1
Erbil Polytechnic University
Technical Engineering College
Civil Engineering Department
2021- 2022
Horizontal and Vertical Curve
Horizontal Alignment
ØAn introduction to horizontal curve &Vertical curve.
ØTypes of curves.
ØElements of horizontal circular curve.
ØGeometric of circular curve
Ø Methods of setting out circular curve
Ø Setting out of horizontal curve on ground
Ø Vertical curve Definition.
ØElements of the vertical curves.
ØAvailable methods for computing the elements of vertical
curves
2
Types of Curves
1- Horizontal Curves
2- Vertical Curves
Horizontal Curves
are circular curves. They connect tangent lines around
obstacles, such as building, swamps, lakes, change
direction in rural areas, and intersections in urban areas.
3
Types of Horizontal Curves
Simple circular curve It is a curve of single constant
radius connecting two straights .
4
Compound Curve
When there are more than one radius of an arc connecting two
intersecting straights is called compound curves of two radius or
more joined together.
5
Reverse curve
Two circular arcs tangent to each other, with their centers
on opposite sides of the alignment.
6
Transition or Spiral Curves:-
— When circular curve is introduced between straights it
becomes very difficult for a fast moving vehicle to change
from straight line path having zero curvature to a curved
path having a specified curvature therefore transition
curves are provided in which the curvature varies
gradually from zero of the straight line path to specific
value depending upon the radius of the circular curve
7
8
Horizontal Curve: Simple circular
curve
— Considerations for Horizontal Curves
§ Safety.
§ Economic evaluation
Simple Curves have 3 variables
— Radius
— Design Speed
— Super elevation
9
Point of Intersection (PI): the point at which the two tangents to
the curve intersect
Point of Curvature (PC): the beginning point
of the curve
Point of Tangency (PT): the end point of the curve
Delta Angle: the angle between the tangents
is also equal to the angle at the center of
the curve
Tangent Distance (T): the distance from the PC to PI or from the PI
to PT
10
External Distance (E): the distance from the PI to the middle
point of the curve
Middle Ordinate (M): the distance from
the middle point of the curve to the middle
of the chord joining the PC and PT
Long Chord (LC): the straight distance
Along the line joining the PC and the PT
Length of Curve(L): the difference in stationing along the
curve between the PC and the PT
11
Elements of Horizontal curve
Formulas for simple circular
curves
12
2
tan
D
= R
T
Tangent length
D
= R
L
180
p
2
sin
2
D
= R
Lc
Length of curve
Length of chord
External distance ÷
÷
ø
ö
ç
ç
è
æ
-
D
= 1
2
cos
1
R
E
Middle ordinate
13
α (degree)=(90/π) * (C/R)
Chainage: it is a station with equal distance, or it is an equal chord.
10m, l = Length of small chord.
For 200m
200/10 = 20 chainage
205 = 20+5 chainage
207 = 20+7 chainage
The station of intersection
points are always known. 14
D = 2 α
•
15
16
Example
A horizontal curve having R= 500m, ∆=40°, station P.I=
12+00 ,prepare a setting out table to set out the curve
using deflection angle from the tangent and chord length
method, dividing the arc into 50m stations.
17
Solution
1-Find the length of curve = R=500 dalta= 40
L = 349.07 m
2- Find tangent length
T= R tan ∆/2 = 500 * tan 40/2 =181.99m
=181.99/50= 3.6398 =3+31.99 Chains
3- Find the station of point of curve (PC)
PC=PI - T= 12*50 - T
P.C= 600 –T ; P.C= 600-181.99 = 418.01 m = 8+18.01chains
OR
P.C. = 12 – T = (12+00) – (3+31.99) = (8 + 18.01) Chains
18
4- Find point of tangent (P.T).
P.T= Station P.C+L= 418.01+349.07= 767.08m= 15+17.08
5- find the individual tangential angle for the first station.
We should calculate the partial chords (C)
Here, the chainage of arc is 50m
For full chord length of 50 m (α) in degrees=(90/π)*(50/500)
= 2.865° = 2° 51’ 54”
Station of PC=8+18.01; First station on the curve= 9+00
Hence, C=(9+00)-(8+18.01)=31.99m, (8+50)-(8+18.01)=31.99
For chord 50m α = 2° 51’ 54”;for 18.01m chord α1=1° 49´ 59”
OR
α (degree)=(90/π) * (C/R)
α1 (degree)=90/π(31.99/500)= 1° 49´ 59”
19
Station Arc Length(m) individual tangential angle
(degree)
Cumulative
tangential angle
8+18.01
9+00
10+00
11+00
12+00
13+00
14+00
15+00
15+17.08
31.00
50
50
50
50
50
50
17.08
1° 49´ 59˝
2° 51´ 53˝
2° 51´ 53˝
2° 51´ 53˝
2° 51´ 53˝
2° 51´ 53˝
2° 51´ 53˝
0° 58´ 43˝
1° 49´ 59˝
4° 41´ 52˝
7° 33´ 45˝
10° 25´ 38˝
13° 17´ 31˝
16° 09´ 24˝
19° 01´ 17˝
20° 00´ 00˝
L=Check ∑349.07 Check ∑20° 00´ 00˝
For other stations l= 50m and α = 2° 51’ 54”;
For last station l=(15+17.08) – (15+00)= 17.08m hence α = 0° 58’ 43”
Table for setting out the curve using deflection angle method
+
=
:Example H.W
A Horizontal curve is designed with a 600m radius and is
known to have a tangent of 52 m the PI is Station
200+00 determent the Stationing of the PT?
20
PROCEDURE SETTING OUT Practical
I
70m
P
C
P
T
GIVEN DEFLECTION
ANGLE , θ=13018’ 32”
13016’ 00”
21
PROCEDURE SETTING OUT
Practical
I
P
C
P
T
1
0 11’ 37”
2
0 23’ 14”
25 m
25 m
25
m
25
m
14.37
m
3
0 34’ 51”
4
0 46’ 28”
50 58’ 5”
60 39’ 15”
22
Vertical Curves
Vertical curves are in the shape of a parabola. A curve in the
longitudinal section of a roadway to provide easy change of
gradient.
23
Vertical curves (VC) are used to connect intersecting
gradients in the vertical plane. Thus, in route design they
are provided at all changes of gradient. They should be
sufficiently large curvature to provide comfort to the
driver, that is, they should have a low ‘rate change of
grade’. In addition, they should afford adequate ‘sight
distances’ for safe stopping at a given design speed.
The type of curve generally used to connect the
intersecting gradients g1 and g2 in the simple
parabola. Its uses as a sag or crest curve
Gradient:
In vertical curve design the gradients are
expressed as percentages, with a negative for a
downgrade and a positive for an upgrade,
e.g. A downgrade of 1 in 20= 5 in 100= −5%=−g1%
An upgrade of 1 in 25=4 in 100= +4%=+g2%
The angle of deflection of the two intersecting
gradients is called the grade angle. The grade
angle simply represents the change of grade
through which the vertical curve deflects and is
the algebraic difference of the two gradients:
A %=( g1%−g2%)
In the above example A %=( −5%−4%) =−9%
(negative indicates a sag curve).
Sag and Crest Curves.
1) Summit (Crest) vertical curve
The slope percentage is +X% to –Y%
Parabolic Curve
Parabolic Curve
¨
¨
Parabolic Curve
¨
¨
¨
¨
• r= rate of change of grade per station
• g1= initial grade in percent
• g2= final grade in percent
• L= Length of the curve in stations
• A= Algebraic difference in grade
• A= g2-g1
35
ELEMENTS OF VERTICAL CURVES
1 - B.V.C or P.V.C: Beginning of vertical curve or point of vertical
curvature.
2 - P.V.I: Point of vertical intersection.
3 - P.V.T or E.V.C: End of vertical curve or point of vertical
tangency.
36
Elevation and Stations of main points on the
Vertical Curve
• If the Station and Elevation of P.V.I is known
37
Assumptions of vertical curve projection:
1. L = Lc because the slope is very small.
2. T= L/2 since MA= MH
AH= 2AM
Ø Usually the Reduced level at P.I is known and
the chainage also is known.
¨
¨
¨
¨
¨
Example: A vertical parabola curve 400m long is to be set
between 2% (upgrade) and 1% (down grade), which meet
at chainage of 2000 m, the R.L of point of intersection of
the two gradients being (500.00 m). Calculate the R.L of
the tangent and at every (50m) parabola.
¨
¨
Distance (x) Distance (m) R.L (m) Slope (g) %
X1 50 497 2
X2 100 498 2
X3 150 499 2
X4 200 500 2
X5 250 499.5 1
X6 300 499 1
X7 350 498.5 1
X8 400 498 1
¨
Station Chainage R.L. on
straight
Off-set
y
R.L. on
curve
Remark
T 1800 496 0 496.0 Find the
staff
reading
of H.I.
1 1850 497 0.094 496.906
2 1900 498 0.375 497.625
3 1950 499 0.844 498.15
A 2000 500 1.5 498.5
Thank you all
50

Location horizontal and vertical curves Theory

  • 1.
    1 Erbil Polytechnic University TechnicalEngineering College Civil Engineering Department 2021- 2022 Horizontal and Vertical Curve
  • 2.
    Horizontal Alignment ØAn introductionto horizontal curve &Vertical curve. ØTypes of curves. ØElements of horizontal circular curve. ØGeometric of circular curve Ø Methods of setting out circular curve Ø Setting out of horizontal curve on ground Ø Vertical curve Definition. ØElements of the vertical curves. ØAvailable methods for computing the elements of vertical curves 2
  • 3.
    Types of Curves 1-Horizontal Curves 2- Vertical Curves Horizontal Curves are circular curves. They connect tangent lines around obstacles, such as building, swamps, lakes, change direction in rural areas, and intersections in urban areas. 3
  • 4.
    Types of HorizontalCurves Simple circular curve It is a curve of single constant radius connecting two straights . 4
  • 5.
    Compound Curve When thereare more than one radius of an arc connecting two intersecting straights is called compound curves of two radius or more joined together. 5
  • 6.
    Reverse curve Two circulararcs tangent to each other, with their centers on opposite sides of the alignment. 6
  • 7.
    Transition or SpiralCurves:- — When circular curve is introduced between straights it becomes very difficult for a fast moving vehicle to change from straight line path having zero curvature to a curved path having a specified curvature therefore transition curves are provided in which the curvature varies gradually from zero of the straight line path to specific value depending upon the radius of the circular curve 7
  • 8.
  • 9.
    Horizontal Curve: Simplecircular curve — Considerations for Horizontal Curves § Safety. § Economic evaluation Simple Curves have 3 variables — Radius — Design Speed — Super elevation 9
  • 10.
    Point of Intersection(PI): the point at which the two tangents to the curve intersect Point of Curvature (PC): the beginning point of the curve Point of Tangency (PT): the end point of the curve Delta Angle: the angle between the tangents is also equal to the angle at the center of the curve Tangent Distance (T): the distance from the PC to PI or from the PI to PT 10
  • 11.
    External Distance (E):the distance from the PI to the middle point of the curve Middle Ordinate (M): the distance from the middle point of the curve to the middle of the chord joining the PC and PT Long Chord (LC): the straight distance Along the line joining the PC and the PT Length of Curve(L): the difference in stationing along the curve between the PC and the PT 11 Elements of Horizontal curve
  • 12.
    Formulas for simplecircular curves 12 2 tan D = R T Tangent length D = R L 180 p 2 sin 2 D = R Lc Length of curve Length of chord External distance ÷ ÷ ø ö ç ç è æ - D = 1 2 cos 1 R E Middle ordinate
  • 13.
  • 14.
    α (degree)=(90/π) *(C/R) Chainage: it is a station with equal distance, or it is an equal chord. 10m, l = Length of small chord. For 200m 200/10 = 20 chainage 205 = 20+5 chainage 207 = 20+7 chainage The station of intersection points are always known. 14 D = 2 α
  • 15.
  • 16.
    16 Example A horizontal curvehaving R= 500m, ∆=40°, station P.I= 12+00 ,prepare a setting out table to set out the curve using deflection angle from the tangent and chord length method, dividing the arc into 50m stations.
  • 17.
    17 Solution 1-Find the lengthof curve = R=500 dalta= 40 L = 349.07 m 2- Find tangent length T= R tan ∆/2 = 500 * tan 40/2 =181.99m =181.99/50= 3.6398 =3+31.99 Chains 3- Find the station of point of curve (PC) PC=PI - T= 12*50 - T P.C= 600 –T ; P.C= 600-181.99 = 418.01 m = 8+18.01chains OR P.C. = 12 – T = (12+00) – (3+31.99) = (8 + 18.01) Chains
  • 18.
    18 4- Find pointof tangent (P.T). P.T= Station P.C+L= 418.01+349.07= 767.08m= 15+17.08 5- find the individual tangential angle for the first station. We should calculate the partial chords (C) Here, the chainage of arc is 50m For full chord length of 50 m (α) in degrees=(90/π)*(50/500) = 2.865° = 2° 51’ 54” Station of PC=8+18.01; First station on the curve= 9+00 Hence, C=(9+00)-(8+18.01)=31.99m, (8+50)-(8+18.01)=31.99 For chord 50m α = 2° 51’ 54”;for 18.01m chord α1=1° 49´ 59” OR α (degree)=(90/π) * (C/R) α1 (degree)=90/π(31.99/500)= 1° 49´ 59”
  • 19.
    19 Station Arc Length(m)individual tangential angle (degree) Cumulative tangential angle 8+18.01 9+00 10+00 11+00 12+00 13+00 14+00 15+00 15+17.08 31.00 50 50 50 50 50 50 17.08 1° 49´ 59˝ 2° 51´ 53˝ 2° 51´ 53˝ 2° 51´ 53˝ 2° 51´ 53˝ 2° 51´ 53˝ 2° 51´ 53˝ 0° 58´ 43˝ 1° 49´ 59˝ 4° 41´ 52˝ 7° 33´ 45˝ 10° 25´ 38˝ 13° 17´ 31˝ 16° 09´ 24˝ 19° 01´ 17˝ 20° 00´ 00˝ L=Check ∑349.07 Check ∑20° 00´ 00˝ For other stations l= 50m and α = 2° 51’ 54”; For last station l=(15+17.08) – (15+00)= 17.08m hence α = 0° 58’ 43” Table for setting out the curve using deflection angle method + =
  • 20.
    :Example H.W A Horizontalcurve is designed with a 600m radius and is known to have a tangent of 52 m the PI is Station 200+00 determent the Stationing of the PT? 20
  • 21.
    PROCEDURE SETTING OUTPractical I 70m P C P T GIVEN DEFLECTION ANGLE , θ=13018’ 32” 13016’ 00” 21
  • 22.
    PROCEDURE SETTING OUT Practical I P C P T 1 011’ 37” 2 0 23’ 14” 25 m 25 m 25 m 25 m 14.37 m 3 0 34’ 51” 4 0 46’ 28” 50 58’ 5” 60 39’ 15” 22
  • 23.
    Vertical Curves Vertical curvesare in the shape of a parabola. A curve in the longitudinal section of a roadway to provide easy change of gradient. 23
  • 24.
    Vertical curves (VC)are used to connect intersecting gradients in the vertical plane. Thus, in route design they are provided at all changes of gradient. They should be sufficiently large curvature to provide comfort to the driver, that is, they should have a low ‘rate change of grade’. In addition, they should afford adequate ‘sight distances’ for safe stopping at a given design speed.
  • 25.
    The type ofcurve generally used to connect the intersecting gradients g1 and g2 in the simple parabola. Its uses as a sag or crest curve Gradient: In vertical curve design the gradients are expressed as percentages, with a negative for a downgrade and a positive for an upgrade, e.g. A downgrade of 1 in 20= 5 in 100= −5%=−g1% An upgrade of 1 in 25=4 in 100= +4%=+g2%
  • 26.
    The angle ofdeflection of the two intersecting gradients is called the grade angle. The grade angle simply represents the change of grade through which the vertical curve deflects and is the algebraic difference of the two gradients: A %=( g1%−g2%) In the above example A %=( −5%−4%) =−9% (negative indicates a sag curve).
  • 27.
  • 28.
    1) Summit (Crest)vertical curve The slope percentage is +X% to –Y% Parabolic Curve
  • 29.
  • 30.
  • 31.
  • 32.
  • 33.
  • 34.
  • 35.
    • r= rateof change of grade per station • g1= initial grade in percent • g2= final grade in percent • L= Length of the curve in stations • A= Algebraic difference in grade • A= g2-g1 35
  • 36.
    ELEMENTS OF VERTICALCURVES 1 - B.V.C or P.V.C: Beginning of vertical curve or point of vertical curvature. 2 - P.V.I: Point of vertical intersection. 3 - P.V.T or E.V.C: End of vertical curve or point of vertical tangency. 36
  • 37.
    Elevation and Stationsof main points on the Vertical Curve • If the Station and Elevation of P.V.I is known 37
  • 38.
    Assumptions of verticalcurve projection: 1. L = Lc because the slope is very small. 2. T= L/2 since MA= MH AH= 2AM Ø Usually the Reduced level at P.I is known and the chainage also is known.
  • 39.
  • 40.
  • 41.
  • 42.
  • 43.
  • 44.
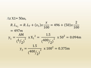
    Example: A verticalparabola curve 400m long is to be set between 2% (upgrade) and 1% (down grade), which meet at chainage of 2000 m, the R.L of point of intersection of the two gradients being (500.00 m). Calculate the R.L of the tangent and at every (50m) parabola.
  • 45.
  • 46.
  • 47.
    Distance (x) Distance(m) R.L (m) Slope (g) % X1 50 497 2 X2 100 498 2 X3 150 499 2 X4 200 500 2 X5 250 499.5 1 X6 300 499 1 X7 350 498.5 1 X8 400 498 1
  • 48.
  • 49.
    Station Chainage R.L.on straight Off-set y R.L. on curve Remark T 1800 496 0 496.0 Find the staff reading of H.I. 1 1850 497 0.094 496.906 2 1900 498 0.375 497.625 3 1950 499 0.844 498.15 A 2000 500 1.5 498.5
  • 50.