Electrochemistry
Course: B.Tech.
Subject: Engineering Chemistry
Unit: V(A)
Arrhenius Theory of Electrolytic
dissociation
 Svante August Arrhenius (19 February 1859 – 2
October 1927) was a Swedish Scientist, and one
of the founders of the science of physical
chemistry.
 The Arrhenius equation, lunar crater Arrhenius
and the Arrhenius Labs at Stockholm University
are named after him.
 In order to explain the properties of electrolytic
solutions, Arrhenius put forth, in 1884, a
comprehensive theory which is known as theory of
electrolytic dissociation or ionic theory.
 The main points of the theory are:
 An electrolyte, when dissolved in water, breaks up into
two types of charged particles,
 one carrying a positive charge
 the other a negative charge
 These charged particles are called ions.
 Positively charged ions are termed cations
 Negatively charged as anions
Theory
 In its modern form, the theory assumes that solid
electrolytes are composed of ions which are held
together by electrostatic forces of attraction.
 When an electrolyte is dissolved in a solvent, these
forces are weakened and the electrolyte undergoes
dissociation into ions. The ions are solvated.
A+B- --> A+ + B-
A+B-+ aq --> A+(aq)+B- (aq)
NaCl Na+ + Cl-
K2SO4 2K+ + SO4
2
 The process of splitting of the molecules
into ions of an electrolyte is called
ionization.
 The fraction of the total number of
molecules present in solution as ions is
known as degree of ionization or degree
of dissociation.
 It is denoted by α= (Number of molecules
dissociated into ions)/(Total number of
molecules)
 Ions present in solution constantly re-unite to
form neutral molecules and, thus, there is a
state of dynamic equilibrium between the
ionized and non-ionized molecules.
[A+ ][B- ] /[AB] =K
 K is known as ionization constant.
 The electrolytes having high value of K are
termed strong electrolytes
 those having low value of K as weak
electrolytes
Applying the law of mass action to
above equilibrium
 When an electric current is passed through
the electrolytic solution, the positive ions
(cations) move towards cathode and the
negative ions (anions) move towards
anode and get discharged, i.e., electrolysis
occurs.
 The ions are discharged always in
equivalent amounts, no matter what their
relative speeds are.
Transport Number
 Transport number or transference number
is the ratio of the current carried by a given
ionic species through a cross section of an
electrolytic solution to the total current
passing through the cross section.
 The transport number is equal to the ratio
of the velocity, or mobility, of a given ion
to the sum of the velocities, or mobilities,
of the cation and anion.
 It is a characteristic dependent on the
 mobilities of all the ions in the
electrolytic solution,
 on the concentrations of the ions
 on the temperature of the solution
 The transport number is usually
determined by the Hittorf method—that
is, by the change in the concentrations of
the ions near the electrodes.
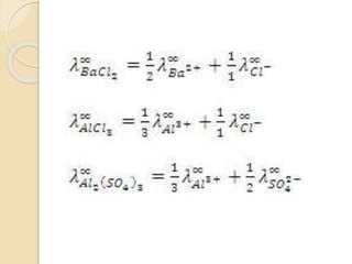
Kohlrausch’s law
where,
 According to Kohlrausch’slaw. “conductivity
of ions is constant at infinite dilution and it
does not depend on nature of co-ions.”
2
 For AxBy type electrolyte,
Here Z+and Z- are the charges present on cation and anion.
Ksp, the solubility-product constant
An equilibrium can exist between a partially soluble substance and its
solution:
For example:
BaSO4 (s)  Ba2+ (aq) + SO4
2- (aq)
 When writing the equilibrium constant
expression for the dissolution of BaSO4, we
remember that the concentration of a solid is
constant.
The equilibrium expression is therefore:
K = [Ba2+][SO4
2-]
K = Ksp, the solubility-product constant.
Ksp = [Ba2+][SO4
2-]
The Solubility Expression
AaBb(s)  aAb+ (aq) + bBa- (aq)
Ksp = [Ab+]a [Ba-]b
Example: PbI2 (s)  Pb2+ + 2 I-
Ksp = [Pb2+] [I-]2
The greater the ksp the more soluble the solid
is in H2O.
Solubility and Ksp
Three important definitions:
1) solubility: quantity of a substance that
dissolves to form a saturated solution
2) molar solubility: the number of moles of
the solute that dissolves to form a liter of
saturated solution
3) Ksp (solubility product): the equilibrium
constant for the equilibrium between an
ionic solid and its saturated solution
An oxidation-reduction (redox) reaction
involves the transfer of electrons (e - ).
19
The oxidation numbers of the atoms will change….
one goes up (oxidation) and one goes down (reduction)
Sodium transfers its electrons to chlorine
Redox Reaction:Oxidation-Reduction
Find the oxidation numbers of each element in
a reaction and see which ones have changed.
 Rules for oxidation number
◦ An element that is not in a compound has an
oxidation number of zero (0)
◦ Group 1 Metals are always 1+
◦ Group 2 Metals are always 2+
◦ Fluorine is always 1-
◦ Oxygen is always 2- except when combined
with F (OF2) or the peroxide ion (O2
2-)
20
Reduction is the gain of electrons.
21
Nonmetals gain electrons to form – ions
•The oxidation number goes down
(reduces)
A half-reaction can be written to represent
reduction.
22
Cu2+ + 2e- Cu0
In reduction half reactions,
electrons are written on the left
because electrons are gained
Oxidation is the loss of electrons.
23
Metal atoms lose electrons to become + ions
The oxidation numbers go up (increases)
Cr2+ Cr4+ + 2e-
2N3- N2
0 + 6e-
A half-reaction can be written to represent oxidation.
24
Zn0 Zn2+ + 2e-
In oxidation half reactions,
electrons are written on the right
because electrons are lost
The sum of the oxidation numbers
of all the atoms in a compound is
zero.
 Na2SO4
◦ Na is +1 because it is a
group 1 metal
◦ O is -2
◦ The oxidation number
of Sulfur must be
calculated
2(+1) + X + 4(-2) = 0
(2 ) + X + (-8) =0
X = +6
 CuO
Oxygen is -2
The oxidation number of
copper must be
calculated
X + -2 = 0
X = +2
25
The sum of the oxidation numbers
of all the atoms in a polyatomic ion
is the charge of the ion.
 PO4
3-
Oxygen is 2-
The oxidation number of
phosphorous must be
calculated
X + 4(-2) = -3
X + (-8) = -3
X = +5
 NO3
-
Oxygen is 2-
The oxidation number of
nitrogen must be
calculated
X + 3(-2) = -1
X = 5+
26
Electrochemical and concentration
cells
 An electrochemical cell is a device capable
of either generating electrical energy from
chemical reactions or facilitating chemical
reactions through the introduction of
electrical energy.
 A common example of an electrochemical
cell is a standard 1.5-volt "battery".
 (Actually a single "Galvanic cell"; a battery
properly consists of multiple cells, connected
in either parallel or series pattern.)
 A voltaic cell spontaneously converts
chemical energy to electrical energy.
28
Batteries are voltaic cells
Electrons flow from the anode (- electrode) to
the cathode (+ electrode) through the wire in a
voltaic cell.
29
An Ox -oxidation
takes place…electrons
are lost.
Red Cat -reduction
takes place…electrons
are gained.
Zn Zn2+ + 2e-
Cu2+ + 2e - Cu0
- +
Electrons
released
here by
oxidation
Electrons
needed
here for
reduction
e-
e-
e-
e- e- e- e-
e-
e-
e-
e-
The salt bridge completes the circuit
allows ions to flow from one ½ cell to
the other ½ cell to maintain neutrality.
30
Zn Zn2+ + 2e- Cu2+ + 2e - Cu0
- +
4
Electrolysis
An electrolytic cell requires electrical
energy to produce chemical change.
This process is known as electrolysis.
31
Uses of Electrolytic cells
 Recharging a battery
 Electroplating
◦ During copper plating, Cu2+ ions are reduced to
Cu0 metal at the cathode (Red Cat) which is the
negative electrode
 Electrolysis
◦ The Hoffman apparatus uses electricity to break
water apart into hydrogen + oxygen
32
Galvanic Cells
• Galvanic Cell: Electrochemical cell in which
chemical reactions are used to create spontaneous
current (electron) flow.
Salt bridge
Zn2+ Cu2+
Na+
Zn CuSO4
2–
Voltmeter
(–) (+)
Oxidation half-reaction
Zn(s)
Salt bridge
Zn2+ Cu2+
Na+
Zn CuSO4
2–
Zn2+(aq) + 2e–
Voltmeter
e–
Anode
(–) (+)
Zn2+
Zn
Oxidation half-reaction
Zn(s)
Salt bridge
Zn2+ Cu2+
Na+
Zn CuSO4
2–
Zn2+(aq) + 2e–
Voltmeter
e–
2e– lost
per Zn atom
oxidized
Anode
(–) (+)
e–
Zn2+
Zn
Oxidation half-reaction
Reduction half-reaction
Cu2+(aq) + 2e–
Zn(s)
Salt bridge
Zn2+ Cu2+
Na+
Zn CuSO4
2–
Zn2+(aq) + 2e–
Cu(s)
Voltmeter
e–
e–
2e– lost
per Zn atom
oxidized
Anode
(–)
Cathode
(+)
e–
Cu2+
e–
Cu
2e– gained
per Cu2+ ion
reduced
Zn2+
Zn
Oxidation half-reaction
Reduction half-reaction
Cu2+(aq) + 2e–
Zn(s)
Salt bridgeAnode
(–)
Cathode
(+)
Zn2+ Cu2+
Na+
Zn CuSO4
2–
Zn2+(aq) + 2e–
Cu(s)
Voltmeter
e–
e–
2e– lost
per Zn atom
oxidized
e–
Cu2+
e–
Cu
2e– gained
per Cu2+ ion
reduced
Zn2+
Zn
Oxidation half-reaction
Reduction half-reaction
Overall (cell) reaction
Zn(s) + Cu2+(aq)
Cu2+(aq) + 2e–
Zn(s)
Salt bridge
Zn2+ Cu2+
Na+
Zn CuSO4
2–
Zn2+(aq) + 2e–
Cu(s)
Zn2+(aq) + Cu(s)
Voltmeter
e–
e–
Anode
(–)
Cathode
(+)
2e– lost
per Zn atom
oxidized
e–
3
References
1.Engineering Chemistry by Jain and Jain
2. https://www.askiitians.com/iit-jee-
chemistry/physical-chemistry/kohlrausch-
law.aspx
3. https://chemwiki.ucdavis.edu

B.tech. ii engineering chemistry unit 5 A electrochemistry

  • 1.
  • 2.
    Arrhenius Theory ofElectrolytic dissociation  Svante August Arrhenius (19 February 1859 – 2 October 1927) was a Swedish Scientist, and one of the founders of the science of physical chemistry.  The Arrhenius equation, lunar crater Arrhenius and the Arrhenius Labs at Stockholm University are named after him.
  • 3.
     In orderto explain the properties of electrolytic solutions, Arrhenius put forth, in 1884, a comprehensive theory which is known as theory of electrolytic dissociation or ionic theory.  The main points of the theory are:  An electrolyte, when dissolved in water, breaks up into two types of charged particles,  one carrying a positive charge  the other a negative charge  These charged particles are called ions.  Positively charged ions are termed cations  Negatively charged as anions
  • 4.
    Theory  In itsmodern form, the theory assumes that solid electrolytes are composed of ions which are held together by electrostatic forces of attraction.  When an electrolyte is dissolved in a solvent, these forces are weakened and the electrolyte undergoes dissociation into ions. The ions are solvated. A+B- --> A+ + B- A+B-+ aq --> A+(aq)+B- (aq) NaCl Na+ + Cl- K2SO4 2K+ + SO4 2
  • 5.
     The processof splitting of the molecules into ions of an electrolyte is called ionization.  The fraction of the total number of molecules present in solution as ions is known as degree of ionization or degree of dissociation.  It is denoted by α= (Number of molecules dissociated into ions)/(Total number of molecules)
  • 6.
     Ions presentin solution constantly re-unite to form neutral molecules and, thus, there is a state of dynamic equilibrium between the ionized and non-ionized molecules. [A+ ][B- ] /[AB] =K  K is known as ionization constant.  The electrolytes having high value of K are termed strong electrolytes  those having low value of K as weak electrolytes
  • 7.
    Applying the lawof mass action to above equilibrium  When an electric current is passed through the electrolytic solution, the positive ions (cations) move towards cathode and the negative ions (anions) move towards anode and get discharged, i.e., electrolysis occurs.  The ions are discharged always in equivalent amounts, no matter what their relative speeds are.
  • 8.
    Transport Number  Transportnumber or transference number is the ratio of the current carried by a given ionic species through a cross section of an electrolytic solution to the total current passing through the cross section.  The transport number is equal to the ratio of the velocity, or mobility, of a given ion to the sum of the velocities, or mobilities, of the cation and anion.
  • 9.
     It isa characteristic dependent on the  mobilities of all the ions in the electrolytic solution,  on the concentrations of the ions  on the temperature of the solution  The transport number is usually determined by the Hittorf method—that is, by the change in the concentrations of the ions near the electrodes.
  • 10.
  • 11.
  • 12.
     According toKohlrausch’slaw. “conductivity of ions is constant at infinite dilution and it does not depend on nature of co-ions.” 2
  • 13.
     For AxBytype electrolyte, Here Z+and Z- are the charges present on cation and anion.
  • 15.
    Ksp, the solubility-productconstant An equilibrium can exist between a partially soluble substance and its solution:
  • 16.
    For example: BaSO4 (s) Ba2+ (aq) + SO4 2- (aq)  When writing the equilibrium constant expression for the dissolution of BaSO4, we remember that the concentration of a solid is constant. The equilibrium expression is therefore: K = [Ba2+][SO4 2-] K = Ksp, the solubility-product constant. Ksp = [Ba2+][SO4 2-]
  • 17.
    The Solubility Expression AaBb(s) aAb+ (aq) + bBa- (aq) Ksp = [Ab+]a [Ba-]b Example: PbI2 (s)  Pb2+ + 2 I- Ksp = [Pb2+] [I-]2 The greater the ksp the more soluble the solid is in H2O.
  • 18.
    Solubility and Ksp Threeimportant definitions: 1) solubility: quantity of a substance that dissolves to form a saturated solution 2) molar solubility: the number of moles of the solute that dissolves to form a liter of saturated solution 3) Ksp (solubility product): the equilibrium constant for the equilibrium between an ionic solid and its saturated solution
  • 19.
    An oxidation-reduction (redox)reaction involves the transfer of electrons (e - ). 19 The oxidation numbers of the atoms will change…. one goes up (oxidation) and one goes down (reduction) Sodium transfers its electrons to chlorine Redox Reaction:Oxidation-Reduction
  • 20.
    Find the oxidationnumbers of each element in a reaction and see which ones have changed.  Rules for oxidation number ◦ An element that is not in a compound has an oxidation number of zero (0) ◦ Group 1 Metals are always 1+ ◦ Group 2 Metals are always 2+ ◦ Fluorine is always 1- ◦ Oxygen is always 2- except when combined with F (OF2) or the peroxide ion (O2 2-) 20
  • 21.
    Reduction is thegain of electrons. 21 Nonmetals gain electrons to form – ions •The oxidation number goes down (reduces)
  • 22.
    A half-reaction canbe written to represent reduction. 22 Cu2+ + 2e- Cu0 In reduction half reactions, electrons are written on the left because electrons are gained
  • 23.
    Oxidation is theloss of electrons. 23 Metal atoms lose electrons to become + ions The oxidation numbers go up (increases) Cr2+ Cr4+ + 2e- 2N3- N2 0 + 6e-
  • 24.
    A half-reaction canbe written to represent oxidation. 24 Zn0 Zn2+ + 2e- In oxidation half reactions, electrons are written on the right because electrons are lost
  • 25.
    The sum ofthe oxidation numbers of all the atoms in a compound is zero.  Na2SO4 ◦ Na is +1 because it is a group 1 metal ◦ O is -2 ◦ The oxidation number of Sulfur must be calculated 2(+1) + X + 4(-2) = 0 (2 ) + X + (-8) =0 X = +6  CuO Oxygen is -2 The oxidation number of copper must be calculated X + -2 = 0 X = +2 25
  • 26.
    The sum ofthe oxidation numbers of all the atoms in a polyatomic ion is the charge of the ion.  PO4 3- Oxygen is 2- The oxidation number of phosphorous must be calculated X + 4(-2) = -3 X + (-8) = -3 X = +5  NO3 - Oxygen is 2- The oxidation number of nitrogen must be calculated X + 3(-2) = -1 X = 5+ 26
  • 27.
    Electrochemical and concentration cells An electrochemical cell is a device capable of either generating electrical energy from chemical reactions or facilitating chemical reactions through the introduction of electrical energy.  A common example of an electrochemical cell is a standard 1.5-volt "battery".  (Actually a single "Galvanic cell"; a battery properly consists of multiple cells, connected in either parallel or series pattern.)  A voltaic cell spontaneously converts chemical energy to electrical energy.
  • 28.
  • 29.
    Electrons flow fromthe anode (- electrode) to the cathode (+ electrode) through the wire in a voltaic cell. 29 An Ox -oxidation takes place…electrons are lost. Red Cat -reduction takes place…electrons are gained. Zn Zn2+ + 2e- Cu2+ + 2e - Cu0 - + Electrons released here by oxidation Electrons needed here for reduction e- e- e- e- e- e- e- e- e- e- e-
  • 30.
    The salt bridgecompletes the circuit allows ions to flow from one ½ cell to the other ½ cell to maintain neutrality. 30 Zn Zn2+ + 2e- Cu2+ + 2e - Cu0 - + 4
  • 31.
    Electrolysis An electrolytic cellrequires electrical energy to produce chemical change. This process is known as electrolysis. 31
  • 32.
    Uses of Electrolyticcells  Recharging a battery  Electroplating ◦ During copper plating, Cu2+ ions are reduced to Cu0 metal at the cathode (Red Cat) which is the negative electrode  Electrolysis ◦ The Hoffman apparatus uses electricity to break water apart into hydrogen + oxygen 32
  • 33.
    Galvanic Cells • GalvanicCell: Electrochemical cell in which chemical reactions are used to create spontaneous current (electron) flow.
  • 34.
    Salt bridge Zn2+ Cu2+ Na+ ZnCuSO4 2– Voltmeter (–) (+)
  • 35.
    Oxidation half-reaction Zn(s) Salt bridge Zn2+Cu2+ Na+ Zn CuSO4 2– Zn2+(aq) + 2e– Voltmeter e– Anode (–) (+)
  • 36.
    Zn2+ Zn Oxidation half-reaction Zn(s) Salt bridge Zn2+Cu2+ Na+ Zn CuSO4 2– Zn2+(aq) + 2e– Voltmeter e– 2e– lost per Zn atom oxidized Anode (–) (+) e–
  • 37.
    Zn2+ Zn Oxidation half-reaction Reduction half-reaction Cu2+(aq)+ 2e– Zn(s) Salt bridge Zn2+ Cu2+ Na+ Zn CuSO4 2– Zn2+(aq) + 2e– Cu(s) Voltmeter e– e– 2e– lost per Zn atom oxidized Anode (–) Cathode (+) e–
  • 38.
    Cu2+ e– Cu 2e– gained per Cu2+ion reduced Zn2+ Zn Oxidation half-reaction Reduction half-reaction Cu2+(aq) + 2e– Zn(s) Salt bridgeAnode (–) Cathode (+) Zn2+ Cu2+ Na+ Zn CuSO4 2– Zn2+(aq) + 2e– Cu(s) Voltmeter e– e– 2e– lost per Zn atom oxidized e–
  • 39.
    Cu2+ e– Cu 2e– gained per Cu2+ion reduced Zn2+ Zn Oxidation half-reaction Reduction half-reaction Overall (cell) reaction Zn(s) + Cu2+(aq) Cu2+(aq) + 2e– Zn(s) Salt bridge Zn2+ Cu2+ Na+ Zn CuSO4 2– Zn2+(aq) + 2e– Cu(s) Zn2+(aq) + Cu(s) Voltmeter e– e– Anode (–) Cathode (+) 2e– lost per Zn atom oxidized e– 3
  • 40.
    References 1.Engineering Chemistry byJain and Jain 2. https://www.askiitians.com/iit-jee- chemistry/physical-chemistry/kohlrausch- law.aspx 3. https://chemwiki.ucdavis.edu