Trig Integrals
Trig Integrals
(1) Standard Integrals

                  1
    sin axdx   a cos ax  c
Trig Integrals
(1) Standard Integrals

                  1
    sin axdx   a cos ax  c
                1
    cos axdx  a sin ax  c
Trig Integrals
(1) Standard Integrals

                   1
    sin axdx   a cos ax  c
                 1
    cos axdx  a sin ax  c
                 1
    sec 2 axdx  tan ax  c
                 a
Trig Integrals
(1) Standard Integrals

                   1
    sin axdx   a cos ax  c
                 1
    cos axdx  a sin ax  c
                  1
    sec 2 axdx  tan ax  c
                  a
                   sin ax
     tan axdx   cos ax dx
Trig Integrals
(1) Standard Integrals

                   1
    sin axdx   a cos ax  c
                 1
    cos axdx  a sin ax  c
                  1
    sec 2 axdx  tan ax  c
                  a
                   sin ax
     tan axdx   cos ax dx
                    1                    1
                 log cos ax  c   OR     log sec ax  c
                    a                    a
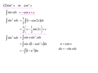
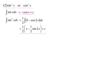
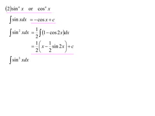
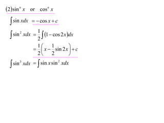
2 sin n x or cos n x
2 sin n x or cos n x
  sin xdx     cos x  c
2 sin n x or cos n x
  sin xdx       cos x  c

  sin 2 xdx
2 sin n x or cos n x
  sin xdx     cos x  c
             1
  sin xdx  2  1  cos 2 x dx
      2
2 sin n x or cos n x
  sin xdx     cos x  c
             1
  sin xdx  2  1  cos 2 x dx
      2



             1      1         
             x  sin 2 x   c
             2      2         
2 sin n x or cos n x
  sin xdx       cos x  c
             1
  sin xdx  2  1  cos 2 x dx
      2



             1      1         
             x  sin 2 x   c
             2      2         

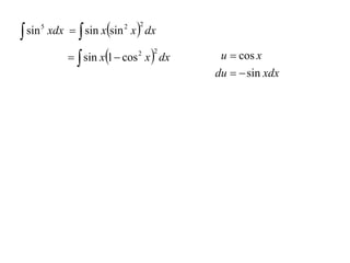
  sin 3 xdx
2 sin n x or cos n x
  sin xdx     cos x  c
             1
  sin xdx  2  1  cos 2 x dx
      2



             1      1         
             x  sin 2 x   c
             2      2         

  sin 3 xdx   sin x sin xdx
                          2
2 sin n x or cos n x
  sin xdx     cos x  c
             1
  sin xdx  2  1  cos 2 x dx
      2



             1      1         
             x  sin 2 x   c
             2      2         

  sin 3 xdx   sin x sin xdx
                          2



               sin x1  cos 2 x dx
2 sin n x or cos n x
  sin xdx     cos x  c
             1
  sin xdx  2  1  cos 2 x dx
      2



             1      1         
             x  sin 2 x   c
             2      2         

  sin 3 xdx   sin x sin xdx
                          2



               sin x1  cos 2 x dx    u  cos x
                                         du   sin xdx
2 sin n x or cos n x
  sin xdx     cos x  c
             1
  sin xdx  2  1  cos 2 x dx
      2



             1      1         
             x  sin 2 x   c
             2      2         

  sin 3 xdx   sin x sin xdx
                          2



               sin x1  cos 2 x dx    u  cos x
                                         du   sin xdx
                1  u 2 du
2 sin n x or cos n x
  sin xdx     cos x  c
             1
  sin xdx  2  1  cos 2 x dx
      2



             1      1         
             x  sin 2 x   c
             2      2         

  sin 3 xdx   sin x sin xdx
                          2



               sin x1  cos 2 x dx    u  cos x
                                         du   sin xdx
                1  u 2 du
              1 3
              u u c
              3
              1 3
              cos x  cos x  c
              3
2 sin n x or cos n x
  sin xdx     cos x  c
             1
  sin xdx  2  1  cos 2 x dx
      2



             1      1         
             x  sin 2 x   c
             2      2         

  sin 3 xdx   sin x sin xdx
                          2



               sin x1  cos 2 x dx      u  cos x
                                           du   sin xdx
                1  u 2 du
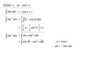
                                         Odd Power
              1 3
              u u c                   Factorise as sin xsin x 
                                                                 2   some power
              3
              1 3                        Substitute sin 2 x  1  cos 2 x
              cos x  cos x  c
              3                          Use u  cos x
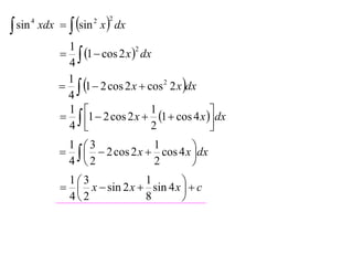
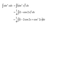
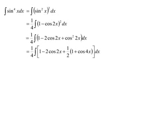
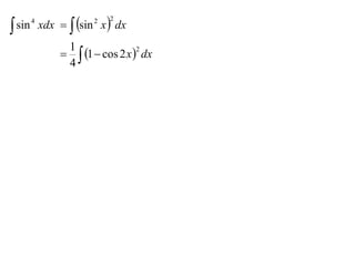
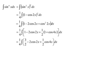
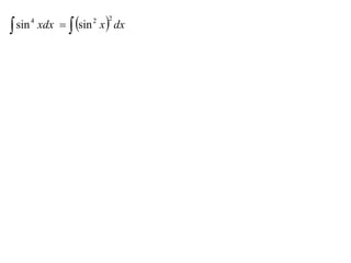
 sin 4 xdx
 sin       xdx   sin x  dx
        4               2   2
 sin       xdx   sin x  dx
        4               2   2



                 1
                  1  cos 2 x  dx
                                  2

                 4
 sin       xdx   sin x  dx
        4               2   2



                 1
                  1  cos 2 x  dx
                                  2

                 4
                  1  2 cos 2 x  cos 2 2 x dx
                 1
                 4
 sin       xdx   sin x  dx
        4               2   2



                 1
                  1  cos 2 x  dx
                                  2

                 4
                  1  2 cos 2 x  cos 2 2 x dx
                 1
                 4
                  1  2 cos 2 x  1  cos 4 x  dx
                 1                   1
                 4                   2            
                                                   
 sin       xdx   sin x  dx
        4               2   2



                 1
                  1  cos 2 x  dx
                                  2

                 4
                  1  2 cos 2 x  cos 2 2 x dx
                 1
                 4
                  1  2 cos 2 x  1  cos 4 x  dx
                 1                   1
                 4                   2            
                                                   

                    2 cos 2 x  cos 4 x dx
                 1 3              1
                                            
                 4 2              2        
 sin       xdx   sin x  dx
        4               2   2



                 1
                  1  cos 2 x  dx
                                  2

                 4
                  1  2 cos 2 x  cos 2 2 x dx
                 1
                 4
                  1  2 cos 2 x  1  cos 4 x  dx
                 1                   1
                 4                   2            
                                                   

                    2 cos 2 x  cos 4 x dx
                 1 3              1
                                            
                 4 2              2        

                  x  sin 2 x  sin 4 x   c
                 13             1
                                          
                 42             8        
xdx   sin x  dx
                                                Even Power
 sin
        4               2   2

                                                Factorise as sin x 
                                                                 2   some power

                 1
                  1  cos 2 x  dx
                                  2
                                                                    1
                 4                              Substitute sin x  1  cos 2 x 
                                                              2

                                                                    2
                  1  2 cos 2 x  cos 2 2 x dx
                 1
                 4
                  1  2 cos 2 x  1  cos 4 x  dx
                 1                   1
                 4                   2            
                                                   

                    2 cos 2 x  cos 4 x dx
                 1 3              1
                                            
                 4 2              2        

                  x  sin 2 x  sin 4 x   c
                 13             1
                                          
                 42             8        
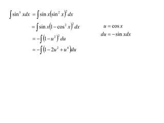
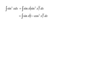
 sin 5 xdx
 sin       xdx   sin xsin x  dx
        5                   2   2
 sin       xdx   sin xsin x  dx
        5                    2   2




                  sin x1  cos x  dx
                                 2   2
 sin       xdx   sin xsin x  dx
        5                    2   2




                  sin x1  cos x  dx    u  cos x
                                 2   2


                                           du   sin xdx
 sin       xdx   sin xsin x  dx
        5                        2   2




                  sin x1  cos x  dx      u  cos x
                                     2   2


                                             du   sin xdx
                   1  u     du
                               2 2



                   1  2u 2  u 4 du
 sin       xdx   sin xsin x  dx
        5                        2   2




                  sin x1  cos x  dx        u  cos x
                                     2   2


                                               du   sin xdx
                   1  u     du
                               2 2



                   1  2u 2  u 4 du

                    u  2 u3  1 u5   c
                                  
                        3      5 
                            2           1
                  cos x  cos3 x  cos 5 x  c
                            3           5
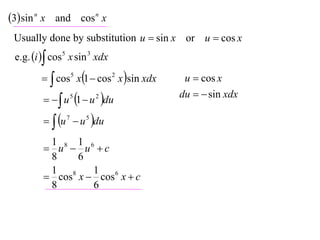
3 sin n x and cos n x
3 sin n x and cos n x
 Usually done by substitution u  sin x or u  cos x
3 sin n x and cos n x
 Usually done by substitution u  sin x or u  cos x
 e.g. i  cos 5 x sin 3 xdx
3 sin n x and cos n x
 Usually done by substitution u  sin x or u  cos x
 e.g. i  cos 5 x sin 3 xdx

           cos5 x1  cos 2 x sin xdx
3 sin n x and cos n x
 Usually done by substitution u  sin x or u  cos x
 e.g. i  cos 5 x sin 3 xdx

           cos5 x1  cos 2 x sin xdx    u  cos x
                                           du   sin xdx
3 sin n x and cos n x
 Usually done by substitution u  sin x or u  cos x
 e.g. i  cos 5 x sin 3 xdx

           cos5 x1  cos 2 x sin xdx    u  cos x

            u 5 1  u 2 du
                                           du   sin xdx

           u 7  u 5 du
3 sin n x and cos n x
 Usually done by substitution u  sin x or u  cos x
 e.g. i  cos 5 x sin 3 xdx

           cos5 x1  cos 2 x sin xdx    u  cos x

            u 5 1  u 2 du
                                           du   sin xdx

           u 7  u 5 du
          1 8 1 6
          u  u c
          8    6
          1 8     1
          cos x  cos 6 x  c
          8       6
3 sin n x and cos n x
 Usually done by substitution u  sin x or u  cos x
 e.g. i  cos 5 x sin 3 xdx

           cos5 x1  cos 2 x sin xdx      u  cos x

            u 5 1  u 2 du
                                             du   sin xdx

           u 7  u 5 du
                                           Both powers odd
          1 8 1 6
          u  u c                        Choose either as u
          8    6
                                           Usually the higher power
          1 8     1
          cos x  cos 6 x  c
          8       6
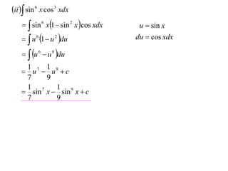
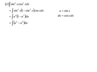
ii  sin 6 x cos3 xdx
ii  sin 6 x cos3 xdx
      sin 6 x1  sin 2 x cos xdx
ii  sin 6 x cos3 xdx
      sin 6 x1  sin 2 x cos xdx    u  sin x
                                       du  cos xdx
ii  sin 6 x cos3 xdx
      sin 6 x1  sin 2 x cos xdx    u  sin x
      u 6 1  u 2 du               du  cos xdx

      u 6  u 8 du
ii  sin 6 x cos3 xdx
      sin 6 x1  sin 2 x cos xdx    u  sin x
      u 6 1  u 2 du               du  cos xdx

      u 6  u 8 du
    1 7 1 9
    u  u c
    7    9
    1 7     1 9
    sin x  sin x  c
    7       9
ii  sin 6 x cos3 xdx
      sin 6 x1  sin 2 x cos xdx           u  sin x
      u 6 1  u 2 du                      du  cos xdx

      u 6  u 8 du
                                       One power odd & one power even
    1 7 1 9
    u  u c                          Choose even as u
    7    9
    1 7     1 9
    sin x  sin x  c
    7       9
ii  sin 6 x cos3 xdx
      sin 6 x1  sin 2 x cos xdx           u  sin x
      u 6 1  u 2 du                      du  cos xdx

      u 6  u 8 du
                                       One power odd & one power even
     1 7 1 9
     u  u c                         Choose even as u
     7    9
     1 7     1 9
     sin x  sin x  c
     7       9
 iii  sin 2 x cos 2 xdx
ii  sin 6 x cos3 xdx
      sin 6 x1  sin 2 x cos xdx                u  sin x
      u 6 1  u 2 du                           du  cos xdx

      u 6  u 8 du
                                        One power odd & one power even
        1 7 1 9
     u  u c                          Choose even as u
        7       9
        1 7        1 9
     sin x  sin x  c
        7          9
 iii  sin 2 x cos 2 xdx   sin 2 x1  sin 2 x dx
ii  sin 6 x cos3 xdx
      sin 6 x1  sin 2 x cos xdx                u  sin x
      u 6 1  u 2 du                           du  cos xdx

      u 6  u 8 du
                                        One power odd & one power even
        1 7 1 9
     u  u c                          Choose even as u
        7       9
        1 7        1 9
     sin x  sin x  c
        7          9
 iii  sin 2 x cos 2 xdx   sin 2 x1  sin 2 x dx
                              sin 2 x  sin 4 x dx
ii  sin 6 x cos3 xdx
      sin 6 x1  sin 2 x cos xdx                u  sin x
      u 6 1  u 2 du                           du  cos xdx

      u 6  u 8 du
                                        One power odd & one power even
        1 7 1 9
     u  u c                          Choose even as u
        7       9
        1 7        1 9
     sin x  sin x  c
        7          9
 iii  sin 2 x cos 2 xdx   sin 2 x1  sin 2 x dx
                              sin 2 x  sin 4 x dx
                             1   1         3   1          1
                             x  sin 2 x  x  sin 2 x  sin 4 x  c
                             2   4         8   4         32
ii  sin 6 x cos3 xdx
      sin 6 x1  sin 2 x cos xdx                u  sin x
      u 6 1  u 2 du                           du  cos xdx

      u 6  u 8 du
                                        One power odd & one power even
        1 7 1 9
     u  u c                          Choose even as u
        7       9
        1 7        1 9
     sin x  sin x  c
        7          9
 iii  sin 2 x cos 2 xdx   sin 2 x1  sin 2 x dx
                              sin 2 x  sin 4 x dx
                             1   1         3   1          1
                             x  sin 2 x  x  sin 2 x  sin 4 x  c
                             2   4         8   4         32
                             1    1
                             x  sin 4 x  c
                             8   32
ii  sin 6 x cos3 xdx
        sin 6 x1  sin 2 x cos xdx                u  sin x
        u 6 1  u 2 du                           du  cos xdx

        u 6  u 8 du
                                          One power odd & one power even
          1 7 1 9
       u  u c                          Choose even as u
          7       9
          1 7        1 9
       sin x  sin x  c
          7          9
   iii  sin 2 x cos 2 xdx   sin 2 x1  sin 2 x dx
                                sin 2 x  sin 4 x dx
Both powers even
                               1   1         3   1          1
Use sin x  1  cos x
          2             2      x  sin 2 x  x  sin 2 x  sin 4 x  c
                               2   4         8   4         32
or cos 2 x  1  sin 2 x       1    1
                               x  sin 4 x  c
                               8   32
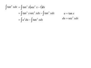
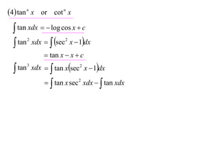
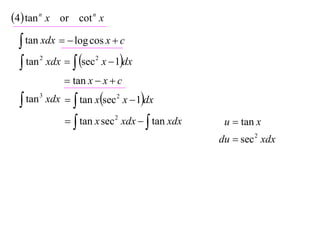
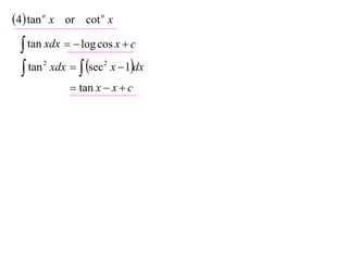
4 tan n x or cot n x
4 tan n x or cot n x
  tan xdx   log cos x  c
4 tan n x or cot n x
  tan xdx   log cos x  c
  tan xdx
      2
4 tan n x or cot n x
  tan xdx   log cos x  c
  tan xdx   sec x  1dx
      2            2
4 tan n x or cot n x
  tan xdx   log cos x  c
  tan xdx   sec x  1dx
      2             2


             tan x  x  c
4 tan n x or cot n x
  tan xdx   log cos x  c
  tan xdx   sec x  1dx
      2                2


                tan x  x  c

  tan 3 xdx
4 tan n x or cot n x
  tan xdx   log cos x  c
  tan xdx   sec x  1dx
      2              2


              tan x  x  c

  tan 3 xdx   tan xsec 2 x  1dx

               tan x sec 2 xdx   tan xdx
4 tan n x or cot n x
  tan xdx   log cos x  c
  tan xdx   sec x  1dx
      2              2


              tan x  x  c

  tan 3 xdx   tan xsec 2 x  1dx

               tan x sec 2 xdx   tan xdx    u  tan x
                                               du  sec 2 xdx
4 tan n x or cot n x
  tan xdx   log cos x  c
  tan xdx   sec x  1dx
      2              2


              tan x  x  c

  tan 3 xdx   tan xsec 2 x  1dx

               tan x sec 2 xdx   tan xdx    u  tan x

               udu   tan xdx               du  sec 2 xdx
4 tan n x or cot n x
  tan xdx   log cos x  c
  tan xdx   sec x  1dx
      2              2


              tan x  x  c

  tan 3 xdx   tan xsec 2 x  1dx

               tan x sec 2 xdx   tan xdx    u  tan x

               udu   tan xdx               du  sec 2 xdx

             1
             u 2  log cos x  c
             2
             1 2
             tan x  log cos x  c
             2
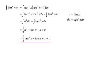
 tan 4 xdx
 tan 4 xdx   tan 2 xsec 2 x  1dx

              tan 2 x sec 2 xdx   tan 2 xdx
 tan 4 xdx   tan 2 xsec 2 x  1dx

              tan 2 x sec 2 xdx   tan 2 xdx    u  tan x
                                                  du  sec 2 xdx
 tan 4 xdx   tan 2 xsec 2 x  1dx

              tan 2 x sec 2 xdx   tan 2 xdx    u  tan x

              u du   tan xdx
                  2           2                   du  sec 2 xdx
 tan 4 xdx   tan 2 xsec 2 x  1dx

              tan 2 x sec 2 xdx   tan 2 xdx    u  tan x

              u du   tan xdx
                  2           2                   du  sec 2 xdx

             1 3
             u  tan x  x  c
             3
             1 3
             tan x  tan x  x  c
             3
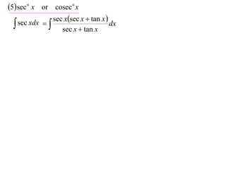
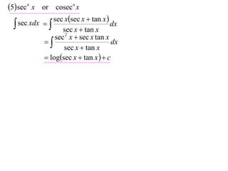
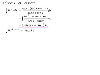
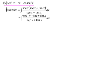
5 sec n x or cosecn x
5 sec n x or cosecn x
  sec xdx
5 sec n x or cosecn x
               sec xsec x  tan x 
   sec xdx 
                   sec x  tan x
                                       dx
5 sec n x or cosecn x
               sec xsec x  tan x 
   sec xdx 
                  sec x  tan x
                                       dx
               sec 2 x  sec x tan x
                                   dx
                  sec x  tan x
5 sec n x or cosecn x
               sec xsec x  tan x 
   sec xdx 
                   sec x  tan x
                                       dx
                sec 2 x  sec x tan x
                                    dx
                   sec x  tan x
             logsec x  tan x   c
5 sec n x or cosecn x
               sec xsec x  tan x 
   sec xdx 
                    sec x  tan x
                                       dx
                 sec 2 x  sec x tan x
                                     dx
                    sec x  tan x
              logsec x  tan x   c
   sec 2 xdx  tan x  c
5 sec n x or cosecn x
               sec xsec x  tan x 
   sec xdx    
                    sec x  tan x
                                       dx
                 sec 2 x  sec x tan x
                                     dx
                    sec x  tan x
              logsec x  tan x   c
   sec 2 xdx  tan x  c

   sec3 xdx
5 sec n x or cosecn x
               sec xsec x  tan x 
   sec xdx 
                    sec x  tan x
                                       dx
                 sec 2 x  sec x tan x
                                     dx
                    sec x  tan x
              logsec x  tan x   c
   sec 2 xdx  tan x  c

   sec3 xdx   sec x sec 2 xdx
5 sec n x or cosecn x
               sec xsec x  tan x 
   sec xdx 
                    sec x  tan x
                                       dx
                 sec 2 x  sec x tan x
                                     dx
                    sec x  tan x
              logsec x  tan x   c
   sec 2 xdx  tan x  c

   sec3 xdx   sec x sec 2 xdx            u  sec x
5 sec n x or cosecn x
               sec xsec x  tan x 
   sec xdx 
                    sec x  tan x
                                       dx
                 sec 2 x  sec x tan x
                                     dx
                    sec x  tan x
              logsec x  tan x   c
   sec 2 xdx  tan x  c

   sec3 xdx   sec x sec 2 xdx             u  sec x
                                            du  sec x tan xdx
5 sec n x or cosecn x
               sec xsec x  tan x 
   sec xdx 
                    sec x  tan x
                                       dx
                 sec 2 x  sec x tan x
                                     dx
                    sec x  tan x
              logsec x  tan x   c
   sec 2 xdx  tan x  c

   sec3 xdx   sec x sec 2 xdx             u  sec x
                                            du  sec x tan xdx dv  sec 2 xdx
5 sec n x or cosecn x
               sec xsec x  tan x 
   sec xdx 
                    sec x  tan x
                                       dx
                 sec 2 x  sec x tan x
                                     dx
                    sec x  tan x
              logsec x  tan x   c
   sec 2 xdx  tan x  c

   sec3 xdx   sec x sec 2 xdx             u  sec x          v  tan x
                                            du  sec x tan xdx dv  sec 2 xdx
5 sec n x or cosecn x
               sec xsec x  tan x 
   sec xdx 
                    sec x  tan x
                                       dx
                 sec 2 x  sec x tan x
                                     dx
                    sec x  tan x
              logsec x  tan x   c
   sec 2 xdx  tan x  c

   sec3 xdx   sec x sec 2 xdx             u  sec x          v  tan x
   sec x tan x   sec x tan 2 xdx         du  sec x tan xdx dv  sec 2 xdx
5 sec n x or cosecn x
               sec xsec x  tan x 
   sec xdx 
                    sec x  tan x
                                       dx
                 sec 2 x  sec x tan x
                                     dx
                    sec x  tan x
              logsec x  tan x   c
   sec 2 xdx  tan x  c

   sec3 xdx   sec x sec 2 xdx             u  sec x          v  tan x
   sec x tan x   sec x tan 2 xdx         du  sec x tan xdx dv  sec 2 xdx
   sec x tan x   sec xsec 2 x  1dx

   sec x tan x   sec3 xdx   sec xdx

   sec x tan x   sec3 xdx  logsec x  tan x 
5 sec n x or cosecn x
               sec xsec x  tan x 
   sec xdx 
                    sec x  tan x
                                       dx
                 sec 2 x  sec x tan x
                                     dx
                    sec x  tan x
              logsec x  tan x   c
   sec 2 xdx  tan x  c

   sec3 xdx   sec x sec 2 xdx             u  sec x          v  tan x
   sec x tan x   sec x tan 2 xdx         du  sec x tan xdx dv  sec 2 xdx
   sec x tan x   sec xsec 2 x  1dx

   sec x tan x   sec3 xdx   sec xdx

  sec x tan x   sec3 xdx  logsec x  tan x 
 2  sec3 xdx  sec x tan x  logsec x  tan x   c
5 sec n x or cosecn x
               sec xsec x  tan x 
   sec xdx  
                    sec x  tan x
                                       dx
                 sec 2 x  sec x tan x
                                     dx
                    sec x  tan x
              logsec x  tan x   c
   sec 2 xdx  tan x  c

   sec3 xdx   sec x sec 2 xdx             u  sec x          v  tan x
   sec x tan x   sec x tan 2 xdx         du  sec x tan xdx dv  sec 2 xdx
   sec x tan x   sec xsec 2 x  1dx

   sec x tan x   sec3 xdx   sec xdx

    sec x tan x   sec3 xdx  logsec x  tan x 
 2  sec3 xdx  sec x tan x  logsec x  tan x   c
             1               1
 sec3 xdx  sec x tan x  logsec x  tan x   c
              2              2
5 sec n x or cosecn x
               sec xsec x  tan x 
   sec xdx  
                    sec x  tan x
                                       dx
                 sec 2 x  sec x tan x
                                     dx
                    sec x  tan x
              logsec x  tan x   c
   sec 2 xdx  tan x  c

   sec3 xdx   sec x sec 2 xdx             u  sec x          v  tan x
   sec x tan x   sec x tan 2 xdx         du  sec x tan xdx dv  sec 2 xdx
   sec x tan x   sec xsec 2 x  1dx
                                                         Odd powers
   sec x tan x   sec xdx   sec xdx
                       3

                                                         Done by parts
    sec x tan x   sec3 xdx  logsec x  tan x 
 2  sec3 xdx  sec x tan x  logsec x  tan x   c
             1               1
 sec3 xdx  sec x tan x  logsec x  tan x   c
              2              2
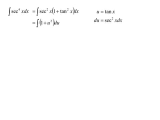
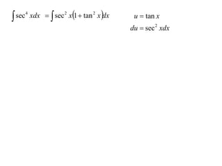
 sec 4 xdx
 sec 4 xdx   sec 2 x1  tan 2 x dx
 sec 4 xdx   sec 2 x1  tan 2 x dx    u  tan x
                                          du  sec 2 xdx
 sec 4 xdx   sec 2 x1  tan 2 x dx    u  tan x

               1  u du
                       2                  du  sec 2 xdx
 sec 4 xdx   sec 2 x1  tan 2 x dx    u  tan x

               1  u du
                       2                  du  sec 2 xdx
                   1 3
             u u c
                   3
                      1 3
              tan x  tan x  c
                      3
 sec 4 xdx   sec 2 x1  tan 2 x dx         u  tan x

               1  u du
                       2                      du  sec 2 xdx
                   1 3                    Even Power
             u u c
                                          Factorise as sec xsec x 
                   3                                        2      2   some power

                      1 3
              tan x  tan x  c          Substitute sec 2 x  1  tan 2 x
                      3
                                          Use u  tan x
 sec 4 xdx   sec 2 x1  tan 2 x dx         u  tan x

               1  u du
                       2                      du  sec 2 xdx
                   1 3                    Even Power
             u u c
                                          Factorise as sec xsec x 
                   3                                        2      2   some power

                      1 3
              tan x  tan x  c          Substitute sec 2 x  1  tan 2 x
                      3
                                          Use u  tan x




         Exercise 2C; 1, 2, 4, 5, 7, 8, 10, 12, 14, 16, 17, 18

X2 t04 02 trig integrals (2012)

  • 1.
  • 2.
    Trig Integrals (1) StandardIntegrals 1  sin axdx   a cos ax  c
  • 3.
    Trig Integrals (1) StandardIntegrals 1  sin axdx   a cos ax  c 1  cos axdx  a sin ax  c
  • 4.
    Trig Integrals (1) StandardIntegrals 1  sin axdx   a cos ax  c 1  cos axdx  a sin ax  c 1  sec 2 axdx  tan ax  c a
  • 5.
    Trig Integrals (1) StandardIntegrals 1  sin axdx   a cos ax  c 1  cos axdx  a sin ax  c 1  sec 2 axdx  tan ax  c a sin ax  tan axdx   cos ax dx
  • 6.
    Trig Integrals (1) StandardIntegrals 1  sin axdx   a cos ax  c 1  cos axdx  a sin ax  c 1  sec 2 axdx  tan ax  c a sin ax  tan axdx   cos ax dx 1 1   log cos ax  c OR log sec ax  c a a
  • 7.
    2 sin nx or cos n x
  • 8.
    2 sin nx or cos n x  sin xdx   cos x  c
  • 9.
    2 sin nx or cos n x  sin xdx   cos x  c  sin 2 xdx
  • 10.
    2 sin nx or cos n x  sin xdx   cos x  c 1  sin xdx  2  1  cos 2 x dx 2
  • 11.
    2 sin nx or cos n x  sin xdx   cos x  c 1  sin xdx  2  1  cos 2 x dx 2 1 1    x  sin 2 x   c 2 2 
  • 12.
    2 sin nx or cos n x  sin xdx   cos x  c 1  sin xdx  2  1  cos 2 x dx 2 1 1    x  sin 2 x   c 2 2   sin 3 xdx
  • 13.
    2 sin nx or cos n x  sin xdx   cos x  c 1  sin xdx  2  1  cos 2 x dx 2 1 1    x  sin 2 x   c 2 2   sin 3 xdx   sin x sin xdx 2
  • 14.
    2 sin nx or cos n x  sin xdx   cos x  c 1  sin xdx  2  1  cos 2 x dx 2 1 1    x  sin 2 x   c 2 2   sin 3 xdx   sin x sin xdx 2   sin x1  cos 2 x dx
  • 15.
    2 sin nx or cos n x  sin xdx   cos x  c 1  sin xdx  2  1  cos 2 x dx 2 1 1    x  sin 2 x   c 2 2   sin 3 xdx   sin x sin xdx 2   sin x1  cos 2 x dx u  cos x du   sin xdx
  • 16.
    2 sin nx or cos n x  sin xdx   cos x  c 1  sin xdx  2  1  cos 2 x dx 2 1 1    x  sin 2 x   c 2 2   sin 3 xdx   sin x sin xdx 2   sin x1  cos 2 x dx u  cos x du   sin xdx    1  u 2 du
  • 17.
    2 sin nx or cos n x  sin xdx   cos x  c 1  sin xdx  2  1  cos 2 x dx 2 1 1    x  sin 2 x   c 2 2   sin 3 xdx   sin x sin xdx 2   sin x1  cos 2 x dx u  cos x du   sin xdx    1  u 2 du 1 3  u u c 3 1 3  cos x  cos x  c 3
  • 18.
    2 sin nx or cos n x  sin xdx   cos x  c 1  sin xdx  2  1  cos 2 x dx 2 1 1    x  sin 2 x   c 2 2   sin 3 xdx   sin x sin xdx 2   sin x1  cos 2 x dx u  cos x du   sin xdx    1  u 2 du Odd Power 1 3  u u c Factorise as sin xsin x  2 some power 3 1 3 Substitute sin 2 x  1  cos 2 x  cos x  cos x  c 3 Use u  cos x
  • 19.
  • 20.
     sin xdx   sin x  dx 4 2 2
  • 21.
     sin xdx   sin x  dx 4 2 2 1   1  cos 2 x  dx 2 4
  • 22.
     sin xdx   sin x  dx 4 2 2 1   1  cos 2 x  dx 2 4   1  2 cos 2 x  cos 2 2 x dx 1 4
  • 23.
     sin xdx   sin x  dx 4 2 2 1   1  cos 2 x  dx 2 4   1  2 cos 2 x  cos 2 2 x dx 1 4   1  2 cos 2 x  1  cos 4 x  dx 1  1 4  2  
  • 24.
     sin xdx   sin x  dx 4 2 2 1   1  cos 2 x  dx 2 4   1  2 cos 2 x  cos 2 2 x dx 1 4   1  2 cos 2 x  1  cos 4 x  dx 1  1 4  2       2 cos 2 x  cos 4 x dx 1 3 1  4 2 2 
  • 25.
     sin xdx   sin x  dx 4 2 2 1   1  cos 2 x  dx 2 4   1  2 cos 2 x  cos 2 2 x dx 1 4   1  2 cos 2 x  1  cos 4 x  dx 1  1 4  2       2 cos 2 x  cos 4 x dx 1 3 1  4 2 2    x  sin 2 x  sin 4 x   c 13 1  42 8 
  • 26.
    xdx  sin x  dx Even Power  sin 4 2 2 Factorise as sin x  2 some power 1   1  cos 2 x  dx 2 1 4 Substitute sin x  1  cos 2 x  2 2   1  2 cos 2 x  cos 2 2 x dx 1 4   1  2 cos 2 x  1  cos 4 x  dx 1  1 4  2       2 cos 2 x  cos 4 x dx 1 3 1  4 2 2    x  sin 2 x  sin 4 x   c 13 1  42 8 
  • 27.
  • 28.
     sin xdx   sin xsin x  dx 5 2 2
  • 29.
     sin xdx   sin xsin x  dx 5 2 2   sin x1  cos x  dx 2 2
  • 30.
     sin xdx   sin xsin x  dx 5 2 2   sin x1  cos x  dx u  cos x 2 2 du   sin xdx
  • 31.
     sin xdx   sin xsin x  dx 5 2 2   sin x1  cos x  dx u  cos x 2 2 du   sin xdx    1  u  du 2 2    1  2u 2  u 4 du
  • 32.
     sin xdx   sin xsin x  dx 5 2 2   sin x1  cos x  dx u  cos x 2 2 du   sin xdx    1  u  du 2 2    1  2u 2  u 4 du  u  2 u3  1 u5   c     3 5  2 1   cos x  cos3 x  cos 5 x  c 3 5
  • 33.
    3 sin nx and cos n x
  • 34.
    3 sin nx and cos n x Usually done by substitution u  sin x or u  cos x
  • 35.
    3 sin nx and cos n x Usually done by substitution u  sin x or u  cos x e.g. i  cos 5 x sin 3 xdx
  • 36.
    3 sin nx and cos n x Usually done by substitution u  sin x or u  cos x e.g. i  cos 5 x sin 3 xdx   cos5 x1  cos 2 x sin xdx
  • 37.
    3 sin nx and cos n x Usually done by substitution u  sin x or u  cos x e.g. i  cos 5 x sin 3 xdx   cos5 x1  cos 2 x sin xdx u  cos x du   sin xdx
  • 38.
    3 sin nx and cos n x Usually done by substitution u  sin x or u  cos x e.g. i  cos 5 x sin 3 xdx   cos5 x1  cos 2 x sin xdx u  cos x    u 5 1  u 2 du du   sin xdx   u 7  u 5 du
  • 39.
    3 sin nx and cos n x Usually done by substitution u  sin x or u  cos x e.g. i  cos 5 x sin 3 xdx   cos5 x1  cos 2 x sin xdx u  cos x    u 5 1  u 2 du du   sin xdx   u 7  u 5 du 1 8 1 6  u  u c 8 6 1 8 1  cos x  cos 6 x  c 8 6
  • 40.
    3 sin nx and cos n x Usually done by substitution u  sin x or u  cos x e.g. i  cos 5 x sin 3 xdx   cos5 x1  cos 2 x sin xdx u  cos x    u 5 1  u 2 du du   sin xdx   u 7  u 5 du Both powers odd 1 8 1 6  u  u c Choose either as u 8 6 Usually the higher power 1 8 1  cos x  cos 6 x  c 8 6
  • 41.
    ii  sin6 x cos3 xdx
  • 42.
    ii  sin6 x cos3 xdx   sin 6 x1  sin 2 x cos xdx
  • 43.
    ii  sin6 x cos3 xdx   sin 6 x1  sin 2 x cos xdx u  sin x du  cos xdx
  • 44.
    ii  sin6 x cos3 xdx   sin 6 x1  sin 2 x cos xdx u  sin x   u 6 1  u 2 du du  cos xdx   u 6  u 8 du
  • 45.
    ii  sin6 x cos3 xdx   sin 6 x1  sin 2 x cos xdx u  sin x   u 6 1  u 2 du du  cos xdx   u 6  u 8 du 1 7 1 9  u  u c 7 9 1 7 1 9  sin x  sin x  c 7 9
  • 46.
    ii  sin6 x cos3 xdx   sin 6 x1  sin 2 x cos xdx u  sin x   u 6 1  u 2 du du  cos xdx   u 6  u 8 du One power odd & one power even 1 7 1 9  u  u c Choose even as u 7 9 1 7 1 9  sin x  sin x  c 7 9
  • 47.
    ii  sin6 x cos3 xdx   sin 6 x1  sin 2 x cos xdx u  sin x   u 6 1  u 2 du du  cos xdx   u 6  u 8 du One power odd & one power even 1 7 1 9  u  u c Choose even as u 7 9 1 7 1 9  sin x  sin x  c 7 9 iii  sin 2 x cos 2 xdx
  • 48.
    ii  sin6 x cos3 xdx   sin 6 x1  sin 2 x cos xdx u  sin x   u 6 1  u 2 du du  cos xdx   u 6  u 8 du One power odd & one power even 1 7 1 9  u  u c Choose even as u 7 9 1 7 1 9  sin x  sin x  c 7 9 iii  sin 2 x cos 2 xdx   sin 2 x1  sin 2 x dx
  • 49.
    ii  sin6 x cos3 xdx   sin 6 x1  sin 2 x cos xdx u  sin x   u 6 1  u 2 du du  cos xdx   u 6  u 8 du One power odd & one power even 1 7 1 9  u  u c Choose even as u 7 9 1 7 1 9  sin x  sin x  c 7 9 iii  sin 2 x cos 2 xdx   sin 2 x1  sin 2 x dx   sin 2 x  sin 4 x dx
  • 50.
    ii  sin6 x cos3 xdx   sin 6 x1  sin 2 x cos xdx u  sin x   u 6 1  u 2 du du  cos xdx   u 6  u 8 du One power odd & one power even 1 7 1 9  u  u c Choose even as u 7 9 1 7 1 9  sin x  sin x  c 7 9 iii  sin 2 x cos 2 xdx   sin 2 x1  sin 2 x dx   sin 2 x  sin 4 x dx 1 1 3 1 1  x  sin 2 x  x  sin 2 x  sin 4 x  c 2 4 8 4 32
  • 51.
    ii  sin6 x cos3 xdx   sin 6 x1  sin 2 x cos xdx u  sin x   u 6 1  u 2 du du  cos xdx   u 6  u 8 du One power odd & one power even 1 7 1 9  u  u c Choose even as u 7 9 1 7 1 9  sin x  sin x  c 7 9 iii  sin 2 x cos 2 xdx   sin 2 x1  sin 2 x dx   sin 2 x  sin 4 x dx 1 1 3 1 1  x  sin 2 x  x  sin 2 x  sin 4 x  c 2 4 8 4 32 1 1  x  sin 4 x  c 8 32
  • 52.
    ii  sin6 x cos3 xdx   sin 6 x1  sin 2 x cos xdx u  sin x   u 6 1  u 2 du du  cos xdx   u 6  u 8 du One power odd & one power even 1 7 1 9  u  u c Choose even as u 7 9 1 7 1 9  sin x  sin x  c 7 9 iii  sin 2 x cos 2 xdx   sin 2 x1  sin 2 x dx   sin 2 x  sin 4 x dx Both powers even 1 1 3 1 1 Use sin x  1  cos x 2 2  x  sin 2 x  x  sin 2 x  sin 4 x  c 2 4 8 4 32 or cos 2 x  1  sin 2 x 1 1  x  sin 4 x  c 8 32
  • 53.
    4 tan nx or cot n x
  • 54.
    4 tan nx or cot n x  tan xdx   log cos x  c
  • 55.
    4 tan nx or cot n x  tan xdx   log cos x  c  tan xdx 2
  • 56.
    4 tan nx or cot n x  tan xdx   log cos x  c  tan xdx   sec x  1dx 2 2
  • 57.
    4 tan nx or cot n x  tan xdx   log cos x  c  tan xdx   sec x  1dx 2 2  tan x  x  c
  • 58.
    4 tan nx or cot n x  tan xdx   log cos x  c  tan xdx   sec x  1dx 2 2  tan x  x  c  tan 3 xdx
  • 59.
    4 tan nx or cot n x  tan xdx   log cos x  c  tan xdx   sec x  1dx 2 2  tan x  x  c  tan 3 xdx   tan xsec 2 x  1dx   tan x sec 2 xdx   tan xdx
  • 60.
    4 tan nx or cot n x  tan xdx   log cos x  c  tan xdx   sec x  1dx 2 2  tan x  x  c  tan 3 xdx   tan xsec 2 x  1dx   tan x sec 2 xdx   tan xdx u  tan x du  sec 2 xdx
  • 61.
    4 tan nx or cot n x  tan xdx   log cos x  c  tan xdx   sec x  1dx 2 2  tan x  x  c  tan 3 xdx   tan xsec 2 x  1dx   tan x sec 2 xdx   tan xdx u  tan x   udu   tan xdx du  sec 2 xdx
  • 62.
    4 tan nx or cot n x  tan xdx   log cos x  c  tan xdx   sec x  1dx 2 2  tan x  x  c  tan 3 xdx   tan xsec 2 x  1dx   tan x sec 2 xdx   tan xdx u  tan x   udu   tan xdx du  sec 2 xdx 1  u 2  log cos x  c 2 1 2  tan x  log cos x  c 2
  • 63.
  • 64.
     tan 4xdx   tan 2 xsec 2 x  1dx   tan 2 x sec 2 xdx   tan 2 xdx
  • 65.
     tan 4xdx   tan 2 xsec 2 x  1dx   tan 2 x sec 2 xdx   tan 2 xdx u  tan x du  sec 2 xdx
  • 66.
     tan 4xdx   tan 2 xsec 2 x  1dx   tan 2 x sec 2 xdx   tan 2 xdx u  tan x   u du   tan xdx 2 2 du  sec 2 xdx
  • 67.
     tan 4xdx   tan 2 xsec 2 x  1dx   tan 2 x sec 2 xdx   tan 2 xdx u  tan x   u du   tan xdx 2 2 du  sec 2 xdx 1 3  u  tan x  x  c 3 1 3  tan x  tan x  x  c 3
  • 68.
    5 sec nx or cosecn x
  • 69.
    5 sec nx or cosecn x  sec xdx
  • 70.
    5 sec nx or cosecn x sec xsec x  tan x   sec xdx  sec x  tan x dx
  • 71.
    5 sec nx or cosecn x sec xsec x  tan x   sec xdx  sec x  tan x dx sec 2 x  sec x tan x  dx sec x  tan x
  • 72.
    5 sec nx or cosecn x sec xsec x  tan x   sec xdx  sec x  tan x dx sec 2 x  sec x tan x  dx sec x  tan x  logsec x  tan x   c
  • 73.
    5 sec nx or cosecn x sec xsec x  tan x   sec xdx  sec x  tan x dx sec 2 x  sec x tan x  dx sec x  tan x  logsec x  tan x   c  sec 2 xdx  tan x  c
  • 74.
    5 sec nx or cosecn x sec xsec x  tan x   sec xdx  sec x  tan x dx sec 2 x  sec x tan x  dx sec x  tan x  logsec x  tan x   c  sec 2 xdx  tan x  c  sec3 xdx
  • 75.
    5 sec nx or cosecn x sec xsec x  tan x   sec xdx  sec x  tan x dx sec 2 x  sec x tan x  dx sec x  tan x  logsec x  tan x   c  sec 2 xdx  tan x  c  sec3 xdx   sec x sec 2 xdx
  • 76.
    5 sec nx or cosecn x sec xsec x  tan x   sec xdx  sec x  tan x dx sec 2 x  sec x tan x  dx sec x  tan x  logsec x  tan x   c  sec 2 xdx  tan x  c  sec3 xdx   sec x sec 2 xdx u  sec x
  • 77.
    5 sec nx or cosecn x sec xsec x  tan x   sec xdx  sec x  tan x dx sec 2 x  sec x tan x  dx sec x  tan x  logsec x  tan x   c  sec 2 xdx  tan x  c  sec3 xdx   sec x sec 2 xdx u  sec x du  sec x tan xdx
  • 78.
    5 sec nx or cosecn x sec xsec x  tan x   sec xdx  sec x  tan x dx sec 2 x  sec x tan x  dx sec x  tan x  logsec x  tan x   c  sec 2 xdx  tan x  c  sec3 xdx   sec x sec 2 xdx u  sec x du  sec x tan xdx dv  sec 2 xdx
  • 79.
    5 sec nx or cosecn x sec xsec x  tan x   sec xdx  sec x  tan x dx sec 2 x  sec x tan x  dx sec x  tan x  logsec x  tan x   c  sec 2 xdx  tan x  c  sec3 xdx   sec x sec 2 xdx u  sec x v  tan x du  sec x tan xdx dv  sec 2 xdx
  • 80.
    5 sec nx or cosecn x sec xsec x  tan x   sec xdx  sec x  tan x dx sec 2 x  sec x tan x  dx sec x  tan x  logsec x  tan x   c  sec 2 xdx  tan x  c  sec3 xdx   sec x sec 2 xdx u  sec x v  tan x  sec x tan x   sec x tan 2 xdx du  sec x tan xdx dv  sec 2 xdx
  • 81.
    5 sec nx or cosecn x sec xsec x  tan x   sec xdx  sec x  tan x dx sec 2 x  sec x tan x  dx sec x  tan x  logsec x  tan x   c  sec 2 xdx  tan x  c  sec3 xdx   sec x sec 2 xdx u  sec x v  tan x  sec x tan x   sec x tan 2 xdx du  sec x tan xdx dv  sec 2 xdx  sec x tan x   sec xsec 2 x  1dx  sec x tan x   sec3 xdx   sec xdx  sec x tan x   sec3 xdx  logsec x  tan x 
  • 82.
    5 sec nx or cosecn x sec xsec x  tan x   sec xdx  sec x  tan x dx sec 2 x  sec x tan x  dx sec x  tan x  logsec x  tan x   c  sec 2 xdx  tan x  c  sec3 xdx   sec x sec 2 xdx u  sec x v  tan x  sec x tan x   sec x tan 2 xdx du  sec x tan xdx dv  sec 2 xdx  sec x tan x   sec xsec 2 x  1dx  sec x tan x   sec3 xdx   sec xdx  sec x tan x   sec3 xdx  logsec x  tan x   2  sec3 xdx  sec x tan x  logsec x  tan x   c
  • 83.
    5 sec nx or cosecn x sec xsec x  tan x   sec xdx  sec x  tan x dx sec 2 x  sec x tan x  dx sec x  tan x  logsec x  tan x   c  sec 2 xdx  tan x  c  sec3 xdx   sec x sec 2 xdx u  sec x v  tan x  sec x tan x   sec x tan 2 xdx du  sec x tan xdx dv  sec 2 xdx  sec x tan x   sec xsec 2 x  1dx  sec x tan x   sec3 xdx   sec xdx  sec x tan x   sec3 xdx  logsec x  tan x   2  sec3 xdx  sec x tan x  logsec x  tan x   c 1 1  sec3 xdx  sec x tan x  logsec x  tan x   c 2 2
  • 84.
    5 sec nx or cosecn x sec xsec x  tan x   sec xdx  sec x  tan x dx sec 2 x  sec x tan x  dx sec x  tan x  logsec x  tan x   c  sec 2 xdx  tan x  c  sec3 xdx   sec x sec 2 xdx u  sec x v  tan x  sec x tan x   sec x tan 2 xdx du  sec x tan xdx dv  sec 2 xdx  sec x tan x   sec xsec 2 x  1dx Odd powers  sec x tan x   sec xdx   sec xdx 3 Done by parts  sec x tan x   sec3 xdx  logsec x  tan x   2  sec3 xdx  sec x tan x  logsec x  tan x   c 1 1  sec3 xdx  sec x tan x  logsec x  tan x   c 2 2
  • 85.
  • 86.
     sec 4xdx   sec 2 x1  tan 2 x dx
  • 87.
     sec 4xdx   sec 2 x1  tan 2 x dx u  tan x du  sec 2 xdx
  • 88.
     sec 4xdx   sec 2 x1  tan 2 x dx u  tan x   1  u du 2 du  sec 2 xdx
  • 89.
     sec 4xdx   sec 2 x1  tan 2 x dx u  tan x   1  u du 2 du  sec 2 xdx 1 3 u u c 3 1 3  tan x  tan x  c 3
  • 90.
     sec 4xdx   sec 2 x1  tan 2 x dx u  tan x   1  u du 2 du  sec 2 xdx 1 3 Even Power u u c Factorise as sec xsec x  3 2 2 some power 1 3  tan x  tan x  c Substitute sec 2 x  1  tan 2 x 3 Use u  tan x
  • 91.
     sec 4xdx   sec 2 x1  tan 2 x dx u  tan x   1  u du 2 du  sec 2 xdx 1 3 Even Power u u c Factorise as sec xsec x  3 2 2 some power 1 3  tan x  tan x  c Substitute sec 2 x  1  tan 2 x 3 Use u  tan x Exercise 2C; 1, 2, 4, 5, 7, 8, 10, 12, 14, 16, 17, 18