CHAPTER 2 – DETERMINANTS 2.1. The Determinant Function 2.2. Evaluating Determinants by Row Reduction 2.3. Properties of the Determinant Function 2.4. Cofactor Expansion; Cramer’s Rule
The determinant function is  a real-valued function  of a matrix variable input : matrix output : real number
Example 1   A  =    3  1    4  –2 det(A) =  3    (-2)   – 1  4  =  –10
Example 2 B =   1  2  3   1  2  3 -4  5 6  -4  5 6    7  -8 9   7  -8 9       det(B) =  (45+84+96)   – (105+(-48)+(-72))  = 240
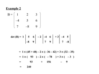
Example 2 B =   1  2  3 – 4  5 6    7  –8  9   det (B) =  1   5  6    – 2  –4  6  + 3  –4  5  – 8  9   7  9  7  –8 =  1    (45 + 48) – 2    (– 36 – 42) + 3    (32 – 35)   =  1    (  93  ) – 2    (  – 78  ) + 3    (  – 3  )   =  93  +  156  –  9 =  240
Theorem:  Let A be a square matrix. If A has a row/column of zeros, then det(A) = 0 Det(A) = det(A T ) Example B =   1  2  3   1  2  3   0  0  0  0  0 0   7  -8 9   7  -8 9       det(B) = 0
Theorem:   If A (n  n) is a triangular / diagonal matrix, then det(A) is the product of the diagonal entries example:   A =  2  7  -3    det(A) = 2  (-3)   6 = -36  0  -3  7  0  0  6   “ Proof”:  2  7  -3   2  7  0   -3  7  0   -3  0  0   6    0  0   
Theorem: If a square matrix A is transformed into matrix B by  ERO 1:  then det(B) = k    det(A) ERO 2:  then det(B) = – det(A) ERO 3:  then det(B) = det(A)
Example   A =    3  1  det (A) =  3  (–2)   – 1  4  = – 10    4  –2  ERO 3:  row 2 – (4/3)    row 1 A’ = 3  1  det (A’) = – 10 = det(A)  0  –10/3
Example 2 B =   1  2  3   1  2  3 – 4  5 6  -4  5 6    7  –8 9   7  –8 9       det(B) =  (45+84+96)   – (105+(-48)+(-72))  = 240 B’ =   1  2  3 B’’ =   1  2  3   0  13  18     0  13  18    0  -22  -12    0  0  240/13     det(B’’) = 240 = det(B) ERO 3: row 2 + 4   row 1; row 3 – 7    row 1 ERO 3: row 3 + (22/13)    row 2 Note:   this “algorithm” is called row reduction
Theorem:     If A is a square matrix A with proportional rows/columns,  then det(A) = 0 Example :  A  =  2  3  5    2   3 5   4  6    10   0  0  0 8  7  11     8  7  11  det(A) = 0 ERO 3: row 2 – 2   row 1
Cramer’s Rule: The solution of a system of linear equation  Ax = b  where det(A)    0 is  unique  and is determined by: x j  =   i = 1, 2, 3, …, n det(A j ) det(A) A j   is obtained by replacing the j-th column of matrix A by  b
How to get the solution space of  a system of linear equations Ax = b  Gaussian elimination & back substitution Gauss-Jordan elimination Find the inverse A –1  and x = A –1 b Cramer’s Rule
Theorem: A square matrix A is  invertible iff det(A)    0 If A is an invertible matrix (with inverse A  –1 )then det(A –1 ) = 1 / (det(A))
Theorem: if  A  is an (n    n) square matrix, then these are equivalent A  is invertible ( A –1  is defined) Ax = 0  has the trivial solution only The reduced row echelon form of  A  is  I n A  can be expressed as a product of elementary matrices Ax = b  is consistent for every (n  1) matrix  b Ax = b  has exactly one solution for every (n  1) matrix  b Det( A )    0
Pelajari sendiri semua definisi, teorema, algoritma yang tidak dibahas di kelas Latihan: 2.1. no. 19 2.2. no. 8 2.3. no. 3 2.4. no. 17

Alin 2.2 2.4

  • 1.
    CHAPTER 2 –DETERMINANTS 2.1. The Determinant Function 2.2. Evaluating Determinants by Row Reduction 2.3. Properties of the Determinant Function 2.4. Cofactor Expansion; Cramer’s Rule
  • 2.
    The determinant functionis a real-valued function of a matrix variable input : matrix output : real number
  • 3.
    Example 1  A = 3 1 4 –2 det(A) = 3  (-2) – 1  4 = –10
  • 4.
    Example 2 B= 1 2 3 1 2 3 -4 5 6 -4 5 6 7 -8 9 7 -8 9   det(B) = (45+84+96) – (105+(-48)+(-72)) = 240
  • 5.
    Example 2 B= 1 2 3 – 4 5 6 7 –8 9 det (B) = 1  5 6 – 2 –4 6 + 3 –4 5 – 8 9 7 9 7 –8 = 1  (45 + 48) – 2  (– 36 – 42) + 3  (32 – 35) = 1  ( 93 ) – 2  ( – 78 ) + 3  ( – 3 ) = 93 + 156 – 9 = 240
  • 6.
    Theorem: LetA be a square matrix. If A has a row/column of zeros, then det(A) = 0 Det(A) = det(A T ) Example B = 1 2 3 1 2 3 0 0 0 0 0 0 7 -8 9 7 -8 9   det(B) = 0
  • 7.
    Theorem: If A (n  n) is a triangular / diagonal matrix, then det(A) is the product of the diagonal entries example: A = 2 7 -3 det(A) = 2  (-3)  6 = -36 0 -3 7 0 0 6 “ Proof”: 2 7 -3 2 7 0 -3 7 0 -3 0 0 6 0 0  
  • 8.
    Theorem: If asquare matrix A is transformed into matrix B by ERO 1: then det(B) = k  det(A) ERO 2: then det(B) = – det(A) ERO 3: then det(B) = det(A)
  • 9.
    Example   A= 3 1 det (A) = 3  (–2) – 1  4 = – 10 4 –2 ERO 3: row 2 – (4/3)  row 1 A’ = 3 1 det (A’) = – 10 = det(A) 0 –10/3
  • 10.
    Example 2 B= 1 2 3 1 2 3 – 4 5 6 -4 5 6 7 –8 9 7 –8 9   det(B) = (45+84+96) – (105+(-48)+(-72)) = 240 B’ = 1 2 3 B’’ = 1 2 3 0 13 18 0 13 18 0 -22 -12 0 0 240/13   det(B’’) = 240 = det(B) ERO 3: row 2 + 4  row 1; row 3 – 7  row 1 ERO 3: row 3 + (22/13)  row 2 Note: this “algorithm” is called row reduction
  • 11.
    Theorem:   If A is a square matrix A with proportional rows/columns, then det(A) = 0 Example : A = 2 3 5 2 3 5 4 6 10 0 0 0 8 7 11 8 7 11 det(A) = 0 ERO 3: row 2 – 2  row 1
  • 12.
    Cramer’s Rule: Thesolution of a system of linear equation Ax = b where det(A)  0 is unique and is determined by: x j = i = 1, 2, 3, …, n det(A j ) det(A) A j is obtained by replacing the j-th column of matrix A by b
  • 13.
    How to getthe solution space of a system of linear equations Ax = b Gaussian elimination & back substitution Gauss-Jordan elimination Find the inverse A –1 and x = A –1 b Cramer’s Rule
  • 14.
    Theorem: A squarematrix A is invertible iff det(A)  0 If A is an invertible matrix (with inverse A –1 )then det(A –1 ) = 1 / (det(A))
  • 15.
    Theorem: if A is an (n  n) square matrix, then these are equivalent A is invertible ( A –1 is defined) Ax = 0 has the trivial solution only The reduced row echelon form of A is I n A can be expressed as a product of elementary matrices Ax = b is consistent for every (n  1) matrix b Ax = b has exactly one solution for every (n  1) matrix b Det( A )  0
  • 16.
    Pelajari sendiri semuadefinisi, teorema, algoritma yang tidak dibahas di kelas Latihan: 2.1. no. 19 2.2. no. 8 2.3. no. 3 2.4. no. 17