Linear Algebra for Digital Filter
Design
Lecture Date: August 23
Presentation Assignment MIS3 5.3
for No:3 and 4 in each group.
Simply present these slides.
Matlab code for FIR filter design given in
Slide 17 will be appreciated
Date August 28 Evening
What is a filter?..
When an item of interest is passed through a structure/device
unwanted things are removed. That structure/device is called
Filter.
What is a Digital filter?..
When a discretized signal is passed through a structure
(consisting of delay , multiplier and summer elements)
unwanted frequency components are removed.
Generally the ordered sequence of multiplier elements
are called digital filter.
( )Cos t
t
t
t
0h
Nh
1h
2h

 ( )Cos t t  
 ( 2 )Cos t t  
 ( )Cos t N t  
   0 1( ) ( ) ( ) .... ( )new Nf t h Cos t hCos t t h Cos t N t          
( )RCos t   
= ?R
= ?
( ) 1. ( 0)f t Cos t  
Amplitude Phase Amplitude
multiplier
Phase
change
( )Cos t
t
t
t
0h
Nh
1h
2h

 ( )Cos t t  
 ( 2 )Cos t t  
 ( )Cos t N t  
   0 1( ) ( ) ( ) .... ( )new Nf t h Cos t hCos t t h Cos t N t          
( )RCos t   
= ?R
= ?
( ) 1. ( 0)f t Cos t  
Amplitude Phase Amplitude
multiplier
Phase
change
j t
e 
t
t
t
0h
Nh
1h
2h

 j t t
e  
 
Re j t  

= ?R
= ?
( 0)
( ) 1. j t
f t e  

Amplitude Phase Amplitude
multiplier
Phase
change
1
j t j t
h e e  
j t jN t
Nh e e  
 2j t t
e   
 j t N t
e   
0
j t
h e 
2
1
j t j t
h e e  
j t
e 
t
t
t
0h
Nh
1h
2h

j t j
e e  
 0 1( ) ....j t j jN
new Nf t e h he h e   
   
 
Rej t  

= ?R
= ?
( 0)
( ) 1. j t
f t e  

Amplitude Phase Amplitude
multiplier
Phase
change
2j t j
e e  
j t jN
e e  
ej t j
e R 

 j t
Re  

DTFT
0 1 .... ej jN j
Nh h e h e R   
   
Why we call it as DTFT?.
Consider a non periodic function h(t)
that exist for a short interval.
0
0 0
the domain of function h(.) be time 0 to T.
FT is
( ) ( ) ( )
on discretization of of time t in to n t, n=0,1,..,N
( t) ( )
t T
i t i t
t t
N N
i n t i
n n
Let
Its
H h t e dt h t e dt
h n e h n e

   
 
    
 
  
 

 
 @
2
2
0 1 2
= ( ), ,
(0) (1) (2) .... ( )
, equivalently H( )= ....
n
i i iN
i i iN
N
H t
h h e h e h N e
Or h h e h e h e

  
  
 

  
  
 
    
   
( )Cos t
t
t
t
0h
Nh
1h
2h

 ( )Cos t t  
 ( 2 )Cos t t  
 ( )Cos t N t  
( )RCos t   
= ?R
= ?
( ) 1. ( 0)f t Cos t  
Amplitude Phase Amplitude
multiplier
Phase
change
IIR Filter
t
1a
2a t
   
   
0 1
1
( ) ( ) .... ( )
( ) .... ( )
N
m
h Cos t hCos t t h Cos t N t
a RCos t t a RCos t m t 
         
           
FIR Filter Design
0 1 2
0 0
1 1
M M
t
t
t



  
  
    
  
0 0 0 0
1 1 1 1
( ) ( )
( ) ( )
( ) ( )M M M M
Cos t R Cos t
Cos t R Cos t
Cos t R Cos t



   
   
       
   
1
frequency =Sampling t Sampling
t
 

   H H  
 H 
 
 
 H 
Filter Design
   0 1( ) ( ) .... ( )Nh Cos t hCos t t h Cos t N t          ( )RCos t  
   0 1 1 1 1( ) ( ) .... ( )Nh Cos t hCos t t h Cos t N t          1 1 1( )R Cos t  
   0 0 1 0 0( ) ( ) .... ( )Nh Cos t hCos t t h Cos t N t          0 0 0( )R Cos t  
   0 1( ) ( ) .... ( )M M N Mh Cos t hCos t t h Cos t N t          ( )M M MR Cos t  
 0Cos t 
 1Cos t 
 MCos t 
 Cos t 
FIR Filter Design
 Cos t     0 1( ) ( ) .... ( )Nh Cos t hCos t t h Cos t N t           ( )RCos t  
0 1 2cos cos2 ... cos cosNh h h h N R      
00 0 0 0 0
11 1 1 1 1
22 2 2 2 2
1 cos cos2 . . cos cos
1 cos cos2 . . cos cos
1 cos cos2 . . cos cos
.. . . . . . .
.. . . . . . .
1 cos cos2 . . cos cosNM M M M M
hN R
hN R
hN R
hN R
   
   
   
   
    
    
    
    
    
    
    
    
    
Ax e b 
 
1T T
x A A A b


IIR Filter design
 Cos t 
   
   
0 1
1
( ) ( ) .... ( )
( ) .... ( )
N
m
h Cos t hCos t t h Cos t N t
a RCos t t a RCos t m t 
         
            ( )RCos t  
0 1 2 1cos cos2 ... cos cos( 1 )... cos( ) cosN mh h h h N a R a R m R                
Ax e b 
 
1T T
x A A A b


0 0 0 0 0 0 0 0 0
1 1 1 1 1 1 1 1 1
2 2 2 2 2 2 2 2 2
1 cos cos2 . cos os( ) . cos( )
1 cos cos2 . cos cos( ) . cos( )
1 cos cos2 . cos cos( ) . cos( )
. . . . . . . .
. . . . . . . .
. . . . . . . .
. . . . . . . .
1 cos cos2 . cosM M M
N R c R m
N R R m
N R R m
N R
      
      
      
  
     
     
     
 cos( ) . cos( )M M M M M MR m   
 
 
 
 
 
 
 
 
 
 
 
      
0
1
2
1
.
.
N
m
h
h
h
h
a
a
 
 
 
 
 
 
 
 
 
 
 
  
0 0
1 1
2 2
cos
cos
cos
.
.
.
.
cosM M
R
R
R
R




 
 
 
 
 
 
 
 
 
 
 
  
IIR Filter Design
0 0 0 0 0 0 0 0 0
1 1 1 1 1 1 1 1 1
2 2 2 2 2 2 2 2 2
1 cos cos2 . cos os( ) . cos( )
1 cos cos2 . cos cos( ) . cos( )
1 cos cos2 . cos cos( ) . cos( )
. . . . . . . .
. . . . . . . .
. . . . . . . .
. . . . . . . .
1 cos cos2 . cosM M M
N R c R m
N R R m
N R R m
N R
      
      
      
  
     
     
     
 cos( ) . cos( )M M M M M MR m   
 
 
 
 
 
 
 
 
 
 
 
      
0
1
2
1
.
.
N
m
h
h
h
h
a
a
 
 
 
 
 
 
 
 
 
 
 
  
0 0
1 1
2 2
cos
cos
cos
.
.
.
.
cosM M
R
R
R
R




 
 
 
 
 
 
 
 
 
 
 
  
Notch Filter Design
3
10 sect 
 
Lecture over.
Remaining slides are for
Reference and for your
presentation
Everything you need to know
About Fourier family
FS FT
DTFT
DFT
Fourier Family
21
LA Visualization Signal x(t)
Base1
Base2
Base3
Base4
Base..
Base..
Base..
Express periodic signal x(t) as a linear
Combination of orthogonal Basis functions
2
1 1
2
0
2 21 1
0 0
2
( ) ,0 or ,
1
( )
on discretization of of time t in to n t, n=0,1,..(N-1)
( ) ( ) ( ) ( )
k i k t
T
k
k
T
i k t
T
k
t
N Ni k n t i k n
N t N
n n
x t X e t T t t t T
T
X x t e dt
T
X k x n e x n e x n


 
 

 

     

 
       

 
  


 
1
0
N
kn
N
n
W



FS
DFT
From Fourier series to DFT
k=0,1,2,…,N-1 Any N consecutive bases will do. Why?.
Not same.
Differ by a
scaling factor
From Fourier Transform to DTFT
1 1
0 0
( ) ( ) ( ) ; assume x is defined over 0 to T
on discretization of of time t in to n t, n=0,1,..(N-1)
( ) ( ) ( ) ,
(
t
i t i t
t t
N N
i n t i n
n n
X x t e dt x t e dt
X x n e x n e t
X

 


   

 
     
 
  
 
   
 
 
1 1
( 2 )
0 0
) is a continous function of but it is periodic with periodicity 2
( 2 ) ( ) ( )
N N
i n i n
n n
X x n e x n e  
 
 
 
    
 
   
Not same.
Differ by a
scaling factor
Note: x(t) need to be a time limited function for FT to exist
From FT to DFT via DTFT
1 1
0 0
( ) ( ) ( )
on discretization of of time t in to n t, n=0,1,..(N-1)
( ) ( ) ( ) , ,
( ) is periodic with period 2
on
t
i t i t
t t
N N
i n t i n
n n
X x t e dt x t e dt
X x n e x n e t
X

 
 

   

 
    
 
  
 
   

 
 
221 1 1
0 0 0
2
discretization of of from 0 to 2 in to , k=0,1,..(N-1)
X(k)= ( ) ( ) ( )
N N Ni kni k n
knNN
N
n n n
k
N
x n e x n e x n W


 
        
 
  
   
FT
DFT
2
is evaluation of X( ) at =kAbove
N

 
Create DFT matrix for N=8
0
1
2
3
4
5
6
7
8 DFT
bases are
e
e
e
0
e
2
e
e
e
e
i t
i t
i t
i t
i t
i t
i t
i t
The
t T
T

 
 
 
 
 
 
 
 




 


 





0
1
2
3
4
5
6
7
8 DFT conjugated
bases are
e
e
e
e
e
e
e
e
i t
i t
i t
i t
i t
i t
i t
i t
The
 
  
  
  
  
  
  
  
2 2
0 0
2
1
2
2
2
3
2
4
2
5
6
8 DFT conjugated
bases on sampling are
e e , 0,1, 2,.., 7
e , 0,1, 2,.., 7
e , 0,1, 2,.., 7
e , 0,1, 2,.., 7
e , 0,1, 2,.., 7
e , 0,1, 2,.., 7
e
n
i n t i
N t N
n
i
N
n
i
N
n
i
N
n
i
N
n
i
N
i
The
n
n
n
n
n
n
 





     

  
  
  
  
  
  
 





2
2
7
, 0,1, 2,.., 7
e , 0,1, 2,.., 7
n
N
n
i
N
n
n


  


2
Term for kth basis (starting from 0) is
, n=0,1,2,...,7
i
nk
nkN
N
Generic
e W



?.
N property
Why
Mod
2 2
0 0
2
1
2
2
2
3
2
4
2
3
2
2
8 DFT conjugated
bases on sampling are
e e , 0,1, 2,..,7
e , 0,1, 2,..,7
e , 0,1, 2,..,7
e , 0,1, 2,..,7
e , 0,1, 2,..,7
e , 0,1, 2,..,7
e
n
i n t i
N t N
n
i
N
n
i
N
n
i
N
n
i
N
n
i
N
i
The
n
n
n
n
n
n
 






     

  
  
  
  
 
 
 





2
1
, 0,1, 2,..,7
e , 0,1, 2,..,7
n
N
n
i
N
n
n

 


5 3
8 8W W , for int nn n
Why eger  
 
        mod N mod N k mod N n mod N mod
5 ( 5 mod 8) 3
8 8 8
Proof: We have the relation
W W W W W
W W =W , for int n
k n n k kn Nkn
N N N N N
n n n
eger    
   
 
6 2
8 8
7 1
8 8
W W , for int n
W W , for int n
n n
n n
Similarly
eger
eger
  
  
 
 
 
Angular Frequency is .
2
, T is the periodicity of the signal
If t from 0 to T is discretized to have N values, like
t=(0:N-1) t, t
t is now n t with n=0,1,2,..., N-1
T=N t
Fundamental
T
T
N
Generic


 
   


Details of Sampling
Signal is assumed to be periodic with period T
So, we sample signal from 0 to T
interval is t=Sampling
N


0
T0 t 3 t2 t1 t
 1N t 
 2N t 
Sampling Instances
t 
Discretization: t=n t, n=0,1,2,3...,N-1After 
Generally index n is used for time
n varies from 0 to N-1
Index k is used for indexing the basis vector
k varies from 0 to N-1
2 2
Term for kth basis (starting from 0) is
, n=0,1,2,...,7
i i
nk kn
knN N
N
Generic
e e W
  
 
 
k
0 0 0 1 0 2 0 3 0 4 0 5 0 6 0 7
1 0 1 1 1 1 1 3 1 4 1 5 1 6 1 7
2 0 2 1 2 2 2 3 2 4 2 5 2 6 2 7
3 0 3 1 3 2 3 3 3 4 3 5 3 6 3 7
4 0 4 1 4 2 4 3 4 4 4 5 4 6 4 7
N N N N N N N N
N N N N N N N N
N N N N N N N N
N N N N N N N N
N N N N N N N N
W W W W W W W W
W W W W W W W W
W W W W W W W W
W W W W W W W W
W W W W W W W W
       
       
       
       
       
5 0 5 1 5 2 5 3 5 4 5 5 5 6 5 7
6 0 6 1 6 2 6 3 6 4 6 5 6 6 6 7
7 0 7 1 7 2 7 3 7 4 7 5 7 6 7 7
N N N N N N N N
N N N N N N N N
N N N N N N N N
W W W W W W W W
W W W W W W W W
W W W W W W W W
       
       
       
 
 
 
 
 
 
 
 
 
 
  
 
Circular and Linear Convolution
     1 2
1 2
( ) ( ) ( ) , 0,1,2,.., 1
( ) ( ) ( ), 0,1,2,.., 1
y n x n x n n N
Y k X k X k k N
   
    
 
 
1
2
1 2
( ) is a long signal sequence of length N
( ) is a very short filter sequence padded with zeros up to N,
so that convolution is a linear convolution. Then
( ) ( ) ( ),
Suppose
x n
x n
Y k X k X k 
2
imply that filter sequence modify the
frequency content of the input signal upon convolution
( ) can be interpreted as filter response.
2
Corresponding to each k, there is a frequency, k
X k
T


Applications
1. Signal processing
2. Communication Engineering
3. Feature Extraction in ML

Note and assignment mis3 5.3

  • 1.
    Linear Algebra forDigital Filter Design Lecture Date: August 23 Presentation Assignment MIS3 5.3 for No:3 and 4 in each group. Simply present these slides. Matlab code for FIR filter design given in Slide 17 will be appreciated Date August 28 Evening
  • 2.
    What is afilter?.. When an item of interest is passed through a structure/device unwanted things are removed. That structure/device is called Filter.
  • 3.
    What is aDigital filter?.. When a discretized signal is passed through a structure (consisting of delay , multiplier and summer elements) unwanted frequency components are removed. Generally the ordered sequence of multiplier elements are called digital filter.
  • 4.
    ( )Cos t t t t 0h Nh 1h 2h  ( )Cos t t    ( 2 )Cos t t    ( )Cos t N t      0 1( ) ( ) ( ) .... ( )new Nf t h Cos t hCos t t h Cos t N t           ( )RCos t    = ?R = ? ( ) 1. ( 0)f t Cos t   Amplitude Phase Amplitude multiplier Phase change
  • 5.
    ( )Cos t t t t 0h Nh 1h 2h  ( )Cos t t    ( 2 )Cos t t    ( )Cos t N t      0 1( ) ( ) ( ) .... ( )new Nf t h Cos t hCos t t h Cos t N t           ( )RCos t    = ?R = ? ( ) 1. ( 0)f t Cos t   Amplitude Phase Amplitude multiplier Phase change
  • 6.
    j t e  t t t 0h Nh 1h 2h  j t t e     Re j t    = ?R = ? ( 0) ( ) 1. j t f t e    Amplitude Phase Amplitude multiplier Phase change 1 j t j t h e e   j t jN t Nh e e    2j t t e     j t N t e    0 j t h e  2 1 j t j t h e e  
  • 7.
    j t e  t t t 0h Nh 1h 2h  jt j e e    0 1( ) ....j t j jN new Nf t e h he h e          Rej t    = ?R = ? ( 0) ( ) 1. j t f t e    Amplitude Phase Amplitude multiplier Phase change 2j t j e e   j t jN e e   ej t j e R    j t Re   
  • 8.
    DTFT 0 1 ....ej jN j Nh h e h e R        Why we call it as DTFT?.
  • 9.
    Consider a nonperiodic function h(t) that exist for a short interval. 0 0 0 the domain of function h(.) be time 0 to T. FT is ( ) ( ) ( ) on discretization of of time t in to n t, n=0,1,..,N ( t) ( ) t T i t i t t t N N i n t i n n Let Its H h t e dt h t e dt h n e h n e                        @ 2 2 0 1 2 = ( ), , (0) (1) (2) .... ( ) , equivalently H( )= .... n i i iN i i iN N H t h h e h e h N e Or h h e h e h e                           
  • 10.
    ( )Cos t t t t 0h Nh 1h 2h  ( )Cos t t    ( 2 )Cos t t    ( )Cos t N t   ( )RCos t    = ?R = ? ( ) 1. ( 0)f t Cos t   Amplitude Phase Amplitude multiplier Phase change IIR Filter t 1a 2a t         0 1 1 ( ) ( ) .... ( ) ( ) .... ( ) N m h Cos t hCos t t h Cos t N t a RCos t t a RCos t m t                       
  • 11.
    FIR Filter Design 01 2 0 0 1 1 M M t t t                  0 0 0 0 1 1 1 1 ( ) ( ) ( ) ( ) ( ) ( )M M M M Cos t R Cos t Cos t R Cos t Cos t R Cos t                        1 frequency =Sampling t Sampling t       H H    H       H 
  • 12.
    Filter Design   0 1( ) ( ) .... ( )Nh Cos t hCos t t h Cos t N t          ( )RCos t      0 1 1 1 1( ) ( ) .... ( )Nh Cos t hCos t t h Cos t N t          1 1 1( )R Cos t      0 0 1 0 0( ) ( ) .... ( )Nh Cos t hCos t t h Cos t N t          0 0 0( )R Cos t      0 1( ) ( ) .... ( )M M N Mh Cos t hCos t t h Cos t N t          ( )M M MR Cos t    0Cos t   1Cos t   MCos t   Cos t 
  • 13.
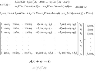
    FIR Filter Design Cos t     0 1( ) ( ) .... ( )Nh Cos t hCos t t h Cos t N t           ( )RCos t   0 1 2cos cos2 ... cos cosNh h h h N R       00 0 0 0 0 11 1 1 1 1 22 2 2 2 2 1 cos cos2 . . cos cos 1 cos cos2 . . cos cos 1 cos cos2 . . cos cos .. . . . . . . .. . . . . . . 1 cos cos2 . . cos cosNM M M M M hN R hN R hN R hN R                                                              Ax e b    1T T x A A A b  
  • 14.
  • 15.
     Cos t         0 1 1 ( ) ( ) .... ( ) ( ) .... ( ) N m h Cos t hCos t t h Cos t N t a RCos t t a RCos t m t                        ( )RCos t   0 1 2 1cos cos2 ... cos cos( 1 )... cos( ) cosN mh h h h N a R a R m R                 Ax e b    1T T x A A A b   0 0 0 0 0 0 0 0 0 1 1 1 1 1 1 1 1 1 2 2 2 2 2 2 2 2 2 1 cos cos2 . cos os( ) . cos( ) 1 cos cos2 . cos cos( ) . cos( ) 1 cos cos2 . cos cos( ) . cos( ) . . . . . . . . . . . . . . . . . . . . . . . . . . . . . . . . 1 cos cos2 . cosM M M N R c R m N R R m N R R m N R                                            cos( ) . cos( )M M M M M MR m                                 0 1 2 1 . . N m h h h h a a                          0 0 1 1 2 2 cos cos cos . . . . cosM M R R R R                             
  • 16.
    IIR Filter Design 00 0 0 0 0 0 0 0 1 1 1 1 1 1 1 1 1 2 2 2 2 2 2 2 2 2 1 cos cos2 . cos os( ) . cos( ) 1 cos cos2 . cos cos( ) . cos( ) 1 cos cos2 . cos cos( ) . cos( ) . . . . . . . . . . . . . . . . . . . . . . . . . . . . . . . . 1 cos cos2 . cosM M M N R c R m N R R m N R R m N R                                            cos( ) . cos( )M M M M M MR m                                 0 1 2 1 . . N m h h h h a a                          0 0 1 1 2 2 cos cos cos . . . . cosM M R R R R                             
  • 17.
    Notch Filter Design 3 10sect   
  • 18.
    Lecture over. Remaining slidesare for Reference and for your presentation
  • 19.
    Everything you needto know About Fourier family
  • 20.
  • 21.
    21 LA Visualization Signalx(t) Base1 Base2 Base3 Base4 Base.. Base.. Base.. Express periodic signal x(t) as a linear Combination of orthogonal Basis functions
  • 22.
    2 1 1 2 0 2 211 0 0 2 ( ) ,0 or , 1 ( ) on discretization of of time t in to n t, n=0,1,..(N-1) ( ) ( ) ( ) ( ) k i k t T k k T i k t T k t N Ni k n t i k n N t N n n x t X e t T t t t T T X x t e dt T X k x n e x n e x n                                      1 0 N kn N n W    FS DFT From Fourier series to DFT k=0,1,2,…,N-1 Any N consecutive bases will do. Why?. Not same. Differ by a scaling factor
  • 23.
    From Fourier Transformto DTFT 1 1 0 0 ( ) ( ) ( ) ; assume x is defined over 0 to T on discretization of of time t in to n t, n=0,1,..(N-1) ( ) ( ) ( ) , ( t i t i t t t N N i n t i n n n X x t e dt x t e dt X x n e x n e t X                                  1 1 ( 2 ) 0 0 ) is a continous function of but it is periodic with periodicity 2 ( 2 ) ( ) ( ) N N i n i n n n X x n e x n e                    Not same. Differ by a scaling factor Note: x(t) need to be a time limited function for FT to exist
  • 24.
    From FT toDFT via DTFT 1 1 0 0 ( ) ( ) ( ) on discretization of of time t in to n t, n=0,1,..(N-1) ( ) ( ) ( ) , , ( ) is periodic with period 2 on t i t i t t t N N i n t i n n n X x t e dt x t e dt X x n e x n e t X                                   221 1 1 0 0 0 2 discretization of of from 0 to 2 in to , k=0,1,..(N-1) X(k)= ( ) ( ) ( ) N N Ni kni k n knNN N n n n k N x n e x n e x n W                       FT DFT 2 is evaluation of X( ) at =kAbove N   
  • 25.
    Create DFT matrixfor N=8 0 1 2 3 4 5 6 7 8 DFT bases are e e e 0 e 2 e e e e i t i t i t i t i t i t i t i t The t T T                                 0 1 2 3 4 5 6 7 8 DFT conjugated bases are e e e e e e e e i t i t i t i t i t i t i t i t The                        2 2 0 0 2 1 2 2 2 3 2 4 2 5 6 8 DFT conjugated bases on sampling are e e , 0,1, 2,.., 7 e , 0,1, 2,.., 7 e , 0,1, 2,.., 7 e , 0,1, 2,.., 7 e , 0,1, 2,.., 7 e , 0,1, 2,.., 7 e n i n t i N t N n i N n i N n i N n i N n i N i The n n n n n n                                        2 2 7 , 0,1, 2,.., 7 e , 0,1, 2,.., 7 n N n i N n n        2 Term for kth basis (starting from 0) is , n=0,1,2,...,7 i nk nkN N Generic e W   
  • 26.
    ?. N property Why Mod 2 2 00 2 1 2 2 2 3 2 4 2 3 2 2 8 DFT conjugated bases on sampling are e e , 0,1, 2,..,7 e , 0,1, 2,..,7 e , 0,1, 2,..,7 e , 0,1, 2,..,7 e , 0,1, 2,..,7 e , 0,1, 2,..,7 e n i n t i N t N n i N n i N n i N n i N n i N i The n n n n n n                                       2 1 , 0,1, 2,..,7 e , 0,1, 2,..,7 n N n i N n n     
  • 27.
    5 3 8 8WW , for int nn n Why eger             mod N mod N k mod N n mod N mod 5 ( 5 mod 8) 3 8 8 8 Proof: We have the relation W W W W W W W =W , for int n k n n k kn Nkn N N N N N n n n eger           6 2 8 8 7 1 8 8 W W , for int n W W , for int n n n n n Similarly eger eger          
  • 28.
      Angular Frequencyis . 2 , T is the periodicity of the signal If t from 0 to T is discretized to have N values, like t=(0:N-1) t, t t is now n t with n=0,1,2,..., N-1 T=N t Fundamental T T N Generic           Details of Sampling Signal is assumed to be periodic with period T So, we sample signal from 0 to T interval is t=Sampling N  
  • 29.
    0 T0 t 3t2 t1 t  1N t   2N t  Sampling Instances t  Discretization: t=n t, n=0,1,2,3...,N-1After  Generally index n is used for time n varies from 0 to N-1 Index k is used for indexing the basis vector k varies from 0 to N-1
  • 30.
    2 2 Term forkth basis (starting from 0) is , n=0,1,2,...,7 i i nk kn knN N N Generic e e W        k 0 0 0 1 0 2 0 3 0 4 0 5 0 6 0 7 1 0 1 1 1 1 1 3 1 4 1 5 1 6 1 7 2 0 2 1 2 2 2 3 2 4 2 5 2 6 2 7 3 0 3 1 3 2 3 3 3 4 3 5 3 6 3 7 4 0 4 1 4 2 4 3 4 4 4 5 4 6 4 7 N N N N N N N N N N N N N N N N N N N N N N N N N N N N N N N N N N N N N N N N W W W W W W W W W W W W W W W W W W W W W W W W W W W W W W W W W W W W W W W W                                         5 0 5 1 5 2 5 3 5 4 5 5 5 6 5 7 6 0 6 1 6 2 6 3 6 4 6 5 6 6 6 7 7 0 7 1 7 2 7 3 7 4 7 5 7 6 7 7 N N N N N N N N N N N N N N N N N N N N N N N N W W W W W W W W W W W W W W W W W W W W W W W W                                                 
  • 31.
    Circular and LinearConvolution      1 2 1 2 ( ) ( ) ( ) , 0,1,2,.., 1 ( ) ( ) ( ), 0,1,2,.., 1 y n x n x n n N Y k X k X k k N              1 2 1 2 ( ) is a long signal sequence of length N ( ) is a very short filter sequence padded with zeros up to N, so that convolution is a linear convolution. Then ( ) ( ) ( ), Suppose x n x n Y k X k X k  2 imply that filter sequence modify the frequency content of the input signal upon convolution ( ) can be interpreted as filter response. 2 Corresponding to each k, there is a frequency, k X k T  
  • 32.
    Applications 1. Signal processing 2.Communication Engineering 3. Feature Extraction in ML