Prof. Moir D. Haug CE 271 Spring Survey Camp
58
PART V
SIMPLE CIRCULAR CURVES
Figure 1: Simple Curve
Assume that AV and VD are two straight portions of a proposed highway and that the curve BC
is to be used as a gradual change of direction between them.
The curve has a constant radius R and is called a simple circular curve.
The curve starts at B and ends at D. ∴ ∡ AB0 = ∡ DCO = 90 o
Point V is referred to as the vertex or Point of Intersection (P.I.) .
Prof. Moir D. Haug CE 271 Spring Survey Camp
59
One of the values we must always know, or be able to determine, for any simple curve is the
deflection angle at the vertex. This angle is designated by either I or Δ . In the case of Figure 1,
the survey is assumed to be progressing from A towards D. If this is the case, the deflection
angle at the vertex is as shown.
Figure 2:
I n Figure 2 the quadrilateral BOCV has certain qualities of symmetry, as
follows :
OB = OC because both are radii
∡ VBO = ∡ VCO = 90o
and, from this
∡ BVC = 180o
- Δ and
∡ BOC = Δ
We can also say that BV = VC. BV and VC are referred to as the subtangent distances and are
abbreviated S.T. or, quite often, T.
Note also that, if we join OV, we create two right-angled triangles, BOV and COV, that are
similar in all respects. We also apply names to point B, where the curve begins, and point C,
where the curve ends. We have three choices and the various names are paired as shown.
Prof. Moir D. Haug CE 271 Spring Survey Camp
60
B C
Name Abb. Name Abb.
Beginning of Curve
Point of Curvature
Tangent-Curve Point
B.C.
P.C.
T.C.
End of Curve
Point of Tangency
Curve-Tangent Point
E.C.
P.T.
C.T.
1. Derivation of Formulae
Figure 3:
Referring to Figure 4, on the following page, there are certain dimensions associated with a
simple circular curve that are important and we will derive expressions for them that relate them
to R or T.
In Δ BOV
∡ VBO = 90 o
∡ BVO =
∡ BOV =
= Tan
Δ
BV = B0 TAN
But, BV = T, and
BO = R
…. (1)T = R Tan
Prof. Moir D. Haug CE 271 Spring Survey Camp
61
Figure 4:
The straight line BC is called the Long Chord, abbreviated L.C.
In Δ BEO, ∡ BEO = 90o
= Sin , or BE = BO Sin
But BE = and B0 = R
∴ = R Sin , OR
The line EF is called the Middle Ordinate, abbreviated M.O.
In Δ BE0 and sector BFO
M.O. = OF – OE, but OF = R and
= Cos but OB = R
∴ OE = R Cos
L.C. = 2 R Sin ….. (2)
Prof. Moir D. Haug CE 271 Spring Survey Camp
62
Substituting the values of OF and OE in the original expression for the M.O. we get;
M.O. = R - R Cos
The expression, (1 - Cos ) i s known as the Versine of and tables giving
values of the Versine are published. This is why we often see the above equation
in the form .
Figure 5:
In the right-triangle OBV and the Sector BFO
E = OV - OF but = Sec , or
M.O. = R (1 - Cos ) ..….. (3)
M.O. = R Versine
The length FV is referred
to as the External and is
abbreviated E
Prof. Moir D. Haug CE 271 Spring Survey Camp
63
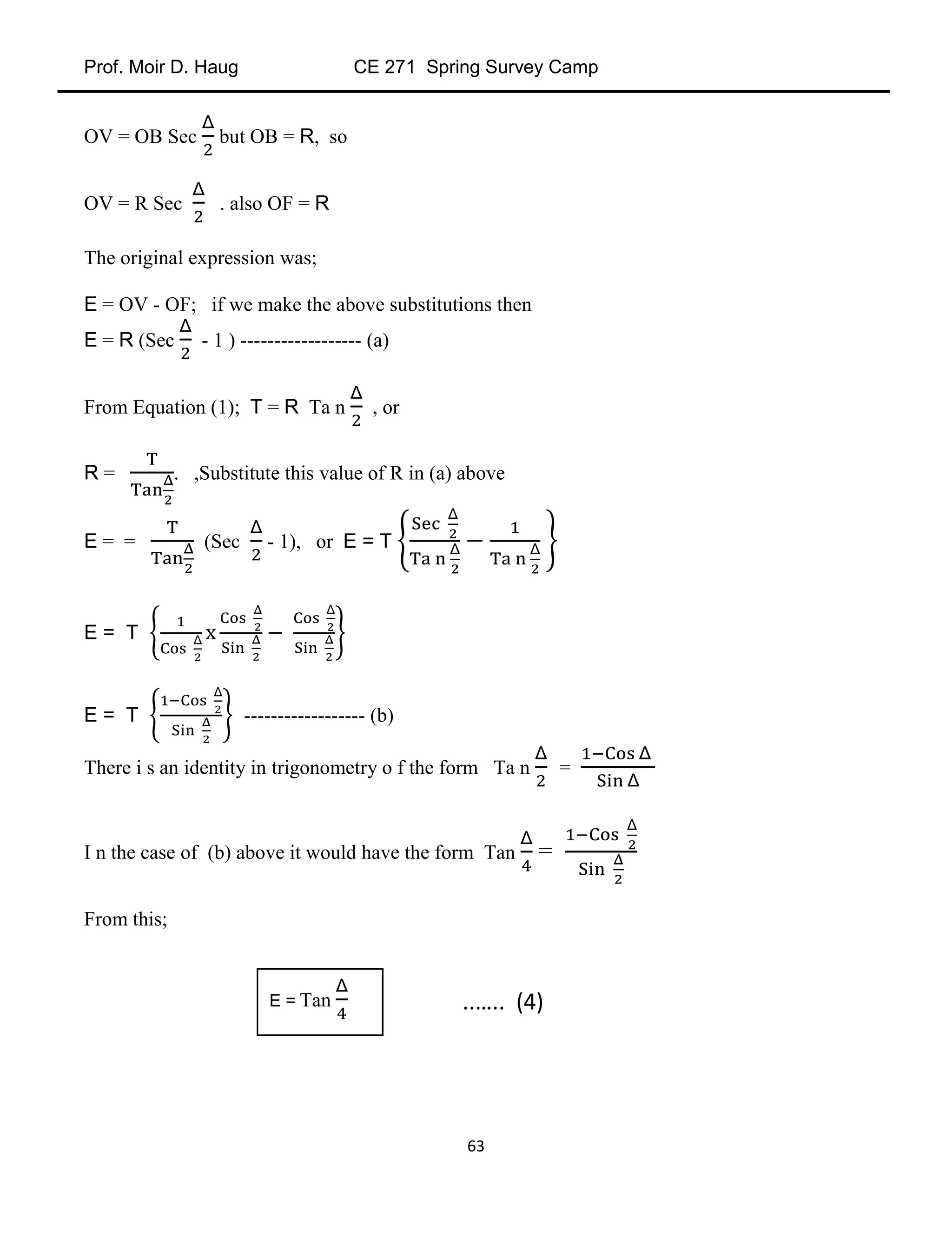
OV = OB Sec but OB = R, so
OV = R Sec . also OF = R
The original expression was;
E = OV - OF; if we make the above substitutions then
E = R (Sec - 1 ) ------------------ (a)
From Equation (1); T = R Ta n , or
R = . ,Substitute this value of R in (a) above
E = = (Sec - 1), or E = T
E = T
E = T ------------------ (b)
There i s an identity in trigonometry o f the form Ta n =
I n the case of (b) above it would have the form Tan =
From this;
E = Tan ..….. (4)
Prof. Moir D. Haug CE 271 Spring Survey Camp
64
2. Radius of Curvature and Degree of Curve
There are three methods by means of which we can designate the “sharpness” of curvature of a
curve.
a) Radius
The sharpness of curvature is inversely proportional to the radius, i.e. a reduction in
radius increases the sharpness.
b) Degree of Curve, chord definition – Dc
Degree of curve according to the chord definition, Dc, is defined as the angle subtended
by a chord having a length of one full station or 100 St. in the foot system and a 100
meters in the metric system. This method is followed in railroad practice. The radius of
such a curve may be computed by the following expression:
R =
Prof. Moir D. Haug CE 271 Spring Survey Camp
65
Note that the radius of curvature varies inversely as the degree of curve and the radius of
lo
curve according to the chord definition is 5729.651 units of measurements.
c ) Degree o f Curve, arc definition – Da
The curvature is expressed by stating the "degree of curve" Da which has traditionally
been defined as the angle subtended a t the centre of the curve by an arc 100 ft. long. In
the metric system, Da , is defined as the angle by a 100 m arc.
Smaller values of D, decreases the sharpness o f curvature. The arc definition for degree
of curve is most frequently followed in highway practice.
When designing a curve, Da, is usually selected on the basis of design speed,
superelevation and road surface friction factor.
Figure 7
If a 100 ft or meter arc subtends an angle of lo
, the radius of curve is 5729.578 units. We
refer to this as a "one degree curve” .
= , where C = 100
Da = = ; and
R =
Prof. Moir D. Haug CE 271 Spring Survey Camp
66
3. Length of Curve
a) Length of Curve Chord Definition - Lc
The length of curve on the chord basis, is the summation of chords which approximate
the curve and, is therefore, an inexact expression. The Lc obtained will always be less
than the true arc length. The difference will increase as Dc, increases.
Figure 8:
b) Length of Curve Arc Definition - La
The length of curve or arc length for corresponding radius varies directly to the central angle
subtended by the arc. See Figure 7.
= = ;
Δ
This is an exact expression.
Note that the length of curve (on the chords basis) LC, is somewhat less than the actual arc
length La.
This difference will increase as Da or Dc increases.
= , where C = 100
Δ = Deflection angle for the curve
Lc = 100 x
Prof. Moir D. Haug CE 271 Spring Survey Camp
67
The Arc Basis is Used for the Calculations Presented in This Chapter.
Actually both chords and arc methods are used in North America. For long gradual curves,
which are common in railroad practice, the chord basis (arc length considered to be same as
chords) is normally used. For highway curves and curved property boundaries, the arc basis is
more common.
In field practice, field measurements of the curve are laid out with tape, along the chord and not
along the arc, resulting in error. This error can be reduced when the arc basis is used
by using short arc ("chord”) length or applying the difference between the arc length and the
chord length. For example, for a 100 meter 2o
curve, the chord length is 99.955 meters and for a
10' curve the chord length is 99.873 meters. The following general rules are suggested in the
metric system:
100 meter arcs "chords up to lo
curves
30 meter arcs “chords” up to 4o
curves
20 meter arcs "chords" up to 10o
curves
10 meter arcs "chords” up to 25o
curves
3 meter arcs “chords” up to 100o
curves
4. Example Problem #1 – OAK HURST ROAD
Two tangents intersect at Station 4 + 016.770. The deflection angle to the right is 40o
00' 00". It
is decided to design the highway for a maximum speed of 90 km/hr, and using AASHTO*
recommendation for superelevation and friction a minimum radius of 270 meters and a
maximum degree of curve, Da is to be 22o
.
Calculate T, La, R and the stationing of the P.C. and P.T. using 20 meter arc length.
* American Association of State Highway and Transportation Officials – “Green Book”
(AASHTO – 42,815 people killed in 38, 309 fatal crashes in 2002, 25% of these crashes occurred on horizontal curves)
Prof. Moir D. Haug CE 271 Spring Survey Camp
68
Explanation
When we speak of a station on a curve we are given a specific location from the start of the
survey. In the above problem, the P.I. is given as Stn. 4 + 316.770. What we are saying is that
The P.I. is 4,016.770 m from the start of the survey.
The problem also stated that is Δ is 40o
to the right, this says that when we stand at the P.C. and
look in the direction in which the survey is progressing, the curve deflects to the right.
Solution
Given P . I . = Stn. 4 + 016.770
Δ = 40 o
20 meter arc
For simplification/safely Da may be rounded down to 20 o
.
Using arc definition, Recompute R and calculate T and La
R = = = 286.479 m
R = 286.479 m
La = x 2 R = 100
Δ
= 100 x = 200.000
La = 200.000 m
T = R tan
Δ
= 286.479 tan = 104.270
T = 104.270 m
P.I. = Stn. 4 + 016.770
T 0 - 104.270
P.C. Stn 3 + 912.500
La 0 + 200.000
P.T. Station 4 + 112.500
Prof. Moir D. Haug CE 271 Spring Survey Camp
69
Figure 9
5. Laying out a curve by Deflection Angles
Curves are staked out usually by the use of deflection angles turned a t the P.C. from the
tangent to stations along the curve together with the use of chords measured from station
to station along the curve.
In the past 100 ft. chord length could be laid out quite accurately, however, in the metric
system 100 meter chords will result in a large error. Most curves are presently laid out in
20 meter chords or less and the discussion presented here will use 20 meter chord length.
Prof. Moir D. Haug CE 271 Spring Survey Camp
70
First let us consider the first 20 meter past the P.C.
Note that the angle subtended by a 20 meter arc “chord” will be proportional to the
degree of curve Da.
Figure 10
To locate point B on the curve, we measure 20 m from the P.C.
With the theodolite set up at the P.C., and reading 0o
when sighted on the vertex, we turn off an
angle D/2 to align the tape and establish point B.
In Isosceles triangle AOB,
∡ BAO = ∡ ABO
= 90 – D/2
∡ VAB = D/2
Prof. Moir D. Haug CE 271 Spring Survey Camp
71
Consider the second 20 metre chord BC
Measure 20 m from B to C. Join AC. In isosceles triangle OCA angle VAC = D. To locate point
C measure 20 m from point B. With the theodolite at the P.C., reading Oo
on V, turn off angle D
to align tape and establish C.
Figure 11:
Prof. Moir D. Haug CE 271 Spring Survey Camp
72
Figure 12
From: Figure 10: Note t h a t deflection angle D/2 = 1/2 angle AOB at center
Figure 11: Note t h a t deflection angle D = 1/2 the angle at the center
Figure 12: Note that deflection angle 3D/2 = 1/2 angle AOD at center
From this we can deduce a general rule.
If we set a theodolite up at either the P.C. or the P.T., and sight on the vertex with the plates set
at zero, we can turn the correct angle to any point on a curve of constant radius by merely setting
Prof. Moir D. Haug CE 271 Spring Survey Camp
73
on the plates an angle equal to half the angle at the centre subtended by the chord joining the
instrument and the desired point.
Figure:
Figure 13 - Figure of Deflection Angles on a Simple Curve
On the above figure let points a, b, c, d represent station points on a simple curve. Point “a” is an
odd distance from P.C. and distance dB is also an odd increment. The deflection angles
are:
∡ VAa = d1/2
∡ VAb = d1/2 + D/2
∡VAc = d1/2 +D/2 + D/2
= d1/2 + D
∡ VAd = d1/2 + 3D/2
∡ VAB =d1/2 + 3D/2 + 2d2/2
= /2
Prof. Moir D. Haug CE 271 Spring Survey Camp
74
Usually the P.C. and P.T. do not fall at even
stations but we are usually required to place our
stakes at the even stations on the curve. The first
and last odd length of arc or odd station,
therefore, is usually less than 20 meters and the
first and last deflection angles are less than D/2.
In the case of an arc of a circle, the angle
subtended at the centre is directly proportional to
the length of the arc.
Da = Angle subtended by a full 100 meter station
D = Angle subtended by a full station (i.e. may to 100 or less)
d = Angle subtended by an odd length station
l = Length of arc of an odd station
S= Length of arc of a full station
C = Chord distance
The deflection angle for an odd station = d/2
OR in more general form for an arc length, S
D and d are in degrees
The degree of curve, Da is defined for a 100 m arc length, since we are using 20 m arcs the
angle, D subtended by the 20 m arc is 1/5 of Da namely 4o
.
Prof. Moir D. Haug CE 271 Spring Survey Camp
75
The deflection angle, D/2 for a full 20.000 m station is thus 2o
, The distance from P.C. to the
first full station is [(3 + 920.000) – (3 + 912.500)] = 7.50 m, and the distance from the last full
station on the curve to P.T, is [( 4 + 112.500) - (4 + 100.000)] = 12.500 m.
The deflection angles for the odd increments at the beginning and the end of the curve are:
d1 = (7.5/20.000)* (4o
) = 1o
30' (at beginning or curve), and
d1/2 = (7.5/20.000)* (4o
/2o
) = 0o
45' ( at beginning or curve).
d2/2 = (12.5/20.000)* (4o
/2o
) = 1o
15 ' (at end of curve )
Chord distances for the initial and final odd increments of arc and the full station are:
C1 = 2R Sin d1/2 = 2 x 286.479 Sin 0.75o
= 7.500 meter
C2 = 2R Sin d2/2 = 2 x 286.479 Sin 1.25o
= 12.499meter
C20 = 2R Sin D/2 = 2 x 286.479 Sin 2o
= 19.996 meters
It can be seen that the chords lengths are nearly equal to the arc length and no correction would
have to be applied to account for the difference.
Let us now make up a set of field notes for the curve.
It should be emphasized that the form of field notes given is not necessarily THE form of field
notes though it satisfies our needs quite well. The notes are set up on the assumption that the
transit/theodolite is set up at the P.C, (Stn 3 + 912.500) and that the plates read 0' 00' 00'' with
the instrument sighted on the P.I. (Stn 4 + 016.770).
Prof. Moir D. Haug CE 271 Spring Survey Camp
76
The notes are designed to be absolutely complete so that the person who is going to lay out the
curve does not have to refer to any other source for any information he may require with regard
to the curve. The bottom and top lines in the notes relate our particular curve to the preceding
and following curves.
The column headed "Bearing' orients the curve in relation to the rest of the project as does the
sketch.
STATION POINT
DEFLECTION
ANGLE BEARING CURVE DATA
9 + 918.570 P.C. S 25o
18' E
4 + 112.5 P.T. 20o
00' 00" =  /2  = 40o
00' 00"
4 + 100 18o
45' 00
4 + 080 16o
45' 00" Da = 20
4 + 060 14o
45' 00"
4 + 040 12o
45' 00 La = 200.000
4 + 020 10o
45' 00
4 + 000 8o
45' 00 T = 104.270
2 + 980 6o
45' 00
2 + 960 4o
45' 00 D/2 = 2o
00' 00"
3 + 940 2o
45' 00 d/1 = 0o
45' 00"
3 + 920 0o
45' 00" d/2 = 1o
15' 00"
3 + 912.500 P.C. 0o
00' 00"
Figure 14
Note that the stationing increases from the bottom of the page towards the top so that the
instrument-person, standing at P.C. and looking at the notes, sees the notes going away from
him/her as does the curve.
Prof. Moir D. Haug CE 271 Spring Survey Camp
77
Figure 15: Right – hand Page
Show : Page No, (The right-hand and left-hand sheets have the same page no.)
Project (If it is separate from that on preceding and following pages)
Party; Date; Weather Conditions.
Sketch of curve (not necessary to scale)
Approximate orientation of curve (or correct values if known)
Prof. Moir D. Haug CE 271 Spring Survey Camp
78
We can check our curve by using latitudes and departures to calculate the theoretical closing
error a t the E.C. if a series of chords are laid out from the B.C,
Figure 16(a), not to scale.
Figure 16(b), not to scale.
Prof. Moir D. Haug CE 271 Spring Survey Camp
79
The actual, stacked E.C. {neglecting errors in layout) falls 0.012 m outside the forward tangent
and 0.035 m beyond the theoretical E.C. This error is not large and greater accuracy would be
acquired by having shorter chords lengths.
Prof. Moir D. Haug CE 271 Spring Survey Camp
80
6. Intermediate Set-up for Simple Circular Curve
Sometimes, because of the length of a curve or because of physical obstructions, the whole
curve cannot be run in from either the P.C. or the P.T. If this is the case it becomes necessary to
set the transit up at some station on the curve and to orient it in such a way that the field notes
can be used without modification or further calculations.
With reference to Figure 17 and using the field notes shown previously we will assume that,
with the instrument set up at the P.C., we have staked the curve to Station 4 + 000.000 but are
unable to see beyond that point . We move the transit to Station 4 + 000.000.
Consider the curve AOB (Fig. 17) as being a complete curve in itself,
The central angle AOB = 17o
30’
Angle BAO = Angle ABO = 81o
'15'
Triangle AV,B is an isosceles  because the two subtangent distances (T1 )* AV1 and V1B, are
equal.
Angle BAV1, = Angle V1 BA = 8o
45'
With the instrument set up at B, with the plates clamped at zero, sight back on A and clamp both
motions. Unclamp the upper motion and turn a clockwise angle of 8 o
45'. The line of sight now
lies along the line V1 BV2 and is tangent to the curve at B. If B was the beginning of a curve, the
deflection angle to Stn 4 + 020 would be 2o
00' If we plunge the telescope we will be sighting
along the line BV2 and if we add 2 o
00" to the 8 o
45' already set on the plates we will be sighted
on Stn 4 + 020 with 10 o
45 ' set on the plates which is the value of the notes for Stn 4 + 020.
Prof. Moir D. Haug CE 271 Spring Survey Camp
81
Let us now assume that we are able to stake to Stn 4 + 080 but cannot see beyond Point C. We
move our transit to Point C.
Let us consider curve BOC (Fig. 17) to be complete in itself. Angle BOC = 16 o
00'. Angle
OBC = Angle OCB = 82 o
00'
Triangle BV2 is an isosceles triangle because the two subtangent distances (T2) BV2 and V2C
are equal.
Angle V2BC = Angle V2CB = 8o
00'
With the instrument set up at C, with the plates clamped at 8 o
45’, sight back on B and clamp
both motions. Unclamp the upper motion and turn the instrument clockwise an additional 8o
00',
so that the plates read 16o
45' and the line of sight lies along the line V2 CV3 and is tangent to the
curve at Point C. If C was the beginning of a curve the deflection angle to Stn 4 + 100 would be
2o
00’. If we plunge the telescope the line of sight will be along the subtangent CV3 and
if we add 2 o
00’ to the 16 o
45' already set on the plates we will be sighted on Stn 4 + 100 with
18 o
45' set on the plates which is the value in the notes for Stn 4 +100.
Again, we can proceed to stake the next portion of the curve without changing the field notes.
The two statements allow us to formulate a general rule for intermediate setups on a simple
circular curve.
When we occupy an intermediate station on a simple circular curve and sight back on some
previously established station, for the purpose of orienting the transit, the plates of the transit
must be clamped at the value of the deflection angle for the station being sighted on. After
Backsighting and clamping the lower motion, if we change the value of the angle on the plates
Prof. Moir D. Haug CE 271 Spring Survey Camp
82
to that for the deflection angle of the station that is occupied by the instrument, the line of sight
will be tangent to the curve and we can plunge the telescope and continue staking the curve
without making any change in the field notes.
Figure 17 Intermediate backsighting setup on a Simple Circular Curve
(not too scale)
Prof. Moir D. Haug CE 271 Spring Survey Camp
83
On Fig. 18 there is a slightly different application of the rule. In this case, the curve has been
staked from the P.C. to Stn 0 + 300, but the instrument is oriented by sighting ahead to the P.T.
The principle is the same as that outlined above.
Figure 18, Intermediate foresighting set up on a Simple Circular Curve (not too scale) .
The curve has been staked from A t o B and the instrument has been set up a t B. You will orient
it by sighting ahead on the P.T. We will treat the sector BOC as an entity in itself. He deduce
the angle BOC to be 22o
30".
Angle OBC - Angle OCB = 78o
45'
Prof. Moir D. Haug CE 271 Spring Survey Camp
84
In a BV1,C1, B V1 = V1C - T1 So  is isosceles
Angle V1BC = Angle V1CB = 11o
15'
Following the rule set out on the previous example with the instrument set up at B, s e t the
deflection angle for C (20o
00') on the plates. Sight on C and clamp the lower motion. Unclamp
the upper motion and set the plates the deflection angle for point B.
Note that 29 o
00' - 8o
45' = 11o
15' and the line of sight now lies along the line. BV1 and we can
continue staking without changing our notes.
7 . Field Procedure
a) Set up a t P.I. and layout tangents to establish P.C. and P. T.
b) Set up a t P.C. and sight back to P.I . Set plates to 00 o
00’ 00”.
c) Turn off first deflection angle on transit and measure out the first subchord distance, pound in
hub and write stationing on it.
d) Continue laying out chords and placing hubs. When the last station (P.T. Is reached the last
subchord measured out should be quite close t o the P.T. hub established earlier.
If it is not, an error has been made and the curve has to be run in all over again.
e) It is advisable to use intermediate s e t u p s when setting out the curve. They prevent
communication difficulties and tend to reduce the number of errors.
Prof. Moir D. Haug CE 271 Spring Survey Camp
85
PROBLEMS
1. Calculate the radius of the curve that will pass through Point P, using 1atitudes and
departures. Determine the stationing of the P.C. and P,T, and o f Point P on the curve.
2 . Solve for length of the curve intersection distance AB, based on the following diagram.
Prof. Moir D. Haug CE 271 Spring Survey Camp
86
3. Calculate BC, area ABC (shaded) and angle d:

Part 5 simple curves updated

  • 1.
    Prof. Moir D.Haug CE 271 Spring Survey Camp 58 PART V SIMPLE CIRCULAR CURVES Figure 1: Simple Curve Assume that AV and VD are two straight portions of a proposed highway and that the curve BC is to be used as a gradual change of direction between them. The curve has a constant radius R and is called a simple circular curve. The curve starts at B and ends at D. ∴ ∡ AB0 = ∡ DCO = 90 o Point V is referred to as the vertex or Point of Intersection (P.I.) .
  • 2.
    Prof. Moir D.Haug CE 271 Spring Survey Camp 59 One of the values we must always know, or be able to determine, for any simple curve is the deflection angle at the vertex. This angle is designated by either I or Δ . In the case of Figure 1, the survey is assumed to be progressing from A towards D. If this is the case, the deflection angle at the vertex is as shown. Figure 2: I n Figure 2 the quadrilateral BOCV has certain qualities of symmetry, as follows : OB = OC because both are radii ∡ VBO = ∡ VCO = 90o and, from this ∡ BVC = 180o - Δ and ∡ BOC = Δ We can also say that BV = VC. BV and VC are referred to as the subtangent distances and are abbreviated S.T. or, quite often, T. Note also that, if we join OV, we create two right-angled triangles, BOV and COV, that are similar in all respects. We also apply names to point B, where the curve begins, and point C, where the curve ends. We have three choices and the various names are paired as shown.
  • 3.
    Prof. Moir D.Haug CE 271 Spring Survey Camp 60 B C Name Abb. Name Abb. Beginning of Curve Point of Curvature Tangent-Curve Point B.C. P.C. T.C. End of Curve Point of Tangency Curve-Tangent Point E.C. P.T. C.T. 1. Derivation of Formulae Figure 3: Referring to Figure 4, on the following page, there are certain dimensions associated with a simple circular curve that are important and we will derive expressions for them that relate them to R or T. In Δ BOV ∡ VBO = 90 o ∡ BVO = ∡ BOV = = Tan Δ BV = B0 TAN But, BV = T, and BO = R …. (1)T = R Tan
  • 4.
    Prof. Moir D.Haug CE 271 Spring Survey Camp 61 Figure 4: The straight line BC is called the Long Chord, abbreviated L.C. In Δ BEO, ∡ BEO = 90o = Sin , or BE = BO Sin But BE = and B0 = R ∴ = R Sin , OR The line EF is called the Middle Ordinate, abbreviated M.O. In Δ BE0 and sector BFO M.O. = OF – OE, but OF = R and = Cos but OB = R ∴ OE = R Cos L.C. = 2 R Sin ….. (2)
  • 5.
    Prof. Moir D.Haug CE 271 Spring Survey Camp 62 Substituting the values of OF and OE in the original expression for the M.O. we get; M.O. = R - R Cos The expression, (1 - Cos ) i s known as the Versine of and tables giving values of the Versine are published. This is why we often see the above equation in the form . Figure 5: In the right-triangle OBV and the Sector BFO E = OV - OF but = Sec , or M.O. = R (1 - Cos ) ..….. (3) M.O. = R Versine The length FV is referred to as the External and is abbreviated E
  • 6.
    Prof. Moir D.Haug CE 271 Spring Survey Camp 63 OV = OB Sec but OB = R, so OV = R Sec . also OF = R The original expression was; E = OV - OF; if we make the above substitutions then E = R (Sec - 1 ) ------------------ (a) From Equation (1); T = R Ta n , or R = . ,Substitute this value of R in (a) above E = = (Sec - 1), or E = T E = T E = T ------------------ (b) There i s an identity in trigonometry o f the form Ta n = I n the case of (b) above it would have the form Tan = From this; E = Tan ..….. (4)
  • 7.
    Prof. Moir D.Haug CE 271 Spring Survey Camp 64 2. Radius of Curvature and Degree of Curve There are three methods by means of which we can designate the “sharpness” of curvature of a curve. a) Radius The sharpness of curvature is inversely proportional to the radius, i.e. a reduction in radius increases the sharpness. b) Degree of Curve, chord definition – Dc Degree of curve according to the chord definition, Dc, is defined as the angle subtended by a chord having a length of one full station or 100 St. in the foot system and a 100 meters in the metric system. This method is followed in railroad practice. The radius of such a curve may be computed by the following expression: R =
  • 8.
    Prof. Moir D.Haug CE 271 Spring Survey Camp 65 Note that the radius of curvature varies inversely as the degree of curve and the radius of lo curve according to the chord definition is 5729.651 units of measurements. c ) Degree o f Curve, arc definition – Da The curvature is expressed by stating the "degree of curve" Da which has traditionally been defined as the angle subtended a t the centre of the curve by an arc 100 ft. long. In the metric system, Da , is defined as the angle by a 100 m arc. Smaller values of D, decreases the sharpness o f curvature. The arc definition for degree of curve is most frequently followed in highway practice. When designing a curve, Da, is usually selected on the basis of design speed, superelevation and road surface friction factor. Figure 7 If a 100 ft or meter arc subtends an angle of lo , the radius of curve is 5729.578 units. We refer to this as a "one degree curve” . = , where C = 100 Da = = ; and R =
  • 9.
    Prof. Moir D.Haug CE 271 Spring Survey Camp 66 3. Length of Curve a) Length of Curve Chord Definition - Lc The length of curve on the chord basis, is the summation of chords which approximate the curve and, is therefore, an inexact expression. The Lc obtained will always be less than the true arc length. The difference will increase as Dc, increases. Figure 8: b) Length of Curve Arc Definition - La The length of curve or arc length for corresponding radius varies directly to the central angle subtended by the arc. See Figure 7. = = ; Δ This is an exact expression. Note that the length of curve (on the chords basis) LC, is somewhat less than the actual arc length La. This difference will increase as Da or Dc increases. = , where C = 100 Δ = Deflection angle for the curve Lc = 100 x
  • 10.
    Prof. Moir D.Haug CE 271 Spring Survey Camp 67 The Arc Basis is Used for the Calculations Presented in This Chapter. Actually both chords and arc methods are used in North America. For long gradual curves, which are common in railroad practice, the chord basis (arc length considered to be same as chords) is normally used. For highway curves and curved property boundaries, the arc basis is more common. In field practice, field measurements of the curve are laid out with tape, along the chord and not along the arc, resulting in error. This error can be reduced when the arc basis is used by using short arc ("chord”) length or applying the difference between the arc length and the chord length. For example, for a 100 meter 2o curve, the chord length is 99.955 meters and for a 10' curve the chord length is 99.873 meters. The following general rules are suggested in the metric system: 100 meter arcs "chords up to lo curves 30 meter arcs “chords” up to 4o curves 20 meter arcs "chords" up to 10o curves 10 meter arcs "chords” up to 25o curves 3 meter arcs “chords” up to 100o curves 4. Example Problem #1 – OAK HURST ROAD Two tangents intersect at Station 4 + 016.770. The deflection angle to the right is 40o 00' 00". It is decided to design the highway for a maximum speed of 90 km/hr, and using AASHTO* recommendation for superelevation and friction a minimum radius of 270 meters and a maximum degree of curve, Da is to be 22o . Calculate T, La, R and the stationing of the P.C. and P.T. using 20 meter arc length. * American Association of State Highway and Transportation Officials – “Green Book” (AASHTO – 42,815 people killed in 38, 309 fatal crashes in 2002, 25% of these crashes occurred on horizontal curves)
  • 11.
    Prof. Moir D.Haug CE 271 Spring Survey Camp 68 Explanation When we speak of a station on a curve we are given a specific location from the start of the survey. In the above problem, the P.I. is given as Stn. 4 + 316.770. What we are saying is that The P.I. is 4,016.770 m from the start of the survey. The problem also stated that is Δ is 40o to the right, this says that when we stand at the P.C. and look in the direction in which the survey is progressing, the curve deflects to the right. Solution Given P . I . = Stn. 4 + 016.770 Δ = 40 o 20 meter arc For simplification/safely Da may be rounded down to 20 o . Using arc definition, Recompute R and calculate T and La R = = = 286.479 m R = 286.479 m La = x 2 R = 100 Δ = 100 x = 200.000 La = 200.000 m T = R tan Δ = 286.479 tan = 104.270 T = 104.270 m P.I. = Stn. 4 + 016.770 T 0 - 104.270 P.C. Stn 3 + 912.500 La 0 + 200.000 P.T. Station 4 + 112.500
  • 12.
    Prof. Moir D.Haug CE 271 Spring Survey Camp 69 Figure 9 5. Laying out a curve by Deflection Angles Curves are staked out usually by the use of deflection angles turned a t the P.C. from the tangent to stations along the curve together with the use of chords measured from station to station along the curve. In the past 100 ft. chord length could be laid out quite accurately, however, in the metric system 100 meter chords will result in a large error. Most curves are presently laid out in 20 meter chords or less and the discussion presented here will use 20 meter chord length.
  • 13.
    Prof. Moir D.Haug CE 271 Spring Survey Camp 70 First let us consider the first 20 meter past the P.C. Note that the angle subtended by a 20 meter arc “chord” will be proportional to the degree of curve Da. Figure 10 To locate point B on the curve, we measure 20 m from the P.C. With the theodolite set up at the P.C., and reading 0o when sighted on the vertex, we turn off an angle D/2 to align the tape and establish point B. In Isosceles triangle AOB, ∡ BAO = ∡ ABO = 90 – D/2 ∡ VAB = D/2
  • 14.
    Prof. Moir D.Haug CE 271 Spring Survey Camp 71 Consider the second 20 metre chord BC Measure 20 m from B to C. Join AC. In isosceles triangle OCA angle VAC = D. To locate point C measure 20 m from point B. With the theodolite at the P.C., reading Oo on V, turn off angle D to align tape and establish C. Figure 11:
  • 15.
    Prof. Moir D.Haug CE 271 Spring Survey Camp 72 Figure 12 From: Figure 10: Note t h a t deflection angle D/2 = 1/2 angle AOB at center Figure 11: Note t h a t deflection angle D = 1/2 the angle at the center Figure 12: Note that deflection angle 3D/2 = 1/2 angle AOD at center From this we can deduce a general rule. If we set a theodolite up at either the P.C. or the P.T., and sight on the vertex with the plates set at zero, we can turn the correct angle to any point on a curve of constant radius by merely setting
  • 16.
    Prof. Moir D.Haug CE 271 Spring Survey Camp 73 on the plates an angle equal to half the angle at the centre subtended by the chord joining the instrument and the desired point. Figure: Figure 13 - Figure of Deflection Angles on a Simple Curve On the above figure let points a, b, c, d represent station points on a simple curve. Point “a” is an odd distance from P.C. and distance dB is also an odd increment. The deflection angles are: ∡ VAa = d1/2 ∡ VAb = d1/2 + D/2 ∡VAc = d1/2 +D/2 + D/2 = d1/2 + D ∡ VAd = d1/2 + 3D/2 ∡ VAB =d1/2 + 3D/2 + 2d2/2 = /2
  • 17.
    Prof. Moir D.Haug CE 271 Spring Survey Camp 74 Usually the P.C. and P.T. do not fall at even stations but we are usually required to place our stakes at the even stations on the curve. The first and last odd length of arc or odd station, therefore, is usually less than 20 meters and the first and last deflection angles are less than D/2. In the case of an arc of a circle, the angle subtended at the centre is directly proportional to the length of the arc. Da = Angle subtended by a full 100 meter station D = Angle subtended by a full station (i.e. may to 100 or less) d = Angle subtended by an odd length station l = Length of arc of an odd station S= Length of arc of a full station C = Chord distance The deflection angle for an odd station = d/2 OR in more general form for an arc length, S D and d are in degrees The degree of curve, Da is defined for a 100 m arc length, since we are using 20 m arcs the angle, D subtended by the 20 m arc is 1/5 of Da namely 4o .
  • 18.
    Prof. Moir D.Haug CE 271 Spring Survey Camp 75 The deflection angle, D/2 for a full 20.000 m station is thus 2o , The distance from P.C. to the first full station is [(3 + 920.000) – (3 + 912.500)] = 7.50 m, and the distance from the last full station on the curve to P.T, is [( 4 + 112.500) - (4 + 100.000)] = 12.500 m. The deflection angles for the odd increments at the beginning and the end of the curve are: d1 = (7.5/20.000)* (4o ) = 1o 30' (at beginning or curve), and d1/2 = (7.5/20.000)* (4o /2o ) = 0o 45' ( at beginning or curve). d2/2 = (12.5/20.000)* (4o /2o ) = 1o 15 ' (at end of curve ) Chord distances for the initial and final odd increments of arc and the full station are: C1 = 2R Sin d1/2 = 2 x 286.479 Sin 0.75o = 7.500 meter C2 = 2R Sin d2/2 = 2 x 286.479 Sin 1.25o = 12.499meter C20 = 2R Sin D/2 = 2 x 286.479 Sin 2o = 19.996 meters It can be seen that the chords lengths are nearly equal to the arc length and no correction would have to be applied to account for the difference. Let us now make up a set of field notes for the curve. It should be emphasized that the form of field notes given is not necessarily THE form of field notes though it satisfies our needs quite well. The notes are set up on the assumption that the transit/theodolite is set up at the P.C, (Stn 3 + 912.500) and that the plates read 0' 00' 00'' with the instrument sighted on the P.I. (Stn 4 + 016.770).
  • 19.
    Prof. Moir D.Haug CE 271 Spring Survey Camp 76 The notes are designed to be absolutely complete so that the person who is going to lay out the curve does not have to refer to any other source for any information he may require with regard to the curve. The bottom and top lines in the notes relate our particular curve to the preceding and following curves. The column headed "Bearing' orients the curve in relation to the rest of the project as does the sketch. STATION POINT DEFLECTION ANGLE BEARING CURVE DATA 9 + 918.570 P.C. S 25o 18' E 4 + 112.5 P.T. 20o 00' 00" =  /2  = 40o 00' 00" 4 + 100 18o 45' 00 4 + 080 16o 45' 00" Da = 20 4 + 060 14o 45' 00" 4 + 040 12o 45' 00 La = 200.000 4 + 020 10o 45' 00 4 + 000 8o 45' 00 T = 104.270 2 + 980 6o 45' 00 2 + 960 4o 45' 00 D/2 = 2o 00' 00" 3 + 940 2o 45' 00 d/1 = 0o 45' 00" 3 + 920 0o 45' 00" d/2 = 1o 15' 00" 3 + 912.500 P.C. 0o 00' 00" Figure 14 Note that the stationing increases from the bottom of the page towards the top so that the instrument-person, standing at P.C. and looking at the notes, sees the notes going away from him/her as does the curve.
  • 20.
    Prof. Moir D.Haug CE 271 Spring Survey Camp 77 Figure 15: Right – hand Page Show : Page No, (The right-hand and left-hand sheets have the same page no.) Project (If it is separate from that on preceding and following pages) Party; Date; Weather Conditions. Sketch of curve (not necessary to scale) Approximate orientation of curve (or correct values if known)
  • 21.
    Prof. Moir D.Haug CE 271 Spring Survey Camp 78 We can check our curve by using latitudes and departures to calculate the theoretical closing error a t the E.C. if a series of chords are laid out from the B.C, Figure 16(a), not to scale. Figure 16(b), not to scale.
  • 22.
    Prof. Moir D.Haug CE 271 Spring Survey Camp 79 The actual, stacked E.C. {neglecting errors in layout) falls 0.012 m outside the forward tangent and 0.035 m beyond the theoretical E.C. This error is not large and greater accuracy would be acquired by having shorter chords lengths.
  • 23.
    Prof. Moir D.Haug CE 271 Spring Survey Camp 80 6. Intermediate Set-up for Simple Circular Curve Sometimes, because of the length of a curve or because of physical obstructions, the whole curve cannot be run in from either the P.C. or the P.T. If this is the case it becomes necessary to set the transit up at some station on the curve and to orient it in such a way that the field notes can be used without modification or further calculations. With reference to Figure 17 and using the field notes shown previously we will assume that, with the instrument set up at the P.C., we have staked the curve to Station 4 + 000.000 but are unable to see beyond that point . We move the transit to Station 4 + 000.000. Consider the curve AOB (Fig. 17) as being a complete curve in itself, The central angle AOB = 17o 30’ Angle BAO = Angle ABO = 81o '15' Triangle AV,B is an isosceles  because the two subtangent distances (T1 )* AV1 and V1B, are equal. Angle BAV1, = Angle V1 BA = 8o 45' With the instrument set up at B, with the plates clamped at zero, sight back on A and clamp both motions. Unclamp the upper motion and turn a clockwise angle of 8 o 45'. The line of sight now lies along the line V1 BV2 and is tangent to the curve at B. If B was the beginning of a curve, the deflection angle to Stn 4 + 020 would be 2o 00' If we plunge the telescope we will be sighting along the line BV2 and if we add 2 o 00" to the 8 o 45' already set on the plates we will be sighted on Stn 4 + 020 with 10 o 45 ' set on the plates which is the value of the notes for Stn 4 + 020.
  • 24.
    Prof. Moir D.Haug CE 271 Spring Survey Camp 81 Let us now assume that we are able to stake to Stn 4 + 080 but cannot see beyond Point C. We move our transit to Point C. Let us consider curve BOC (Fig. 17) to be complete in itself. Angle BOC = 16 o 00'. Angle OBC = Angle OCB = 82 o 00' Triangle BV2 is an isosceles triangle because the two subtangent distances (T2) BV2 and V2C are equal. Angle V2BC = Angle V2CB = 8o 00' With the instrument set up at C, with the plates clamped at 8 o 45’, sight back on B and clamp both motions. Unclamp the upper motion and turn the instrument clockwise an additional 8o 00', so that the plates read 16o 45' and the line of sight lies along the line V2 CV3 and is tangent to the curve at Point C. If C was the beginning of a curve the deflection angle to Stn 4 + 100 would be 2o 00’. If we plunge the telescope the line of sight will be along the subtangent CV3 and if we add 2 o 00’ to the 16 o 45' already set on the plates we will be sighted on Stn 4 + 100 with 18 o 45' set on the plates which is the value in the notes for Stn 4 +100. Again, we can proceed to stake the next portion of the curve without changing the field notes. The two statements allow us to formulate a general rule for intermediate setups on a simple circular curve. When we occupy an intermediate station on a simple circular curve and sight back on some previously established station, for the purpose of orienting the transit, the plates of the transit must be clamped at the value of the deflection angle for the station being sighted on. After Backsighting and clamping the lower motion, if we change the value of the angle on the plates
  • 25.
    Prof. Moir D.Haug CE 271 Spring Survey Camp 82 to that for the deflection angle of the station that is occupied by the instrument, the line of sight will be tangent to the curve and we can plunge the telescope and continue staking the curve without making any change in the field notes. Figure 17 Intermediate backsighting setup on a Simple Circular Curve (not too scale)
  • 26.
    Prof. Moir D.Haug CE 271 Spring Survey Camp 83 On Fig. 18 there is a slightly different application of the rule. In this case, the curve has been staked from the P.C. to Stn 0 + 300, but the instrument is oriented by sighting ahead to the P.T. The principle is the same as that outlined above. Figure 18, Intermediate foresighting set up on a Simple Circular Curve (not too scale) . The curve has been staked from A t o B and the instrument has been set up a t B. You will orient it by sighting ahead on the P.T. We will treat the sector BOC as an entity in itself. He deduce the angle BOC to be 22o 30". Angle OBC - Angle OCB = 78o 45'
  • 27.
    Prof. Moir D.Haug CE 271 Spring Survey Camp 84 In a BV1,C1, B V1 = V1C - T1 So  is isosceles Angle V1BC = Angle V1CB = 11o 15' Following the rule set out on the previous example with the instrument set up at B, s e t the deflection angle for C (20o 00') on the plates. Sight on C and clamp the lower motion. Unclamp the upper motion and set the plates the deflection angle for point B. Note that 29 o 00' - 8o 45' = 11o 15' and the line of sight now lies along the line. BV1 and we can continue staking without changing our notes. 7 . Field Procedure a) Set up a t P.I. and layout tangents to establish P.C. and P. T. b) Set up a t P.C. and sight back to P.I . Set plates to 00 o 00’ 00”. c) Turn off first deflection angle on transit and measure out the first subchord distance, pound in hub and write stationing on it. d) Continue laying out chords and placing hubs. When the last station (P.T. Is reached the last subchord measured out should be quite close t o the P.T. hub established earlier. If it is not, an error has been made and the curve has to be run in all over again. e) It is advisable to use intermediate s e t u p s when setting out the curve. They prevent communication difficulties and tend to reduce the number of errors.
  • 28.
    Prof. Moir D.Haug CE 271 Spring Survey Camp 85 PROBLEMS 1. Calculate the radius of the curve that will pass through Point P, using 1atitudes and departures. Determine the stationing of the P.C. and P,T, and o f Point P on the curve. 2 . Solve for length of the curve intersection distance AB, based on the following diagram.
  • 29.
    Prof. Moir D.Haug CE 271 Spring Survey Camp 86 3. Calculate BC, area ABC (shaded) and angle d: