1แบบฝึกเสริมทักษะแคลคูลัส
แบบฝึ กทักษะเรื่อง แคลคูลัสเบื้องต้น
รายวิชา ค 33201 คณิตศาสตร์เพิ่มเติม 5
ชั้นมัธยมศึกษาปี ที่ 6
ภาคเรียนที่ 1 ปี การศึกษา 2559
ผู้สอน
นางสาวชัชชญา กลั่นบุศย์
โรงเรียนเฉลิมพระเกียรติสมเด็จพระศรีนครินทร์
กาญจนบุรี
2แบบฝึกเสริมทักษะแคลคูลัส
ใบความรู้
เรื่อง ลิมิตและความต่อเนื่องของฟังก์ชัน
1. ลิมิตของฟังก์ชัน
หลักการ
ให้ f(x) เป็นฟังก์ชัน และ a เป็นจำนวนจริงใดๆ
1. lim ( ) lim ( ) 
 
 
x a x a
f x f x L แล้ว lim ( )


x a
f x L มีลิมิตที่ a
( ลิมิตเข้ำทำงซ้ำย เท่ำกับ ลิมิตเข้ำทำงขวำ)
2. lim ( ) lim ( ) 
 

x a x a
f x f x แสดงว่ำ f(x) ไม่มีลิมิตที่ a
ตัวอย่างที่ 1 ให้ f(x) = 4x – 3 จงหำ
2 2
lim ( ) , lim ( )
x x
f x f x 
 
วิธีทำ  2 2
lim ( ) lim 4 3 4(2) 3 8 3 5
x x
f x x 
 
      
 2 2
lim ( ) lim 4 3 4(2) 3 5
x x
f x x 
 
    
ตัวอย่างที่ 2 ให้ f(x) = | x-3 | จงหำ (1)
3 3
lim ( ) , lim ( )
x x
f x f x 
 
(2)
3 3
lim ( ) , lim ( )
x x
f x f x
 
   
วิธีทำ เนื่องจำก f(x) เป็นค่ำสัมบูรณ์ ค่ำ x ภำยในค่ำสัมบูรณ์มี 2 ค่ำ
, 0
| |
, 0
x x
x
x x

 
 
 
3 , 3 0 3
| 3|
( 3) , 3 0 3
x x x
x
x x x

    
  
     
(1)
3 3 3
lim ( ) lim | 3| lim ( 3) (3 3) 0
x x x
f x x x  
  
        
 3 3 3
lim ( ) lim | 3| lim 3 3 3 0
x x x
f x x x  
  
      
(2)
3 3 3
lim ( ) lim | 3| lim ( 3) ( 3 3) 6
x x x
f x x x
  
     
         
 
3 3 3
lim ( ) lim | 3| lim 3 3 3 6
x x x
f x x x
  
     
        
 เข้ำทำงขวำ , ทำงด้ำนบวก
 เข้ำทำงซ้ำย , ทำงด้ำนลบ
3แบบฝึกเสริมทักษะแคลคูลัส
ตัวอย่างที่ 3 ถ้ำ
2
, 1
( ) 1 ,0 1
0 , 0
x x
f x x x
x



   

 

จงหำค่ำของ
0 1 0
lim ( ) , lim ( ), lim ( )
x x x
f x f x f x  
  
วิธีทำ (1)
0
lim ( ) 0
x
f x


(2)
2 2
1 1
lim ( ) lim 1 1
x x
f x x 
 
  
(3)  0 0
lim ( ) lim 1 0 1 1
x x
f x x 
 
     
ตัวอย่างที่ 4 ถ้ำ 2
( ) 5 4f x x x   จงหำ 3
lim ( )
x
f x

วิธีทำ
2 2
3 3
lim ( ) lim( 5 4) 3 5(3) 4 20
x x
f x x x
 
      
ตัวอย่างที่ 5 ถ้ำ
2
( )f x
x
 จงหำ 4
lim ( )
x
f x

,
0
lim ( )
x
f x

วิธีทำ (1) 4 4
2 2 1
lim ( ) lim
4 2x x
f x
x 
  
(2) 0 0
2 2
lim ( ) lim
0x x
f x
x 
  หำค่ำไม่ได้
ตัวอย่างที่ 6 ถ้ำ
3
( )
5
x
f x
x



จงหำ 5
lim ( )
x
f x

,
3
lim ( )
x
f x

วิธีทำ (1) 5 5
3 3 5 2
lim ( ) lim
5 5 5 0x x
x
f x
x 
   
   
  
หำค่ำไม่ได้
(2) 3 3
3 3 3 0
lim ( ) lim 0
5 3 5 2x x
x
f x
x 
  
    
   
ตัวอย่างที่ 7 ถ้ำ
2
4
( )
2
x
f x
x



จงหำ 2
lim ( )
x
f x

วิธีทำ แทนค่ำ x = 2 ใน f(x) จะได้
2
2 4 4 4 0
(2)
2 2 2 2 0
f
 
  
 
ข้อสังเกต ::  เรำจะสนใจพิจำรณำลิมิตทำงซ้ำยหรือทำงขวำ เมื่อ ฟังก์ชัน เป็นแบบ ………………………….
 ถ้ำ เป็นฟังก์ชันปกติ เรำสำมำรถหำค่ำ lim ( ) ( )
x a
f x f a

 โดยกำรแทนค่ำได้เลย
4แบบฝึกเสริมทักษะแคลคูลัส
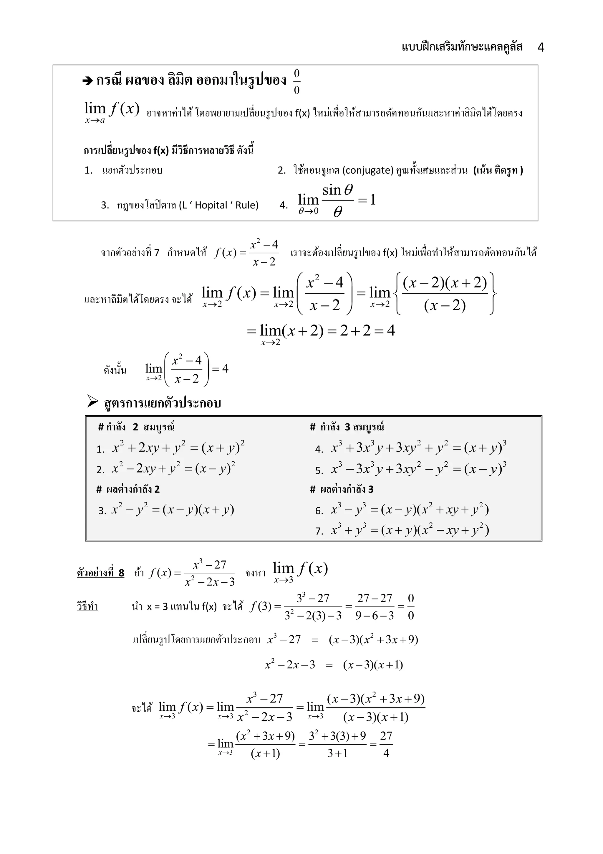
 กรณี ผลของ ลิมิต ออกมาในรูปของ 0
0
lim ( )
x a
f x

อำจหำค่ำได้โดยพยำยำมเปลี่ยนรูปของ f(x) ใหม่เพื่อให้สำมำรถตัดทอนกันและหำค่ำลิมิตได้โดยตรง
การเปลี่ยนรูปของ f(x) มีวิธีการหลายวิธี ดังนี้
1. แยกตัวประกอบ 2. ใช้คอนจูเกต (conjugate) คูณทั้งเศษและส่วน (เน้น ติดรูท )
3. กฎของโลปิตำล (L ‘ Hopital ‘ Rule) 4. 0
sin
lim 1




จำกตัวอย่ำงที่ 7 กำหนดให้
2
4
( )
2
x
f x
x



เรำจะต้องเปลี่ยนรูปของ f(x) ใหม่เพื่อทำให้สำมำรถตัดทอนกันได้
และหำลิมิตได้โดยตรง จะได้
2
2 2 2
4 ( 2)( 2)
lim ( ) lim lim
2 ( 2)x x x
x x x
f x
x x  
     
    
   
2
lim( 2) 2 2 4
x
x

    
ดังนั้น
2
2
4
lim 4
2x
x
x
 
 
 
 สูตรการแยกตัวประกอบ
# กาลัง 2 สมบูรณ์
1.
2 2 2
2 ( )x xy y x y   
2.
2 2 2
2 ( )x xy y x y   
# กาลัง 3 สมบูรณ์
4.
3 3 2 2 3
3 3 ( )x x y xy y x y    
5.
3 3 2 2 3
3 3 ( )x x y xy y x y    
# ผลต่างกาลัง 2
3.
2 2
( )( )x y x y x y   
# ผลต่างกาลัง 3
6.
3 3 2 2
( )( )x y x y x xy y    
7.
3 3 2 2
( )( )x y x y x xy y    
ตัวอย่างที่ 8 ถ้ำ
3
2
27
( )
2 3
x
f x
x x


 
จงหำ 3
lim ( )
x
f x

วิธีทำ นำ x = 3 แทนใน f(x) จะได้
3
2
3 27 27 27 0
(3)
3 2(3) 3 9 6 3 0
f
 
  
   
เปลี่ยนรูปโดยกำรแยกตัวประกอบ 3 2
27 ( 3)( 3 9)x x x x    
2
2 3 ( 3)( 1)x x x x    
จะได้
3 2
23 3 3
27 ( 3)( 3 9)
lim ( ) lim lim
2 3 ( 3)( 1)x x x
x x x x
f x
x x x x  
   
 
   
2 2
3
( 3 9) 3 3(3) 9 27
lim
( 1) 3 1 4x
x x
x
   
  
 
5แบบฝึกเสริมทักษะแคลคูลัส
ตัวอย่างที่ 9 ถ้ำ
2
2
1
( )
2 1
x
f x
x x


 
จงหำ 1
lim ( )
x
f x

วิธีทำ นำ x = 1 แทนใน f(x) จะได้
2
2
1 1 0
(1)
2(1 ) 1 1 0
f

 
 
เปลี่ยนรูปโดยกำรแยกตัวประกอบ 2
1 ( 1)( 1)x x x   
2
2 1 (2 1)( 1)x x x x    
จะได้
2
21 1 1
1 ( 1)( 1)
lim ( ) lim lim
2 1 ( 1)(2 1)x x x
x x x
f x
x x x x  
  
 
   
1
( 1) 1 1 2
lim
(2 1) 2(1) 1 3x
x
x
 
  
 
ดังนั้น
2
21
1 2
lim
2 1 3x
x
x x


 
ตัวอย่างที่ 10 ถ้ำ
4 2
( )
x
f x
x
 
 จงหำ 0
lim ( )
x
f x

วิธีทำ นำ x = 1 แทนใน f(x) จะได้
4 0 2 2 2 0
(0)
0 0 0
f
  
  
เปลี่ยนรูปโดย ใช้คอนจูเกต (conjugate) คูณทั้งเศษและส่วน  ติดรูท คอนจูเกต ทันที
จะได้
0 0 0
4 2 4 2 4 2
lim lim lim
4 2 ( 4 2)x x x
x x x x
x x x x x  
     
  
   
0
1 1 1 1
lim
2 2 44 2 4 0 2x x
   
   
ดังนั้น 0
4 2 1
lim
4x
x
x
 

2. ความต่อเนื่องของฟังก์ชัน
หลักการ
ให้ f(x) เป็นฟังก์ชัน และ a เป็นจำนวนจริงใดๆ ฟังก์ชัน f เป็นฟังก์ชันต่อเนื่องที่ x = a เมื่อเป็นจริง
ทั้ง 3 ข้อดังนี้
1. f(a) หำค่ำได้
2. lim ( )
x a
f x

หำค่ำได้ นั่นคือ lim ( ) lim ( )
x a x a
f x f x 
 
 และ
3. lim ( ) ( )
x a
f x f a


** ถ้ำเงื่อนไขข้อใด ข้อหนึ่งขำดไป แสดงว่ำ f ไม่ต่อเนื่อง x = a
6แบบฝึกเสริมทักษะแคลคูลัส
ตัวอย่างที่ 11 ถ้ำ
2
3 , 3
( ) 2 5 , 1 3
3 2 , 1
x x
f x x x
x x



    

   

ข้อใดต่อไปนี้ถูก
1. f ต่อเนื่องที่ x = – 1 แต่ไม่ต่อเนื่องที่ x =3
2. f ต่อเนื่องที่ x = – 1 และ x =3
3. f ไม่ต่อเนื่องที่ x = – 1 แต่ต่อเนื่องที่ x =3
4. f ไม่ต่อเนื่องที่ x = – 1 และ x =3
วิธีทำ
มี 2 จุดที่ต้องพิจำรณำคือ x = 1 และ x = 3
1. พิจำรณำควำมต่อเนื่องของ f ที่ x = – 1
 f(-1) = 2(-1) + 5 = 3

2 2
1 1
lim ( ) lim 3 3( 1) 3
x x
f x x 
 
   

1 1
lim ( ) lim(2 5) 2( 1) 5 3
x x
f x x 
 
     
แสดงว่ำ ฟังก์ชัน f เป็นฟังก์ชันต่อเนื่องที่ x = – 1
2. พิจำรณำควำมต่อเนื่องของ f ที่ x = 3
 f(3) = 3(3) - 2 = 9 – 2 = 7

3 3
lim ( ) lim(2 5) 2(3) 5 6 5 11
x x
f x x 
 
      

33
lim ( ) lim(3 2) 3(3) 2 9 2 7
xx
f x x  
      
แสดงว่ำ ฟังก์ชัน f เป็นฟังก์ชันไม่ต่อเนื่องที่ x = 3
ดังนั้น f ต่อเนื่องที่ x = – 1 แต่ไม่ต่อเนื่องที่ x = 3 ตอบ ตัวเลือก 1
7แบบฝึกเสริมทักษะแคลคูลัส
…เอกสารฝึกหัดที่ 1…
1. จงหำค่ำ
2
0
(1 ) 1
lim
x
x
x
 
[ 2 ]
2. จงหำค่ำ
3
0
1 (1 )
lim
x
x
x
 
[–3 ]
3. จงหำค่ำ 4
4 2
lim
4x
x
x x
   
   
   
[
1
2
 ]
4. จงหำค่ำ 22
10 2
lim 1
4x x x
   
    
   
[
5
4
]
5. จงหำค่ำ
2
22
4
lim
6x
x
x x

 
[
4
5
]
6. จงหำค่ำ 3
lim 3
x
x

 [ 6 ]
7. จงหำค่ำ 23
1 6
lim
3 9x x x
 
 
  
[
1
6
]
8แบบฝึกเสริมทักษะแคลคูลัส
…เอกสารฝึกหัดที่ 2…
1. กำหนด
3
( )
8
x
f x
mx

 

ถ้ำ f ต่อเนื่องที่ 2x   แล้ว m มีค่ำเท่ำกับเท่ำใด [ 8 ]
2. กำหนด
3 5
( )
3
x
f x
x

 

จงหำค่ำ
3
lim ( )
x
f x
 
[ 18 ]
3. กำหนด
3
2
3
4
( )
1
1
a
f x
x
x



 
 
 
ถ้ำ f ต่อเนื่องที่ 1x  แล้ว a มีค่ำเท่ำกับเท่ำใด [ 2 ]
, เมื่อ 2x  
, เมื่อ 2x  
, เมื่อ 3x 
, เมื่อ 3x  
, เมื่อ 1x 
, เมื่อ 1x 
9แบบฝึกเสริมทักษะแคลคูลัส
ใบความรู้ที่ 1
อัตราการเปลี่ยนแปลงเฉลี่ย
หลักการ
อัตรำกำรเปลี่ยนแปลงเฉลี่ยของ y เทียบกับ x ในช่วง x ถึง x + h คือ
( ) ( )f x h f x
h
 
ตัวอย่างที่ 1 กำหนดให้ 3
( )y f x x  แล้ว จงหำอัตรำกำรเปลี่ยนแปลงเฉลี่ยของ y เทียบกับ x ในช่วง
x = 2 ถึง x = 4
วิธีทา จำกโจทย์ 3
( )y f x x 
อัตรำกำรเปลี่ยนเฉลี่ยของ y เทียบกับ x ในช่วง x = 2 ถึง x = 4  h =4 – 2 = 2
เท่ำกับ
3 3
(4) (2) 4 2 64 8 56
28
2 2 2 2
f f  
   
ตัวอย่างที่ 2 กำหนดให้ ( ) 2 1f x x  แล้ว จงหำอัตรำกำรเปลี่ยนแปลงเฉลี่ย ในช่วง x ถึง x + h
วิธีทา จำกโจทย์ ( ) 2 1y f x x  
อัตรำกำรเปลี่ยนเฉลี่ย ในช่วง x ถึง x + h คือ
( ) ( )f x h f x
h
 
( ) 2( ) 1f x h x h    , ( ) 2 1f x x 
ดังนั้น
   2( ) 1 2 1( ) ( ) x h xf x h f x
h h
    

2( ) 1 2 1 2 2 1 2 1
2
2
x h x x h x
h h
h
h
       
 
 
10แบบฝึกเสริมทักษะแคลคูลัส
…ใบงานที่ 1…
1. จงหำอัตรำกำรเปลี่ยนแปลงเฉลี่ยของพื้นที่รูปสี่เหลี่ยมจัตุรัสเทียบกับควำมยำวของด้ำน เมื่อควำมยำวด้ำน
ของสี่เหลี่ยมจัตุรัสเปลี่ยนจำก x นิ้ว ไปเป็น hx  นิ้ว และจงหำอัตรำ กำรเปลี่ยนแปลงของรูปพื้นที่
สี่เหลี่ยมจัตุรัสเทียบกับควำมยำวด้ำน ขณะที่ด้ำนยำว x นิ้ว และ 4 นิ้ว
……………………………………………………………………………………………….
……………………………………………………………………………………………….
……………………………………………………………………………………………….
……………………………………………………………………………………………….
2. จงหำอัตรำกำรเปลี่ยนแปลงเฉลี่ยของพื้นที่ของวงกลมเทียบกับควำมยำวของรัศมีของวงกลม
เมื่อควำมยำวของรัศมีเปลี่ยนจำก x ฟุตไปเป็น hx  ฟุต และจงหำอัตรำกำรเปลี่ยนแปลงของ พื้นที่
วงกลมเทียบกับควำมยำวของรัศมีขณะที่รัศมียำว x ฟุต
วิธีทำ จำกสูตรพื้นที่วงกลม = ……………………………………………………………...
ให้ r แทนรัศมี และ f(r) แทนพื้นที่วงกลม
จะได้ f(r)  ……………………………………………………………………
อัตรำกำรเปลี่ยนแปลงเฉลี่ย  ...............................................................................
………………………………………………………………………………………...
อัตรำกำรเปลี่ยนแปลง = ..............................................................................................
3. จงหำอัตรำกำรเปลี่ยนแปลงเฉลี่ยของปริมำตรทรงกลมเทียบกับรัศมี เมื่อรัศมีเปลี่ยนจำก r ไปเป็น r+h และ
อัตรำกำรเปลี่ยนแปลงขณะรัศมียำว r เซนติเมตร
วิธีทำ จำกสูตรพื้นที่วงกลม 3
r
3
4

จะได้ f(r)  …………………………………………., f(r) แทนปริมำตรวงกลม
อัตรำกำรเปลี่ยนแปลงเฉลี่ย  ...........................................................................
 ...........................................................................
อัตรำกำรเปลี่ยนแปลง  ................................................................................
11แบบฝึกเสริมทักษะแคลคูลัส
ใบความรู้ที่ 2
อัตราการเปลี่ยนแปลง
อัตรำกำรเปลี่ยนแปลงของ y เทียบกับ x ขณะ x มีค่ำใด ๆ =
0
( ) ( )
lim
h
f x h f x
h
 
=
dy
dx
ตัวอย่างที่ 1 กำหนดให้
2
( )y f x x  แล้ว จงหำอัตรำกำรเปลี่ยนแปลงของ y เทียบกับ x ขณะ x
มีค่ำใด ๆ และ ที่ x = 3
วิธีทา จำกโจทย์
2
( )f x x
2 2 2
( ) ( ) 2f x h x h x xh h     
นั่นคือ
 2 2 2
0 0
2( ) ( )
lim lim
h h
x xh h xf x h f x
h h 
   

2 2 2
0
2
0
2
lim
2
lim
h
h
x xh h x
h
xh h
h


  



0
0
(2 )
lim
lim2
2
h
h
h x h
h
x h
x




 

และ อัตรำกำรเปลี่ยนแปลงของ y เทียบกับ x ที่ x = 3 เท่ำกับ 2(3) = 6
ตัวอย่างที่ 2 กำหนดให้
2
( )y f x x x   แล้ว จงหำอัตรำกำรเปลี่ยนแปลงของ y เทียบกับ x ขณะ x มีค่ำใด
ๆ และ ที่ x = – 2
วิธีทา จำกโจทย์
2
( )f x x x 
   2 2 2
( ) ( ) ( ) 2f x h x h x h x xh h x h         
2 2
2x xh h x h    
12แบบฝึกเสริมทักษะแคลคูลัส
นั่นคือ
   2 2 2
0 0
2( ) ( )
lim lim
h h
x xh h x h x xf x h f x
h h 
      

 
2 2 2
0
2
0
0
0
2
lim
2
lim
(2 1)
lim
lim 2 1
2 1
h
h
h
h
x xh h x h x x
h
xh h h
h
h x h
h
x h
x




     

 

 

  
 
และ อัตรำกำรเปลี่ยนแปลงของ y เทียบกับ x ที่ x = – 2 เท่ำกับ 2(-2) + 1 = – 2
13แบบฝึกเสริมทักษะแคลคูลัส
…ใบงานที่ 2…
1. จงหำอัตรำกำรเปลี่ยนแปลงของ พื้นที่วงกลมเทียบกับควำมยำวของรัศมีขณะที่รัศมียำว x ฟุตเมื่อ
ควำมยำวของรัศมีเปลี่ยนจำก x ฟุตไปเป็น hx  ฟุต
วิธีทำ จำกสูตรพื้นที่วงกลม = ……………………………………………………………...
ให้ r แทนรัศมี และ f(r) แทนพื้นที่วงกลม
จะได้ f(r)  ……………………………………………………………………
อัตรำกำรเปลี่ยนแปลง = ..............................................................................................
2. จงหำอัตรำกำรเปลี่ยนแปลงของปริมำตรทรงกลมเทียบกับรัศมี เมื่อรัศมีเปลี่ยนจำก r ไป เป็น r+h และ
วิธีทำ จำกสูตรพื้นที่วงกลม 3
r
3
4

จะได้ f(r)  …………………………………………., f(r) แทนปริมำตรวงกลม
อัตรำกำรเปลี่ยนแปลง  ................................................................................
3. จงหำอัตรำกำรเปลี่ยนแปลงของปริมำตรลูกบำศก์เทียบกับควำมยำวด้ำนขณะที่ด้ำนยำว 12 เซนติเมตร
วิธีทำ จำกสูตรปริมำตร  กว้ำง  ยำว  สูง ...................................................................
ให้ x แทนด้ำนของลูกบำศก์ , f(x) แทน ปริมำตรของลูกบำศก์ ………………………
จะได้ f(x)  ……………………………………………………………………..
อัตรำกำรเปลี่ยนแปลง  ....................................................................................
14แบบฝึกเสริมทักษะแคลคูลัส
ใบความรู้ที่ 3
อนุพันธ์ของฟังก์ชัน
บทนิยาม ถ้ำ y = f(x) เป็นฟังก์ชันที่มีโดเมนและเรจน์เป็นสับเซตของเซตจำนวนจริงและ
0
( ) ( )
lim
h
f x h f x
h
 
หำค่ำได้เรียกว่ำค่ำลิมิตที่ได้นี้ว่ำ “ อนุพันธ์ของฟังก์ชัน f
ที่ x ” เขียนแทนด้วย
dy
dx
หรือ y หรือ ( )f x หรือ
( )d f x
dx
0
( ) ( )
lim
h
f x h f x dy
y
h dx
 
 
Note : 1.
dy y
dx x
 2.
dy
dx
คืออัตรำกำรเปลี่ยนแปลงของ y เทียบกับ x ขณะ x มีค่ำใด ๆ
3. เมื่อ s แทนระยะทำงที่วัตถุเคลื่อนที่ได้ในเวลำ t หรือ s = f(t)
ถ้ำ v คือ ควำมเร็วขณะเวลำ t ใดๆ จะได้ v = 0
( ) ( )
lim
h
f t h f t
h
 
ds
s v
dt
  
กฎห้าขั้นสาหรับการหาค่าอนุพันธ์
วิธีกำรหำค่ำอนุพันธ์ของฟังก์ชันตำมบทนิยำม 1 สำมำรถทำตำมลำดับ 5 ขั้นตอน ซึ่งเรียกว่ำ กฎห้าขั้นของการ
หาค่าอนุพันธ์ มีขั้นตอนดังต่อไปนี้
ขั้นที่ 1. เขียน y = f(x) ตำมที่โจทย์กำหนดให้
ขั้นที่ 2. แทนค่ำ x ในฟังก์ชันด้วย x + x แล้วคำนวณหำค่ำใหม่ของฟังก์ชัน y +y
ขั้นที่ 3. เอำค่ำเดิมของฟังก์ชันไปลบออกจำกค่ำใหม่เพื่อหำ y
ขั้นที่ 4. หำรด้วย x ตลอด
ขั้นที่ 5. หำลิมิตของผลหำร เมื่อ x เข้ำสู่ 0 จะได้ค่ำอนุพันธ์ตำมต้องกำร
ตัวอย่างที่ 1 จงหำค่ำอนุพันธ์ของ f(x) = 3x2
+ 5
วิธีทา ขั้นที่ 1 ให้ y = f(x) = 3x2
+ 5 หรือ y = 3x2
+ 5
ขั้นที่ 2 y + y = 3(x + x)2
+ 5
= 3x2
+ 6x. x + 3(x)2
+ 5
Δx
Δy
15แบบฝึกเสริมทักษะแคลคูลัส
ขั้นที่ 3 y + y = 3x2
+ 6x. x + 3(x)2
+ 5
y = 3x2
+ 5
ลบกันได้ y = 6x. x + 3(x)2
ขั้นที่ 4 = 6x + 3x
ขั้นที่ 5 ให้ x 0 จะได้
f(x) = = = = 6x
นั่นคือ f(x) = y  = (3x2
+ 5) = 6x
ตัวอย่างที่ 2 กำหนดให้ f(x) = , x  0 จงหำ f(x)
วิธีทา
ขั้นที่ 1. ให้ y = , x  0
ขั้นที่ 2. y + y = , x  0
ขั้นที่ 3. y = f(x+ x) – f(x)
= –
= –
ขั้นที่ 4. = –
ขั้นที่ 5. ให้ x  0 จะได้
นั่นคือ
Δx
Δy
dx
dy
Δx
Δy
0Δx
lim

Δx)3x(6
0Δx
lim 

dx
d
x
1
x
1
xΔx
1

xΔx
1
 x
1
Δx)x(x
Δx

Δx
Δy
Δx)x(x
1

16แบบฝึกเสริมทักษะแคลคูลัส
…ใบงานที่ 3…
คาชี้แจง จงหำค่ำอนุพันธ์ของ f(x) เทียบกับ x
1. f(x) = 5
2. f(x) = 2x
3. f(x) = 5x + 5
4. f(x) = 5x2
+ 3x + 5
5. f(x) = 3 – 2x
6. f(x) =
7. f(x) =
8. f(x) = 2x3
+ 5x2
+ 2x +4
9. f(x) = 4 –
10. f(x) =
x
1
2x
2
x
3x
2

17แบบฝึกเสริมทักษะแคลคูลัส
ใบความรู้ที่ 4
ความชันของเส้นโค้ง
 สิ่งที่ควรรู้
ถ้ำ ( )y f x เป็นสมกำรของเส้นโค้ง
1. จะมีควำมชันของเส้นโค้ง ( m ) เท่ำกับ ( )
dy
f x
dx

2. เส้นสัมผัสเส้นโค้งผ่ำนจุด 0 0( , )x y ใด ๆ จะมีควำมชัน ( m ) คือ 0( )m f x
3. สมกำรเส้นตรง ที่ สัมผัสเส้นโค้ง ที่จุด 0 0( , )x y จะมีสมกำรเส้นตรงเป็น 0 0( )y y m x x  
4. สมกำรเส้นตรง มีควำมชัน เป็น 1m ตั้งฉากกับ เส้นสัมผัส ที่ 0 0( , )x y มีควำมชัน เป็น 2m จะได้ว่ำ
1 2 1m m  
5. สมกำรเส้นตรง มีควำมชัน เป็น 1m ขนานกับ เส้นสัมผัส ที่ 0 0( , )x y มีควำมชัน เป็น 2m จะได้ว่ำ
1 2m m
6. เส้นตรงที่ผ่ำนจุด 2 จุด คือ ( , )x y และ 0 0( , )x y จะได้ว่ำ ควำมชัน 0
0
y y
m
x x



ตัวอย่างที่ 1 จงหำจุดสัมผัส บนเส้นโค้ง 2
3 4y x x   ที่มีควำมชันของเส้นสัมผัสเท่ำกับ 1
วิธีทำ diff สมการเส้นโค้ง 2
3 4y x x  
 2
3 4 2 3 1
dy d
x x x
dx dx
     
จำก 2 3 1x  แก้สมกำรหำค่ำ x
2x 
นำ 2x  แทนในสมการเส้นโค้ง 2
3 4y x x   เพื่อหำค่ำ y
2
2 3(2) 4 4 6 4 6y        
ดังนั้น จุดสัมผัส คือ 0 0( , ) (2, 6)x y  
ตัวอย่างที่ 2 เส้นตรงเส้นหนึ่ง มีควำมชันเท่ำกับ 2 และสัมผัสเส้นโค้ง 2
2y x  จงหำสมกำรเส้นตรงนั้น
วิธีทำ diff สมการเส้นโค้ง 2
2y x 
 2
2 2 2
dy d
x x
dx dx
   
จำก 2 2x  แก้สมกำรหำค่ำ x
1x 
นำ 1x  แทนในสมการเส้นโค้ง 2
2y x  เพื่อหำค่ำ y
2
(1) 2 1 2 3y     
18แบบฝึกเสริมทักษะแคลคูลัส
นั่นคือ จุดสัมผัส คือ 0 0( , ) (1,3)x y 
สมกำรเส้นตรงเป็น 0 0( )y y m x x   แทนค่ำ 0 0( , ) (1,3)x y  และ 2m 
จะได้ สมกำรเส้นตรงเป็น 3 2( 1) 2 2y x x    
2 2 3 2 1y x x    
ดังนั้น สมกำรเส้นตรง คือ 2 1y x 
ตัวอย่างที่ 3 ให้ (a,b) เป็นจุดบนเส้นโค้ง 2
2 2 5y x x   ซึ่งเส้นสัมผัสโค้งที่จุด (a,b) นี้จะตั้งฉำกกับ
เส้นตรง 6 1 0x y   ดังนั้น a+b มีค่ำเท่ำใด
วิธีทำ จำก 2
2 2 5y x x   จะได้ 4 2y x  
(a,b) เป็นจุดบนเส้นโค้ง ควำมชันของเส้นโค้ง คือ 4 2m y a  
และ เส้นตรง 6 1 0x y   ตั้งฉำกเส้นสัมผัสโค้ง นั้นคือ ควำมชันคูณกันเท่ำกับ -1
จัดรูปของ 6 1 0x y   ให้อยู่รูปของ 0 0( )y y m x x  
จะได้
1 1
( 1)
6 6
x
y x
  
   ดังนั้น m =
1
6

เอำควำมชัน ของ เส้นสัมผัสโค้ง กับ เส้นตรงมีคูณกัน จะได้
 
1
4 2 1
6
a
 
    
 
4 2 6a 
4 4a 
4
1 1
4
a x   
แทน x=1 ในสมกำร 2
2 2 5y x x   จะได้
2
2(1) 2(1) 5 2 2 5 1 1y b          
ดังนั้น a + b = 1+( –1) = 0
19แบบฝึกเสริมทักษะแคลคูลัส
…ใบงานที่ 4…
คาชี้แจง ข้อ 1 – 5 จงหำควำมชันของเส้นโค้งจำกสมกำรที่กำหนดให้ ณ จุดที่กำหนดให้
1. y = x2
+ 4 ณ จุด ( – 2 , 8)
2. y = 2 – 3x2
ณ จุด (1, – 1)
3. y = 4x2
– 5 ณ จุด (0, – 5)
4. y = x2
– 6x ณ จุด (4, – 8)
5. y = ณ จุด (3, 1)
คาชี้แจง ข้อ 6 – 10 จงหำสมกำรของเส้นสัมผัสโค้งที่จุดกำหนดให้
6. f(x) = 3x2
+ 3x – 4 ณ จุด (–1, 4)
7. f(x) = ณ จุด (3, 1)
8. f(x) = x2
– 6x ณ จุด (4, – 8)
9. f(x) = 2x2
ณ จุด (1, 2)
10. f(x) = x3
– 3x2
+ 4 ณ จุด (0, 4)
x
3
x
3
20แบบฝึกเสริมทักษะแคลคูลัส
ใบความรู้ที่ 5
การหาอนุพันธ์ของฟังก์ชันโดยใช้สูตร
ถ้ำ c , n เป็นค่ำคงที่ใดๆ และ u = f(x) , v=g(x) , w=h(x) เป็นฟังก์ชัน
1. ( ) 0
d
c
dx

2. ( ) 1
d
x
dx

3. ( )
d d
cu c u
dx dx

4.
1n nd
x n x
dx

 
5. ( )
d d d d
u v w u v w
dx dx dx dx
    
6. ( )
d d d
u v v u u v
dx dx dx
  
ดิฟผลคูณ  หลัง ดิฟหน้ำ + หน้ำดิฟหลัง
7. 2
( )
d d
v u u v
d u dx dx
dx v v


ดิฟผลหำร  ล่ำงดิฟบน - บนดิฟล่ำง
ล่ำงยกกำลัง 2
8.
1
ln
d d
u u
dx u dx

9.
u ud d
e e u
dx dx

ตัวอย่าง จงหำค่ำของอนุพันธ์ของฟังก์ชันต่อไปนี้
1. y = 5 วิธีทำ 5 0
d
dx

2. y = x วิธีทำ 1
d
x
dx

3. y = 5x + 3 วิธีทำ  5 3 5 3 5 0 5
d d d
x x
dx dx dx
     
4. y =
4
2x วิธีทำ
4 4 1 3
2 4 2 8
d
x x x
dx

 
5. y =
2
x
วิธีทำ
2 2 1 3
( 2) 2
d
x x x
dx
   
   
6. y = 2
2 5 3x x  วิธีทำ  2 2
2 5 3 2 5 3 4 5
d d d d
x x x x x
dx dx dx dx
      
21แบบฝึกเสริมทักษะแคลคูลัส
7.   2
2y x x วิธีทำ   2 2 2
2 2 2
d d d
x x x x x x
dx dx dx
 
2
(2) 2 (2 )x x x 
2 2
2
2 4
6
x x
x
 

จำกข้อ 7 สำมำรถทำได้อีกแบบ คือ   2 3
2 2y x x x 
วิธีทำ
3 2 2
2 (2)(3) 6
d
x x x
dx
 
8.
2 1x
y
x

 วิธีทำ
   
2
2 1 2 1
2 1
( )
d d
x x x x
d x dx dx
dx x x
  


 
2
2
2
(2) 2 1
2 2 1
1
x x
x
x x
x
x
 

 



9. ln(2 1)y x  วิธีทำ
1
ln(2 1) (2 1)
(2 1)
d d
x x
dx x dx
  

1
(2)
(2 1)
2
(2 1)
x
x




10.
2x
y e วิธีทำ
2 2 2 2
2 (2) 2x x x xd d
e e x e e
dx dx
  
 กฏลูกโซ่
ถ้ำ ( )y f z และ ( )z g x
จะได้ ( )
dy dy dz
f x
dx dz dx
  
22แบบฝึกเสริมทักษะแคลคูลัส
ตัวอย่างที่ 1 ถ้ำ 9
( ) (2 1)f x y x   จงหำ
dy
dx
และ (0)f , (0)f 
วิธีทำ ให้ 2 1z x  จะได้
9
y z
จำกสูตร
dy dy dz
dx dz dx

   9
2 1
dy d d
z x
dx dz dx
 
8 8
9 (2) 18
dy
z z
dx
 
แทน 2 1z x  จะได้
8
18(2 1)
dy
x
dx
 
จำก 9
( ) (2 1)f x x  แล้ว  
9 9
(0) 2(0) 1 1 1f    
และ 8
( ) 18(2 1)f x x   แล้ว    
8 8
(0) 18 2(0) 1 18 1 18f     
ตัวอย่างที่ 2 ถ้ำ 2
( ) 1f x y x   จงหำ ( )f x และ (2)f 
วิธีทำ จำก  
1
2 2 21 1y x x   
ให้
2
1z x  จะได้
1
2
y z
จำกสูตร ( )
dy dy dz
f x
dx dz dx
  
 
1 1
1
22 2
1
1 (2 )
2
dy d d
z x x
dx dz dx
z
 
   
 
1
2
1
2
1
( ) ( )
x
z x x
z
z

  
แทน
2
1z x  จะได้ 2
( )
1
x
f x
x
 

จะได้ว่ำ 2
2 2 2 3 2 3
(2)
33 3 32 1
f      

23แบบฝึกเสริมทักษะแคลคูลัส
…ใบงานที่ 5…
จงหำค่ำ อนุพันธ์ของฟังก์ชัน
1. y = 2
2. 2
( ) 4f x x 
3.
3 2
2 3 1y x x x   
4. ( ) (3 1)(2 )f x x x  ที่ x = 1
5. ( ) ( 2)(5 1)f x x x   ที่ x = 0
6.
3
( )f x
x
 ที่ x = 1
7. 2
4
4
y
x


8.
2
2
3 1
x
y
x


9.  
4
2
( ) 2 2 5f x x x   ที่ x = 0
10.
2
y x x 
11.
1
( )f x
x
 ที่ x = 2
12.
1
3 3
( 2 1)y x x  
13.
1
2 2
(2 3 )y x x

 
24แบบฝึกเสริมทักษะแคลคูลัส
ใบความรู้ที่ 6
อนุพันธ์ของฟังก์ชันคอมโพสิต หรือฟังก์ชันประกอบ
ถ้ำ ( )( ) ( ( ))y g f x g f x  แล้ว  
( )
( ( ))
( )
dy d df x
g f x
dx df x dx

ให้ ( )u f x และ ( )y g u จะได้  ( )
dy d du dy du
g u
dx du dx du dx
 
ใช้เทคนิคของกฎลูกโซ่
ตัวอย่างที่ 1 ให้ ( )( )y g f x , 3
( ) 2g x x  และ 2
( ) 2 3 4f x x x   จงหำ
dy
dx
วิธีทำ จำก ( )( ) ( ( ))y g f x g f x 
 
2
3
2
(2 3 4)
2 3 4 2
g x x
x x
  
   
เทคนิค 1. ดิฟข้ำงนอก     
3 2
2 2
2 3 4 2 3 2 3 4
d
x x x x
dx
      
  
2. ดิฟข้ำงใน   2
2 3 4 4 3
d
x x x
dx
   
3. เอำผลดิฟมำคูณกัน     
2
2
3 2 3 4 4 3
dy
x x x
dx
   
หรืออีกวิธีหนึ่ง ให้
2
2 3 4u x x   จะได้ 3
1y u 
   3 2
1 2 3 4
dy dy du d d
u x x
dx du dx du dx
    
   2
3 4 3u x 
แทน
2
2 3 4u x x   จะได้
   
2
2
3 2 3 4 4 3
dy
x x x
dx
   
ตัวอย่างที่ 2 ให้ 3 2
( ) 2 1f x x x x    , ( ) ( )g x f x จงหำ ( )( )g f x และ ( )(1)g f
วิธีทำ จำก ( ) ( )g x f x จะได้
2
( ) 3 2 2
( ) 6 2
f x x x
f x x
   
  
นั่นคือ ( ) ( ) 6 2g x f x x  
25แบบฝึกเสริมทักษะแคลคูลัส
จำก
3 2
( )( ) ( ( )) ( 2 1)g f x g f x g x x x    
3 2
6( 2 1) 2x x x    
3 2
3 2
6 6 6 6 2
6 6 12 8
x x x
x x x
    
   
ดังนั้น 3 2
( )(1) 6(1) 6(1) 12(1) 8g f    
6 6 12 8
4
   

ตัวอย่างที่ 3 ให้ 8 6
( )f x x x  และ f  คือ อนุพันธ์ ของ f ถ้ำ  na เป็นลำดับซึ่งมี lim 1n
x
a


แล้ว   lim n
x
f f a

 เท่ำกับเท่ำใด
วิธีทำ 8 6
( )f x x x 
7 5
( ) 8 6f x x x  
นั้นคือ    ( ( ))f f x f f x 
   
8 6
8 67 5 7 5
( ) ( )
8 6 8 6
f x f x
x x x x
  
         
ดังนั้น   
8 67 5 7 5
8 6 8 6n n n n nf f a a a a a          
  
8 67 5 7 5
lim lim 8 6 lim 8 6n n n n n
x x x
f f a a a a a
  
          
8 6
7 5 7 5
8lim 6lim 8lim 6limn n n n
x x x x
a a a a
   
      
   
   
8 6
8 6
8 6 8 6
2 2
256 64
192
   
 
 

26แบบฝึกเสริมทักษะแคลคูลัส
…ใบงานที่ 6…
คาชี้แจง ข้อ 1 – 5 จงหำ
1. y = u2
+ 3u – 7 , u = 2x + 1
2. y = , u =
3. y = , z = x2
+ 1
4. y = w2
– w – 1
, w = 3x
5. y = 2v3
+ , v =
คาชี้แจง ข้อ 6 – 10 จงหำ
6. x = 3t + 1, y = t2
7. x = t2
, y = t3
8. x = , y = t2
9. x = , y =
10. x = , y = t2
dx
dy
12u
2u
 1x2 
3
2
z
3v
2
3
2
2)x(3 
dx
dy
t1
t

t1
t
 t1
2t

42t 
27แบบฝึกเสริมทักษะแคลคูลัส
ใบความรู้ที่ 7
อนุพันธ์อันดับสูง
ข้อกาหนด
ให้ ( )y f x เป็นฟังก์ชันที่สำมำรถหำอนุพันธ์ได้และ ( )f x เป็นอนุพันธ์ ของ ( )f x ซึ่งสำมำรถหำ
อนุพันธ์ได้
1. จะเรียกอนุพันธ์ ของ อนุพันธ์ ของ ( )f x หรือ อนุพันธ์ ของ ( )f x ( diff ซ้อน diff ) ว่ำ
อนุพันธ์อันดับที่ 2 ของ ( )f x
2. สำมำรถเขียนแทนด้วยสัญลักษณ์ เป็น ( )f x หรือ
2
2
d y
dx
 อนุพันธ์อันดับที่ 1 ( )
dy
f x
dx
 
 อนุพันธ์อันดับที่ 2
2
2
( )
d dy d y
f x
dx dx dx
    
 
 อนุพันธ์อันดับที่ 3
2 3
(3)
2 3
( ) ( )
d d y d y
f x f x
dx dx dx
 
    
 
 อนุพันธ์อันดับที่ 4
4
(4)
4
( )
d y
f x
dx

 ... …
 อนุพันธ์อันดับที่ n ( )
( )
n
n
n
d y
f x
dx

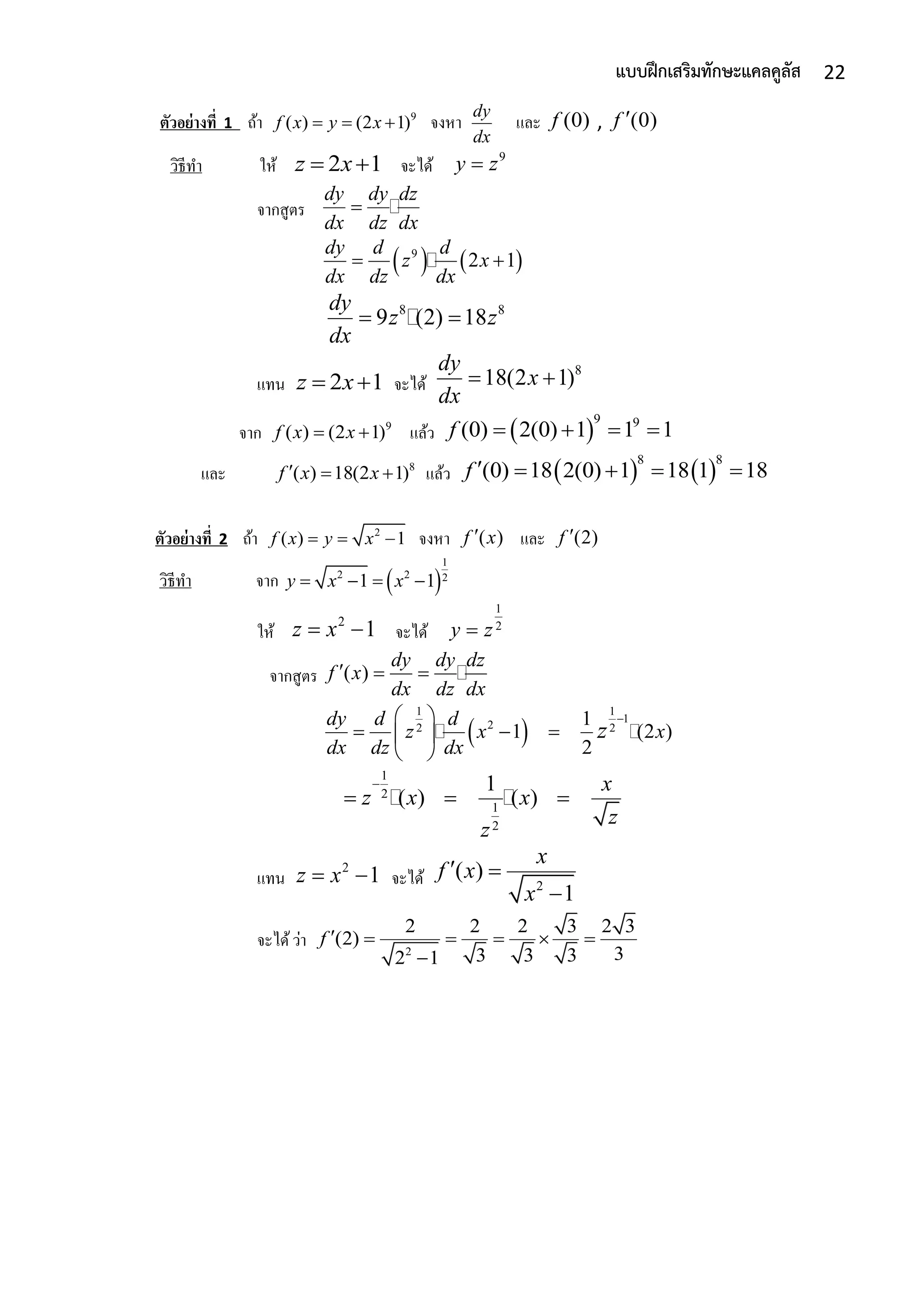
ตัวอย่างที่ 1 ถ้ำ
5
( )f x x จงหำ (4)
( )f x ที่ x = 2
วิธีทำ ให้ 5
( )f x x
5 4
( ) 5
d
f x x x
dx
  
5 4 3
( ) 5 20
d d d d
f x x x x
dx dx dx dx
         
   
(3) 2
( ) 60f x x
(4)
( ) 120f x x

(4)
( )f x ที่ x = 2 เท่ำกับ (4)
(2) 120(2) 240f  
28แบบฝึกเสริมทักษะแคลคูลัส
ตัวอย่างที่ 2 ถ้ำ
4 3
( ) 4 2 9f x x x x    จงหำ
5
5
d y
dx
วิธีทำ ให้ 4 3
( ) 4 2 9f x x x x   
3 2
4 12 2
dy
x x
dx
  
2
2
2
12 24
d y
x x
dx
 
3
3
24 24
d y
x
dx
 
4
4
5
5
24
0
d y
dx
d y
dx


ดังนั้น
5
5
0
d y
dx

29แบบฝึกเสริมทักษะแคลคูลัส
…ใบงานที่ 7…
คาชี้แจง ข้อ 1 – 5 จงหำ yและ y และข้อ 6 – 10 จงหำ y
1. y = x4
– 7x3
+ 2x2
+ 5
2. y = 5x3
– 3x5
3. y = 4x2
– 8x + 1
4. y =
5. y = 2x4
– 4x2
– 8
6. 12y = 6x4
– 18x2
– 12x
7. y = 3x7
– 7x3
+ 21x2
8. y = x2
(x3
– 1)
9. y = (x – 2)(x + 3)
10. y = (3x – 1)(2x + 5)
3x
2
x
3
x
4
x 234

30แบบฝึกเสริมทักษะแคลคูลัส
ใบความรู้ที่ 8
การประยุกต์อนุพันธ์
1.ฟังก์ชันเพิ่มและฟังก์ชันลด
หลักการ ให้ f เป็นฟังก์ชันที่มีอนุพันธ์บนช่วง ( , )a b และต่อเนื่องบน [ , ]a b แล้ว
1. ถ้ำ ( ) 0f x  สำหรับทุกค่ำ x แล้ว f(x) เป็นฟังก์ชัน เพิ่มบนช่วง (a,b)
2. ถ้ำ ( ) 0f x  สำหรับทุกค่ำ x แล้ว f(x) เป็นฟังก์ชัน ลดบนช่วง (a,b)
ตัวอย่างที่ 1 3 21
( ) 3 8
3
f x x x x   เป็นฟังก์ชันเพิ่มหรือฟังก์ชันลด ในช่วงใด
วิธีทำ หำอนุพันธ์ของ f(x)
3 2 21
( ) 3 8 6 8 ( 2)( 4)
3
d
f x x x x x x x x
dx
           
 
ดังนั้น f เป็นฟังก์ชันเพิ่ม เมื่อ ( 2)( 4) 0x x  
4x  หรือ 2x 
และ f เป็นฟังก์ชันลด เมื่อ ( 2)( 4) 0x x  
2 4x 
นั่นคือ f เป็นฟังก์ชันเพิ่มในช่วง ( ,2) (4, )  
และ f เป็นฟังก์ชันลดในช่วง (2,4)
ตัวอย่างที่ 2 2
( ) 2 8 5f x x x   เป็นฟังก์ชันเพิ่มหรือฟังก์ชันลด ในช่วงใด
วิธีทำ หำอนุพันธ์ของ f(x)
 2
( ) 2 8 5 4 8
d
f x x x x
dx
     
ดังนั้น f เป็นฟังก์ชันเพิ่ม เมื่อ 4 8 0x  2x 
และ f เป็นฟังก์ชันลด เมื่อ 4 8 0x  2x 
นั่นคือ f เป็นฟังก์ชันเพิ่มในช่วง (2, )
และ f เป็นฟังก์ชันลดในช่วง ( ,2)
31แบบฝึกเสริมทักษะแคลคูลัส
2.ค่ำสูงสุดและค่ำต่ำสุด
หลักการ ให้ ( )f x เป็นฟังก์ชัน ที่ต้องกำรหำค่ำสูงสุดและ ค่ำต่ำสุด
1. หำ ( )f x
2. จับ ( ) 0f x  แล้ว แก้สมกำรหำค่ำ x ค่ำ x ที่ได้เรียกว่ำ “ ค่าวิกฤต ”
สมมติว่ำได้ x c
3. หำ ( )f x
4. นำค่ำวิกฤติ x c แทนใน ( )f x แล้วทำกำรตรวจสอบ
4.1 ถ้ำ ( ) 0f c  แล้ว f ให้ค่ำ สูงสุดสัมพัทธ์ ที่ x c
4.2 ถ้ำ ( ) 0f c  แล้ว f ให้ค่ำ ต่าสุดสัมพัทธ์ ที่ x c
5. ถ้ำ นำค่ำ c ที่ทำให้เกิดค่ำสูงสุดสัมพัทธ์ แทนใน ( )f x จะได้ค่าสูงสุดสัมบูรณ์
ถ้ำ นำค่ำ c ที่ทำให้เกิดค่ำต่ำสุดสัมพัทธ์ แทนใน ( )f x จะได้ค่าต่าสุดสัมบูรณ์
** ค่ำสูงสุดสัมบูรณ์ และ ค่ำต่ำสุดสัมบูรณ์ คือ ค่ำสูงสุดและค่ำต่ำสุด จริงๆๆ
ตัวอย่างที่ 1 จงหำค่ำ x ที่ทำให้เกิดจุดสูงสุดสัมพัทธ์ และ จุดต่ำสุดสัมพัทธ์ ของ 3 2
( ) 3 9 4f x x x x   
และหำค่ำสูงสุดสัมบูรณ์ และ ค่ำต่ำสุดสัมบูรณ์ ด้วย
วิธีทำ 1.) หำอนุพันธ์ของ f(x) 2
( ) 3 6 9f x x x   
2.) ให้ ( ) 0f x  จะได้ 2
3 6 9 0x x  
2
2 3 0x x  
( 3)( 1) 0x x  
3 , 1x  
จุดวิกฤติ คือ 3 , 1x  
3.) ( )f x จะได้ ( ) 6 6f x x  
4.) แทนค่ำ 3x  ใน ( ) 6 6f x x  
(3)f  6(3) 6 18 6 12 0     
แสดงว่ำ 3x  ให้ค่ำต่ำสุดสัมพัทธ์
แทนค่ำ 1x   ใน ( ) 6 6f x x  
( 1)f   6( 1) 6 6 6 12 0        
แสดงว่ำ 1x   ให้ค่ำสูงสุดสัมพัทธ์
5.) หำค่ำสูงสุดสัมบูรณ์ 3 2
( 1) ( 1) 3( 1) 9( 1) 4f        
1 3 9 4
9
    

หำค่ำต่ำสุดสัมบูรณ์ 3 2
(3) (3) 3(3) 9(3) 4f    
27 27 27 4
23
   
 
32แบบฝึกเสริมทักษะแคลคูลัส
ตัวอย่างที่ 2 ในกำรประมำณกำรปลูกมันสำปะหลังพบว่ำ ถ้ำขุดมันสำปะหลัง 100 กิโลกรัม จะขำยได้กิโลกรัมละ
1.50 บำท ถ้ำยังไม่ขุดและรอต่อไป จะได้มันสำปะหลังเพิ่มขึ้นสัปดำห์ละ 10 กิโลกรัม แต่รำคำขำยจะลดลงไปสัปดำห์ละ
0.05 บำทต่อกิโลกรัม ดังนั้นควรขำยมันสำปะหลังเมื่อใด จึงจะมีรำยได้จำกกำรขำยมำกที่สุด
วิธีทำ ให้ x เป็นสัปดำห์ที่จะขำย
( )f x เป็นรำยได้ในกำรขำยเมื่อสัปดำห์ที่ x
ดังนั้น ( ) (100 10 )(1.5 0.05 )f x x x  
2
150 10 0.5x x  
( ) 10f x x  
ให้ ( ) 0f x  จะได้ 10 0x 
10x 
ตรวจสอบ ( )f x จะได้ ( ) 1 0f x    ให้ค่ำสูงสุดสัมพัทธ์
แสดงว่ำ ( )f x ให้ค่ำสูงสุดเมื่อ 10x 
ดังนั้น ควรขำยมันสำปะหลังเมื่อสิ้นสัปดำห์ที่ 10
3.ควำมเร็วและควำมเร่ง
หลักการ
ถ้ำ ( )s f t เป็นสมกำรกำรเคลื่อนที่
1. ควำมเร็วเฉลี่ยในช่วงเวลำ 1t ถึง 2t 2 1
2 1
( ) ( )f t f t
t t



2. ควำมเร็วขณะเวลำ t ( )
ds
v f t
st
 
3. ควำมเร่งขณะเวลำ t
2
2
( )
dv d s
a f t
st dt
  
ตัวอย่างที่ 1 วัตถุชนิดหนึ่งเคลื่อนที่ในแนวเส้นตรง มีสมกำรเป็น
3 2
6 9 4s t t t    โดยที่ s เป็น
ระยะทำงจำกจุดเริ่มต้นมีหน่วยเป็น เมตร เมื่อวัตถุเคลื่อนที่ไป t วินำที
1. จงหำว่ำวัตถุอยู่ห่ำงจำกจุดเริ่มต้นเป็นระยะทำงเท่ำใด เมื่อวัตถุเคลื่อนที่ไป 2 วินำที
2. จงหำระยะทำงและควำมเร่ง ในขณะที่ควำมเร็ว เป็น ศูนย์
วิธีทำ 1. จำก 3 2
6 9 4s t t t   
เมื่อเวลำ t = 2 ; 3 2
(2) (2) 6(2) 9(2) 4s    
8 24 18 4
6
   

33แบบฝึกเสริมทักษะแคลคูลัส
ดังนั้น เมื่อวัตถุเคลื่อนที่ไป 2 วินำที วัตถุจะอยู่ห่ำงจำกจุดเริ่มต้น 6 เมตร
2. จำก 3 2
6 9 4s t t t   
2
( ) 3 12 9
ds
v t t t
dt
   
( ) 6 12
dv
a t t
dt
  
ควำมเร็วเป็นศูนย์เมื่อ ( ) 0
ds
v t
dt
  จะได้
2
3 12 9 0t t  
2
4 3 0t t  
( 3)( 1) 0t t  
1 , 3t 
 หำระยะทำงและควำมเร่ง
เมื่อ t = 1 3 2
(1) (1) 6(1) 9(1) 4s    
1 6 9 4   
8 เมตร
(1) 6(1) 12a  
6 12 
6  เมตร / (วินำที)2
เมื่อ t = 3 3 2
(1) (3) 6(3) 9(3) 4s    
27 54 27 4   
4 เมตร
(3) 6(3) 12a  
18 12 
6 เมตร / (วินำที)2
34แบบฝึกเสริมทักษะแคลคูลัส
…ใบงานที่ 8…
1. ข้ำวเปลือกไหลออกจำกเครื่องกองบนพื้นเป็นรูปกรวย ด้วยอัตรำ 10 ลูกบำศก์ฟุตต่อวินำที ถ้ำรัศมีของปำก
กรวยเป็น 1.5 เท่ำของส่วนสูงเสมอ จงหำว่ำ สูงจะเพิ่มขึ้นเร็วเท่ำไร เมื่อกรวยนี้สูง 5 ฟุต
2. ชำยคนหนึ่งสูง 6 ฟุต เดินด้วยควำมเร็ว 5 ฟุตต่อวินำที เดินเข้ำหำเสำไฟฟ้ำในตอนกลำงคืน โดยที่เสำไฟฟ้ำมี
หลอดไฟสูงจำกพื้น 16 ฟุต จงหำควำมเร็วของเงำในกำรเคลื่อนที่เมื่อชำยคนนั้นอยู่ห่ำงจำกเสำไฟฟ้ำ 10 ฟุต
3. จงหำจุดวิกฤต ค่ำสูงสุดสัมพัทธ์ ค่ำต่ำสุดสัมพัทธ์ ค่ำสูงสุดสัมบูรณ์ และค่ำต่ำสุดสัมบูรณ์ของฟังก์ชัน
ต่อไปนี้
3.1. f (x) = x2
- 2x + 3 บนช่วง [0,1]
3.2. f (x) = x - x2
สำหรับ x∈[0,1]
3.3. f (x) = x - x3
สำหรับ x∈[0,1]
3.4. f (x) = (x + x2
) -1
สำหรับ x∈(0,1)

แบบฝึกทักษะแคลคูลัสเบื้องต้น สว.กจ

  • 1.
    1แบบฝึกเสริมทักษะแคลคูลัส แบบฝึ กทักษะเรื่อง แคลคูลัสเบื้องต้น รายวิชาค 33201 คณิตศาสตร์เพิ่มเติม 5 ชั้นมัธยมศึกษาปี ที่ 6 ภาคเรียนที่ 1 ปี การศึกษา 2559 ผู้สอน นางสาวชัชชญา กลั่นบุศย์ โรงเรียนเฉลิมพระเกียรติสมเด็จพระศรีนครินทร์ กาญจนบุรี
  • 2.
    2แบบฝึกเสริมทักษะแคลคูลัส ใบความรู้ เรื่อง ลิมิตและความต่อเนื่องของฟังก์ชัน 1. ลิมิตของฟังก์ชัน หลักการ ให้f(x) เป็นฟังก์ชัน และ a เป็นจำนวนจริงใดๆ 1. lim ( ) lim ( )      x a x a f x f x L แล้ว lim ( )   x a f x L มีลิมิตที่ a ( ลิมิตเข้ำทำงซ้ำย เท่ำกับ ลิมิตเข้ำทำงขวำ) 2. lim ( ) lim ( )     x a x a f x f x แสดงว่ำ f(x) ไม่มีลิมิตที่ a ตัวอย่างที่ 1 ให้ f(x) = 4x – 3 จงหำ 2 2 lim ( ) , lim ( ) x x f x f x    วิธีทำ  2 2 lim ( ) lim 4 3 4(2) 3 8 3 5 x x f x x            2 2 lim ( ) lim 4 3 4(2) 3 5 x x f x x         ตัวอย่างที่ 2 ให้ f(x) = | x-3 | จงหำ (1) 3 3 lim ( ) , lim ( ) x x f x f x    (2) 3 3 lim ( ) , lim ( ) x x f x f x       วิธีทำ เนื่องจำก f(x) เป็นค่ำสัมบูรณ์ ค่ำ x ภำยในค่ำสัมบูรณ์มี 2 ค่ำ , 0 | | , 0 x x x x x        3 , 3 0 3 | 3| ( 3) , 3 0 3 x x x x x x x                (1) 3 3 3 lim ( ) lim | 3| lim ( 3) (3 3) 0 x x x f x x x                3 3 3 lim ( ) lim | 3| lim 3 3 3 0 x x x f x x x             (2) 3 3 3 lim ( ) lim | 3| lim ( 3) ( 3 3) 6 x x x f x x x                      3 3 3 lim ( ) lim | 3| lim 3 3 3 6 x x x f x x x                    เข้ำทำงขวำ , ทำงด้ำนบวก  เข้ำทำงซ้ำย , ทำงด้ำนลบ
  • 3.
    3แบบฝึกเสริมทักษะแคลคูลัส ตัวอย่างที่ 3 ถ้ำ 2 ,1 ( ) 1 ,0 1 0 , 0 x x f x x x x            จงหำค่ำของ 0 1 0 lim ( ) , lim ( ), lim ( ) x x x f x f x f x      วิธีทำ (1) 0 lim ( ) 0 x f x   (2) 2 2 1 1 lim ( ) lim 1 1 x x f x x       (3)  0 0 lim ( ) lim 1 0 1 1 x x f x x          ตัวอย่างที่ 4 ถ้ำ 2 ( ) 5 4f x x x   จงหำ 3 lim ( ) x f x  วิธีทำ 2 2 3 3 lim ( ) lim( 5 4) 3 5(3) 4 20 x x f x x x          ตัวอย่างที่ 5 ถ้ำ 2 ( )f x x  จงหำ 4 lim ( ) x f x  , 0 lim ( ) x f x  วิธีทำ (1) 4 4 2 2 1 lim ( ) lim 4 2x x f x x     (2) 0 0 2 2 lim ( ) lim 0x x f x x    หำค่ำไม่ได้ ตัวอย่างที่ 6 ถ้ำ 3 ( ) 5 x f x x    จงหำ 5 lim ( ) x f x  , 3 lim ( ) x f x  วิธีทำ (1) 5 5 3 3 5 2 lim ( ) lim 5 5 5 0x x x f x x             หำค่ำไม่ได้ (2) 3 3 3 3 3 0 lim ( ) lim 0 5 3 5 2x x x f x x              ตัวอย่างที่ 7 ถ้ำ 2 4 ( ) 2 x f x x    จงหำ 2 lim ( ) x f x  วิธีทำ แทนค่ำ x = 2 ใน f(x) จะได้ 2 2 4 4 4 0 (2) 2 2 2 2 0 f        ข้อสังเกต ::  เรำจะสนใจพิจำรณำลิมิตทำงซ้ำยหรือทำงขวำ เมื่อ ฟังก์ชัน เป็นแบบ ………………………….  ถ้ำ เป็นฟังก์ชันปกติ เรำสำมำรถหำค่ำ lim ( ) ( ) x a f x f a   โดยกำรแทนค่ำได้เลย
  • 4.
    4แบบฝึกเสริมทักษะแคลคูลัส  กรณี ผลของลิมิต ออกมาในรูปของ 0 0 lim ( ) x a f x  อำจหำค่ำได้โดยพยำยำมเปลี่ยนรูปของ f(x) ใหม่เพื่อให้สำมำรถตัดทอนกันและหำค่ำลิมิตได้โดยตรง การเปลี่ยนรูปของ f(x) มีวิธีการหลายวิธี ดังนี้ 1. แยกตัวประกอบ 2. ใช้คอนจูเกต (conjugate) คูณทั้งเศษและส่วน (เน้น ติดรูท ) 3. กฎของโลปิตำล (L ‘ Hopital ‘ Rule) 4. 0 sin lim 1     จำกตัวอย่ำงที่ 7 กำหนดให้ 2 4 ( ) 2 x f x x    เรำจะต้องเปลี่ยนรูปของ f(x) ใหม่เพื่อทำให้สำมำรถตัดทอนกันได้ และหำลิมิตได้โดยตรง จะได้ 2 2 2 2 4 ( 2)( 2) lim ( ) lim lim 2 ( 2)x x x x x x f x x x                  2 lim( 2) 2 2 4 x x       ดังนั้น 2 2 4 lim 4 2x x x        สูตรการแยกตัวประกอบ # กาลัง 2 สมบูรณ์ 1. 2 2 2 2 ( )x xy y x y    2. 2 2 2 2 ( )x xy y x y    # กาลัง 3 สมบูรณ์ 4. 3 3 2 2 3 3 3 ( )x x y xy y x y     5. 3 3 2 2 3 3 3 ( )x x y xy y x y     # ผลต่างกาลัง 2 3. 2 2 ( )( )x y x y x y    # ผลต่างกาลัง 3 6. 3 3 2 2 ( )( )x y x y x xy y     7. 3 3 2 2 ( )( )x y x y x xy y     ตัวอย่างที่ 8 ถ้ำ 3 2 27 ( ) 2 3 x f x x x     จงหำ 3 lim ( ) x f x  วิธีทำ นำ x = 3 แทนใน f(x) จะได้ 3 2 3 27 27 27 0 (3) 3 2(3) 3 9 6 3 0 f          เปลี่ยนรูปโดยกำรแยกตัวประกอบ 3 2 27 ( 3)( 3 9)x x x x     2 2 3 ( 3)( 1)x x x x     จะได้ 3 2 23 3 3 27 ( 3)( 3 9) lim ( ) lim lim 2 3 ( 3)( 1)x x x x x x x f x x x x x             2 2 3 ( 3 9) 3 3(3) 9 27 lim ( 1) 3 1 4x x x x         
  • 5.
    5แบบฝึกเสริมทักษะแคลคูลัส ตัวอย่างที่ 9 ถ้ำ 2 2 1 () 2 1 x f x x x     จงหำ 1 lim ( ) x f x  วิธีทำ นำ x = 1 แทนใน f(x) จะได้ 2 2 1 1 0 (1) 2(1 ) 1 1 0 f      เปลี่ยนรูปโดยกำรแยกตัวประกอบ 2 1 ( 1)( 1)x x x    2 2 1 (2 1)( 1)x x x x     จะได้ 2 21 1 1 1 ( 1)( 1) lim ( ) lim lim 2 1 ( 1)(2 1)x x x x x x f x x x x x            1 ( 1) 1 1 2 lim (2 1) 2(1) 1 3x x x        ดังนั้น 2 21 1 2 lim 2 1 3x x x x     ตัวอย่างที่ 10 ถ้ำ 4 2 ( ) x f x x    จงหำ 0 lim ( ) x f x  วิธีทำ นำ x = 1 แทนใน f(x) จะได้ 4 0 2 2 2 0 (0) 0 0 0 f       เปลี่ยนรูปโดย ใช้คอนจูเกต (conjugate) คูณทั้งเศษและส่วน  ติดรูท คอนจูเกต ทันที จะได้ 0 0 0 4 2 4 2 4 2 lim lim lim 4 2 ( 4 2)x x x x x x x x x x x x                0 1 1 1 1 lim 2 2 44 2 4 0 2x x         ดังนั้น 0 4 2 1 lim 4x x x    2. ความต่อเนื่องของฟังก์ชัน หลักการ ให้ f(x) เป็นฟังก์ชัน และ a เป็นจำนวนจริงใดๆ ฟังก์ชัน f เป็นฟังก์ชันต่อเนื่องที่ x = a เมื่อเป็นจริง ทั้ง 3 ข้อดังนี้ 1. f(a) หำค่ำได้ 2. lim ( ) x a f x  หำค่ำได้ นั่นคือ lim ( ) lim ( ) x a x a f x f x     และ 3. lim ( ) ( ) x a f x f a   ** ถ้ำเงื่อนไขข้อใด ข้อหนึ่งขำดไป แสดงว่ำ f ไม่ต่อเนื่อง x = a
  • 6.
    6แบบฝึกเสริมทักษะแคลคูลัส ตัวอย่างที่ 11 ถ้ำ 2 3, 3 ( ) 2 5 , 1 3 3 2 , 1 x x f x x x x x               ข้อใดต่อไปนี้ถูก 1. f ต่อเนื่องที่ x = – 1 แต่ไม่ต่อเนื่องที่ x =3 2. f ต่อเนื่องที่ x = – 1 และ x =3 3. f ไม่ต่อเนื่องที่ x = – 1 แต่ต่อเนื่องที่ x =3 4. f ไม่ต่อเนื่องที่ x = – 1 และ x =3 วิธีทำ มี 2 จุดที่ต้องพิจำรณำคือ x = 1 และ x = 3 1. พิจำรณำควำมต่อเนื่องของ f ที่ x = – 1  f(-1) = 2(-1) + 5 = 3  2 2 1 1 lim ( ) lim 3 3( 1) 3 x x f x x         1 1 lim ( ) lim(2 5) 2( 1) 5 3 x x f x x          แสดงว่ำ ฟังก์ชัน f เป็นฟังก์ชันต่อเนื่องที่ x = – 1 2. พิจำรณำควำมต่อเนื่องของ f ที่ x = 3  f(3) = 3(3) - 2 = 9 – 2 = 7  3 3 lim ( ) lim(2 5) 2(3) 5 6 5 11 x x f x x            33 lim ( ) lim(3 2) 3(3) 2 9 2 7 xx f x x          แสดงว่ำ ฟังก์ชัน f เป็นฟังก์ชันไม่ต่อเนื่องที่ x = 3 ดังนั้น f ต่อเนื่องที่ x = – 1 แต่ไม่ต่อเนื่องที่ x = 3 ตอบ ตัวเลือก 1
  • 7.
    7แบบฝึกเสริมทักษะแคลคูลัส …เอกสารฝึกหัดที่ 1… 1. จงหำค่ำ 2 0 (1) 1 lim x x x   [ 2 ] 2. จงหำค่ำ 3 0 1 (1 ) lim x x x   [–3 ] 3. จงหำค่ำ 4 4 2 lim 4x x x x             [ 1 2  ] 4. จงหำค่ำ 22 10 2 lim 1 4x x x              [ 5 4 ] 5. จงหำค่ำ 2 22 4 lim 6x x x x    [ 4 5 ] 6. จงหำค่ำ 3 lim 3 x x   [ 6 ] 7. จงหำค่ำ 23 1 6 lim 3 9x x x        [ 1 6 ]
  • 8.
    8แบบฝึกเสริมทักษะแคลคูลัส …เอกสารฝึกหัดที่ 2… 1. กำหนด 3 () 8 x f x mx     ถ้ำ f ต่อเนื่องที่ 2x   แล้ว m มีค่ำเท่ำกับเท่ำใด [ 8 ] 2. กำหนด 3 5 ( ) 3 x f x x     จงหำค่ำ 3 lim ( ) x f x   [ 18 ] 3. กำหนด 3 2 3 4 ( ) 1 1 a f x x x          ถ้ำ f ต่อเนื่องที่ 1x  แล้ว a มีค่ำเท่ำกับเท่ำใด [ 2 ] , เมื่อ 2x   , เมื่อ 2x   , เมื่อ 3x  , เมื่อ 3x   , เมื่อ 1x  , เมื่อ 1x 
  • 9.
    9แบบฝึกเสริมทักษะแคลคูลัส ใบความรู้ที่ 1 อัตราการเปลี่ยนแปลงเฉลี่ย หลักการ อัตรำกำรเปลี่ยนแปลงเฉลี่ยของ yเทียบกับ x ในช่วง x ถึง x + h คือ ( ) ( )f x h f x h   ตัวอย่างที่ 1 กำหนดให้ 3 ( )y f x x  แล้ว จงหำอัตรำกำรเปลี่ยนแปลงเฉลี่ยของ y เทียบกับ x ในช่วง x = 2 ถึง x = 4 วิธีทา จำกโจทย์ 3 ( )y f x x  อัตรำกำรเปลี่ยนเฉลี่ยของ y เทียบกับ x ในช่วง x = 2 ถึง x = 4  h =4 – 2 = 2 เท่ำกับ 3 3 (4) (2) 4 2 64 8 56 28 2 2 2 2 f f       ตัวอย่างที่ 2 กำหนดให้ ( ) 2 1f x x  แล้ว จงหำอัตรำกำรเปลี่ยนแปลงเฉลี่ย ในช่วง x ถึง x + h วิธีทา จำกโจทย์ ( ) 2 1y f x x   อัตรำกำรเปลี่ยนเฉลี่ย ในช่วง x ถึง x + h คือ ( ) ( )f x h f x h   ( ) 2( ) 1f x h x h    , ( ) 2 1f x x  ดังนั้น    2( ) 1 2 1( ) ( ) x h xf x h f x h h       2( ) 1 2 1 2 2 1 2 1 2 2 x h x x h x h h h h            
  • 10.
    10แบบฝึกเสริมทักษะแคลคูลัส …ใบงานที่ 1… 1. จงหำอัตรำกำรเปลี่ยนแปลงเฉลี่ยของพื้นที่รูปสี่เหลี่ยมจัตุรัสเทียบกับควำมยำวของด้ำนเมื่อควำมยำวด้ำน ของสี่เหลี่ยมจัตุรัสเปลี่ยนจำก x นิ้ว ไปเป็น hx  นิ้ว และจงหำอัตรำ กำรเปลี่ยนแปลงของรูปพื้นที่ สี่เหลี่ยมจัตุรัสเทียบกับควำมยำวด้ำน ขณะที่ด้ำนยำว x นิ้ว และ 4 นิ้ว ………………………………………………………………………………………………. ………………………………………………………………………………………………. ………………………………………………………………………………………………. ………………………………………………………………………………………………. 2. จงหำอัตรำกำรเปลี่ยนแปลงเฉลี่ยของพื้นที่ของวงกลมเทียบกับควำมยำวของรัศมีของวงกลม เมื่อควำมยำวของรัศมีเปลี่ยนจำก x ฟุตไปเป็น hx  ฟุต และจงหำอัตรำกำรเปลี่ยนแปลงของ พื้นที่ วงกลมเทียบกับควำมยำวของรัศมีขณะที่รัศมียำว x ฟุต วิธีทำ จำกสูตรพื้นที่วงกลม = ……………………………………………………………... ให้ r แทนรัศมี และ f(r) แทนพื้นที่วงกลม จะได้ f(r)  …………………………………………………………………… อัตรำกำรเปลี่ยนแปลงเฉลี่ย  ............................................................................... ………………………………………………………………………………………... อัตรำกำรเปลี่ยนแปลง = .............................................................................................. 3. จงหำอัตรำกำรเปลี่ยนแปลงเฉลี่ยของปริมำตรทรงกลมเทียบกับรัศมี เมื่อรัศมีเปลี่ยนจำก r ไปเป็น r+h และ อัตรำกำรเปลี่ยนแปลงขณะรัศมียำว r เซนติเมตร วิธีทำ จำกสูตรพื้นที่วงกลม 3 r 3 4  จะได้ f(r)  …………………………………………., f(r) แทนปริมำตรวงกลม อัตรำกำรเปลี่ยนแปลงเฉลี่ย  ...........................................................................  ........................................................................... อัตรำกำรเปลี่ยนแปลง  ................................................................................
  • 11.
    11แบบฝึกเสริมทักษะแคลคูลัส ใบความรู้ที่ 2 อัตราการเปลี่ยนแปลง อัตรำกำรเปลี่ยนแปลงของ yเทียบกับ x ขณะ x มีค่ำใด ๆ = 0 ( ) ( ) lim h f x h f x h   = dy dx ตัวอย่างที่ 1 กำหนดให้ 2 ( )y f x x  แล้ว จงหำอัตรำกำรเปลี่ยนแปลงของ y เทียบกับ x ขณะ x มีค่ำใด ๆ และ ที่ x = 3 วิธีทา จำกโจทย์ 2 ( )f x x 2 2 2 ( ) ( ) 2f x h x h x xh h      นั่นคือ  2 2 2 0 0 2( ) ( ) lim lim h h x xh h xf x h f x h h       2 2 2 0 2 0 2 lim 2 lim h h x xh h x h xh h h         0 0 (2 ) lim lim2 2 h h h x h h x h x        และ อัตรำกำรเปลี่ยนแปลงของ y เทียบกับ x ที่ x = 3 เท่ำกับ 2(3) = 6 ตัวอย่างที่ 2 กำหนดให้ 2 ( )y f x x x   แล้ว จงหำอัตรำกำรเปลี่ยนแปลงของ y เทียบกับ x ขณะ x มีค่ำใด ๆ และ ที่ x = – 2 วิธีทา จำกโจทย์ 2 ( )f x x x     2 2 2 ( ) ( ) ( ) 2f x h x h x h x xh h x h          2 2 2x xh h x h    
  • 12.
    12แบบฝึกเสริมทักษะแคลคูลัส นั่นคือ   2 2 2 0 0 2( ) ( ) lim lim h h x xh h x h x xf x h f x h h            2 2 2 0 2 0 0 0 2 lim 2 lim (2 1) lim lim 2 1 2 1 h h h h x xh h x h x x h xh h h h h x h h x h x                       และ อัตรำกำรเปลี่ยนแปลงของ y เทียบกับ x ที่ x = – 2 เท่ำกับ 2(-2) + 1 = – 2
  • 13.
    13แบบฝึกเสริมทักษะแคลคูลัส …ใบงานที่ 2… 1. จงหำอัตรำกำรเปลี่ยนแปลงของพื้นที่วงกลมเทียบกับควำมยำวของรัศมีขณะที่รัศมียำว x ฟุตเมื่อ ควำมยำวของรัศมีเปลี่ยนจำก x ฟุตไปเป็น hx  ฟุต วิธีทำ จำกสูตรพื้นที่วงกลม = ……………………………………………………………... ให้ r แทนรัศมี และ f(r) แทนพื้นที่วงกลม จะได้ f(r)  …………………………………………………………………… อัตรำกำรเปลี่ยนแปลง = .............................................................................................. 2. จงหำอัตรำกำรเปลี่ยนแปลงของปริมำตรทรงกลมเทียบกับรัศมี เมื่อรัศมีเปลี่ยนจำก r ไป เป็น r+h และ วิธีทำ จำกสูตรพื้นที่วงกลม 3 r 3 4  จะได้ f(r)  …………………………………………., f(r) แทนปริมำตรวงกลม อัตรำกำรเปลี่ยนแปลง  ................................................................................ 3. จงหำอัตรำกำรเปลี่ยนแปลงของปริมำตรลูกบำศก์เทียบกับควำมยำวด้ำนขณะที่ด้ำนยำว 12 เซนติเมตร วิธีทำ จำกสูตรปริมำตร  กว้ำง  ยำว  สูง ................................................................... ให้ x แทนด้ำนของลูกบำศก์ , f(x) แทน ปริมำตรของลูกบำศก์ ……………………… จะได้ f(x)  …………………………………………………………………….. อัตรำกำรเปลี่ยนแปลง  ....................................................................................
  • 14.
    14แบบฝึกเสริมทักษะแคลคูลัส ใบความรู้ที่ 3 อนุพันธ์ของฟังก์ชัน บทนิยาม ถ้ำy = f(x) เป็นฟังก์ชันที่มีโดเมนและเรจน์เป็นสับเซตของเซตจำนวนจริงและ 0 ( ) ( ) lim h f x h f x h   หำค่ำได้เรียกว่ำค่ำลิมิตที่ได้นี้ว่ำ “ อนุพันธ์ของฟังก์ชัน f ที่ x ” เขียนแทนด้วย dy dx หรือ y หรือ ( )f x หรือ ( )d f x dx 0 ( ) ( ) lim h f x h f x dy y h dx     Note : 1. dy y dx x  2. dy dx คืออัตรำกำรเปลี่ยนแปลงของ y เทียบกับ x ขณะ x มีค่ำใด ๆ 3. เมื่อ s แทนระยะทำงที่วัตถุเคลื่อนที่ได้ในเวลำ t หรือ s = f(t) ถ้ำ v คือ ควำมเร็วขณะเวลำ t ใดๆ จะได้ v = 0 ( ) ( ) lim h f t h f t h   ds s v dt    กฎห้าขั้นสาหรับการหาค่าอนุพันธ์ วิธีกำรหำค่ำอนุพันธ์ของฟังก์ชันตำมบทนิยำม 1 สำมำรถทำตำมลำดับ 5 ขั้นตอน ซึ่งเรียกว่ำ กฎห้าขั้นของการ หาค่าอนุพันธ์ มีขั้นตอนดังต่อไปนี้ ขั้นที่ 1. เขียน y = f(x) ตำมที่โจทย์กำหนดให้ ขั้นที่ 2. แทนค่ำ x ในฟังก์ชันด้วย x + x แล้วคำนวณหำค่ำใหม่ของฟังก์ชัน y +y ขั้นที่ 3. เอำค่ำเดิมของฟังก์ชันไปลบออกจำกค่ำใหม่เพื่อหำ y ขั้นที่ 4. หำรด้วย x ตลอด ขั้นที่ 5. หำลิมิตของผลหำร เมื่อ x เข้ำสู่ 0 จะได้ค่ำอนุพันธ์ตำมต้องกำร ตัวอย่างที่ 1 จงหำค่ำอนุพันธ์ของ f(x) = 3x2 + 5 วิธีทา ขั้นที่ 1 ให้ y = f(x) = 3x2 + 5 หรือ y = 3x2 + 5 ขั้นที่ 2 y + y = 3(x + x)2 + 5 = 3x2 + 6x. x + 3(x)2 + 5 Δx Δy
  • 15.
    15แบบฝึกเสริมทักษะแคลคูลัส ขั้นที่ 3 y+ y = 3x2 + 6x. x + 3(x)2 + 5 y = 3x2 + 5 ลบกันได้ y = 6x. x + 3(x)2 ขั้นที่ 4 = 6x + 3x ขั้นที่ 5 ให้ x 0 จะได้ f(x) = = = = 6x นั่นคือ f(x) = y  = (3x2 + 5) = 6x ตัวอย่างที่ 2 กำหนดให้ f(x) = , x  0 จงหำ f(x) วิธีทา ขั้นที่ 1. ให้ y = , x  0 ขั้นที่ 2. y + y = , x  0 ขั้นที่ 3. y = f(x+ x) – f(x) = – = – ขั้นที่ 4. = – ขั้นที่ 5. ให้ x  0 จะได้ นั่นคือ Δx Δy dx dy Δx Δy 0Δx lim  Δx)3x(6 0Δx lim   dx d x 1 x 1 xΔx 1  xΔx 1  x 1 Δx)x(x Δx  Δx Δy Δx)x(x 1 
  • 16.
    16แบบฝึกเสริมทักษะแคลคูลัส …ใบงานที่ 3… คาชี้แจง จงหำค่ำอนุพันธ์ของf(x) เทียบกับ x 1. f(x) = 5 2. f(x) = 2x 3. f(x) = 5x + 5 4. f(x) = 5x2 + 3x + 5 5. f(x) = 3 – 2x 6. f(x) = 7. f(x) = 8. f(x) = 2x3 + 5x2 + 2x +4 9. f(x) = 4 – 10. f(x) = x 1 2x 2 x 3x 2 
  • 17.
    17แบบฝึกเสริมทักษะแคลคูลัส ใบความรู้ที่ 4 ความชันของเส้นโค้ง  สิ่งที่ควรรู้ ถ้ำ( )y f x เป็นสมกำรของเส้นโค้ง 1. จะมีควำมชันของเส้นโค้ง ( m ) เท่ำกับ ( ) dy f x dx  2. เส้นสัมผัสเส้นโค้งผ่ำนจุด 0 0( , )x y ใด ๆ จะมีควำมชัน ( m ) คือ 0( )m f x 3. สมกำรเส้นตรง ที่ สัมผัสเส้นโค้ง ที่จุด 0 0( , )x y จะมีสมกำรเส้นตรงเป็น 0 0( )y y m x x   4. สมกำรเส้นตรง มีควำมชัน เป็น 1m ตั้งฉากกับ เส้นสัมผัส ที่ 0 0( , )x y มีควำมชัน เป็น 2m จะได้ว่ำ 1 2 1m m   5. สมกำรเส้นตรง มีควำมชัน เป็น 1m ขนานกับ เส้นสัมผัส ที่ 0 0( , )x y มีควำมชัน เป็น 2m จะได้ว่ำ 1 2m m 6. เส้นตรงที่ผ่ำนจุด 2 จุด คือ ( , )x y และ 0 0( , )x y จะได้ว่ำ ควำมชัน 0 0 y y m x x    ตัวอย่างที่ 1 จงหำจุดสัมผัส บนเส้นโค้ง 2 3 4y x x   ที่มีควำมชันของเส้นสัมผัสเท่ำกับ 1 วิธีทำ diff สมการเส้นโค้ง 2 3 4y x x    2 3 4 2 3 1 dy d x x x dx dx       จำก 2 3 1x  แก้สมกำรหำค่ำ x 2x  นำ 2x  แทนในสมการเส้นโค้ง 2 3 4y x x   เพื่อหำค่ำ y 2 2 3(2) 4 4 6 4 6y         ดังนั้น จุดสัมผัส คือ 0 0( , ) (2, 6)x y   ตัวอย่างที่ 2 เส้นตรงเส้นหนึ่ง มีควำมชันเท่ำกับ 2 และสัมผัสเส้นโค้ง 2 2y x  จงหำสมกำรเส้นตรงนั้น วิธีทำ diff สมการเส้นโค้ง 2 2y x   2 2 2 2 dy d x x dx dx     จำก 2 2x  แก้สมกำรหำค่ำ x 1x  นำ 1x  แทนในสมการเส้นโค้ง 2 2y x  เพื่อหำค่ำ y 2 (1) 2 1 2 3y     
  • 18.
    18แบบฝึกเสริมทักษะแคลคูลัส นั่นคือ จุดสัมผัส คือ0 0( , ) (1,3)x y  สมกำรเส้นตรงเป็น 0 0( )y y m x x   แทนค่ำ 0 0( , ) (1,3)x y  และ 2m  จะได้ สมกำรเส้นตรงเป็น 3 2( 1) 2 2y x x     2 2 3 2 1y x x     ดังนั้น สมกำรเส้นตรง คือ 2 1y x  ตัวอย่างที่ 3 ให้ (a,b) เป็นจุดบนเส้นโค้ง 2 2 2 5y x x   ซึ่งเส้นสัมผัสโค้งที่จุด (a,b) นี้จะตั้งฉำกกับ เส้นตรง 6 1 0x y   ดังนั้น a+b มีค่ำเท่ำใด วิธีทำ จำก 2 2 2 5y x x   จะได้ 4 2y x   (a,b) เป็นจุดบนเส้นโค้ง ควำมชันของเส้นโค้ง คือ 4 2m y a   และ เส้นตรง 6 1 0x y   ตั้งฉำกเส้นสัมผัสโค้ง นั้นคือ ควำมชันคูณกันเท่ำกับ -1 จัดรูปของ 6 1 0x y   ให้อยู่รูปของ 0 0( )y y m x x   จะได้ 1 1 ( 1) 6 6 x y x       ดังนั้น m = 1 6  เอำควำมชัน ของ เส้นสัมผัสโค้ง กับ เส้นตรงมีคูณกัน จะได้   1 4 2 1 6 a          4 2 6a  4 4a  4 1 1 4 a x    แทน x=1 ในสมกำร 2 2 2 5y x x   จะได้ 2 2(1) 2(1) 5 2 2 5 1 1y b           ดังนั้น a + b = 1+( –1) = 0
  • 19.
    19แบบฝึกเสริมทักษะแคลคูลัส …ใบงานที่ 4… คาชี้แจง ข้อ1 – 5 จงหำควำมชันของเส้นโค้งจำกสมกำรที่กำหนดให้ ณ จุดที่กำหนดให้ 1. y = x2 + 4 ณ จุด ( – 2 , 8) 2. y = 2 – 3x2 ณ จุด (1, – 1) 3. y = 4x2 – 5 ณ จุด (0, – 5) 4. y = x2 – 6x ณ จุด (4, – 8) 5. y = ณ จุด (3, 1) คาชี้แจง ข้อ 6 – 10 จงหำสมกำรของเส้นสัมผัสโค้งที่จุดกำหนดให้ 6. f(x) = 3x2 + 3x – 4 ณ จุด (–1, 4) 7. f(x) = ณ จุด (3, 1) 8. f(x) = x2 – 6x ณ จุด (4, – 8) 9. f(x) = 2x2 ณ จุด (1, 2) 10. f(x) = x3 – 3x2 + 4 ณ จุด (0, 4) x 3 x 3
  • 20.
    20แบบฝึกเสริมทักษะแคลคูลัส ใบความรู้ที่ 5 การหาอนุพันธ์ของฟังก์ชันโดยใช้สูตร ถ้ำ c, n เป็นค่ำคงที่ใดๆ และ u = f(x) , v=g(x) , w=h(x) เป็นฟังก์ชัน 1. ( ) 0 d c dx  2. ( ) 1 d x dx  3. ( ) d d cu c u dx dx  4. 1n nd x n x dx    5. ( ) d d d d u v w u v w dx dx dx dx      6. ( ) d d d u v v u u v dx dx dx    ดิฟผลคูณ  หลัง ดิฟหน้ำ + หน้ำดิฟหลัง 7. 2 ( ) d d v u u v d u dx dx dx v v   ดิฟผลหำร  ล่ำงดิฟบน - บนดิฟล่ำง ล่ำงยกกำลัง 2 8. 1 ln d d u u dx u dx  9. u ud d e e u dx dx  ตัวอย่าง จงหำค่ำของอนุพันธ์ของฟังก์ชันต่อไปนี้ 1. y = 5 วิธีทำ 5 0 d dx  2. y = x วิธีทำ 1 d x dx  3. y = 5x + 3 วิธีทำ  5 3 5 3 5 0 5 d d d x x dx dx dx       4. y = 4 2x วิธีทำ 4 4 1 3 2 4 2 8 d x x x dx    5. y = 2 x วิธีทำ 2 2 1 3 ( 2) 2 d x x x dx         6. y = 2 2 5 3x x  วิธีทำ  2 2 2 5 3 2 5 3 4 5 d d d d x x x x x dx dx dx dx       
  • 21.
    21แบบฝึกเสริมทักษะแคลคูลัส 7.  2 2y x x วิธีทำ   2 2 2 2 2 2 d d d x x x x x x dx dx dx   2 (2) 2 (2 )x x x  2 2 2 2 4 6 x x x    จำกข้อ 7 สำมำรถทำได้อีกแบบ คือ   2 3 2 2y x x x  วิธีทำ 3 2 2 2 (2)(3) 6 d x x x dx   8. 2 1x y x   วิธีทำ     2 2 1 2 1 2 1 ( ) d d x x x x d x dx dx dx x x        2 2 2 (2) 2 1 2 2 1 1 x x x x x x x         9. ln(2 1)y x  วิธีทำ 1 ln(2 1) (2 1) (2 1) d d x x dx x dx     1 (2) (2 1) 2 (2 1) x x     10. 2x y e วิธีทำ 2 2 2 2 2 (2) 2x x x xd d e e x e e dx dx     กฏลูกโซ่ ถ้ำ ( )y f z และ ( )z g x จะได้ ( ) dy dy dz f x dx dz dx   
  • 22.
    22แบบฝึกเสริมทักษะแคลคูลัส ตัวอย่างที่ 1 ถ้ำ9 ( ) (2 1)f x y x   จงหำ dy dx และ (0)f , (0)f  วิธีทำ ให้ 2 1z x  จะได้ 9 y z จำกสูตร dy dy dz dx dz dx     9 2 1 dy d d z x dx dz dx   8 8 9 (2) 18 dy z z dx   แทน 2 1z x  จะได้ 8 18(2 1) dy x dx   จำก 9 ( ) (2 1)f x x  แล้ว   9 9 (0) 2(0) 1 1 1f     และ 8 ( ) 18(2 1)f x x   แล้ว     8 8 (0) 18 2(0) 1 18 1 18f      ตัวอย่างที่ 2 ถ้ำ 2 ( ) 1f x y x   จงหำ ( )f x และ (2)f  วิธีทำ จำก   1 2 2 21 1y x x    ให้ 2 1z x  จะได้ 1 2 y z จำกสูตร ( ) dy dy dz f x dx dz dx      1 1 1 22 2 1 1 (2 ) 2 dy d d z x x dx dz dx z         1 2 1 2 1 ( ) ( ) x z x x z z     แทน 2 1z x  จะได้ 2 ( ) 1 x f x x    จะได้ว่ำ 2 2 2 2 3 2 3 (2) 33 3 32 1 f       
  • 23.
    23แบบฝึกเสริมทักษะแคลคูลัส …ใบงานที่ 5… จงหำค่ำ อนุพันธ์ของฟังก์ชัน 1.y = 2 2. 2 ( ) 4f x x  3. 3 2 2 3 1y x x x    4. ( ) (3 1)(2 )f x x x  ที่ x = 1 5. ( ) ( 2)(5 1)f x x x   ที่ x = 0 6. 3 ( )f x x  ที่ x = 1 7. 2 4 4 y x   8. 2 2 3 1 x y x   9.   4 2 ( ) 2 2 5f x x x   ที่ x = 0 10. 2 y x x  11. 1 ( )f x x  ที่ x = 2 12. 1 3 3 ( 2 1)y x x   13. 1 2 2 (2 3 )y x x   
  • 24.
    24แบบฝึกเสริมทักษะแคลคูลัส ใบความรู้ที่ 6 อนุพันธ์ของฟังก์ชันคอมโพสิต หรือฟังก์ชันประกอบ ถ้ำ( )( ) ( ( ))y g f x g f x  แล้ว   ( ) ( ( )) ( ) dy d df x g f x dx df x dx  ให้ ( )u f x และ ( )y g u จะได้  ( ) dy d du dy du g u dx du dx du dx   ใช้เทคนิคของกฎลูกโซ่ ตัวอย่างที่ 1 ให้ ( )( )y g f x , 3 ( ) 2g x x  และ 2 ( ) 2 3 4f x x x   จงหำ dy dx วิธีทำ จำก ( )( ) ( ( ))y g f x g f x    2 3 2 (2 3 4) 2 3 4 2 g x x x x        เทคนิค 1. ดิฟข้ำงนอก      3 2 2 2 2 3 4 2 3 2 3 4 d x x x x dx           2. ดิฟข้ำงใน   2 2 3 4 4 3 d x x x dx     3. เอำผลดิฟมำคูณกัน      2 2 3 2 3 4 4 3 dy x x x dx     หรืออีกวิธีหนึ่ง ให้ 2 2 3 4u x x   จะได้ 3 1y u     3 2 1 2 3 4 dy dy du d d u x x dx du dx du dx         2 3 4 3u x  แทน 2 2 3 4u x x   จะได้     2 2 3 2 3 4 4 3 dy x x x dx     ตัวอย่างที่ 2 ให้ 3 2 ( ) 2 1f x x x x    , ( ) ( )g x f x จงหำ ( )( )g f x และ ( )(1)g f วิธีทำ จำก ( ) ( )g x f x จะได้ 2 ( ) 3 2 2 ( ) 6 2 f x x x f x x        นั่นคือ ( ) ( ) 6 2g x f x x  
  • 25.
    25แบบฝึกเสริมทักษะแคลคูลัส จำก 3 2 ( )() ( ( )) ( 2 1)g f x g f x g x x x     3 2 6( 2 1) 2x x x     3 2 3 2 6 6 6 6 2 6 6 12 8 x x x x x x          ดังนั้น 3 2 ( )(1) 6(1) 6(1) 12(1) 8g f     6 6 12 8 4      ตัวอย่างที่ 3 ให้ 8 6 ( )f x x x  และ f  คือ อนุพันธ์ ของ f ถ้ำ  na เป็นลำดับซึ่งมี lim 1n x a   แล้ว   lim n x f f a   เท่ำกับเท่ำใด วิธีทำ 8 6 ( )f x x x  7 5 ( ) 8 6f x x x   นั้นคือ    ( ( ))f f x f f x      8 6 8 67 5 7 5 ( ) ( ) 8 6 8 6 f x f x x x x x              ดังนั้น    8 67 5 7 5 8 6 8 6n n n n nf f a a a a a              8 67 5 7 5 lim lim 8 6 lim 8 6n n n n n x x x f f a a a a a               8 6 7 5 7 5 8lim 6lim 8lim 6limn n n n x x x x a a a a                    8 6 8 6 8 6 8 6 2 2 256 64 192         
  • 26.
    26แบบฝึกเสริมทักษะแคลคูลัส …ใบงานที่ 6… คาชี้แจง ข้อ1 – 5 จงหำ 1. y = u2 + 3u – 7 , u = 2x + 1 2. y = , u = 3. y = , z = x2 + 1 4. y = w2 – w – 1 , w = 3x 5. y = 2v3 + , v = คาชี้แจง ข้อ 6 – 10 จงหำ 6. x = 3t + 1, y = t2 7. x = t2 , y = t3 8. x = , y = t2 9. x = , y = 10. x = , y = t2 dx dy 12u 2u  1x2  3 2 z 3v 2 3 2 2)x(3  dx dy t1 t  t1 t  t1 2t  42t 
  • 27.
    27แบบฝึกเสริมทักษะแคลคูลัส ใบความรู้ที่ 7 อนุพันธ์อันดับสูง ข้อกาหนด ให้ ()y f x เป็นฟังก์ชันที่สำมำรถหำอนุพันธ์ได้และ ( )f x เป็นอนุพันธ์ ของ ( )f x ซึ่งสำมำรถหำ อนุพันธ์ได้ 1. จะเรียกอนุพันธ์ ของ อนุพันธ์ ของ ( )f x หรือ อนุพันธ์ ของ ( )f x ( diff ซ้อน diff ) ว่ำ อนุพันธ์อันดับที่ 2 ของ ( )f x 2. สำมำรถเขียนแทนด้วยสัญลักษณ์ เป็น ( )f x หรือ 2 2 d y dx  อนุพันธ์อันดับที่ 1 ( ) dy f x dx    อนุพันธ์อันดับที่ 2 2 2 ( ) d dy d y f x dx dx dx         อนุพันธ์อันดับที่ 3 2 3 (3) 2 3 ( ) ( ) d d y d y f x f x dx dx dx           อนุพันธ์อันดับที่ 4 4 (4) 4 ( ) d y f x dx   ... …  อนุพันธ์อันดับที่ n ( ) ( ) n n n d y f x dx  ตัวอย่างที่ 1 ถ้ำ 5 ( )f x x จงหำ (4) ( )f x ที่ x = 2 วิธีทำ ให้ 5 ( )f x x 5 4 ( ) 5 d f x x x dx    5 4 3 ( ) 5 20 d d d d f x x x x dx dx dx dx               (3) 2 ( ) 60f x x (4) ( ) 120f x x  (4) ( )f x ที่ x = 2 เท่ำกับ (4) (2) 120(2) 240f  
  • 28.
    28แบบฝึกเสริมทักษะแคลคูลัส ตัวอย่างที่ 2 ถ้ำ 43 ( ) 4 2 9f x x x x    จงหำ 5 5 d y dx วิธีทำ ให้ 4 3 ( ) 4 2 9f x x x x    3 2 4 12 2 dy x x dx    2 2 2 12 24 d y x x dx   3 3 24 24 d y x dx   4 4 5 5 24 0 d y dx d y dx   ดังนั้น 5 5 0 d y dx 
  • 29.
    29แบบฝึกเสริมทักษะแคลคูลัส …ใบงานที่ 7… คาชี้แจง ข้อ1 – 5 จงหำ yและ y และข้อ 6 – 10 จงหำ y 1. y = x4 – 7x3 + 2x2 + 5 2. y = 5x3 – 3x5 3. y = 4x2 – 8x + 1 4. y = 5. y = 2x4 – 4x2 – 8 6. 12y = 6x4 – 18x2 – 12x 7. y = 3x7 – 7x3 + 21x2 8. y = x2 (x3 – 1) 9. y = (x – 2)(x + 3) 10. y = (3x – 1)(2x + 5) 3x 2 x 3 x 4 x 234 
  • 30.
    30แบบฝึกเสริมทักษะแคลคูลัส ใบความรู้ที่ 8 การประยุกต์อนุพันธ์ 1.ฟังก์ชันเพิ่มและฟังก์ชันลด หลักการ ให้f เป็นฟังก์ชันที่มีอนุพันธ์บนช่วง ( , )a b และต่อเนื่องบน [ , ]a b แล้ว 1. ถ้ำ ( ) 0f x  สำหรับทุกค่ำ x แล้ว f(x) เป็นฟังก์ชัน เพิ่มบนช่วง (a,b) 2. ถ้ำ ( ) 0f x  สำหรับทุกค่ำ x แล้ว f(x) เป็นฟังก์ชัน ลดบนช่วง (a,b) ตัวอย่างที่ 1 3 21 ( ) 3 8 3 f x x x x   เป็นฟังก์ชันเพิ่มหรือฟังก์ชันลด ในช่วงใด วิธีทำ หำอนุพันธ์ของ f(x) 3 2 21 ( ) 3 8 6 8 ( 2)( 4) 3 d f x x x x x x x x dx               ดังนั้น f เป็นฟังก์ชันเพิ่ม เมื่อ ( 2)( 4) 0x x   4x  หรือ 2x  และ f เป็นฟังก์ชันลด เมื่อ ( 2)( 4) 0x x   2 4x  นั่นคือ f เป็นฟังก์ชันเพิ่มในช่วง ( ,2) (4, )   และ f เป็นฟังก์ชันลดในช่วง (2,4) ตัวอย่างที่ 2 2 ( ) 2 8 5f x x x   เป็นฟังก์ชันเพิ่มหรือฟังก์ชันลด ในช่วงใด วิธีทำ หำอนุพันธ์ของ f(x)  2 ( ) 2 8 5 4 8 d f x x x x dx       ดังนั้น f เป็นฟังก์ชันเพิ่ม เมื่อ 4 8 0x  2x  และ f เป็นฟังก์ชันลด เมื่อ 4 8 0x  2x  นั่นคือ f เป็นฟังก์ชันเพิ่มในช่วง (2, ) และ f เป็นฟังก์ชันลดในช่วง ( ,2)
  • 31.
    31แบบฝึกเสริมทักษะแคลคูลัส 2.ค่ำสูงสุดและค่ำต่ำสุด หลักการ ให้ ()f x เป็นฟังก์ชัน ที่ต้องกำรหำค่ำสูงสุดและ ค่ำต่ำสุด 1. หำ ( )f x 2. จับ ( ) 0f x  แล้ว แก้สมกำรหำค่ำ x ค่ำ x ที่ได้เรียกว่ำ “ ค่าวิกฤต ” สมมติว่ำได้ x c 3. หำ ( )f x 4. นำค่ำวิกฤติ x c แทนใน ( )f x แล้วทำกำรตรวจสอบ 4.1 ถ้ำ ( ) 0f c  แล้ว f ให้ค่ำ สูงสุดสัมพัทธ์ ที่ x c 4.2 ถ้ำ ( ) 0f c  แล้ว f ให้ค่ำ ต่าสุดสัมพัทธ์ ที่ x c 5. ถ้ำ นำค่ำ c ที่ทำให้เกิดค่ำสูงสุดสัมพัทธ์ แทนใน ( )f x จะได้ค่าสูงสุดสัมบูรณ์ ถ้ำ นำค่ำ c ที่ทำให้เกิดค่ำต่ำสุดสัมพัทธ์ แทนใน ( )f x จะได้ค่าต่าสุดสัมบูรณ์ ** ค่ำสูงสุดสัมบูรณ์ และ ค่ำต่ำสุดสัมบูรณ์ คือ ค่ำสูงสุดและค่ำต่ำสุด จริงๆๆ ตัวอย่างที่ 1 จงหำค่ำ x ที่ทำให้เกิดจุดสูงสุดสัมพัทธ์ และ จุดต่ำสุดสัมพัทธ์ ของ 3 2 ( ) 3 9 4f x x x x    และหำค่ำสูงสุดสัมบูรณ์ และ ค่ำต่ำสุดสัมบูรณ์ ด้วย วิธีทำ 1.) หำอนุพันธ์ของ f(x) 2 ( ) 3 6 9f x x x    2.) ให้ ( ) 0f x  จะได้ 2 3 6 9 0x x   2 2 3 0x x   ( 3)( 1) 0x x   3 , 1x   จุดวิกฤติ คือ 3 , 1x   3.) ( )f x จะได้ ( ) 6 6f x x   4.) แทนค่ำ 3x  ใน ( ) 6 6f x x   (3)f  6(3) 6 18 6 12 0      แสดงว่ำ 3x  ให้ค่ำต่ำสุดสัมพัทธ์ แทนค่ำ 1x   ใน ( ) 6 6f x x   ( 1)f   6( 1) 6 6 6 12 0         แสดงว่ำ 1x   ให้ค่ำสูงสุดสัมพัทธ์ 5.) หำค่ำสูงสุดสัมบูรณ์ 3 2 ( 1) ( 1) 3( 1) 9( 1) 4f         1 3 9 4 9       หำค่ำต่ำสุดสัมบูรณ์ 3 2 (3) (3) 3(3) 9(3) 4f     27 27 27 4 23      
  • 32.
    32แบบฝึกเสริมทักษะแคลคูลัส ตัวอย่างที่ 2 ในกำรประมำณกำรปลูกมันสำปะหลังพบว่ำถ้ำขุดมันสำปะหลัง 100 กิโลกรัม จะขำยได้กิโลกรัมละ 1.50 บำท ถ้ำยังไม่ขุดและรอต่อไป จะได้มันสำปะหลังเพิ่มขึ้นสัปดำห์ละ 10 กิโลกรัม แต่รำคำขำยจะลดลงไปสัปดำห์ละ 0.05 บำทต่อกิโลกรัม ดังนั้นควรขำยมันสำปะหลังเมื่อใด จึงจะมีรำยได้จำกกำรขำยมำกที่สุด วิธีทำ ให้ x เป็นสัปดำห์ที่จะขำย ( )f x เป็นรำยได้ในกำรขำยเมื่อสัปดำห์ที่ x ดังนั้น ( ) (100 10 )(1.5 0.05 )f x x x   2 150 10 0.5x x   ( ) 10f x x   ให้ ( ) 0f x  จะได้ 10 0x  10x  ตรวจสอบ ( )f x จะได้ ( ) 1 0f x    ให้ค่ำสูงสุดสัมพัทธ์ แสดงว่ำ ( )f x ให้ค่ำสูงสุดเมื่อ 10x  ดังนั้น ควรขำยมันสำปะหลังเมื่อสิ้นสัปดำห์ที่ 10 3.ควำมเร็วและควำมเร่ง หลักการ ถ้ำ ( )s f t เป็นสมกำรกำรเคลื่อนที่ 1. ควำมเร็วเฉลี่ยในช่วงเวลำ 1t ถึง 2t 2 1 2 1 ( ) ( )f t f t t t    2. ควำมเร็วขณะเวลำ t ( ) ds v f t st   3. ควำมเร่งขณะเวลำ t 2 2 ( ) dv d s a f t st dt    ตัวอย่างที่ 1 วัตถุชนิดหนึ่งเคลื่อนที่ในแนวเส้นตรง มีสมกำรเป็น 3 2 6 9 4s t t t    โดยที่ s เป็น ระยะทำงจำกจุดเริ่มต้นมีหน่วยเป็น เมตร เมื่อวัตถุเคลื่อนที่ไป t วินำที 1. จงหำว่ำวัตถุอยู่ห่ำงจำกจุดเริ่มต้นเป็นระยะทำงเท่ำใด เมื่อวัตถุเคลื่อนที่ไป 2 วินำที 2. จงหำระยะทำงและควำมเร่ง ในขณะที่ควำมเร็ว เป็น ศูนย์ วิธีทำ 1. จำก 3 2 6 9 4s t t t    เมื่อเวลำ t = 2 ; 3 2 (2) (2) 6(2) 9(2) 4s     8 24 18 4 6     
  • 33.
    33แบบฝึกเสริมทักษะแคลคูลัส ดังนั้น เมื่อวัตถุเคลื่อนที่ไป 2วินำที วัตถุจะอยู่ห่ำงจำกจุดเริ่มต้น 6 เมตร 2. จำก 3 2 6 9 4s t t t    2 ( ) 3 12 9 ds v t t t dt     ( ) 6 12 dv a t t dt    ควำมเร็วเป็นศูนย์เมื่อ ( ) 0 ds v t dt   จะได้ 2 3 12 9 0t t   2 4 3 0t t   ( 3)( 1) 0t t   1 , 3t   หำระยะทำงและควำมเร่ง เมื่อ t = 1 3 2 (1) (1) 6(1) 9(1) 4s     1 6 9 4    8 เมตร (1) 6(1) 12a   6 12  6  เมตร / (วินำที)2 เมื่อ t = 3 3 2 (1) (3) 6(3) 9(3) 4s     27 54 27 4    4 เมตร (3) 6(3) 12a   18 12  6 เมตร / (วินำที)2
  • 34.
    34แบบฝึกเสริมทักษะแคลคูลัส …ใบงานที่ 8… 1. ข้ำวเปลือกไหลออกจำกเครื่องกองบนพื้นเป็นรูปกรวยด้วยอัตรำ 10 ลูกบำศก์ฟุตต่อวินำที ถ้ำรัศมีของปำก กรวยเป็น 1.5 เท่ำของส่วนสูงเสมอ จงหำว่ำ สูงจะเพิ่มขึ้นเร็วเท่ำไร เมื่อกรวยนี้สูง 5 ฟุต 2. ชำยคนหนึ่งสูง 6 ฟุต เดินด้วยควำมเร็ว 5 ฟุตต่อวินำที เดินเข้ำหำเสำไฟฟ้ำในตอนกลำงคืน โดยที่เสำไฟฟ้ำมี หลอดไฟสูงจำกพื้น 16 ฟุต จงหำควำมเร็วของเงำในกำรเคลื่อนที่เมื่อชำยคนนั้นอยู่ห่ำงจำกเสำไฟฟ้ำ 10 ฟุต 3. จงหำจุดวิกฤต ค่ำสูงสุดสัมพัทธ์ ค่ำต่ำสุดสัมพัทธ์ ค่ำสูงสุดสัมบูรณ์ และค่ำต่ำสุดสัมบูรณ์ของฟังก์ชัน ต่อไปนี้ 3.1. f (x) = x2 - 2x + 3 บนช่วง [0,1] 3.2. f (x) = x - x2 สำหรับ x∈[0,1] 3.3. f (x) = x - x3 สำหรับ x∈[0,1] 3.4. f (x) = (x + x2 ) -1 สำหรับ x∈(0,1)