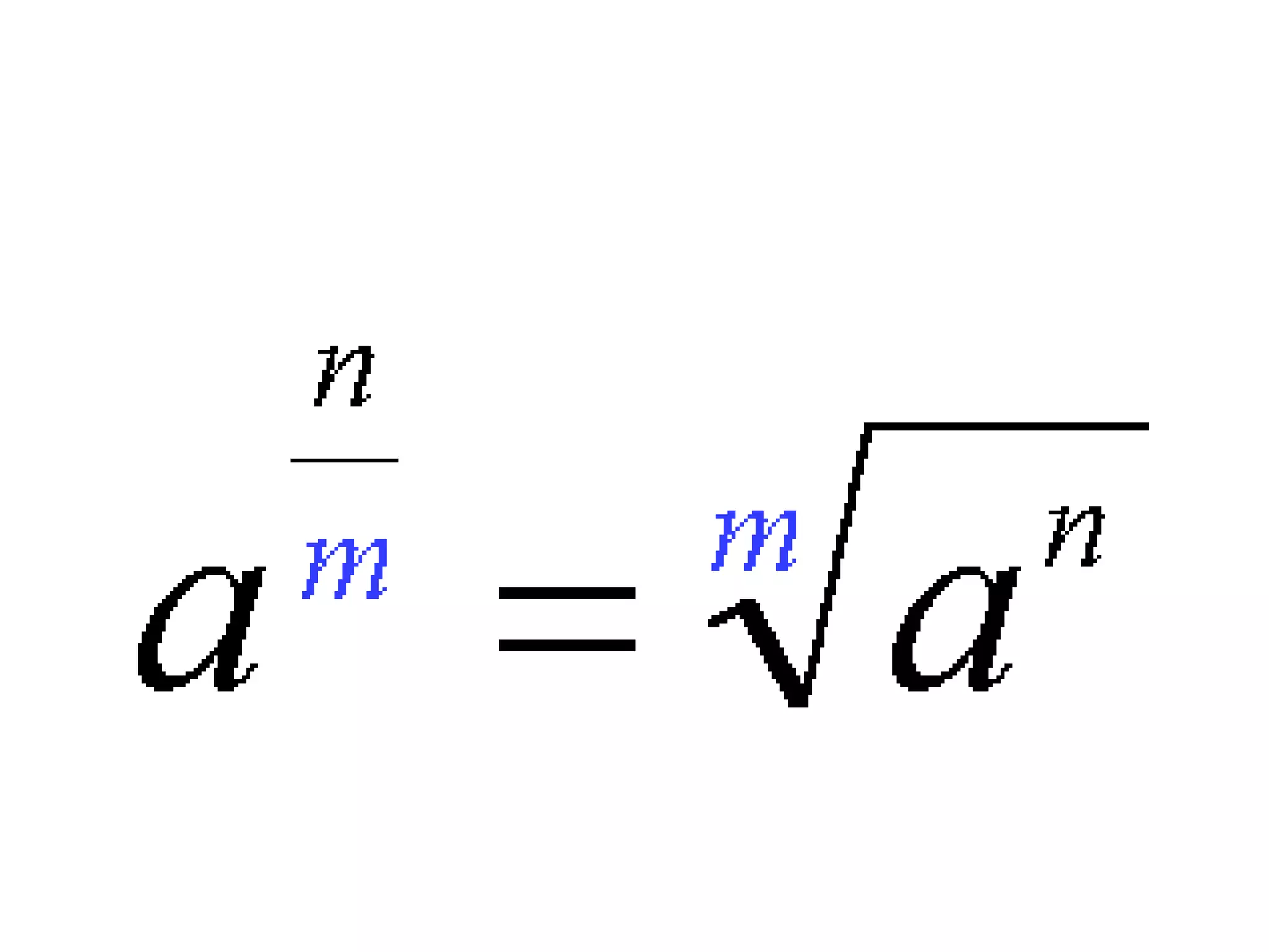
The document discusses radicals and their properties. It defines radicals as irrational numbers expressed in roots, and another way to express numbers with fractional exponents. Radicals are expressed as an, where n is the index and a is the radicand. The document asks questions about what affects the quadratic term and constant term of a quadratic function. It also relates the multiplier of the quadratic term to the width of the parabola.












