CE-412: Introduction to Structural Dynamics and
Earthquake Engineering
MODULE 4:
RESPONSE OF S.D.O.F SYSTEMS subjected to
FREE VIBRATION
1
2
Undamped Free Vibration
We will first consider the case where there is no load acting on the
Structure i.e. p(t)=0. This case is known as free vibration.
0
ku
u
m 



There are several ways of obtaining a solution to this second
order differential equation.
st
Ge
u(t) 
The simplest is to assume that the solution of the equation is of
following form
3
Substituting this solution into the equation of motion (given
on previous slide) result in:
0
)
(Ge
k)
m
(s st
2


0
kGe
)
Ge
m(s st
st
2


Undamped Free Vibration
0
k
m
s2


0
Gest

Since =>
n
ω
m
k
m
k
s i
i 






=>
The variable ωn is known as the natural circular frequency
with radians/second as unit
4
Undamped Free Vibration
0
k
m
s2


Inserting in
and solving we get:
n
ω
s i


t
ω
2
t
ω
1
n
n
e
G
e
G
u(t) -i
i


t)
BSin(ω
t)
ACos(ω
u(t) n
n 

The above equation after further mathematical simplification
results in:
This is the solution to equation of motion for undamped free
vibration in the form of Simple Harmonic Motion with an angular
velocity, ωn
5
Initial Conditions
The constants A and B in the solution can be determined by
evaluating the solution at two different times or more commonly
from the velocity and displacement at time t = 0
t)
BSin(ω
t)
ACos(ω
u(t) n
n 

BSin0
ACos0
u(0)
u(t)
0,
At 



t
u(0)
A 

6
Initial Conditions
t)
ω
(
Sin
ω
(0)
u
t)
u(0)Cos(ω
u(t) n
n
n



Using the value of A & B in equation given on slide 4 results in:
t)
Cos(ω
Bω
t)
Sin(ω
Aω
-
(t)
u
Similarly, n
n
n
n 


Cos0
B ω
Sin0
A ω
-
(0)
u
(t)
u
,
0
At n
n 


 

t
n
ω
(0)
u
B 


Peak displacement : Undamped free vibration
u o
(0)
u

(0)
u
 
2
n
2
o
ω
(0)
u
u(0)
u 








Amplitude (i.e. peak value) of
displacement during undamped free
vibration can be determined using:
t)
ω
(
Sin
ω
(0)
u
t)
u(0)Cos(ω
u(t) n
n
n



Equivalent Static force
One of the most appealing approach for analyzing a
structural system subjected to dynamic loading is to use
Equivalent Static force approach.
According to this approach, at any instant of time, t , the
equivalent static force, fs , is the external force that will produce
the deformation u at the same t in the stiffness component of
structure (i.e., the system without mass and damping).
k.u(t)
(t)
fs 
Where k is the stiffness of the structure in the direction of
dynamic force.
Displacement- time variation in
an undamped system
Variation of corresponding equivalent
static forces, fs(t), with time, using:
fs(t) = k.u(t)
Equivalent Static force
Element forces or stresses can be determined at each instant of
time by the static analysis of the structure subjected to the force fs.
Natural frequencies and Periods of Free vibration
The Natural Circular Frequency, ωn , is not a convenient measure
for most engineers as it is difficult to visualize.
However, in earthquake engineering the preferred measure of the
dynamic characteristic of structures is the Natural Period of free
vibration, Tn , measured in units of seconds.
2π
ω
f n
n 
n
n
n
ω
2π
f
1
T 

Engineers prefer to use Natural Cyclic Frequency, fn , which is
usually measured in cycles/second (cps) or Hertz
11
Natural Period of free vibration
Amplitude, uo
a
b
c
d
e
n
n ω
2π
T 
(0)
u

Time, t (sec.)
t)
ω
(
Sin
ω
(0)
u
t)
u(0)Cos(ω
u(t) n
n
n



a b c d e
12
Alcoa Building, San Francisco
Steel structure, 26 stories.
Periods of vibration:
Transverse (east-west): 2.21 sec
Longitudinal (north-south): 1.67 sec
Torsional: 1.12 sec
Natural period of free vibration Torsion
13
Golden Gate Bridge, San Francisco
Steel structure, center span of 4200
feet.
Periods of vibration:
 Transverse: 18.2 sec
 Vertical : 10.9 sec
 Longitudinal: 3.81 sec
 Torsional: 4.43 sec
Natural period of free vibration
14
This applies primarily to moment frame buildings.
Natural Time Period (sec) ≈ Number of Stories / 10
e.g. a 15 story building has a fundamental period of approximately
1.5 seconds.
This rule is not very accurate, specially when building height
exceeds 12 story height, but is good for understanding the general
ballpark.
Natural period of free vibration: Rule of thumb
15
Undamped Free Vibration
Problem M4.1
A beam shown in Figure is pulled for ¼ inch in the downward
Direction and then suddenly released to vibrate freely.
Determine Natural Time Period of the system.
Also solve EOM and determine and Amplitude of Equivalent static
force.
Ignore the self weight of beam as well as damping effect. Take
E = 29,000 ksi and I = 150 in4
.
.
1000 lb
¼ "
10'
Static Equilibrium position
A’
18
19
Undamped Free Vibration
Variation of displacement with time (Problem M4.1)
Ost= 0
20
Peak value of Equivalent Static force, fso= kuo
fso= kuo = 90625 lb/ft * 1/48 ft = 1888 lb
21
Undamped Free Vibration
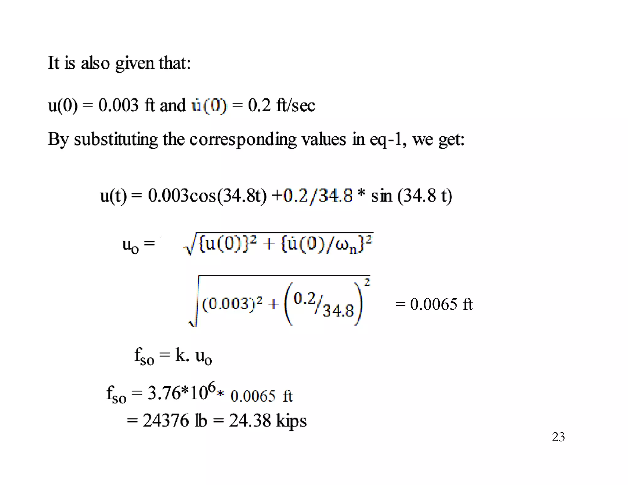
Problem M4.2:
Considering free vibration, solve the equation of motion developed for the
frame given in Problem M3.3.
I, 15ft
I, 10ft
p(t)
20 ft
If displacement and velocity (which occur in the same direction) at the
start of Free vibration are 0.003 ft and 0.2 ft/sec., respectively, Determine:
Amplitude of dynamic displacement, uo, and;
Corresponding equivalent static force, fso
Solution (M4.2)
Solution to Prob. M 3.3
23
= 0.0065 ft
24.4 k
25
1. A spring- mass system has a natural frequency of 10 Hz. When
the stiffness of spring is reduced by 800 N/m, the frequency is
altered by 45%. Find the mass and stiffness of actual system.
Ans: k = 1147 N/m m = 0.29 kg
2. A pressure-vessel head is supported by a
set of steel cables of length 2 m as shown in
Figure. The time period of axial vibration (in
vertical direction) is found to vary from 5 s to
4.0825 s when an additional mass of 5,000 kg
is added to the pressure-vessel head.
Determine the equivalent cross-sectional area
of the cables and the mass of the pressure-
vessel head
Ans: A = 1.53*10-7 m2. m = 10,000 kg
Exercise 4.1
3. A bungee jumper weighing 160 lb ties one end of an elastic rope
of length 200 ft and stiffness 10 lb/in. to a bridge and the other end to
himself and jumps from the bridge.
Assuming the bridge to be rigid, determine the Peak dynamic
displacement, uo, and corresponding equivalent static force
Ans: uo=277.1 in , fso= 2771 lb
Exercise 4.1
4. An electromagnet weighing 3,000 lb is at rest while holding an
automobile of weight 2,000 lb in a junkyard. The electric current is
turned off, and the automobile is dropped. Assuming that the crane
and the supporting cable have an equivalent spring constant of 10,000
lb/in.,find the following: (a) the natural Time period of vibration of
the electromagnet, (b) the resulting motion of the electromagnet, and
(c) the maximum tension developed in the cable during the motion
Exercise 4.1
Ans: Tn= 0.175 s, u(t)=0.2 Cos (35.92t), Tmax= 5000 lb
28
Response of Viscously Damped systems
subjected to Free vibrations
29
The equation of free vibration for damped free vibration has the form
0
ku
u
c
u
m 

 


The solution to this equation will be taken in the same form as for
the undamped form i.e
st
Ge
u(t) 
Viscously Damped Free Vibration
Substituting this value in equation of motion result in:
0
kGe
)
c(sGe
)
Ge
m(s st
st
st
2



30
By rearranging we get: 0
)
k)(Ge
sc
m
(s st
2



Since 0
Ge st
 0
k
sc
m
s 2




2
2
2
2
m
4
km
4
m
4
c
2m
c
-
2m
4km
c
c
-
s
or 





Viscously Damped Free Vibration
By rearranging:
2
n
n
n
n 2m ω
c
-
1
ω
ω
2m ω
c
s 








Using the relation k = mωn
2
2
n
2
2
ω
m
4
c
2m
c
-
s 


31
Viscously Damped Free Vibration
cr
n c
2mω  is known as Critical damping coefficient


n
2mω
c
where (Greek alphabet for Zeta) is known as
2
n
n -
1
ω
ω
s 
 


Where is known as Damped Natural Frequency
and represented by ωD
2
n -
1
ω 
D
n ω
ω
s
or 

 
Damping ratio or fraction of critical damping, which when
substituted in the equation mentioned on previous slide gives:
32
n
2m ω
c 
mk
m
k
m 2
/
2
2m ω
c n 


Viscously Damped Free Vibration
There are 3 forms of solutions available depending on the magnitude
of the Damping Coefficient, c
1
2
3 n
2m ω
c 
Critically damped system
Over damped system
Under damped system
33
n
2m ω
c 
Free Vibration : Critically damped systems
There is no vibration in the response. The structure returns to its
initial position without vibrating about the zero position but in the
shortest time
An example of critically damped system
34
n
2m ω
c 
Free Vibration: Over damped systems
Like critically damped systems, there is no vibration. However,
the structure returns to its initial position slowly as compared to
critically damped system.
Critically damped and over damped systems are of no interest to
the Civil Engineers.
An automatic door close is an example of
an over damped system
35
n
2m ω
c 
Free Vibration : Underdamped system
The structure again returns to its origin but now vibrates.
This is the only case that is of interest to civil or structural
engineers as in all our structures the level of damping is very
small, usually less than 5% of critical damping.
36
Free vibration of under damped, critically damped , and over damped systems
37
Approximate Damping Ratios
Working Stress Level (1/2 yield point) ζ
Welded steel, Prestressed concrete, Well reinforced concrete
(slight cracking) 2-3%
Reinforced concrete with considerable cracking 3-5%
Bolted or riveted steel, Timber 5-7%
At or just below yield point
Welded steel, Prestressed concrete (without loss of prestress) 5-7%
Reinforced concrete 7-10%
Bolted or riveted steel, Bolted timber 10-15%
Nailed timber 15-20%
38
Response of Underdamped systems to
Free vibrations
39
Displacement Response: Underdamped systems
The solution for the under-damped system have the form
 
t)
(
Sin
B.
t)
os(
C
A.
e
u(t) D
D
t
- n





This is similar to the case for undamped free vibration except that
the frequency is slightly smaller and there is a decay of the response
with time.
Again the constants A and B may be found from the solution at two
different times or from the initial conditions at time t = 0
2
n
D -
1
ω
ω
where 






 

 t)
(
Sin
ω
u(0)
(0)
u
t)
(
Cos
)
0
(
u
e
u(t) D
D
n
D
t
- n



 
Peak dynamic displacement: Underdamped systems
Following equation is used to determine Amplitude of
Dynamic Displacement in an under damped system
Underdamped Free Vibration
Problem M4.3
For the frame given in Problem M 4.2, develop and solve the
equation of motion for free vibrations in lateral direction.
Also calculate Peak dynamic displacement and corresponding
Equivalent static force. Take ζ = 5 %.
Solution
ωn= 34.79 rad/s ;





 

 t)
(
Sin
ω
u(0)
(0)
u
t)
(
Cos
)
0
(
u
e
u(t) D
D
n
D
t
- n



 
Solution to above EOM is
u(0)= 0.2 ft/s
EOM
-0.006
-0.004
-0.002
0
0.002
0.004
0.006
0.008
0 0.5 1 1.5 2 2.5
u(t)-
in.
t- s
Displacement-time variation
uo
-25
-20
-15
-10
-5
0
5
10
15
20
25
30
0 0.5 1 1.5 2 2.5 3
f
s
-
k
t- s
fs-t variation
fso
Peak dynamic displacement & Corresponding
Equivalent static force
24.8 k
47
Decay of Response Due To Damping
The decay observed in the response of a structure to some
initial disturbance can be used to obtain a measure of the
amount of viscous damping ,c, present in the structure.
Consider two successive positive peaks ui and ui+1 during
viscously damped free vibration response (shown in the figure)
occurring at time ti and ti+1, respectively.
ui ui+1
ti
ti+1
48
Decay of Response Due To Damping









 D
n
ω
2π
1
i
i
e
u
u

It can be derived that:
Taking the natural logarithm of both sides, we get the so-called logarithmic
decrement of damping, δ, defined by the following equation.
ω
2π
u
u
ln
δ
D
n
1
i
i 











2
n
D -
1
ω
ω
Since 
 and;
-
1
ω
2π
δ
2
n
n




2
-
1
2π
δ




For Civil engineering systems,ζ is usually less than 0.1 and
49
Decay of response after specific no of j cycles can be determined
by considering peak displacements over a range of j+1 peaks.
Decay of Response after j no. of cycles
u
u
ln
jδ
1
j
1










u1
uj+1
j cycles
u
u
ln
2π
1
j
1
j
1
2














2
1
j
1
-
1
2π
u
u
ln
j
1
δ













Decay in 1 cycle, δ
Decay in j cycles =
50
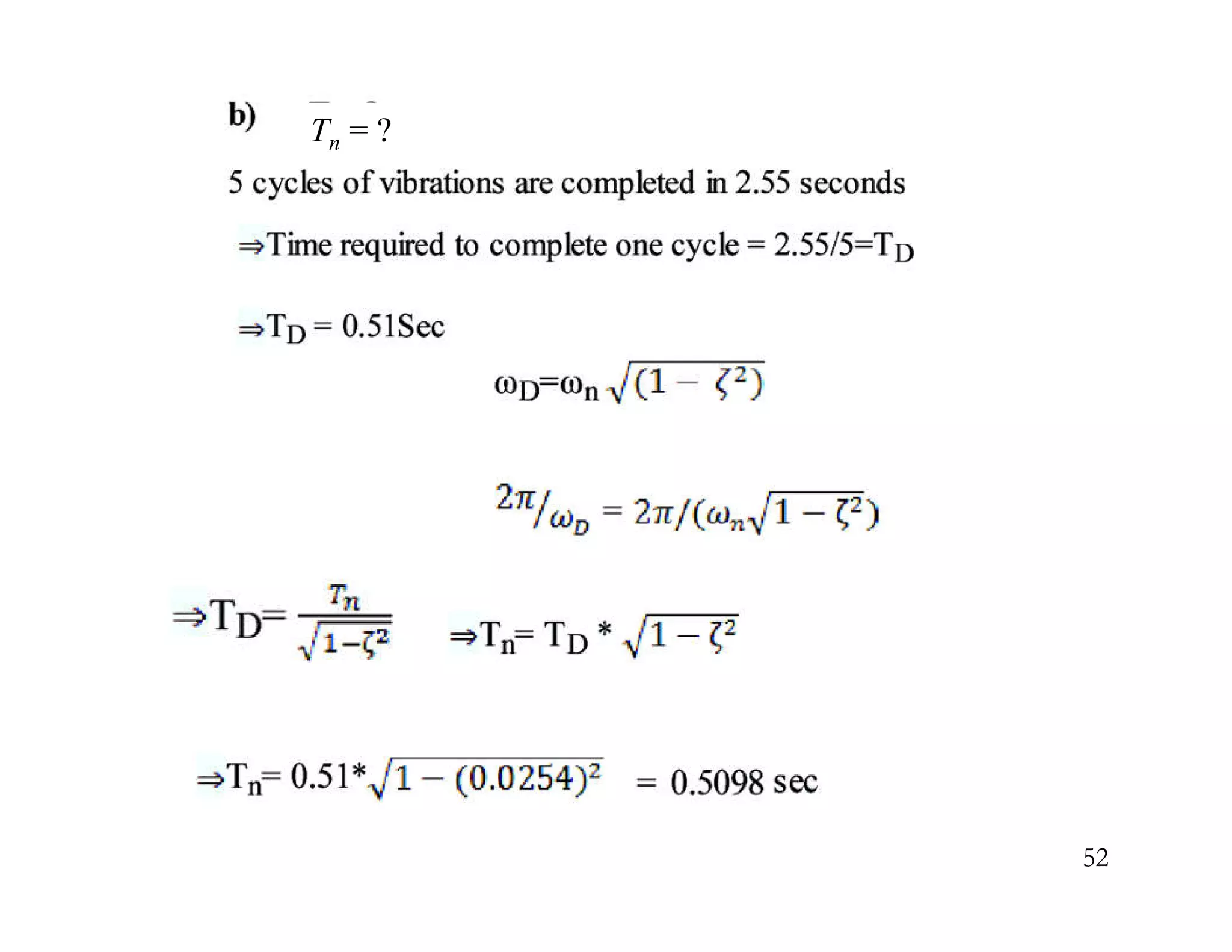
Problem M4.4 :A free vibration test was conducted on an
empty water tank shown in figure. A force of 60 kips, applied
through a cable attached to the tank, displace the tank by 2 " in
Horizontal direction.
The cable is suddenly cut and the resulting vibration is recorded.
At the end of 5 cycles, which complete in 2.55 sec., the amplitude of
displacement is 0.9 ".
Ignore the vertical vibration of tank and
compute the following:
a) Damping ratio
b) Natural period of undamped vibration
c) Stiffness of structure
d) Weight of tank
e) Damping coefficient
f) Number of cycles to reduce the
displacement amplitude to 0.5 ″
60 k
2 "
60o
51
Solution (M4.4)
52
Tn = ?
53
c) k = ?
d) Weight of the empty tank, W = ?
54
e) c = ?
1. Consider the slender tower shown in Figure, which vibrates
in the transverse direction shown in the figure. It is made from
reinforced concrete. An estimate for the first natural frequency
of this system is 0.15 Hz. The logarithmic decrement values
measured for the tower with uncracked reinforced concrete
material and cracked reinforced concrete material are 0.04 and
0.10, respectively. If a wind gust induces an initial
displacement of 0.5 m and an initial velocity of 0.2 m/s,
determine the peak displacement amplitudes in the cases with
uncracked concrete material and cracked concrete material
Ans: For uncracked concrete , uo=0.5429 m and;
For cracked concrete uo= 0.5426 m;
therefore, the maximum displacement remains virtually
unchanged.
Exercise 4.2
56
2. A body of mass 1.25 kg is suspended from a spring with stiffness of
2kN/m. A dashpot attached to the spring-mass system require a force of 0.5
N to move with a velocity of 50 mm/s. Determine :
(a) Time required by the spring-mass system to complete one cycle during
free vibration.
(b) Amplitude of displacement of the body after 5 cycles when the body
was released after an initial displacement of 20 mm. and
(c) Displacement after 0.5 s from the start of free vibration.
Ans: TD = 0.159 s. uo ater 5 cycles= 0.84 mm, u0.5s = 1.37 mm
Exercise 4.2
3. A boy riding a bicycle can be modeled as a spring-mass-damper system
with an equivalent weight, stiffness, and damping constant of 800 N,
50,000 N/m, and 1,000 N-s/m, respectively. The differential setting of the
concrete blocks on the road caused the level surface to decrease suddenly,
as indicated in Figure. If the speed of the bicycle is 18 km/hr, Determine
peak displacement of the boy in the vertical direction and peak Equivalent
static force exerted on the bicycle.
Assume that the bicycle is free of vertical vibration before encountering the
step change in the vertical displacement
Ans: 51.6 mm and 2.58 kN
4. A MEMS (Micro Electro mechanical system) system consists of a
mass of 50μ g hanging from a silicon (E = 73 x 109 N/m2) cable with
a diameter 0.2 μ m and a length of 120 μ m. The cable is suspended
at the mid point of a simply supported, circular silicon beam with a
diameter of 1.6 μ m and a length of 50 μ m. The mass vibrates in a
silicone oil such that its damping coefficient is 1.2 x 10–6 N s/m. The
mass is given as an initial displacement of 2 μ m and released.
Determine Natural Frequency and Damping Ratio of the system.
Ans: 1.1x104 rad/s, 0.0011.
5. wooden rectangular prism of weight 20 lb, height 3 ft, and
cross section 1 ft x 2 ft floats and remains vertical in a tub of
oil. The frictional resistance of the oil can be assumed to be
equivalent to a viscous damping coefficient.
When the prism is depressed by a distance of 6 in. from its
equilibrium and released, it is found to reach a depth of 5.5 in.
at the end of its first cycle of oscillation.
Determine the Natural time period and damping coefficient of
the. Take γoil= 55 lb/ft3.
Hint: Develop EOM to determine Tn
Ans: Tn= 0.472 s , ζ = 1.38%
H. A # 2 : 20 points
Section B: Problem 4 (Exercise 4.1) + Problem 5 (Exercise 4.2)
Section D: Problem 3 (Exercise 4.1) + Problem 5 (Exercise 4.2

Module 4_spring 2020.pdf

  • 1.
    CE-412: Introduction toStructural Dynamics and Earthquake Engineering MODULE 4: RESPONSE OF S.D.O.F SYSTEMS subjected to FREE VIBRATION 1
  • 2.
    2 Undamped Free Vibration Wewill first consider the case where there is no load acting on the Structure i.e. p(t)=0. This case is known as free vibration. 0 ku u m     There are several ways of obtaining a solution to this second order differential equation. st Ge u(t)  The simplest is to assume that the solution of the equation is of following form
  • 3.
    3 Substituting this solutioninto the equation of motion (given on previous slide) result in: 0 ) (Ge k) m (s st 2   0 kGe ) Ge m(s st st 2   Undamped Free Vibration 0 k m s2   0 Gest  Since => n ω m k m k s i i        => The variable ωn is known as the natural circular frequency with radians/second as unit
  • 4.
    4 Undamped Free Vibration 0 k m s2   Insertingin and solving we get: n ω s i   t ω 2 t ω 1 n n e G e G u(t) -i i   t) BSin(ω t) ACos(ω u(t) n n   The above equation after further mathematical simplification results in: This is the solution to equation of motion for undamped free vibration in the form of Simple Harmonic Motion with an angular velocity, ωn
  • 5.
    5 Initial Conditions The constantsA and B in the solution can be determined by evaluating the solution at two different times or more commonly from the velocity and displacement at time t = 0 t) BSin(ω t) ACos(ω u(t) n n   BSin0 ACos0 u(0) u(t) 0, At     t u(0) A  
  • 6.
    6 Initial Conditions t) ω ( Sin ω (0) u t) u(0)Cos(ω u(t) n n n    Usingthe value of A & B in equation given on slide 4 results in: t) Cos(ω Bω t) Sin(ω Aω - (t) u Similarly, n n n n    Cos0 B ω Sin0 A ω - (0) u (t) u , 0 At n n       t n ω (0) u B   
  • 7.
    Peak displacement :Undamped free vibration u o (0) u  (0) u   2 n 2 o ω (0) u u(0) u          Amplitude (i.e. peak value) of displacement during undamped free vibration can be determined using: t) ω ( Sin ω (0) u t) u(0)Cos(ω u(t) n n n   
  • 8.
    Equivalent Static force Oneof the most appealing approach for analyzing a structural system subjected to dynamic loading is to use Equivalent Static force approach. According to this approach, at any instant of time, t , the equivalent static force, fs , is the external force that will produce the deformation u at the same t in the stiffness component of structure (i.e., the system without mass and damping). k.u(t) (t) fs  Where k is the stiffness of the structure in the direction of dynamic force.
  • 9.
    Displacement- time variationin an undamped system Variation of corresponding equivalent static forces, fs(t), with time, using: fs(t) = k.u(t) Equivalent Static force Element forces or stresses can be determined at each instant of time by the static analysis of the structure subjected to the force fs.
  • 10.
    Natural frequencies andPeriods of Free vibration The Natural Circular Frequency, ωn , is not a convenient measure for most engineers as it is difficult to visualize. However, in earthquake engineering the preferred measure of the dynamic characteristic of structures is the Natural Period of free vibration, Tn , measured in units of seconds. 2π ω f n n  n n n ω 2π f 1 T   Engineers prefer to use Natural Cyclic Frequency, fn , which is usually measured in cycles/second (cps) or Hertz
  • 11.
    11 Natural Period offree vibration Amplitude, uo a b c d e n n ω 2π T  (0) u  Time, t (sec.) t) ω ( Sin ω (0) u t) u(0)Cos(ω u(t) n n n    a b c d e
  • 12.
    12 Alcoa Building, SanFrancisco Steel structure, 26 stories. Periods of vibration: Transverse (east-west): 2.21 sec Longitudinal (north-south): 1.67 sec Torsional: 1.12 sec Natural period of free vibration Torsion
  • 13.
    13 Golden Gate Bridge,San Francisco Steel structure, center span of 4200 feet. Periods of vibration:  Transverse: 18.2 sec  Vertical : 10.9 sec  Longitudinal: 3.81 sec  Torsional: 4.43 sec Natural period of free vibration
  • 14.
    14 This applies primarilyto moment frame buildings. Natural Time Period (sec) ≈ Number of Stories / 10 e.g. a 15 story building has a fundamental period of approximately 1.5 seconds. This rule is not very accurate, specially when building height exceeds 12 story height, but is good for understanding the general ballpark. Natural period of free vibration: Rule of thumb
  • 15.
    15 Undamped Free Vibration ProblemM4.1 A beam shown in Figure is pulled for ¼ inch in the downward Direction and then suddenly released to vibrate freely. Determine Natural Time Period of the system. Also solve EOM and determine and Amplitude of Equivalent static force. Ignore the self weight of beam as well as damping effect. Take E = 29,000 ksi and I = 150 in4 . . 1000 lb ¼ " 10' Static Equilibrium position A’
  • 18.
  • 19.
    19 Undamped Free Vibration Variationof displacement with time (Problem M4.1) Ost= 0
  • 20.
    20 Peak value ofEquivalent Static force, fso= kuo fso= kuo = 90625 lb/ft * 1/48 ft = 1888 lb
  • 21.
    21 Undamped Free Vibration ProblemM4.2: Considering free vibration, solve the equation of motion developed for the frame given in Problem M3.3. I, 15ft I, 10ft p(t) 20 ft If displacement and velocity (which occur in the same direction) at the start of Free vibration are 0.003 ft and 0.2 ft/sec., respectively, Determine: Amplitude of dynamic displacement, uo, and; Corresponding equivalent static force, fso
  • 22.
  • 23.
  • 24.
  • 25.
    25 1. A spring-mass system has a natural frequency of 10 Hz. When the stiffness of spring is reduced by 800 N/m, the frequency is altered by 45%. Find the mass and stiffness of actual system. Ans: k = 1147 N/m m = 0.29 kg 2. A pressure-vessel head is supported by a set of steel cables of length 2 m as shown in Figure. The time period of axial vibration (in vertical direction) is found to vary from 5 s to 4.0825 s when an additional mass of 5,000 kg is added to the pressure-vessel head. Determine the equivalent cross-sectional area of the cables and the mass of the pressure- vessel head Ans: A = 1.53*10-7 m2. m = 10,000 kg Exercise 4.1
  • 26.
    3. A bungeejumper weighing 160 lb ties one end of an elastic rope of length 200 ft and stiffness 10 lb/in. to a bridge and the other end to himself and jumps from the bridge. Assuming the bridge to be rigid, determine the Peak dynamic displacement, uo, and corresponding equivalent static force Ans: uo=277.1 in , fso= 2771 lb Exercise 4.1
  • 27.
    4. An electromagnetweighing 3,000 lb is at rest while holding an automobile of weight 2,000 lb in a junkyard. The electric current is turned off, and the automobile is dropped. Assuming that the crane and the supporting cable have an equivalent spring constant of 10,000 lb/in.,find the following: (a) the natural Time period of vibration of the electromagnet, (b) the resulting motion of the electromagnet, and (c) the maximum tension developed in the cable during the motion Exercise 4.1 Ans: Tn= 0.175 s, u(t)=0.2 Cos (35.92t), Tmax= 5000 lb
  • 28.
    28 Response of ViscouslyDamped systems subjected to Free vibrations
  • 29.
    29 The equation offree vibration for damped free vibration has the form 0 ku u c u m       The solution to this equation will be taken in the same form as for the undamped form i.e st Ge u(t)  Viscously Damped Free Vibration Substituting this value in equation of motion result in: 0 kGe ) c(sGe ) Ge m(s st st st 2   
  • 30.
    30 By rearranging weget: 0 ) k)(Ge sc m (s st 2    Since 0 Ge st  0 k sc m s 2     2 2 2 2 m 4 km 4 m 4 c 2m c - 2m 4km c c - s or       Viscously Damped Free Vibration By rearranging: 2 n n n n 2m ω c - 1 ω ω 2m ω c s          Using the relation k = mωn 2 2 n 2 2 ω m 4 c 2m c - s   
  • 31.
    31 Viscously Damped FreeVibration cr n c 2mω  is known as Critical damping coefficient   n 2mω c where (Greek alphabet for Zeta) is known as 2 n n - 1 ω ω s      Where is known as Damped Natural Frequency and represented by ωD 2 n - 1 ω  D n ω ω s or     Damping ratio or fraction of critical damping, which when substituted in the equation mentioned on previous slide gives:
  • 32.
    32 n 2m ω c  mk m k m2 / 2 2m ω c n    Viscously Damped Free Vibration There are 3 forms of solutions available depending on the magnitude of the Damping Coefficient, c 1 2 3 n 2m ω c  Critically damped system Over damped system Under damped system
  • 33.
    33 n 2m ω c  FreeVibration : Critically damped systems There is no vibration in the response. The structure returns to its initial position without vibrating about the zero position but in the shortest time An example of critically damped system
  • 34.
    34 n 2m ω c  FreeVibration: Over damped systems Like critically damped systems, there is no vibration. However, the structure returns to its initial position slowly as compared to critically damped system. Critically damped and over damped systems are of no interest to the Civil Engineers. An automatic door close is an example of an over damped system
  • 35.
    35 n 2m ω c  FreeVibration : Underdamped system The structure again returns to its origin but now vibrates. This is the only case that is of interest to civil or structural engineers as in all our structures the level of damping is very small, usually less than 5% of critical damping.
  • 36.
    36 Free vibration ofunder damped, critically damped , and over damped systems
  • 37.
    37 Approximate Damping Ratios WorkingStress Level (1/2 yield point) ζ Welded steel, Prestressed concrete, Well reinforced concrete (slight cracking) 2-3% Reinforced concrete with considerable cracking 3-5% Bolted or riveted steel, Timber 5-7% At or just below yield point Welded steel, Prestressed concrete (without loss of prestress) 5-7% Reinforced concrete 7-10% Bolted or riveted steel, Bolted timber 10-15% Nailed timber 15-20%
  • 38.
    38 Response of Underdampedsystems to Free vibrations
  • 39.
    39 Displacement Response: Underdampedsystems The solution for the under-damped system have the form   t) ( Sin B. t) os( C A. e u(t) D D t - n      This is similar to the case for undamped free vibration except that the frequency is slightly smaller and there is a decay of the response with time. Again the constants A and B may be found from the solution at two different times or from the initial conditions at time t = 0 2 n D - 1 ω ω where            t) ( Sin ω u(0) (0) u t) ( Cos ) 0 ( u e u(t) D D n D t - n     
  • 40.
    Peak dynamic displacement:Underdamped systems Following equation is used to determine Amplitude of Dynamic Displacement in an under damped system
  • 41.
    Underdamped Free Vibration ProblemM4.3 For the frame given in Problem M 4.2, develop and solve the equation of motion for free vibrations in lateral direction. Also calculate Peak dynamic displacement and corresponding Equivalent static force. Take ζ = 5 %. Solution ωn= 34.79 rad/s ;
  • 42.
             t) ( Sin ω u(0) (0) u t) ( Cos ) 0 ( u e u(t)D D n D t - n      Solution to above EOM is u(0)= 0.2 ft/s EOM
  • 43.
    -0.006 -0.004 -0.002 0 0.002 0.004 0.006 0.008 0 0.5 11.5 2 2.5 u(t)- in. t- s Displacement-time variation uo
  • 44.
    -25 -20 -15 -10 -5 0 5 10 15 20 25 30 0 0.5 11.5 2 2.5 3 f s - k t- s fs-t variation fso
  • 45.
    Peak dynamic displacement& Corresponding Equivalent static force
  • 46.
  • 47.
    47 Decay of ResponseDue To Damping The decay observed in the response of a structure to some initial disturbance can be used to obtain a measure of the amount of viscous damping ,c, present in the structure. Consider two successive positive peaks ui and ui+1 during viscously damped free vibration response (shown in the figure) occurring at time ti and ti+1, respectively. ui ui+1 ti ti+1
  • 48.
    48 Decay of ResponseDue To Damping           D n ω 2π 1 i i e u u  It can be derived that: Taking the natural logarithm of both sides, we get the so-called logarithmic decrement of damping, δ, defined by the following equation. ω 2π u u ln δ D n 1 i i             2 n D - 1 ω ω Since   and; - 1 ω 2π δ 2 n n     2 - 1 2π δ     For Civil engineering systems,ζ is usually less than 0.1 and
  • 49.
    49 Decay of responseafter specific no of j cycles can be determined by considering peak displacements over a range of j+1 peaks. Decay of Response after j no. of cycles u u ln jδ 1 j 1           u1 uj+1 j cycles u u ln 2π 1 j 1 j 1 2               2 1 j 1 - 1 2π u u ln j 1 δ              Decay in 1 cycle, δ Decay in j cycles =
  • 50.
    50 Problem M4.4 :Afree vibration test was conducted on an empty water tank shown in figure. A force of 60 kips, applied through a cable attached to the tank, displace the tank by 2 " in Horizontal direction. The cable is suddenly cut and the resulting vibration is recorded. At the end of 5 cycles, which complete in 2.55 sec., the amplitude of displacement is 0.9 ". Ignore the vertical vibration of tank and compute the following: a) Damping ratio b) Natural period of undamped vibration c) Stiffness of structure d) Weight of tank e) Damping coefficient f) Number of cycles to reduce the displacement amplitude to 0.5 ″ 60 k 2 " 60o
  • 51.
  • 52.
  • 53.
    53 c) k =? d) Weight of the empty tank, W = ?
  • 54.
  • 55.
    1. Consider theslender tower shown in Figure, which vibrates in the transverse direction shown in the figure. It is made from reinforced concrete. An estimate for the first natural frequency of this system is 0.15 Hz. The logarithmic decrement values measured for the tower with uncracked reinforced concrete material and cracked reinforced concrete material are 0.04 and 0.10, respectively. If a wind gust induces an initial displacement of 0.5 m and an initial velocity of 0.2 m/s, determine the peak displacement amplitudes in the cases with uncracked concrete material and cracked concrete material Ans: For uncracked concrete , uo=0.5429 m and; For cracked concrete uo= 0.5426 m; therefore, the maximum displacement remains virtually unchanged. Exercise 4.2
  • 56.
    56 2. A bodyof mass 1.25 kg is suspended from a spring with stiffness of 2kN/m. A dashpot attached to the spring-mass system require a force of 0.5 N to move with a velocity of 50 mm/s. Determine : (a) Time required by the spring-mass system to complete one cycle during free vibration. (b) Amplitude of displacement of the body after 5 cycles when the body was released after an initial displacement of 20 mm. and (c) Displacement after 0.5 s from the start of free vibration. Ans: TD = 0.159 s. uo ater 5 cycles= 0.84 mm, u0.5s = 1.37 mm Exercise 4.2
  • 57.
    3. A boyriding a bicycle can be modeled as a spring-mass-damper system with an equivalent weight, stiffness, and damping constant of 800 N, 50,000 N/m, and 1,000 N-s/m, respectively. The differential setting of the concrete blocks on the road caused the level surface to decrease suddenly, as indicated in Figure. If the speed of the bicycle is 18 km/hr, Determine peak displacement of the boy in the vertical direction and peak Equivalent static force exerted on the bicycle. Assume that the bicycle is free of vertical vibration before encountering the step change in the vertical displacement Ans: 51.6 mm and 2.58 kN
  • 58.
    4. A MEMS(Micro Electro mechanical system) system consists of a mass of 50μ g hanging from a silicon (E = 73 x 109 N/m2) cable with a diameter 0.2 μ m and a length of 120 μ m. The cable is suspended at the mid point of a simply supported, circular silicon beam with a diameter of 1.6 μ m and a length of 50 μ m. The mass vibrates in a silicone oil such that its damping coefficient is 1.2 x 10–6 N s/m. The mass is given as an initial displacement of 2 μ m and released. Determine Natural Frequency and Damping Ratio of the system. Ans: 1.1x104 rad/s, 0.0011.
  • 59.
    5. wooden rectangularprism of weight 20 lb, height 3 ft, and cross section 1 ft x 2 ft floats and remains vertical in a tub of oil. The frictional resistance of the oil can be assumed to be equivalent to a viscous damping coefficient. When the prism is depressed by a distance of 6 in. from its equilibrium and released, it is found to reach a depth of 5.5 in. at the end of its first cycle of oscillation. Determine the Natural time period and damping coefficient of the. Take γoil= 55 lb/ft3. Hint: Develop EOM to determine Tn Ans: Tn= 0.472 s , ζ = 1.38% H. A # 2 : 20 points Section B: Problem 4 (Exercise 4.1) + Problem 5 (Exercise 4.2) Section D: Problem 3 (Exercise 4.1) + Problem 5 (Exercise 4.2