FLUID MECHANICS
MME 2252
Chapter: Boundary Layer Theory
Session 1
Dr. Vijay G. S.
Assoc. Prof. Senior Scale
Dept. of Mech. & Mfg. Engg., MIT, Manipal
Phone: 9980032104; email: vijay.gs@manipal.edu
1
Contents of the chapter
Sl. No. Topics Session No.
1. What is a Boundary layer? Terminologies 1
2.
Boundary layer thickness
• Displacement thickness, Momentum thickness, Energy
thickness, numerical problems
1
3.
Drag force on a flat plate due to boundary layer
• Von Karman momentum integral equation
• Local and average drag coefficients
2
4.
Analysis of laminar and turbulent boundary layer,
numerical problems 2
5.
Total drag force on plate due to both laminar and
turbulent boundary layer, numerical problems
3
6. Separation of boundary layer 3 2
Flow

Boundary layer
Inviscid/Irrotational/
Potential flow region
Flow is ideal
Flow is viscous
Leading edge Trailing edge
0.3U
0.6U
0.8U
0.99U
U
0.2U
0.4U
0.6U
0.7U
0.8U
0.9U
0.99U
0.1U
0.3U
0.5U
0.6U
0.7U
0.8U
0.9U
0.99U
U
U
U
Flat plate
x1 x2 x3
y1
y2
y3
0



u
y
0



u
y
What is a boundary layer (BL)?
3
y
x
du
dy
 

Newton’s Law of Viscosity
4
What is a boundary layer (BL)? – contd…
Fig. source: Yunus A. Cingel and John M. Cimbala, Fluid Mechanics Fundamentals and Applications
U = Free stream velocity
0



u
y
0



u
y
A
B
C
Region 1:
Parabolic velocity
distribution
Region 2:
Linear velocity
distribution
What is a boundary layer (BL)? – contd…
 = 0
 exists
5
Boundary layer
formation on
both sides of
the solid body
Fig. source: Dr. R. K. Bansal, A text book of Fuid Mechanics and Hydraulic Machines
Definition of boundary layer:
The boundary layer may be defined as the narrow region of the fluid in the
vicinity of the solid body, around which the fluid is flowing, where the
velocity of the fluid varies (i.e., velocity gradient exists)
What is a boundary layer (BL)? – contd…
6
Fig. source: Dr. R. K. Bansal, A text book of Fuid Mechanics and Hydraulic Machines
Terminologies
Laminar Boundary Layer (AEB): Near
the leading edge of the surface of the plate,
the flow in the boundary layer is laminar
though the main flow is turbulent. This
layer of the fluid is said to be laminar
boundary layer.
Rex
Ux Ux

 
 
ReCr = 5 × 105 Transition zone (BCFE):
The short length over which the boundary layer, beyond length x, the flow
changes from laminar to turbulent is called transition zone.
Turbulent Boundary Layer (CDGF): Further downstream the transition zone, the boundary layer is
turbulent and continues to grow in thickness. This layer of boundary is called turbulent boundary layer.
Laminar Sub-layer: This is the region in the turbulent boundary layer
zone, adjacent to the solid surface of the plate, with very small thickness.
0
o
y
u u
y y
  

 

 
 

 
7
Fig. source: Dr. R. K. Bansal, A text book of Fuid Mechanics and Hydraulic Machines
( =  /)
• It is defined as the perpendicular
distance (measured in the y-
direction) from the surface of the
solid body to the point, where the
velocity of the fluid is
approximately equal to 0.99 times
the free stream velocity U of the
fluid.
8
Boundary layer thickness (BLT) ( ):
• For laminar and turbulent zone it is denoted as:
lam = Thickness of laminar boundary layer,
tur = Thickness of turbulent boundary layer, and
 ' = Thickness of laminar sub-layer.
1 = Boundary layer thickness at x1
2 = Boundary layer thickness at x2
• The velocity of flow inside the BL is less than that outside it.
• The quantities which depend on velocity are
the mass flow rate, ሶ
𝑚 = Q = AV (kg/m3×m2×m/s = kg/s)
the rate of change of momentum , ሶ
𝑚V = AV×V = AV2 (kg/s×m/s = kg.m/s2 = N)
the rate of change of kinetic energy, ½ ሶ
𝑚V2 = ½AV×V2 = ½AV3 (N×m/s = J/s = W)
• Thus, these quantities inside the BL are less than those outside it.
• Based on each quantity, we can define three BL thicknesses:
1) Displacement thickness (*)
2) Momentum thickness ( )
3) Energy thickness (**)
• These are mathematical measures of the BL
Boundary layer thickness (BLT) ( ) – contd…
9
Fig. source: Dr. R. K. Bansal, A text book of Fuid Mechanics and Hydraulic Machines
1. Displacement thickness (*)
• It is defined as the distance, measured
perpendicular to the boundary of the solid
body, by which the boundary will have to
be displaced outward so that the actual
mass flow rate would be same as that of
the ideal fluid past the displaced boundary.
OR
• It is also defined as the distance measured
perpendicular from the actual boundary
such that the mass flux of ideal flow
through this distance is equal to the deficit
of mass flux due to boundary layer
formation
10
Boundary layer thickness (BLT) ( ) – contd…
*
Boundary
layer
1. Displacement thickness (*) – contd…
11
Boundary layer thickness (BLT) ( ) – contd…
dm1 = mass flow rate through the elemental strip
in the presence of BL
dm1 = density × area of c/s × velocity
=  × (b × dy) × u
dm2 = mass flow rate through the elemental strip
if the BL was not present
dm2 = density × c/s area of c/s × velocity
=  × (b × dy) × U
Loss of mass flow rate due to formation of BL is
= dm2 – dm1
=  b (U – u) dy
Total loss of mass flow rate due to formation of BL is  
0
b U u dy


 
 ……………(i)
b
b
dy
c/s of elemental strip
12
1. Displacement thickness (*) – contd…
Boundary layer thickness (BLT) ( ) – contd…
If * is the distance by which the solid surface is displaced,
then the mass flow rate of ideal flow through * is
=  × (b × *) × U ……………(ii)
This is the deficit mass flow rate which must be equal to that in equation (i)
Equating (i) and (ii),
 
0
*
b U b U u dy

  
 

 
0
1
* U u dy
U

  

0
* 1
u
dy
U


 
 
 
 

where,
•  is the boundary layer thickness at a distance x
from the leading edge
• u is the velocity inside the BL
• U is the constant streamline velocity outside the
boundary layer
2. Momentum thickness ( )
• It is defined as the distance, measured
perpendicular to the boundary of the solid
body, by which the boundary should be
displaced to compensate for the reduction in
momentum of the flowing fluid on account of
formation of boundary layer.
OR
• It is also defined as the distance measured
perpendicular from the actual boundary such
that the momentum flux through this distance
is equal to the deficit of the momentum flux
due to the formation of boundary layer
13
Boundary layer thickness (BLT) ( ) – contd…

Boundary
layer
2. Momentum thickness ( ) – contd…
14
Boundary layer thickness (BLT) ( ) – contd…
dp1 = momentum flux through the elemental
strip in the presence of BL
dp1 = mass flow rate × velocity
= [ × (b × dy) × u] × u
dp2 = momentum flux through the elemental
strip if the BL was not present
dp2 = mass flow rate × velocity
= [ × (b × dy) × u] × U
Loss of momentum flux due to formation of BL is
= dp2 – dp1
=  b uU dy -  b u2 dy =  b (uU – u2) dy
Total loss of momentum flux due to formation of BL is  
2
0
b uU u dy


 
 ……….(iii)
b
b
dy
c/s of elemental strip
Fig. source: Dr. R. K. Bansal, A text book of Fuid Mechanics and Hydraulic Machines
15
Boundary layer thickness (BLT) ( ) – contd…
If  is the distance by which the solid surface is displaced,
then the momentum flux through  is
= mass flow rate × velocity
= [ × (b ×  ) × U ] × U =  b  U2 ……………(iv)
This is the deficit of the momentum flux which must be equal to that in equation (iii)
Equating (iii) and (iv),
 
2 2
0
b U b uU u dy

  
 

 
2
2
2
0 0
1 u u
uU u dy dy
U U U
 

 
 
   
 
 
 
 
 
 
0
1
u u
dy
U U


 
 
 
 

where,
•  is the boundary layer thickness at a
distance x from the leading edge
• u is the velocity inside the BL
• U is the constant streamline velocity
outside the boundary layer
2. Momentum thickness ( ) – contd…
3. Energy thickness (** )
• It is the distance perpendicular to the
boundary by which the boundary has to be
displaced to compensate for the reduction in
the kinetic energy flux of the fluid caused due
to the formation of the boundary layer.
OR
• It is also defined as the distance measured
perpendicular from the actual boundary such
that the kinetic energy flux through this
distance is equal to the deficit of the kinetic
energy flux due to the boundary layer
formation
16
Boundary layer thickness (BLT) ( ) – contd…
**
Boundary
layer
3. Energy thickness (** ) – contd…
17
Boundary layer thickness (BLT) ( ) – contd…
dKE1 = KE flux through the elemental strip in
the presence of BL
dKE1 = ½ × mass flow rate × velocity2
= ½ × [  × (b × dy) × u ] × u2
dKE2 = KE flux through the elemental strip if the
BL was not present
dKE2 = ½ × mass flow rate × velocity2
= ½ × [  × (b × dy) × u ] × U2
Loss of KE flux due to formation of BL is
= dKE2 – dKE1
= ½ [ b uU2 dy -  b u3 dy = ½ b (uU2 – u3) dy
Total loss of KE flux due to formation of BL is  
2 3
0
1
2


 
 b uU u dy ……………(v)
b
b
dy
c/s of elemental strip
Fig. source: Dr. R. K. Bansal, A text book of Fuid Mechanics and Hydraulic Machines
18
Boundary layer thickness (BLT) ( ) – contd…
If ** is the distance by which the solid surface is displaced,
then the KE flux through ** is
= ½ × mass flow rate × velocity2
= ½ × [ × (b × ** ) × U ] × U2 = ½  b ** U3 ……………(vi)
This is the deficit of the KE flux which must be equal to that in equation (v)
Equating (v) and (vi),
 
3 2 3
0
1 1
**
2 2

  
 

b U b uU u dy
 
3
2 3
3
0 0
1
**
u u
uU u dy dy
U U U
 

 
 
   
 
 
 
 
 
 
2
0
** 1
u u
dy
U U


 
 
 
 
 
 
 
 

where,
•  is the boundary layer thickness at a
distance x from the leading edge
• u is the velocity inside the BL
• U is the constant streamline velocity
outside the boundary layer
3. Energy thickness (** ) – contd…
It is defined as the ratio of the displacement thickness * to the momentum
thickness .
19
Boundary layer thickness (BLT) ( ) – contd…
Shape Factor (H):
*



H
PROBLEMS ON BOUNDARY LAYER THEORY
(SESSION 1)
20
Problem 1: Find the displacement thickness, momentum thickness and energy
thickness for the velocity distribution in the boundary layer is given by
𝑢
𝑈
=
𝑦
𝛿
,
where ‘u’ is the velocity at a distance ‘y’ from the plate and u = U at y = , where
 is the boundary layer thickness. Also find the ratio of displacement thickness to
momentum thickness.
21
22
Problem 1 – contd…
(iv)
23
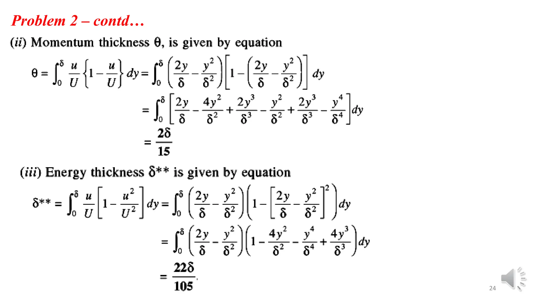
Problem 2: Find the displacement thickness, momentum thickness and energy
thickness for the velocity distribution in the boundary layer is given by
𝑢
𝑈
= 2
𝑦
𝛿
-
𝑦
𝛿
2
, where ‘u’ is the velocity at a distance ‘y’ from the plate and u =
U at y = , where  is the boundary layer thickness.
24
Problem 2 – contd…
FLUID MECHANICS
MME 2252
Chapter: Boundary Layer Theory
Session 2
Dr. Vijay G. S.
Assoc. Prof. Senior Scale
Dept. of Mech. & Mfg. Engg., MIT, Manipal
Phone: 9980032104; email: vijay.gs@manipal.edu
25
Contents of the chapter
Sl. No. Topics Session No.
1. What is a Boundary layer? Terminologies 1
2.
Boundary layer thickness
• Displacement thickness, Momentum thickness, Energy
thickness, numerical problems
1
3.
Drag force on a flat plate due to boundary layer
• Von Karman momentum integral equation
• Local and average drag coefficients
2
4.
Analysis of laminar and turbulent boundary layer,
numerical problems 2
5.
Total drag force on plate due to both laminar and
turbulent boundary layer, numerical problems
3
6. Separation of boundary layer 3 26
Force exerted by a flowing fluid on a stationary body
• Total force (FR): It is the force exerted by the
fluid on the body, perpendicular to the surface
of the body and inclined to the direction of
motion.
• Drag (FD): The component of the total force (FR)
in the direction of motion is called 'drag'.
• It is the force exerted by the fluid in the
direction of fluid flow.
• Lift (FL): The component of the total force (FR) in
the direction perpendicular to the direction of
motion is known as 'lift'.
• It is the force exerted by the fluid in the direction
perpendicular to the direction of fluid flow.
Fig. source: Dr. R. K. Bansal, A text book of Fuid Mechanics and Hydraulic Machines
Drag force (FD) is
important in the
chapter “BLT”

Drag force on a flat plate due to formation of BL
28
What is a drag force?
The force experienced by a body, immersed in a fluid flow field, in the
direction of fluid flow is called the DRAG force.
There are two types of Drag forces:
1. Pressure Drag: This is the drag force
due to the component of the pressure
force in the direction of flow
2. Skin Drag or Skin Friction Drag:
This is the drag force developed on the
skin or surface of the solid body
(tangential/parallel to surface) due to
the shear stress developed there by
viscous effect. Fig. source: Dr. R. K. Bansal, A text book of Fuid Mechanics and Hydraulic Machines
29
Drag force on a flat plate due to formation of BL – contd…
• Drag force tends to push the body in
the direction of flow.
• Drag force acts in the direction of
fluid flow.
What is a drag force – contd…
Body is stationary and fluid is in
motion
Body is moving and fluid is stationary
• Drag force tends to push the body in
the direction opposite to its motion.
• Drag force acts in a direction
opposite to the motion of the body.
Direction of
drag force
Direction of
drag force
30
Drag force on a flat plate due to formation of BL – contd…
What is a drag force – contd…
When Both body and fluid are in motion
Direction of
drag force
Direction of
fluid flow
Direction of
body motion
Conclusion: Drag force acts in the direction of fluid motion
Drag force in Boundary Layer Theory:
• The skin friction drag is of importance in BLT
31
Drag force on a flat plate due to formation of BL – contd…
b
L
y
x
Newton’s law of viscosity
 

du
dy
Shear stress (or wall shear stress) at
the plate surface = o
(where y = 0)
(  0)
0
 

 
  
 
o
y
du
dy
Skin friction drag force
FD = o×Shear Area
FD = o×L×b
32
Von Karman Momentum Integral Equation
This equation is used for
• Computing the Boundary Layer Thickness,  (both in laminar and turbulent flow regions)
• Computing the drag force on the plate, FD
• Computing the local coefficient of drag, CDx
• Computing the average coefficient of drag, CDL
33
Von Karman Momentum Integral Equation – contd…
o
• ABCD is a control volume at distance x from leading edge
• Length of the control volume = dx
• Shear stress o is assumed to be constant within the CV since dx is very small
• Shear stress (drag force) acting on plate is in direction of fluid flow
• Shear stress (drag force) experienced by fluid is opposite to the direction of flow
L
b

34
Von Karman Momentum Integral Equation – contd…
Shear stress at the plate surface (wall shear stress) = o
(where y = 0)
(  0)
0
 

 
  
 
o
y
du
dy
The drag force or shear force over the length dx
of plate is,
dFD = shear stress × area
dFD = o × (b × dx)
Applying principle of conservation of linear momentum,
- dFD = net rate of change of momentum in the CV
Net rate of change of momentum in CV = (mass rate × velocity)
ሶ
𝑃 = ( ሶ
𝑚 × 𝑉)
Net momentum flux in CV = Total momentum flux leaving CV
– Total momentum flux entering CV
o

35
Von Karman Momentum Integral Equation – contd…
  ( )
BC AD DC
P P P P a
      
Net momentum flux in CV = Momentum flux leaving BC –
(Momentum flux entering AD + Momentum flux entering DC)
Momentum flux leaving BC
BC
P 
AD
BC AD
P
P P dx
x

  

DC
P  Momentum flux entering DC
= mass flux entering DC × velocity
DC
m U
 
o
36
  ( )
BC AD DC
P P P P a
      
Von Karman Momentum Integral Equation – contd…
 
AD
AD AD DC
P
P P dx P m U
x
 

     
 

 
( )
AD
DC
P
P dx m U b
x

       

??
AD
P 
??
DC
m 
o
37
Von Karman Momentum Integral Equation – contd…

??
DC
m 
0
.
AD AD
DC BC AD AD AD
m m
m m m m dx m dx bu dy dx
x x x


 
  
 
        
 
  
   

AD
BC AD
m
m m dx
x

  

Let d ሶ
𝑚 = Mass flux through elemental strip of thickness dy
d ሶ
𝑚 =  × dQ =  × (area of elemental strip × velocity)
d ሶ
𝑚 =  × [(b × dy) × u)]
0
. ( )
AD
m bu dy c


    

Find AD
m
Consider thin strip of thickness dy at distance y, here velocity = u
Find BC
m
BC AD DC
m m m
  DC BC AD
m m m
  
38
0
AD
P Momentum flux entering thin strip

 
0
.
DC
m bu dy dx
x


 

 
 
  

Von Karman Momentum Integral Equation – contd…
??
AD
P 
o
0
AD
P Mass flux entering thin strip velocity

 

2
0 0
AD
P budy u bu dy
 
 
  
 
( )
AD
DC
P
P dx m U b
x

       

2
0 0
.
P bu dy dx bu dy dx U
x x
 
 
 
   
 
   
 
 
 
 
 
   
 
 
 
2
0

 
 
P b u uU dydx
x


39
Applying principle of conservation of linear momentum,
- dFD = net rate of change of momentum in the CV
- dFD = ሶ
𝑃
Von Karman Momentum Integral Equation – contd…
dFD = o × (b × dx)
 
2
0
. .
ob dx b u uU dy dx
x

 

  
 
 
2
0
o uU u dy
x

 

 
 
2
2
2
0
o
u u
U dy
x U U

 
 

 
 
  

2
0
1
o u u
dy
U x U U



 
  
 
 
 
  
 

 
2
0
P b u uU dydx
x



 
 
0
1
u u
dy
U U


 
 
 
 

2
o
x
U
 




Von Karman
Momentum
Integral equation
o

• The Von Karman Momentum Integral Equation is
• It can be applied to
• Laminar boundary layers
• Transition boundary layers
• Turbulent boundary layers
40
Application of Von Karman Momentum Integral Equation
2
o
x
U
 




To find the Boundary Layer Thickness
• In any BL problem, the velocity profile
function u/U will be provided.
• Step 1: Use the Von Karman
Momentum Integral equation and
find the wall shear stress o.
• First find Momentum thickness ,
generally  = f()
• Substitute  in Vor Karman equation and
get the wall shear stress o, generally o
= g(). Let this be eq (A)
41
Application of Von Karman Momentum Integral Equation
0
1
u u
dy
U U


 
 
 
 

2
o
U x
 




Step 2: Use the Newton's law of
viscosity and find the wall shear stress
o.
• Use the velocity profile function and
find expression for (du/dy) by
differentiating expression for u.
Substitute y = 0 to get (du/dy)y=0
• Substitute (du/dy)y=0 in equation for
Newton’s Law of Viscosity and get the
wall shear stress o, generally o = h().
Let this be eq (B)
Step 3: Equate eq (A) to eqn (B) to
get the BLT, 
0
 

 
  
 
o
y
du
dy
Once we know o, we can obtain
• Drag force on the plate, FD
• Local coefficient of drag, CDx
• Average coefficient of drag, CDL
• The drag force FD on the entire length L of the plate is obtained by
• The local coefficient of drag is defined as
• The average coefficient of drag is defined as
42
Application of Von Karman Momentum Integral Equation
0 0
L L
D D o
F dF bdx

 
 
2
1
2
o
Dx
Wall shear stress
C
Dynamic pressure U


 
2
1
2
D
DL
F
Drag force over entire length of plate
C
Dynamic pressure Area of plate U A

 
 
Local coefficient of drag is the value at a
location x from the leading edge of the plate
Average coefficient of drag
is the overall value over
entire length L of the plate
(A = L × b)
Problem 1: For the velocity profile given below, find expression for
(a) Boundary layer thickness  (b) Shear stress o (c) Local coefficient of drag
CDx and (d) Average coefficient of drag CDL in terms of the Reynold’s number
43
2
2
u y y
U  
   
 
   
   
2
o
U x
 




0
1
u u
dy
U U


 
 
 
 

First find Momentum thickness  Substitute for  in Von Karman equation
2 2
2 2
0
2 2
1
y y y y
dy


   
 
   
   
 
   
   
 

2
15

 
2
2 2
15 15
o
U x x
  

 
 
 
 
 
 
2
2
( )
15
o U A
x

 

     

44
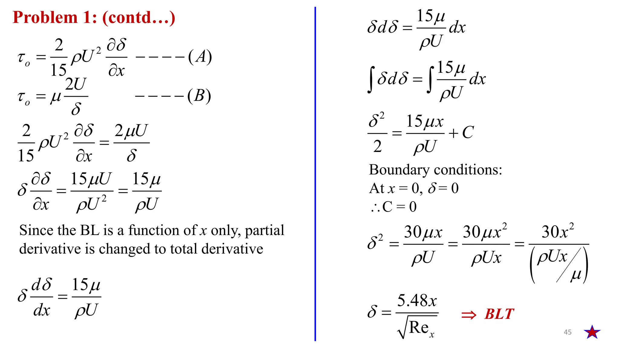
Problem 1: (contd…)
Determine the wall shear stress using Newton’s law of viscosity
0
 

 
  
 
o
y
du
dy
2
2
2
u y y
U  
 
 
 
 
0
o
y
du
dy
 

 
  
 
2
2
2y y
u U
 
 
 
 
 
2
2 2
du y
U
dy  
 
 
 
 
2
0
2 2 0 2
y
du U
U
dy   

  
 
  
   
 
 
2
( )
o
U
B
 

    
45
Problem 1: (contd…)
2
2
( )
15
o U A
x

 

    

2
( )
o
U
B
 

    
2
2
2 2
15
15 15
U
U
x
U
x U U
 


  

 




 

15
d
dx U
 



2
15
15
15
2
d dx
U
d dx
U
x
C
U

 


 

 



 
 
Since the BL is a function of x only, partial
derivative is changed to total derivative
Boundary conditions:
At x = 0,  = 0
C = 0
 
2 2
2 30 30 30
5.48
Rex
x x x
Ux
U Ux
x
 


 


  
  BLT
To find the local coefficient of drag, CDx
46
Problem 1: (contd…)
2
1
2
o
Dx
C
U



2
o
U




5.48
Rex
x
 
2 2
5.48
Re
0.365 Re
o
x
x
U U
x
U
x
 



 
 
 
 
 

2
1
2
o
Dx
C
U



2
1
2
0.365 Rex
Dx
U
x
C
U


 
 
 
 

2 0.365 Rex
Dx
C
Ux




 
0.73 Re 0.73 Re
Re
x x
Dx
x
C
Ux


 
0.73
Re
Dx
x
C   Local Drag Coefficient
To find the average coefficient of drag, CDL
47
Problem 1: (contd…)
2
1
2
D
DL
F
C
U A


0.365 Rex
o
U
x

 
1.46
Re
DL
L
C   Avg. Drag Coefficient
0
L
D o
F bdx

 
0
0.365 Re
L
x
D
U
F bdx
x

 
  
 
 

0
0.365
L
D
Ux
F b U dx
x



 
0
0.365
L
D
U x
F b U dx
x



 
1
2
0
0.365
L
D
U
F b U x dx




 
0.73
D
UL
F b U




0.73 Re
D L
F b U


 
2 2
1 1
2 2
0.73 ReL
D
DL
b U
F
C
U A U bL

 
 
2 0.73 Re 1.46 Re
Re
L L
DL
L
C
UL



 
Note: For all Laminar BL flows, CDL = 2 CDx
48
Analysis of laminar and turbulent BLs
Depending upon various factors like
 free stream velocity U,
 fluid properties density  and viscosity ,
 plate properties like length L, width b, surface roughness, etc.,
the boundary layer flow over the plate may be of two types
(a) Flow is laminar over entire length L of
plate
(b) Flow is laminar over a small length X1
and turbulent over remaining length (L-X1)
of plate
49
Analysis of laminar BL
Case (a): Flow is laminar over entire length L of plate
• WKT the Reynolds number is given as
x
Ux Ux
Re

 
 
• The critical Reynold’s number is
ReCr = 5 × 105
• When x = L is substituted in Rex, and if we get
ReL < ReCr,
then the BL flow is LAMINAR over the
entire length L of the plate
50
Laminar flow:  and CDL for different velocity profiles
Table source: Dr. R. K. Bansal, A text book of Fuid Mechanics and Hydraulic Machines
• In table above, 1 through 4 show equations of  and CDL for different velocity distributions
• Important: If the velocity distribution u/U is not given, then we use the Blasius’s solution
to calculate  and CDL
Analysis of laminar BLs – Contd… Solved in
problem 1
51
Problem 2: A plate of 600 mm length and 400 mm wide is immersed in a fluid of
specific gravity 0.9 and kinematic viscosity 10-4 m2/s. The fluid is moving with a
velocity of 6 m/s. Determine (i) boundary layer thickness, (ii) shear Stress at the
end of the plate, and (iii) drag force on one side of the plate.
Note: In this problem,
the velocity distribution
function u/U is not given.
So we use the Blasius’s
solution
52
Problem 2: (contd…)
2
1
2
2 2
1
4
2
1.328
2
Re
1.328 0.332
Re Re
DL Dx
o
L
o
L L
C C
U
U U


 

 
 
 
 
WKT, for Laminar BL flow
53
Problem 2: (contd…)
WKT, the average coefficient of drag is given as 2
1
2
D
DL
F
C
U A



2
1
2
D DL
F C U A

 
CDL from Blasius’s solution is
1.328
Re
DL
L
C 
 
2 2
1 1
2 2
0.00699 900 6 0.6 0.4
26.78
D DL
D
F C U A
F N

        

(A = L×b = 0.6×0.4)
54
Analysis of turbulent BL
Case (b): Flow is laminar over a small length X1 and turbulent over remaining
length (L-X1) of plate
• WKT the Reynolds number is given as
x
Ux Ux
Re

 
 
• The critical Reynold’s number is
ReCr = 5 × 105
• When x = L is substituted in Rex, and if we
get ReL > ReCr,
then the BL flow is LAMINAR over a length X1 of the plate, and turbulent over
the remaining length (L – X1) of the plate
5
5
1
5 10
5 10
Ux
x
U
X
 
 

  

 
• Length of Laminar BL can be found by
• Blasius assumed a general velocity profile for all turbulent BL flows
55
Analysis of turbulent BLs – Contd…
Blasius’s solution for turbulent BL flow over a flat plate of length L, width b
n
u y
U 
 
  
 
1
7
where n 
• Assuming that flow is turbulent over entire
length L of the plate, he gave solutions for BLT
( ), and Avg. Drag Coefficient (CDL):
BLT is given as
 
1
5
0 37
x
. x
Re
 
Avg. Coeff. of drag is given as
 
1
5
0.072
Re
DL
L
C 
Valid only for 5×105 < ReL < 107
Practically, by providing a special
geometry at the leading edge, only
turbulent flow over the entire length
L of the plate can be obtained.
End of session 2….
56
FLUID MECHANICS
MME 2252
Chapter: Boundary Layer Theory
Session 3
Dr. Vijay G. S.
Assoc. Prof. Senior Scale
Dept. of Mech. & Mfg. Engg., MIT, Manipal
Phone: 9980032104; email: vijay.gs@manipal.edu
57
Contents of the chapter
Sl. No. Topics Session No.
1. What is a Boundary layer? Terminologies 1
2.
Boundary layer thickness
• Displacement thickness, Momentum thickness, Energy
thickness, numerical problems
1
3.
Drag force on a flat plate due to boundary layer
• Von Karman momentum integral equation
• Local and average drag coefficients
2
4.
Analysis of laminar and turbulent boundary layer,
numerical problems 2
5.
Total drag force on plate due to both laminar and
turbulent boundary layer, numerical problems
3
6. Separation of boundary layer 3 58
59
Drag force FD for Laminar BL flow
Assumption: Flow is laminar over entire length L of plate
According to Blasius’s solution, the BLT () and
the Avg. Coeff. of drag (CDL) are given as
BLT is given as
4 91
x
. x
Re
 
Avg. Coeff. of drag is given as
1.328
Re
DL
L
C 
2
1
2
D
DL
F
C
U A



2
1
2
1 328
D
L
.
F U A
Re

 
  
 
 
But by definition, the Avg. Coeff. of
drag is given as
Thus Drag force on the entire plate is given by
2
1
2
1.328
Re
D
L
F
U A



60
Drag force FD for Turbulent BL flow
Assumption: Flow is turbulent over entire length L of plate
According to Blasius’s solution, the BLT () and
the Avg. Coeff. of drag (CDL) are given as
BLT is given as
 
1
5
0 37
x
. x
Re
 
Avg. Coeff. of drag is given as
 
1
5
0.072
Re
DL
L
C 
2
1
2
D
DL
F
C
U A



But by definition, the Avg. Coeff. of
drag is given as
Thus Drag force on the entire plate is given by
 
1
2
1
5
2
0.072
Re
D
L
F
U A



 
2
1
2 1
5
0 072
D
L
.
F U A
Re

 
 

 
 
61
Drag force FD for Laminar-Turbulent BL flow
Step 1: Compute drag force FD1 over entire
length L of the plate (assuming flow is turbulent
all over)
 
1
1
2
1
5
2
0.072
Re
D
DL
L
F
C
U A

 

Step 2: Compute drag force FD2 over length X1
(assuming flow is turbulent over length X1)
 
2
1
2
1
5
1
2 1
0.072
Re
D
DL
X X
F
C
U A

 

(AX1 = X1× b)
Then, Drag force (FD)Tur due to turbulent BL is
(FD)Tur = FD1 – FD2
Step 3: Compute drag force (FD)Lam over
length X1 (assuming flow is laminar
over length X1)
Flow is laminar over a small length X1 and
turbulent over remaining length (L-X1) of plate
 
2
1
1
2 1
1.328
Re
D Lam
DL
X X
F
C
U A

 

Total Drag force (FD)T due to laminar-turbulent BL is
(FD)Total = (FD)Tur – (FD)Lam
(A = L× b)
62
(FD)Total = (FD)Tur +
Drag force FD for Laminar-Turbulent BL flow
FD1 FD2
(FD)Lam
(FD)Tur = -
63
Problem 1: A smooth plate of length 4 m and of width 1.5 m, is moving with a
velocity of 4 m/s in stationary air. Take kinematic viscosity of air as 1.5×10-5
m2/s. Take  for air 1.226 kg/m3.
(i) Determine the thickness of the boundary layer at the trailing edge of the plate.
(ii) Determine the total drag on one side of the plate assuming that
(a) the boundary layer is laminar over the entire length of the plate and
(b) the boundary layer is turbulent from the very beginning.
As the Re at the trailing edge is > 5×105,
the BL flow is turbulent at the trailing
edge
64
Problem 1: (contd…)
(i) For turbulent BL, as per Blasius’s solution, the BLT at the trailing edge is
(ii a) When the BL is laminar over the entire length of plate
For laminar BL, as per Blasius’s solution, the Avg. Coeff. of Drag is given as
65
Problem 1: (contd…)
(ii b) When the BL is turbulent over the entire length of plate
For turbulent BL, as per Blasius’s solution, the Avg. Coeff. of Drag is given as
66
Problem 2: Water is flowing over a thin smooth plate of length 4 m and width 2
m at a velocity of 1 m/s. If the boundary layer flow changes from laminar to
turbulent at a Reynold number 5 × 105, find
(i) the distance from leading edge upto which boundary layer is laminar,
(ii) the thickness of the boundary layer at the transition point, and
(iii)the drag force on one side of the plate.
Take viscosity ofwater 9.81 × 10-4 Ns/m2.
67
Problem 2: (contd…)
(ii) Thickness of boundary layer at the point where
the boundary layer changes from laminar to
turbulent i.e., at Reynold number 5 × 105, is given
by Blasius's solution as
68
Problem 2: (contd…)
From Blasius's solution, for turbulent layer
69
Problem 2: (contd…)
70
Problem 2: (contd…)
71
Boundary layer separation
• As a boundary layer is formed on the surface of a solid body, it continues to grow
in its thickness.
• But along the length of the solid body, at a certain point, a stage comes when the
boundary layer may not be able to keep sticking to the solid body, if it cannot
provide the kinetic energy to overcome the resistance offered by the solid body.
• Thus the boundary layer will be separated from the surface of the solid body.
• This phenomenon is called as “Boundary layer separation”.
• The point on the body at which the boundary layer is on the verge of separation
from the surface is called “point of separation”.
72
Fig. source: Dr. R. K. Bansal, A text book of Fuid Mechanics and Hydraulic Machines
Boundary layer separation – contd…
73
Boundary layer separation – contd…
74
Fig. source: https://www.quora.com/Why-does-the-boundary-layer-separation-occur
Boundary layer separation – contd…
75
Fig. source: https://aerospaceengineeringblog.com/boundary-layer-separation-and-pressure-drag/
Boundary layer separation – contd…
End of session 3….
77

011 (PPT) Boundary Layer Flow.pdf .

  • 1.
    FLUID MECHANICS MME 2252 Chapter:Boundary Layer Theory Session 1 Dr. Vijay G. S. Assoc. Prof. Senior Scale Dept. of Mech. & Mfg. Engg., MIT, Manipal Phone: 9980032104; email: vijay.gs@manipal.edu 1
  • 2.
    Contents of thechapter Sl. No. Topics Session No. 1. What is a Boundary layer? Terminologies 1 2. Boundary layer thickness • Displacement thickness, Momentum thickness, Energy thickness, numerical problems 1 3. Drag force on a flat plate due to boundary layer • Von Karman momentum integral equation • Local and average drag coefficients 2 4. Analysis of laminar and turbulent boundary layer, numerical problems 2 5. Total drag force on plate due to both laminar and turbulent boundary layer, numerical problems 3 6. Separation of boundary layer 3 2
  • 3.
    Flow  Boundary layer Inviscid/Irrotational/ Potential flowregion Flow is ideal Flow is viscous Leading edge Trailing edge 0.3U 0.6U 0.8U 0.99U U 0.2U 0.4U 0.6U 0.7U 0.8U 0.9U 0.99U 0.1U 0.3U 0.5U 0.6U 0.7U 0.8U 0.9U 0.99U U U U Flat plate x1 x2 x3 y1 y2 y3 0    u y 0    u y What is a boundary layer (BL)? 3 y x du dy    Newton’s Law of Viscosity
  • 4.
    4 What is aboundary layer (BL)? – contd… Fig. source: Yunus A. Cingel and John M. Cimbala, Fluid Mechanics Fundamentals and Applications
  • 5.
    U = Freestream velocity 0    u y 0    u y A B C Region 1: Parabolic velocity distribution Region 2: Linear velocity distribution What is a boundary layer (BL)? – contd…  = 0  exists 5 Boundary layer formation on both sides of the solid body Fig. source: Dr. R. K. Bansal, A text book of Fuid Mechanics and Hydraulic Machines
  • 6.
    Definition of boundarylayer: The boundary layer may be defined as the narrow region of the fluid in the vicinity of the solid body, around which the fluid is flowing, where the velocity of the fluid varies (i.e., velocity gradient exists) What is a boundary layer (BL)? – contd… 6 Fig. source: Dr. R. K. Bansal, A text book of Fuid Mechanics and Hydraulic Machines
  • 7.
    Terminologies Laminar Boundary Layer(AEB): Near the leading edge of the surface of the plate, the flow in the boundary layer is laminar though the main flow is turbulent. This layer of the fluid is said to be laminar boundary layer. Rex Ux Ux      ReCr = 5 × 105 Transition zone (BCFE): The short length over which the boundary layer, beyond length x, the flow changes from laminar to turbulent is called transition zone. Turbulent Boundary Layer (CDGF): Further downstream the transition zone, the boundary layer is turbulent and continues to grow in thickness. This layer of boundary is called turbulent boundary layer. Laminar Sub-layer: This is the region in the turbulent boundary layer zone, adjacent to the solid surface of the plate, with very small thickness. 0 o y u u y y               7 Fig. source: Dr. R. K. Bansal, A text book of Fuid Mechanics and Hydraulic Machines ( =  /)
  • 8.
    • It isdefined as the perpendicular distance (measured in the y- direction) from the surface of the solid body to the point, where the velocity of the fluid is approximately equal to 0.99 times the free stream velocity U of the fluid. 8 Boundary layer thickness (BLT) ( ): • For laminar and turbulent zone it is denoted as: lam = Thickness of laminar boundary layer, tur = Thickness of turbulent boundary layer, and  ' = Thickness of laminar sub-layer. 1 = Boundary layer thickness at x1 2 = Boundary layer thickness at x2
  • 9.
    • The velocityof flow inside the BL is less than that outside it. • The quantities which depend on velocity are the mass flow rate, ሶ 𝑚 = Q = AV (kg/m3×m2×m/s = kg/s) the rate of change of momentum , ሶ 𝑚V = AV×V = AV2 (kg/s×m/s = kg.m/s2 = N) the rate of change of kinetic energy, ½ ሶ 𝑚V2 = ½AV×V2 = ½AV3 (N×m/s = J/s = W) • Thus, these quantities inside the BL are less than those outside it. • Based on each quantity, we can define three BL thicknesses: 1) Displacement thickness (*) 2) Momentum thickness ( ) 3) Energy thickness (**) • These are mathematical measures of the BL Boundary layer thickness (BLT) ( ) – contd… 9 Fig. source: Dr. R. K. Bansal, A text book of Fuid Mechanics and Hydraulic Machines
  • 10.
    1. Displacement thickness(*) • It is defined as the distance, measured perpendicular to the boundary of the solid body, by which the boundary will have to be displaced outward so that the actual mass flow rate would be same as that of the ideal fluid past the displaced boundary. OR • It is also defined as the distance measured perpendicular from the actual boundary such that the mass flux of ideal flow through this distance is equal to the deficit of mass flux due to boundary layer formation 10 Boundary layer thickness (BLT) ( ) – contd… * Boundary layer
  • 11.
    1. Displacement thickness(*) – contd… 11 Boundary layer thickness (BLT) ( ) – contd… dm1 = mass flow rate through the elemental strip in the presence of BL dm1 = density × area of c/s × velocity =  × (b × dy) × u dm2 = mass flow rate through the elemental strip if the BL was not present dm2 = density × c/s area of c/s × velocity =  × (b × dy) × U Loss of mass flow rate due to formation of BL is = dm2 – dm1 =  b (U – u) dy Total loss of mass flow rate due to formation of BL is   0 b U u dy      ……………(i) b b dy c/s of elemental strip
  • 12.
    12 1. Displacement thickness(*) – contd… Boundary layer thickness (BLT) ( ) – contd… If * is the distance by which the solid surface is displaced, then the mass flow rate of ideal flow through * is =  × (b × *) × U ……………(ii) This is the deficit mass flow rate which must be equal to that in equation (i) Equating (i) and (ii),   0 * b U b U u dy          0 1 * U u dy U      0 * 1 u dy U            where, •  is the boundary layer thickness at a distance x from the leading edge • u is the velocity inside the BL • U is the constant streamline velocity outside the boundary layer
  • 13.
    2. Momentum thickness( ) • It is defined as the distance, measured perpendicular to the boundary of the solid body, by which the boundary should be displaced to compensate for the reduction in momentum of the flowing fluid on account of formation of boundary layer. OR • It is also defined as the distance measured perpendicular from the actual boundary such that the momentum flux through this distance is equal to the deficit of the momentum flux due to the formation of boundary layer 13 Boundary layer thickness (BLT) ( ) – contd…  Boundary layer
  • 14.
    2. Momentum thickness( ) – contd… 14 Boundary layer thickness (BLT) ( ) – contd… dp1 = momentum flux through the elemental strip in the presence of BL dp1 = mass flow rate × velocity = [ × (b × dy) × u] × u dp2 = momentum flux through the elemental strip if the BL was not present dp2 = mass flow rate × velocity = [ × (b × dy) × u] × U Loss of momentum flux due to formation of BL is = dp2 – dp1 =  b uU dy -  b u2 dy =  b (uU – u2) dy Total loss of momentum flux due to formation of BL is   2 0 b uU u dy      ……….(iii) b b dy c/s of elemental strip Fig. source: Dr. R. K. Bansal, A text book of Fuid Mechanics and Hydraulic Machines
  • 15.
    15 Boundary layer thickness(BLT) ( ) – contd… If  is the distance by which the solid surface is displaced, then the momentum flux through  is = mass flow rate × velocity = [ × (b ×  ) × U ] × U =  b  U2 ……………(iv) This is the deficit of the momentum flux which must be equal to that in equation (iii) Equating (iii) and (iv),   2 2 0 b U b uU u dy          2 2 2 0 0 1 u u uU u dy dy U U U                        0 1 u u dy U U            where, •  is the boundary layer thickness at a distance x from the leading edge • u is the velocity inside the BL • U is the constant streamline velocity outside the boundary layer 2. Momentum thickness ( ) – contd…
  • 16.
    3. Energy thickness(** ) • It is the distance perpendicular to the boundary by which the boundary has to be displaced to compensate for the reduction in the kinetic energy flux of the fluid caused due to the formation of the boundary layer. OR • It is also defined as the distance measured perpendicular from the actual boundary such that the kinetic energy flux through this distance is equal to the deficit of the kinetic energy flux due to the boundary layer formation 16 Boundary layer thickness (BLT) ( ) – contd… ** Boundary layer
  • 17.
    3. Energy thickness(** ) – contd… 17 Boundary layer thickness (BLT) ( ) – contd… dKE1 = KE flux through the elemental strip in the presence of BL dKE1 = ½ × mass flow rate × velocity2 = ½ × [  × (b × dy) × u ] × u2 dKE2 = KE flux through the elemental strip if the BL was not present dKE2 = ½ × mass flow rate × velocity2 = ½ × [  × (b × dy) × u ] × U2 Loss of KE flux due to formation of BL is = dKE2 – dKE1 = ½ [ b uU2 dy -  b u3 dy = ½ b (uU2 – u3) dy Total loss of KE flux due to formation of BL is   2 3 0 1 2      b uU u dy ……………(v) b b dy c/s of elemental strip Fig. source: Dr. R. K. Bansal, A text book of Fuid Mechanics and Hydraulic Machines
  • 18.
    18 Boundary layer thickness(BLT) ( ) – contd… If ** is the distance by which the solid surface is displaced, then the KE flux through ** is = ½ × mass flow rate × velocity2 = ½ × [ × (b × ** ) × U ] × U2 = ½  b ** U3 ……………(vi) This is the deficit of the KE flux which must be equal to that in equation (v) Equating (v) and (vi),   3 2 3 0 1 1 ** 2 2        b U b uU u dy   3 2 3 3 0 0 1 ** u u uU u dy dy U U U                        2 0 ** 1 u u dy U U                    where, •  is the boundary layer thickness at a distance x from the leading edge • u is the velocity inside the BL • U is the constant streamline velocity outside the boundary layer 3. Energy thickness (** ) – contd…
  • 19.
    It is definedas the ratio of the displacement thickness * to the momentum thickness . 19 Boundary layer thickness (BLT) ( ) – contd… Shape Factor (H): *    H
  • 20.
    PROBLEMS ON BOUNDARYLAYER THEORY (SESSION 1) 20
  • 21.
    Problem 1: Findthe displacement thickness, momentum thickness and energy thickness for the velocity distribution in the boundary layer is given by 𝑢 𝑈 = 𝑦 𝛿 , where ‘u’ is the velocity at a distance ‘y’ from the plate and u = U at y = , where  is the boundary layer thickness. Also find the ratio of displacement thickness to momentum thickness. 21
  • 22.
    22 Problem 1 –contd… (iv)
  • 23.
    23 Problem 2: Findthe displacement thickness, momentum thickness and energy thickness for the velocity distribution in the boundary layer is given by 𝑢 𝑈 = 2 𝑦 𝛿 - 𝑦 𝛿 2 , where ‘u’ is the velocity at a distance ‘y’ from the plate and u = U at y = , where  is the boundary layer thickness.
  • 24.
  • 25.
    FLUID MECHANICS MME 2252 Chapter:Boundary Layer Theory Session 2 Dr. Vijay G. S. Assoc. Prof. Senior Scale Dept. of Mech. & Mfg. Engg., MIT, Manipal Phone: 9980032104; email: vijay.gs@manipal.edu 25
  • 26.
    Contents of thechapter Sl. No. Topics Session No. 1. What is a Boundary layer? Terminologies 1 2. Boundary layer thickness • Displacement thickness, Momentum thickness, Energy thickness, numerical problems 1 3. Drag force on a flat plate due to boundary layer • Von Karman momentum integral equation • Local and average drag coefficients 2 4. Analysis of laminar and turbulent boundary layer, numerical problems 2 5. Total drag force on plate due to both laminar and turbulent boundary layer, numerical problems 3 6. Separation of boundary layer 3 26
  • 27.
    Force exerted bya flowing fluid on a stationary body • Total force (FR): It is the force exerted by the fluid on the body, perpendicular to the surface of the body and inclined to the direction of motion. • Drag (FD): The component of the total force (FR) in the direction of motion is called 'drag'. • It is the force exerted by the fluid in the direction of fluid flow. • Lift (FL): The component of the total force (FR) in the direction perpendicular to the direction of motion is known as 'lift'. • It is the force exerted by the fluid in the direction perpendicular to the direction of fluid flow. Fig. source: Dr. R. K. Bansal, A text book of Fuid Mechanics and Hydraulic Machines Drag force (FD) is important in the chapter “BLT” 
  • 28.
    Drag force ona flat plate due to formation of BL 28 What is a drag force? The force experienced by a body, immersed in a fluid flow field, in the direction of fluid flow is called the DRAG force. There are two types of Drag forces: 1. Pressure Drag: This is the drag force due to the component of the pressure force in the direction of flow 2. Skin Drag or Skin Friction Drag: This is the drag force developed on the skin or surface of the solid body (tangential/parallel to surface) due to the shear stress developed there by viscous effect. Fig. source: Dr. R. K. Bansal, A text book of Fuid Mechanics and Hydraulic Machines
  • 29.
    29 Drag force ona flat plate due to formation of BL – contd… • Drag force tends to push the body in the direction of flow. • Drag force acts in the direction of fluid flow. What is a drag force – contd… Body is stationary and fluid is in motion Body is moving and fluid is stationary • Drag force tends to push the body in the direction opposite to its motion. • Drag force acts in a direction opposite to the motion of the body. Direction of drag force Direction of drag force
  • 30.
    30 Drag force ona flat plate due to formation of BL – contd… What is a drag force – contd… When Both body and fluid are in motion Direction of drag force Direction of fluid flow Direction of body motion Conclusion: Drag force acts in the direction of fluid motion
  • 31.
    Drag force inBoundary Layer Theory: • The skin friction drag is of importance in BLT 31 Drag force on a flat plate due to formation of BL – contd… b L y x Newton’s law of viscosity    du dy Shear stress (or wall shear stress) at the plate surface = o (where y = 0) (  0) 0           o y du dy Skin friction drag force FD = o×Shear Area FD = o×L×b
  • 32.
    32 Von Karman MomentumIntegral Equation This equation is used for • Computing the Boundary Layer Thickness,  (both in laminar and turbulent flow regions) • Computing the drag force on the plate, FD • Computing the local coefficient of drag, CDx • Computing the average coefficient of drag, CDL
  • 33.
    33 Von Karman MomentumIntegral Equation – contd… o • ABCD is a control volume at distance x from leading edge • Length of the control volume = dx • Shear stress o is assumed to be constant within the CV since dx is very small • Shear stress (drag force) acting on plate is in direction of fluid flow • Shear stress (drag force) experienced by fluid is opposite to the direction of flow L b 
  • 34.
    34 Von Karman MomentumIntegral Equation – contd… Shear stress at the plate surface (wall shear stress) = o (where y = 0) (  0) 0           o y du dy The drag force or shear force over the length dx of plate is, dFD = shear stress × area dFD = o × (b × dx) Applying principle of conservation of linear momentum, - dFD = net rate of change of momentum in the CV Net rate of change of momentum in CV = (mass rate × velocity) ሶ 𝑃 = ( ሶ 𝑚 × 𝑉) Net momentum flux in CV = Total momentum flux leaving CV – Total momentum flux entering CV o 
  • 35.
    35 Von Karman MomentumIntegral Equation – contd…   ( ) BC AD DC P P P P a        Net momentum flux in CV = Momentum flux leaving BC – (Momentum flux entering AD + Momentum flux entering DC) Momentum flux leaving BC BC P  AD BC AD P P P dx x      DC P  Momentum flux entering DC = mass flux entering DC × velocity DC m U   o
  • 36.
    36   () BC AD DC P P P P a        Von Karman Momentum Integral Equation – contd…   AD AD AD DC P P P dx P m U x               ( ) AD DC P P dx m U b x           ?? AD P  ?? DC m  o
  • 37.
    37 Von Karman MomentumIntegral Equation – contd…  ?? DC m  0 . AD AD DC BC AD AD AD m m m m m m dx m dx bu dy dx x x x                             AD BC AD m m m dx x      Let d ሶ 𝑚 = Mass flux through elemental strip of thickness dy d ሶ 𝑚 =  × dQ =  × (area of elemental strip × velocity) d ሶ 𝑚 =  × [(b × dy) × u)] 0 . ( ) AD m bu dy c         Find AD m Consider thin strip of thickness dy at distance y, here velocity = u Find BC m BC AD DC m m m   DC BC AD m m m   
  • 38.
    38 0 AD P Momentum fluxentering thin strip    0 . DC m bu dy dx x              Von Karman Momentum Integral Equation – contd… ?? AD P  o 0 AD P Mass flux entering thin strip velocity     2 0 0 AD P budy u bu dy          ( ) AD DC P P dx m U b x           2 0 0 . P bu dy dx bu dy dx U x x                                     2 0      P b u uU dydx x  
  • 39.
    39 Applying principle ofconservation of linear momentum, - dFD = net rate of change of momentum in the CV - dFD = ሶ 𝑃 Von Karman Momentum Integral Equation – contd… dFD = o × (b × dx)   2 0 . . ob dx b u uU dy dx x            2 0 o uU u dy x         2 2 2 0 o u u U dy x U U               2 0 1 o u u dy U x U U                       2 0 P b u uU dydx x        0 1 u u dy U U            2 o x U       Von Karman Momentum Integral equation o 
  • 40.
    • The VonKarman Momentum Integral Equation is • It can be applied to • Laminar boundary layers • Transition boundary layers • Turbulent boundary layers 40 Application of Von Karman Momentum Integral Equation 2 o x U      
  • 41.
    To find theBoundary Layer Thickness • In any BL problem, the velocity profile function u/U will be provided. • Step 1: Use the Von Karman Momentum Integral equation and find the wall shear stress o. • First find Momentum thickness , generally  = f() • Substitute  in Vor Karman equation and get the wall shear stress o, generally o = g(). Let this be eq (A) 41 Application of Von Karman Momentum Integral Equation 0 1 u u dy U U            2 o U x       Step 2: Use the Newton's law of viscosity and find the wall shear stress o. • Use the velocity profile function and find expression for (du/dy) by differentiating expression for u. Substitute y = 0 to get (du/dy)y=0 • Substitute (du/dy)y=0 in equation for Newton’s Law of Viscosity and get the wall shear stress o, generally o = h(). Let this be eq (B) Step 3: Equate eq (A) to eqn (B) to get the BLT,  0           o y du dy
  • 42.
    Once we knowo, we can obtain • Drag force on the plate, FD • Local coefficient of drag, CDx • Average coefficient of drag, CDL • The drag force FD on the entire length L of the plate is obtained by • The local coefficient of drag is defined as • The average coefficient of drag is defined as 42 Application of Von Karman Momentum Integral Equation 0 0 L L D D o F dF bdx      2 1 2 o Dx Wall shear stress C Dynamic pressure U     2 1 2 D DL F Drag force over entire length of plate C Dynamic pressure Area of plate U A      Local coefficient of drag is the value at a location x from the leading edge of the plate Average coefficient of drag is the overall value over entire length L of the plate (A = L × b)
  • 43.
    Problem 1: Forthe velocity profile given below, find expression for (a) Boundary layer thickness  (b) Shear stress o (c) Local coefficient of drag CDx and (d) Average coefficient of drag CDL in terms of the Reynold’s number 43 2 2 u y y U                 2 o U x       0 1 u u dy U U            First find Momentum thickness  Substitute for  in Von Karman equation 2 2 2 2 0 2 2 1 y y y y dy                              2 15    2 2 2 15 15 o U x x                 2 2 ( ) 15 o U A x           
  • 44.
    44 Problem 1: (contd…) Determinethe wall shear stress using Newton’s law of viscosity 0           o y du dy 2 2 2 u y y U           0 o y du dy           2 2 2y y u U           2 2 2 du y U dy           2 0 2 2 0 2 y du U U dy                     2 ( ) o U B        
  • 45.
    45 Problem 1: (contd…) 2 2 () 15 o U A x           2 ( ) o U B         2 2 2 2 15 15 15 U U x U x U U                  15 d dx U      2 15 15 15 2 d dx U d dx U x C U                  Since the BL is a function of x only, partial derivative is changed to total derivative Boundary conditions: At x = 0,  = 0 C = 0   2 2 2 30 30 30 5.48 Rex x x x Ux U Ux x              BLT
  • 46.
    To find thelocal coefficient of drag, CDx 46 Problem 1: (contd…) 2 1 2 o Dx C U    2 o U     5.48 Rex x   2 2 5.48 Re 0.365 Re o x x U U x U x                 2 1 2 o Dx C U    2 1 2 0.365 Rex Dx U x C U            2 0.365 Rex Dx C Ux       0.73 Re 0.73 Re Re x x Dx x C Ux     0.73 Re Dx x C   Local Drag Coefficient
  • 47.
    To find theaverage coefficient of drag, CDL 47 Problem 1: (contd…) 2 1 2 D DL F C U A   0.365 Rex o U x    1.46 Re DL L C   Avg. Drag Coefficient 0 L D o F bdx    0 0.365 Re L x D U F bdx x            0 0.365 L D Ux F b U dx x      0 0.365 L D U x F b U dx x      1 2 0 0.365 L D U F b U x dx       0.73 D UL F b U     0.73 Re D L F b U     2 2 1 1 2 2 0.73 ReL D DL b U F C U A U bL      2 0.73 Re 1.46 Re Re L L DL L C UL      Note: For all Laminar BL flows, CDL = 2 CDx
  • 48.
    48 Analysis of laminarand turbulent BLs Depending upon various factors like  free stream velocity U,  fluid properties density  and viscosity ,  plate properties like length L, width b, surface roughness, etc., the boundary layer flow over the plate may be of two types (a) Flow is laminar over entire length L of plate (b) Flow is laminar over a small length X1 and turbulent over remaining length (L-X1) of plate
  • 49.
    49 Analysis of laminarBL Case (a): Flow is laminar over entire length L of plate • WKT the Reynolds number is given as x Ux Ux Re      • The critical Reynold’s number is ReCr = 5 × 105 • When x = L is substituted in Rex, and if we get ReL < ReCr, then the BL flow is LAMINAR over the entire length L of the plate
  • 50.
    50 Laminar flow: and CDL for different velocity profiles Table source: Dr. R. K. Bansal, A text book of Fuid Mechanics and Hydraulic Machines • In table above, 1 through 4 show equations of  and CDL for different velocity distributions • Important: If the velocity distribution u/U is not given, then we use the Blasius’s solution to calculate  and CDL Analysis of laminar BLs – Contd… Solved in problem 1
  • 51.
    51 Problem 2: Aplate of 600 mm length and 400 mm wide is immersed in a fluid of specific gravity 0.9 and kinematic viscosity 10-4 m2/s. The fluid is moving with a velocity of 6 m/s. Determine (i) boundary layer thickness, (ii) shear Stress at the end of the plate, and (iii) drag force on one side of the plate. Note: In this problem, the velocity distribution function u/U is not given. So we use the Blasius’s solution
  • 52.
    52 Problem 2: (contd…) 2 1 2 22 1 4 2 1.328 2 Re 1.328 0.332 Re Re DL Dx o L o L L C C U U U              WKT, for Laminar BL flow
  • 53.
    53 Problem 2: (contd…) WKT,the average coefficient of drag is given as 2 1 2 D DL F C U A    2 1 2 D DL F C U A    CDL from Blasius’s solution is 1.328 Re DL L C    2 2 1 1 2 2 0.00699 900 6 0.6 0.4 26.78 D DL D F C U A F N            (A = L×b = 0.6×0.4)
  • 54.
    54 Analysis of turbulentBL Case (b): Flow is laminar over a small length X1 and turbulent over remaining length (L-X1) of plate • WKT the Reynolds number is given as x Ux Ux Re      • The critical Reynold’s number is ReCr = 5 × 105 • When x = L is substituted in Rex, and if we get ReL > ReCr, then the BL flow is LAMINAR over a length X1 of the plate, and turbulent over the remaining length (L – X1) of the plate 5 5 1 5 10 5 10 Ux x U X            • Length of Laminar BL can be found by
  • 55.
    • Blasius assumeda general velocity profile for all turbulent BL flows 55 Analysis of turbulent BLs – Contd… Blasius’s solution for turbulent BL flow over a flat plate of length L, width b n u y U         1 7 where n  • Assuming that flow is turbulent over entire length L of the plate, he gave solutions for BLT ( ), and Avg. Drag Coefficient (CDL): BLT is given as   1 5 0 37 x . x Re   Avg. Coeff. of drag is given as   1 5 0.072 Re DL L C  Valid only for 5×105 < ReL < 107 Practically, by providing a special geometry at the leading edge, only turbulent flow over the entire length L of the plate can be obtained.
  • 56.
  • 57.
    FLUID MECHANICS MME 2252 Chapter:Boundary Layer Theory Session 3 Dr. Vijay G. S. Assoc. Prof. Senior Scale Dept. of Mech. & Mfg. Engg., MIT, Manipal Phone: 9980032104; email: vijay.gs@manipal.edu 57
  • 58.
    Contents of thechapter Sl. No. Topics Session No. 1. What is a Boundary layer? Terminologies 1 2. Boundary layer thickness • Displacement thickness, Momentum thickness, Energy thickness, numerical problems 1 3. Drag force on a flat plate due to boundary layer • Von Karman momentum integral equation • Local and average drag coefficients 2 4. Analysis of laminar and turbulent boundary layer, numerical problems 2 5. Total drag force on plate due to both laminar and turbulent boundary layer, numerical problems 3 6. Separation of boundary layer 3 58
  • 59.
    59 Drag force FDfor Laminar BL flow Assumption: Flow is laminar over entire length L of plate According to Blasius’s solution, the BLT () and the Avg. Coeff. of drag (CDL) are given as BLT is given as 4 91 x . x Re   Avg. Coeff. of drag is given as 1.328 Re DL L C  2 1 2 D DL F C U A    2 1 2 1 328 D L . F U A Re           But by definition, the Avg. Coeff. of drag is given as Thus Drag force on the entire plate is given by 2 1 2 1.328 Re D L F U A   
  • 60.
    60 Drag force FDfor Turbulent BL flow Assumption: Flow is turbulent over entire length L of plate According to Blasius’s solution, the BLT () and the Avg. Coeff. of drag (CDL) are given as BLT is given as   1 5 0 37 x . x Re   Avg. Coeff. of drag is given as   1 5 0.072 Re DL L C  2 1 2 D DL F C U A    But by definition, the Avg. Coeff. of drag is given as Thus Drag force on the entire plate is given by   1 2 1 5 2 0.072 Re D L F U A      2 1 2 1 5 0 072 D L . F U A Re          
  • 61.
    61 Drag force FDfor Laminar-Turbulent BL flow Step 1: Compute drag force FD1 over entire length L of the plate (assuming flow is turbulent all over)   1 1 2 1 5 2 0.072 Re D DL L F C U A     Step 2: Compute drag force FD2 over length X1 (assuming flow is turbulent over length X1)   2 1 2 1 5 1 2 1 0.072 Re D DL X X F C U A     (AX1 = X1× b) Then, Drag force (FD)Tur due to turbulent BL is (FD)Tur = FD1 – FD2 Step 3: Compute drag force (FD)Lam over length X1 (assuming flow is laminar over length X1) Flow is laminar over a small length X1 and turbulent over remaining length (L-X1) of plate   2 1 1 2 1 1.328 Re D Lam DL X X F C U A     Total Drag force (FD)T due to laminar-turbulent BL is (FD)Total = (FD)Tur – (FD)Lam (A = L× b)
  • 62.
    62 (FD)Total = (FD)Tur+ Drag force FD for Laminar-Turbulent BL flow FD1 FD2 (FD)Lam (FD)Tur = -
  • 63.
    63 Problem 1: Asmooth plate of length 4 m and of width 1.5 m, is moving with a velocity of 4 m/s in stationary air. Take kinematic viscosity of air as 1.5×10-5 m2/s. Take  for air 1.226 kg/m3. (i) Determine the thickness of the boundary layer at the trailing edge of the plate. (ii) Determine the total drag on one side of the plate assuming that (a) the boundary layer is laminar over the entire length of the plate and (b) the boundary layer is turbulent from the very beginning. As the Re at the trailing edge is > 5×105, the BL flow is turbulent at the trailing edge
  • 64.
    64 Problem 1: (contd…) (i)For turbulent BL, as per Blasius’s solution, the BLT at the trailing edge is (ii a) When the BL is laminar over the entire length of plate For laminar BL, as per Blasius’s solution, the Avg. Coeff. of Drag is given as
  • 65.
    65 Problem 1: (contd…) (iib) When the BL is turbulent over the entire length of plate For turbulent BL, as per Blasius’s solution, the Avg. Coeff. of Drag is given as
  • 66.
    66 Problem 2: Wateris flowing over a thin smooth plate of length 4 m and width 2 m at a velocity of 1 m/s. If the boundary layer flow changes from laminar to turbulent at a Reynold number 5 × 105, find (i) the distance from leading edge upto which boundary layer is laminar, (ii) the thickness of the boundary layer at the transition point, and (iii)the drag force on one side of the plate. Take viscosity ofwater 9.81 × 10-4 Ns/m2.
  • 67.
    67 Problem 2: (contd…) (ii)Thickness of boundary layer at the point where the boundary layer changes from laminar to turbulent i.e., at Reynold number 5 × 105, is given by Blasius's solution as
  • 68.
    68 Problem 2: (contd…) FromBlasius's solution, for turbulent layer
  • 69.
  • 70.
  • 71.
    71 Boundary layer separation •As a boundary layer is formed on the surface of a solid body, it continues to grow in its thickness. • But along the length of the solid body, at a certain point, a stage comes when the boundary layer may not be able to keep sticking to the solid body, if it cannot provide the kinetic energy to overcome the resistance offered by the solid body. • Thus the boundary layer will be separated from the surface of the solid body. • This phenomenon is called as “Boundary layer separation”. • The point on the body at which the boundary layer is on the verge of separation from the surface is called “point of separation”.
  • 72.
    72 Fig. source: Dr.R. K. Bansal, A text book of Fuid Mechanics and Hydraulic Machines Boundary layer separation – contd…
  • 73.
  • 74.
  • 75.
  • 76.