Science of
Living System
Soumya De
School of Bio Science
Email: somde@iitkgp.ac.in
Tel: 03222-260514
BS20001
http://www0.cs.ucl.ac.uk/staff/d.jones/t42morph.html
Books Followed:
• How Proteins Work (Mike Williamson)
• Introduction to protein structure (Carl
Branden & John Tooze)
• Biochemistry (Lubert Stryer)
Protein Structure, Function, Kinetics
and Energetics
Central Dogma of life
Polymer of nucleotides
DNA: Storage Medium
RNA: Transmission Medium
Polymer of nucleotides
CCUGAGCCAACUAUUGAUGAA
CCTGAGCCAACTATTGATGAA
PEPTIDE
Polymer of amino acids
Protein: Molecular Machines
Amino acids: Building blocks of Proteins
• Protein is a polymer of amino acids.
• There are 20 common amino acids.
• Amino acids have a common
chemical structure - A tetrahedral
sp3 carbon (Cα) with four different
functional groups:
1. Amino group
2. Carboxyl group
3. H-atom
4. Side chain (R) with distinct
chemical property
All amino acids in protein have the “L-form”
H-atom is coming out of the whiteboard. Looking down the H-Cα
bond from the H-atom, the L-form amino acid has CO, R and N
going in a clockwise direction. The L-form reads “CORN” in
clockwise direction.
Only imino acid
His can bind or release
protons near physiological pH
pKa ~ 6.4
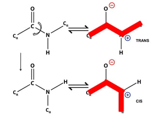
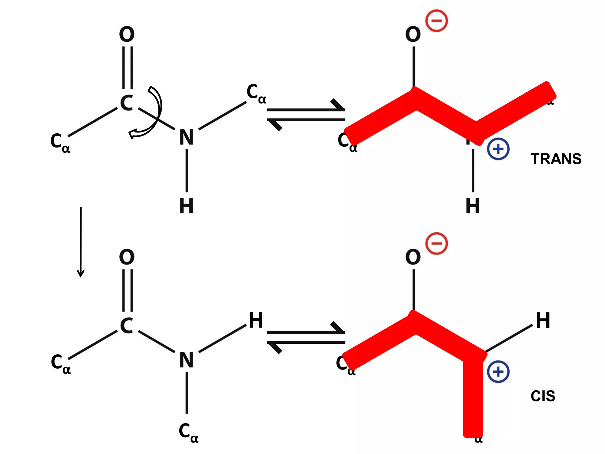
Proteins are polypeptide chains
Successive polypeptide bonds: main chain or backbone
Formation of the peptide bond
The amide plane: partial double bond
character of the peptide bond
Cα
Cα
Cα
Cα
H
Cα
Cα
Cα
Cα
H
TRANS
CIS
Torsion angles: Φ (phi) and Ψ (psi)
Visualizing a few torsion angles
Front Back
1
2 3
4
1
4 (behind 1)
2
3 (behind 2)
Visualizing a few torsion angles
Front Back1
2 3
4
1
4
2
3
0°
+45°
1
4
Front Back1
2 3
4 Atom 4 is above
the plane of the
board
4
Visualizing a few torsion angles
-45°
1
4
Front Back1
2 3
4 Atom 4 is below
the plane of the
board
-135°
1 Front Back1
2 3
Atom 4 is below
the plane of the
board
4
Ramachandran Plot
G. N. Ramachandran
Ψ(psi)
Φ (phi)
Φ Ψ
ω
Ramachandran Plot
Ψ(psi)
Φ (phi)
α-Helix
β-Strand
Glycine residues can adopt many
different conformations
φ and ψ torsion angles are the only
degrees of freedom for the backbone
1
2
3
Properties of Glycine
• Glycine with only a H-atom as side chain can
adopt a much wider range of Φ-Ψ conformations
than the other residues
• It thus plays a structurally important role; it allows
unusual main chain conformations in proteins
• This is the main reasons why a high proportion of
Glycine residues are conserved among
homologous protein sequences
Proteins come in various shapes and sizes
Polymer of nucleotides
DNA: Storage Medium
RNA: Transmission Medium
Polymer of nucleotides
CCUGAGCCAACUAUUGAUGAA
CCTGAGCCAACTATTGATGAA
PEPTIDE
Polymer of amino acids
Protein: Molecular Machines
Proteins come in various shapes and sizes
The protein folding problem
- Consider a small protein with 100 residues.
- Cyrus Levinthal calculated that, if each residue can assume
three different conformations, the total number of structures
would be 3100, which is equal to 5 × 1047. If it takes 10-13 s to
convert one structure into another, the total search time would
be 5 × 1047 × 10-13 s, which is equal to 5 × 1034 s, or 1027 years
i.e. longer than the age of the universe!
- Clearly, it would take much too long for even a small protein to
fold properly by randomly trying out all possible conformations.
- The enormous difference between calculated and actual folding
times is called Levinthal's paradox.
The 3D structure of a protein is encoded in its
primary sequence: Anfinsen’s Experiment
Thermodynamic hypothesis of
Protein Folding: The interactions
between the atoms in a protein control
the folding of the protein molecule into
a well-defined three-dimensional
structure.
In other words, the protein sequence
contains enough information required
for the proper folding of the protein
into its functional three-dimensional
structure.
Anfinsen’s Experiment
Anfinsen’s Experiment
If we understand HOW PROTEINS FOLD, we can predict their structure from
sequence! Then we can design proteins with novel functions.
Most important feature: The interior of proteins is hydrophobic!
The main driving force for folding water soluble globular protein
molecules is to pack hydrophobic side chains into the interior of
the molecule, thus creating a HYDROPHOBIC CORE and a
HYDROPHILLIC SURFACE.
Problem: How to create such a hydrophobic core from a linear
protein chain ???
- Hydrophobic effect
- Conformational entropy
- Electrostatics
- Hydrogen bonding
- van der Waals interaction
Forces that stabilize a protein structure
Hydrophobic core formation drives protein folding
Chaperons help in proper folding of proteins
The protein folding game - Foldit
https://fold.it/portal/
Hierarchy of Protein
Structure
Protein molecules are organized in a
structural hierarchy
• Alpha helices
• Beta Sheets
• Characterized by main chain NH and CO
groups participating in H-bonds.
• Formed when a number of consecutive
residues have the similar phi and psi angles.
Alpha Helices
Every 3.6 residues
make one turn.
The distance (pitch of
helix) between two
turns is 5.4 Å.
The C=O of residue ‘n’
is hydrogen bonded to
N-H of residue ‘n+4’.
Alpha helices are
formed when a stretch
of consecutive
residues have the phi-
psi torsion angle pair
approx -60° & -50°.
This is in the allowed
region of
Ramchandran plot.
The alpha-helix has a dipole moment
The dipole of a peptide unit
Numbers in boxes give the
approximate fractional charges
of the atoms of the peptide unit
The dipoles of
peptide units are
aligned along
the α helical axis
+
-
Good helix formers:
Ala , Glu, Leu , Met
Less Preferred:
Pro, Gly, Tyr, Ser
Some amino acids are preferred in α-helices
Helical Wheel Plot
N
C
Helical Wheel: Each
residue can be
plotted every
360/3.6=100° around
a circle or spiral
Hydrophobic
Hydrophilic
Charged
Totally buried Partially buried
Exposed
Alpha helix can be – Right-handed or Left
handed.
BUT, left handed helix is not possible for L-
amino acids due to close approach of the
side chains and CO group.
Right handed – most commonly observed
in proteins.
α-helix: from one continuous region; β-sheet from
several regions of the chain; Each β-strand,
typically 5-10 residues long
N
N
C
C
Antiparallel β-sheet: HBs perpendicular to strands, narrowly
spaced bond pairs alternated with widely spaced pairs
β-pleated sheet: ‘pleated’ because
side chains point up and down
alternatively
Parallel β-sheet
N
N
C
C
Mixed β-sheet
Loop regions mostly occur at the surface
of protein molecules
Polypeptide chains fold into several domains
•Fundamental unit of tertiary
structure – DOMAIN
•Domain: polypeptide chain or a
part of polypeptide chain that can
independently fold into a stable
tertiary structure
•Domains are also units of
function
Quaternary structure
Proteins containing more than one polypeptide chain exhibit a fourth level of
structural organization. Each polypeptide chain in such a protein is called a
subunit. Quaternary structure refers to the spatial arrangement of subunits
and the nature of their interactions.
The simplest sort of quaternary structure is a dimer, consisting of two
identical subunits.
Qaternary structure (higher order)
Complex Quaternary Structure. The
coat of rhinovirus comprises 60 copies
of each subunits
The α2β2 tetramer of human
haemoglobin. The structure of the two
identical α subunits (red) is similar to
but not identical with that of the two β
subunits (yellow).
Protein structures can be divided into three
main classes
• α Domain structures – core is exclusively built from
α helices
• β Domain structures – core comprises of antiparallel
β sheets, usually two β sheets packed against each
other
• α/β Domain structures – made from combinations
of β-α-β motifs that form a predominantly parallel β
sheets surrounded by α helices
Human plasma retinol
binding protein.
Retinol molecule
vitamin A bound inside
the barrel
Triosephosphate
isomerase
Proteins
Proteins
Proteins
Proteins

Proteins

  • 1.
    Science of Living System SoumyaDe School of Bio Science Email: somde@iitkgp.ac.in Tel: 03222-260514 BS20001 http://www0.cs.ucl.ac.uk/staff/d.jones/t42morph.html
  • 2.
    Books Followed: • HowProteins Work (Mike Williamson) • Introduction to protein structure (Carl Branden & John Tooze) • Biochemistry (Lubert Stryer) Protein Structure, Function, Kinetics and Energetics
  • 3.
    Central Dogma oflife Polymer of nucleotides DNA: Storage Medium RNA: Transmission Medium Polymer of nucleotides CCUGAGCCAACUAUUGAUGAA CCTGAGCCAACTATTGATGAA PEPTIDE Polymer of amino acids Protein: Molecular Machines
  • 4.
    Amino acids: Buildingblocks of Proteins • Protein is a polymer of amino acids. • There are 20 common amino acids. • Amino acids have a common chemical structure - A tetrahedral sp3 carbon (Cα) with four different functional groups: 1. Amino group 2. Carboxyl group 3. H-atom 4. Side chain (R) with distinct chemical property
  • 5.
    All amino acidsin protein have the “L-form” H-atom is coming out of the whiteboard. Looking down the H-Cα bond from the H-atom, the L-form amino acid has CO, R and N going in a clockwise direction. The L-form reads “CORN” in clockwise direction.
  • 8.
  • 11.
    His can bindor release protons near physiological pH pKa ~ 6.4
  • 12.
    Proteins are polypeptidechains Successive polypeptide bonds: main chain or backbone
  • 13.
    Formation of thepeptide bond
  • 14.
    The amide plane:partial double bond character of the peptide bond
  • 15.
  • 17.
    Torsion angles: Φ(phi) and Ψ (psi)
  • 18.
    Visualizing a fewtorsion angles Front Back 1 2 3 4 1 4 (behind 1) 2 3 (behind 2)
  • 19.
    Visualizing a fewtorsion angles Front Back1 2 3 4 1 4 2 3 0° +45° 1 4 Front Back1 2 3 4 Atom 4 is above the plane of the board
  • 20.
    4 Visualizing a fewtorsion angles -45° 1 4 Front Back1 2 3 4 Atom 4 is below the plane of the board -135° 1 Front Back1 2 3 Atom 4 is below the plane of the board 4
  • 21.
    Ramachandran Plot G. N.Ramachandran Ψ(psi) Φ (phi) Φ Ψ ω
  • 22.
  • 23.
    Glycine residues canadopt many different conformations
  • 24.
    φ and ψtorsion angles are the only degrees of freedom for the backbone 1 2 3
  • 25.
    Properties of Glycine •Glycine with only a H-atom as side chain can adopt a much wider range of Φ-Ψ conformations than the other residues • It thus plays a structurally important role; it allows unusual main chain conformations in proteins • This is the main reasons why a high proportion of Glycine residues are conserved among homologous protein sequences
  • 26.
    Proteins come invarious shapes and sizes Polymer of nucleotides DNA: Storage Medium RNA: Transmission Medium Polymer of nucleotides CCUGAGCCAACUAUUGAUGAA CCTGAGCCAACTATTGATGAA PEPTIDE Polymer of amino acids Protein: Molecular Machines
  • 27.
    Proteins come invarious shapes and sizes
  • 28.
    The protein foldingproblem - Consider a small protein with 100 residues. - Cyrus Levinthal calculated that, if each residue can assume three different conformations, the total number of structures would be 3100, which is equal to 5 × 1047. If it takes 10-13 s to convert one structure into another, the total search time would be 5 × 1047 × 10-13 s, which is equal to 5 × 1034 s, or 1027 years i.e. longer than the age of the universe! - Clearly, it would take much too long for even a small protein to fold properly by randomly trying out all possible conformations. - The enormous difference between calculated and actual folding times is called Levinthal's paradox.
  • 29.
    The 3D structureof a protein is encoded in its primary sequence: Anfinsen’s Experiment Thermodynamic hypothesis of Protein Folding: The interactions between the atoms in a protein control the folding of the protein molecule into a well-defined three-dimensional structure. In other words, the protein sequence contains enough information required for the proper folding of the protein into its functional three-dimensional structure.
  • 30.
  • 31.
    Anfinsen’s Experiment If weunderstand HOW PROTEINS FOLD, we can predict their structure from sequence! Then we can design proteins with novel functions.
  • 32.
    Most important feature:The interior of proteins is hydrophobic! The main driving force for folding water soluble globular protein molecules is to pack hydrophobic side chains into the interior of the molecule, thus creating a HYDROPHOBIC CORE and a HYDROPHILLIC SURFACE. Problem: How to create such a hydrophobic core from a linear protein chain ??? - Hydrophobic effect - Conformational entropy - Electrostatics - Hydrogen bonding - van der Waals interaction Forces that stabilize a protein structure
  • 33.
    Hydrophobic core formationdrives protein folding
  • 34.
    Chaperons help inproper folding of proteins
  • 36.
    The protein foldinggame - Foldit https://fold.it/portal/
  • 37.
  • 38.
    Protein molecules areorganized in a structural hierarchy
  • 39.
    • Alpha helices •Beta Sheets • Characterized by main chain NH and CO groups participating in H-bonds. • Formed when a number of consecutive residues have the similar phi and psi angles.
  • 40.
    Alpha Helices Every 3.6residues make one turn. The distance (pitch of helix) between two turns is 5.4 Å. The C=O of residue ‘n’ is hydrogen bonded to N-H of residue ‘n+4’. Alpha helices are formed when a stretch of consecutive residues have the phi- psi torsion angle pair approx -60° & -50°. This is in the allowed region of Ramchandran plot.
  • 41.
    The alpha-helix hasa dipole moment The dipole of a peptide unit Numbers in boxes give the approximate fractional charges of the atoms of the peptide unit The dipoles of peptide units are aligned along the α helical axis + -
  • 42.
    Good helix formers: Ala, Glu, Leu , Met Less Preferred: Pro, Gly, Tyr, Ser Some amino acids are preferred in α-helices
  • 43.
  • 44.
    Helical Wheel: Each residuecan be plotted every 360/3.6=100° around a circle or spiral Hydrophobic Hydrophilic Charged Totally buried Partially buried Exposed
  • 45.
    Alpha helix canbe – Right-handed or Left handed. BUT, left handed helix is not possible for L- amino acids due to close approach of the side chains and CO group. Right handed – most commonly observed in proteins.
  • 46.
    α-helix: from onecontinuous region; β-sheet from several regions of the chain; Each β-strand, typically 5-10 residues long
  • 47.
    N N C C Antiparallel β-sheet: HBsperpendicular to strands, narrowly spaced bond pairs alternated with widely spaced pairs β-pleated sheet: ‘pleated’ because side chains point up and down alternatively
  • 48.
  • 49.
  • 51.
    Loop regions mostlyoccur at the surface of protein molecules
  • 52.
    Polypeptide chains foldinto several domains •Fundamental unit of tertiary structure – DOMAIN •Domain: polypeptide chain or a part of polypeptide chain that can independently fold into a stable tertiary structure •Domains are also units of function
  • 53.
    Quaternary structure Proteins containingmore than one polypeptide chain exhibit a fourth level of structural organization. Each polypeptide chain in such a protein is called a subunit. Quaternary structure refers to the spatial arrangement of subunits and the nature of their interactions. The simplest sort of quaternary structure is a dimer, consisting of two identical subunits.
  • 54.
    Qaternary structure (higherorder) Complex Quaternary Structure. The coat of rhinovirus comprises 60 copies of each subunits The α2β2 tetramer of human haemoglobin. The structure of the two identical α subunits (red) is similar to but not identical with that of the two β subunits (yellow).
  • 55.
    Protein structures canbe divided into three main classes • α Domain structures – core is exclusively built from α helices • β Domain structures – core comprises of antiparallel β sheets, usually two β sheets packed against each other • α/β Domain structures – made from combinations of β-α-β motifs that form a predominantly parallel β sheets surrounded by α helices
  • 56.
    Human plasma retinol bindingprotein. Retinol molecule vitamin A bound inside the barrel Triosephosphate isomerase