FIR filter design using windows
- SARANG JOSHI
Windows
• Windows are the finite duration sequences used to modify
the impulse response of filters in order to reduce ripples in
passband and stopband and to achieve desired transition
from passband to stopband.
• The infinite duration impulse response can be converted to a
finite duration impulse response by truncating the infinite
series.
But this results in undesirable oscillations in the passband and
stopband of digital filter which is due to the slow convergence of
Fourier series near the points of discontinuity.
These undesirable oscillations can be reduced by using a set of
time-limited weighting functions, w(n), referred to as window
functions , to modify fourier coefficients
1 Rectangular Window
1),-(M|n|for0
1),-(M|n|for1
)(rect)(W Nrec





 nn
M is the length of window
2.Hanning window
otherwise.0
1,-M0,1,2...n)),-cos((1
n)( 1-M
n2
2
1
Han


 


w
3.Hamming window
otherwise.0
1-M0,1,2.....)cos(0.46-0.54
)(
1
n2
Ham


 
 
n
n
M
w

4.Blackman window
otherwise.0
1-M0,1,2.....)0.08cos()cos(0.5-0.42
)(
1
n4
1
n2
Bla


 
 
n
n
MM
w







deHnh
eH
nj
dd
c
M
j
d
c
c





)(
2
1
)(
||0.............{)(
)
2
1
(
Desired frequency response for Low pass FIR filter
M is the length of filter
Desired impulse response for Low pass FIR filter
c
c
c
c
c
c
c
c
nj
e
denh
deenh
M
deenh
nj
nj
d
njj
d
nj
M
j
d













































)(2
1
2
1
)(
2
1
)(
2
1
2
1
)(
)(
)(
)
2
1
(




























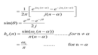
nfor.......
n..........
)(
))(sin(
)(
2
)sin(
)(2
1
c
)()(
for
n
n
nh
j
ee
nj
ee
c
d
jj
njnj cc
)().()( nwnhnh d











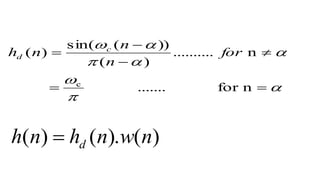
nfor.......
n..........
)(
))(sin(
)(
c
for
n
n
nh c
d
Q. Design a LPF using hamming window to
meet following specifications
4
||0.............{)( 2 
 
  j
d eH











nfor.......
n..........
)(
))(sin(
)(
c
for
n
n
nh c
d
Solution :
2
1

M

2nfor.......
4
1
2n..........
)2(
))2(
4
sin(
)(




 for
n
n
nhd


25.0)2(
16.0)4(225.0)1(
225.0)3(16.0)0(



d
dd
dd
h
hh
hh
otherwise.0
1-M0,1,2.....)cos(0.46-0.54
)(
1
n2
Ham


 
 
n
n
M
w

otherwise.0
0,1,2,3,4)cos(0.46-0.54
)(
4
n2
Ham


 

n
nw

otherwise.0
0,1,2,3,4)cos(0.46-0.54
)(
2
n
Ham


 

n
nw

08.0)4(
54.0)3(
1)2(
0.54)1(
0.08)0(
Ham
Ham
Ham
Ham
Ham





w
w
w
w
w
08.0)4(
54.0)3(
1)2(
0.54)1(
0.08)0(
Ham
Ham
Ham
Ham
Ham





w
w
w
w
w
16.0)4(
225.0)3(
25.0)2(
225.0)1(
16.0)0(





d
d
d
d
d
h
h
h
h
h
)().()( nwnhnh d
0128.0)4(
1215.0)3(
25.0)2(
1215.0)1(
0128.0)0(





h
h
h
h
h
)1()( nMhnh 
RATE, FOLLOW & SHARE
https://unacademy.com/lesson/fir-filter-design-using-windows/TII60A0X
THANK YOU !

Fir filter design using windows