Presented by:
Anni Priyanka
Microwave and
Radar
Engineering
Objectives:
 R,L,C, G parameters of a co-axial & 2-wire transmission line
 Field solutions for TE and TM modes for a waveguide
 Design and analysis of rectangular waveguide to support TE10
mode
 Design and analysis of circular waveguide to support TE11
mode
Learning Outcome:
 Why transmission line uses lumped element model
 To calculate the TE wave equations in a rectangular wave
 To get the dominant mode in TE mode in a rectangular
waveguide
Novelty in pedagogy :
 The videos of concerned topic is presented
 Derivations are explained
Transmission Line :
L= current in conductor and magnetic flux link in current path
G= dielectric loss in the material between the conductors
C=time varying electric field between the 2 conductors
R=the finite conductivity of the individual conductors
Fig: Lumped model of Transmission Line
R,L,C, G parameters of a co-axial & 2-wire transmission line
Transmission line Vs. Waveguide :
Transmission Line Waveguide
It consists of two or more
conductors may support TEM waves
It consists of a single conductor,
support TE and/or TM waves
characterized by the lack of
longitudinal field components
It is characterized by the presence of
longitudinal magnetic or electric
field components
high power-handling capability, low
loss, but bulky and expensive
high bandwidth, convenient for test
applications, difficult medium in
which to fabricate complex
microwave components
General Solutions for TEM, TE and TM waves:
 General solutions to Maxwell’s equations for the specific cases of TEM, TE and
TM wave propagation in cylindrical transmission lines or waveguides.
 Uniform in z direction and infinitely long
Fig: (a)2-conductor transmission line (b)closed waveguide
E j H
H j E


  
 
Assume source free,
Proceeding from Maxwell curl equations,
,
,
z
y x
z
x y
y x
z
E
j E j H
y
E
j E j H
x
E E
j H
x y
 
 


  


   

 
  
 
,
,
z
y x
z
x y
y x
z
H
j H j E
y
H
j H j E
x
H H
j E
x y
 
 


 


  

 
  
 
By Solving these equations we will get:
2
2
z z
x
c
z z
y
c
j E H
H
k y x
j E H
H
k x y
 
 
  
  
  
   
  
  
2
2
z z
x
c
z z
y
c
j E H
E
k x y
j E H
E
k y x
 
 
   
  
  
  
   
  
As, 2 2 2
ck k  
Where, k is the wavenumber of the material filling with the
transmission line or waveguide region.
2 /k     
where kc: cutoff wavenumber,
For TE Waves:
Characterized by Ez = 0, Hz ≠ 0.
2
2
z
x
c
z
y
c
j H
H
k x
j H
H
k y


 


 


2
2
z
x
c
z
y
c
j H
E
k y
j H
E
k x


 





yx
TE
y x
EE k
Z
H H
 
 

   Impedance:
For TM Waves:
Characterized by Hz = 0, Ez ≠ 0
2
2
z
x
c
z
y
c
j E
H
k y
j E
H
k x





 


2
2
z
x
c
z
y
c
j E
E
k x
j E
E
k x


 


 


yx
TM
y x
EE
Z
H H k
 


   Impedance:
Attenuation due to Dielectric Loss:
• Using the complex dielectric constant
• In practice, most dielectric materials have a very small loss
(tan δ <<1). Using the Taylor expansion,
for x << a
2 2 2
2 2 2 2
0 0 (1 tan )
c
d c c r
k k
j k k k j

       
 
      
1/22 2 2
2 2 1 1
1 1
2 2
x x x
a x a a a
a a a
      
                    
;
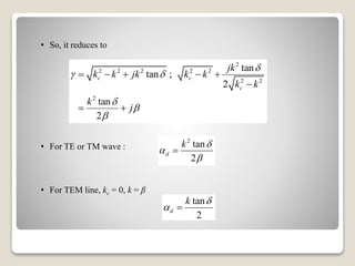
• So, it reduces to
• For TE or TM wave :
• For TEM line, kc = 0, k = β
2
2 2 2 2 2
2 2
2
tan
tan
2
tan
2
c c
c
jk
k k jk k k
k k
k
j

 



    

 
;
2
tan
2
d
k 



tan
2
d
k 
 
Design and analysis of rectangular waveguide to support TE10 mode:
Fig: Geometry of rectangular waveguide
TE Modes
• Ez = 0
• Hz must satisfy Helmholtz equation :
2 2
2
2 2
( , ) 0c zk h x y
x y
  
   
  
( , ) ( ) ( )zh x y X x Y y
2 2
2
2 2
1 1
0c
d X d Y
k
X dx Y dy
  
Can be solved by separation and variables method by letting
Substituting in Helmholtz equation
 We define separation constant kx and ky such that
2 2
2 2 2 2 2
2 2
0, 0,x y x y c
d X d Y
k X k Y k k k
dx dy
     
( , ) ( cos sin )( cos sin )z x x y yh x y A k x B k x C k y B k y  
( , ) 0 at 0,
( , ) 0 at 0,
x
y
e x y y b
e x y x a
 
 
• Boundary conditions
• The general solution for hz can then be written as
Using these equations
2
2
( cos sin )( sin cos )
( sin cos )( cos sin )
x y x x y y
c
y x x x y y
c
j
e k A k x B k x C k y D k y
k
j
e k A k x B k x C k y D k y
k



   

   
( , , ) cos cos j z
z mn
m x n y
H x y z A e
a b
  

We get D = 0, and ky = nπ/b,
B = 0 , and kx = mπ/a
 The transverse field components of TEmn mode
( , , ) cos cos j z
z mn
m x n y
H x y z A e
a b
  

2
2
2
2
cos sin ,
sin cos ,
sin cos ,
cos sin .
j z
x mn
c
j z
y mn
c
j z
x mn
c
j z
y mn
c
j n m x n y
E A e
k b a b
j m m x n y
E A e
k a a b
j m m x n y
H A e
k a a b
j n m x n y
H A e
k b a b




   
   
   
   









• The final solution of Hz:
2 2
2 2 2
c
m n
k k k
a b
 

   
       
   
2 2
c
m n
k k
a b
    
     
   
is real when
2 2
1
2 2
c
cmn
k m n
f
a b
 
   
   
     
   
The mode with the lowest cutoff frequency is called the
dominant mode;
10
1
2
cf
a 

 For f < fc, all field components will decay exponentially 
cutoff or evanescent modes
 The wave impedance
 The guide wavelength (λ: the wavelength of a plane wave in
the filling medium)
yx
TE
y x
EE k
Z
H H



  
2 2
g
k
 
 

   1/pv
k
 


  
 For the TE10 mode
10
10
10
cos ,
sin ,
sin ,
0.
j z
z
j z
y
j z
x
x z y
x
H A e
a
j a x
E A e
a
j a x
H A e
a
E E H




 

 








  
2 2
/ , ( / )ck a k a    
 The power flow down the guide for the TE10 mode:
 Attenuation can occur because of dielectric loss or
conductor loss.
0 0 0 0
2 2
210
2 0 0
3 2
10
2
1 1
ˆRe Re
2 2
Re( ) | |
sin
2
Re( ) | |
4
a b a b
o y x
x y x y
a b
x y
P E H zdydx E H dydx
a A x
dydx
a
a b A
  

 

 
   
 
   


   
 
2
| |
2
s
l s
C
R
P J dl 
 The attenuation due to conductor loss for TE10 mode
2 2 3
3 2
10
2 3 2
3
2
2 2 2
(2 ) /
l s
c
s
P R a a
b
P a b
R
b a k Np m
a b k
 

  

 
 
    
 
 
Cylindrical Co-ordinate systemRectangular Co-ordinate
Design and analysis of circular waveguide to support TE11 mode
Geometry of a circular waveguide
Bessel equations:
Bessel functions are solutions to the differential equation,
where k2 is real and n is an integer. The two independent solutions to this
equation are called ordinary Bessel functions of the first and second kind, written
as Jn(kρ) and Yn(kρ), and so the general solution to (C.1) is
Where,
2 2
2 2
,
,
z z z z
c c
z z z z
c c
j E H j E H
E E
k k
j E H j E H
H H
k k
 
 
 
 
     
 
 
     
        
      
      
       
      
      
2
2 2 2
,
2 2
nm c nm
nm c cnm
p k p
k k k f
a a

   
  
      
 
General Solutions:
For TE11 mode: dominant mode
 
 
 
 
2
2
cos sin ( )
sin cos ( )
sin cos ( )
cos sin ( )
j z
n c
c
j z
n c
c
j z
n c
c
j z
n c
c
j n
E A n B n J k e
k
j
E A n B n J k e
k
j
H A n B n J k e
k
j n
H A n B n J k e
k









  


  

  

  






 
 

 

 
The wave impedance
TE
E E k
Z
H H
 
 



  
Consider the dominant TE11 mode with an excitation such that B = 0
1
1 12
1 12
sin ( ) , 0
cos ( ) , sin ( )
sin ( ) , cos ( )
j z
z c z
j z j z
c c
c c
j z j z
c c
c c
H A J k e E
j n j
E A J k e E A n J k e
k k
j j n
H A J k e H A n J k e
k k

 
 
 
 
 
 
   

 
   


 
 
 

 
 
 
The power flow down the guide
2
0 0
2
0 0
2
2
2 2 2 2 2
1 14 20 0
2
2 2 2
1 14 20
1
ˆRe
2
1
Re [ ]
2
| | Re( ) 1
cos ( ) sin ( )
2
| | Re( ) 1
( ) ( )
2
| |
a
o
a
a
c c c
c
a
c c c
c
P E H z d d
E H E H dydx d d
A
J k k J k d d
k
A
J k k J k d
k
A

 

    

 

  
  
 
      

 
   



 
 
 
 

  
 
 
  
 
 
  
 

 
 
 

2
2 2
11 14
Re( )
( 1) ( )
4
c
c
p J k a
k

 
4 2 2 2
2
2 2
11 11
( )
( )
2 ( 1) 1
l s c s
c c
o
P R k a R k
k
P k a p k a p


   

   
  
Attenuation constant:
Conclusion:
Derivation of equations for TE and TM modes in waveguides. And,
analysis of rectangular and cylindrical waveguide supporting the
dominant modes is done.
Review Questions:
 What is the use of waveguide?
 What are TM, TE and TEM waves?
 Why TEM mode cannot exist in the rectangular wave guide?
 Why is a dominant mode needed and how is it calculated?
 What are the uses of waveguide?
Semester Questions:
 Which mode in rectangular waveguide is dominant mode and why?
 Write the wave equations for a circular waveguide in a cylindrical coordinate
system?
 Why TE00 cannot exist in a rectangular waveguide?
 Write the field expression for TE10 mode of rectangular waveguide?
 Write the boundary conditions for the rectangular wave guide and circular wave
guide?
 Find out expression for power transmitted in a rectangular wave guide. Hence find
out expression of power delivered by TE10 mode?
 Find out expression for attenuation factor due to dielectric and conductivity in a
rectangular wave guide?
 Explain why TEM mode cannot exist in the rectangular wave guide?
References:
 David M. Pozar, "Microwave Engineering", Third Edition
Mcrowave and Radar engineering

Mcrowave and Radar engineering

  • 1.
  • 2.
    Objectives:  R,L,C, Gparameters of a co-axial & 2-wire transmission line  Field solutions for TE and TM modes for a waveguide  Design and analysis of rectangular waveguide to support TE10 mode  Design and analysis of circular waveguide to support TE11 mode
  • 3.
    Learning Outcome:  Whytransmission line uses lumped element model  To calculate the TE wave equations in a rectangular wave  To get the dominant mode in TE mode in a rectangular waveguide
  • 4.
    Novelty in pedagogy:  The videos of concerned topic is presented  Derivations are explained
  • 5.
    Transmission Line : L=current in conductor and magnetic flux link in current path G= dielectric loss in the material between the conductors C=time varying electric field between the 2 conductors R=the finite conductivity of the individual conductors Fig: Lumped model of Transmission Line
  • 6.
    R,L,C, G parametersof a co-axial & 2-wire transmission line
  • 7.
    Transmission line Vs.Waveguide : Transmission Line Waveguide It consists of two or more conductors may support TEM waves It consists of a single conductor, support TE and/or TM waves characterized by the lack of longitudinal field components It is characterized by the presence of longitudinal magnetic or electric field components high power-handling capability, low loss, but bulky and expensive high bandwidth, convenient for test applications, difficult medium in which to fabricate complex microwave components
  • 8.
    General Solutions forTEM, TE and TM waves:  General solutions to Maxwell’s equations for the specific cases of TEM, TE and TM wave propagation in cylindrical transmission lines or waveguides.  Uniform in z direction and infinitely long Fig: (a)2-conductor transmission line (b)closed waveguide
  • 9.
    E j H Hj E        Assume source free, Proceeding from Maxwell curl equations, , , z y x z x y y x z E j E j H y E j E j H x E E j H x y                        , , z y x z x y y x z H j H j E y H j H j E x H H j E x y                     
  • 10.
    By Solving theseequations we will get: 2 2 z z x c z z y c j E H H k y x j E H H k x y                        2 2 z z x c z z y c j E H E k x y j E H E k y x                         As, 2 2 2 ck k   Where, k is the wavenumber of the material filling with the transmission line or waveguide region. 2 /k      where kc: cutoff wavenumber,
  • 11.
    For TE Waves: Characterizedby Ez = 0, Hz ≠ 0. 2 2 z x c z y c j H H k x j H H k y           2 2 z x c z y c j H E k y j H E k x          yx TE y x EE k Z H H         Impedance:
  • 12.
    For TM Waves: Characterizedby Hz = 0, Ez ≠ 0 2 2 z x c z y c j E H k y j E H k x          2 2 z x c z y c j E E k x j E E k x           yx TM y x EE Z H H k        Impedance:
  • 13.
    Attenuation due toDielectric Loss: • Using the complex dielectric constant • In practice, most dielectric materials have a very small loss (tan δ <<1). Using the Taylor expansion, for x << a 2 2 2 2 2 2 2 0 0 (1 tan ) c d c c r k k j k k k j                   1/22 2 2 2 2 1 1 1 1 2 2 x x x a x a a a a a a                             ;
  • 14.
    • So, itreduces to • For TE or TM wave : • For TEM line, kc = 0, k = β 2 2 2 2 2 2 2 2 2 tan tan 2 tan 2 c c c jk k k jk k k k k k j               ; 2 tan 2 d k     tan 2 d k   
  • 15.
    Design and analysisof rectangular waveguide to support TE10 mode: Fig: Geometry of rectangular waveguide
  • 16.
    TE Modes • Ez= 0 • Hz must satisfy Helmholtz equation : 2 2 2 2 2 ( , ) 0c zk h x y x y           ( , ) ( ) ( )zh x y X x Y y 2 2 2 2 2 1 1 0c d X d Y k X dx Y dy    Can be solved by separation and variables method by letting Substituting in Helmholtz equation
  • 17.
     We defineseparation constant kx and ky such that 2 2 2 2 2 2 2 2 2 0, 0,x y x y c d X d Y k X k Y k k k dx dy       ( , ) ( cos sin )( cos sin )z x x y yh x y A k x B k x C k y B k y   ( , ) 0 at 0, ( , ) 0 at 0, x y e x y y b e x y x a     • Boundary conditions • The general solution for hz can then be written as
  • 18.
    Using these equations 2 2 (cos sin )( sin cos ) ( sin cos )( cos sin ) x y x x y y c y x x x y y c j e k A k x B k x C k y D k y k j e k A k x B k x C k y D k y k             ( , , ) cos cos j z z mn m x n y H x y z A e a b     We get D = 0, and ky = nπ/b, B = 0 , and kx = mπ/a
  • 19.
     The transversefield components of TEmn mode ( , , ) cos cos j z z mn m x n y H x y z A e a b     2 2 2 2 cos sin , sin cos , sin cos , cos sin . j z x mn c j z y mn c j z x mn c j z y mn c j n m x n y E A e k b a b j m m x n y E A e k a a b j m m x n y H A e k a a b j n m x n y H A e k b a b                              • The final solution of Hz:
  • 20.
    2 2 2 22 c m n k k k a b                    2 2 c m n k k a b                is real when 2 2 1 2 2 c cmn k m n f a b                     The mode with the lowest cutoff frequency is called the dominant mode; 10 1 2 cf a  
  • 21.
     For f< fc, all field components will decay exponentially  cutoff or evanescent modes  The wave impedance  The guide wavelength (λ: the wavelength of a plane wave in the filling medium) yx TE y x EE k Z H H       2 2 g k         1/pv k       
  • 22.
     For theTE10 mode 10 10 10 cos , sin , sin , 0. j z z j z y j z x x z y x H A e a j a x E A e a j a x H A e a E E H                     2 2 / , ( / )ck a k a    
  • 23.
     The powerflow down the guide for the TE10 mode:  Attenuation can occur because of dielectric loss or conductor loss. 0 0 0 0 2 2 210 2 0 0 3 2 10 2 1 1 ˆRe Re 2 2 Re( ) | | sin 2 Re( ) | | 4 a b a b o y x x y x y a b x y P E H zdydx E H dydx a A x dydx a a b A                            2 | | 2 s l s C R P J dl 
  • 24.
     The attenuationdue to conductor loss for TE10 mode 2 2 3 3 2 10 2 3 2 3 2 2 2 2 (2 ) / l s c s P R a a b P a b R b a k Np m a b k                    
  • 25.
  • 26.
    Design and analysisof circular waveguide to support TE11 mode Geometry of a circular waveguide
  • 27.
    Bessel equations: Bessel functionsare solutions to the differential equation, where k2 is real and n is an integer. The two independent solutions to this equation are called ordinary Bessel functions of the first and second kind, written as Jn(kρ) and Yn(kρ), and so the general solution to (C.1) is Where,
  • 28.
    2 2 2 2 , , zz z z c c z z z z c c j E H j E H E E k k j E H j E H H H k k                                                                      2 2 2 2 , 2 2 nm c nm nm c cnm p k p k k k f a a                  General Solutions:
  • 29.
    For TE11 mode:dominant mode         2 2 cos sin ( ) sin cos ( ) sin cos ( ) cos sin ( ) j z n c c j z n c c j z n c c j z n c c j n E A n B n J k e k j E A n B n J k e k j H A n B n J k e k j n H A n B n J k e k                                         
  • 30.
    The wave impedance TE EE k Z H H           Consider the dominant TE11 mode with an excitation such that B = 0 1 1 12 1 12 sin ( ) , 0 cos ( ) , sin ( ) sin ( ) , cos ( ) j z z c z j z j z c c c c j z j z c c c c H A J k e E j n j E A J k e E A n J k e k k j j n H A J k e H A n J k e k k                                       
  • 31.
    The power flowdown the guide 2 0 0 2 0 0 2 2 2 2 2 2 2 1 14 20 0 2 2 2 2 1 14 20 1 ˆRe 2 1 Re [ ] 2 | | Re( ) 1 cos ( ) sin ( ) 2 | | Re( ) 1 ( ) ( ) 2 | | a o a a c c c c a c c c c P E H z d d E H E H dydx d d A J k k J k d d k A J k k J k d k A                                                                           2 2 2 11 14 Re( ) ( 1) ( ) 4 c c p J k a k   
  • 32.
    4 2 22 2 2 2 11 11 ( ) ( ) 2 ( 1) 1 l s c s c c o P R k a R k k P k a p k a p               Attenuation constant:
  • 33.
    Conclusion: Derivation of equationsfor TE and TM modes in waveguides. And, analysis of rectangular and cylindrical waveguide supporting the dominant modes is done.
  • 34.
    Review Questions:  Whatis the use of waveguide?  What are TM, TE and TEM waves?  Why TEM mode cannot exist in the rectangular wave guide?  Why is a dominant mode needed and how is it calculated?  What are the uses of waveguide?
  • 35.
    Semester Questions:  Whichmode in rectangular waveguide is dominant mode and why?  Write the wave equations for a circular waveguide in a cylindrical coordinate system?  Why TE00 cannot exist in a rectangular waveguide?  Write the field expression for TE10 mode of rectangular waveguide?  Write the boundary conditions for the rectangular wave guide and circular wave guide?  Find out expression for power transmitted in a rectangular wave guide. Hence find out expression of power delivered by TE10 mode?  Find out expression for attenuation factor due to dielectric and conductivity in a rectangular wave guide?  Explain why TEM mode cannot exist in the rectangular wave guide?
  • 36.
    References:  David M.Pozar, "Microwave Engineering", Third Edition