By:- Vishal Kumar
Integral university
lucknow
Photochemical reaction
 Photochemical reactions: Some reactions do not take place in the
dark but take place only in the presence of light or some other
radiation. Such reactions are known as ‘photochemical reactions’.
 These reactions involve absorption of light, highly specific,
energy absorb depends on type of electronic transition..
 Some of these are initiated by the presence of a photosensitizer.
“Photochemical reaction a chemical reaction initiated
by the absorption of energy in the form of light. The consequence
of molecule absorbing light is the creation of transient state whose
chemical and physical properties differ greatly from the original
molecule”.
Definition and terms
Light -: electromagnetic field vibration
spreading in quanta
Photon -: the smallest amount of light carrying
energy
.
.
The distance and size scales of the electromagnetic spectrum
.
LIGHT
Organic
molecule
Sigma, pi,& non-
bonding e-
The energy of the radiation is nearly equal to or
greater than the energy difference between ground
state and excited state.
Orbital of lower
energy(G.S.)
Electronic
excitation
Orbital higher
energy (E.S.)
excited state or alternative excited
may take part in the chemical
reaction
Photochemical
Reactions
Primary process
Secondary process
S1 T1
S0 S0
S0
Intramolecular reactions
(rearrangement,
dissociation, etc.)
Intermolecular
(addition reaction)
Difference between photochemical and
thermochemical reactions
What Happens When Radiation
Hits a Molecule?
Absorbance and emission
Absorbtion/Absorbance :- An electron absorbs the
energy of a photon,and jumps from a lower into a higher
energy orbital.
Emission:-An electron jumps from a higher into a lower
orbital,and releases(emits) a photon of energy.
Jablonski energy diagram
Photiaddition reaction
 Photoaddition forming 1:1 adduct by the reaction of an
excited state of one molecule with ground state of
another.
 The molecule which is excited state is carbonyl
compound, quinine, aromatic compound, or alkene
molecule and the molecule which is in ground state is
commonly alkene.
 Majority of the Photoaddition reactions forming ring
product
Photocycloaddition reaction
Photo oxidation
 Oxidation under the influence of the light or
radiant energy.
 Formation of radicals that induces oxidation
of the material.
 Excited singlet or triplet states
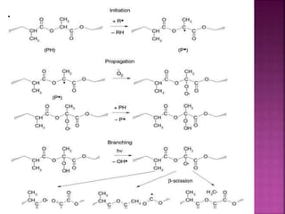
Steps in photo oxidation reaction
1. Initiation
2. Propagation
3. Branching
4. Termination
 .
Formation of polycyclic compound
.
Photo oxidation of cholesterol
 .
.
Photo oxidation of polymers
 Light is absorbed by a polymer- photochemical
reaction can occur as a result of activation of a
polymer macromolecule to its excited singlet
or triplet state.
 Chemical change that reduce the polymer’s
molecule weight.
.
Photo-fragmentation
 The process of breaking up of molecular ion into smaller or
daughter ions in the presence of light known as photo-
fragmentation.
GENERAL MODES OF FREGAMENTATION -:
 Simple cleavage
1.Homolytic
2.Heterolytic
3.Semiheterolytic
 Rearrangement reaction
1.Elimination reaction
2.Ortho reaction
3.Mc-lafferty rearrangement
1. Simple cleavage –:
Transfer of electron take place.
1.Homolytic cleavage– In homolytic cleavage the e-
are equally transferred to both atom and it forms
radical and cation.
2.Heterolytic cleavage -:
 Fragmentation by movement of two electron.
 In this type of cleavage both the electron of the
bond are take over by one of the atoms.
 The fragment are an even electron cation and a
radical with the positive charge residing on the
alkyl group.
3. Semiheterolytic
 In this one electron bond cleavage takes place
resulting in formation of radical and cation.
2. Rearrangement reaction
 It involve the cleavage of bonds and formation of new
bonds i.e. it requires changes to at least two bonds.
 So the produced ions are not structural units of
precursors.
 Generally rearrangement lead to loss of smaller
molecule.
1.Elimination reaction-:
 In this fragmentation hydrogen is obustracted by
hydroxyl group or halogen or acetate F.G. result
in the elimination of water or neutral molecule.
2.Ortho effect reaction -:
 In this case of sustituted aromatic compounds the
substitute and the carbon come in to proximity
has help in elimination of neutral molecule.
 This effect is called ortho effect.
3.Mc-lafferty rearrangement-:
 It involve the migration of gama hydrogen atom
followed by cleavage beta bond rearrangement
leads to the elimination of neutral molecule.
Mechanism
Fragmentation take place only at gamma hydrogen
Then this hydrogen is abstracted by oxygen of carbonyl
group of unsaturated compound
Carbonyl group is converted to hydroxyl group
Bond breakdown between alpha and beta carbon
resulting in liberation of 2e-s then rearrangement take
place to form a simple alkene.
Reference :-
 Principles of organic synthesis – R.O.C. Normann.
 Organic reation and mechanism – V.K ahluwalia.
 https://www.researchgate.net/figure/Plausible-
photodegradation-mechanisms-occurring-in-PLA-
Mechanism- a-photolysis_fig5_28972767
Photochemical reactions

Photochemical reactions

  • 1.
    By:- Vishal Kumar Integraluniversity lucknow
  • 2.
    Photochemical reaction  Photochemicalreactions: Some reactions do not take place in the dark but take place only in the presence of light or some other radiation. Such reactions are known as ‘photochemical reactions’.  These reactions involve absorption of light, highly specific, energy absorb depends on type of electronic transition..  Some of these are initiated by the presence of a photosensitizer. “Photochemical reaction a chemical reaction initiated by the absorption of energy in the form of light. The consequence of molecule absorbing light is the creation of transient state whose chemical and physical properties differ greatly from the original molecule”.
  • 3.
    Definition and terms Light-: electromagnetic field vibration spreading in quanta Photon -: the smallest amount of light carrying energy
  • 4.
  • 5.
  • 6.
    The distance andsize scales of the electromagnetic spectrum
  • 7.
  • 8.
    LIGHT Organic molecule Sigma, pi,& non- bondinge- The energy of the radiation is nearly equal to or greater than the energy difference between ground state and excited state. Orbital of lower energy(G.S.) Electronic excitation Orbital higher energy (E.S.) excited state or alternative excited may take part in the chemical reaction Photochemical Reactions Primary process Secondary process S1 T1 S0 S0 S0 Intramolecular reactions (rearrangement, dissociation, etc.) Intermolecular (addition reaction)
  • 9.
    Difference between photochemicaland thermochemical reactions
  • 10.
    What Happens WhenRadiation Hits a Molecule?
  • 11.
    Absorbance and emission Absorbtion/Absorbance:- An electron absorbs the energy of a photon,and jumps from a lower into a higher energy orbital. Emission:-An electron jumps from a higher into a lower orbital,and releases(emits) a photon of energy.
  • 12.
  • 13.
    Photiaddition reaction  Photoadditionforming 1:1 adduct by the reaction of an excited state of one molecule with ground state of another.  The molecule which is excited state is carbonyl compound, quinine, aromatic compound, or alkene molecule and the molecule which is in ground state is commonly alkene.  Majority of the Photoaddition reactions forming ring product
  • 14.
  • 15.
    Photo oxidation  Oxidationunder the influence of the light or radiant energy.  Formation of radicals that induces oxidation of the material.  Excited singlet or triplet states
  • 16.
    Steps in photooxidation reaction 1. Initiation 2. Propagation 3. Branching 4. Termination
  • 17.
  • 18.
  • 19.
    Photo oxidation ofcholesterol  .
  • 20.
  • 21.
    Photo oxidation ofpolymers  Light is absorbed by a polymer- photochemical reaction can occur as a result of activation of a polymer macromolecule to its excited singlet or triplet state.  Chemical change that reduce the polymer’s molecule weight.
  • 22.
  • 23.
    Photo-fragmentation  The processof breaking up of molecular ion into smaller or daughter ions in the presence of light known as photo- fragmentation. GENERAL MODES OF FREGAMENTATION -:  Simple cleavage 1.Homolytic 2.Heterolytic 3.Semiheterolytic  Rearrangement reaction 1.Elimination reaction 2.Ortho reaction 3.Mc-lafferty rearrangement
  • 24.
    1. Simple cleavage–: Transfer of electron take place. 1.Homolytic cleavage– In homolytic cleavage the e- are equally transferred to both atom and it forms radical and cation.
  • 25.
    2.Heterolytic cleavage -: Fragmentation by movement of two electron.  In this type of cleavage both the electron of the bond are take over by one of the atoms.  The fragment are an even electron cation and a radical with the positive charge residing on the alkyl group.
  • 26.
    3. Semiheterolytic  Inthis one electron bond cleavage takes place resulting in formation of radical and cation.
  • 27.
    2. Rearrangement reaction It involve the cleavage of bonds and formation of new bonds i.e. it requires changes to at least two bonds.  So the produced ions are not structural units of precursors.  Generally rearrangement lead to loss of smaller molecule.
  • 28.
    1.Elimination reaction-:  Inthis fragmentation hydrogen is obustracted by hydroxyl group or halogen or acetate F.G. result in the elimination of water or neutral molecule.
  • 29.
    2.Ortho effect reaction-:  In this case of sustituted aromatic compounds the substitute and the carbon come in to proximity has help in elimination of neutral molecule.  This effect is called ortho effect.
  • 30.
    3.Mc-lafferty rearrangement-:  Itinvolve the migration of gama hydrogen atom followed by cleavage beta bond rearrangement leads to the elimination of neutral molecule.
  • 31.
    Mechanism Fragmentation take placeonly at gamma hydrogen Then this hydrogen is abstracted by oxygen of carbonyl group of unsaturated compound Carbonyl group is converted to hydroxyl group Bond breakdown between alpha and beta carbon resulting in liberation of 2e-s then rearrangement take place to form a simple alkene.
  • 35.
    Reference :-  Principlesof organic synthesis – R.O.C. Normann.  Organic reation and mechanism – V.K ahluwalia.  https://www.researchgate.net/figure/Plausible- photodegradation-mechanisms-occurring-in-PLA- Mechanism- a-photolysis_fig5_28972767