Synthesis, reactivity, aromatic
character and importance of Pyridine
N



1
2
3
4
5
6'
'
Prepared by
Dr. Krishna swamy
Faculty
DOS & R in Organic Chemistry
Tumkur University
Pyridine is the simplest heterocycle of the azine type.
It is derived from benzene by replacement of a CH group by a N-atom.
From heat of combustion measurements, the aromatic stabilization energy of pyridine
is 21 kcal/mole.
N



1
2
3
4
5
6'
'
Nomenclature of heterocyclic rings will be done by three ways
(1) Common names
Pyridine
(2) Replacemnet nomenclature
N
Benzene Azabenzene
Replace CH by N
N
(3) Hantzsch-Wideman nomenclature
Prefix + Ring + Suffix
Type of heteroatom
Size of the ring
Degree of unsaturation of ring
Nitrogen 6-membered Aromatic
Aza in e Azine
N
Electron donating substituents will increase the basicity of a pyridine, and that
substituents on the 2 and 4-positions will influence this basicity more than an
equivalent 3-substituent.
N
2
4
6
EDG
EDGEDG N
35 EDG EDG
N
Pyridine and its derivatives are weak bases (pKa=5.2), reflecting the
sp2 hybridization of the nitrogen. Pyridine is aromatic with unshared electron pair is
not part of the aromatic sextet.
Synthesis
Hantzsch pyridine synthesis
Condensation approaches
From other heterocyclic ring systems
Hantzsch pyridine synthesis
It is a four component reaction between 2 equivalents of keto esters, 1 equivalent of
aldehyde and ammonia results in reduced pyridines which upon oxidation (or)
dehydrogenation gives the corresponding pyridines.
R H
O
O
EtO2C
O
CO2Et
NH3
pH - 8.5 N
H
R
EtO2C CO2Et
Oxidation
(or)
dehydrogenation
N
R
EtO2C CO2Et
Dihydropyridine
(Reduced pyridine) Pyridine
Hantzsch pyridine synthesis involves the following mechanisms
Aldol condensation of aldehyde with β-keto ester
R
O
H
O
CO2Et CO2Et
O
R
O
H
CO2Et
O
R
OH
H
CO2Et
OR
H
Michael addition of β-keto ester with enone
O
CO2Et
EtO2C
R
H
O
EtO2C
R
CO2Et
O O
EtO2C
R
CO2Et
O O
Addition of ammonia to form imine or enamine followed by cyclization
EtO2C
R
CO2Et
O O
NH3
EtO2C
R
CO2Et
O HN
EtO2C
R
CO2E
t
O H2N
EtO2C
R
CO2Et
H
N
-H2O
-H2O
EtO2C
R
CO2Et
H
N
H
O
O
CN
CN
Cl
Cl
EtO2C
R
CO2Et
H
N
EtO2C
R
CO2Et
N
-H
DDQ
Dehydrogenation of dihydropyridine gives the corresponding pyridines
Dihydropyridine intermediates prepared from aromatic aldehydes are calcium blocking
agents and therefore valuables drugs for heart disease.
H
O
O
EtO2C
O
CO2Et
NH3
pH - 8.5 N
H
EtO2C CO2Et
Dihydropyridine
(Reduced pyridine)
R
R
Condensation approaches to prepare pyridines
O O
NH3
N
H
air / HNO3 /
CAN / MnO2
N
Condensation of 1,5 diones followed by oxidation
Condensation of 1,5 diones with hydroxylamine instead ammonia avoids oxidation step
O O
NH2OH
N N
-H2O
OH
H H
HCl
Synthesis from 1,3 dicarbonyls and 3-aminoenones
N
O
O
O
H2N
O
From other heterocyclic ring systems
Ciamician-Dennstedt Rearrangement
N
X
N
H
CHX3
Strong base
Reactions of pyridines
Pyridine undergoes reaction at Nitrogen as well as at Carbon
Reaction at C is usually difficult and slow than at N
N
Reaction at Nitrogen
N
Reaction at Carbon
Reactions at Nitrogen
Electrophilic addition at Nitrogen
Lone pair of electrons on the ring nitrogen undergoes electrophilic addition reaction
with electrophiles such as protonation, nitration, alkylation and acylation.
N NE
E
Pyridine reacts as a base or a nucleophile and forms a pyridinium cation in which the
aromatic sextet is retained and the nitrogen acquires a formal positive charge.
BOTH ARE AROMATIC
Protonation at Nitrogen
Pyridine nitrogen form salt with most protic acids.
N N
H
H
Acid chlorides react rapidly with pyridines generating 1-acyl-pyridinium salts in
solution.
Acylation at Nitrogen
N N
PhCOCl
Ph O
Cl
Alkyl halides react readily with pyridines giving quaternary pyridinium salts.
Alkylation at Nitrogen
N N
R
RX
X
Reaction of pyridines with nitronium salts such as nitronium tetrafluoroborate leads
to nitration at nitrogen. Protic nitrating agents such as HNO3 leads to N-protonation.
Nitration at Nitrogen
N N
NO2
NO2BF4
BF4
Electrophilic substitution of pyridines at a carbon is very difficult. Two factors seem
to be responsible for this unreactivity:
Pyridine ring is less nucleophilic than the benzene ring because nitrogen atom is
more electronegative than carbon atoms and therefore it pulls electrons away from
the carbon atoms inductively leaving a partial positive charge on the carbon atoms.
When pyridine compound is exposed to an acidic medium, it forms pyridinium salt.
This increases resistance to electrophilic attack since the reaction will lead to doubly
positive charged species.
Hence pyridine is bad at electrophilic aromatic substitution but under drastic
condition pyridine ring reacts with electrophile only at 3rd position.
Reactions at Carbon
The positive charge residing
on an electronegative
element with sextet
configuration is unfavoured.
The positive charge residing
on an electronegative
element with sextet
configuration is unfavoured.
In pyridine, β
substitution is favoured
but the reaction is
slower than that of
benzene
Electrophilic aromatic substitution at carbon
Nitration of Pyridine
Sulfonation of Pyridine
Electrophilic aromatic substitution at carbon
Nucleophilic substitution is easy with pyridines
Nitrogen atom makes pyridines more reactive towards nucleophilic substitution,
particularly at the 2- and 4-positions.
Nitrogen acts as electron sink hence favoured
Nitrogen acts as electron sink hence favoured
Nucleophilic substituents favoured by electron-withdrawing substituents that are
also good leaving groups.
The position of the leaving group influences reaction rate i.e.
 >  >> 
Nucleophilic aromatic substitution
Nucleophilic substitution also occurs through Pyridyne intermediate similar to
benzyne and are very reactive not isolable.
Pyridyne
Pyridyne formation
Halogenopyridines can undergo metal-halogen exchange when treated with
butyllithium.
Metal-halogen exchange
The lithium derivatives then behave in a similar manner to arylithiums and Grignard
reagents and react with electrophiles such as aldehydes, ketones and nitriles.
Lithium derivative of pyridine reaction with ketones
Lithium derivative of pyridine reaction with nitriles
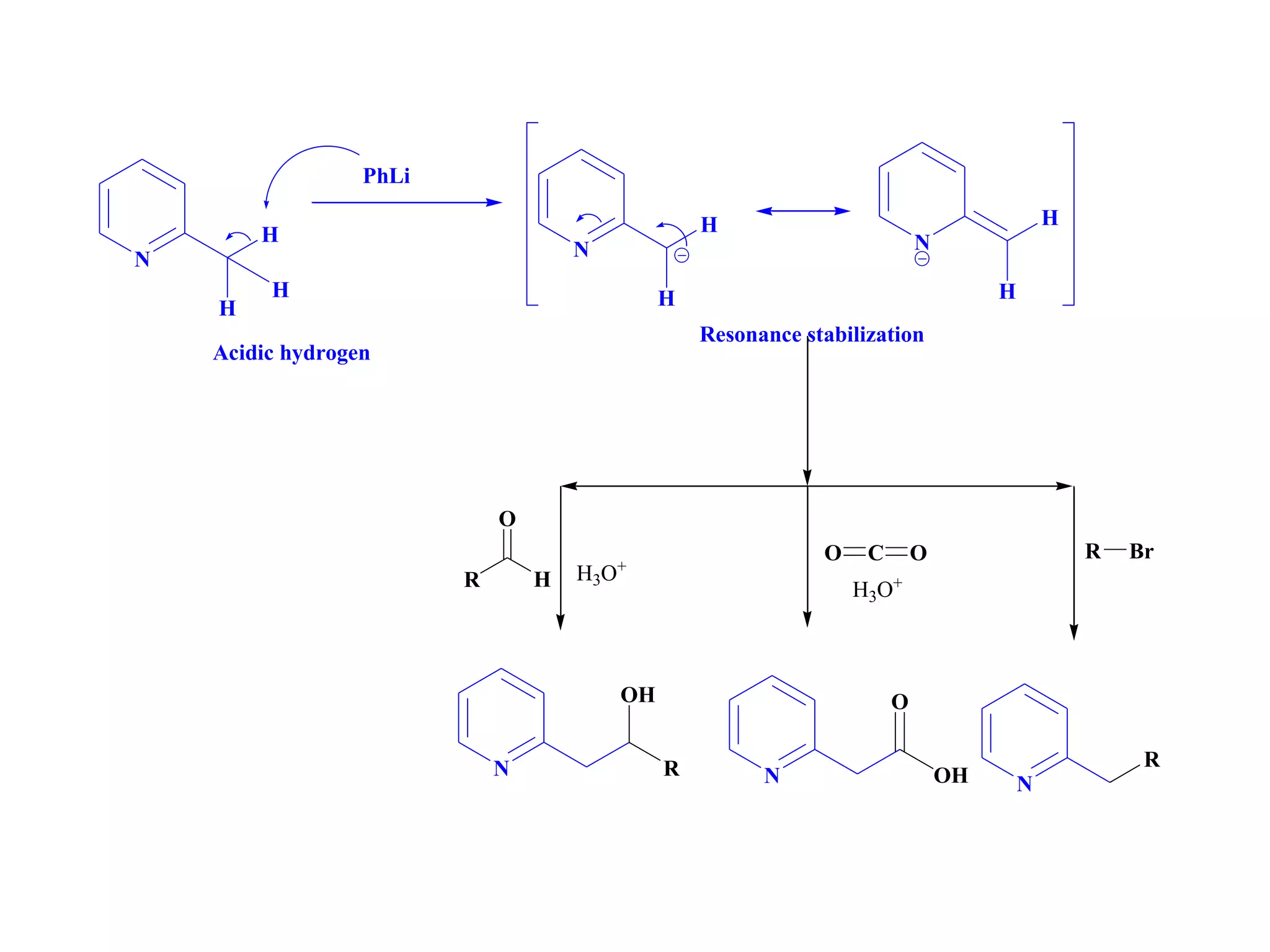
Deprotonation of alkyl pyridines
Deprotonation of alkyl pyridines occurs in presence of strong base and
deprotonation occurs only with alkyl groups at α and γ position not with β
position.
N
H
H
H
Acidic hydrogen
PhLi
N
H
H
N
H
H
Resonance stabilization
N
HH
H
N
HH
N
HH
PhLi
N
H
H
H
Acidic hydrogen
PhLi
N
H
H
N
H
H
R
O
H
OCO R Br
N
OH
R N
O
OH N
R
H3O+
H3O+
Resonance stabilization
If the pyridine ring attached to alkene then conjugate addition occurs.
Pyridine undergoes nucleophilic reaction with hydrides and the reaction with
Li/NaNH2 is referred to as the Chichibabin reaction.
N
LiNH2
N H
NH2
Li
N NH2
NH3
NH2H
-H2
Chichibabin reaction
Nicotine is pharmacologically
active constituent of tobacco –
toxic and addictive
Isoniazide has been an important
agent to treat tuberculosis
Bioactive Pyridines
Synthesis, reactivity, aromatic character and importance of Pyridine

Synthesis, reactivity, aromatic character and importance of Pyridine

  • 1.
    Synthesis, reactivity, aromatic characterand importance of Pyridine N    1 2 3 4 5 6' ' Prepared by Dr. Krishna swamy Faculty DOS & R in Organic Chemistry Tumkur University
  • 2.
    Pyridine is thesimplest heterocycle of the azine type. It is derived from benzene by replacement of a CH group by a N-atom. From heat of combustion measurements, the aromatic stabilization energy of pyridine is 21 kcal/mole. N    1 2 3 4 5 6' '
  • 3.
    Nomenclature of heterocyclicrings will be done by three ways (1) Common names Pyridine (2) Replacemnet nomenclature N Benzene Azabenzene Replace CH by N N
  • 4.
    (3) Hantzsch-Wideman nomenclature Prefix+ Ring + Suffix Type of heteroatom Size of the ring Degree of unsaturation of ring Nitrogen 6-membered Aromatic Aza in e Azine N
  • 5.
    Electron donating substituentswill increase the basicity of a pyridine, and that substituents on the 2 and 4-positions will influence this basicity more than an equivalent 3-substituent. N 2 4 6 EDG EDGEDG N 35 EDG EDG N Pyridine and its derivatives are weak bases (pKa=5.2), reflecting the sp2 hybridization of the nitrogen. Pyridine is aromatic with unshared electron pair is not part of the aromatic sextet.
  • 6.
    Synthesis Hantzsch pyridine synthesis Condensationapproaches From other heterocyclic ring systems
  • 7.
    Hantzsch pyridine synthesis Itis a four component reaction between 2 equivalents of keto esters, 1 equivalent of aldehyde and ammonia results in reduced pyridines which upon oxidation (or) dehydrogenation gives the corresponding pyridines. R H O O EtO2C O CO2Et NH3 pH - 8.5 N H R EtO2C CO2Et Oxidation (or) dehydrogenation N R EtO2C CO2Et Dihydropyridine (Reduced pyridine) Pyridine
  • 8.
    Hantzsch pyridine synthesisinvolves the following mechanisms Aldol condensation of aldehyde with β-keto ester R O H O CO2Et CO2Et O R O H CO2Et O R OH H CO2Et OR H
  • 9.
    Michael addition ofβ-keto ester with enone O CO2Et EtO2C R H O EtO2C R CO2Et O O EtO2C R CO2Et O O Addition of ammonia to form imine or enamine followed by cyclization EtO2C R CO2Et O O NH3 EtO2C R CO2Et O HN EtO2C R CO2E t O H2N EtO2C R CO2Et H N -H2O -H2O
  • 10.
  • 11.
    Dihydropyridine intermediates preparedfrom aromatic aldehydes are calcium blocking agents and therefore valuables drugs for heart disease. H O O EtO2C O CO2Et NH3 pH - 8.5 N H EtO2C CO2Et Dihydropyridine (Reduced pyridine) R R
  • 12.
    Condensation approaches toprepare pyridines O O NH3 N H air / HNO3 / CAN / MnO2 N Condensation of 1,5 diones followed by oxidation Condensation of 1,5 diones with hydroxylamine instead ammonia avoids oxidation step O O NH2OH N N -H2O OH H H HCl
  • 13.
    Synthesis from 1,3dicarbonyls and 3-aminoenones N O O O H2N O From other heterocyclic ring systems Ciamician-Dennstedt Rearrangement N X N H CHX3 Strong base
  • 14.
    Reactions of pyridines Pyridineundergoes reaction at Nitrogen as well as at Carbon Reaction at C is usually difficult and slow than at N N Reaction at Nitrogen N Reaction at Carbon
  • 15.
    Reactions at Nitrogen Electrophilicaddition at Nitrogen Lone pair of electrons on the ring nitrogen undergoes electrophilic addition reaction with electrophiles such as protonation, nitration, alkylation and acylation. N NE E Pyridine reacts as a base or a nucleophile and forms a pyridinium cation in which the aromatic sextet is retained and the nitrogen acquires a formal positive charge. BOTH ARE AROMATIC
  • 16.
    Protonation at Nitrogen Pyridinenitrogen form salt with most protic acids. N N H H Acid chlorides react rapidly with pyridines generating 1-acyl-pyridinium salts in solution. Acylation at Nitrogen N N PhCOCl Ph O Cl
  • 17.
    Alkyl halides reactreadily with pyridines giving quaternary pyridinium salts. Alkylation at Nitrogen N N R RX X Reaction of pyridines with nitronium salts such as nitronium tetrafluoroborate leads to nitration at nitrogen. Protic nitrating agents such as HNO3 leads to N-protonation. Nitration at Nitrogen N N NO2 NO2BF4 BF4
  • 18.
    Electrophilic substitution ofpyridines at a carbon is very difficult. Two factors seem to be responsible for this unreactivity: Pyridine ring is less nucleophilic than the benzene ring because nitrogen atom is more electronegative than carbon atoms and therefore it pulls electrons away from the carbon atoms inductively leaving a partial positive charge on the carbon atoms. When pyridine compound is exposed to an acidic medium, it forms pyridinium salt. This increases resistance to electrophilic attack since the reaction will lead to doubly positive charged species. Hence pyridine is bad at electrophilic aromatic substitution but under drastic condition pyridine ring reacts with electrophile only at 3rd position. Reactions at Carbon
  • 19.
    The positive chargeresiding on an electronegative element with sextet configuration is unfavoured. The positive charge residing on an electronegative element with sextet configuration is unfavoured. In pyridine, β substitution is favoured but the reaction is slower than that of benzene Electrophilic aromatic substitution at carbon
  • 20.
    Nitration of Pyridine Sulfonationof Pyridine Electrophilic aromatic substitution at carbon
  • 21.
    Nucleophilic substitution iseasy with pyridines Nitrogen atom makes pyridines more reactive towards nucleophilic substitution, particularly at the 2- and 4-positions. Nitrogen acts as electron sink hence favoured Nitrogen acts as electron sink hence favoured
  • 22.
    Nucleophilic substituents favouredby electron-withdrawing substituents that are also good leaving groups. The position of the leaving group influences reaction rate i.e.  >  >>  Nucleophilic aromatic substitution
  • 23.
    Nucleophilic substitution alsooccurs through Pyridyne intermediate similar to benzyne and are very reactive not isolable. Pyridyne Pyridyne formation
  • 24.
    Halogenopyridines can undergometal-halogen exchange when treated with butyllithium. Metal-halogen exchange The lithium derivatives then behave in a similar manner to arylithiums and Grignard reagents and react with electrophiles such as aldehydes, ketones and nitriles. Lithium derivative of pyridine reaction with ketones
  • 25.
    Lithium derivative ofpyridine reaction with nitriles
  • 26.
    Deprotonation of alkylpyridines Deprotonation of alkyl pyridines occurs in presence of strong base and deprotonation occurs only with alkyl groups at α and γ position not with β position. N H H H Acidic hydrogen PhLi N H H N H H Resonance stabilization N HH H N HH N HH PhLi
  • 27.
    N H H H Acidic hydrogen PhLi N H H N H H R O H OCO RBr N OH R N O OH N R H3O+ H3O+ Resonance stabilization
  • 28.
    If the pyridinering attached to alkene then conjugate addition occurs.
  • 29.
    Pyridine undergoes nucleophilicreaction with hydrides and the reaction with Li/NaNH2 is referred to as the Chichibabin reaction. N LiNH2 N H NH2 Li N NH2 NH3 NH2H -H2 Chichibabin reaction
  • 30.
    Nicotine is pharmacologically activeconstituent of tobacco – toxic and addictive Isoniazide has been an important agent to treat tuberculosis Bioactive Pyridines