EC533: Digital Signal Processing
  5          l      l

          Lecture 9
      IIR Filter Design
9.1 – IIR Filter
Difference Equation
                       N                             N
        y (n) = ∑ ai x(n − i ) + ∑ b j y (n − j )
                      i =0                          j =1
                                     N

                                    ∑a z
Transfer Function                                   −i
                                                i
                  H ( z) =          i =0
                                        N
                                1+ ∑ bj z                −j

                                         j =1
  where; N is the filter’s order.
         ai,bj are the filter’s coefficients.
                       filter s
9.1 – IIR Filter – contd.
•   IIR filter have infinite-duration impulse responses, hence they can be
    matched to analog filters, all of which generally have infinitely long
    impulse responses.

•   The basic techniques of IIR filter design transform well-known analog
    filters into digital filters using complex-valued mappings.

•   The advantage of these techniques lie in the fact that both analog filter
    design (AFD) tables and the mappings are available extensively in the
    literature.

•   The basic techniques are called the A/D filter transformation.

•   However, th AFD tables are available only for l
    H        the       t bl         il bl      l f lowpass filt
                                                              filters. We also
                                                                       W l
    want design other frequency-selective filters (highpass, bandpass, bandstop,
    etc.)

•   To do this, we need to apply frequency-band transformations to lowpass
    filters. These transformations are also complex-valued mappings, and they
    are also available in the literature.
9.2 – Design Methods
  The following A/D filter transformation methods are used in
  calculating the coefficients of IIR filter:
            g        ff         f     f

   1. Impulse Invariant Method.
   2. Bilinear Z-transform Method.

  to achieve a digital filter that has a certain specification equivalent to an
                 g     f                          p f           q
  analogue filter

Note
   We have no control over the phase characteristics of the IIR
  filter. Hence IIR filter designs will be treated as magnitude-only
  designs.
9.3 – Impulse Invariant Method
•   Here we require that the impulse response of the discrete system (digital filter)
    be the discrete version of the impulse response of the analogue system (filter),
    (Hence the name: impulse invariant).
    (H       h              l            )

          H(s)    Ł-1          h(t)     t = nT      h(nT)     Z            X T            H(z)


                                                              To remove the sampling effect: 
                                                                      (1/T) δ(t‐nT)
    Steps:
     1. Get H(s), continuous time transfer function of an analogue filter that satisfies the prescribed
         magnitude response.
     2. Apply the inverse Laplace transform to get the impulse response h(t).
                                                                                h(n).
     3. Obtain a discrete version of h(t) by replacing t by nT h(nT).                    h(t)
     4. Apply the Z-transform to h(nT) to get H(z) and multiply by T.
                                                                                            h(nT)


                                                                                                              n
                                                                                                  n       ∞
Example - 1
    Using the invariant impulse response method, design a digital
    filter that has the shown pole-zero distribution.       jω
                                                         x    ω0
    Solution
                               s+a
       H (s) =                                                       σ
               [ s + ( a + jω 0 )][ s + ( a − jω 0 )]   ‐a
                        s+a
       H (s) =                                           x    - ω0
               [( s + a ) + ω 0 )]
                          2      2

          −1
(1) L {H ( s)} = e            − at
                                     cos(ω0t ) = h(t )
(2) h(nT) = e         − anT
                              cos(ω0 nT )
                              1 − e − aT cos( ω 0T ) z −1
                                             (
(3) T × Z{ h(nT)} =                                                  ×T
                      1 − 2e cos( ω 0T ) z + e
                              − aT               −1       − 2 aT − 2
                                                                z
                     T − (e − aT T cos( ω 0T )) z −1
      H ( z) =
               1 − ( 2e − aT cos( ω 0T )) z −1 + e − 2 aT z − 2
Example - 1 – cont.
               T − (e − aT T cos( ω 0T )) z −1
H ( z) =
         1 − ( 2e − aT cos( ω 0T )) z −1 + e − 2 aT z − 2
                                   a0
      x(n)                                      y(n)
                                  X
                       - b1   T    a1
                      X           X
                       - b2   T
                      X
 where,      a0 = T
             a 1 = − e − aT T cos( ω 0 T )
             b1 = − 2 e − aT cos( ω 0 T )
             b 2 = e − 2 aT
9.4 – Bilinear Z-Transform (BZT) Method
        s         t              z                    s                  z
                                                              s1
       Impulse Invariant Method
                                                  Bilinear Z‐Transform Method
                                                  Bilinear Z Transform Method
•   It is the most important method of obtaining IIR filter coefficients.
•   In the BZT method, the basis operation is to convert an analogue filter H(s) into
    an equivalent digital filter H( ) by using the bilinear approximation.
            i l di i l fil H(z) b          i    h bili            i i
                               Ha(s)              HD(z)

                                         1 + sT
                          sT
                      e          2                    + ...
Qz =e        sT
                  =                  =            2                  1st order bilinear 
                          − sT
                                         1 − sT       + ...
                                                                      approximation
                      e          2
                                                  2
                                         1 + sT
                           ∴ z ≅                  2
                                         1 − sT
                                                  2
9.4 – BZT Method – cont.
      1 + sT
z ≅            2                            z−z
                                                   sT
                                                        = 1+
                                                              sT
      1 − sT                                        2          2
               2                                            T
                                            z - 1 = ( z + 1) s
                                                             2


                         2 z −1
                    ∴s ≅
                         T z +1                       1




               H D ( z ) = H a ( s ) s = 2 z −1
                                         T z +1
9.4 – BZT Method – cont.
                                jΩ T   − j ΩT
        2 z −1 2 e              −1 e        2
Qs =              =       jΩ T
                                   × − j ΩT
       T z +1 T e               +1 e
                                                 (     )
                                            2

        2 e
             jΩT
                  2
                    −e
                         − jΩT
                                2
                                    2 2 j sin Ω T
     =                            =                  2
        T e j Ω T 2 + e − j Ω T 2 T 2 cos Ω T   (    2
                                                      )
          2
jω a = j t Ω T
          T
            tan         (2
                                )
        2
 ω a = tan Ω T 2
       T
                    (       )         Pre-Warping effect
                                               p g ff

       2      −1 ⎛ ω a T     ⎞
 Ω = tan ⎜                            Warping effect
                                            p g ff
       T         ⎝        2 ⎠
Digital frequency
9.5 – Frequency Warping Effect (BZT)
                                                         Analogue frequency
•   The effect of the bilinear Z-transform is called               ωa
     frequency warping: every feature appears in the
    frequency response of the continuous-time filter
    f                      f th     ti       ti filt
    appears as it is in the frequency response of the
    discrete-time filter but at different frequency.
                                jω
when     − ∞ ≤ ωa ≤ ∞
                                                                 tan(θ)
             π         π        S domain
                                                                                                 Ω
         −       ≤Ω≤                 σ                                              Digital frequency
          T     T
                                jΩ                       ‐ π/2
         Ωs     Ωs                              Ωs/2
                                                                                θ
       −    ≤Ω≤                 S1 domain
                                                                          π/2

         2       2
                                                - Ωs/2
•   To compensate for this, every frequency specification the designer has a control
    over (ωc,ωs,…) has to be ‘prewarped’ by setting it with;
                              2
                           ω = tan Ω T 2
                              T
                                            (            )                2
9.6 - IIR Filter Design Procedure Using BZT
         1   Given specification in digital domain
         2   Convert it into analog filter specification(prewarping)
         3   Design analog filter (Butterworth, Chebyshov, elliptic):H(s)
                                  (Butterworth Chebyshov
         4   Apply bilinear transform to get H(z) out of H(s)
                                    ω             ω

                                    ωs
                      3
                                                                         2
                                                                                  2
                                                                                       (
                                                                             ω a = tan Ω T 2
                                                                                  T
                                                                                               )
                                        ωp
| H( jω) |                                                                     Ω
             1    1             1
                                                 1
                                                   | H(ejΩ) |
                 1+ ε 2         A            1
                                         1+ε2
     4                                                1
                                             1
   H ( z ) = H (s)          2 1− z −1        A
                          s= ⋅                                                π    Ω
                            T 1 + z −1                          Ω p Ωs
9.7 – IIR Filter Design Steps Using BZT
1. Prewarp any critical frequency in the digital filter specifications(ωc,ωp,ωs,…)

                                  (      )
     using;                                                       1
                  ω = t ΩT 2
                      tan                                  ;T =
                                                                      Fs
2. Use the digital filter specifications to find a suitable normalized prototype
               g   f       p f                   f                      p     yp
     analogue LPF, H(s), e.g., for butterworth;
                                   1
   •    1st order:     H (s) =
                                 s +1
                                     1
   •    2nd order:   H (s) = 2                           For butterworth prototype filter
                             s + 2s + 1
                                        1
   •    3rd order: H ( s ) =
                             ( s + 1)( s 2 + s + 1)
    Where          ⎛ 10 0 .1 As − 1 ⎞
            log 10 ⎜ 0 .1 A p
                   ⎜ 10             ⎟     Ap the passband ripple in dB
                                                 p          pp
                   ⎝            −1⎠        p   
        N ≥                               As the stopband attenuation in dB
                         ⎛ ωs ⎞
              2 . log 10 ⎜       ⎟
                         ⎜ω ⎟
                         ⎝ p⎠
9.7 – Design Steps – cont.
2.       Denormalization according to filter type; (LPF, HPF, BPF, BSF).
     •      LPF      s         s ωc
     •      HPF      s         ωc s
                               ( s 2 + ω 0 ) s ω ; where, ω0 = ω1ω2 ω0 = ω1ω2
                                          2                 2
     •      BPF      s

     •      BSF      s         sω ( s 2 + ω )
                                                2         ω = ω2 − ω1
                                            0

3.
3    Map f
     M from s-domain to z-domain;
              d   i       d   i
                                                −1
                                     1− z
                                  s=      −1
                                     1+ z
4.
4    Realize the IIR filter.
                     filter
Example – 2
Design a 1st order Butterworth HPF with Ωc = 1 rad/sec, Fs = 1Hz.
Solution                1
             H ( s) =               s       ωc s
                      s +1
                            1           s
             H ( s) =              =
                        ωc s +1 s + ωc
         ω c = tan ⎜  ⎛ Ω c T ⎞ = tan ⎛ 1 ⎞
                               2 ⎠         ⎜
                      ⎝                    ⎝2⎠
                −1
          (1 − z )
                                                −1
                            −1
                     (1 + z )              1− z
 H ( z) =                       =
                   −1
            (1 − z )               1 − z + ωc + ωc z
                                        −1           −1

                   −1
                        + ωc
            (1 + z )
Example - 2 – cont.
            1       1 − z −1
H ( z) =                                           1
         1 + ωc 1 + ωc − 1 z −1              k=
                                                1 + ωc
                    ωc + 1
                  k                     a0
           x(n)                                y(n)
                  X                     X
                             - b1   T   a1
                             X          X
  where,      a0 = 1
              a1 = − 1
                  ωc −1
             b1 =
                  ωc + 1
Example - 3
    Design a 3rd order Butterworth LPF to have a cutoff frequency at 4 kHz
   using the BZT method & assuming a sampling frequency of 10 kHz.
   Solution                                   1
                    f c = 4 kHz    &     T=      = 10 − 4 sec
                                              Fs
                  Ω cT = 2π × 4 × 103 × 10 −4 = 2.513 rad
                                Ω cT
prewarping :        ωc = tan(              ) = 3.0762 rad
                                       2                    sec
                                              1
                           H (s) =
                                   ( s + 1)( s 2 + s + 1)
                                              1
H ( z) =
           ⎛ 1 ⎛ 1 − z ⎞ ⎞⎜
                      −1      ⎛ ⎛ 1 ⎞ 2 ⎛ 1 − z −1 ⎞ 2 1 ⎛ 1 − z −1 ⎞ ⎞
           ⎜ ⎜ ⎜ 1 + z −1 + 1 ⎜ ⎜ ω ⎜ 1 + z −1 + ω ⎜ 1 + z −1 + 1⎟
                                ⎜       ⎜                 ⎜
           ⎜ω
           ⎝ c⎝          ⎠ ⎠⎝ ⎝ c ⎠ ⎝              ⎠    c ⎝         ⎠ ⎠
Example - 3 – cont.
                                      −1       −1 2
                              (1+ z ) (1+ z )
H(z) =
                             (
       (1.3249+ 0.6751z−1) 0.105 (1− z−1)2 + 0.3249(1− z−2 ) + (1+ z−1)2     )
                           (1 + z − 1 ) (1 + 2 z − 1 + z − 2 )
=
    1 . 3249                      (
               (1 + 0 .5095 z −1 ) 1.4305 + 1.789 z −1 + 0 .7806 z − 2   )
           (1 + z − 1 )                 (1 + 2 z − 1 + z − 2 )
=                           ×
                                           (
  1 . 3249 (1 + 0 .5095 z ) 1 . 4305 1 + 1 . 2506 z −1 + 0 . 5457 z − 2
                         −1
                                                                             )
                   (1 + z − 1 )          (1 + 2 z − 1 + z − 2 )
 = 0 . 52763 ×                     ×
                                      (
               (1 + 0 .5095 z ) 1 + 1 . 2506 z −1 + 0 . 5457 z − 2
                                −1
                                                                         )
Example - 3 – cont.
Filter Realization (Cascaded Realization)




          0.52763
          0 52763

   x(n)     X                                                  y(n)
                        - 0.5095            - 1.2506       2
                                   T                   T
                            X                   X          X
                                            - 0.5457
                                                       T
                                               X
Example - 4
    Using BZT method, design a digital filter meeting the specifications
given by the following tolerance structure,           |H(f)|
    assume a Butterworth characteristic for this 1
filter.                                         0.707



  Solution
                                                          0.1
                                                                               f
(1) From the specifications, the prewarped frequencies are:     0.5   2   4   kHz

            ⎛ 2π × 500 ⎞
   ω p = tan⎜            = 0.198912
            ⎝ 2 × 8000 ⎠
           ⎛ 2π × 2000 ⎞
   ωs = tan⎜             =1
           ⎝ 2 × 8000 ⎠
Example - 4 – contd.
(2) D t
    Determine th order of th prototype analogue B tt
            i the d     f the   t t       l     Butterworth LPF using th f ll i
                                                         th       i the following
    relation,
                      ⎛     1          ⎞
                      ⎜          −1 ⎟
                      ⎜ δs
                              2
                  log                        ⎛ As 10      ⎞
                      ⎜     1          ⎟ log ⎜ 10     −1 ⎟
                                     −1⎟     ⎜ Ap
                      ⎜
                        (1 − δ p ) 2         ⎜ 10 10 − 1 ⎟⎟
               N≥     ⎝                ⎠=    ⎝            ⎠
                              ⎛ ωs ⎞               ⎛ ωs ⎞
                     2 × log ⎜       ⎟     2 × log ⎜    ⎟
                              ⎜ω ⎟                 ⎜ω ⎟
                              ⎝    p ⎠             ⎝ p⎠
 1            1                  1                             ⎛ 99 ⎞
      −1 =        − 1 = 99 ,              − 1 = 2 − 1 = 1 ⇒ log⎜ ⎟ = 1.995635
δs2          0.01            (1 − δ p ) 2                      ⎝ 1 ⎠
       ⎛ ωs ⎞
2 × log⎜    ⎟ = 2 × log⎛
                       ⎜
                             1    ⎞
                                  ⎟ = 1.402678
       ⎜ω ⎟            ⎝ 0.198912 ⎠
       ⎝ p⎠
     1.995635
N≥              = 1.423. Let N = 2
     1.402678
Example - 4 – contd.
(3) A 2nd order B tt
            d Butterworth analogue LPF has the s-plane transfer function, H(s), given by,
                       th    l         h th       l    t    f f ti        H( ) i      b
                                      1
                           H (s) = 2
                                  s + 2s + 1
(4) For a denormalized LPF transfer function, substitute        s         s ωp
                                 1                               ωp   2

     H (s) =                                       =
                                                        s 2 + 2 sω p + ω p
                          2                                                     2
                  ⎛ s    ⎞
                  ⎜      ⎟ + 2 s +1
                  ⎜ω     ⎟    ωp
                  ⎝ p    ⎠
(5) Applying the BZT,
                                                                ωp2
     H ( z ) = H ( s ) s =⎜ 1− z −1 ⎟ =
                          ⎛         ⎞
                                                        2
                           ⎜ 1+ z −1 ⎟
                           ⎝         ⎠    ⎛ 1− z ⎞ −1
                                                               ⎛ 1 − z −1 ⎞
                                          ⎜ 1 + z −1 ⎟ + 2 ω p ⎜ 1 + z −1 ⎟ + ω p
                                                                                  2
                                          ⎜                    ⎜
                                          ⎝          ⎠         ⎝          ⎠
                                              ω p (1 + z −1 )
                                                    2      2

              =
                  (1− z ) +
                          −1 2
                                               (
                                         2 ωp 1− z       −1
                                                              )(1+ z )+ ω (1+ z )
                                                                    −1
                                                                            p
                                                                                2   −1 2
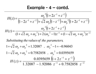
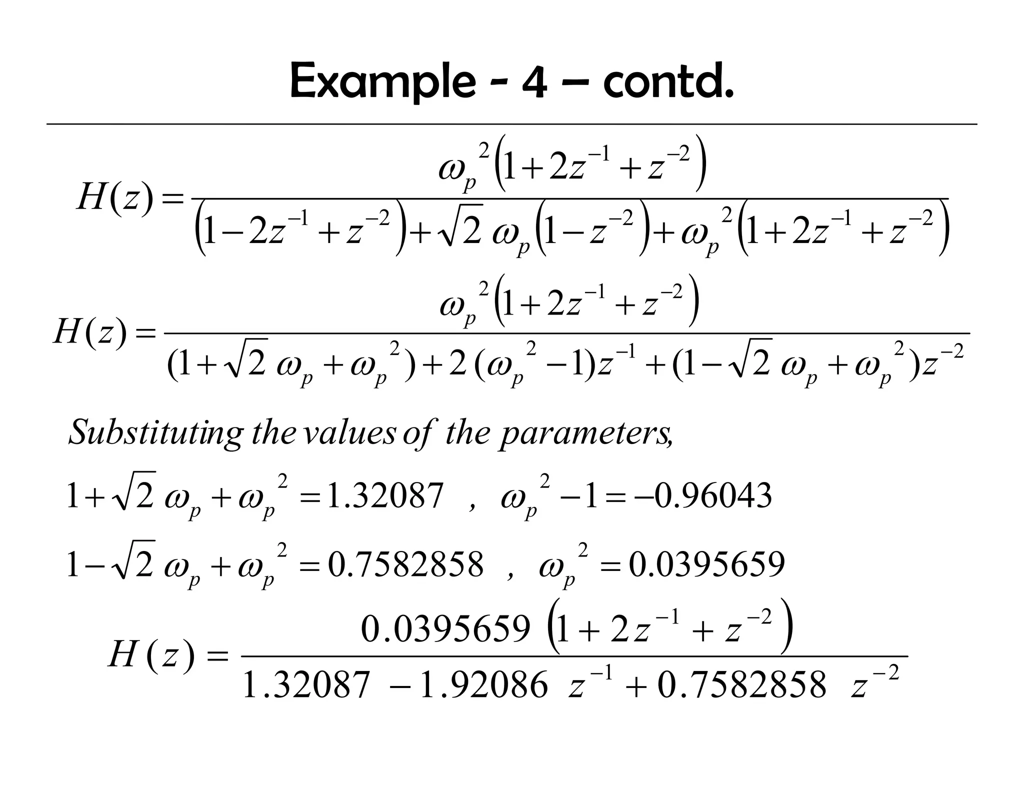
Example - 4 – contd.
                                           ω p (1 + 2z −1 + z −2 )
                                               2

 H ( z) =
             (1− 2z    −1
                            +z   −2
                                      )+     2 ω (1 − z ) + ω (1 + 2z
                                                   p
                                                               −2
                                                                         p
                                                                             2            −1
                                                                                               +z   −2
                                                                                                         )
                                           ω p 2 (1 + 2 z −1 + z −2 )
H ( z) =
           (1 + 2 ω p + ω p ) + 2 (ω p − 1) z + (1 − 2 ω p + ω p ) z −2
                                  2                2           −1                               2



 Substituting the values of the parameters,
            g             f     p
1 + 2 ω p + ω p = 1.32087 , ω p − 1 = −0.96043
                   2                                   2



1 − 2 ω p + ω p = 0.7582858 , ω p = 0.0395659
                   2                                       2




    H (z) =
                   0 .0395659 1 + 2 z + z              (            −1           −2
                                                                                      )
            1 .32087 − 1 .92086 z −1 + 0 .7582858 z − 2
Example - 4 – contd.
Dividing top & buttom by (1 + 2 ω p + ω p ) = 1 .32087
                                                              2




             H (z) =
                                         (
                        0 .02995 1 + 2 z − 1 + z − 2              )
                                  −1                 −2
                     1 − 1 .4542 z + 0 .57408 z
                             k                           a0
(6) Realization
    Realization,      x(n)                                            y(n)
                             X                          X
                                             - b1   T    a1
                                          X             X
                                             - b2   T    a2
                                          X             X

where,             k = 0 . 02995
                   a 0 = 1 , a1 = 2 , a 2 = 1
                   b1 = − 1 . 4542   , b 2 = 0 . 57408

Dsp U Lec09 Iir Filter Design

  • 1.
    EC533: Digital Signal Processing 5 l l Lecture 9 IIR Filter Design
  • 2.
    9.1 – IIRFilter Difference Equation N N y (n) = ∑ ai x(n − i ) + ∑ b j y (n − j ) i =0 j =1 N ∑a z Transfer Function −i i H ( z) = i =0 N 1+ ∑ bj z −j j =1 where; N is the filter’s order. ai,bj are the filter’s coefficients. filter s
  • 3.
    9.1 – IIRFilter – contd. • IIR filter have infinite-duration impulse responses, hence they can be matched to analog filters, all of which generally have infinitely long impulse responses. • The basic techniques of IIR filter design transform well-known analog filters into digital filters using complex-valued mappings. • The advantage of these techniques lie in the fact that both analog filter design (AFD) tables and the mappings are available extensively in the literature. • The basic techniques are called the A/D filter transformation. • However, th AFD tables are available only for l H the t bl il bl l f lowpass filt filters. We also W l want design other frequency-selective filters (highpass, bandpass, bandstop, etc.) • To do this, we need to apply frequency-band transformations to lowpass filters. These transformations are also complex-valued mappings, and they are also available in the literature.
  • 4.
    9.2 – DesignMethods The following A/D filter transformation methods are used in calculating the coefficients of IIR filter: g ff f f 1. Impulse Invariant Method. 2. Bilinear Z-transform Method. to achieve a digital filter that has a certain specification equivalent to an g f p f q analogue filter Note We have no control over the phase characteristics of the IIR filter. Hence IIR filter designs will be treated as magnitude-only designs.
  • 5.
    9.3 – ImpulseInvariant Method • Here we require that the impulse response of the discrete system (digital filter) be the discrete version of the impulse response of the analogue system (filter), (Hence the name: impulse invariant). (H h l ) H(s) Ł-1 h(t) t = nT h(nT) Z X T H(z) To remove the sampling effect:  (1/T) δ(t‐nT) Steps: 1. Get H(s), continuous time transfer function of an analogue filter that satisfies the prescribed magnitude response. 2. Apply the inverse Laplace transform to get the impulse response h(t). h(n). 3. Obtain a discrete version of h(t) by replacing t by nT h(nT). h(t) 4. Apply the Z-transform to h(nT) to get H(z) and multiply by T. h(nT) n n ∞
  • 6.
    Example - 1 Using the invariant impulse response method, design a digital filter that has the shown pole-zero distribution. jω x  ω0 Solution s+a H (s) = σ [ s + ( a + jω 0 )][ s + ( a − jω 0 )] ‐a s+a H (s) = x  - ω0 [( s + a ) + ω 0 )] 2 2 −1 (1) L {H ( s)} = e − at cos(ω0t ) = h(t ) (2) h(nT) = e − anT cos(ω0 nT ) 1 − e − aT cos( ω 0T ) z −1 ( (3) T × Z{ h(nT)} = ×T 1 − 2e cos( ω 0T ) z + e − aT −1 − 2 aT − 2 z T − (e − aT T cos( ω 0T )) z −1 H ( z) = 1 − ( 2e − aT cos( ω 0T )) z −1 + e − 2 aT z − 2
  • 7.
    Example - 1– cont. T − (e − aT T cos( ω 0T )) z −1 H ( z) = 1 − ( 2e − aT cos( ω 0T )) z −1 + e − 2 aT z − 2 a0 x(n) y(n) X - b1 T a1 X X - b2 T X where, a0 = T a 1 = − e − aT T cos( ω 0 T ) b1 = − 2 e − aT cos( ω 0 T ) b 2 = e − 2 aT
  • 8.
    9.4 – BilinearZ-Transform (BZT) Method s t z s z s1 Impulse Invariant Method Bilinear Z‐Transform Method Bilinear Z Transform Method • It is the most important method of obtaining IIR filter coefficients. • In the BZT method, the basis operation is to convert an analogue filter H(s) into an equivalent digital filter H( ) by using the bilinear approximation. i l di i l fil H(z) b i h bili i i Ha(s) HD(z) 1 + sT sT e 2 + ... Qz =e sT = = 2 1st order bilinear  − sT 1 − sT + ... approximation e 2 2 1 + sT ∴ z ≅ 2 1 − sT 2
  • 9.
    9.4 – BZTMethod – cont. 1 + sT z ≅ 2 z−z sT = 1+ sT 1 − sT 2 2 2 T z - 1 = ( z + 1) s 2 2 z −1 ∴s ≅ T z +1 1 H D ( z ) = H a ( s ) s = 2 z −1 T z +1
  • 10.
    9.4 – BZTMethod – cont. jΩ T − j ΩT 2 z −1 2 e −1 e 2 Qs = = jΩ T × − j ΩT T z +1 T e +1 e ( ) 2 2 e jΩT 2 −e − jΩT 2 2 2 j sin Ω T = = 2 T e j Ω T 2 + e − j Ω T 2 T 2 cos Ω T ( 2 ) 2 jω a = j t Ω T T tan (2 ) 2 ω a = tan Ω T 2 T ( ) Pre-Warping effect p g ff 2 −1 ⎛ ω a T ⎞ Ω = tan ⎜ Warping effect p g ff T ⎝ 2 ⎠ Digital frequency
  • 11.
    9.5 – FrequencyWarping Effect (BZT) Analogue frequency • The effect of the bilinear Z-transform is called ωa frequency warping: every feature appears in the frequency response of the continuous-time filter f f th ti ti filt appears as it is in the frequency response of the discrete-time filter but at different frequency. jω when − ∞ ≤ ωa ≤ ∞ tan(θ) π π S domain Ω − ≤Ω≤ σ Digital frequency T T jΩ ‐ π/2 Ωs Ωs Ωs/2 θ − ≤Ω≤ S1 domain π/2 2 2 - Ωs/2 • To compensate for this, every frequency specification the designer has a control over (ωc,ωs,…) has to be ‘prewarped’ by setting it with; 2 ω = tan Ω T 2 T ( ) 2
  • 12.
    9.6 - IIRFilter Design Procedure Using BZT 1 Given specification in digital domain 2 Convert it into analog filter specification(prewarping) 3 Design analog filter (Butterworth, Chebyshov, elliptic):H(s) (Butterworth Chebyshov 4 Apply bilinear transform to get H(z) out of H(s) ω ω ωs 3 2 2 ( ω a = tan Ω T 2 T ) ωp | H( jω) | Ω 1 1 1 1 | H(ejΩ) | 1+ ε 2 A 1 1+ε2 4 1 1 H ( z ) = H (s) 2 1− z −1 A s= ⋅ π Ω T 1 + z −1 Ω p Ωs
  • 13.
    9.7 – IIRFilter Design Steps Using BZT 1. Prewarp any critical frequency in the digital filter specifications(ωc,ωp,ωs,…) ( ) using; 1 ω = t ΩT 2 tan ;T = Fs 2. Use the digital filter specifications to find a suitable normalized prototype g f p f f p yp analogue LPF, H(s), e.g., for butterworth; 1 • 1st order: H (s) = s +1 1 • 2nd order: H (s) = 2 For butterworth prototype filter s + 2s + 1 1 • 3rd order: H ( s ) = ( s + 1)( s 2 + s + 1) Where      ⎛ 10 0 .1 As − 1 ⎞ log 10 ⎜ 0 .1 A p ⎜ 10 ⎟ Ap the passband ripple in dB p pp ⎝ −1⎠ p    N ≥ As the stopband attenuation in dB ⎛ ωs ⎞ 2 . log 10 ⎜ ⎟ ⎜ω ⎟ ⎝ p⎠
  • 14.
    9.7 – DesignSteps – cont. 2. Denormalization according to filter type; (LPF, HPF, BPF, BSF). • LPF s s ωc • HPF s ωc s ( s 2 + ω 0 ) s ω ; where, ω0 = ω1ω2 ω0 = ω1ω2 2 2 • BPF s • BSF s sω ( s 2 + ω ) 2 ω = ω2 − ω1 0 3. 3 Map f M from s-domain to z-domain; d i d i −1 1− z s= −1 1+ z 4. 4 Realize the IIR filter. filter
  • 15.
    Example – 2 Designa 1st order Butterworth HPF with Ωc = 1 rad/sec, Fs = 1Hz. Solution 1 H ( s) = s ωc s s +1 1 s H ( s) = = ωc s +1 s + ωc ω c = tan ⎜ ⎛ Ω c T ⎞ = tan ⎛ 1 ⎞ 2 ⎠ ⎜ ⎝ ⎝2⎠ −1 (1 − z ) −1 −1 (1 + z ) 1− z H ( z) = = −1 (1 − z ) 1 − z + ωc + ωc z −1 −1 −1 + ωc (1 + z )
  • 16.
    Example - 2– cont. 1 1 − z −1 H ( z) = 1 1 + ωc 1 + ωc − 1 z −1 k= 1 + ωc ωc + 1 k a0 x(n) y(n) X X - b1 T a1 X X where, a0 = 1 a1 = − 1 ωc −1 b1 = ωc + 1
  • 17.
    Example - 3 Design a 3rd order Butterworth LPF to have a cutoff frequency at 4 kHz using the BZT method & assuming a sampling frequency of 10 kHz. Solution 1 f c = 4 kHz & T= = 10 − 4 sec Fs Ω cT = 2π × 4 × 103 × 10 −4 = 2.513 rad Ω cT prewarping : ωc = tan( ) = 3.0762 rad 2 sec 1 H (s) = ( s + 1)( s 2 + s + 1) 1 H ( z) = ⎛ 1 ⎛ 1 − z ⎞ ⎞⎜ −1 ⎛ ⎛ 1 ⎞ 2 ⎛ 1 − z −1 ⎞ 2 1 ⎛ 1 − z −1 ⎞ ⎞ ⎜ ⎜ ⎜ 1 + z −1 + 1 ⎜ ⎜ ω ⎜ 1 + z −1 + ω ⎜ 1 + z −1 + 1⎟ ⎜ ⎜ ⎜ ⎜ω ⎝ c⎝ ⎠ ⎠⎝ ⎝ c ⎠ ⎝ ⎠ c ⎝ ⎠ ⎠
  • 18.
    Example - 3– cont. −1 −1 2 (1+ z ) (1+ z ) H(z) = ( (1.3249+ 0.6751z−1) 0.105 (1− z−1)2 + 0.3249(1− z−2 ) + (1+ z−1)2 ) (1 + z − 1 ) (1 + 2 z − 1 + z − 2 ) = 1 . 3249 ( (1 + 0 .5095 z −1 ) 1.4305 + 1.789 z −1 + 0 .7806 z − 2 ) (1 + z − 1 ) (1 + 2 z − 1 + z − 2 ) = × ( 1 . 3249 (1 + 0 .5095 z ) 1 . 4305 1 + 1 . 2506 z −1 + 0 . 5457 z − 2 −1 ) (1 + z − 1 ) (1 + 2 z − 1 + z − 2 ) = 0 . 52763 × × ( (1 + 0 .5095 z ) 1 + 1 . 2506 z −1 + 0 . 5457 z − 2 −1 )
  • 19.
    Example - 3– cont. Filter Realization (Cascaded Realization) 0.52763 0 52763 x(n) X y(n) - 0.5095 - 1.2506 2 T T X X X - 0.5457 T X
  • 20.
    Example - 4 Using BZT method, design a digital filter meeting the specifications given by the following tolerance structure, |H(f)| assume a Butterworth characteristic for this 1 filter. 0.707 Solution 0.1 f (1) From the specifications, the prewarped frequencies are: 0.5 2 4 kHz ⎛ 2π × 500 ⎞ ω p = tan⎜ = 0.198912 ⎝ 2 × 8000 ⎠ ⎛ 2π × 2000 ⎞ ωs = tan⎜ =1 ⎝ 2 × 8000 ⎠
  • 21.
    Example - 4– contd. (2) D t Determine th order of th prototype analogue B tt i the d f the t t l Butterworth LPF using th f ll i th i the following relation, ⎛ 1 ⎞ ⎜ −1 ⎟ ⎜ δs 2 log ⎛ As 10 ⎞ ⎜ 1 ⎟ log ⎜ 10 −1 ⎟ −1⎟ ⎜ Ap ⎜ (1 − δ p ) 2 ⎜ 10 10 − 1 ⎟⎟ N≥ ⎝ ⎠= ⎝ ⎠ ⎛ ωs ⎞ ⎛ ωs ⎞ 2 × log ⎜ ⎟ 2 × log ⎜ ⎟ ⎜ω ⎟ ⎜ω ⎟ ⎝ p ⎠ ⎝ p⎠ 1 1 1 ⎛ 99 ⎞ −1 = − 1 = 99 , − 1 = 2 − 1 = 1 ⇒ log⎜ ⎟ = 1.995635 δs2 0.01 (1 − δ p ) 2 ⎝ 1 ⎠ ⎛ ωs ⎞ 2 × log⎜ ⎟ = 2 × log⎛ ⎜ 1 ⎞ ⎟ = 1.402678 ⎜ω ⎟ ⎝ 0.198912 ⎠ ⎝ p⎠ 1.995635 N≥ = 1.423. Let N = 2 1.402678
  • 22.
    Example - 4– contd. (3) A 2nd order B tt d Butterworth analogue LPF has the s-plane transfer function, H(s), given by, th l h th l t f f ti H( ) i b 1 H (s) = 2 s + 2s + 1 (4) For a denormalized LPF transfer function, substitute s s ωp 1 ωp 2 H (s) = = s 2 + 2 sω p + ω p 2 2 ⎛ s ⎞ ⎜ ⎟ + 2 s +1 ⎜ω ⎟ ωp ⎝ p ⎠ (5) Applying the BZT, ωp2 H ( z ) = H ( s ) s =⎜ 1− z −1 ⎟ = ⎛ ⎞ 2 ⎜ 1+ z −1 ⎟ ⎝ ⎠ ⎛ 1− z ⎞ −1 ⎛ 1 − z −1 ⎞ ⎜ 1 + z −1 ⎟ + 2 ω p ⎜ 1 + z −1 ⎟ + ω p 2 ⎜ ⎜ ⎝ ⎠ ⎝ ⎠ ω p (1 + z −1 ) 2 2 = (1− z ) + −1 2 ( 2 ωp 1− z −1 )(1+ z )+ ω (1+ z ) −1 p 2 −1 2
  • 23.
    Example - 4– contd. ω p (1 + 2z −1 + z −2 ) 2 H ( z) = (1− 2z −1 +z −2 )+ 2 ω (1 − z ) + ω (1 + 2z p −2 p 2 −1 +z −2 ) ω p 2 (1 + 2 z −1 + z −2 ) H ( z) = (1 + 2 ω p + ω p ) + 2 (ω p − 1) z + (1 − 2 ω p + ω p ) z −2 2 2 −1 2 Substituting the values of the parameters, g f p 1 + 2 ω p + ω p = 1.32087 , ω p − 1 = −0.96043 2 2 1 − 2 ω p + ω p = 0.7582858 , ω p = 0.0395659 2 2 H (z) = 0 .0395659 1 + 2 z + z ( −1 −2 ) 1 .32087 − 1 .92086 z −1 + 0 .7582858 z − 2
  • 24.
    Example - 4– contd. Dividing top & buttom by (1 + 2 ω p + ω p ) = 1 .32087 2 H (z) = ( 0 .02995 1 + 2 z − 1 + z − 2 ) −1 −2 1 − 1 .4542 z + 0 .57408 z k a0 (6) Realization Realization, x(n) y(n) X X - b1 T a1 X X - b2 T a2 X X where, k = 0 . 02995 a 0 = 1 , a1 = 2 , a 2 = 1 b1 = − 1 . 4542 , b 2 = 0 . 57408