1
Topic 1-2 Damped SHMUEEP1033 Oscillations and Waves
Topic 2:
Damped Oscillation
2
Topic 1-2 Damped SHMUEEP1033 Oscillations and Waves
• For ideal SHM, total energy remained constant and
displacement followed a simple sine curve for infinite time
• In practice some energy is always dissipated by a resistive or
viscous process
• Example, the amplitude of a freely swinging pendulum will
always decay with time as energy is lost
• The presence of resistance to motion means that another force
is active, which is taken as being proportional to the velocity
3
Topic 1-2 Damped SHMUEEP1033 Oscillations and Waves
frictional force acts in the direction opposite to that of the
velocity (see figure below)
where r is the constant of proportionality and has the
dimensions of force per unit of velocity and the present of
this term will always result in energy loss
Newton’s Second law becomes:
4
Topic 1-2 Damped SHMUEEP1033 Oscillations and Waves
The problem now is to find the behaviour of the displacement
x from the equation:
where the coefficients m, r and s are constant
When these coefficients are constant a solution of the form
can always be found
C has the dimension of x (i.e. length)
 has the dimension of inverse time
differential
equation
5
Topic 1-2 Damped SHMUEEP1033 Oscillations and Waves
Taking C as a constant length:
The equation of motion become:
So:
Or:
6
Topic 1-2 Damped SHMUEEP1033 Oscillations and Waves
Solving the quadratic equation in  gives:
The displacement can now be expressed as:
the sum of both these terms:
7
Topic 1-2 Damped SHMUEEP1033 Oscillations and Waves
= positive, zero or negative
depending on the relative magnitude of the two terms inside it
 three possible solutions and each solution describes a
particular kind of behaviour
: heavy damping results in a dead beat system
damping resistance term stiffness term
: balance between the two terms results in a
critically damped system
: system is lightly damped and gives
oscillatory damped simple harmonic motion
8
Topic 1-2 Damped SHMUEEP1033 Oscillations and Waves
Case 1. Heavy Damping
Let: and
If now F = C1 + C2 and G = C1  C2

9
Topic 1-2 Damped SHMUEEP1033 Oscillations and Waves
Hyperbolic sine:
Hyperbolic cosine:
10
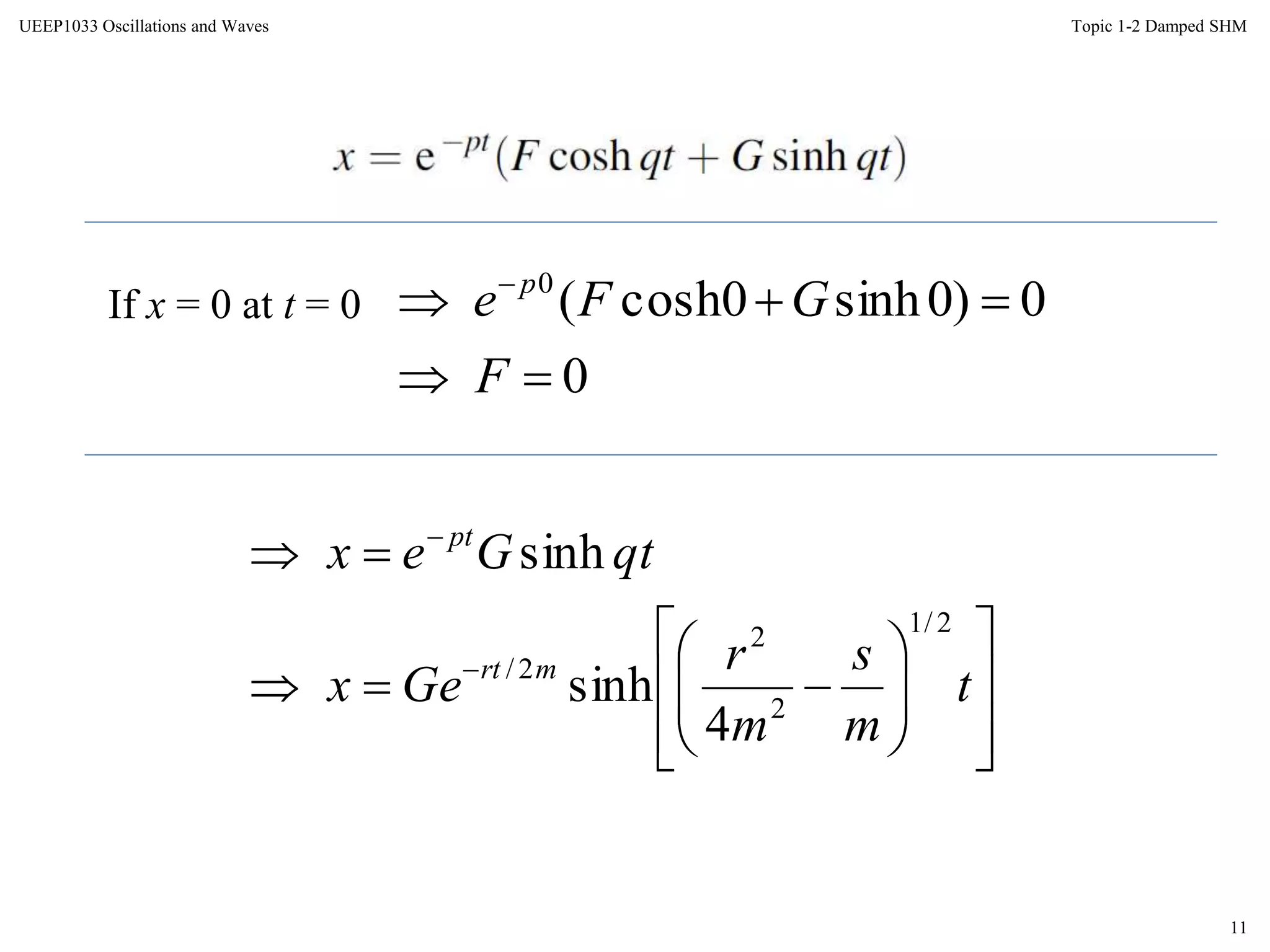
Topic 1-2 Damped SHMUEEP1033 Oscillations and Waves
• This represents non-oscillatory behaviour
• The actual displacement will depend upon the initial or
boundary conditions
• If x = 0 at t = 0, then F = 0 and displacement x become
Case 1. Heavy Damping
11
Topic 1-2 Damped SHMUEEP1033 Oscillations and Waves
If x = 0 at t = 0
0
0)0sinh0cosh(0

 
F
GFe p


















t
m
s
m
r
Gex
qtGex
mrt
pt
2/1
2
2
2/
4
sinh
sinh
12
Topic 1-2 Damped SHMUEEP1033 Oscillations and Waves
Case 1: Heavy Damping
It will return to zero
displacement quite
slowly without
oscillating about its
equilibrium position
13
Topic 1-2 Damped SHMUEEP1033 Oscillations and Waves
Case 2: Critical Damping
 q = 0

m
r
2

The quadratic equation
in  has equal roots
In the differential equation
solution, demands that C
must be written:
C = A + Bt
A = a constant length B = a given velocity which depends
on the boundary conditions

satisfies
14
Topic 1-2 Damped SHMUEEP1033 Oscillations and Waves
Example
Mechanical oscillators which experience sudden impulses and are
required to return to zero displacement in the minimum time
Suppose: at t = 0, displacement x = 0 (i.e. A = 0) and receives an
impulse which gives it an initial velocity V
at t = 0:
Complete solution:
Case 2: Critical Damping
15
Topic 1-2 Damped SHMUEEP1033 Oscillations and Waves
At maximum displacement:

At this time the displacement is:
Case 2: Critical Damping
16
Topic 1-2 Damped SHMUEEP1033 Oscillations and Waves
Case 2: Critical Damping
17
Topic 1-2 Damped SHMUEEP1033 Oscillations and Waves
Case 3: Damped Simple Harmonic Motion
when
= imaginary quantity
So the displacement is:
18
Topic 1-2 Damped SHMUEEP1033 Oscillations and Waves
The bracket has the dimensions of inverse time (i.e. of frequency)

 the behaviour of the displacement x is oscillatory with a
new frequency
 = frequency of ideal simple harmonic motion

Case 3: Damped Simple Harmonic Motion
19
Topic 1-2 Damped SHMUEEP1033 Oscillations and Waves
To compare the behaviour of the damped oscillator with
the ideal case, we have to express the solution in a form
similar to that in the ideal case, i.e.
Rewrite:
Choose:
where A and  are constant which depend on the motion at t = 0
Case 3: Damped Simple Harmonic Motion
20
Topic 1-2 Damped SHMUEEP1033 Oscillations and Waves

SHM with new frequency:
Amplitude A is modified by e-rt/2m (which decays with time)
Case 3: Damped Simple Harmonic Motion
21
Topic 1-2 Damped SHMUEEP1033 Oscillations and Waves
Case 3: Damped Simple Harmonic Motion
22
Topic 1-2 Damped SHMUEEP1033 Oscillations and Waves
Summary
solution
solution
: heavy damped
: critically damped
: damped SHM
23
Topic 1-2 Damped SHMUEEP1033 Oscillations and Waves
: heavy damped
Summary
24
Topic 1-2 Damped SHMUEEP1033 Oscillations and Waves
: critically damped
Summary
25
Topic 1-2 Damped SHMUEEP1033 Oscillations and Waves
: damped SHM
Amplitude A is modified by e-rt/2m (which decays with time)
Summary
26
Topic 1-2 Damped SHMUEEP1033 Oscillations and Waves
Methods of Describing the Damping of an Oscillator
Logarithmic Decrement, 
Relaxation Time or Modulus of Decay
Q-value of a Damped Simple Harmonic Oscillator
27
Topic 1-2 Damped SHMUEEP1033 Oscillations and Waves
Energy of an oscillator:
E  a2proportional to the square of its amplitude:
In the presence of a damping force
the amplitude decays with time as
So the energy decay will be proportional to
E 
• The larger the value of the damping force r the more rapid
the decay of the amplitude and energy
Methods of Describing the Damping of an OscillatorMethods of Describing the Damping of an Oscillator
28
Topic 1-2 Damped SHMUEEP1033 Oscillations and Waves
Logarithmic Decrement, 
= measures the rate at which the amplitude dies away
Suppose in the expression:
Choose  = /2, x = A0 at t = 0:

Logarithmic Decrement
29
Topic 1-2 Damped SHMUEEP1033 Oscillations and Waves
Methods of Describing the Damping of an Oscillator
Logarithmic Decrement, 
30
Topic 1-2 Damped SHMUEEP1033 Oscillations and Waves
then one period later the amplitude is given by
If the period of oscillation is  where  = 2/

- logarithmic decrement
where:
Methods of Describing the Damping of an Oscillator
Logarithmic Decrement, 
31
Topic 1-2 Damped SHMUEEP1033 Oscillations and Waves
The logarithmic decrement  is the logarithm of the ratio of
two amplitudes of oscillation which are separated by one
period

Experimentally, the value of is best found by comparing
amplitudes of oscillations which are separated by n periods.
The graph of versus n for different value of n has a
slope 
Methods of Describing the Damping of an Oscillator
Logarithmic Decrement, 
32
Topic 1-2 Damped SHMUEEP1033 Oscillations and Waves
Relaxation Time or Modulus of Decay
Another way of expressing the damping effect:
time taken for the amplitude to decay to
of its original value Ao
 at time
33
Topic 1-2 Damped SHMUEEP1033 Oscillations and Waves
Q-value of a Damped Simple Harmonic Oscillator
Quality Factor or Q-value measures the rate at which
the energy decays from E0 to E0e-1
the decay of the amplitude:
the decay of energy is proportional to

where E0 is the energy value at t = 0
34
Topic 1-2 Damped SHMUEEP1033 Oscillations and Waves
• Time for the energy E decay to E0e-1 : t = m/r
• During this time the oscillator will have vibrated
through m/r rad
define the Quality Factor or Q-value:
Q-value = number of radians through which the
damped system oscillates as its energy
decays to
Q-value of a Damped Simple Harmonic Oscillator
35
Topic 1-2 Damped SHMUEEP1033 Oscillations and Waves
If r is small, then Q is very large 

to a very close approximation:
which is a constant of the damped system

Q-value of a Damped Simple Harmonic Oscillator
36
Topic 1-2 Damped SHMUEEP1033 Oscillations and Waves
Q is a constant implies that the ratio
is also a constant
is the number of cycles (or
complete oscillations) through
which the system moves in
decaying to

Q-value of a Damped Simple Harmonic Oscillator
37
Topic 1-2 Damped SHMUEEP1033 Oscillations and Waves
If
the energy lost per cycle is:
where (the period of oscillation)
Q-value of a Damped Simple Harmonic Oscillator
38
Topic 1-2 Damped SHMUEEP1033 Oscillations and Waves
Example
For the damped oscillator shown,
m = 250 g, k = 85 N m-1, and
r = 0.070 kg s-1.
(a) What is the period of the
motion?
(b) How long does it take for the
amplitude of the damped
oscillation to drop to half of its
initial value?
(c) How long does it take for the
mechanical energy to drop to
one half its initial value.
r
39
Topic 1-2 Damped SHMUEEP1033 Oscillations and Waves
Solution
(a) Period is approximately that of undamped oscillator:
s34.0
85
25.0
22  
k
m
T
  5.0ln2/ln 2/

mrte mrt
(b) Amplitude of oscillation: Ae-rt/2m = 0.5A
s95.4
070.0
)6931.0(25.025.0ln2





r
m
t
Example
40
Topic 1-2 Damped SHMUEEP1033 Oscillations and Waves
(c) Mechanical energy at time t is mrt
ekA /2
2
1 
s48.2
070.0
)6931.0)(25.0(2
1
ln
2
1
ln
2
1
2
1
2
1 2/2













r
m
t
m
rt
kAekA mrt
Solution
Example
41
Topic 1-2 Damped SHMUEEP1033 Oscillations and Waves
Damped SHM in an Electrical Circuit
Electrical circuit of inductance, capacitance and resistance
capable of damped simple harmonic oscillations
The sum of the voltages around the circuit
is given from Kirchhoff ’s law

which, for , gives oscillatory
behaviour at a frequency
LCR circuit

Topic 2 damped oscillation

  • 1.
    1 Topic 1-2 DampedSHMUEEP1033 Oscillations and Waves Topic 2: Damped Oscillation
  • 2.
    2 Topic 1-2 DampedSHMUEEP1033 Oscillations and Waves • For ideal SHM, total energy remained constant and displacement followed a simple sine curve for infinite time • In practice some energy is always dissipated by a resistive or viscous process • Example, the amplitude of a freely swinging pendulum will always decay with time as energy is lost • The presence of resistance to motion means that another force is active, which is taken as being proportional to the velocity
  • 3.
    3 Topic 1-2 DampedSHMUEEP1033 Oscillations and Waves frictional force acts in the direction opposite to that of the velocity (see figure below) where r is the constant of proportionality and has the dimensions of force per unit of velocity and the present of this term will always result in energy loss Newton’s Second law becomes:
  • 4.
    4 Topic 1-2 DampedSHMUEEP1033 Oscillations and Waves The problem now is to find the behaviour of the displacement x from the equation: where the coefficients m, r and s are constant When these coefficients are constant a solution of the form can always be found C has the dimension of x (i.e. length)  has the dimension of inverse time differential equation
  • 5.
    5 Topic 1-2 DampedSHMUEEP1033 Oscillations and Waves Taking C as a constant length: The equation of motion become: So: Or:
  • 6.
    6 Topic 1-2 DampedSHMUEEP1033 Oscillations and Waves Solving the quadratic equation in  gives: The displacement can now be expressed as: the sum of both these terms:
  • 7.
    7 Topic 1-2 DampedSHMUEEP1033 Oscillations and Waves = positive, zero or negative depending on the relative magnitude of the two terms inside it  three possible solutions and each solution describes a particular kind of behaviour : heavy damping results in a dead beat system damping resistance term stiffness term : balance between the two terms results in a critically damped system : system is lightly damped and gives oscillatory damped simple harmonic motion
  • 8.
    8 Topic 1-2 DampedSHMUEEP1033 Oscillations and Waves Case 1. Heavy Damping Let: and If now F = C1 + C2 and G = C1  C2 
  • 9.
    9 Topic 1-2 DampedSHMUEEP1033 Oscillations and Waves Hyperbolic sine: Hyperbolic cosine:
  • 10.
    10 Topic 1-2 DampedSHMUEEP1033 Oscillations and Waves • This represents non-oscillatory behaviour • The actual displacement will depend upon the initial or boundary conditions • If x = 0 at t = 0, then F = 0 and displacement x become Case 1. Heavy Damping
  • 11.
    11 Topic 1-2 DampedSHMUEEP1033 Oscillations and Waves If x = 0 at t = 0 0 0)0sinh0cosh(0    F GFe p                   t m s m r Gex qtGex mrt pt 2/1 2 2 2/ 4 sinh sinh
  • 12.
    12 Topic 1-2 DampedSHMUEEP1033 Oscillations and Waves Case 1: Heavy Damping It will return to zero displacement quite slowly without oscillating about its equilibrium position
  • 13.
    13 Topic 1-2 DampedSHMUEEP1033 Oscillations and Waves Case 2: Critical Damping  q = 0  m r 2  The quadratic equation in  has equal roots In the differential equation solution, demands that C must be written: C = A + Bt A = a constant length B = a given velocity which depends on the boundary conditions  satisfies
  • 14.
    14 Topic 1-2 DampedSHMUEEP1033 Oscillations and Waves Example Mechanical oscillators which experience sudden impulses and are required to return to zero displacement in the minimum time Suppose: at t = 0, displacement x = 0 (i.e. A = 0) and receives an impulse which gives it an initial velocity V at t = 0: Complete solution: Case 2: Critical Damping
  • 15.
    15 Topic 1-2 DampedSHMUEEP1033 Oscillations and Waves At maximum displacement:  At this time the displacement is: Case 2: Critical Damping
  • 16.
    16 Topic 1-2 DampedSHMUEEP1033 Oscillations and Waves Case 2: Critical Damping
  • 17.
    17 Topic 1-2 DampedSHMUEEP1033 Oscillations and Waves Case 3: Damped Simple Harmonic Motion when = imaginary quantity So the displacement is:
  • 18.
    18 Topic 1-2 DampedSHMUEEP1033 Oscillations and Waves The bracket has the dimensions of inverse time (i.e. of frequency)   the behaviour of the displacement x is oscillatory with a new frequency  = frequency of ideal simple harmonic motion  Case 3: Damped Simple Harmonic Motion
  • 19.
    19 Topic 1-2 DampedSHMUEEP1033 Oscillations and Waves To compare the behaviour of the damped oscillator with the ideal case, we have to express the solution in a form similar to that in the ideal case, i.e. Rewrite: Choose: where A and  are constant which depend on the motion at t = 0 Case 3: Damped Simple Harmonic Motion
  • 20.
    20 Topic 1-2 DampedSHMUEEP1033 Oscillations and Waves  SHM with new frequency: Amplitude A is modified by e-rt/2m (which decays with time) Case 3: Damped Simple Harmonic Motion
  • 21.
    21 Topic 1-2 DampedSHMUEEP1033 Oscillations and Waves Case 3: Damped Simple Harmonic Motion
  • 22.
    22 Topic 1-2 DampedSHMUEEP1033 Oscillations and Waves Summary solution solution : heavy damped : critically damped : damped SHM
  • 23.
    23 Topic 1-2 DampedSHMUEEP1033 Oscillations and Waves : heavy damped Summary
  • 24.
    24 Topic 1-2 DampedSHMUEEP1033 Oscillations and Waves : critically damped Summary
  • 25.
    25 Topic 1-2 DampedSHMUEEP1033 Oscillations and Waves : damped SHM Amplitude A is modified by e-rt/2m (which decays with time) Summary
  • 26.
    26 Topic 1-2 DampedSHMUEEP1033 Oscillations and Waves Methods of Describing the Damping of an Oscillator Logarithmic Decrement,  Relaxation Time or Modulus of Decay Q-value of a Damped Simple Harmonic Oscillator
  • 27.
    27 Topic 1-2 DampedSHMUEEP1033 Oscillations and Waves Energy of an oscillator: E  a2proportional to the square of its amplitude: In the presence of a damping force the amplitude decays with time as So the energy decay will be proportional to E  • The larger the value of the damping force r the more rapid the decay of the amplitude and energy Methods of Describing the Damping of an OscillatorMethods of Describing the Damping of an Oscillator
  • 28.
    28 Topic 1-2 DampedSHMUEEP1033 Oscillations and Waves Logarithmic Decrement,  = measures the rate at which the amplitude dies away Suppose in the expression: Choose  = /2, x = A0 at t = 0:  Logarithmic Decrement
  • 29.
    29 Topic 1-2 DampedSHMUEEP1033 Oscillations and Waves Methods of Describing the Damping of an Oscillator Logarithmic Decrement, 
  • 30.
    30 Topic 1-2 DampedSHMUEEP1033 Oscillations and Waves then one period later the amplitude is given by If the period of oscillation is  where  = 2/  - logarithmic decrement where: Methods of Describing the Damping of an Oscillator Logarithmic Decrement, 
  • 31.
    31 Topic 1-2 DampedSHMUEEP1033 Oscillations and Waves The logarithmic decrement  is the logarithm of the ratio of two amplitudes of oscillation which are separated by one period  Experimentally, the value of is best found by comparing amplitudes of oscillations which are separated by n periods. The graph of versus n for different value of n has a slope  Methods of Describing the Damping of an Oscillator Logarithmic Decrement, 
  • 32.
    32 Topic 1-2 DampedSHMUEEP1033 Oscillations and Waves Relaxation Time or Modulus of Decay Another way of expressing the damping effect: time taken for the amplitude to decay to of its original value Ao  at time
  • 33.
    33 Topic 1-2 DampedSHMUEEP1033 Oscillations and Waves Q-value of a Damped Simple Harmonic Oscillator Quality Factor or Q-value measures the rate at which the energy decays from E0 to E0e-1 the decay of the amplitude: the decay of energy is proportional to  where E0 is the energy value at t = 0
  • 34.
    34 Topic 1-2 DampedSHMUEEP1033 Oscillations and Waves • Time for the energy E decay to E0e-1 : t = m/r • During this time the oscillator will have vibrated through m/r rad define the Quality Factor or Q-value: Q-value = number of radians through which the damped system oscillates as its energy decays to Q-value of a Damped Simple Harmonic Oscillator
  • 35.
    35 Topic 1-2 DampedSHMUEEP1033 Oscillations and Waves If r is small, then Q is very large   to a very close approximation: which is a constant of the damped system  Q-value of a Damped Simple Harmonic Oscillator
  • 36.
    36 Topic 1-2 DampedSHMUEEP1033 Oscillations and Waves Q is a constant implies that the ratio is also a constant is the number of cycles (or complete oscillations) through which the system moves in decaying to  Q-value of a Damped Simple Harmonic Oscillator
  • 37.
    37 Topic 1-2 DampedSHMUEEP1033 Oscillations and Waves If the energy lost per cycle is: where (the period of oscillation) Q-value of a Damped Simple Harmonic Oscillator
  • 38.
    38 Topic 1-2 DampedSHMUEEP1033 Oscillations and Waves Example For the damped oscillator shown, m = 250 g, k = 85 N m-1, and r = 0.070 kg s-1. (a) What is the period of the motion? (b) How long does it take for the amplitude of the damped oscillation to drop to half of its initial value? (c) How long does it take for the mechanical energy to drop to one half its initial value. r
  • 39.
    39 Topic 1-2 DampedSHMUEEP1033 Oscillations and Waves Solution (a) Period is approximately that of undamped oscillator: s34.0 85 25.0 22   k m T   5.0ln2/ln 2/  mrte mrt (b) Amplitude of oscillation: Ae-rt/2m = 0.5A s95.4 070.0 )6931.0(25.025.0ln2      r m t Example
  • 40.
    40 Topic 1-2 DampedSHMUEEP1033 Oscillations and Waves (c) Mechanical energy at time t is mrt ekA /2 2 1  s48.2 070.0 )6931.0)(25.0(2 1 ln 2 1 ln 2 1 2 1 2 1 2/2              r m t m rt kAekA mrt Solution Example
  • 41.
    41 Topic 1-2 DampedSHMUEEP1033 Oscillations and Waves Damped SHM in an Electrical Circuit Electrical circuit of inductance, capacitance and resistance capable of damped simple harmonic oscillations The sum of the voltages around the circuit is given from Kirchhoff ’s law  which, for , gives oscillatory behaviour at a frequency LCR circuit