Differentiating
 Logarithms
Differentiating
 Logarithms
 y  log f  x 
Differentiating
 Logarithms
 y  log f  x 
dy f  x 
  
dx f  x 
Differentiating
 Logarithms
 y  log f  x    y  log a f  x 
dy f  x 
  
dx f  x 
Differentiating
 Logarithms
 y  log f  x     y  log a f  x 
dy f  x         dy       f  x 
                     
dx f  x          dx log a  f  x 
Differentiating
           Logarithms
               y  log f  x     y  log a f  x 
             dy f  x          dy       f  x 
                                   
             dx f  x           dx log a  f  x 


e.g. (i) y  log3 x  5
Differentiating
           Logarithms
               y  log f  x     y  log a f  x 
             dy f  x          dy       f  x 
                                   
             dx f  x           dx log a  f  x 


e.g. (i) y  log3 x  5
       dy    3
          
       dx 3 x  5
Differentiating
           Logarithms
               y  log f  x             y  log a f  x 
             dy f  x                  dy       f  x 
                                           
             dx f  x                   dx log a  f  x 


e.g. (i) y  log3 x  5        ii  y  log x 3
       dy    3
          
       dx 3 x  5
Differentiating
           Logarithms
               y  log f  x             y  log a f  x 
             dy f  x                  dy       f  x 
                                           
             dx f  x                   dx log a  f  x 


e.g. (i) y  log3 x  5        ii  y  log x 3
       dy    3                       dy 3 x 2
                                       3
       dx 3 x  5                    dx x
Differentiating
           Logarithms
               y  log f  x             y  log a f  x 
             dy f  x                  dy       f  x 
                                           
             dx f  x                   dx log a  f  x 


e.g. (i) y  log3 x  5        ii  y  log x 3
       dy    3                       dy 3 x 2
                                       3
       dx 3 x  5                    dx x
                                         3
                                       
                                         x
Differentiating
           Logarithms
               y  log f  x            y  log a f  x 
             dy f  x                 dy       f  x 
                                          
             dx f  x                  dx log a  f  x 


e.g. (i) y  log3 x  5        ii  y  log x 3 OR         y  log x 3
                                              2
       dy    3                      dy 3 x
                                      3
       dx 3 x  5                   dx x
                                        3
                                      
                                        x
Differentiating
           Logarithms
               y  log f  x            y  log a f  x 
             dy f  x                 dy       f  x 
                                          
             dx f  x                  dx log a  f  x 


e.g. (i) y  log3 x  5        ii  y  log x 3 OR         y  log x 3
                                              2
       dy
          
             3                      dy 3 x
                                       3                     y  3 log x
       dx 3 x  5                   dx x
                                        3
                                      
                                        x
Differentiating
           Logarithms
               y  log f  x            y  log a f  x 
             dy f  x                 dy       f  x 
                                          
             dx f  x                  dx log a  f  x 


e.g. (i) y  log3 x  5        ii  y  log x 3 OR         y  log x 3
                                              2
       dy
          
             3                      dy 3 x
                                       3                     y  3 log x
       dx 3 x  5                   dx x                      dy 3
                                        3                       
                                                             dx x
                                        x
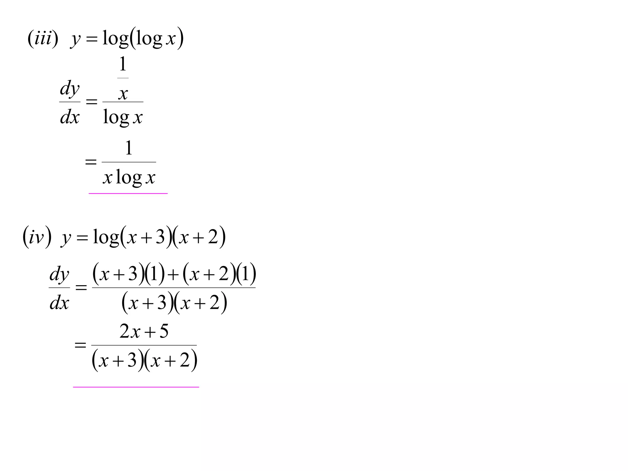
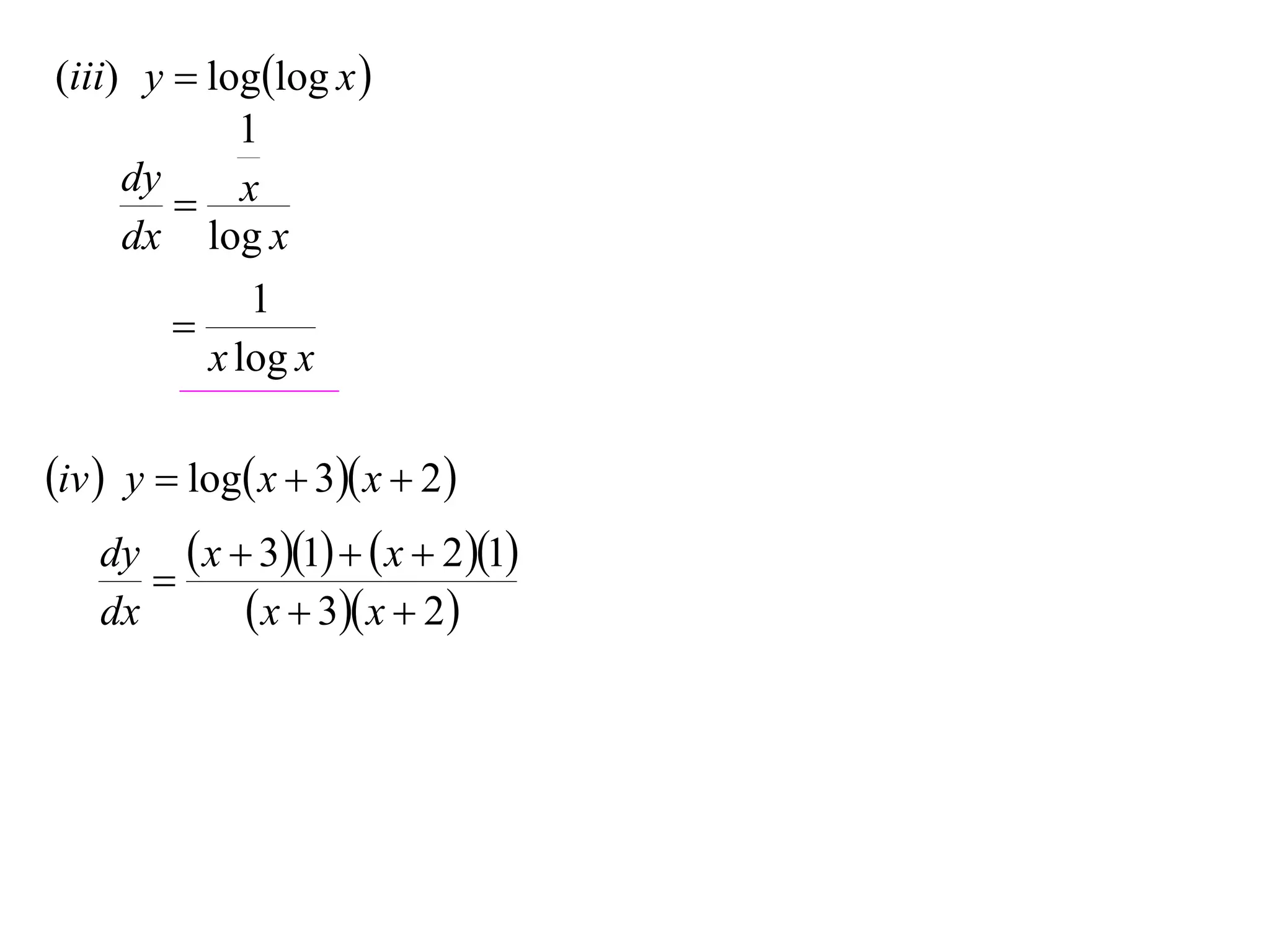
(iii) y  loglog x 
(iii) y  loglog x 
            1
     dy
         x
     dx log x
(iii) y  loglog x 
            1
     dy
         x
     dx log x
             1
        
          x log x
(iii) y  loglog x 
            1
     dy
         x
     dx log x
             1
        
          x log x

iv  y  log x  3 x  2
(iii) y  loglog x 
            1
     dy
         x
     dx log x
             1
        
          x log x

iv  y  log x  3 x  2
     dy  x  31   x  2 1
        
     dx       x  3 x  2
(iii) y  loglog x 
            1
     dy
         x
     dx log x
             1
        
          x log x

iv  y  log x  3 x  2
     dy  x  31   x  2 1
        
     dx       x  3 x  2
              2x  5
       
          x  3 x  2
(iii) y  loglog x 
            1
     dy
         x
     dx log x
             1
        
          x log x

iv  y  log x  3 x  2        OR   y  log x  3  log x  2 
     dy  x  31   x  2 1
        
     dx       x  3 x  2
              2x  5
       
          x  3 x  2
(iii) y  loglog x 
            1
     dy
         x
     dx log x
             1
        
          x log x

iv  y  log x  3 x  2        OR   y  log x  3  log x  2 
     dy  x  31   x  2 1        dy   1     1
                                                
     dx       x  3 x  2             dx x  3 x  2
              2x  5
       
          x  3 x  2
(iii) y  loglog x 
            1
     dy
         x
     dx log x
             1
        
          x log x

iv  y  log x  3 x  2        OR   y  log x  3  log x  2 
     dy  x  31   x  2 1        dy      1         1
                                                     
     dx       x  3 x  2             dx x  3 x  2
              2x  5                            x  2   x  3
                                            
          x  3 x  2                         x  3 x  2
(iii) y  loglog x 
            1
     dy
         x
     dx log x
             1
        
          x log x

iv  y  log x  3 x  2        OR   y  log x  3  log x  2 
     dy  x  31   x  2 1        dy      1         1
                                                     
     dx       x  3 x  2             dx x  3 x  2
              2x  5                            x  2   x  3
                                            
          x  3 x  2                         x  3 x  2
                                                    2x  5
                                             
                                                x  3 x  2
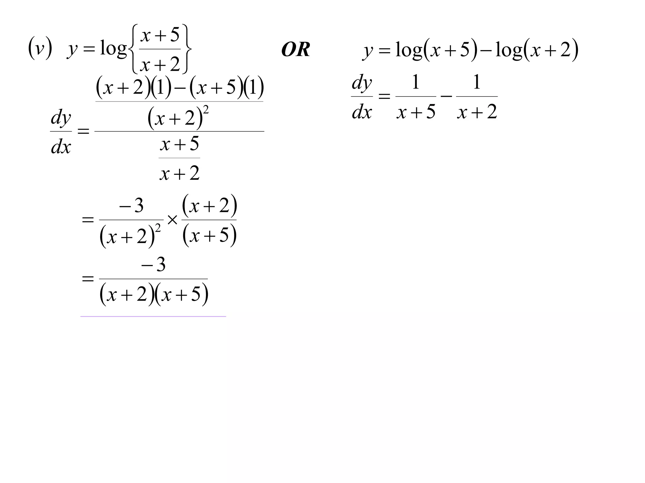
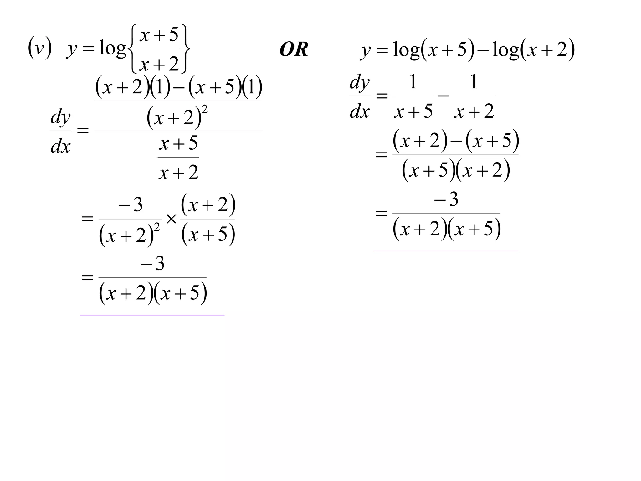
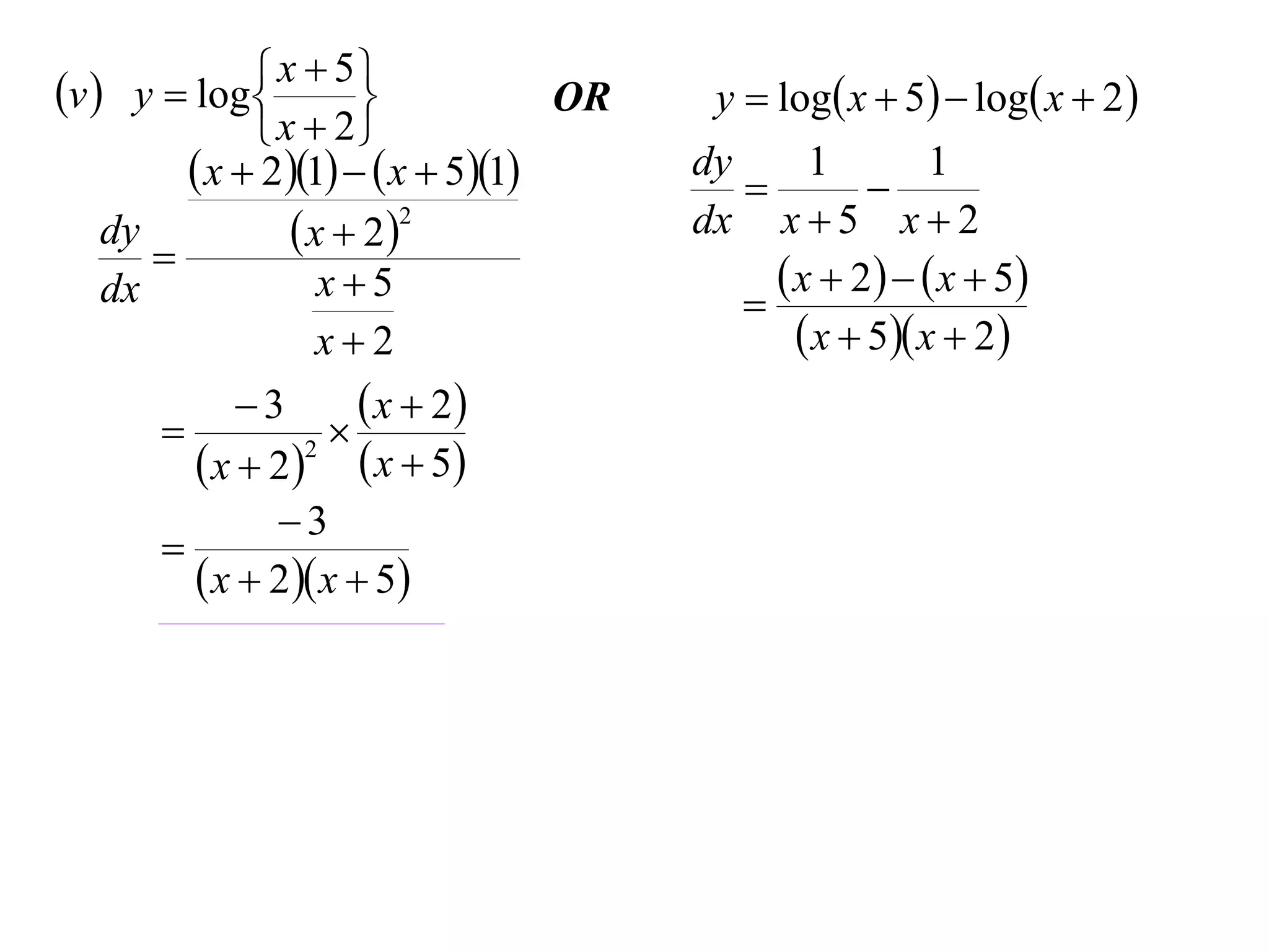
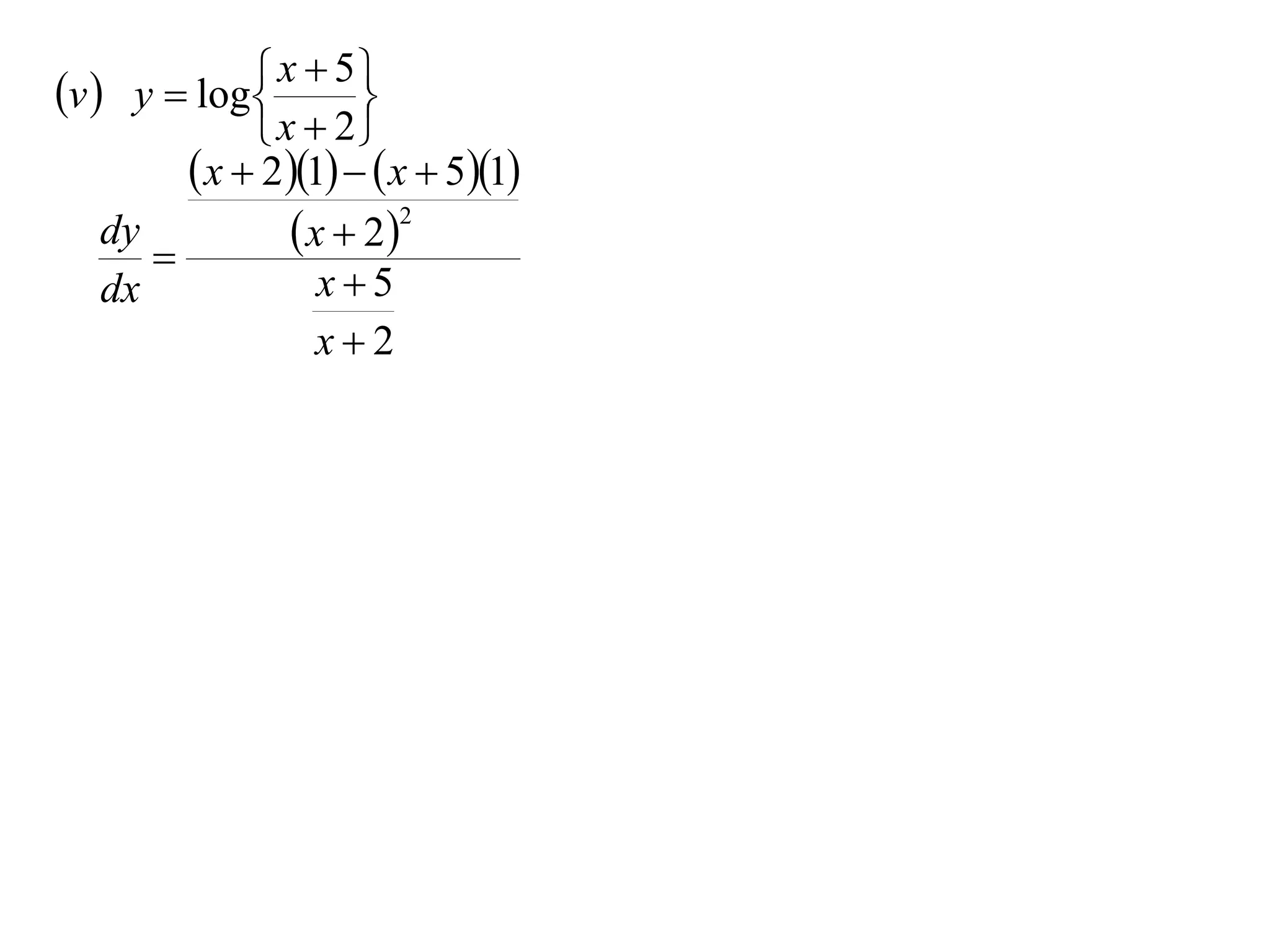
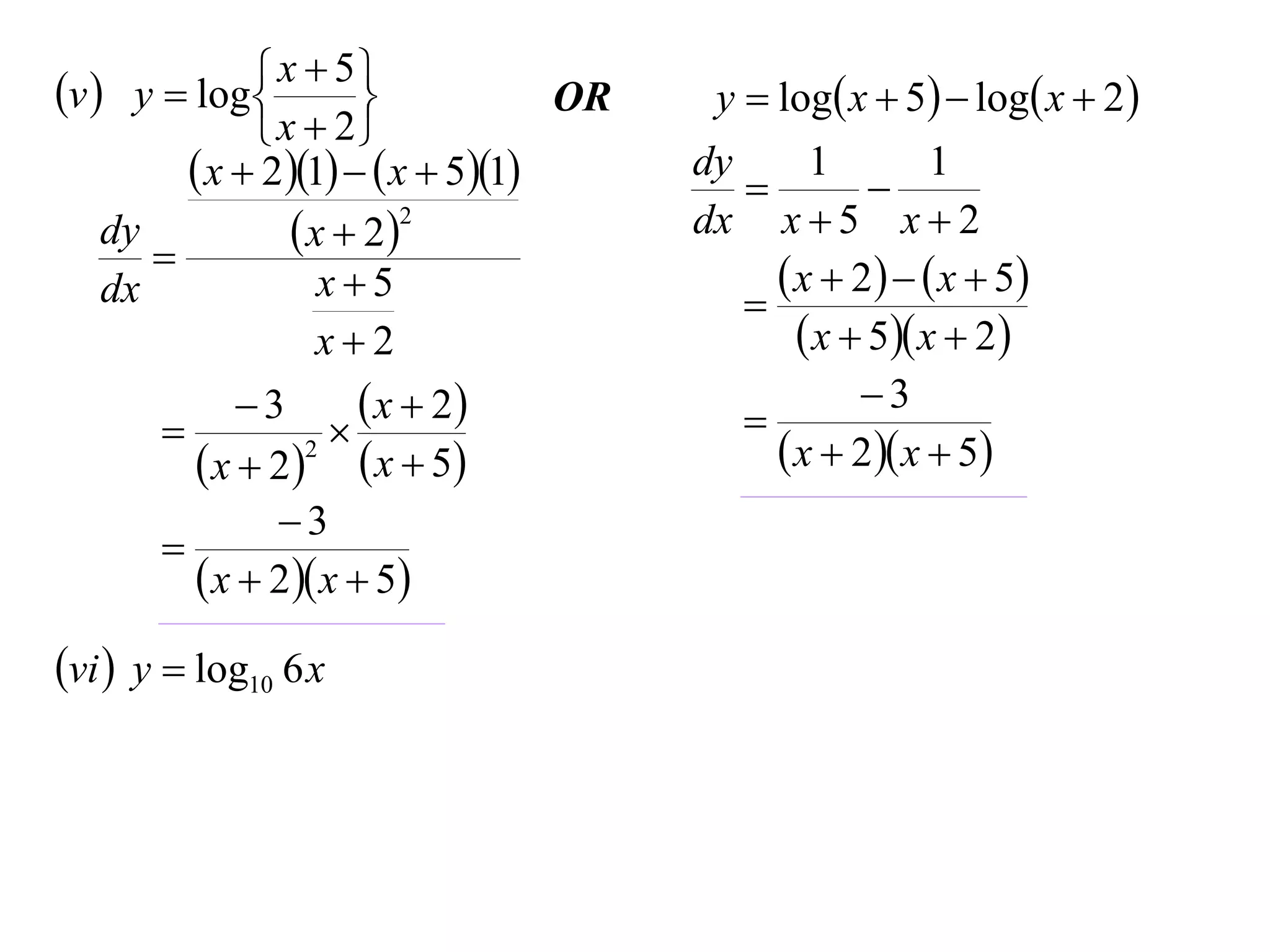
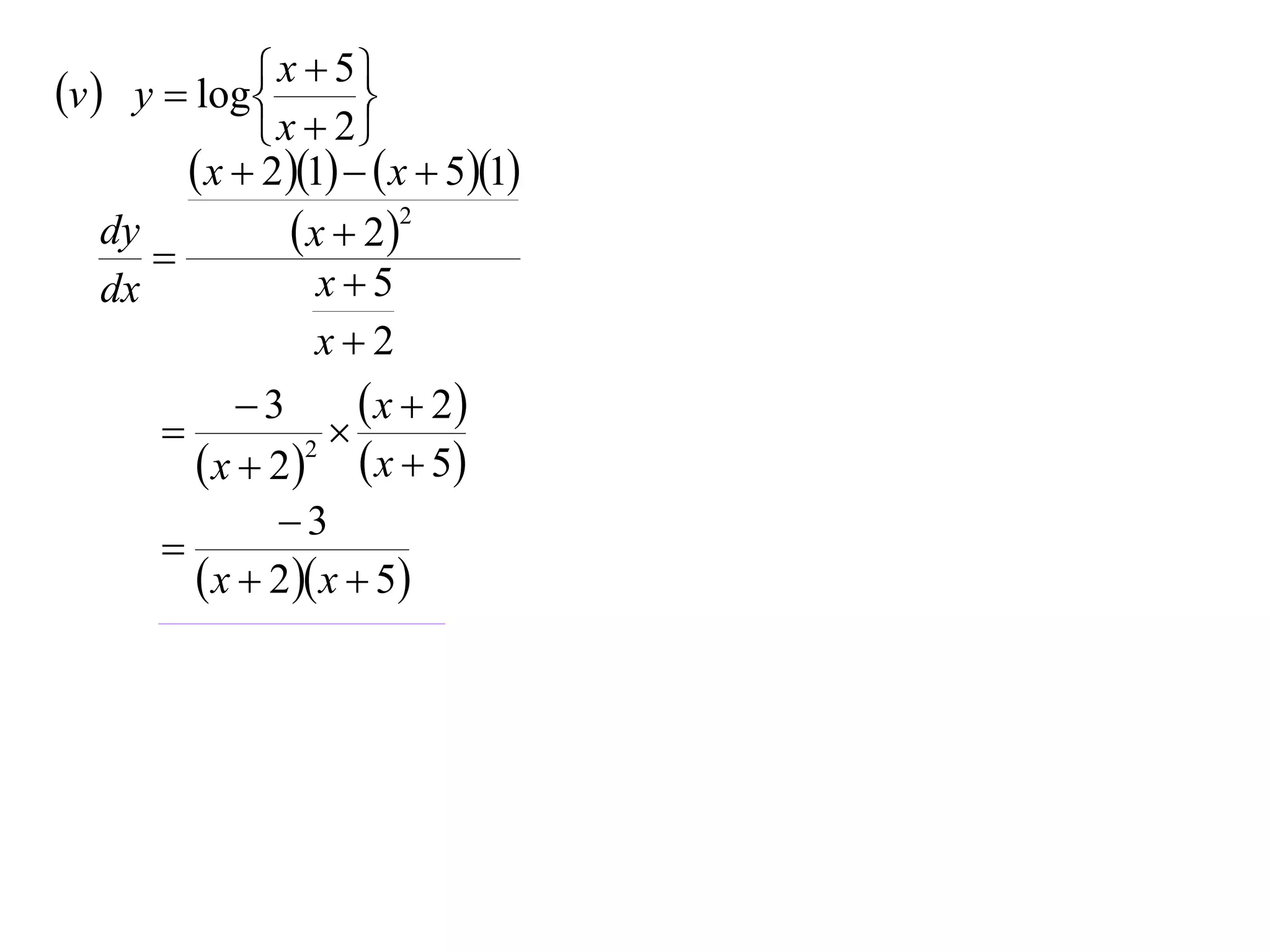
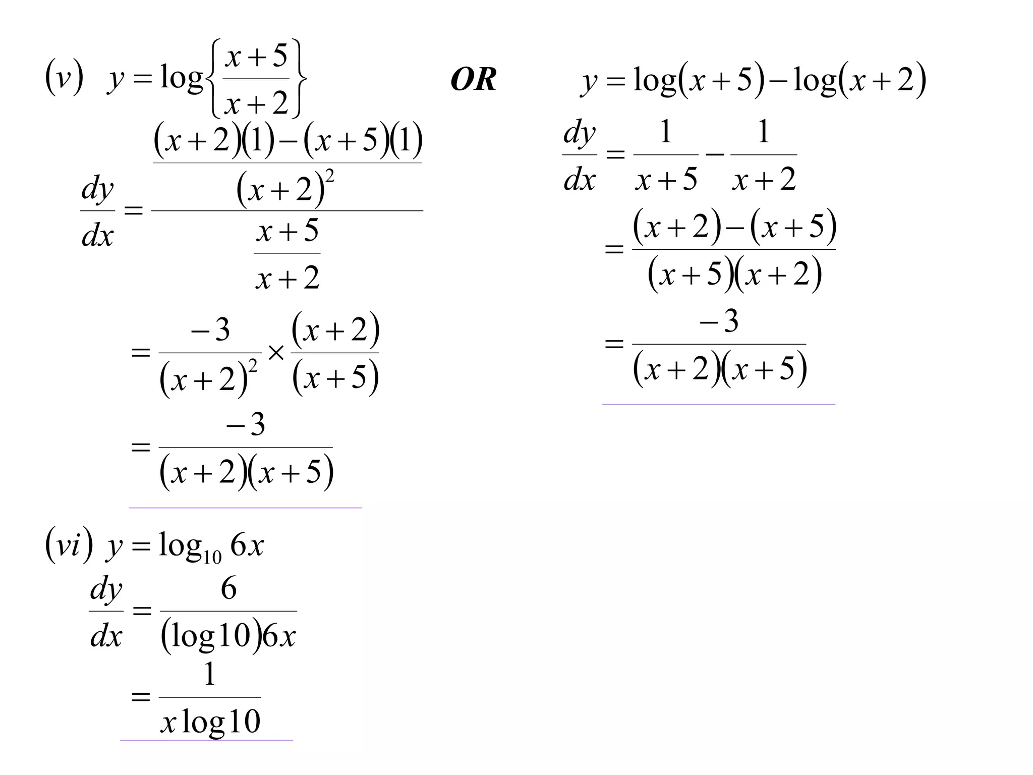
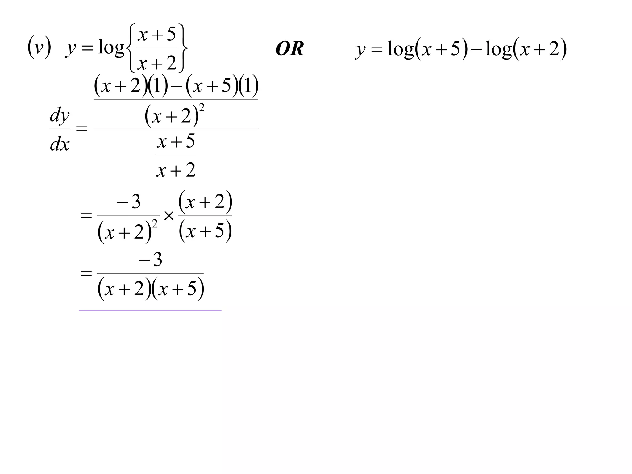
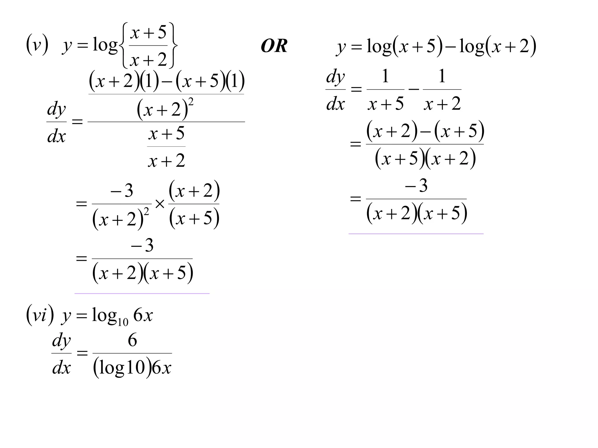
v             x  5
       y  log       
                x  2
v  y  log  x  5
                      
               x  2
          x  21   x  51
    dy
       
                  x  22
    dx              x5
                    x2
v  y  log  x  5
                      
               x  2
          x  21   x  51
    dy
       
                  x  22
    dx              x5
                    x2
               3      x  2
                   
            x  22  x  5
v  y  log  x  5
                      
               x  2
          x  21   x  51
    dy
       
                  x  22
    dx              x5
                    x2
             3        x  2
                  
          x  22  x  5
               3
       
          x  2 x  5
v  y  log  x  5
                                  OR   y  log x  5  log x  2 
               x  2
          x  21   x  51
    dy
       
                  x  22
    dx              x5
                    x2
             3        x  2
                  
          x  22  x  5
               3
       
          x  2 x  5
v  y  log  x  5
                                  OR    y  log x  5  log x  2 
               x  2
          x  21   x  51      dy
                                           
                                             1
                                                
                                                   1
    dy            x  22              dx x  5 x  2
       
    dx              x5
                    x2
             3        x  2
                  
          x  22  x  5
               3
       
          x  2 x  5
v  y  log  x  5
                                  OR    y  log x  5  log x  2 
               x  2
          x  21   x  51      dy
                                           
                                                1
                                                     
                                                          1
    dy            x  22              dx x  5 x  2
       
    dx              x5                       x  2    x  5
                                           
                    x2                         x  5 x  2
             3        x  2
                  
          x  22  x  5
               3
       
          x  2 x  5
v  y  log  x  5
                                  OR    y  log x  5  log x  2 
               x  2
          x  21   x  51      dy
                                           
                                                1
                                                     
                                                          1
    dy            x  22              dx x  5 x  2
       
    dx              x5                       x  2    x  5
                                           
                    x2                         x  5 x  2
             3        x  2                      3
                                         
          x  22  x  5                   x  2 x  5
               3
       
          x  2 x  5
v  y  log  x  5
                                  OR    y  log x  5  log x  2 
               x  2
          x  21   x  51      dy
                                           
                                                1
                                                     
                                                          1
    dy            x  22              dx x  5 x  2
       
    dx              x5                       x  2    x  5
                                           
                    x2                         x  5 x  2
             3        x  2                      3
                                         
          x  22  x  5                   x  2 x  5
               3
       
          x  2 x  5
vi  y  log10 6 x
v  y  log  x  5
                                  OR    y  log x  5  log x  2 
               x  2
          x  21   x  51      dy
                                           
                                                1
                                                     
                                                          1
    dy            x  22              dx x  5 x  2
       
    dx              x5                       x  2    x  5
                                           
                    x2                         x  5 x  2
             3        x  2                      3
                                         
          x  22  x  5                   x  2 x  5
               3
       
          x  2 x  5
vi  y  log10 6 x
   dy      6
      
   dx log 10 6 x
v  y  log  x  5
                                  OR    y  log x  5  log x  2 
               x  2
          x  21   x  51      dy
                                           
                                                1
                                                     
                                                          1
    dy            x  22              dx x  5 x  2
       
    dx              x5                       x  2    x  5
                                           
                    x2                         x  5 x  2
             3        x  2                      3
                                         
          x  22  x  5                   x  2 x  5
               3
       
          x  2 x  5
vi  y  log10 6 x
   dy         6
      
   dx log 10 6 x
            1
      
        x log 10
v  y  log  x  5
                                  OR         y  log x  5  log x  2 
               x  2
          x  21   x  51          dy
                                               
                                                    1
                                                         
                                                              1
    dy            x  22                  dx x  5 x  2
       
    dx              x5                           x  2    x  5
                                               
                    x2                             x  5 x  2
             3        x  2                          3
                                             
          x  22  x  5                       x  2 x  5
               3
       
          x  2 x  5         Exercise 12B; 1acf, 2chk, 5acehi, 6b,
                                 7ad, 8acef, 9bd, 10ac, 11, 13a, 14bdfhjl,
vi  y  log10 6 x                    15b, 18bdf, 19b, 20af*, 21a*
   dy         6
      
   dx log 10 6 x                Exercise 12C; 1bdf, 2, 3, 6, 7a, 8, 11,
            1
                                             13, 14, 18*
        x log 10

12X1 T01 02 differentiating logs

  • 1.
  • 2.
    Differentiating Logarithms y log f  x 
  • 3.
    Differentiating Logarithms y log f  x  dy f  x   dx f  x 
  • 4.
    Differentiating Logarithms y log f  x  y  log a f  x  dy f  x   dx f  x 
  • 5.
    Differentiating Logarithms y log f  x  y  log a f  x  dy f  x  dy f  x    dx f  x  dx log a  f  x 
  • 6.
    Differentiating Logarithms y  log f  x  y  log a f  x  dy f  x  dy f  x    dx f  x  dx log a  f  x  e.g. (i) y  log3 x  5
  • 7.
    Differentiating Logarithms y  log f  x  y  log a f  x  dy f  x  dy f  x    dx f  x  dx log a  f  x  e.g. (i) y  log3 x  5 dy 3  dx 3 x  5
  • 8.
    Differentiating Logarithms y  log f  x  y  log a f  x  dy f  x  dy f  x    dx f  x  dx log a  f  x  e.g. (i) y  log3 x  5 ii  y  log x 3 dy 3  dx 3 x  5
  • 9.
    Differentiating Logarithms y  log f  x  y  log a f  x  dy f  x  dy f  x    dx f  x  dx log a  f  x  e.g. (i) y  log3 x  5 ii  y  log x 3 dy 3 dy 3 x 2   3 dx 3 x  5 dx x
  • 10.
    Differentiating Logarithms y  log f  x  y  log a f  x  dy f  x  dy f  x    dx f  x  dx log a  f  x  e.g. (i) y  log3 x  5 ii  y  log x 3 dy 3 dy 3 x 2   3 dx 3 x  5 dx x 3  x
  • 11.
    Differentiating Logarithms y  log f  x  y  log a f  x  dy f  x  dy f  x    dx f  x  dx log a  f  x  e.g. (i) y  log3 x  5 ii  y  log x 3 OR y  log x 3 2 dy 3 dy 3 x   3 dx 3 x  5 dx x 3  x
  • 12.
    Differentiating Logarithms y  log f  x  y  log a f  x  dy f  x  dy f  x    dx f  x  dx log a  f  x  e.g. (i) y  log3 x  5 ii  y  log x 3 OR y  log x 3 2 dy  3 dy 3 x  3 y  3 log x dx 3 x  5 dx x 3  x
  • 13.
    Differentiating Logarithms y  log f  x  y  log a f  x  dy f  x  dy f  x    dx f  x  dx log a  f  x  e.g. (i) y  log3 x  5 ii  y  log x 3 OR y  log x 3 2 dy  3 dy 3 x  3 y  3 log x dx 3 x  5 dx x dy 3 3   dx x x
  • 14.
    (iii) y loglog x 
  • 15.
    (iii) y loglog x  1 dy  x dx log x
  • 16.
    (iii) y loglog x  1 dy  x dx log x 1  x log x
  • 17.
    (iii) y loglog x  1 dy  x dx log x 1  x log x iv  y  log x  3 x  2
  • 18.
    (iii) y loglog x  1 dy  x dx log x 1  x log x iv  y  log x  3 x  2 dy  x  31   x  2 1  dx  x  3 x  2
  • 19.
    (iii) y loglog x  1 dy  x dx log x 1  x log x iv  y  log x  3 x  2 dy  x  31   x  2 1  dx  x  3 x  2 2x  5   x  3 x  2
  • 20.
    (iii) y loglog x  1 dy  x dx log x 1  x log x iv  y  log x  3 x  2 OR y  log x  3  log x  2  dy  x  31   x  2 1  dx  x  3 x  2 2x  5   x  3 x  2
  • 21.
    (iii) y loglog x  1 dy  x dx log x 1  x log x iv  y  log x  3 x  2 OR y  log x  3  log x  2  dy  x  31   x  2 1 dy 1 1    dx  x  3 x  2 dx x  3 x  2 2x  5   x  3 x  2
  • 22.
    (iii) y loglog x  1 dy  x dx log x 1  x log x iv  y  log x  3 x  2 OR y  log x  3  log x  2  dy  x  31   x  2 1 dy 1 1    dx  x  3 x  2 dx x  3 x  2 2x  5  x  2   x  3    x  3 x  2  x  3 x  2
  • 23.
    (iii) y loglog x  1 dy  x dx log x 1  x log x iv  y  log x  3 x  2 OR y  log x  3  log x  2  dy  x  31   x  2 1 dy 1 1    dx  x  3 x  2 dx x  3 x  2 2x  5  x  2   x  3    x  3 x  2  x  3 x  2 2x  5   x  3 x  2
  • 24.
    v   x  5 y  log    x  2
  • 25.
    v  y log  x  5   x  2  x  21   x  51 dy   x  22 dx x5 x2
  • 26.
    v  y log  x  5   x  2  x  21   x  51 dy   x  22 dx x5 x2 3  x  2    x  22  x  5
  • 27.
    v  y log  x  5   x  2  x  21   x  51 dy   x  22 dx x5 x2 3  x  2    x  22  x  5 3   x  2 x  5
  • 28.
    v  y log  x  5  OR y  log x  5  log x  2   x  2  x  21   x  51 dy   x  22 dx x5 x2 3  x  2    x  22  x  5 3   x  2 x  5
  • 29.
    v  y log  x  5  OR y  log x  5  log x  2   x  2  x  21   x  51 dy  1  1 dy  x  22 dx x  5 x  2  dx x5 x2 3  x  2    x  22  x  5 3   x  2 x  5
  • 30.
    v  y log  x  5  OR y  log x  5  log x  2   x  2  x  21   x  51 dy  1  1 dy  x  22 dx x  5 x  2  dx x5  x  2    x  5  x2  x  5 x  2 3  x  2    x  22  x  5 3   x  2 x  5
  • 31.
    v  y log  x  5  OR y  log x  5  log x  2   x  2  x  21   x  51 dy  1  1 dy  x  22 dx x  5 x  2  dx x5  x  2    x  5  x2  x  5 x  2 3  x  2 3     x  22  x  5  x  2 x  5 3   x  2 x  5
  • 32.
    v  y log  x  5  OR y  log x  5  log x  2   x  2  x  21   x  51 dy  1  1 dy  x  22 dx x  5 x  2  dx x5  x  2    x  5  x2  x  5 x  2 3  x  2 3     x  22  x  5  x  2 x  5 3   x  2 x  5 vi  y  log10 6 x
  • 33.
    v  y log  x  5  OR y  log x  5  log x  2   x  2  x  21   x  51 dy  1  1 dy  x  22 dx x  5 x  2  dx x5  x  2    x  5  x2  x  5 x  2 3  x  2 3     x  22  x  5  x  2 x  5 3   x  2 x  5 vi  y  log10 6 x dy 6  dx log 10 6 x
  • 34.
    v  y log  x  5  OR y  log x  5  log x  2   x  2  x  21   x  51 dy  1  1 dy  x  22 dx x  5 x  2  dx x5  x  2    x  5  x2  x  5 x  2 3  x  2 3     x  22  x  5  x  2 x  5 3   x  2 x  5 vi  y  log10 6 x dy 6  dx log 10 6 x 1  x log 10
  • 35.
    v  y log  x  5  OR y  log x  5  log x  2   x  2  x  21   x  51 dy  1  1 dy  x  22 dx x  5 x  2  dx x5  x  2    x  5  x2  x  5 x  2 3  x  2 3     x  22  x  5  x  2 x  5 3   x  2 x  5 Exercise 12B; 1acf, 2chk, 5acehi, 6b, 7ad, 8acef, 9bd, 10ac, 11, 13a, 14bdfhjl, vi  y  log10 6 x 15b, 18bdf, 19b, 20af*, 21a* dy 6  dx log 10 6 x Exercise 12C; 1bdf, 2, 3, 6, 7a, 8, 11, 1  13, 14, 18* x log 10