FIR filter design using frequency
sampling technique
-SARANG JOSHI
c
M
j
d eH 




||0.............{)(
)
2
1
(
Desired frequency response
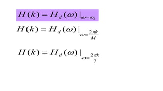
• Frequency samples are taken at
The sampled Frequency response is denoted by
Frequency Sampling Method
1-0,1,...Mk.........
2

M
k
K


M
kdd HHkH k 

  2|)(|)()(

 
DFT
1,..1,0n....)(
1
)(
1
0
2
 


NekX
N
nx
N
k
N
n
kj 
1,..1,0n....)(
1
)(
1
0
2
 


MekH
M
nh
M
k
M
n
kj 
evenisMwhen....])(Re[2)0(
1
)(
oddisMwhen....])(Re[2)0(
1
)(
1
2
1
2
2
1
1
2




























M
k
M
n
kj
M
k
M
n
kj
ekHH
M
nh
ekHH
M
nh


IDFT
)(*)( kNHkH 
Q. Determine the impulse response of FIR filter of length 7 to meet the following
specifications:
otherwise....0
2
0{)( 2
)1( 





foreeH
Mj
j
d
otherwise....0
2
0{)( 3 

 
foreeH jj
d
Solution:
M=7
kdHkH   |)()(
M
kdHkH 

 2|)()(


7
2|)()( kdHkH 




otherwise....0
27
2
0{)(
)
7
2
(3 

 k
forekH
k
j
otherwise....0
4
7
0{)(
)
7
6
(


kforekH
k
j

275.1
4
7

otherwise....0
20{)(
)
7
6
(


kforekH
k
j

oddisMwhen....])(Re[2)0(
1
)(
2
1
1
2










 


M
k
M
n
kj
ekHH
M
nh

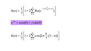
]Re[2)0(
7
1
)(
3
1
7
2
7
6






 

k
n
kj
k
j
eeHnh

1)0( 0
 eH
]Re[21
7
1
)(
3
1
)3(
7
2






 

k
n
k
j
enh

)sin()cos( 
je j

])3(
7
2cos[21
7
1
)(
3
1






 k
n
k
nh 
])3(
7
2cos[21
7
1
)(
3
1






 k
n
k
nh 
)])3(
7
3
2cos[)]3(
7
2
2cos[)]3(
7
1
2(cos[21
7
1
)0( 



 h
])
7
18
cos[]
7
12
cos[]
7
6
(cos[21
7
1
)0( 





h
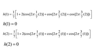
0)0( h
)])2(
7
3
2cos[)]2(
7
2
2cos[)]2(
7
1
2(cos[21
7
1
)1( 



 h
0)1( h
)])1(
7
3
2cos[)]1(
7
2
2cos[)]1(
7
1
2(cos[21
7
1
)2( 



 h
0)2( h
)])0(
7
3
2cos[)]0(
7
2
2cos[)]0(
7
1
2(cos[21
7
1
)3( 



 h
1)3( h
)])1(
7
3
2cos[)]1(
7
2
2cos[)]1(
7
1
2(cos[21
7
1
)4( 



 h
)])1(
7
3
2cos[)]1(
7
2
2cos[)]1(
7
1
2(cos[21
7
1
)4( 



 h
)])1(
7
3
2cos[)]1(
7
2
2cos[)]1(
7
1
2(cos[21
7
1
)2( 



 h
)cos()cos(  
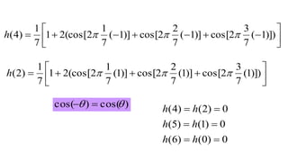
0)0()6(
0)1()5(
0)2()4(



hh
hh
hh
RATE, FOLLOW & SHARE
https://unacademy.com/user/jsarang70-7008
THANK YOU !

Fir filter design using Frequency sampling method