METHODS OF DETERMINING
REACTION MECHANISMS
Andria D’Souza
What is a mechanism of a reaction?
What is a mechanism of a reaction?
• Step by step description of the reaction
• Information about
a. position
b. shifting and movement
• Detailed reaction mechanism cannot be
elucidated
• Only PROPOSED mechanism that is put
forward
i. energetically reasonable
ii. account for the experimental observations
iii. in agreement with what is known about
analogous reactions
Methods adopted for determining the
mechanism of a reaction:
• Isotopic labelling technique
• Stereo chemical evidences
• Cross over experiments
• Identification of product
• Identification of reaction intermediate
ISOTOPIC LABELLING TECHNIQUE
• In this method a single atom of any chemical
compound is replaced by its isotopes.
• 3H Tritium, 2H Deuterium, 13C, 14C, 15N and 18O
are the most common isotopes which are
frequently used.
STEREOCHEMICAL EVIDENCES
• stereochemistry of the reactant and the
product.
• optically active substrate  optically inactive
product  RACEMIC MIXTURE SN
1
mechanism
• optically active substrate  optically inactive
product an inverted configuration :
WALDEN INVERSIONSN
2 mechanism.
CROSSOVER EXPERIMENTS
• To study mechanism of molecular
rearrangement reactions
• INTRAMOLECULAR rearrangement or
INTERMOLECULAR rearrangement
• two non identical reactants differ by one
characteristic group
IDENTIFICATION OF REACTION
INTERMEDIATES
• Reaction intermediates are an important class
of chemical species, which are quite helpful in
understanding the mechanism of a chemical
reaction.
1. Isolation
2. Detection
3. Trapping
ISOLATION:
• These species by nature are unstable under
normal reaction conditions, but they can be
isolated under favourable conditions either in
pure state or in their form of solution.
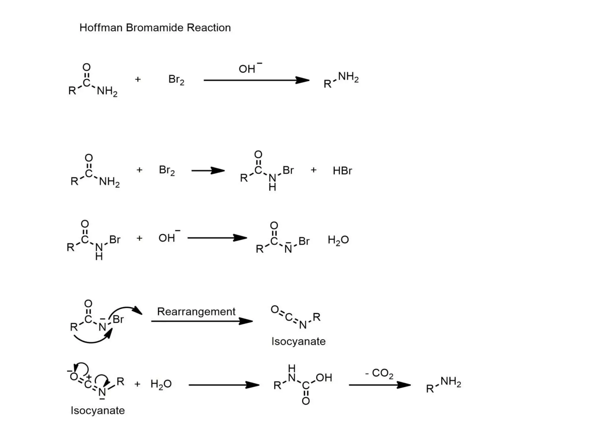
• The Hoffmann rearrangement
 amide amine
 formation of isocyanate intermediate
 isolation of isocyanate intermediate
DETECTION:
• Stable intermediates long lifetime  high
concentration  detected by spectroscopic
methods.
• FUN FACT: George Olah of California
University got the noble prize in 1994 for his
work on cation. He was able to prepare a
number of stable, long lived carbocations and
recorder their 13C NMR spectra.
TRAPPING:
• Intermediates that are not capable of being
isolated, as they are not quite stable or are
quite low in concentration, are characterised
by trapping them with a suitable reagent.
• These reagents form products with the
intermediate which are particularly
characteristic of the species.
• Base promoted solvolysis of chloroform when
carried out in the presence of cyclohexene,
the dichlorocarebene is trapped and an
adduct, cyclopropane derivative is obtained
IDENTIFICATION OF PRODUCTS
• basic framework: reactants, intermediates,
products
• elucidation of the reaction mechanism
• identifying intermediates  very short
lifetime low concentration
• UV, IR, ESR, 1H NMR, 13C NMR and Mass
• The reaction of o-chlorotoulene with a strong
base not only gave the expected m-cresol but
also, the unexpected o-cresol. The formation
of both the products can only be explained by
the formation of benzyne intermediate.
REFERENCES:
• Advanced Organic Chemistry by Dr. Jagdamba
and Dr. Yadav
• Conceptual Organic Chemistry by Arun Seti
Methods of Determining Reaction Mechanisms - Andria D'Souza

Methods of Determining Reaction Mechanisms - Andria D'Souza

  • 1.
    METHODS OF DETERMINING REACTIONMECHANISMS Andria D’Souza
  • 2.
    What is amechanism of a reaction?
  • 3.
    What is amechanism of a reaction? • Step by step description of the reaction • Information about a. position b. shifting and movement
  • 4.
    • Detailed reactionmechanism cannot be elucidated • Only PROPOSED mechanism that is put forward i. energetically reasonable ii. account for the experimental observations iii. in agreement with what is known about analogous reactions
  • 6.
    Methods adopted fordetermining the mechanism of a reaction: • Isotopic labelling technique • Stereo chemical evidences • Cross over experiments • Identification of product • Identification of reaction intermediate
  • 7.
    ISOTOPIC LABELLING TECHNIQUE •In this method a single atom of any chemical compound is replaced by its isotopes. • 3H Tritium, 2H Deuterium, 13C, 14C, 15N and 18O are the most common isotopes which are frequently used.
  • 10.
    STEREOCHEMICAL EVIDENCES • stereochemistryof the reactant and the product. • optically active substrate  optically inactive product  RACEMIC MIXTURE SN 1 mechanism • optically active substrate  optically inactive product an inverted configuration : WALDEN INVERSIONSN 2 mechanism.
  • 13.
    CROSSOVER EXPERIMENTS • Tostudy mechanism of molecular rearrangement reactions • INTRAMOLECULAR rearrangement or INTERMOLECULAR rearrangement • two non identical reactants differ by one characteristic group
  • 16.
    IDENTIFICATION OF REACTION INTERMEDIATES •Reaction intermediates are an important class of chemical species, which are quite helpful in understanding the mechanism of a chemical reaction. 1. Isolation 2. Detection 3. Trapping
  • 17.
    ISOLATION: • These speciesby nature are unstable under normal reaction conditions, but they can be isolated under favourable conditions either in pure state or in their form of solution. • The Hoffmann rearrangement  amide amine  formation of isocyanate intermediate  isolation of isocyanate intermediate
  • 19.
    DETECTION: • Stable intermediateslong lifetime  high concentration  detected by spectroscopic methods. • FUN FACT: George Olah of California University got the noble prize in 1994 for his work on cation. He was able to prepare a number of stable, long lived carbocations and recorder their 13C NMR spectra.
  • 20.
    TRAPPING: • Intermediates thatare not capable of being isolated, as they are not quite stable or are quite low in concentration, are characterised by trapping them with a suitable reagent. • These reagents form products with the intermediate which are particularly characteristic of the species.
  • 21.
    • Base promotedsolvolysis of chloroform when carried out in the presence of cyclohexene, the dichlorocarebene is trapped and an adduct, cyclopropane derivative is obtained
  • 23.
    IDENTIFICATION OF PRODUCTS •basic framework: reactants, intermediates, products • elucidation of the reaction mechanism • identifying intermediates  very short lifetime low concentration • UV, IR, ESR, 1H NMR, 13C NMR and Mass
  • 24.
    • The reactionof o-chlorotoulene with a strong base not only gave the expected m-cresol but also, the unexpected o-cresol. The formation of both the products can only be explained by the formation of benzyne intermediate.
  • 25.
    REFERENCES: • Advanced OrganicChemistry by Dr. Jagdamba and Dr. Yadav • Conceptual Organic Chemistry by Arun Seti