1
LIMIT & CONTINUITY
A SHORT NOTES
Arun Umrao
https://sites.google.com/view/arunumrao
DRAFT COPY - GPL LICENSING
2 Limit
Contents
1 Limit 3
1.1 Limit . . . . . . . . . . . . . . . . . . . . . . . . . . . . . . . . 3
1.1.1 Why x → a? . . . . . . . . . . . . . . . . . . . . . . . . 5
1.1.2 Closeness . . . . . . . . . . . . . . . . . . . . . . . . . 7
1.1.3 Concept of Limit . . . . . . . . . . . . . . . . . . . . . 8
1.1.4 Rules of Limit . . . . . . . . . . . . . . . . . . . . . . . 10
1.1.5 Series Expansion of Relations . . . . . . . . . . . . . . 13
1.1.6 Finding Limits . . . . . . . . . . . . . . . . . . . . . . 20
1.1.7 Limit Of Functions in Form Of y = xx
. . . . . . . . . 42
1.1.8 Limit of Function at Integer Value . . . . . . . . . . . 51
1.1.9 Limit of Modulus Functions . . . . . . . . . . . . . . . 52
1.1.10 Limit of Derivative Type Functions . . . . . . . . . . . 56
1.1.11 Limit by Substitution . . . . . . . . . . . . . . . . . . . 58
1.1.12 Limit of Piece-wise Functions . . . . . . . . . . . . . . 60
1.1.13 L’Hospital’s Rule . . . . . . . . . . . . . . . . . . . . . 63
1.1.14 Squeeze Theorem . . . . . . . . . . . . . . . . . . . . . 73
1.1.15 Multi-variable Limit . . . . . . . . . . . . . . . . . . . 75
2 Continuity 81
2.1 Continuity . . . . . . . . . . . . . . . . . . . . . . . . . . . . . 81
2.1.1 Continuity at Closed Interval . . . . . . . . . . . . . . 83
2.1.2 Properties of Continuous Function . . . . . . . . . . . 83
2.1.3 Discontinuity . . . . . . . . . . . . . . . . . . . . . . . 85
2.1.4 Intermediate Value Theorem . . . . . . . . . . . . . . . 97
1.1. LIMIT 3
1Limit
1.1 Limit
A limit is a finite constant value of a function when function approaches to
a given value. The general notation of limit is as follows:
lim
x→a
f(x) (1.1)
This is read as “The limit of function f(x) when x approaches a”.
Illustrated Example Let a function f(x) = 1/x2
and what happen to it
if x → 0. Assume x = 0.1 initial point of function f(x) and x = 10 final
point of the function. Now break the range in ten divisions and calculate
the corresponding values of f(x). The following table of the result is given
below.
x 1/x2
0.01 10000
0.1 100
0.5 4
1 1
5 0.04
10 0.01
4 Limit
20
40
1 2 3
x
f(x)
Figure 1.1: Plot of function f(x) = 1
x2 .
It is seen from table 1.1 as well as from figure (1.1), the value of f(x)
increases with decrease of value of x. At x = 0.1 the value of f(x) is 100.
Hence limit of function f(x) = 1/x2
at x → 0.1 is 100.
Illustrated Example Consider an other function f(x) = x2
whose limit is
to be found at x = 0. Now the function table is
x f(x) = x2
-2 4
-1 1
0 0
1 1
2 4
And the graph figure is
2
4
1 2
−1
−2
x
f(x)
Figure 1.2: Plot of function f(x) = x2
.
Function f(x) is well known equation of parabola and its vertex is at
origin i.e. at (0, 0). The limit of function at x → 0 is zero.
1.1. LIMIT 5
Mathematically
lim
x→0
f(x) = lim
x→0
x2
= 02
= 0
From above two examples it is clear that the limit of a function is the nu-
merical value of function at the given point.
1.1.1 Why x → a?
In limits, we hardly say that find limit of a function when x = a. This
is because, in rational functions, denominator should not be exactly zero,
otherwise there shall be logical error of division by zero. For example,
lim
x=1
f(x) = lim
x=1
x
x − 1
The denominator becomes 0 at x = 1 and at this point limit shall be 1/0,
i.e. logical error of division by zero. But there shall be no logical error of
division by zero, if x − 1 6= 0 but x − 1 is very very close to 0, i.e. it may be
0.00000001 or 0.00000000001 or less. At all these points, limit shall approach
to very large number (diverging) but not exactly infinity (uncountable very
large number). Consider another function
lim
x=0
f(x) = lim
x=0
sin x
x
At x = 0, limit is
lim
x=0
f(x) =
sin 0
0
A logical error of division by zero. To remove this problem, we approach x
closer to 0, taking x = 0.00000001 or x = 0.00000000001 or lesser. At both
points,
lim
x=0.00000001
f(x) =
sin 0.00000001
0.00000001
≈ 1
See the tables given below:
6 Limit
x f(x) = sin x
x
-0.5 0.95885
-0.4 0.97355
-0.3 0.98507
-0.2 0.99335
-0.1 0.99833
0.0 #DIV/0!
0.1 0.99833
0.2 0.99335
0.3 0.98507
0.4 0.97355
0.5 0.95885
In the following tables, x values are put very close to 0. The corresponding
values of f(x) are given in second column of the table.
x f(x) = sin x
x
-0.00000100 1.0
-0.00000075 1.0
-0.00000050 1.0
-0.00000025 1.0
0.00000001 1.0
0.00000025 1.0
0.00000050 1.0
0.00000075 1.0
0.00000100 1.0
That’s why, limit points are always represented as x → a rather than
x = a. Bi-directional limit points are represented as x±
→ a.
1.1. LIMIT 7
1.1.2 Closeness
Let f(x) is a function of x continuous in (−∞, ∞). Let x = a is a point
where function value is f(a). If x is changed by δa to x = a ± δa then value
of f(x) is changes by σf(a), that is obtained by f(a ± δa) − f(a). δa → 0
then we can say that f(a) and f(a ± δa) are close to each other. This is
known as closeness. Degree of closeness define that a function is continuous
or not and limit exists at the given point. The desired precision in result is
prime consideration of closeness of the function values.
Solved Problem 1.1 Find the function value of f(x) = x2
− 1 at x = 1.
Solution The function value is f(1) = 12
− 1 = 0.
Solved Problem 1.2 Find the function value of f(x) = x2
−1 at x = 0.99999.
Discuss answer for function value at x = 1.
Solution The function value is f(0.99999) = 0.999992
− 1 = 0.00002.
The function value is f(1) = 12
− 1 = 0. Here, x is changed by −0.00001
and corresponding function value is changed by 0.00002. If we have to take
three decimal precision, then we can say that function values at x = 1 and
x = 0.99999 are exactly equal to each other. Upto five decimal precision, we
can say that function values are very close to each other.
Solved Problem 1.3 Find the function value of f(x) = x3
− 1 at x = 0.99,
x = 0.999, x = 0.9999 and x = 1. Discuss your finding.
Solution The function value at x = 0.99 is
f(0.99) = 0.992
− 1 = 0.0199
Similarly,
f(0.999) = 0.9992
− 1 = 0.001999
f(0.9999) = 0.99992
− 1 = 0.00019999
f(1) = 12
− 1 = 0
Here, x is moving towards 1 function value approaching to 0.
8 Limit
1.1.3 Concept of Limit
Generaly, limit of a function at a point is function value at that point. For
example, at point x = 0 the limit of a function f(x) = x is f(0) = 0. This
concept is invalid in case of algebraic function. For example, in the algebraic
fraction
f(x) =
x + 1
x − 1
limit can not be obtained just by putting value of x in fractions, as denomi-
nator can not be equal to zero, i.e. x − 1 6= 0, i.e. x = 1. It means, fraction
is not continuous (broken) when x = 1. Now, the question rises that what
is function value at x = 1. The answer lies in the step size of the function
table. Take the function
f(x) =
x + 1
x − 1
which is graphed between x = 0 to x = 2 in 11 steps. The step size is given
by
∆x =
2 − 0
11 − 1
= 0.2
Now the function table becomes
x f(x)
0.0 -1.0
0.2 -1.5
0.4 -2.3
0.6 -4.0
0.8 -9.0
1.0 ∞
1.2 11.0
1.4 6.0
1.6 4.3
1.8 3.5
2.0 3.0
We see that at x = 1, the function value is infinite and hence not accept-
able. Now, the get the continuity of the function, we will change the step
1.1. LIMIT 9
size so that the point x = 1 can not be avoided. Now, we will take the 12
steps, for the function table. Now, the step size is
∆x =
2 − 0
12 − 1
= 0.125
x f(x)
0.00 -1.0
0.18 -1.4
0.36 -2.1
0.54 -3.3
0.72 -6.1
0.90 -19.0
1.08 26.0
1.26 8.7
1.44 5.5
1.62 4.2
1.80 3.5
2.00 3.0
Now, the point x = 1 is skipped and the function behaves like a continuous
function. Taking the neighbouring values of the function about x = 1, the
function tends to move towards 26 from x+
→ 0 and towards −19 when
x−
→ 0. See the following graph.
10
20
−10
−20
1 2
−1
x
f(x)
bc
10 Limit
Here, step size of the independent variable plays an important role in the
determining of the limit of the function. If step size is small, the limit either
approaches to infinity or to zero. Therefore, the step size should be choosed
carefully, so that in the function table, value of x does not coincide to the
underterminant point.
1.1.4 Rules of Limit
Limit is a finite value of a function at a point when variable approaches to
the point in number line either from left or right of the point. There are
some common rules followed when limit is observed. These are
Constant Rule
Constant rule is applicable to the constant function. In constant rule, if
f(x) = b then the limit of function f(x) at every point x → c is also b.
lim
x→c
f(x) = b (1.2)
Identity Rule
Identity rule states that if f(x) = x then the limit of function at limit x → c
is c. Here, limit of the function is point itself.
lim
x→c
f(x) = lim
x→c
x = c (1.3)
Infinite Oscillation
If the value of function rapidly changes above and below of horizontal axis,
when function approaches to the limit point, function is called oscillatory
function. As function approach to limit, oscillation takes places thousands
of time hence it is called infinite oscillation. The function f(x) = sin(1/x)
gives the infinite oscillation as it approaches to x → 0.
1.1. LIMIT 11
x f(x) = sin(1/x)
-0.0010 -0.8268795405
-0.0009 0.8482585627
-0.0008 0.3465363520
-0.0007 -0.7534074468
-0.0006 -0.9986605465
-0.0005 -0.9300395044
-0.0004 0.6501275236
-0.0003 0.1033430380
-0.0002 0.9879664388
-0.0001 0.3056143888
0.0000 -0.9629394662
0.0001 -0.3056143889
0.0002 -0.9879664388
0.0003 -0.1033430380
0.0004 -0.6501275236
0.0005 0.9300395044
0.0006 0.9986605465
0.0007 0.7534074468
0.0008 -0.3465363520
0.0009 -0.8482585627
0.0010 0.8268795405
From the table, we see that when x moves from −0.0010 to x = 0.0010,
function crosses x-axis (i.e. from positive to negative or from negative to
positive function values) more than seven times. The graph of the oscillating
function is shown below:
12 Limit
1
−1
1 2 3 4 5 6 7
x
f(x)
Figure 1.3: Infinite Oscillatory Function f(x) = sin 1
x

.
Identities of Limits
A relation of single terms containing constants and variable, constant is ex-
tracted outside the limit operation during the finding of limits. For example
lim
x→c
k f(x) = k lim
x→c
f(x)
A relation has multiple terms with arithmetic operations, limit operation is
performed on all terms separately by maintaining the arithmetic operations.
For terms in summation
lim
x→c
{f(x) + g(x)} = lim
x→c
f(x) + lim
x→c
g(x)
For terms in subtraction
lim
x→c
{f(x) − g(x)} = lim
x→c
f(x) − lim
x→c
g(x)
For terms in product
lim
x→c
{f(x) × g(x)} = lim
x→c
f(x) × lim
x→c
g(x)
For terms in division
lim
x→c
f(x)
g(x)
=
limx→c f(x)
limx→c g(x)
Solved Problem 1.4 If lim
x→1
x+a
x−1
= 1, then find the value of a.
Solution Here,
lim
x→1
x + a
x − 1
= 1
1.1. LIMIT 13
is defined and it can be written as
lim
x→1
(x + a)
lim
x→1
(x − 1)
= 1
On simplification, we have
lim
x→1
(x + a) = 1 × lim
x→1
(x − 1)
Substituting the limits, we have 1 + a = 0, i.e. a = −1.
1.1.5 Series Expansion of Relations
The expansion of various series are given below:
Expansion of (a + x)n
(a + x)n
= n
C0an
+ n
C1an−1
x + n
C2an−2
x2
+ n
C3an−3
x3
+ . . . + n
Cnxn
Proof The binomial expression (a + x)n
can be written as
(a + x) × (a + x) × (a + x) × (a + x) × (a + x) × . . . . . . × n
When n = 0, we get the binomial relation for zero degree.
(a + x)0
= 1
Putting n = 1, the first degree polynomial is give nby
(a + x)1
= a + x
= 1
C0a1
+ 1
C1a1−1
x1
Second degree binomial expansion of function is obtained when n = 2l
(a + x)2
= a2
+ 2ax + x2
= 2
C0a2
+ 2
C1a2−1
x1
+ 2
C2a2−2
x2
14 Limit
Again,
(a + x)3
= a3
+ 3a2
x + 3ax2
+ x3
= 3
C0a3
+ 3
C1a3−1
x1
+ 3
C2a3−2
x2
+ 3
C3a3−3
x3
For n times successive multiplications
(a + x)n
= n
C0an
+ n
C1a(n−1)
x + n
C2a(n−2)
x2
+ . . .
+ n
C(n−1)ax(n−1)
+ n
Cnxn
(1.4)
This is called nth
power binomial expansion of a two term function.
Expansion of (1 + x)n
(1 + x)n
= 1 + nx +
n(n − 1)
2!
x2
+
n(n − 1)(n − 2)
3!
x3
+ . . .
Proof From equation (1.4), put a = 1 and solve combinations the result
will be
(1 + x)n
= 1 + nx +
n(n − 1)
2!
x2
+
n(n − 1)(n − 2)
3!
x3
+ . . . (1.5)
Expansion of (1 − x)n
The expansion of binomial expression (1 − x)n
is
(1 − x)n
= 1 − nx +
n(n − 1)
2!
x2
−
n(n − 1)(n − 2)
3!
x3
+ . . .
It can be proved as given below.
Proof Substitute x = −x in equation (1.5) the result will be
(1 − x)n
= 1 − nx +
n(n − 1)
2!
x2
−
n(n − 1)(n − 2)
3!
x3
+ . . . (1.6)
1.1. LIMIT 15
Expansion of ax
ax
= 1 + x loge a +
x2
2!
(loge a)2
+
x3
3!
(loge a)3
+ . . .
Proof ax
can be written in exponential form like ex loge a
. Now expanding
the exponential series
ex loge a
= 1 + x loge a +
x2
2!
(loge a)2
+
x3
3!
(loge a)3
+ . . .
Or
ax
= 1 + x loge a +
x2
2!
(loge a)2
+
x3
3!
(loge a)3
+ . . . (1.7)
It is required expansion of the series.
Expansion of ex
ex
= 1 + x +
x2
2!
+
x3
3!
+ . . .
Proof We know that
ax
= 1 + x loge a +
x2
2!
(loge a)2
+
x3
3!
(loge a)3
+ . . .
Substituting the base a with base e, we have
ex
= 1 + x loge e +
x2
2!
(loge e)2
+
x3
3!
(loge e)3
+ . . .
As loge e = 1, above relation becomes
ex
= 1 + x +
x2
2!
+
x3
3!
+ . . . (1.8)
Expansion of sin x
sin(x) = x −
x3
3!
+
x5
5!
− . . . . . .
16 Limit
Proof From Euler’s formula eix
= cos x + i sin x,
cos x + i sin x = 1 +
ix
1!
+
(ix)2
2!
+
(ix)3
3!
+
(ix)4
4!
+ . . .
= 1 +
ix
1!
−
x2
2!
−
ix3
3!
+
x4
4!
+ . . .
=

1 −
x2
2!
+
x4
4!
− . . .

+ i

x
1!
−
x3
3!
+ . . .

Comparing imaginary part from both side
sin(x) = x −
x3
3!
+
x5
5!
− . . . . . . (1.9)
Expansion of cos x
cos(x) = 1 −
x2
2!
+
x4
4!
− . . . . . .
Proof From Euler’s formula eix
= cos x + i sin x,
cos x + i sin x = 1 +
ix
1!
+
(ix)2
2!
+
(ix)3
3!
+
(ix)4
4!
+ . . .
= 1 +
ix
1!
−
x2
2!
−
ix3
3!
+
x4
4!
+ . . .
=

1 −
x2
2!
+
x4
4!
− . . .

+ i

x
1!
−
x3
3!
+ . . .

Comparing real part from both side
cos(x) = 1 −
x2
2!
+
x4
4!
− . . . . . . (1.10)
Expansion of tan x
tan(x) = x +
x3
3
+
2
15
x5
+ . . .
1.1. LIMIT 17
Proof If expansions sin(x) and cos(x) are divided then tan(x) is obtained
in form of expansion. Hence
tan(x) =
sin(x)
cos(x)
(1.11)
On simplification, its expansion will be
tan(x) = x +
x3
3
+
2
15
x5
+ . . . (1.12)
Expansion of loge(1 + x)
loge(1 + x) = x −
x2
2
+
x3
3
−
x4
4
+ . . .
Proof
Expansion of loge(1 − x)
loge(1 − x) = −x −
x2
2
−
x3
3
−
x4
4
− . . . . . .
Proof
Expansion of arcsin x
arcsin(x) = x +
x3
3!
+
x5
5!
+ . . .
Proof
Expansion of arctan x
arctan(x) = x −
x3
3
+
x5
5
− . . . . . .
Proof
18 Limit
Expansion of sinh x
sinh(x) = x +
x3
3!
+
x5
5!
+ . . .
Proof We know that
sin(x) = x −
x3
3!
+
x5
5!
− . . . . . .
Substituting x by ix in both side
sin(ix) = ix −
(ix)3
3!
+
(ix)5
5!
− . . .
Applying the hyperbolic relation for trigonometric function
i sinh(x) = ix + i
x3
3!
+ i
x5
5!
+ . . .
On simplification
sinh(x) = x +
x3
3!
+
x5
5!
+ . . . (1.13)
Expansion of cosh x
cosh(x) = 1 +
x2
2!
+
x4
4!
+ . . .
Proof We know that
cos(x) = 1 −
x2
2!
+
x4
4!
− . . .
Substituting x by ix in both side
cos(ix) = 1 −
(ix)2
2!
+
(ix)4
4!
− . . .
Applying the hyperbolic relation for trigonometric function
cosh(x) = 1 +
x2
2!
+
x4
4!
+ . . .
On simplification
cosh(x) = 1 +
x2
2!
+
x4
4!
+ . . . (1.14)
1.1. LIMIT 19
Limits Exhibits Extra Ordinary Properties
loge 1 = 0
loge e = 1
loge ∞ = ∞
loge 0 = −∞
Proof Let y = loge 1 and from logarithm
1 = ey
ey
= e0
On comparing powers in both sides
y = 0
Or
loge 1 = 0
Similarly loge e = 1. For loge ∞ = ∞, let loge ∞ = y
ey
= ∞
=
1
0
=
1
e−∞
= e∞
On comparing the powers of e in both side
y = ∞
Substituting the value of y
loge ∞ = ∞
Similarly loge 0 = −∞.
20 Limit
1.1.6 Finding Limits
Finding limit is more analytical than mathematical. We can not just get
function value at given point to find the limit. For example,
L = lim
x→0
x
x
We can not solve it just substituting x by 0 for finding of limit. First we
have to rationalized x/x to 1 then substitute the limit. The basic rule of
finding limit is rationalize and solve. At first given function must reduce
to basic form or to simplest form and then limit case be applied. Take simple
example,
L = lim
x→0

2
x
 
2
x
− 1
 
2
x
− 2
 x
2
3
We can not just substitute x = 0 to get the limit as it gives errors of division
by zero.
L =

2
0
 
2
0
− 1
 
2
0
− 2
 
0
2
3
To overcome this type of problem, we shall reduce this function, i.e. ratio-
nalize to it as
L = lim
x→0

2
x
 
2 − x
x
 
2 − 2x
x
 x
2
3
Or
L = lim
x→0
2(2 − x)(2 − 2x)

1
2
3
Now, we put limit
L = lim
x→0
2(2 − 0)(2 − 0)

1
2
3
= 1
Which gives L = 1.
Limit by Substitution
The linear functions give limit on simply substituting the x by limit point.
For example, limit of the function f(x) = x + 2 at x = 0 is f(0) = 0 + 2 = 2.
By this method we shall solve some more problems as given below:
1.1. LIMIT 21
Solved Problem 1.5 Find the limits of functions y = 2x + 2 at x → 0.
Solution The limit of function y is
lim
x→0
y = lim
x→0
(2x + 2)
1
2
3
1
−1
x
f(x)
y = 2x + 2
Taking limits in right hand side
lim
x→0
y = 2 × 0 + 2
It gives the limit of the given function.
lim
x→0
y = 2
It is limit of the function at x = 2.
Solved Problem 1.6 Find the limits of functions y = 4x − 4 at x → 0.
Solution The limit of function y is
lim
x→0
y = lim
x→0
(4x − 4)
−2
−4
−6
−8
1
−1
x
f(x)
y = 4x − 4
Taking limits in right hand side
lim
x→0
y = 4 × 0 − 4
It gives the limit of the given function.
lim
x→0
y = −4
Function approaches to −4 when x approaches to 0.
22 Limit
Solved Problem 1.7 Evaluate limit of limx→−2
x3+2
x+2
.
Solution The limit function is
lim
x→−2
x3
+ 2
x + 2
Applying limit in right hand side
L =
(−2)3
+ 2
−2 + 2
It gives the limit of the relation L = ∞.
Solved Problem 1.8 Find the limits of functions y = x + 12 at x → 0.
Solution The limit of function y is
lim
x→0
y = lim
x→0
(x + 12)
Taking limits in right hand side
lim
x→0
y = 0 + 12
It gives the limit of the given function.
lim
x→0
y = 12
Function approaches to 12 when x approaches to 0.
Solved Problem 1.9 Find the limits of functions y = 4(x − 1) − 14 at x → 0.
Solution The limit of function y is
lim
x→0
y = lim
x→0
(4(x − 1) − 14)
Taking limits in right hand side
lim
x→0
y = 4 × (0 − 1) − 14
It gives the limit of the given function.
lim
x→0
y = −18
Function approaches to −18 when x approaches to 0.
1.1. LIMIT 23
Solved Problem 1.10 The equation of line is y = mx + 3. Find the limit of
the line when x → 1.
Solution The limit of function y is
lim
x→0
y = lim
x→0
(mx + 3)
Taking limits in right hand side
lim
x→0
y = m × 1 + 3
It gives the limit of the given function.
lim
x→0
y = m + 3
Function approaches to m + 3 when x approaches to 0.
Solved Problem 1.11 Find the limits of functions y = 4x2
− 4 at x → 0.
Solution The limit of function y is
lim
x→0
y = lim
x→0
(4x2
− 4)
Taking limits in right hand side
lim
x→0
y = 4 × 02
− 4
It gives the limit of the given function.
lim
x→0
y = −4
Function approaches to −4 when x approaches to 0.
Solved Problem 1.12 The function is y = x3
+ 12. Find limit at x → 0.
Solution The limit of function y is
lim
x→0
y = lim
x→0
(x3
+ 12)
Taking limits in right hand side
lim
x→0
y = 02
+ 12
24 Limit
It gives the limit of the given function.
lim
x→0
y = 12
The function approaches to 12 when x approaches to zero.
Solved Problem 1.13 The function is y = 4(x−1)2
−14. Find limit at x → 0.
Solution The limit of function y is
lim
x→0
y = lim
x→0
(4(x − 1)2
− 14)
Taking limits in right hand side
lim
x→0
y = 4 × (0 − 1)2
− 14
It gives the limit of the given function.
lim
x→0
y = −10
The function approaches to −10 when x approaches to zero.
Solved Problem 1.14 Evaluate limx→2
x2−3
2
.
Solution The limit of given relation is
L = lim
x→2
x2
− 3
2
Applying limit gives acceptable value, hence
L =
22
− 3
2
=
1
2
This is limit of the given relation.
Solved Problem 1.15 Evaluate limx→2
x2−3
x−1
.
Solution The limit of given relation is
L = lim
x→2
x2
− 3
x − 1
1.1. LIMIT 25
Applying limit gives acceptable value, hence
L =
22
− 3
2 − 1
= 1
This is limit of the given relation.
Solved Problem 1.16 Evaluate limx→3
x+2
x−3
.
Solution The limit of given relation is
L = lim
x→3
x + 2
x − 3
Applying limit gives infinite value of the function at x = 3. hence
L =
3 + 2
3 − 3
= ∞
It means that there is no limit at x = 3.
Solved Problem 1.17 Evaluate limx→0
√
x−3−
√
3
x
.
Solution This function is in reduced form. Hence on applying limit to
the function, it gives
L = lim
x→0
√
x − 3 −
√
3
x
=
√
−3 −
√
3
0
= ∞
Hence the limit of the function at x → 0 is ∞.
Solved Problem 1.18 Evaluate limx→2
3
x−2
.
Solution This function is in reduced form. Hence on applying limit to
26 Limit
the function, it gives
L = lim
x→2
3
x − 2
=
3
2 − 2
= ∞
Hence the limit of the function at x → 0 is ∞.
Limit by Simplification
Some times functions are given in complex form which are reducible to one
or two terms and gives exact limit at a given point on application of limit.
For example,
l1 = lim
x→1
x − 1
x2 − 1
When we put x = 1, we get undetermined form 0/0. But if we simplify
denominator, we get function reduced to
l1 = lim
x→1
x − 1
(x − 1)(x + 1)
= lim
x→1
1
x + 1
Now the limit of given function is l1 = 1/2.
Limit at Infinity When a function limit is to be found at x → ∞, we
have careful about the nature of the function. First we should check whether
function is diverging or converging. If function is diverging at x → ∞, try
to convert function divergent. For example,
l = lim x → ∞
x2
− 1
x2 + 1
This function has diverging numerator and denominator, we can convert
them converging if both numerator and denominator are divided by highest
degree term without coefficient, i.e. x2
.
l = lim x → ∞
1 − 1
x2
1 + 1
x2
Now, its both numerator and denominator are converging. We can now
apply limit directly. If it is not possible to convert the diverging function
into converging function, then its limit shall be infinity at x → ∞.
1.1. LIMIT 27
Solved Problem 1.19 Find limit of function
l = lim
x→3
√
5x − 6 −
√
x + 6
x2 − 9
Solution On substituting the value of x = 3, the function returns 0/0
which is not acceptable. So we shall simplify the function. Now multiplying
√
5x − 6 +
√
x + 6 in numerator and denominator both.
l = lim
x→3
√
5x − 6 −
√
x + 6
x2 − 9
×
√
5x − 6 +
√
x + 6
√
5x − 6 +
√
x + 6
This gives
l = lim
x→3
(5x − 6) − (x + 6)
(x2 − 9) × (
√
5x − 6 +
√
x + 6)
l = lim
x→3
4x − 12
(x − 3)(x + 3) × (
√
5x − 6 +
√
x + 6)
l = lim
x→3
4
(x + 3) × (
√
5x − 6 +
√
x + 6)
Applying limit in right hand side, we have
l =
4
(3 + 3) × (
√
15 − 6 +
√
3 + 6)
=
4
36
=
1
9
This is limit of given function.
Solved Problem 1.20 Evaluate limx→2
x3−27
x−3
.
Solution The limit of given relation is
L = lim
x→2
x3
− 27
x − 3
Applying limits
28 Limit
10
20
30
1 2 3 4
−1
x
f(x)
b
b
b
b
b
b
7.0
9.0
13.0
19.0
27.0
37.0
limx→3
x3
−27
x−3
L =
23
− 27
2 − 3
=
−19
−1
= 19
This result can be obtained by expansion method of the limit. Hence ex-
panding the limit function.
L = lim
x→2
x3
− 27
x − 3
= lim
x→2
(x − 3)(x2
+ 3x + 9)
x − 3
= lim
x→2
(x2
+ 3x + 9)
Applying the limit
L = 22
+ 3 × 2 + 9
= 19
This is the limit of the given function at x = 2.
Solved Problem 1.21 Evaluate limx→2
x3−8
x−2
.
Solution The given relation is
L = lim
x→2
x3
− 8
x − 2
1.1. LIMIT 29
Applying limits
L = lim
x→2
23
− 8
2 − 2
It gives the limit in form of 0/0 that is not acceptable. Now expanding the
numerator
L = lim
x→2
x3
− 23
x − 2
= lim
x→2
(x − 2)(x2
+ 4 + 2x)
x − 2
= lim
x→2
x2
+ 4 + 2x
Applying the limit
L = 22
+ 4 + 2 × 2
= 12
This is the limit of the given function at x = 2.
Solved Problem 1.22 Evaluate limx→2
x3−3
x−1
.
Solution On applying the limit function gives finite value. Therefore its
limit exists at the point x → 2. Now
L = lim
x→2
x3
− 3
x − 1
=
8 − 3
2 − 1
= 5
It is the limit of the function when function approaches to the point x → 2.
Solved Problem 1.23 Evaluate limx→3
x3−3x−18
x−3
.
Solution The given relation is
L = lim
x→3
x3
− 3x − 18
x − 3
30 Limit
Applying limits
L = lim
x→3
33
− 3 × 3 − 18
3 − 3
It gives the limit in form of 0/0 that is not acceptable. Now making the
fractions of the numerator
L = lim
x→3
(x − 3)(x2
+ 3x + 6)
(x − 3)
= lim
x→3
(x2
+ 3x + 6)
Applying the limit
L = 32
+ 3 × 3 + 6
= 21
This is the limit of the given function at x = 3.
Solved Problem 1.24 Evaluate limx→2
x3−3
x−1
.
Solution On applying the limit, function gives finite value. Therefore its
limit exists at the point x → 2. Now
L = lim
x→2
x3
− 3
x − 1
=
8 − 3
2 − 1
= 5
It is the limit of the function when fuction approaches to the point x → 2.
Solved Problem 1.25 Evaluate limx→3
x3−3x−18
x−3
.
Solution The given relation is
L = lim
x→3
x3
− 3x − 18
x − 3
Applying limits
L = lim
x→3
33
− 3 × 3 − 18
3 − 3
1.1. LIMIT 31
It gives the limit in form of 0/0 that is not acceptable. Now making the
fractions of the numerator
L = lim
x→3
(x − 3)(x2
+ 3x + 6)
(x − 3)
= lim
x→3
(x2
+ 3x + 6)
Applying the limit
L = 32
+ 3 × 3 + 6
= 21
This is the limit of the given function at x = 3.
Solved Problem 1.26 Evaluate limx→0
x2−2
x−2
. Also graph the function and
find its propoerty when x → 2.
Solution On applying the limit, function gives finite value. Therefore its
limit exists at the point x → 0. Now
L = lim
x→0
x2
− 2
x − 2
=
0 − 2
0 − 2
= +1
It is the limit of the function when fuction approaches to the point x → 0.
1
1
−1
x
f(x)
b
b
b
b
b
limx→0
x2−2
x−2 20
−20
1 2 3 4
−1
x
f(x)
b b b
b
b
b b
limx→2
x2−2
x−2
When function approaches to x → 2, its value approaches to infinity. At
this point limit of the function does not exists.
32 Limit
Solved Problem 1.27 Evaluate limx→0
x2+2
x−2
. Also graph the function and
find its property when x → 2.
Solution On applying the limit, function gives finite value. Therefore its
limit exists at the point x → 0. Now
L = lim
x→0
x2
+ 2
x − 2
=
0 + 2
0 − 2
= −1
It is the limit of the function when fuction approaches to the point x → 0.
−1
−2
1
−1
x
f(x)
b
b
b
b
limx→0
x2−2
x−2
50
−50
1 2 3 4
−1
x
f(x)
b b b
b
b
b b
limx→0
x2−2
x−2
When function approaches to x → 2, its value approaches to infinity. At
this point limit of the function does not exists.
Solved Problem 1.28 Evaluate limx→0
x4−2x2
x2 .
Solution When limit is directly applied on the function, it gives unde-
terminant value. Hence function is simplified as
L = lim
x→0
x4
− 2x2
x2
= lim
x→0
x2
− 2
On applying the limit, functions gives value
L = −2
1.1. LIMIT 33
−1
−2
1
−1
x
f(x)
b
b
b
b
b
limx→0
x4−2x2
x2
This function is parabolic having mouth open towards the +y axis.
Solved Problem 1.29 Evaluate limx→2
x3−27
x−3
.
Solution The limit of given relation is
L = lim
x→3
x3
− 27
x − 3
Applying limit gives a result of type ∞/∞ at x = 3. This is not acceptable.
Now expanding the limit function.
20
1 2 3 4
−1
x
f(x)
b
b
b
b
b
b
7.0
9.0
13.0
19.0
27.0
37.0
limx→3
x3−27
x−3
L = lim
x→3
x3
− 27
x − 3
= lim
x→3
(x − 3)(x2
+ 3x + 9)
x − 3
= lim
x→3
(x2
+ 3x + 9)
Applying the limit
L = 32
+ 3 × 3 + 9
= 27
34 Limit
This is the limit of the given function at x = 3.
Solved Problem 1.30 Evaluate limx→4
x
√
x−2
.
Solution The given function is
l = lim
x→4
x
√
x − 2
On substituting x in right hand side, it gives
l =
x
√
4 − 2
=
x
±2 − 2
When we take +2, limit is infinity and when we take −2, limit is −1. Note
that, x never be less than zero as when x  0,
√
x becomes imaginary. The
denominator gives positive value when
√
x − 2  0, i.e. x  4. Similarly,
denominator gives negative value, when
√
x − 2  0, i.e. x  4. At point
x = 4, denominator is zero and limit of the function is infinity.
Solved Problem 1.31 Evaluate limx→1
x−1
|x−1|
.
Solution The function f(x) = x−1
|x−1|
has modulo denominator. This
function can not further simplified but it can be convertible. Therefore, we
first convert this function into a piecewise function. First we will find the
critical point for modulo term. This can be found equating modulo term to
zero.
x − 1 = 0 ⇒ x = 1
So, piecewise distribution of modulo term shall be about x = 1, that is also
discontinuous point of the given function.
(
limx→1
x−1
−(x−1)
when x  1
limx→1
x−1
x−1
when x  1
1
−1
1 2 3
−1
−2
x
f(x)
limx→1
x−1
|x−1|
1.1. LIMIT 35
Note that, the function is undefined for x = 1, this is due to denominator
term becomes zero when x = 1. This is division by zero condition and it
is unacceptable. The direction of limiting variable is also adjusted. For
example, first equation of above equation group, limit is calculated from
left side (minus) and in second equation of above equation group, limit is
calculated from right side (plus). So
(
limx→1−
x−1
−(x−1)
when x  1
limx→1+
x−1
x−1
when x  1
Applying limits on both sub functions, we have left hand limit and right
hand limits −1 and +1 respectively. Limit at exact point is undefined as
function f(x) denominator is zero. Note that we are not taking piecewise
sub functions where numerator and denominator terms cancel to each other.
Solved Problem 1.32 Evaluate limx→0
2−
√
4+x
x
.
Solution The given function is
f(x) =
2 −
√
4 + x
x
It can be further simplified. To do so, we multiply numerator and denomi-
nator by 2 +
√
4 + x. Now,
f(x) =
2 −
√
4 + x
x
×
2 +
√
4 + x
2 +
√
4 + x
=
4 − (4 + x)
x(2 +
√
4 + x)
−1
1 2
−1
−2
x
f(x)
limx→0
2−
√
4+x
x
This gives
f(x) =
1
2 +
√
4 + x
36 Limit
Now, applying limits, we have
lim
x→0
f(x) = lim
x→0
−1
2 +
√
4 + x
= −
1
4
This is desired result.
Solved Problem 1.33 Evaluate limx→∞
3x3−4x−5
2x3−5x−6
.
Solution The function
f(x) =
3x3
− 4x − 5
2x3 − 5x − 6
can be simplified to convergence when both numerator and denominator are
divided by x3
, i.e. highest degree term without coefficient. So
f(x) =
3 − 4
x2 − 5
x3
2 − 5
x2 − 6
x3
Now, applying limits, we have
lim
x→∞
f(x) = lim
x→∞
3 − 4
x2 − 5
x3
2 − 5
x2 − 6
x3
Or
lim
x→∞
f(x) =
3 − 4
∞2 − 5
∞3
2 − 5
∞2 − 6
∞3
=
3 − 0 − 0
2 − 0 − 0
On solving it, we have limit 1.5.
Solved Problem 1.34 Evaluate limx→∞
x2+1
x
.
Solution The given limit function is
lim
x→∞
x2
+ 1
x
= lim
x→∞

x +
1
x

This is diverging function. Limit of a diverging function diverges as limit
point diverges, i.e. when x → ∞ limit of diverging function shall be ∞.
1.1. LIMIT 37
Solved Problem 1.35 Evaluate limx→∞
x2−1835
x2−1120
.
Solution The limit function can be simplified to convergence as our limit
point is at x → ∞. So, we have
lim
x→∞
x2
− 1835
x2 − 1120
= lim
x→∞
1 − 1835
x2
1 − 1120
x2
On applying limit, we have limit value +1.
Solved Problem 1.36 Evaluate limx→∞
x2−2x+1
x+2
.
Solution Given limit is
lim
x→∞
x2
− 2x + 1
x + 2
= lim
x→∞
x 1 − 2
x
+ 1
x2

1 + 2
x
On applying limit, we have limit value ∞.
Solved Problem 1.37 Evaluate limx→∞
2x2+3x
5x4−2x+1
.
Solution Given limit is
lim
x→∞
2x2
+ 3x
5x4 − 2x + 1
= lim
x→∞
2 + 3
x
5x2 − 2
x
+ 1
x2
on applying limit, we have limit value 0 at x → ∞.
Solved Problem 1.38 Evaluate limx→−∞
2−3x2
1+x3 .
Solution Given limit is
lim
x→−∞
2 − 3x2
1 + x3
= lim
x→−∞
2
x2 − 3
1
x2 + x
Applying limit, we have
2
(−∞)2 − 3
1
(−∞)2 + (−∞)
=
−3
−∞
= 0
Thus limit is zero.
38 Limit
Solved Problem 1.39 Evaluate limx→0
sin x
cos x
.
Solution Given limit is
L = lim
x→0
sin x
cos x
= lim
x→0
tan x
1
−1
1
−1
x
f(x)
b
limx→0
sin x
cos x
Applying limit, we have L = 0. Thus limit is zero.
Solved Problem 1.40 Evaluate limx→0 x − cos x
1000
.
Solution Given limit is
L = lim
x→0
x −
cos x
1000
1
−1
1
−1
x
f(x)
b
limx→0 x − cos x
1000
Applying limit, we have
L = 0 −
cos(0)
1000
= 0 − 0.001 = −0.001
Thus limit is approximately zero.
1.1. LIMIT 39
Solved Problem 1.41 Evaluate limx→0
x
cos(x) sin(x)
.
Solution Given limit is
L = lim
x→0
x
cos(x) sin(x)
1
2
1
−1
x
f(x)
b limx→0
x
cos(x) sin(x)
On applying limit, it gives indeterminate form. So, we first simplify the
expression.
L = lim
x→0
x
1 − x2
2!
+ . . .

× x
1!
− x3
3!
+ . . .

Or
L = lim
x→0
x
x
1!
− x2
2!
× x
1!
− x3
3!
+ . . .
Or
L = lim
x→0
1
1
1!
− x
2!
× x
1!
− x2
3!
+ . . .
On applying limit in right hand side, we have L = 1.
Solved Problem 1.42 Evaluate limx→0
sin(2x)
cos(x) sin(x)
.
Solution Given limit is
L = lim
x→0
sin(2x)
cos(x) sin(x)
On applying limit, it gives indeterminate form. So, we first simplify the
expression.
L = lim
x→0
2 sin(x) cos(x)
cos(x) sin(x)
= 2
The function becomes constant. So, on applying limit in right hand side, we
have L = 2.
40 Limit
Solved Problem 1.43 Evaluate limx→0
sin(3x)
sin(x)
.
Solution Given limit is
L = lim
x→0
sin(3x)
sin(x)
On applying limit, it gives indeterminate form. So, we first simplify the
expression.
L = lim
x→0
3 sin(x) − 4 sin3
(x)
sin(x)
= lim
x→0
3 − 4 sin2
(x)
On applying limit in right hand side, we have L = 3.
Solved Problem 1.44 Evaluate limx→0
sin(2x)
sin(x)
.
Solution Given limit is
L = lim
x→0
sin(2x)
sin(x)
On applying limit, it gives indeterminate form. So, we first simplify the
expression.
L = lim
x→0
2 sin(x) cos(x)
sin(x)
= 2 cos x
On applying limit in right hand side, we have L = 2.
Solved Problem 1.45 Evaluate limx→0
1−cos(x)
x
.
Solution Given limit is
L = lim
x→0
1 − cos(x)
x
1
−1
1 2 3
−1
−2
−3
x
f(x)
b
limx→0
1−cos(x)
x
1.1. LIMIT 41
On applying limit, it gives indeterminate form. So, we first simplify the
expression.
L = lim
x→0
1 −

1 − x2
2!
+ . . .

x
=
x
2!
− higher x terms
On applying limit in right hand side, we have L = 0.
Can Functions Simplified?
Can we simplify function in finding limits and continuity? Its answer is yes as
well as no. Don’t be confuse. This depends on the domain of the independent
variable that is undertaken for computational purposes. For example,
f(x) =
(x + 2)
x2 − 4
can be simplified to
f(x) =
(x + 2)
(x − 2)(x + 2)
=
1
x − 2
if our observation points are about x = 2 and they do not cross x = −2.
−8
−4
0
4
8
−3 −2 −1 0 1 2 3
f(x) =
(x+2)
x2−4
If our observation points are in (−3, 3) or (−∞, ∞) or [−3, 0] then func-
tion can not be simplified as
f(x) =
(x + 2)
(x − 2)(x + 2)
=
1
x − 2
as it missed the behaviors of x+2
x+2
at the points other than x = 2. For
example, at x = −2, fraction x+2
x+2
is indeterminate due to 0/0 condition, yet
the function is continuous at x → −2. So, be careful while you are simplifying
the given function during functional analysis.
42 Limit
1.1.7 Limit Of Functions in Form Of y = xx
Let the function is in form of y = xx
. To find the limit of this function first
take logarithm of the function
loge y = loge xx
Now simplify it
loge y = x log x
Now calculate limit of the function in right hand side about a point say x → 0
loge y = lim
x→0
(x log x)
The limit of right hand side is k (let) then
loge y = k
Take antilogarithm of above equation
y = ek
This is the limit of the function y. It is to be remembered that if loge x =
log(1 ± x) then before taking limit, logarithm function must be expanded.
according to the series given in section 1.1.5.
Solved Problem 1.46 Evaluate limx→0 xx
Solution Let y = xx
. Taking logarithm on both side, we have
ln y = x ln x
Applying limits on both side, we have
lim
x→0
ln y = lim
x→0
x ln x
1
1
−1
−2
−3
−4
x
f(x)
b b
b
b
b
limx→0 xx
1.1. LIMIT 43
Now, we will discuss the limit from both sides, i.e. right hand side and
left hand side. For the right hand side limit, in the right hand part, of above
relation, have two terms. One is x and other is ln x. Whatever limit of ln x
is at x → 0+
, x is always zero. Therefore their product is zero. So, limit of
right hand side part is always zero. Now,
lim
x→0
ln y = 0 ⇒ lim
x→0
y = e0
= 1
Hence, limit of the given limit function is 1. For the left hand side limit
at x → 0−
, this function is damping oscillating when x → −∞. It gives
imaginary values if x ∈ R − I and real values when x ∈ I which oscillates
above and below x-axis.
Solved Problem 1.47 Evaluate limx→1(a + x)1/x
Solution Limit of function
L = lim
x→1
(a + x)1/x
= lim
x→1
a1/x

a +
x
a
1/x
Expanding it
L = lim
x→1
a1/x

1 +

1
x
 x
a

×
1
1!
+

1
x
 
1
x
− 1
 x
a
2
×
1
2!
+

1
x
 
1
x
− 1
 
1
x
− 2
 x
a
3
×
1
3!
+ . . .

(1.15)
On simplifying
L = lim
x→1
a1/x

1 +

1
x
 x
a

×
1
1!
+

1
x
 
1 − x
x
 x
a
2
×
1
2!
+

1
x
 
1 − x
x
 
1 − 2x
x
 x
a
3
×
1
3!
+ . . .

(1.16)
Applying the limit
L = a

1 +

1
1
 
1
a

×
1
1!
+

1
1
 
1 − 1
1
 
1
a
2
×
1
2!
+

1
1
 
1 − 1
1
 
1 − 2 × 1
1
 
1
a
3
×
1
3!
+ . . .
#
(1.17)
Or Here, only first two terms will be non zero and other terms will be zero.
This gives L = a + 1.
44 Limit
Solved Problem 1.48 Evaluate limx→0 1 + x
2
1/x
.
Solution
x f(x)
-0.1 1.670
-0.01 1.650
-0.001 1.648
0.001 1.648
0.01 1.646
0.1 1.628
Limit of function
L = lim
x→0

1 +
x
2
1/x
Expanding it
L = lim
x→0

1 +

1
x
 x
2

×
1
1!
+

1
x
 
1
x
− 1
 x
2
2
×
1
2!
+

1
x
 
1
x
− 1
 
1
x
− 2
 x
2
3
×
1
3!
+ . . .

(1.18)
Or
L = lim
x→0

1 +

1
x
 x
2

×
1
1!
+

1
x
 
1 − x
x
 x
2
2
×
1
2!
+

1
x
 
1 − x
x
 
1 − 2x
x
 x
2
3
×
1
3!
+ . . .

(1.19)
On simplifying it and applying the limit
L = 1 +
1
2
+
1
8
+
1
48
+ . . .
Or
L = 1 + 0.5 + 0.125 + 0.020 + . . .
1.1. LIMIT 45
It gives the approximate limit of the function to L = 1.645. It is equal to
approximate
√
e.
Second Method Limit of function
L = lim
x→0

1 +
x
2
1/x
Expanding it
L = lim
x→0

1 +

1
x
 x
2

×
1
1!
+

1
x
 
1
x
− 1
 x
2
2
×
1
2!
+

1
x
 
1
x
− 1
 
1
x
− 2
 x
2
3
×
1
3!
+ . . .

(1.20)
On simplifying it and substituting the limit
L = 1 +
1/2
1!
+
(1/2)2
2!
+
(1/2)3
3!
+ . . .
This is exponential series of e1/2
. Hence limit of the function is approximately
L = 1.645.
Solved Problem 1.49 Evaluate limx→0 1 + x
2
2/x
Solution Limit of function
L = lim
x→0

1 +
x
2
2/x
Expanding it
L = lim
x→0

1 +

2
x
 x
2

×
1
1!
+

2
x
 
2
x
− 1
 x
2
2
×
1
2!
+

2
x
 
2
x
− 1
 
2
x
− 2
 x
2
3
×
1
3!
+ . . .

(1.21)
On simplifying
L = lim
x→0

1 +

2
x
 x
2

×
1
1!
+

2
x
 
2 − x
x
 x
2
2
×
1
2!
+

2
x
 
2 − x
x
 
2 − 2x
x
 x
2
3
×
1
3!
+ . . .

(1.22)
46 Limit
Now, we shall apply limit. Each term in right hand side is first simplified
and rationalized then limit is applied.
L =

1 +
1
1!
+
1
2!
+
1
3!
+ . . .

This is equal to e1
. So limit L = e.
Solved Problem 1.50 Evaluate limx→∞ 1 + 1
x
x
Solution Limit of function
L = lim
x→∞

1 +
1
x
x
Expanding it
L = lim
x→∞

1 + (x)

1
x

×
1
1!
+ (x) (x − 1)

1
x
2
×
1
2!
+ (x) (x − 1) (x − 2)

1
x
3
×
1
3!
+ . . .
#
(1.23)
On simplifying
L = lim
x→∞

1 + (1) ×
1
1!
+ (1)

1 −
1
x

×
1
2!
+(1)

1 −
1
x
 
1 −
2
x

×
1
3!
+ . . .

(1.24)
Now, we shall apply limit. Each term in right hand side is first simplified
and rationalized then limit is applied.
L =

1 +
1
1!
+
1
2!
+
1
3!
+ . . .

This is equal to e1
. So limit L = e.
1.1. LIMIT 47
Solved Problem 1.51 Evaluate limx→0 sin xx
Solution The limit is
L = lim
x→0
sin xx
We knew that limx→0 xx
= 1, so
L = lim
x→0
sin xx
= sin(1)
This is desired result.
Solved Problem 1.52 Evaluate limx→0 sintan x
x
Solution Let y = sintan x
x. Taking logarithm both side, we have
ln y = tan(x) × ln[sin(x)]
Applying limit
lim
x→0
ln y = lim
x→0
tan(x) × ln[sin(x)]
Right hand side is product of two terms, tan x and ln[sin(x)]. On applying
limits, we have zero value at right hand side whereas left hand side is intact.
Irrespective of ln[sin(x)], tan(x) makes value zero at given limit point in
right hand side. So, ln y = 0. Taking anti-logarithm at both side, we get
y = e0
= 1, hence limit is 1.
Solved Problem 1.53 Evaluate limx→0 costan x
x
Solution Let y = costan x
x. Taking logarithm both side, we have
ln y = tan(x) × ln[cos(x)]
Applying limit
lim
x→0
ln y = lim
x→0
tan(x) × ln[cos(x)]
Right hand side is product of two terms, tan x and ln[cos(x)]. On applying
limits, we have zero value at right hand side whereas left hand side is intact.
Irrespective of ln[sin(x)], tan(x) makes value zero at given limit point in
right hand side. So, ln y = 0. Taking anti-logarithm at both side, we get
y = e0
= 1, hence limit is 1.
48 Limit
Solved Problem 1.54 Evaluate limx→0 tantan x
x
Solution Let y = tantan x
x. Taking logarithm both side, we have
ln y = tan(x) × ln[tan(x)]
Applying limit
lim
x→0
ln y = lim
x→0
tan(x) × ln[tan(x)]
Right hand side is product of two terms, tan x and ln[tan(x)]. On applying
limits, we have zero value at right hand side whereas left hand side is intact.
Irrespective of ln[sin(x)], tan(x) makes value zero at given limit point in
right hand side. So, ln y = 0. Taking anti-logarithm at both side, we get
y = e0
= 1, hence limit is 1.
Solved Problem 1.55 Find the limit of limx→0 1 + x
2
3/x
and
limx→0 1 + x
2
4/x
. With help of these results find the limit of
limx→0 1 + x
2
n/x
where n is large integer.
Solution
1. Limit of function
L1 = lim
x→0

1 +
x
2
3/x
Expanding it
L1 = lim
x→0

1 +

3
x
 x
2

×
1
1!
+

3
x
 
3
x
− 1
 x
2
2
×
1
2!
+

3
x
 
3
x
− 1
 
3
x
− 2
 x
2
3
×
1
3!
+ . . .

(1.25)
On simplifying
L1 = lim
x→0

1 +

3
x
 x
2

×
1
1!
+

3
x
 
3 − x
x
 x
2
2
×
1
2!
+

3
x
 
3 − x
x
 
3 − 2x
x
 x
2
3
×
1
3!
+ . . .

(1.26)
1.1. LIMIT 49
Now, we shall apply limit. Each term in right hand side is first simplified
and rationalized then limit is applied.
L1 =

1 +

3
2

1
1!
+

3
2
2
1
2!
+

3
2
3
1
3!
+ . . .
#
This is equal to e3/2
. So limit L1 = e3/2
.
2. Limit of function
L2 = lim
x→0

1 +
x
2
4/x
Expanding it
L2 = lim
x→0

1 +

4
x
 x
2

×
1
1!
+

4
x
 
4
x
− 1
 x
2
2
×
1
2!
+

4
x
 
4
x
− 1
 
4
x
− 2
 x
2
3
×
1
3!
+ . . .

(1.27)
On simplifying
L2 = lim
x→0

1 +

4
x
 x
2

×
1
1!
+

4
x
 
4 − x
x
 x
2
2
×
1
2!
+

4
x
 
4 − x
x
 
4 − 2x
x
 x
2
3
×
1
3!
+ . . .

(1.28)
Now, we shall apply limit. Each term in right hand side is first simplified
and rationalized then limit is applied.
L2 =

1 +

4
2

1
1!
+

4
2
2
1
2!
+

4
2
3
1
3!
+ . . .
#
This is equal to e4/2
. So limit L2 = e4/2
.
3. From the solutions as found in part 1 and part 2, we can conclude
that
L = lim
x→0

1 +
x
2
n/x
has a limit of en/2
. This is desired answer.
50 Limit
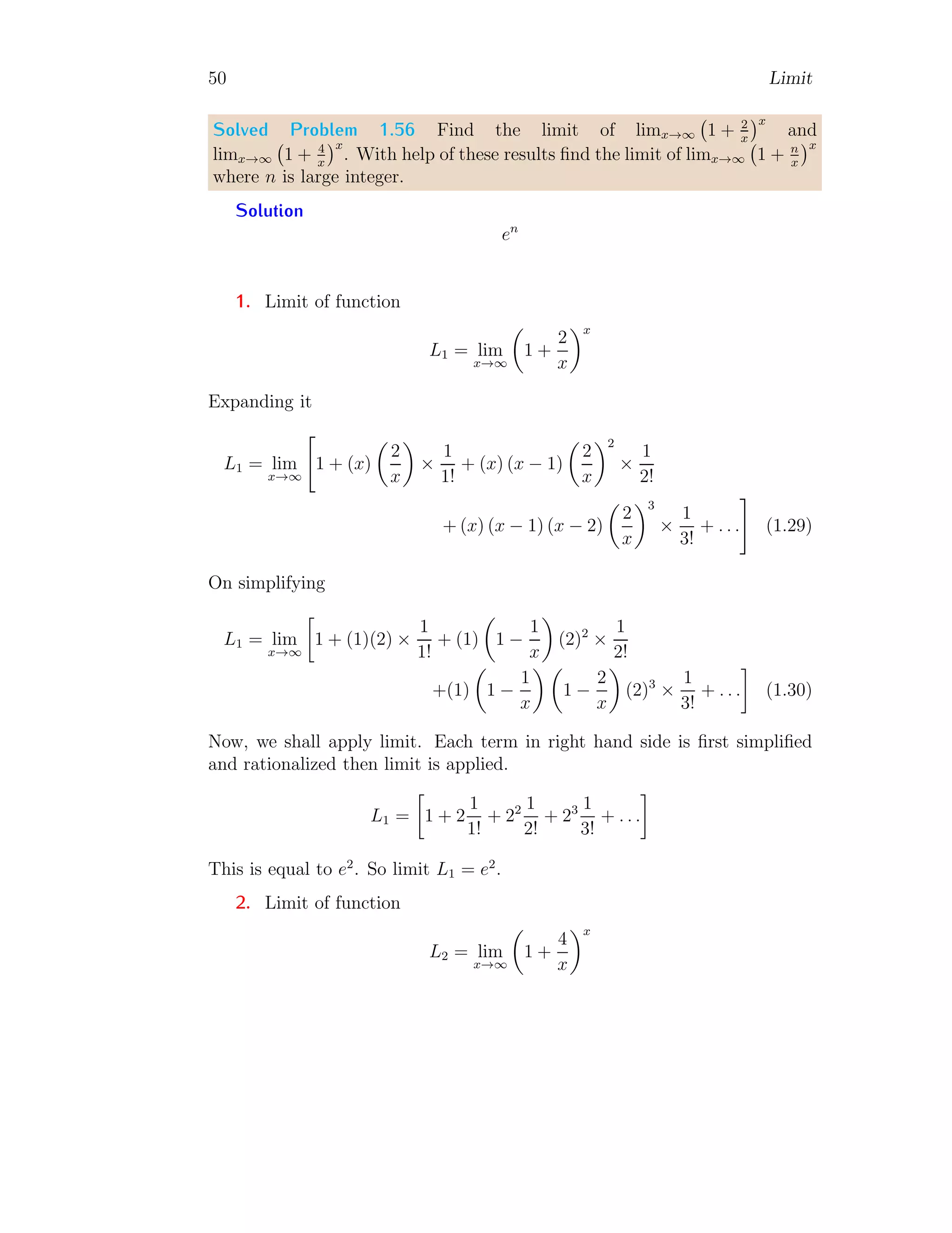
Solved Problem 1.56 Find the limit of limx→∞ 1 + 2
x
x
and
limx→∞ 1 + 4
x
x
. With help of these results find the limit of limx→∞ 1 + n
x
x
where n is large integer.
Solution
en
1. Limit of function
L1 = lim
x→∞

1 +
2
x
x
Expanding it
L1 = lim
x→∞

1 + (x)

2
x

×
1
1!
+ (x) (x − 1)

2
x
2
×
1
2!
+ (x) (x − 1) (x − 2)

2
x
3
×
1
3!
+ . . .
#
(1.29)
On simplifying
L1 = lim
x→∞

1 + (1)(2) ×
1
1!
+ (1)

1 −
1
x

(2)2
×
1
2!
+(1)

1 −
1
x
 
1 −
2
x

(2)3
×
1
3!
+ . . .

(1.30)
Now, we shall apply limit. Each term in right hand side is first simplified
and rationalized then limit is applied.
L1 =

1 + 2
1
1!
+ 22 1
2!
+ 23 1
3!
+ . . .

This is equal to e2
. So limit L1 = e2
.
2. Limit of function
L2 = lim
x→∞

1 +
4
x
x
1.1. LIMIT 51
Expanding it
L2 = lim
x→∞

1 + (x)

4
x

×
1
1!
+ (x) (x − 1)

4
x
2
×
1
2!
+ (x) (x − 1) (x − 2)

4
x
3
×
1
3!
+ . . .
#
(1.31)
On simplifying
L2 = lim
x→∞

1 + (1)(4) ×
1
1!
+ (1)

1 −
1
x

(4)2
×
1
2!
+(1)

1 −
1
x
 
1 −
2
x

(4)3
×
1
3!
+ . . .

(1.32)
Now, we shall apply limit. Each term in right hand side is first simplified
and rationalized then limit is applied.
L2 =

1 + 4
1
1!
+ 42 1
2!
+ 43 1
3!
+ . . .

This is equal to e4
. So limit L1 = e4
.
3. From the solutions as found in part 1 and part 2, we can conclude
that
L = lim
x→∞

1 +
n
x
x
will give limit L = en
. This is desired result.
1.1.8 Limit of Function at Integer Value
A linear algebraic function (f(x)) has a unique value at a given point (x = a).
This is called function value (f(a)) at a point (x = a). In case of algebraic
fractions, there may be or may not be existence of function value at the given
point. This depends on the numerator and denominator of the fraction. For
example,
f(x) =
sin(x)
x
is indeterminate at x = 0. But it has limit when x 6= 0 but x → 0, i.e. x is
very very close to 0.
lim
x→0
f(x) = lim
x→0
sin(x)
x
= 1
52 Limit
If at a given point, function has unique definite value at the given point, then
we said that function has a limit at that given point. For example,
lim
x=0
f(x) = lim
x=0
x2
− 4
x2 + 4x − 7
=
4
7
Here, we have taken exact point value, i.e. x = 0, not the point that is close
to a given value, i.e. x → 0.
Solved Problem 1.57 Find the function value of function f(x) = x2−x
0.001+x
at
x = 0.5 and x = 1.
Solution The given function is
f(x) =
x2
− x
0.001 + x
Function value, i.e. limit of function at x = 0.5 is
f(0.5) =
0.52
− 0.5
0.001 + 0.5
=
0.25 − 0.5
0.501
=
−0.25
0.501
It gives, f(0.5) = 0.499. Similarly, function value, i.e. limit of the function
at x = 1 is
f(1) =
12
− 1
0.001 + 1
=
0
1.001
= 0
These are the desire results.
1.1.9 Limit of Modulus Functions
A modulus of a function converts the negative result into positive result.
Suppose f(x) = x then modulus of f(x) is |x|. If x is positive then |x| is
positive and if x is negative then |x| is also positive. For example
±
x
y2
=
x
y2
Modulus in Number Line
Before applying limits on a function having modulus term about a point, we
need to expand the modulus terms about than point. For example, suppose
1.1. LIMIT 53
a modulus function f(x) = |x| where −n ≤ x ≤ +n. To use this range of
x in number line, function f(x) must be freed from the modulus sign. To
expand the function, we use number line concept to get a positive value of
function f(x) what ever the value of x. The conversion point of the function
is
f(x) = 0
ie
|x| = 0 ⇒ x = 0
It is the point from where function graph will change its direction. Firstly
assume that there is no modulus sign in the function. Hence function will be
like f(x) = x. when x = 0, function f(x) = 0. When x  0, function f(x) =
−x and when x  0, function f(x) = x. If only magnitude of a number in
number line is considered and is to be substituted in the function then for
left hand side numbers to the zero point, function will be f(x) = −x and for
the right hand side number to the zero point, function will be f(x) = x.
b
-5
b
-4
b
-3
b
-2
b
-1
b
0
b
1
b
2
b
3
b
4
b
5
Figure 1.4: A number line
f(x) = −x when mag x  0
f(x) = 0 when mag x = 0
f(x) = x when mag x  0
(1.33)
If we assume that the function has modulu sign, ie f(x) = |x| and numbers
of number line are substitued with sign in the equation (1.33) then for each
value of x, f(x) will be positive if equation (1.33) is rewritten as
f(x) = −x when x  0
f(x) = 0 when x = 0
f(x) = x when x  0
(1.34)
The graph of function f(x) = |x| as a function of x is shown below.
54 Limit
2
1 2
−1
−2
x
f(x)
Figure 1.5: Graph of f(x) = |x|.
Modulus in Number Line Other Than Zero
Suppose a new function f(x) = |x − a|. The modulus sign is being omitted
from this function. To do so, the point is calculated at which function has
zero value, ie the point from where function changes its direction.
f(x) = 0
ie
|x − a| = 0 ⇒ x = a
Here x = a is conversion point. Now the modulus function will be expanded
as
f(x) = −x when x  a
f(x) = 0 when x = a
f(x) = x when x  a
(1.35)
For example function f(x) = |x − 3| has graph as given below
2
4
1 2 3 4 5
−1
−2
x
f(x)
Figure 1.6: Graph of f(x) = |x − 3|.
Modulus of Trigonometric Functions
A trigonometric function has two parts, (i) trigonometric operator and (ii)
argument. The modulus operator is used either for operator or for argument
1.1. LIMIT 55
or for both. For example, if x is argument of trigonometric operator sin then
modulus operator can be used either as | sin(x)| or as sin(|x|) or | sin(|x|)|.
The modulus operator is expanded with same process as algebraic function
is done.
Solved Problem 1.58 Find limit of function
f(x) = sin(|x − 1|)
at point x = 0.5.
Solution
1
1 2 3 4 5
x
f(x)
The limit of given function is
lim
x→0.5
f(x) = lim
x→0.5
sin(|x − 1|)
Expanding the modulus part of the above relation for the limit point, x = 0.5.
lim
x→0.5
f(x) = lim
x→0.5
sin(1 − x)
Substituting the value of limit, we have
lim
x→0.5
f(x) = sin(1 − 0.5) = 0.479
This is the limit at the given point.
Solved Problem 1.59 Find limit of function f(x) = |x−1|
x
sin(|1−x|) at point
x = 0.5.
Solution
56 Limit
2
4
6
1 2 3 4 5
x
f(x)
The limit of given function is
lim
x→0.5
f(x) = lim
x→0.5
|x − 1|
x
sin(|1 − x|)
Expanding the modulus part of the above relation for the limit point.
lim
x→0.5
f(x) = lim
x→0.5
1 − x
x
sin(1 − x)
Substituting the value of limit, we have
lim
x→0.5
f(x) =
1 − 0.5
0.5
sin(1 − 0.5) = 0.479
This is the limit at the given point.
1.1.10 Limit of Derivative Type Functions
Suppose an expression of type
f(x) =
xn
− an
x − a
(1.36)
Limit of the expression about the point x → a is given by
lim
x→a
f(x) = lim
x→a
xn
− an
x − a
(1.37)
Expansion of (xn
− an
) is
(xn
− an
) = (x − a) xn−1
+ xn−2
y + . . . + xyn−2
+ yn−1

(1.38)
1.1. LIMIT 57
From above two relations
lim
x→a
f(x) = lim
x→a
(x − a) (xn−1
+ xn−2
a + . . . + xan−2
+ an−1
)
(x − a)
On simplification and taking limit
lim
x→a
f(x) = nan−1
(1.39)
This relation can be used to get limits of expression type (1.36).
Solved Problem 1.60 Find the limit of limx→2
x10−1024
x−2
.
Solution The expression is
f(x) =
x10
− 1024
x − 2
Limit of the expression about point x → 2
lim
x→a
f(x) = lim
x→a
x10
− 1024
x − 2
Right hand side of above equation is in form of xn−an
x−a
if it is arranged like
lim
x→2
f(x) = lim
x→2
x10
− 210
x − 2
Taking limit
lim
x→2
f(x) = 10 × 29
It is required answer.
Solved Problem 1.61 Evaluate limk→1
k0.5−1
k−1
.
Solution Given
L = lim
k→1
k0.5
− 1
k − 1
Simplifying right hand side, we have
L = lim
k→1
k0.5
− 1
(k0.5 − 1)(k0.5 + 1)
= lim
k→1
1
k0.5 + 1
58 Limit
Applying limits, we have
L =
1
10.5 + 1
=
1
±1 + 1
We have only one acceptable value +1 at denominator of fraction at right
hand side of above relation. So, L = 0.5. This is limit.
Solved Problem 1.62 Evaluate limj→a
j4−a2
j−
√
a
.
Solution Given
L = lim
j→a
j4
− a2
j −
√
a
Simplifying numerator of fraction at right hand side, we have
L = lim
j→a
(j −
√
a)(j +
√
a)(j2
+ a)
j −
√
a
= lim
j→a
(j +
√
a)(j2
+ a)
Applying limits, we have
L = a(a +
√
a)(a + 1)
This is limit.
1.1.11 Limit by Substitution
Some expressions which are not like the expression (1.36) can be transform
into the form like the expression (1.36). For example, the expression
lim
x→0
f(x) = lim
x→0
√
x + a2 − a
x
(1.40)
Where a is a positive constant. This expression can be transform into form
like expression (1.36) by substituting x + a2
= y. The old limit variable will
be changed to new limit variable y. Corresponding point of limit for new
variable y when x → 0 is 0 + a2
= y ⇒ y → a2
. Hence the expression (1.40)
becomes
lim
x→0
f(x) = lim
y→a2
√
y − a
y − a2
= lim
y→a2
√
y −
√
a2
y − a2
1.1. LIMIT 59
Applying the relation (1.39) in above equation.
lim
x→0
f(x) =
1
2
a2
1
2
−1
=
1
2a
(1.41)
This is limit of given expression. Limits of expressions can be obtained by
substituting a variable by another variable. Again, if a is negative constant
then limit will be ∞.
Solved Problem 1.63 Evaluate limk→0
√
k+1−1
k
.
Solution This problem can be evaluated by two methods.
Reduction Method Given
L = lim
k→0
√
k + 1 − 1
k
Multiply numerator and denominator by
√
k + 1 + 1 in right hand side.
L = lim
k→0
√
k + 1 − 1
k
×
√
k + 1 + 1
√
k + 1 + 1
It gives
L = lim
k→0
k + 1 − 1
k(
√
k + 1 + 1)
= lim
k→0
1
√
k + 1 + 1
Applying limit, we have L = 0.5. We have taken positive root of
√
0 + 1.
Substitution Method Given
L = lim
k→0
√
k + 1 − 1
k
Substitute k + 1 = t, we get k = t − 1. The corresponding limit point will
be found when k = 0, t = 1. Now,
L = lim
t→1
√
t − 1
t − 1
= lim
t→1
√
t − 1
(
√
t − 1)(
√
t + 1)
= lim
t→1
1
√
t + 1
Applying limit, we have L = 0.5. We have taken positive root of
√
t.
60 Limit
Solved Problem 1.64 Evaluate limj→0
(j+4)2−16
j
.
Solution
L = lim
j→0
(j + 4)2
− 16
j
Substitute j + 4 = t, we get j = t − 4. The corresponding limit point will be
found when j = 0, t = 4. Now,
L = lim
t→4
t2
− 16
t − 4
= lim
t→4
(t − 4)(t + 4)
t − 4
= lim
t→4
t + 4
Applying limit, we have L = 8.
1.1.12 Limit of Piece-wise Functions
A function in which subfunctions are conditionally defined about a given
point is called piecewise function.
f(x) =



f1(x) when x  0
f2(x) when x = 0
f2(x) when x  0
In this function, three subfunctions are given under the condition of its in-
dependent variable x. Function f1 is applicable when value of x  0, f2 is
applicable when x = 0 and f3 is applicable when x  0. A limit is always
calculated at the exact point, ie x = c (a point where independent variable
is equal to). Here c = 0. Left hand limit is where x  c and right hand
limit is where x  c. If left hand limit, point limit and right hand limit of a
piecewise function are equal then function is continuous at the given point.
Solved Problem 1.65 Find the limits of the function
f(x) =



x − 1 when x  0
x when x = 0
x + 1 when x  0
Solution
1.1. LIMIT 61
2
−2
1 2 3
−1
−2
−3
−4
x
f(x)
Point Limit When x = 0, the function is f(x) = x. In this case x = 0
and limit of function is
L [f(x)] = lim
x→0
x = 0
Right Hand Limit When x approach to zero from right hand side, function
is f(x) = x + 1. In this case
L+
[f(x)] = lim
x→0+
x + 1 = 1
Left Hand Limit When x approach to zero from left hand side, function
is f(x) = x − 1. In this case
L−
[f(x)] = lim
x→0−
x − 1 = −1
It gives that all three limits are not equal.
Solved Problem 1.66 Find the limits of the function
f(x) =

x2
when x ≤ 0
x when x  0
Solution
2
−2
1 2
−1
−2
−3
x
f(x)
62 Limit
Point Limit When x = 0, the function is f(x) = x2
. In this case x = 0
and limit of function is
L [f(x)] = lim
x→0
x2
= 0
Right Hand Limit When x approach to zero from right hand side, function
is f(x) = x. In this case
L+
[f(x)] = lim
x→0+
x = 0
Left Hand Limit When x approach to zero from left hand side, function
is f(x) = x2
. In this case
L−
[f(x)] = lim
x→0−
x2
= 0
It gives that all three limits are equal.
Solved Problem 1.67 If
f(x) =



x + 1 when x  0
x when x = 0
x + 1 when x  0
then find the limit of the function at x → 2.
Solution
2
4
1 2 3 4
−1
−2
−3
x
f(x)
bc
As we know that to find the limit, at x → 2, i.e. about the point x = 2, we
shall get the point limit, right hand side limit and left hand side limit of the
function about this point. From the given function, for x = 2, the applicable
1.1. LIMIT 63
function is only f(x) = x + 1 for all three test limits as this function falls
under the conditional domain x  0.
Point Limit When x = 2, the function f(x) = x + 1 is effective. In this
case, point limit of function is
L [f(x)] = lim
x→2
(x + 1) = 3
Right Hand Limit When x = 2+
, the function f(x) = x + 1 is effective.
In this case, left hand limit of function is
L+
[f(x)] = lim
x→2
(x + 1) = 3
Left Hand Limit When x = 2−
, the function f(x) = x + 1 is effective. In
this case, right hand limit of function is
L−
[f(x)] = lim
x→2
(x + 1) = 3
All three limits are equal, hence limit exists at x = 2 and it is 3.
1.1.13 L’Hospital’s Rule
f(x) and g(x) are two functions of x, and they form numerator and denom-
inator of a fraction. These two functions are expanded by Tayler’s theorem
in the neighborhood of x = a. If f(a) = 0 and g(a) = 0 then
lim
x→a
f(x)
g(x)
= lim
x→a
f′
(x)
g′(x)
(1.42)
This rule is applicable only when the limx→a
f(x)
g(x)
= 0
0
form. If limit is not in
such form, application of this rule is strictly prohibited. The other derivative
indeterminate forms are ∞/∞, ∞ − ∞, 0 × ∞, 1∞
and 00
.
Indeterminate Form To understand the indeterminate form of limits, we
first understand the concept of zero and infinity. Generally, infinity is a num-
ber that is very very large and uncountable. Zero means nothing. But these
two numbers are not possible to be achieved. They are studies relatively.
For example, when we are measuring room dimensions, 100 kilometer is very
very large in comparison to the room’s dimension. Hence 100 kilometer is
64 Limit
relatively infinite in compare to the room’s dimensions. Similarly, when a
number is very very small in comparison to the other number, then it is con-
sidered as zero and may be neglected. In fractions, some times we encounter
the fraction as ∞/∞. The result of this division is not exactly known. It
may be equal to 1 or to other numbers. For example,
L =
2 + 3 × ∞
4 + ∞
The right hand side of above relation appears that it is ∞/∞ but this fraction
has value 3. It can be understand that, 2 and 4 are negligible in comparing to
3×∞ and ∞ respectively. But numerator is 3 times as large as denominator,
if we neglect 2 and 4 and consider ∞ very very large in comparison to 2 and
4 respectively.
Solved Problem 1.68 Evaluate limit of limx→0
x+tan x
sin x
using L’Hospital rule.
Solution The given relation is
lim
x→0
x + tan x
sin x
2
1 2 3
−1
−2
−3
x
f(x)
If limit is applied then it gives
L =
0
0
this is not acceptable. Hence we derivate numerator and denominator with
respect to x. Hence
L = lim
x→0
1 + sec2
x
cos x
Taking limit in right hand side
L =
1 + sec2
0
cos 0
It gives limit L = 2.
1.1. LIMIT 65
Solved Problem 1.69 Evaluate limit of limx→π
x−π
sin x
using L’Hospital rule.
Solution The given relation is
lim
x→π
x − π
sin x
−1
−2
−3
1 2 3 4 5
x
f(x)
If limit is applied then it gives
L =
0
0
It is not acceptable. Hence we derivate numerator and denominator with
respect to x. Hence
L = lim
x→π
1
cos x
Taking limit in right hand side
L =
1
cos π
It gives limit L = −1.
Solved Problem 1.70 Evaluate limit of limx→0
sin 3x
sin 4x
using L’Hospital rule.
Solution The given relation is
lim
x→0
sin 3x
sin 4x
66 Limit
1
−1
1 2 3 4
−1
−2
−3
−4
x
f(x)
If limit is applied then it gives
L =
0
0
this is not acceptable. Hence we derivate numerator and denominator with
respect to x. Hence
L = lim
x→0
3 cos 3x
4 cos 4x
Taking limit in right hand side
L =
3 cos 0
4 cos 0
It gives limit L = 3/4.
Solved Problem 1.71 Evaluate limit of limx→∞
x5
e5x using L’Hospital rule.
Solution The given relation is
lim
x→∞
x5
e5x
If limit is applied then it gives
L =
0
1
Hence limit is L = 0. This limit can be obtained by using L’Hospital rule.
Now derivate numerator and denominator with respect to x upto five times.
Hence
L = lim
x→∞
120
55 × e5x
Taking limit in right hand side
L =
120
55 × e5×∞
It gives limit L = 0.
1.1. LIMIT 67
Solved Problem 1.72 Evaluate limit of limx→0
tan(x)−x
sin(x)−x
using L’Hospital rule.
Solution The given relation is
lim
x→0
tan(x) − x
sin(x) − x
2
−2
1 2 3 4
−1
−2
−3
−4
−5
x
f(x)
Applying limit straight ward in the relation
L =
0
0
It is not acceptable. Taking derivation of numerator and denominator with
respect to x.
L = lim
x→0
sec2
(x) − 1
cos(x) − 1
On applying limits in right hand side
L =
0
0
That is not acceptable again. Taking derivative of numerator and denomi-
nator with respect to x once again
L = lim
x→0
2 sec2
(x) tan(x)
− sin(x)
On applying limits in right hand side
L =
0
0
68 Limit
That is not acceptable again. Taking derivative of numerator and denomi-
nator with respect to x again
L = lim
x→0
2(2 sec2
(x) tan2
(x) + sec4
(x))
− cos(x)
Taking limit in right hand side
L =
2(2 sec2
(0) tan2
(0) + sec4
(0)
− cos(0)
It gives limit L = −2.
Solved Problem 1.73 Evaluate limit of limx→−2
x+2
x3+8
using L’Hospital rule.
Solution
1
1
−1
−2
−3
x
f(x)
The limit
L = lim
x→−2
x + 2
x3 + 8
given not acceptable value 0/0. Now derivating numerator and denominator
of the function
L = lim
x→−2
1
3x2
It gives
L =
1
12
.
Solved Problem 1.74 Evaluate limit of limx→1
1−x
sin(1−x2)
using L’Hospital rule.
Solution
1.1. LIMIT 69
1
−1
−2
1 2 3
−1
−2
x
f(x)
The limit function
L = lim
x→1
1 − x
sin(1 − x2)
It gives the limit at x → 1
L =
0
0
This limit of the function at the given point is not acceptable. Now derivating
the function separately its numerator and denominator
L = lim
x→1
−1
−2x cos(1 − x2)
Applying the limit L = 1/2.
Solved Problem 1.75 Evaluate limit of limx→∞
3−5x
x+4
using L’Hospital rule.
Solution The given limit is
L = lim
x→∞
3 − 5x
x + 4
On substituting limit point, we have
L =
3 − 5 × ∞
∞ + 4
=
∞
∞
This is undeterminant condition. So, applying L’Hospital rule, we have
L = lim
x→∞
D(3 − 5x)
D(x + 4)
= lim
x→∞
−5
1
Here, D is derivative about x. This gives limit L = −5.
70 Limit
Solved Problem 1.76 Evaluate limit of limx→∞
2x3−5x2+3
(x2−3)(x2+5)
using L’Hospital
rule.
Solution The given limit is
L = lim
x→∞
2x3
− 5x2
+ 3
(x2 − 3)(x2 + 5)
On substituting limit point, we have
L =
2 × ∞3
− 5 × ∞2
+ 3
(∞2 − 3)(∞2 + 5)
=
∞
∞
This is indeterminate condition. So, applying L’Hospital rule, we have
L = lim
x→∞
D(2x3
− 5x2
+ 3)
D(x4 + 2x2 − 15)
= lim
x→∞
6x2
− 10x
4x3 + 4x
On substituting limit point, we have indeterminate result. Hence again
derivating numerator and denominator about x.
L = lim
x→∞
12x − 10
12x2 + 4
On substituting limit point, we have again indeterminate result. Hence again
derivating numerator and denominator about x.
L = lim
x→∞
12
24x
On substituting limit point, we get limit L = 0. Here, D is derivative about
x.
Solved Problem 1.77 Find limit lim
θ→π
cos θ
√
1−sin2 θ
.
Solution The denominator of the given function is always positive irre-
spective of θ value as 0 ≤ sin θ ≤ 1 for ∀θ ∈ R. Therefore, sign of limit shall
be determined by sign of cos θ value. The limit of the function is
L = lim
θ→π
cos θ
p
1 − sin2
θ
=
cos π
p
1 − sin2
π
= −1
1.1. LIMIT 71
−2
−1
0
1
2
−4 −3 −2 −1 0 1 2 3 4
θ
=
−
π
2
θ
=
π
2
θ
=
π
This is limit of the function at θ → π. Another cross answers may be
find like
L = lim
θ→π
cos θ
p
1 − sin2
θ
=
cos π
p
1 − sin2
π
=
cos π
±1
Then which value from ±1 is acceptable. If we take +1 then limit will be −1
and if we take −1 then limit will be +1. Its answer can be given as; we have
to find the square root of 1 −sin2
θ, that is given independently, and it is not
being solved from algebraic relation, hence we shall take its positive value.
Note that for any value of θ, 1 − sin2
θ shall be always positive. Further
L = lim
θ→π
cos θ
p
1 − sin2
θ
= lim
θ→π
cos θ
± cos θ
= lim
θ→π
cos θ
+ cos θ
= 1
So, where are we going wrong? It is wrong with quadrant. How, Take a
xy-plane and a point (−x, y)
x
y
b
(−x, y)
θ
x
y
1st
= 0, π
2

2nd
= π
2
, π

3rd
= π, 3π
2

4th
= 3π
2
, 2π

The angle θ can be given as
tan θ =
y
−x
This relation gives information about the point than point is in second quad-
rant. Can we write this as
tan θ = −
y
x
=
−y
x
72 Limit
No, as −(y/x) gives no information about quadrant of point and −y/x tells
that point is in fourth quadrant. This is why, in trigonometric relations,
quadrants are very important. Similarly, in the given problem
L = lim
θ→π
cos θ
p
1 − sin2
θ
Both numerator and denominator has different quadrant characteristics. When
we move from θ = 0 to θ = π, sin θ remain positive while cos θ becomes pos-
itive to negative at π/2. At θ = π, there is not change in sign of cos θ but
sin θ has a transition from +ve to −ve. Due to this we can not simplify
the relation before substituting limit value. Hence, we have to find limit of
fraction at given limit point for numerator and denominator without solving
them. This problem shows that, sometimes graph method is more efficient
in finding roots than mathematical methods. L = −1 is correct theoretically
too. In second quadrant, (due to θ → π) cos θ is negative and
p
1 − sin2
θ is
always positive.
Solved Problem 1.78 Find limit lim
θ→π
sin θ
√
1−cos2 θ
.
Solution The denominator of the given function is always positive irre-
spective of θ value as 0 ≤ cos θ ≤ 1 for ∀θ ∈ R. Therefore, sign of limit shall
be determined by sign of sin θ value. The limit of the function is
L = lim
θ→π
sin θ
√
1 − cos2 θ
=
sin π
√
1 − cos2 π
=
0
0
This is indeterminate form of limit.
−2
−1
0
1
2
−4 −3 −2 −1 0 1 2 3 4
θ
=
−
π
2
θ
=
π
2
θ
=
π
On simplification method, limit will be +1. But it is not accepted here.
1.1. LIMIT 73
Thus use L’Hospital Rule.
L =
lim
θ→π
d
dθ
sin θ
lim
θ→π
d
dθ
√
1 − cos2 θ
This gives
L =
lim
θ→π
cos θ
lim
θ→π
1
2
× (1 − cos2 θ)−1/2
× −2 × cos θ × − sin θ
Or
L =
lim
θ→π
cos θ
lim
θ→π
cos θ×sin θ
√
1−cos2 θ
Here,
lim
θ→π
sin θ
√
1 − cos2 θ
= L
So,
L2
=
lim
θ→π
cos θ
lim
θ→π
cos θ
On substituting the limit, we shall get
L2
=
−1
−1
= +1 ⇒ ±L = 1
Function has transition at θ = π, hence for θ → π, only accepted value
is L = 1 as sin θ is positive in second quadrant and
√
1 − cos2 θ is always
positive irrespective of θ value.
1.1.14 Squeeze Theorem
Two functions g(x) and h(x) have the same limit L and representing two
boundary functions. If third function f(x) is trapped between these two
functions then the limit of function f(x) must also approach to L.
Suppose that g(x) ≤ f(x) ≤ h(x) holds for all x in some open interval
containing a, except possibly at x = a itself. If limits of g(x) and h(x) are
74 Limit
exists as
lim
x→a
g(x) = lim
x→a
h(x) = L
Then there will be limx→1 f(x) = L also.
−2
−1
0
1
2
−3 −2 −1 0 1 2 3
g(x)
h(x)
f(x)
This theorem is also sometimes referred as “sandwiched theorem”. For
example assume a function f(x) = x sin (1/x). The value of sin is limited
between −1 ≤ sin x ≤ 1 for all x. If x is positive then the limit of function
lies between −x ≤ x sin (1/x) ≤ x. If x is negative then the limit of function
lies between x ≤ x sin (1/x) ≤ −1 . On combining these two equations for
all non-zero value of x
−|x| ≤ x sin

1
x

≤ |x|
It is clear that the limits of
lim
x→0
−|x| = lim
x→0
|x| = 0
So by the squeeze theorem limx→0 x sin (1/x) = 0.
Solved Problem 1.79 Find the limit of the inequality function 1 − x
2
≤ ux ≤
1 − x2
3
at x → 0.
Solution This inequality is similar to the relation g(x) ≤ f(x) ≤ h(x).
Where
g(x) = 1 −
x
2
The limit of this function at x → 0 is
lim
x→0
g(x) = lim
x→0
1 −
x
2
= 1
1.1. LIMIT 75
Similarly the limit of the function
h(x) = 1 −
x2
3
is
lim
x→0
g(x) = lim
x→0
1 −
x2
3
= 1
Here limits of g(x) and h(x) are same, hence from squeeze theorem, the limit
of the function f(x) must be 1.
1.1.15 Multi-variable Limit
1
In limits of single variable functions at a given point x = a, x is divided in
intervals on the number line, i.e. x varies from −∞ to +∞. Here, x always
lies in a straight line. While, in limit computation for two variables functions
at a given point (x, y) → (a, b), point is assumed in a disk placed in xy-plane.
In one variable function, for the limit point x0.
|x − x0|  σ
x
f(x)
b
x
bc
x0
|x − x0|
x
f(x)
b
x
bc
x0
x−
0 x+
0
It means that within the interval the distance of x from x0 is always less
than σ. For two variables functions, for the limit point (x0, y0)
p
(x − x0)2 + (y − y0)2  σ
1
Ref. by Brett Holland
76 Limit
x
f(x)
bc
(x0, y0)
b
(x, y)
r
Paths approaches to (x0, y0) may be line or curve, like circle, parabola,
elliptic, trigonometric etc. These paths are selected arbitrary to simplify the
function and checking whether limits exits or not at that point.
x
f(x)
bc
(x0, y0)
It means that the point (x0, y0) lies within a circle of radius σ. In one
variable functions, the direction of approaching to limit point is considerable
and crucial for limit value. In two variables functions direction of approach
to limit point has no significance.
If we approach to a given point (x0, y0) from two different paths2
to
find the function value at given point. If there are two different function
values at the given point on taken path, then function has no limit. If there
is equal function values (k say), it is not necessarily true that function has
limit k. To satisfy the result, we use the definition of the limit of a two
variables function to find the correct limit.
Definition A function f(x, y) is said to have a limit L at (x, y) → (x0, y0),
provides that for every ǫ  0, there is a σ  0 such that
|f(x, y) − L|  ǫ
1.1. LIMIT 77
whenever p
(x − x0)2 + (y − y0)2  σ
Solved Problem 1.80 Show that lim(x,y)→(0,0)
x2
x2+y2 does not exist.
Solution First assume that x = 0, then
Solved Problem 1.81 Show that lim(x,y)→(0,0)
x2
x2+y2 does not exist.
Solution Take that x = 0, we have
L(0,y) = lim
(x,y)→(0,0)
0
0 + y2
= 0
Take that y = 0, we have
L(x,0) = lim
(x,y)→(0,0)
x2
x2 + 0
= lim
(x,y)→(0,0)
1 = 1
Take that y = x, we have
L(x,x) = lim
(x,y)→(0,0)
x2
x2 + x2
= lim
(x,y)→(0,0)
0.5 = 0.5
Take that y = −x, we have
L(x,−x) = lim
(x,y)→(0,0)
x2
x2 + x2
= lim
(x,y)→(0,0)
0.5 = 0.5
Here limit values along above directions are not equal, hence function limit
does not exist at (x, y) → (0, 0).
Solved Problem 1.82 Show that lim(x,y)→(0,0)
x2−y2
x2+y2 does not exist.
Solution First, take that x = 0, we have
L(0,y) = lim
(x,y)→(0,0)
0 − y2
0 + y2
= lim
(x,y)→(0,0)
−1 = −1
Now, take that y = 0, we have
L(x,0) = lim
(x,y)→(0,0)
x2
− 0
x2 + 0
== lim
(x,y)→(0,0)
1 = 1
78 Limit
Take that y = x, we have
L(x,x) = lim
(x,y)→(0,0)
x2
− x2
x2 + x2
== lim
(x,y)→(0,0)
0 = 0
Take that y = −x, we have
L(x,−x) = lim
(x,y)→(0,0)
x2
− (−x)2
x2 + (−x)2
== lim
(x,y)→(0,0)
0 = 0
Here limit values along above directions are not equal, hence function limit
does not exist at (x, y) → (0, 0).
Solved Problem 1.83 Show that lim(x,y)→(0,0)
xy
x2+y2 does not exist.
Solution First, take that x = 0, we have
L(0,y) = lim
(x,y)→(0,0)
0 × y
0 + y2
= lim
(x,y)→(0,0)
0 = 0
Now, take that y = 0, we have
L(x,0) = lim
(x,y)→(0,0)
x × 0
x2 + 0
= lim
(x,y)→(0,0)
0 = 0
Take that y = x, we have
L(x,x) = lim
(x,y)→(0,0)
x × x
x2 + x2
= lim
(x,y)→(0,0)
0.5 = 0.5
Take that y = −x, we have
L(x,−x) = lim
(x,y)→(0,0)
x × −x
x2 + (−x)2
= lim
(x,y)→(0,0)
−0.5 = −0.5
Here limit values along above directions are not equal, hence function limit
does not exist at (x, y) → (0, 0).
Solved Problem 1.84 Show that lim(x,y)→(0,0)
x2y
x2+y2 exists.
Solution First, take that x = 0, we have
L(0,y) = lim
(x,y)→(0,0)
0 × y
0 + y2
= lim
(x,y)→(0,0)
0 = 0
1.1. LIMIT 79
Now, take that y = 0, we have
L(x,0) = lim
(x,y)→(0,0)
x2
× 0
x2 + 0
= lim
(x,y)→(0,0)
0 = 0
Take that y = x, we have
L(x,x) = lim
(x,y)→(0,0)
x2
× x
x2 + x2
= lim
(x,y)→(0,0)
x = 0
Take that y = −x, we have
L(x,−x) = lim
(x,y)→(0,0)
x2
× −x
x2 + (−x)2
= lim
(x,y)→(0,0)
−x = 0
Here limit values along above directions are equal, hence function limit exists
at (x, y) → (0, 0).
Solved Problem 1.85 Show that lim(x,y)→(0,0)
3x2y
x2+y2 exists.
Solution First, take that x = 0, we have
L(0,y) = lim
(x,y)→(0,0)
3 × 0 × y
0 + y2
= lim
(x,y)→(0,0)
0 = 0
Now, take that y = 0, we have
L(x,0) = lim
(x,y)→(0,0)
3 × x2
× 0
x2 + 0
= lim
(x,y)→(0,0)
0 = 0
Take that y = x, we have
L(x,x) = lim
(x,y)→(0,0)
3 × x2
× x
x2 + x2
= lim
(x,y)→(0,0)
3x
2
= 0
Take that y = −x, we have
L(x,−x) = lim
(x,y)→(0,0)
3 × x2
× −x
x2 + (−x)2
= lim
(x,y)→(0,0)
−
3x
2
= 0
Here limit values along above directions are equal, hence function limit exists
at (x, y) → (0, 0).
80 Continuity
Solved Problem 1.86 Find the limit lim(x,y)→(0,0)
x4y
x8+y2 .
Solution First, take that x = 0, we have
L(0,y) = lim
(x,y)→(0,0)
0 × y
0 + y2
= lim
(x,y)→(0,0)
0 = 0
Now, take that y = 0, we have
L(x,0) = lim
(x,y)→(0,0)
x4
× 0
x8 + 0
= lim
(x,y)→(0,0)
0 = 0
Take that y = x, we have
L(x,x) = lim
(x,y)→(0,0)
x4
× x
x8 + x2
= lim
(x,y)→(0,0)
x3
x6 + 1
= 0
Take that y = −x, we have
L(x,−x) = lim
(x,y)→(0,0)
x4
× −x
x8 + (−x)2
= lim
(x,y)→(0,0)
−
x3
x6 + 1
= 0
Here limit values along above directions are equal, hence function limit exists
at (x, y) → (0, 0). To get the limit, we will reduce the given function along
the path y = x4
. Now,
L = lim
(x,y)→(0,0)
x4
× x4
x8 + (x4)2
= lim
(x,y)→(0,0)
1
2
= 0.5
This is limit of the given function.
2.1. CONTINUITY 81
2Continuity
2.1 Continuity
The function is said to be continuous if the graph of function can be drawn
without its breaking. If f(x) is defined on an open interval containing c,
then f(x) is said to be continuous at c if and only if limx→c f(x) = f(c).
If a function is said to be continuous on (a, b) if it is continuous at every
point of the interval (a, b). There are three conditions for a function being
continuous.
1. f(x) is defined at c, so that f(c) exists.
2. The limit as x approaches c exists, and
3. The limit and f(c) are equal.
1
1 2 3 4
−1
−2
−3
−4
−5
x
f(x)
Figure 2.1: Continuous function f(x) = sin x
x
at x = 0.
1
−1
1 2
−1
−2
−3
x
f(x)
f(x) =

0.5 : x ≥ 0
−0.5 : x  0
Figure 2.2: Discontinued plot of function.
82 Continuity
Solved Problem 2.1 Check the continuity of function x2−4
x−2
at x → 2.
Solution To check the continuity of function at x → 2, the point limit at
the point x = 2, left hand limit and right hand limit about the point x = 2
must be equal. So, The point limit at x = 2 is
1
1 2
x
f(x)
f(2) = lim
x→2
x2
− 4
x − 2
= lim
x→2
(x − 2)(x + 2)
x − 2
Expansion of Series
= lim
x→2
(x + 2) Simplifying
= 4 Applying limit
To get left hand limit, function is shifted to left hand side by subtracting a
small quantity h (say) from variable x. Here h → 0. So
f(2) = lim
h→0
lim
x→2
(x − h)2
− 4
x − h − 2
= lim
h→0
lim
x→2
(x2
+ h2
− 2xh − 4)
x − h − 2
Expansion of Series
= lim
h→0
(h2
− 4h)
−h
Applying limit for x
= lim
h→0
(−h + 4)
= 4 Applying limit for h
2.1. CONTINUITY 83
To get right hand limit, function is shifted to right hand side by subtracting
a small quantity h (say) from variable x. Here h → 0. So
f(2) = lim
h→0
lim
x→2
(x + h)2
− 4
x + h − 2
= lim
h→0
lim
x→2
(x2
+ h2
+ 2xh − 4)
x + h − 2
Expansion of Series
= lim
h→0
(h2
+ 4h)
+h
Applying limit for x
= lim
h→0
(h + 4)
= 4 Applying limit for h
From above three results, limit at point, left hand limit and right hand limit,
all are equal. Hence function is continuous at point x → 0.
2.1.1 Continuity at Closed Interval
A function is said to be continuous on [a, b] if and only if
1. It is continuous on (a, b).
2. If is continuous from the right at a and
3. It is continuous from the left at b.
2.1.2 Properties of Continuous Function
1. The sum or difference of two continuous function is a continuous func-
tion. This result is valid for any finite number of functions.
2. The product of two continuous function is a continuous function. This
result is valid for any finite number of functions.
3. The quotient of two continuous function is a continuous function. But
the quotient should not be zero at any point of the given range of values
considered.
4. If f(x) is continuous at x = a, and f(x) 6= 0 then in the neighbourhood
of x = a, f(x) has same sign that of f(a).
84 Continuity
5. If f(x) is continuous throughout the interval (a, b) and f(a) and f(b)
are of opposite sign, then there shall be at least one point x = c where
f(c) = 0.
6. If f(x) is continuous throughout the interval (a, b) and f(a) 6= f(b).
Then f(x) assumes every value between f(a) and f(b) at least once in
the interval.
7. A function, which is continuous throughout a closed interval, is bounded
therein.
8. A continuous function in an interval actually attains its upper and lower
bounds, at least once each, in the interval.
9. A function f(x), continuous in a closed interval [a, b], attains every
intermediate value between its upper and lower bounds in the interval,
at least once.
Solved Problem 2.2 Find that the function f(x) = x2−9
x−3
is continuous at
x = 3.
Solution The given function is
f(x) =
x2
− 9
x − 3
There is no change in characteristics of numerator and denominator with x,
therefore, we can simplify it before finding the left hand limit, right hand
limit and point limit. So,
f(x) =
(x − 3)(x + 3)
x − 3
= (x + 3)
The right hand limit is
lim
x→3+
f(x) = lim
x→3h→0
(x + h + 3)
Or
lim
x→3+
f(x) = lim
h→0
(h + 6) = 6
2.1. CONTINUITY 85
The left hand limit is
lim
x→3−
f(x) = lim
x→3h→0
(x − h + 3)
Or
lim
x→3−
f(x) = lim
h→0
(−h + 6) = 6
The point limit is
lim
x=3
f(x) = lim
x=3
(x + 3) = 6
Here three limits are equal, hence function is continuous at the given point.
Solved Problem 2.3 Find the value of a for which the following function is
continuous at x = −1.
f(x) =

ax2
+ 2 if x  −1
x if x ≥ −1
Solution If this function is continuous at x = −1 then left hand limit,
right hand limit and point limit should be equal. So, at x = −1
a(−1)2
+ 2 = −1 ⇒ a + 2 = −1 ⇒ a = −3
This is the value of a for which function is continuous at given point x = −1.
2.1.3 Discontinuity
A function is said to be discontinue if it is not continuous at a point. The
discontinuity is of following types.
Ordinary Discontinuity
A function f(x) is said to be ordinary discontinuity at x = a, if f(a + 0) 6=
f(a−0). Ordinary discontinuity with removable discontinuity are commonly
called simple discontinuity.
86 Continuity
Removable Discontinuity
If a function is discontinued at a point but modified form of the function
is not discontinued at that point then the discontinuity is called removable
discontinuity. Normally, a function f(x) is said to be removable discontinuity
at x = a, if f(a+0) = f(a−0) 6= f(a). The function can be made continuous
by defining the function f(x) = f(a + 0) or f(x) = f(a − 0) at that point
x = a. Let a function
f(x) =
x2
− 9
x − 3
is discontinued at point x = 3. But the modified form of the function is
f(x) =
x2
− 9
x − 3
=
(x − 3)(x + 3)
x − 3
= x + 3
The limit of modified function is
lim
x→3
(x + 3) = 3 + 3 = 6
The limit of a function is definite and constant, hence function is continuous
at the point.
Jump Discontinuity
This type of discontinuity is found in the conditional functions. For example
f(x) =
(
1 if x  0
−1 if x ≤ 0
1
−1
1 2
−1
−2
−3
x
f(x)
Here limx→0 f(x) does not exist, because for each value of x less than or
equal to zero, function has value −1 and for each value of x greater than zero,
2.1. CONTINUITY 87
function has value 1. At x = 0 function jumps from −1 to 1 or vice-versa.
This type of discontinuity is called jump discontinuity.
Solved Problem 2.4 Check the continuity of function f(x) = |2−x| at x = 0.
Solution The modulo function is critical at |2 − x| = 0, i.e. at x = 2.
Now, converting this function into piecewise function as
f(x) =

−(2 − x) for x  2
(2 − x) for x ≥ 2
1
2
1 2 3
−1
x
f(x)
For continuity at point x → 0, left hand limit and right hand limit shall
be
l−
= lim
x,h→0
−(2 − (x − h)) = lim
h→0
−(2 + h) = −2
l+
= lim
x,h→0
−(2 − (x + h)) = lim
h→0
−(2 − h) = −2
respectively. Function value at x = 0 is
l = lim
x=0
−(2 − x) = −2
Here, left hand limit, right hand limit and function value, all are equal, hence
function is continuous at the given point x = 0.
Solved Problem 2.5 Check the continuity of function f(x) = x
√
x at x = 0.
Solution For continuity at point x → 0, left hand limit is
l−
= lim
x,h→0
(x − h)
p
(x − h) = lim
h→0
−h
√
−h = C
Here, C is complex result. This is because in left side to x = 0, numbers
become negative and there is no real square root of negative numbers.
88 Continuity
1
2
1 2
−1
−2
x
f(x)
Now, right hand limit is
l+
= lim
x,h→0
(x + h)
p
(x + h) = lim
h→0
(h)
√
h = R
Here, R is real number. Function value at x = 0, we have
l = lim
x=0
x
√
x = 0
Here, left hand limit, right hand limit and function value, all are not equal,
hence function is not continuous at the given point x = 0.
Solved Problem 2.6 Check the continuity of function f(x) = 2x−2
x−1
at x = 1.
Solution The given limit is
l = lim
x→1
f(x) = lim
x→1
2x − 2
x − 1
On simplification, we have
l = lim
x→1
2
The function is constant function, therefore its limit is 2 irrespective of x-
value. Thus function is continuous at x = 1.
Solved Problem 2.7 Check the continuity of function f(x) = x3−1
x−1
at x = 1.
Solution The given limit is
l = lim
x→1
f(x) = lim
x→1
x3
− 1
x − 1
On simplification, we have
l = lim
x→1
x2
+ x + 1
2.1. CONTINUITY 89
Limit at x = 1 is 12
+ 1 + 1 = 3. Now left hand limit is
l−
= lim
x→1−
h→0
(x − h)2
+ (x − h) + 1
Or
l−
= lim
h→0
(1 − h)2
+ (1 − h) + 1
Or
l−
= lim
h→0
(1 + h2
− 2h) + (1 − h) + 1 = 3
Right hand limit is
l−
= lim
x→1−
h→0
(x + h)2
+ (x + h) + 1
Or
l−
= lim
h→0
(1 + h)2
+ (1 + h) + 1
Or
l−
= lim
h→0
(1 + h2
+ 2h) + (1 + h) + 1 = 3
Here all three limits are equal, hence function is continuous at x = 1.
Solved Problem 2.8 Two functions f(x) and h(x) are defined as
f(x) = x3
− 3x2
− 4x + 12
and
h(x) =
 f(x)
x−3
for x 6= 3
p for x = 3
1. The value of p, so that function h(x) is continuous at x = 3.
2. Substitute the value of p and show that h(x) is even function. Also
explain your answer.
Solution
1. If function h(x) is continuous function at x → 3 then its left hand
limit and right hand limit should be equal. So,
lim
x→3
f(x)
x − 3
= p
90 Continuity
Substituting f(x), we have
lim
x→3
x3
− 3x2
− 4x + 12
x − 3
= p
Or
lim
x→3
x2
(x − 3) − 4(x − 3)
x − 3
= p
Or
lim
x→3
(x2
− 4) = p
On taking limit, we get p = 5.
2. Now the function h(x) is
h(x) =

x2
− 4 for x 6= 3
5 for x = 3
Left hand and right hand piecewise functions shall be equal at x = 3. So,
x2
− 4 = 5 gives x2
= 9. If h(x) is even function then h(−x) should be equal
to h(x). Therefore,
h(−x) = (−x)2
− 9 = h(x)
Hence the function h(x) is even function.
Solved Problem 2.9 For the function f(x) = 2x−2
x2+x−2
, find the value of x for
which f(x) is discontinues. Is limit of function f(x) exist for each value of x.
Solution If given function f(x) is discontinued at x = α then function
value at x = α should not be finite. This is possible when denominator of
function is zero and numerator is other than zero. So,
2x − 2 6= 0 ⇒ x 6= 1
and
x2
+ x − 2 = 0 ⇒ x2
+ 2x − x − 2 = 0
Or
(x − 1)(x + 2) = 0
This gives, x = 1 and x = −2. x = 1 is not acceptable as at this point
function is indeterminate and function becomes f(x) = 2
x+2
on simplification.
Thus there is only x = −2, where function has infinite value. Therefore
2.1. CONTINUITY 91
function is discontinued at x = −2. At this point limit is infinity whereas
function is discontinued. At point x = 1 limit is
lim
x→1
f(x) = lim
x→1
2
x + 2
On taking limit,
lim
x→1
f(x) =
2
3
This is desired result.
Solved Problem 2.10 A function f(x) is continuous at x = 3 and f(3) = −4.
Find limx→3 f(x).
Solution We know that
lim
x→a
f(x) = f(a)
So,
lim
x→3
f(x) = f(3) = −4
This is desired result.
Solved Problem 2.11 A function f(x) is continuous at x = 5 and defined by
f(x) =

kx2
+ 2 if x  5
4x + 7 if x ≥ 5
Find the value of k and limx→5 f(x).
Solution If given function f(x) is continuous at x = 5 then its left hand
limit should be equal to right hand limit. So
lim
x→5
(kx2
+ 2) = lim
x→5
(4x + 7)
Or
k × 52
+ 2 = 4 × 5 + 7
It gives k = 1. Now,
lim
x→5
f(x) = lim
x→5
(4x + 7)
It gives limit l = 27.
92 Continuity
Solved Problem 2.12 Consider the function
h(x) =

(x2
− 2)2
if x  2
x − 3 if x ≥ 2
1. Find limx→2− h(x).
2. Find limx→2+ h(x).
3. Find limx→2 h(x).
4. Draw the graph for above function.
Solution
1. For the left hand limit, i.e. x  2 the effective function is h(x) =
(x2
− 2)2
. So,
lim
x→2−
h(x) = lim
x→2−
(x2
− 2)2
= lim
x→2
h→0
((x − h)2
− 2)2
First substitute limit of x then limit of h. It gives
lim
x→2−
h(x) = lim
h→0
((2 − h)2
− 2)2
= lim
h→0
(4 + h2
− 4h − 2)2
= 4
2. For the right hand limit, i.e. x  2 the effective function is h(x) =
x − 3. So,
lim
x→2+
h(x) = lim
x→2+
(x − 3) = lim
x→2
h→0
(x + h − 3)
First substitute limit of x then limit of h. It gives
lim
x→2+
h(x) = lim
h→0
(2 + h − 3) = lim
h→0
(h − 1) = −1
3. The effective function for x = 3 is same as for x  3, therefore,
lim
x→2
h(x) = −1
2.1. CONTINUITY 93
4. The graph of the function is shown below:
4
−4
1 2
−1
−2
x
f(x)
Solved Problem 2.13 The function
h(x) =



−2x + 1 if x ≤ 0
x + 1 if 0  x  4
x + 2 if x ≥ 4
1. Find limx→4− h(x).
2. Find limx→4+ h(x).
3. Find limx→0− h(x).
4. Find limx→0+ h(x).
5. Find limx→0 h(x).
6. Find limx→1 h(x).
7. Draw the graph for above function.
Solution
1. Effective function for the limit point x → 4−
is x + 1. So,
lim
x→4−
h(x) = lim
x→4
(x + 1) = 5
2. Effective function for the limit point x → 4+
is x2
+ 2. So,
lim
x→4+
h(x) = lim
x→4
(x + 2) = 6

Limit & Continuity of Functions - Differential Calculus by Arun Umrao

  • 1.
    1 LIMIT & CONTINUITY ASHORT NOTES Arun Umrao https://sites.google.com/view/arunumrao DRAFT COPY - GPL LICENSING
  • 2.
    2 Limit Contents 1 Limit3 1.1 Limit . . . . . . . . . . . . . . . . . . . . . . . . . . . . . . . . 3 1.1.1 Why x → a? . . . . . . . . . . . . . . . . . . . . . . . . 5 1.1.2 Closeness . . . . . . . . . . . . . . . . . . . . . . . . . 7 1.1.3 Concept of Limit . . . . . . . . . . . . . . . . . . . . . 8 1.1.4 Rules of Limit . . . . . . . . . . . . . . . . . . . . . . . 10 1.1.5 Series Expansion of Relations . . . . . . . . . . . . . . 13 1.1.6 Finding Limits . . . . . . . . . . . . . . . . . . . . . . 20 1.1.7 Limit Of Functions in Form Of y = xx . . . . . . . . . 42 1.1.8 Limit of Function at Integer Value . . . . . . . . . . . 51 1.1.9 Limit of Modulus Functions . . . . . . . . . . . . . . . 52 1.1.10 Limit of Derivative Type Functions . . . . . . . . . . . 56 1.1.11 Limit by Substitution . . . . . . . . . . . . . . . . . . . 58 1.1.12 Limit of Piece-wise Functions . . . . . . . . . . . . . . 60 1.1.13 L’Hospital’s Rule . . . . . . . . . . . . . . . . . . . . . 63 1.1.14 Squeeze Theorem . . . . . . . . . . . . . . . . . . . . . 73 1.1.15 Multi-variable Limit . . . . . . . . . . . . . . . . . . . 75 2 Continuity 81 2.1 Continuity . . . . . . . . . . . . . . . . . . . . . . . . . . . . . 81 2.1.1 Continuity at Closed Interval . . . . . . . . . . . . . . 83 2.1.2 Properties of Continuous Function . . . . . . . . . . . 83 2.1.3 Discontinuity . . . . . . . . . . . . . . . . . . . . . . . 85 2.1.4 Intermediate Value Theorem . . . . . . . . . . . . . . . 97
  • 3.
    1.1. LIMIT 3 1Limit 1.1Limit A limit is a finite constant value of a function when function approaches to a given value. The general notation of limit is as follows: lim x→a f(x) (1.1) This is read as “The limit of function f(x) when x approaches a”. Illustrated Example Let a function f(x) = 1/x2 and what happen to it if x → 0. Assume x = 0.1 initial point of function f(x) and x = 10 final point of the function. Now break the range in ten divisions and calculate the corresponding values of f(x). The following table of the result is given below. x 1/x2 0.01 10000 0.1 100 0.5 4 1 1 5 0.04 10 0.01
  • 4.
    4 Limit 20 40 1 23 x f(x) Figure 1.1: Plot of function f(x) = 1 x2 . It is seen from table 1.1 as well as from figure (1.1), the value of f(x) increases with decrease of value of x. At x = 0.1 the value of f(x) is 100. Hence limit of function f(x) = 1/x2 at x → 0.1 is 100. Illustrated Example Consider an other function f(x) = x2 whose limit is to be found at x = 0. Now the function table is x f(x) = x2 -2 4 -1 1 0 0 1 1 2 4 And the graph figure is 2 4 1 2 −1 −2 x f(x) Figure 1.2: Plot of function f(x) = x2 . Function f(x) is well known equation of parabola and its vertex is at origin i.e. at (0, 0). The limit of function at x → 0 is zero.
  • 5.
    1.1. LIMIT 5 Mathematically lim x→0 f(x)= lim x→0 x2 = 02 = 0 From above two examples it is clear that the limit of a function is the nu- merical value of function at the given point. 1.1.1 Why x → a? In limits, we hardly say that find limit of a function when x = a. This is because, in rational functions, denominator should not be exactly zero, otherwise there shall be logical error of division by zero. For example, lim x=1 f(x) = lim x=1 x x − 1 The denominator becomes 0 at x = 1 and at this point limit shall be 1/0, i.e. logical error of division by zero. But there shall be no logical error of division by zero, if x − 1 6= 0 but x − 1 is very very close to 0, i.e. it may be 0.00000001 or 0.00000000001 or less. At all these points, limit shall approach to very large number (diverging) but not exactly infinity (uncountable very large number). Consider another function lim x=0 f(x) = lim x=0 sin x x At x = 0, limit is lim x=0 f(x) = sin 0 0 A logical error of division by zero. To remove this problem, we approach x closer to 0, taking x = 0.00000001 or x = 0.00000000001 or lesser. At both points, lim x=0.00000001 f(x) = sin 0.00000001 0.00000001 ≈ 1 See the tables given below:
  • 6.
    6 Limit x f(x)= sin x x -0.5 0.95885 -0.4 0.97355 -0.3 0.98507 -0.2 0.99335 -0.1 0.99833 0.0 #DIV/0! 0.1 0.99833 0.2 0.99335 0.3 0.98507 0.4 0.97355 0.5 0.95885 In the following tables, x values are put very close to 0. The corresponding values of f(x) are given in second column of the table. x f(x) = sin x x -0.00000100 1.0 -0.00000075 1.0 -0.00000050 1.0 -0.00000025 1.0 0.00000001 1.0 0.00000025 1.0 0.00000050 1.0 0.00000075 1.0 0.00000100 1.0 That’s why, limit points are always represented as x → a rather than x = a. Bi-directional limit points are represented as x± → a.
  • 7.
    1.1. LIMIT 7 1.1.2Closeness Let f(x) is a function of x continuous in (−∞, ∞). Let x = a is a point where function value is f(a). If x is changed by δa to x = a ± δa then value of f(x) is changes by σf(a), that is obtained by f(a ± δa) − f(a). δa → 0 then we can say that f(a) and f(a ± δa) are close to each other. This is known as closeness. Degree of closeness define that a function is continuous or not and limit exists at the given point. The desired precision in result is prime consideration of closeness of the function values. Solved Problem 1.1 Find the function value of f(x) = x2 − 1 at x = 1. Solution The function value is f(1) = 12 − 1 = 0. Solved Problem 1.2 Find the function value of f(x) = x2 −1 at x = 0.99999. Discuss answer for function value at x = 1. Solution The function value is f(0.99999) = 0.999992 − 1 = 0.00002. The function value is f(1) = 12 − 1 = 0. Here, x is changed by −0.00001 and corresponding function value is changed by 0.00002. If we have to take three decimal precision, then we can say that function values at x = 1 and x = 0.99999 are exactly equal to each other. Upto five decimal precision, we can say that function values are very close to each other. Solved Problem 1.3 Find the function value of f(x) = x3 − 1 at x = 0.99, x = 0.999, x = 0.9999 and x = 1. Discuss your finding. Solution The function value at x = 0.99 is f(0.99) = 0.992 − 1 = 0.0199 Similarly, f(0.999) = 0.9992 − 1 = 0.001999 f(0.9999) = 0.99992 − 1 = 0.00019999 f(1) = 12 − 1 = 0 Here, x is moving towards 1 function value approaching to 0.
  • 8.
    8 Limit 1.1.3 Conceptof Limit Generaly, limit of a function at a point is function value at that point. For example, at point x = 0 the limit of a function f(x) = x is f(0) = 0. This concept is invalid in case of algebraic function. For example, in the algebraic fraction f(x) = x + 1 x − 1 limit can not be obtained just by putting value of x in fractions, as denomi- nator can not be equal to zero, i.e. x − 1 6= 0, i.e. x = 1. It means, fraction is not continuous (broken) when x = 1. Now, the question rises that what is function value at x = 1. The answer lies in the step size of the function table. Take the function f(x) = x + 1 x − 1 which is graphed between x = 0 to x = 2 in 11 steps. The step size is given by ∆x = 2 − 0 11 − 1 = 0.2 Now the function table becomes x f(x) 0.0 -1.0 0.2 -1.5 0.4 -2.3 0.6 -4.0 0.8 -9.0 1.0 ∞ 1.2 11.0 1.4 6.0 1.6 4.3 1.8 3.5 2.0 3.0 We see that at x = 1, the function value is infinite and hence not accept- able. Now, the get the continuity of the function, we will change the step
  • 9.
    1.1. LIMIT 9 sizeso that the point x = 1 can not be avoided. Now, we will take the 12 steps, for the function table. Now, the step size is ∆x = 2 − 0 12 − 1 = 0.125 x f(x) 0.00 -1.0 0.18 -1.4 0.36 -2.1 0.54 -3.3 0.72 -6.1 0.90 -19.0 1.08 26.0 1.26 8.7 1.44 5.5 1.62 4.2 1.80 3.5 2.00 3.0 Now, the point x = 1 is skipped and the function behaves like a continuous function. Taking the neighbouring values of the function about x = 1, the function tends to move towards 26 from x+ → 0 and towards −19 when x− → 0. See the following graph. 10 20 −10 −20 1 2 −1 x f(x) bc
  • 10.
    10 Limit Here, stepsize of the independent variable plays an important role in the determining of the limit of the function. If step size is small, the limit either approaches to infinity or to zero. Therefore, the step size should be choosed carefully, so that in the function table, value of x does not coincide to the underterminant point. 1.1.4 Rules of Limit Limit is a finite value of a function at a point when variable approaches to the point in number line either from left or right of the point. There are some common rules followed when limit is observed. These are Constant Rule Constant rule is applicable to the constant function. In constant rule, if f(x) = b then the limit of function f(x) at every point x → c is also b. lim x→c f(x) = b (1.2) Identity Rule Identity rule states that if f(x) = x then the limit of function at limit x → c is c. Here, limit of the function is point itself. lim x→c f(x) = lim x→c x = c (1.3) Infinite Oscillation If the value of function rapidly changes above and below of horizontal axis, when function approaches to the limit point, function is called oscillatory function. As function approach to limit, oscillation takes places thousands of time hence it is called infinite oscillation. The function f(x) = sin(1/x) gives the infinite oscillation as it approaches to x → 0.
  • 11.
    1.1. LIMIT 11 xf(x) = sin(1/x) -0.0010 -0.8268795405 -0.0009 0.8482585627 -0.0008 0.3465363520 -0.0007 -0.7534074468 -0.0006 -0.9986605465 -0.0005 -0.9300395044 -0.0004 0.6501275236 -0.0003 0.1033430380 -0.0002 0.9879664388 -0.0001 0.3056143888 0.0000 -0.9629394662 0.0001 -0.3056143889 0.0002 -0.9879664388 0.0003 -0.1033430380 0.0004 -0.6501275236 0.0005 0.9300395044 0.0006 0.9986605465 0.0007 0.7534074468 0.0008 -0.3465363520 0.0009 -0.8482585627 0.0010 0.8268795405 From the table, we see that when x moves from −0.0010 to x = 0.0010, function crosses x-axis (i.e. from positive to negative or from negative to positive function values) more than seven times. The graph of the oscillating function is shown below:
  • 12.
    12 Limit 1 −1 1 23 4 5 6 7 x f(x) Figure 1.3: Infinite Oscillatory Function f(x) = sin 1 x . Identities of Limits A relation of single terms containing constants and variable, constant is ex- tracted outside the limit operation during the finding of limits. For example lim x→c k f(x) = k lim x→c f(x) A relation has multiple terms with arithmetic operations, limit operation is performed on all terms separately by maintaining the arithmetic operations. For terms in summation lim x→c {f(x) + g(x)} = lim x→c f(x) + lim x→c g(x) For terms in subtraction lim x→c {f(x) − g(x)} = lim x→c f(x) − lim x→c g(x) For terms in product lim x→c {f(x) × g(x)} = lim x→c f(x) × lim x→c g(x) For terms in division lim x→c f(x) g(x) = limx→c f(x) limx→c g(x) Solved Problem 1.4 If lim x→1 x+a x−1 = 1, then find the value of a. Solution Here, lim x→1 x + a x − 1 = 1
  • 13.
    1.1. LIMIT 13 isdefined and it can be written as lim x→1 (x + a) lim x→1 (x − 1) = 1 On simplification, we have lim x→1 (x + a) = 1 × lim x→1 (x − 1) Substituting the limits, we have 1 + a = 0, i.e. a = −1. 1.1.5 Series Expansion of Relations The expansion of various series are given below: Expansion of (a + x)n (a + x)n = n C0an + n C1an−1 x + n C2an−2 x2 + n C3an−3 x3 + . . . + n Cnxn Proof The binomial expression (a + x)n can be written as (a + x) × (a + x) × (a + x) × (a + x) × (a + x) × . . . . . . × n When n = 0, we get the binomial relation for zero degree. (a + x)0 = 1 Putting n = 1, the first degree polynomial is give nby (a + x)1 = a + x = 1 C0a1 + 1 C1a1−1 x1 Second degree binomial expansion of function is obtained when n = 2l (a + x)2 = a2 + 2ax + x2 = 2 C0a2 + 2 C1a2−1 x1 + 2 C2a2−2 x2
  • 14.
    14 Limit Again, (a +x)3 = a3 + 3a2 x + 3ax2 + x3 = 3 C0a3 + 3 C1a3−1 x1 + 3 C2a3−2 x2 + 3 C3a3−3 x3 For n times successive multiplications (a + x)n = n C0an + n C1a(n−1) x + n C2a(n−2) x2 + . . . + n C(n−1)ax(n−1) + n Cnxn (1.4) This is called nth power binomial expansion of a two term function. Expansion of (1 + x)n (1 + x)n = 1 + nx + n(n − 1) 2! x2 + n(n − 1)(n − 2) 3! x3 + . . . Proof From equation (1.4), put a = 1 and solve combinations the result will be (1 + x)n = 1 + nx + n(n − 1) 2! x2 + n(n − 1)(n − 2) 3! x3 + . . . (1.5) Expansion of (1 − x)n The expansion of binomial expression (1 − x)n is (1 − x)n = 1 − nx + n(n − 1) 2! x2 − n(n − 1)(n − 2) 3! x3 + . . . It can be proved as given below. Proof Substitute x = −x in equation (1.5) the result will be (1 − x)n = 1 − nx + n(n − 1) 2! x2 − n(n − 1)(n − 2) 3! x3 + . . . (1.6)
  • 15.
    1.1. LIMIT 15 Expansionof ax ax = 1 + x loge a + x2 2! (loge a)2 + x3 3! (loge a)3 + . . . Proof ax can be written in exponential form like ex loge a . Now expanding the exponential series ex loge a = 1 + x loge a + x2 2! (loge a)2 + x3 3! (loge a)3 + . . . Or ax = 1 + x loge a + x2 2! (loge a)2 + x3 3! (loge a)3 + . . . (1.7) It is required expansion of the series. Expansion of ex ex = 1 + x + x2 2! + x3 3! + . . . Proof We know that ax = 1 + x loge a + x2 2! (loge a)2 + x3 3! (loge a)3 + . . . Substituting the base a with base e, we have ex = 1 + x loge e + x2 2! (loge e)2 + x3 3! (loge e)3 + . . . As loge e = 1, above relation becomes ex = 1 + x + x2 2! + x3 3! + . . . (1.8) Expansion of sin x sin(x) = x − x3 3! + x5 5! − . . . . . .
  • 16.
    16 Limit Proof FromEuler’s formula eix = cos x + i sin x, cos x + i sin x = 1 + ix 1! + (ix)2 2! + (ix)3 3! + (ix)4 4! + . . . = 1 + ix 1! − x2 2! − ix3 3! + x4 4! + . . . = 1 − x2 2! + x4 4! − . . . + i x 1! − x3 3! + . . . Comparing imaginary part from both side sin(x) = x − x3 3! + x5 5! − . . . . . . (1.9) Expansion of cos x cos(x) = 1 − x2 2! + x4 4! − . . . . . . Proof From Euler’s formula eix = cos x + i sin x, cos x + i sin x = 1 + ix 1! + (ix)2 2! + (ix)3 3! + (ix)4 4! + . . . = 1 + ix 1! − x2 2! − ix3 3! + x4 4! + . . . = 1 − x2 2! + x4 4! − . . . + i x 1! − x3 3! + . . . Comparing real part from both side cos(x) = 1 − x2 2! + x4 4! − . . . . . . (1.10) Expansion of tan x tan(x) = x + x3 3 + 2 15 x5 + . . .
  • 17.
    1.1. LIMIT 17 ProofIf expansions sin(x) and cos(x) are divided then tan(x) is obtained in form of expansion. Hence tan(x) = sin(x) cos(x) (1.11) On simplification, its expansion will be tan(x) = x + x3 3 + 2 15 x5 + . . . (1.12) Expansion of loge(1 + x) loge(1 + x) = x − x2 2 + x3 3 − x4 4 + . . . Proof Expansion of loge(1 − x) loge(1 − x) = −x − x2 2 − x3 3 − x4 4 − . . . . . . Proof Expansion of arcsin x arcsin(x) = x + x3 3! + x5 5! + . . . Proof Expansion of arctan x arctan(x) = x − x3 3 + x5 5 − . . . . . . Proof
  • 18.
    18 Limit Expansion ofsinh x sinh(x) = x + x3 3! + x5 5! + . . . Proof We know that sin(x) = x − x3 3! + x5 5! − . . . . . . Substituting x by ix in both side sin(ix) = ix − (ix)3 3! + (ix)5 5! − . . . Applying the hyperbolic relation for trigonometric function i sinh(x) = ix + i x3 3! + i x5 5! + . . . On simplification sinh(x) = x + x3 3! + x5 5! + . . . (1.13) Expansion of cosh x cosh(x) = 1 + x2 2! + x4 4! + . . . Proof We know that cos(x) = 1 − x2 2! + x4 4! − . . . Substituting x by ix in both side cos(ix) = 1 − (ix)2 2! + (ix)4 4! − . . . Applying the hyperbolic relation for trigonometric function cosh(x) = 1 + x2 2! + x4 4! + . . . On simplification cosh(x) = 1 + x2 2! + x4 4! + . . . (1.14)
  • 19.
    1.1. LIMIT 19 LimitsExhibits Extra Ordinary Properties loge 1 = 0 loge e = 1 loge ∞ = ∞ loge 0 = −∞ Proof Let y = loge 1 and from logarithm 1 = ey ey = e0 On comparing powers in both sides y = 0 Or loge 1 = 0 Similarly loge e = 1. For loge ∞ = ∞, let loge ∞ = y ey = ∞ = 1 0 = 1 e−∞ = e∞ On comparing the powers of e in both side y = ∞ Substituting the value of y loge ∞ = ∞ Similarly loge 0 = −∞.
  • 20.
    20 Limit 1.1.6 FindingLimits Finding limit is more analytical than mathematical. We can not just get function value at given point to find the limit. For example, L = lim x→0 x x We can not solve it just substituting x by 0 for finding of limit. First we have to rationalized x/x to 1 then substitute the limit. The basic rule of finding limit is rationalize and solve. At first given function must reduce to basic form or to simplest form and then limit case be applied. Take simple example, L = lim x→0 2 x 2 x − 1 2 x − 2 x 2 3 We can not just substitute x = 0 to get the limit as it gives errors of division by zero. L = 2 0 2 0 − 1 2 0 − 2 0 2 3 To overcome this type of problem, we shall reduce this function, i.e. ratio- nalize to it as L = lim x→0 2 x 2 − x x 2 − 2x x x 2 3 Or L = lim x→0 2(2 − x)(2 − 2x) 1 2 3 Now, we put limit L = lim x→0 2(2 − 0)(2 − 0) 1 2 3 = 1 Which gives L = 1. Limit by Substitution The linear functions give limit on simply substituting the x by limit point. For example, limit of the function f(x) = x + 2 at x = 0 is f(0) = 0 + 2 = 2. By this method we shall solve some more problems as given below:
  • 21.
    1.1. LIMIT 21 SolvedProblem 1.5 Find the limits of functions y = 2x + 2 at x → 0. Solution The limit of function y is lim x→0 y = lim x→0 (2x + 2) 1 2 3 1 −1 x f(x) y = 2x + 2 Taking limits in right hand side lim x→0 y = 2 × 0 + 2 It gives the limit of the given function. lim x→0 y = 2 It is limit of the function at x = 2. Solved Problem 1.6 Find the limits of functions y = 4x − 4 at x → 0. Solution The limit of function y is lim x→0 y = lim x→0 (4x − 4) −2 −4 −6 −8 1 −1 x f(x) y = 4x − 4 Taking limits in right hand side lim x→0 y = 4 × 0 − 4 It gives the limit of the given function. lim x→0 y = −4 Function approaches to −4 when x approaches to 0.
  • 22.
    22 Limit Solved Problem1.7 Evaluate limit of limx→−2 x3+2 x+2 . Solution The limit function is lim x→−2 x3 + 2 x + 2 Applying limit in right hand side L = (−2)3 + 2 −2 + 2 It gives the limit of the relation L = ∞. Solved Problem 1.8 Find the limits of functions y = x + 12 at x → 0. Solution The limit of function y is lim x→0 y = lim x→0 (x + 12) Taking limits in right hand side lim x→0 y = 0 + 12 It gives the limit of the given function. lim x→0 y = 12 Function approaches to 12 when x approaches to 0. Solved Problem 1.9 Find the limits of functions y = 4(x − 1) − 14 at x → 0. Solution The limit of function y is lim x→0 y = lim x→0 (4(x − 1) − 14) Taking limits in right hand side lim x→0 y = 4 × (0 − 1) − 14 It gives the limit of the given function. lim x→0 y = −18 Function approaches to −18 when x approaches to 0.
  • 23.
    1.1. LIMIT 23 SolvedProblem 1.10 The equation of line is y = mx + 3. Find the limit of the line when x → 1. Solution The limit of function y is lim x→0 y = lim x→0 (mx + 3) Taking limits in right hand side lim x→0 y = m × 1 + 3 It gives the limit of the given function. lim x→0 y = m + 3 Function approaches to m + 3 when x approaches to 0. Solved Problem 1.11 Find the limits of functions y = 4x2 − 4 at x → 0. Solution The limit of function y is lim x→0 y = lim x→0 (4x2 − 4) Taking limits in right hand side lim x→0 y = 4 × 02 − 4 It gives the limit of the given function. lim x→0 y = −4 Function approaches to −4 when x approaches to 0. Solved Problem 1.12 The function is y = x3 + 12. Find limit at x → 0. Solution The limit of function y is lim x→0 y = lim x→0 (x3 + 12) Taking limits in right hand side lim x→0 y = 02 + 12
  • 24.
    24 Limit It givesthe limit of the given function. lim x→0 y = 12 The function approaches to 12 when x approaches to zero. Solved Problem 1.13 The function is y = 4(x−1)2 −14. Find limit at x → 0. Solution The limit of function y is lim x→0 y = lim x→0 (4(x − 1)2 − 14) Taking limits in right hand side lim x→0 y = 4 × (0 − 1)2 − 14 It gives the limit of the given function. lim x→0 y = −10 The function approaches to −10 when x approaches to zero. Solved Problem 1.14 Evaluate limx→2 x2−3 2 . Solution The limit of given relation is L = lim x→2 x2 − 3 2 Applying limit gives acceptable value, hence L = 22 − 3 2 = 1 2 This is limit of the given relation. Solved Problem 1.15 Evaluate limx→2 x2−3 x−1 . Solution The limit of given relation is L = lim x→2 x2 − 3 x − 1
  • 25.
    1.1. LIMIT 25 Applyinglimit gives acceptable value, hence L = 22 − 3 2 − 1 = 1 This is limit of the given relation. Solved Problem 1.16 Evaluate limx→3 x+2 x−3 . Solution The limit of given relation is L = lim x→3 x + 2 x − 3 Applying limit gives infinite value of the function at x = 3. hence L = 3 + 2 3 − 3 = ∞ It means that there is no limit at x = 3. Solved Problem 1.17 Evaluate limx→0 √ x−3− √ 3 x . Solution This function is in reduced form. Hence on applying limit to the function, it gives L = lim x→0 √ x − 3 − √ 3 x = √ −3 − √ 3 0 = ∞ Hence the limit of the function at x → 0 is ∞. Solved Problem 1.18 Evaluate limx→2 3 x−2 . Solution This function is in reduced form. Hence on applying limit to
  • 26.
    26 Limit the function,it gives L = lim x→2 3 x − 2 = 3 2 − 2 = ∞ Hence the limit of the function at x → 0 is ∞. Limit by Simplification Some times functions are given in complex form which are reducible to one or two terms and gives exact limit at a given point on application of limit. For example, l1 = lim x→1 x − 1 x2 − 1 When we put x = 1, we get undetermined form 0/0. But if we simplify denominator, we get function reduced to l1 = lim x→1 x − 1 (x − 1)(x + 1) = lim x→1 1 x + 1 Now the limit of given function is l1 = 1/2. Limit at Infinity When a function limit is to be found at x → ∞, we have careful about the nature of the function. First we should check whether function is diverging or converging. If function is diverging at x → ∞, try to convert function divergent. For example, l = lim x → ∞ x2 − 1 x2 + 1 This function has diverging numerator and denominator, we can convert them converging if both numerator and denominator are divided by highest degree term without coefficient, i.e. x2 . l = lim x → ∞ 1 − 1 x2 1 + 1 x2 Now, its both numerator and denominator are converging. We can now apply limit directly. If it is not possible to convert the diverging function into converging function, then its limit shall be infinity at x → ∞.
  • 27.
    1.1. LIMIT 27 SolvedProblem 1.19 Find limit of function l = lim x→3 √ 5x − 6 − √ x + 6 x2 − 9 Solution On substituting the value of x = 3, the function returns 0/0 which is not acceptable. So we shall simplify the function. Now multiplying √ 5x − 6 + √ x + 6 in numerator and denominator both. l = lim x→3 √ 5x − 6 − √ x + 6 x2 − 9 × √ 5x − 6 + √ x + 6 √ 5x − 6 + √ x + 6 This gives l = lim x→3 (5x − 6) − (x + 6) (x2 − 9) × ( √ 5x − 6 + √ x + 6) l = lim x→3 4x − 12 (x − 3)(x + 3) × ( √ 5x − 6 + √ x + 6) l = lim x→3 4 (x + 3) × ( √ 5x − 6 + √ x + 6) Applying limit in right hand side, we have l = 4 (3 + 3) × ( √ 15 − 6 + √ 3 + 6) = 4 36 = 1 9 This is limit of given function. Solved Problem 1.20 Evaluate limx→2 x3−27 x−3 . Solution The limit of given relation is L = lim x→2 x3 − 27 x − 3 Applying limits
  • 28.
    28 Limit 10 20 30 1 23 4 −1 x f(x) b b b b b b 7.0 9.0 13.0 19.0 27.0 37.0 limx→3 x3 −27 x−3 L = 23 − 27 2 − 3 = −19 −1 = 19 This result can be obtained by expansion method of the limit. Hence ex- panding the limit function. L = lim x→2 x3 − 27 x − 3 = lim x→2 (x − 3)(x2 + 3x + 9) x − 3 = lim x→2 (x2 + 3x + 9) Applying the limit L = 22 + 3 × 2 + 9 = 19 This is the limit of the given function at x = 2. Solved Problem 1.21 Evaluate limx→2 x3−8 x−2 . Solution The given relation is L = lim x→2 x3 − 8 x − 2
  • 29.
    1.1. LIMIT 29 Applyinglimits L = lim x→2 23 − 8 2 − 2 It gives the limit in form of 0/0 that is not acceptable. Now expanding the numerator L = lim x→2 x3 − 23 x − 2 = lim x→2 (x − 2)(x2 + 4 + 2x) x − 2 = lim x→2 x2 + 4 + 2x Applying the limit L = 22 + 4 + 2 × 2 = 12 This is the limit of the given function at x = 2. Solved Problem 1.22 Evaluate limx→2 x3−3 x−1 . Solution On applying the limit function gives finite value. Therefore its limit exists at the point x → 2. Now L = lim x→2 x3 − 3 x − 1 = 8 − 3 2 − 1 = 5 It is the limit of the function when function approaches to the point x → 2. Solved Problem 1.23 Evaluate limx→3 x3−3x−18 x−3 . Solution The given relation is L = lim x→3 x3 − 3x − 18 x − 3
  • 30.
    30 Limit Applying limits L= lim x→3 33 − 3 × 3 − 18 3 − 3 It gives the limit in form of 0/0 that is not acceptable. Now making the fractions of the numerator L = lim x→3 (x − 3)(x2 + 3x + 6) (x − 3) = lim x→3 (x2 + 3x + 6) Applying the limit L = 32 + 3 × 3 + 6 = 21 This is the limit of the given function at x = 3. Solved Problem 1.24 Evaluate limx→2 x3−3 x−1 . Solution On applying the limit, function gives finite value. Therefore its limit exists at the point x → 2. Now L = lim x→2 x3 − 3 x − 1 = 8 − 3 2 − 1 = 5 It is the limit of the function when fuction approaches to the point x → 2. Solved Problem 1.25 Evaluate limx→3 x3−3x−18 x−3 . Solution The given relation is L = lim x→3 x3 − 3x − 18 x − 3 Applying limits L = lim x→3 33 − 3 × 3 − 18 3 − 3
  • 31.
    1.1. LIMIT 31 Itgives the limit in form of 0/0 that is not acceptable. Now making the fractions of the numerator L = lim x→3 (x − 3)(x2 + 3x + 6) (x − 3) = lim x→3 (x2 + 3x + 6) Applying the limit L = 32 + 3 × 3 + 6 = 21 This is the limit of the given function at x = 3. Solved Problem 1.26 Evaluate limx→0 x2−2 x−2 . Also graph the function and find its propoerty when x → 2. Solution On applying the limit, function gives finite value. Therefore its limit exists at the point x → 0. Now L = lim x→0 x2 − 2 x − 2 = 0 − 2 0 − 2 = +1 It is the limit of the function when fuction approaches to the point x → 0. 1 1 −1 x f(x) b b b b b limx→0 x2−2 x−2 20 −20 1 2 3 4 −1 x f(x) b b b b b b b limx→2 x2−2 x−2 When function approaches to x → 2, its value approaches to infinity. At this point limit of the function does not exists.
  • 32.
    32 Limit Solved Problem1.27 Evaluate limx→0 x2+2 x−2 . Also graph the function and find its property when x → 2. Solution On applying the limit, function gives finite value. Therefore its limit exists at the point x → 0. Now L = lim x→0 x2 + 2 x − 2 = 0 + 2 0 − 2 = −1 It is the limit of the function when fuction approaches to the point x → 0. −1 −2 1 −1 x f(x) b b b b limx→0 x2−2 x−2 50 −50 1 2 3 4 −1 x f(x) b b b b b b b limx→0 x2−2 x−2 When function approaches to x → 2, its value approaches to infinity. At this point limit of the function does not exists. Solved Problem 1.28 Evaluate limx→0 x4−2x2 x2 . Solution When limit is directly applied on the function, it gives unde- terminant value. Hence function is simplified as L = lim x→0 x4 − 2x2 x2 = lim x→0 x2 − 2 On applying the limit, functions gives value L = −2
  • 33.
    1.1. LIMIT 33 −1 −2 1 −1 x f(x) b b b b b limx→0 x4−2x2 x2 Thisfunction is parabolic having mouth open towards the +y axis. Solved Problem 1.29 Evaluate limx→2 x3−27 x−3 . Solution The limit of given relation is L = lim x→3 x3 − 27 x − 3 Applying limit gives a result of type ∞/∞ at x = 3. This is not acceptable. Now expanding the limit function. 20 1 2 3 4 −1 x f(x) b b b b b b 7.0 9.0 13.0 19.0 27.0 37.0 limx→3 x3−27 x−3 L = lim x→3 x3 − 27 x − 3 = lim x→3 (x − 3)(x2 + 3x + 9) x − 3 = lim x→3 (x2 + 3x + 9) Applying the limit L = 32 + 3 × 3 + 9 = 27
  • 34.
    34 Limit This isthe limit of the given function at x = 3. Solved Problem 1.30 Evaluate limx→4 x √ x−2 . Solution The given function is l = lim x→4 x √ x − 2 On substituting x in right hand side, it gives l = x √ 4 − 2 = x ±2 − 2 When we take +2, limit is infinity and when we take −2, limit is −1. Note that, x never be less than zero as when x 0, √ x becomes imaginary. The denominator gives positive value when √ x − 2 0, i.e. x 4. Similarly, denominator gives negative value, when √ x − 2 0, i.e. x 4. At point x = 4, denominator is zero and limit of the function is infinity. Solved Problem 1.31 Evaluate limx→1 x−1 |x−1| . Solution The function f(x) = x−1 |x−1| has modulo denominator. This function can not further simplified but it can be convertible. Therefore, we first convert this function into a piecewise function. First we will find the critical point for modulo term. This can be found equating modulo term to zero. x − 1 = 0 ⇒ x = 1 So, piecewise distribution of modulo term shall be about x = 1, that is also discontinuous point of the given function. ( limx→1 x−1 −(x−1) when x 1 limx→1 x−1 x−1 when x 1 1 −1 1 2 3 −1 −2 x f(x) limx→1 x−1 |x−1|
  • 35.
    1.1. LIMIT 35 Notethat, the function is undefined for x = 1, this is due to denominator term becomes zero when x = 1. This is division by zero condition and it is unacceptable. The direction of limiting variable is also adjusted. For example, first equation of above equation group, limit is calculated from left side (minus) and in second equation of above equation group, limit is calculated from right side (plus). So ( limx→1− x−1 −(x−1) when x 1 limx→1+ x−1 x−1 when x 1 Applying limits on both sub functions, we have left hand limit and right hand limits −1 and +1 respectively. Limit at exact point is undefined as function f(x) denominator is zero. Note that we are not taking piecewise sub functions where numerator and denominator terms cancel to each other. Solved Problem 1.32 Evaluate limx→0 2− √ 4+x x . Solution The given function is f(x) = 2 − √ 4 + x x It can be further simplified. To do so, we multiply numerator and denomi- nator by 2 + √ 4 + x. Now, f(x) = 2 − √ 4 + x x × 2 + √ 4 + x 2 + √ 4 + x = 4 − (4 + x) x(2 + √ 4 + x) −1 1 2 −1 −2 x f(x) limx→0 2− √ 4+x x This gives f(x) = 1 2 + √ 4 + x
  • 36.
    36 Limit Now, applyinglimits, we have lim x→0 f(x) = lim x→0 −1 2 + √ 4 + x = − 1 4 This is desired result. Solved Problem 1.33 Evaluate limx→∞ 3x3−4x−5 2x3−5x−6 . Solution The function f(x) = 3x3 − 4x − 5 2x3 − 5x − 6 can be simplified to convergence when both numerator and denominator are divided by x3 , i.e. highest degree term without coefficient. So f(x) = 3 − 4 x2 − 5 x3 2 − 5 x2 − 6 x3 Now, applying limits, we have lim x→∞ f(x) = lim x→∞ 3 − 4 x2 − 5 x3 2 − 5 x2 − 6 x3 Or lim x→∞ f(x) = 3 − 4 ∞2 − 5 ∞3 2 − 5 ∞2 − 6 ∞3 = 3 − 0 − 0 2 − 0 − 0 On solving it, we have limit 1.5. Solved Problem 1.34 Evaluate limx→∞ x2+1 x . Solution The given limit function is lim x→∞ x2 + 1 x = lim x→∞ x + 1 x This is diverging function. Limit of a diverging function diverges as limit point diverges, i.e. when x → ∞ limit of diverging function shall be ∞.
  • 37.
    1.1. LIMIT 37 SolvedProblem 1.35 Evaluate limx→∞ x2−1835 x2−1120 . Solution The limit function can be simplified to convergence as our limit point is at x → ∞. So, we have lim x→∞ x2 − 1835 x2 − 1120 = lim x→∞ 1 − 1835 x2 1 − 1120 x2 On applying limit, we have limit value +1. Solved Problem 1.36 Evaluate limx→∞ x2−2x+1 x+2 . Solution Given limit is lim x→∞ x2 − 2x + 1 x + 2 = lim x→∞ x 1 − 2 x + 1 x2 1 + 2 x On applying limit, we have limit value ∞. Solved Problem 1.37 Evaluate limx→∞ 2x2+3x 5x4−2x+1 . Solution Given limit is lim x→∞ 2x2 + 3x 5x4 − 2x + 1 = lim x→∞ 2 + 3 x 5x2 − 2 x + 1 x2 on applying limit, we have limit value 0 at x → ∞. Solved Problem 1.38 Evaluate limx→−∞ 2−3x2 1+x3 . Solution Given limit is lim x→−∞ 2 − 3x2 1 + x3 = lim x→−∞ 2 x2 − 3 1 x2 + x Applying limit, we have 2 (−∞)2 − 3 1 (−∞)2 + (−∞) = −3 −∞ = 0 Thus limit is zero.
  • 38.
    38 Limit Solved Problem1.39 Evaluate limx→0 sin x cos x . Solution Given limit is L = lim x→0 sin x cos x = lim x→0 tan x 1 −1 1 −1 x f(x) b limx→0 sin x cos x Applying limit, we have L = 0. Thus limit is zero. Solved Problem 1.40 Evaluate limx→0 x − cos x 1000 . Solution Given limit is L = lim x→0 x − cos x 1000 1 −1 1 −1 x f(x) b limx→0 x − cos x 1000 Applying limit, we have L = 0 − cos(0) 1000 = 0 − 0.001 = −0.001 Thus limit is approximately zero.
  • 39.
    1.1. LIMIT 39 SolvedProblem 1.41 Evaluate limx→0 x cos(x) sin(x) . Solution Given limit is L = lim x→0 x cos(x) sin(x) 1 2 1 −1 x f(x) b limx→0 x cos(x) sin(x) On applying limit, it gives indeterminate form. So, we first simplify the expression. L = lim x→0 x 1 − x2 2! + . . . × x 1! − x3 3! + . . . Or L = lim x→0 x x 1! − x2 2! × x 1! − x3 3! + . . . Or L = lim x→0 1 1 1! − x 2! × x 1! − x2 3! + . . . On applying limit in right hand side, we have L = 1. Solved Problem 1.42 Evaluate limx→0 sin(2x) cos(x) sin(x) . Solution Given limit is L = lim x→0 sin(2x) cos(x) sin(x) On applying limit, it gives indeterminate form. So, we first simplify the expression. L = lim x→0 2 sin(x) cos(x) cos(x) sin(x) = 2 The function becomes constant. So, on applying limit in right hand side, we have L = 2.
  • 40.
    40 Limit Solved Problem1.43 Evaluate limx→0 sin(3x) sin(x) . Solution Given limit is L = lim x→0 sin(3x) sin(x) On applying limit, it gives indeterminate form. So, we first simplify the expression. L = lim x→0 3 sin(x) − 4 sin3 (x) sin(x) = lim x→0 3 − 4 sin2 (x) On applying limit in right hand side, we have L = 3. Solved Problem 1.44 Evaluate limx→0 sin(2x) sin(x) . Solution Given limit is L = lim x→0 sin(2x) sin(x) On applying limit, it gives indeterminate form. So, we first simplify the expression. L = lim x→0 2 sin(x) cos(x) sin(x) = 2 cos x On applying limit in right hand side, we have L = 2. Solved Problem 1.45 Evaluate limx→0 1−cos(x) x . Solution Given limit is L = lim x→0 1 − cos(x) x 1 −1 1 2 3 −1 −2 −3 x f(x) b limx→0 1−cos(x) x
  • 41.
    1.1. LIMIT 41 Onapplying limit, it gives indeterminate form. So, we first simplify the expression. L = lim x→0 1 − 1 − x2 2! + . . . x = x 2! − higher x terms On applying limit in right hand side, we have L = 0. Can Functions Simplified? Can we simplify function in finding limits and continuity? Its answer is yes as well as no. Don’t be confuse. This depends on the domain of the independent variable that is undertaken for computational purposes. For example, f(x) = (x + 2) x2 − 4 can be simplified to f(x) = (x + 2) (x − 2)(x + 2) = 1 x − 2 if our observation points are about x = 2 and they do not cross x = −2. −8 −4 0 4 8 −3 −2 −1 0 1 2 3 f(x) = (x+2) x2−4 If our observation points are in (−3, 3) or (−∞, ∞) or [−3, 0] then func- tion can not be simplified as f(x) = (x + 2) (x − 2)(x + 2) = 1 x − 2 as it missed the behaviors of x+2 x+2 at the points other than x = 2. For example, at x = −2, fraction x+2 x+2 is indeterminate due to 0/0 condition, yet the function is continuous at x → −2. So, be careful while you are simplifying the given function during functional analysis.
  • 42.
    42 Limit 1.1.7 LimitOf Functions in Form Of y = xx Let the function is in form of y = xx . To find the limit of this function first take logarithm of the function loge y = loge xx Now simplify it loge y = x log x Now calculate limit of the function in right hand side about a point say x → 0 loge y = lim x→0 (x log x) The limit of right hand side is k (let) then loge y = k Take antilogarithm of above equation y = ek This is the limit of the function y. It is to be remembered that if loge x = log(1 ± x) then before taking limit, logarithm function must be expanded. according to the series given in section 1.1.5. Solved Problem 1.46 Evaluate limx→0 xx Solution Let y = xx . Taking logarithm on both side, we have ln y = x ln x Applying limits on both side, we have lim x→0 ln y = lim x→0 x ln x 1 1 −1 −2 −3 −4 x f(x) b b b b b limx→0 xx
  • 43.
    1.1. LIMIT 43 Now,we will discuss the limit from both sides, i.e. right hand side and left hand side. For the right hand side limit, in the right hand part, of above relation, have two terms. One is x and other is ln x. Whatever limit of ln x is at x → 0+ , x is always zero. Therefore their product is zero. So, limit of right hand side part is always zero. Now, lim x→0 ln y = 0 ⇒ lim x→0 y = e0 = 1 Hence, limit of the given limit function is 1. For the left hand side limit at x → 0− , this function is damping oscillating when x → −∞. It gives imaginary values if x ∈ R − I and real values when x ∈ I which oscillates above and below x-axis. Solved Problem 1.47 Evaluate limx→1(a + x)1/x Solution Limit of function L = lim x→1 (a + x)1/x = lim x→1 a1/x a + x a 1/x Expanding it L = lim x→1 a1/x 1 + 1 x x a × 1 1! + 1 x 1 x − 1 x a 2 × 1 2! + 1 x 1 x − 1 1 x − 2 x a 3 × 1 3! + . . . (1.15) On simplifying L = lim x→1 a1/x 1 + 1 x x a × 1 1! + 1 x 1 − x x x a 2 × 1 2! + 1 x 1 − x x 1 − 2x x x a 3 × 1 3! + . . . (1.16) Applying the limit L = a 1 + 1 1 1 a × 1 1! + 1 1 1 − 1 1 1 a 2 × 1 2! + 1 1 1 − 1 1 1 − 2 × 1 1 1 a 3 × 1 3! + . . . # (1.17) Or Here, only first two terms will be non zero and other terms will be zero. This gives L = a + 1.
  • 44.
    44 Limit Solved Problem1.48 Evaluate limx→0 1 + x 2 1/x . Solution x f(x) -0.1 1.670 -0.01 1.650 -0.001 1.648 0.001 1.648 0.01 1.646 0.1 1.628 Limit of function L = lim x→0 1 + x 2 1/x Expanding it L = lim x→0 1 + 1 x x 2 × 1 1! + 1 x 1 x − 1 x 2 2 × 1 2! + 1 x 1 x − 1 1 x − 2 x 2 3 × 1 3! + . . . (1.18) Or L = lim x→0 1 + 1 x x 2 × 1 1! + 1 x 1 − x x x 2 2 × 1 2! + 1 x 1 − x x 1 − 2x x x 2 3 × 1 3! + . . . (1.19) On simplifying it and applying the limit L = 1 + 1 2 + 1 8 + 1 48 + . . . Or L = 1 + 0.5 + 0.125 + 0.020 + . . .
  • 45.
    1.1. LIMIT 45 Itgives the approximate limit of the function to L = 1.645. It is equal to approximate √ e. Second Method Limit of function L = lim x→0 1 + x 2 1/x Expanding it L = lim x→0 1 + 1 x x 2 × 1 1! + 1 x 1 x − 1 x 2 2 × 1 2! + 1 x 1 x − 1 1 x − 2 x 2 3 × 1 3! + . . . (1.20) On simplifying it and substituting the limit L = 1 + 1/2 1! + (1/2)2 2! + (1/2)3 3! + . . . This is exponential series of e1/2 . Hence limit of the function is approximately L = 1.645. Solved Problem 1.49 Evaluate limx→0 1 + x 2 2/x Solution Limit of function L = lim x→0 1 + x 2 2/x Expanding it L = lim x→0 1 + 2 x x 2 × 1 1! + 2 x 2 x − 1 x 2 2 × 1 2! + 2 x 2 x − 1 2 x − 2 x 2 3 × 1 3! + . . . (1.21) On simplifying L = lim x→0 1 + 2 x x 2 × 1 1! + 2 x 2 − x x x 2 2 × 1 2! + 2 x 2 − x x 2 − 2x x x 2 3 × 1 3! + . . . (1.22)
  • 46.
    46 Limit Now, weshall apply limit. Each term in right hand side is first simplified and rationalized then limit is applied. L = 1 + 1 1! + 1 2! + 1 3! + . . . This is equal to e1 . So limit L = e. Solved Problem 1.50 Evaluate limx→∞ 1 + 1 x x Solution Limit of function L = lim x→∞ 1 + 1 x x Expanding it L = lim x→∞ 1 + (x) 1 x × 1 1! + (x) (x − 1) 1 x 2 × 1 2! + (x) (x − 1) (x − 2) 1 x 3 × 1 3! + . . . # (1.23) On simplifying L = lim x→∞ 1 + (1) × 1 1! + (1) 1 − 1 x × 1 2! +(1) 1 − 1 x 1 − 2 x × 1 3! + . . . (1.24) Now, we shall apply limit. Each term in right hand side is first simplified and rationalized then limit is applied. L = 1 + 1 1! + 1 2! + 1 3! + . . . This is equal to e1 . So limit L = e.
  • 47.
    1.1. LIMIT 47 SolvedProblem 1.51 Evaluate limx→0 sin xx Solution The limit is L = lim x→0 sin xx We knew that limx→0 xx = 1, so L = lim x→0 sin xx = sin(1) This is desired result. Solved Problem 1.52 Evaluate limx→0 sintan x x Solution Let y = sintan x x. Taking logarithm both side, we have ln y = tan(x) × ln[sin(x)] Applying limit lim x→0 ln y = lim x→0 tan(x) × ln[sin(x)] Right hand side is product of two terms, tan x and ln[sin(x)]. On applying limits, we have zero value at right hand side whereas left hand side is intact. Irrespective of ln[sin(x)], tan(x) makes value zero at given limit point in right hand side. So, ln y = 0. Taking anti-logarithm at both side, we get y = e0 = 1, hence limit is 1. Solved Problem 1.53 Evaluate limx→0 costan x x Solution Let y = costan x x. Taking logarithm both side, we have ln y = tan(x) × ln[cos(x)] Applying limit lim x→0 ln y = lim x→0 tan(x) × ln[cos(x)] Right hand side is product of two terms, tan x and ln[cos(x)]. On applying limits, we have zero value at right hand side whereas left hand side is intact. Irrespective of ln[sin(x)], tan(x) makes value zero at given limit point in right hand side. So, ln y = 0. Taking anti-logarithm at both side, we get y = e0 = 1, hence limit is 1.
  • 48.
    48 Limit Solved Problem1.54 Evaluate limx→0 tantan x x Solution Let y = tantan x x. Taking logarithm both side, we have ln y = tan(x) × ln[tan(x)] Applying limit lim x→0 ln y = lim x→0 tan(x) × ln[tan(x)] Right hand side is product of two terms, tan x and ln[tan(x)]. On applying limits, we have zero value at right hand side whereas left hand side is intact. Irrespective of ln[sin(x)], tan(x) makes value zero at given limit point in right hand side. So, ln y = 0. Taking anti-logarithm at both side, we get y = e0 = 1, hence limit is 1. Solved Problem 1.55 Find the limit of limx→0 1 + x 2 3/x and limx→0 1 + x 2 4/x . With help of these results find the limit of limx→0 1 + x 2 n/x where n is large integer. Solution 1. Limit of function L1 = lim x→0 1 + x 2 3/x Expanding it L1 = lim x→0 1 + 3 x x 2 × 1 1! + 3 x 3 x − 1 x 2 2 × 1 2! + 3 x 3 x − 1 3 x − 2 x 2 3 × 1 3! + . . . (1.25) On simplifying L1 = lim x→0 1 + 3 x x 2 × 1 1! + 3 x 3 − x x x 2 2 × 1 2! + 3 x 3 − x x 3 − 2x x x 2 3 × 1 3! + . . . (1.26)
  • 49.
    1.1. LIMIT 49 Now,we shall apply limit. Each term in right hand side is first simplified and rationalized then limit is applied. L1 = 1 + 3 2 1 1! + 3 2 2 1 2! + 3 2 3 1 3! + . . . # This is equal to e3/2 . So limit L1 = e3/2 . 2. Limit of function L2 = lim x→0 1 + x 2 4/x Expanding it L2 = lim x→0 1 + 4 x x 2 × 1 1! + 4 x 4 x − 1 x 2 2 × 1 2! + 4 x 4 x − 1 4 x − 2 x 2 3 × 1 3! + . . . (1.27) On simplifying L2 = lim x→0 1 + 4 x x 2 × 1 1! + 4 x 4 − x x x 2 2 × 1 2! + 4 x 4 − x x 4 − 2x x x 2 3 × 1 3! + . . . (1.28) Now, we shall apply limit. Each term in right hand side is first simplified and rationalized then limit is applied. L2 = 1 + 4 2 1 1! + 4 2 2 1 2! + 4 2 3 1 3! + . . . # This is equal to e4/2 . So limit L2 = e4/2 . 3. From the solutions as found in part 1 and part 2, we can conclude that L = lim x→0 1 + x 2 n/x has a limit of en/2 . This is desired answer.
  • 50.
    50 Limit Solved Problem1.56 Find the limit of limx→∞ 1 + 2 x x and limx→∞ 1 + 4 x x . With help of these results find the limit of limx→∞ 1 + n x x where n is large integer. Solution en 1. Limit of function L1 = lim x→∞ 1 + 2 x x Expanding it L1 = lim x→∞ 1 + (x) 2 x × 1 1! + (x) (x − 1) 2 x 2 × 1 2! + (x) (x − 1) (x − 2) 2 x 3 × 1 3! + . . . # (1.29) On simplifying L1 = lim x→∞ 1 + (1)(2) × 1 1! + (1) 1 − 1 x (2)2 × 1 2! +(1) 1 − 1 x 1 − 2 x (2)3 × 1 3! + . . . (1.30) Now, we shall apply limit. Each term in right hand side is first simplified and rationalized then limit is applied. L1 = 1 + 2 1 1! + 22 1 2! + 23 1 3! + . . . This is equal to e2 . So limit L1 = e2 . 2. Limit of function L2 = lim x→∞ 1 + 4 x x
  • 51.
    1.1. LIMIT 51 Expandingit L2 = lim x→∞ 1 + (x) 4 x × 1 1! + (x) (x − 1) 4 x 2 × 1 2! + (x) (x − 1) (x − 2) 4 x 3 × 1 3! + . . . # (1.31) On simplifying L2 = lim x→∞ 1 + (1)(4) × 1 1! + (1) 1 − 1 x (4)2 × 1 2! +(1) 1 − 1 x 1 − 2 x (4)3 × 1 3! + . . . (1.32) Now, we shall apply limit. Each term in right hand side is first simplified and rationalized then limit is applied. L2 = 1 + 4 1 1! + 42 1 2! + 43 1 3! + . . . This is equal to e4 . So limit L1 = e4 . 3. From the solutions as found in part 1 and part 2, we can conclude that L = lim x→∞ 1 + n x x will give limit L = en . This is desired result. 1.1.8 Limit of Function at Integer Value A linear algebraic function (f(x)) has a unique value at a given point (x = a). This is called function value (f(a)) at a point (x = a). In case of algebraic fractions, there may be or may not be existence of function value at the given point. This depends on the numerator and denominator of the fraction. For example, f(x) = sin(x) x is indeterminate at x = 0. But it has limit when x 6= 0 but x → 0, i.e. x is very very close to 0. lim x→0 f(x) = lim x→0 sin(x) x = 1
  • 52.
    52 Limit If ata given point, function has unique definite value at the given point, then we said that function has a limit at that given point. For example, lim x=0 f(x) = lim x=0 x2 − 4 x2 + 4x − 7 = 4 7 Here, we have taken exact point value, i.e. x = 0, not the point that is close to a given value, i.e. x → 0. Solved Problem 1.57 Find the function value of function f(x) = x2−x 0.001+x at x = 0.5 and x = 1. Solution The given function is f(x) = x2 − x 0.001 + x Function value, i.e. limit of function at x = 0.5 is f(0.5) = 0.52 − 0.5 0.001 + 0.5 = 0.25 − 0.5 0.501 = −0.25 0.501 It gives, f(0.5) = 0.499. Similarly, function value, i.e. limit of the function at x = 1 is f(1) = 12 − 1 0.001 + 1 = 0 1.001 = 0 These are the desire results. 1.1.9 Limit of Modulus Functions A modulus of a function converts the negative result into positive result. Suppose f(x) = x then modulus of f(x) is |x|. If x is positive then |x| is positive and if x is negative then |x| is also positive. For example
  • 56.
  • 60.
    = x y2 Modulus in NumberLine Before applying limits on a function having modulus term about a point, we need to expand the modulus terms about than point. For example, suppose
  • 61.
    1.1. LIMIT 53 amodulus function f(x) = |x| where −n ≤ x ≤ +n. To use this range of x in number line, function f(x) must be freed from the modulus sign. To expand the function, we use number line concept to get a positive value of function f(x) what ever the value of x. The conversion point of the function is f(x) = 0 ie |x| = 0 ⇒ x = 0 It is the point from where function graph will change its direction. Firstly assume that there is no modulus sign in the function. Hence function will be like f(x) = x. when x = 0, function f(x) = 0. When x 0, function f(x) = −x and when x 0, function f(x) = x. If only magnitude of a number in number line is considered and is to be substituted in the function then for left hand side numbers to the zero point, function will be f(x) = −x and for the right hand side number to the zero point, function will be f(x) = x. b -5 b -4 b -3 b -2 b -1 b 0 b 1 b 2 b 3 b 4 b 5 Figure 1.4: A number line f(x) = −x when mag x 0 f(x) = 0 when mag x = 0 f(x) = x when mag x 0 (1.33) If we assume that the function has modulu sign, ie f(x) = |x| and numbers of number line are substitued with sign in the equation (1.33) then for each value of x, f(x) will be positive if equation (1.33) is rewritten as f(x) = −x when x 0 f(x) = 0 when x = 0 f(x) = x when x 0 (1.34) The graph of function f(x) = |x| as a function of x is shown below.
  • 62.
    54 Limit 2 1 2 −1 −2 x f(x) Figure1.5: Graph of f(x) = |x|. Modulus in Number Line Other Than Zero Suppose a new function f(x) = |x − a|. The modulus sign is being omitted from this function. To do so, the point is calculated at which function has zero value, ie the point from where function changes its direction. f(x) = 0 ie |x − a| = 0 ⇒ x = a Here x = a is conversion point. Now the modulus function will be expanded as f(x) = −x when x a f(x) = 0 when x = a f(x) = x when x a (1.35) For example function f(x) = |x − 3| has graph as given below 2 4 1 2 3 4 5 −1 −2 x f(x) Figure 1.6: Graph of f(x) = |x − 3|. Modulus of Trigonometric Functions A trigonometric function has two parts, (i) trigonometric operator and (ii) argument. The modulus operator is used either for operator or for argument
  • 63.
    1.1. LIMIT 55 orfor both. For example, if x is argument of trigonometric operator sin then modulus operator can be used either as | sin(x)| or as sin(|x|) or | sin(|x|)|. The modulus operator is expanded with same process as algebraic function is done. Solved Problem 1.58 Find limit of function f(x) = sin(|x − 1|) at point x = 0.5. Solution 1 1 2 3 4 5 x f(x) The limit of given function is lim x→0.5 f(x) = lim x→0.5 sin(|x − 1|) Expanding the modulus part of the above relation for the limit point, x = 0.5. lim x→0.5 f(x) = lim x→0.5 sin(1 − x) Substituting the value of limit, we have lim x→0.5 f(x) = sin(1 − 0.5) = 0.479 This is the limit at the given point. Solved Problem 1.59 Find limit of function f(x) = |x−1| x sin(|1−x|) at point x = 0.5. Solution
  • 64.
    56 Limit 2 4 6 1 23 4 5 x f(x) The limit of given function is lim x→0.5 f(x) = lim x→0.5 |x − 1| x sin(|1 − x|) Expanding the modulus part of the above relation for the limit point. lim x→0.5 f(x) = lim x→0.5 1 − x x sin(1 − x) Substituting the value of limit, we have lim x→0.5 f(x) = 1 − 0.5 0.5 sin(1 − 0.5) = 0.479 This is the limit at the given point. 1.1.10 Limit of Derivative Type Functions Suppose an expression of type f(x) = xn − an x − a (1.36) Limit of the expression about the point x → a is given by lim x→a f(x) = lim x→a xn − an x − a (1.37) Expansion of (xn − an ) is (xn − an ) = (x − a) xn−1 + xn−2 y + . . . + xyn−2 + yn−1 (1.38)
  • 65.
    1.1. LIMIT 57 Fromabove two relations lim x→a f(x) = lim x→a (x − a) (xn−1 + xn−2 a + . . . + xan−2 + an−1 ) (x − a) On simplification and taking limit lim x→a f(x) = nan−1 (1.39) This relation can be used to get limits of expression type (1.36). Solved Problem 1.60 Find the limit of limx→2 x10−1024 x−2 . Solution The expression is f(x) = x10 − 1024 x − 2 Limit of the expression about point x → 2 lim x→a f(x) = lim x→a x10 − 1024 x − 2 Right hand side of above equation is in form of xn−an x−a if it is arranged like lim x→2 f(x) = lim x→2 x10 − 210 x − 2 Taking limit lim x→2 f(x) = 10 × 29 It is required answer. Solved Problem 1.61 Evaluate limk→1 k0.5−1 k−1 . Solution Given L = lim k→1 k0.5 − 1 k − 1 Simplifying right hand side, we have L = lim k→1 k0.5 − 1 (k0.5 − 1)(k0.5 + 1) = lim k→1 1 k0.5 + 1
  • 66.
    58 Limit Applying limits,we have L = 1 10.5 + 1 = 1 ±1 + 1 We have only one acceptable value +1 at denominator of fraction at right hand side of above relation. So, L = 0.5. This is limit. Solved Problem 1.62 Evaluate limj→a j4−a2 j− √ a . Solution Given L = lim j→a j4 − a2 j − √ a Simplifying numerator of fraction at right hand side, we have L = lim j→a (j − √ a)(j + √ a)(j2 + a) j − √ a = lim j→a (j + √ a)(j2 + a) Applying limits, we have L = a(a + √ a)(a + 1) This is limit. 1.1.11 Limit by Substitution Some expressions which are not like the expression (1.36) can be transform into the form like the expression (1.36). For example, the expression lim x→0 f(x) = lim x→0 √ x + a2 − a x (1.40) Where a is a positive constant. This expression can be transform into form like expression (1.36) by substituting x + a2 = y. The old limit variable will be changed to new limit variable y. Corresponding point of limit for new variable y when x → 0 is 0 + a2 = y ⇒ y → a2 . Hence the expression (1.40) becomes lim x→0 f(x) = lim y→a2 √ y − a y − a2 = lim y→a2 √ y − √ a2 y − a2
  • 67.
    1.1. LIMIT 59 Applyingthe relation (1.39) in above equation. lim x→0 f(x) = 1 2 a2 1 2 −1 = 1 2a (1.41) This is limit of given expression. Limits of expressions can be obtained by substituting a variable by another variable. Again, if a is negative constant then limit will be ∞. Solved Problem 1.63 Evaluate limk→0 √ k+1−1 k . Solution This problem can be evaluated by two methods. Reduction Method Given L = lim k→0 √ k + 1 − 1 k Multiply numerator and denominator by √ k + 1 + 1 in right hand side. L = lim k→0 √ k + 1 − 1 k × √ k + 1 + 1 √ k + 1 + 1 It gives L = lim k→0 k + 1 − 1 k( √ k + 1 + 1) = lim k→0 1 √ k + 1 + 1 Applying limit, we have L = 0.5. We have taken positive root of √ 0 + 1. Substitution Method Given L = lim k→0 √ k + 1 − 1 k Substitute k + 1 = t, we get k = t − 1. The corresponding limit point will be found when k = 0, t = 1. Now, L = lim t→1 √ t − 1 t − 1 = lim t→1 √ t − 1 ( √ t − 1)( √ t + 1) = lim t→1 1 √ t + 1 Applying limit, we have L = 0.5. We have taken positive root of √ t.
  • 68.
    60 Limit Solved Problem1.64 Evaluate limj→0 (j+4)2−16 j . Solution L = lim j→0 (j + 4)2 − 16 j Substitute j + 4 = t, we get j = t − 4. The corresponding limit point will be found when j = 0, t = 4. Now, L = lim t→4 t2 − 16 t − 4 = lim t→4 (t − 4)(t + 4) t − 4 = lim t→4 t + 4 Applying limit, we have L = 8. 1.1.12 Limit of Piece-wise Functions A function in which subfunctions are conditionally defined about a given point is called piecewise function. f(x) =    f1(x) when x 0 f2(x) when x = 0 f2(x) when x 0 In this function, three subfunctions are given under the condition of its in- dependent variable x. Function f1 is applicable when value of x 0, f2 is applicable when x = 0 and f3 is applicable when x 0. A limit is always calculated at the exact point, ie x = c (a point where independent variable is equal to). Here c = 0. Left hand limit is where x c and right hand limit is where x c. If left hand limit, point limit and right hand limit of a piecewise function are equal then function is continuous at the given point. Solved Problem 1.65 Find the limits of the function f(x) =    x − 1 when x 0 x when x = 0 x + 1 when x 0 Solution
  • 69.
    1.1. LIMIT 61 2 −2 12 3 −1 −2 −3 −4 x f(x) Point Limit When x = 0, the function is f(x) = x. In this case x = 0 and limit of function is L [f(x)] = lim x→0 x = 0 Right Hand Limit When x approach to zero from right hand side, function is f(x) = x + 1. In this case L+ [f(x)] = lim x→0+ x + 1 = 1 Left Hand Limit When x approach to zero from left hand side, function is f(x) = x − 1. In this case L− [f(x)] = lim x→0− x − 1 = −1 It gives that all three limits are not equal. Solved Problem 1.66 Find the limits of the function f(x) = x2 when x ≤ 0 x when x 0 Solution 2 −2 1 2 −1 −2 −3 x f(x)
  • 70.
    62 Limit Point LimitWhen x = 0, the function is f(x) = x2 . In this case x = 0 and limit of function is L [f(x)] = lim x→0 x2 = 0 Right Hand Limit When x approach to zero from right hand side, function is f(x) = x. In this case L+ [f(x)] = lim x→0+ x = 0 Left Hand Limit When x approach to zero from left hand side, function is f(x) = x2 . In this case L− [f(x)] = lim x→0− x2 = 0 It gives that all three limits are equal. Solved Problem 1.67 If f(x) =    x + 1 when x 0 x when x = 0 x + 1 when x 0 then find the limit of the function at x → 2. Solution 2 4 1 2 3 4 −1 −2 −3 x f(x) bc As we know that to find the limit, at x → 2, i.e. about the point x = 2, we shall get the point limit, right hand side limit and left hand side limit of the function about this point. From the given function, for x = 2, the applicable
  • 71.
    1.1. LIMIT 63 functionis only f(x) = x + 1 for all three test limits as this function falls under the conditional domain x 0. Point Limit When x = 2, the function f(x) = x + 1 is effective. In this case, point limit of function is L [f(x)] = lim x→2 (x + 1) = 3 Right Hand Limit When x = 2+ , the function f(x) = x + 1 is effective. In this case, left hand limit of function is L+ [f(x)] = lim x→2 (x + 1) = 3 Left Hand Limit When x = 2− , the function f(x) = x + 1 is effective. In this case, right hand limit of function is L− [f(x)] = lim x→2 (x + 1) = 3 All three limits are equal, hence limit exists at x = 2 and it is 3. 1.1.13 L’Hospital’s Rule f(x) and g(x) are two functions of x, and they form numerator and denom- inator of a fraction. These two functions are expanded by Tayler’s theorem in the neighborhood of x = a. If f(a) = 0 and g(a) = 0 then lim x→a f(x) g(x) = lim x→a f′ (x) g′(x) (1.42) This rule is applicable only when the limx→a f(x) g(x) = 0 0 form. If limit is not in such form, application of this rule is strictly prohibited. The other derivative indeterminate forms are ∞/∞, ∞ − ∞, 0 × ∞, 1∞ and 00 . Indeterminate Form To understand the indeterminate form of limits, we first understand the concept of zero and infinity. Generally, infinity is a num- ber that is very very large and uncountable. Zero means nothing. But these two numbers are not possible to be achieved. They are studies relatively. For example, when we are measuring room dimensions, 100 kilometer is very very large in comparison to the room’s dimension. Hence 100 kilometer is
  • 72.
    64 Limit relatively infinitein compare to the room’s dimensions. Similarly, when a number is very very small in comparison to the other number, then it is con- sidered as zero and may be neglected. In fractions, some times we encounter the fraction as ∞/∞. The result of this division is not exactly known. It may be equal to 1 or to other numbers. For example, L = 2 + 3 × ∞ 4 + ∞ The right hand side of above relation appears that it is ∞/∞ but this fraction has value 3. It can be understand that, 2 and 4 are negligible in comparing to 3×∞ and ∞ respectively. But numerator is 3 times as large as denominator, if we neglect 2 and 4 and consider ∞ very very large in comparison to 2 and 4 respectively. Solved Problem 1.68 Evaluate limit of limx→0 x+tan x sin x using L’Hospital rule. Solution The given relation is lim x→0 x + tan x sin x 2 1 2 3 −1 −2 −3 x f(x) If limit is applied then it gives L = 0 0 this is not acceptable. Hence we derivate numerator and denominator with respect to x. Hence L = lim x→0 1 + sec2 x cos x Taking limit in right hand side L = 1 + sec2 0 cos 0 It gives limit L = 2.
  • 73.
    1.1. LIMIT 65 SolvedProblem 1.69 Evaluate limit of limx→π x−π sin x using L’Hospital rule. Solution The given relation is lim x→π x − π sin x −1 −2 −3 1 2 3 4 5 x f(x) If limit is applied then it gives L = 0 0 It is not acceptable. Hence we derivate numerator and denominator with respect to x. Hence L = lim x→π 1 cos x Taking limit in right hand side L = 1 cos π It gives limit L = −1. Solved Problem 1.70 Evaluate limit of limx→0 sin 3x sin 4x using L’Hospital rule. Solution The given relation is lim x→0 sin 3x sin 4x
  • 74.
    66 Limit 1 −1 1 23 4 −1 −2 −3 −4 x f(x) If limit is applied then it gives L = 0 0 this is not acceptable. Hence we derivate numerator and denominator with respect to x. Hence L = lim x→0 3 cos 3x 4 cos 4x Taking limit in right hand side L = 3 cos 0 4 cos 0 It gives limit L = 3/4. Solved Problem 1.71 Evaluate limit of limx→∞ x5 e5x using L’Hospital rule. Solution The given relation is lim x→∞ x5 e5x If limit is applied then it gives L = 0 1 Hence limit is L = 0. This limit can be obtained by using L’Hospital rule. Now derivate numerator and denominator with respect to x upto five times. Hence L = lim x→∞ 120 55 × e5x Taking limit in right hand side L = 120 55 × e5×∞ It gives limit L = 0.
  • 75.
    1.1. LIMIT 67 SolvedProblem 1.72 Evaluate limit of limx→0 tan(x)−x sin(x)−x using L’Hospital rule. Solution The given relation is lim x→0 tan(x) − x sin(x) − x 2 −2 1 2 3 4 −1 −2 −3 −4 −5 x f(x) Applying limit straight ward in the relation L = 0 0 It is not acceptable. Taking derivation of numerator and denominator with respect to x. L = lim x→0 sec2 (x) − 1 cos(x) − 1 On applying limits in right hand side L = 0 0 That is not acceptable again. Taking derivative of numerator and denomi- nator with respect to x once again L = lim x→0 2 sec2 (x) tan(x) − sin(x) On applying limits in right hand side L = 0 0
  • 76.
    68 Limit That isnot acceptable again. Taking derivative of numerator and denomi- nator with respect to x again L = lim x→0 2(2 sec2 (x) tan2 (x) + sec4 (x)) − cos(x) Taking limit in right hand side L = 2(2 sec2 (0) tan2 (0) + sec4 (0) − cos(0) It gives limit L = −2. Solved Problem 1.73 Evaluate limit of limx→−2 x+2 x3+8 using L’Hospital rule. Solution 1 1 −1 −2 −3 x f(x) The limit L = lim x→−2 x + 2 x3 + 8 given not acceptable value 0/0. Now derivating numerator and denominator of the function L = lim x→−2 1 3x2 It gives L = 1 12 . Solved Problem 1.74 Evaluate limit of limx→1 1−x sin(1−x2) using L’Hospital rule. Solution
  • 77.
    1.1. LIMIT 69 1 −1 −2 12 3 −1 −2 x f(x) The limit function L = lim x→1 1 − x sin(1 − x2) It gives the limit at x → 1 L = 0 0 This limit of the function at the given point is not acceptable. Now derivating the function separately its numerator and denominator L = lim x→1 −1 −2x cos(1 − x2) Applying the limit L = 1/2. Solved Problem 1.75 Evaluate limit of limx→∞ 3−5x x+4 using L’Hospital rule. Solution The given limit is L = lim x→∞ 3 − 5x x + 4 On substituting limit point, we have L = 3 − 5 × ∞ ∞ + 4 = ∞ ∞ This is undeterminant condition. So, applying L’Hospital rule, we have L = lim x→∞ D(3 − 5x) D(x + 4) = lim x→∞ −5 1 Here, D is derivative about x. This gives limit L = −5.
  • 78.
    70 Limit Solved Problem1.76 Evaluate limit of limx→∞ 2x3−5x2+3 (x2−3)(x2+5) using L’Hospital rule. Solution The given limit is L = lim x→∞ 2x3 − 5x2 + 3 (x2 − 3)(x2 + 5) On substituting limit point, we have L = 2 × ∞3 − 5 × ∞2 + 3 (∞2 − 3)(∞2 + 5) = ∞ ∞ This is indeterminate condition. So, applying L’Hospital rule, we have L = lim x→∞ D(2x3 − 5x2 + 3) D(x4 + 2x2 − 15) = lim x→∞ 6x2 − 10x 4x3 + 4x On substituting limit point, we have indeterminate result. Hence again derivating numerator and denominator about x. L = lim x→∞ 12x − 10 12x2 + 4 On substituting limit point, we have again indeterminate result. Hence again derivating numerator and denominator about x. L = lim x→∞ 12 24x On substituting limit point, we get limit L = 0. Here, D is derivative about x. Solved Problem 1.77 Find limit lim θ→π cos θ √ 1−sin2 θ . Solution The denominator of the given function is always positive irre- spective of θ value as 0 ≤ sin θ ≤ 1 for ∀θ ∈ R. Therefore, sign of limit shall be determined by sign of cos θ value. The limit of the function is L = lim θ→π cos θ p 1 − sin2 θ = cos π p 1 − sin2 π = −1
  • 79.
    1.1. LIMIT 71 −2 −1 0 1 2 −4−3 −2 −1 0 1 2 3 4 θ = − π 2 θ = π 2 θ = π This is limit of the function at θ → π. Another cross answers may be find like L = lim θ→π cos θ p 1 − sin2 θ = cos π p 1 − sin2 π = cos π ±1 Then which value from ±1 is acceptable. If we take +1 then limit will be −1 and if we take −1 then limit will be +1. Its answer can be given as; we have to find the square root of 1 −sin2 θ, that is given independently, and it is not being solved from algebraic relation, hence we shall take its positive value. Note that for any value of θ, 1 − sin2 θ shall be always positive. Further L = lim θ→π cos θ p 1 − sin2 θ = lim θ→π cos θ ± cos θ = lim θ→π cos θ + cos θ = 1 So, where are we going wrong? It is wrong with quadrant. How, Take a xy-plane and a point (−x, y) x y b (−x, y) θ x y 1st = 0, π 2 2nd = π 2 , π 3rd = π, 3π 2 4th = 3π 2 , 2π The angle θ can be given as tan θ = y −x This relation gives information about the point than point is in second quad- rant. Can we write this as tan θ = − y x = −y x
  • 80.
    72 Limit No, as−(y/x) gives no information about quadrant of point and −y/x tells that point is in fourth quadrant. This is why, in trigonometric relations, quadrants are very important. Similarly, in the given problem L = lim θ→π cos θ p 1 − sin2 θ Both numerator and denominator has different quadrant characteristics. When we move from θ = 0 to θ = π, sin θ remain positive while cos θ becomes pos- itive to negative at π/2. At θ = π, there is not change in sign of cos θ but sin θ has a transition from +ve to −ve. Due to this we can not simplify the relation before substituting limit value. Hence, we have to find limit of fraction at given limit point for numerator and denominator without solving them. This problem shows that, sometimes graph method is more efficient in finding roots than mathematical methods. L = −1 is correct theoretically too. In second quadrant, (due to θ → π) cos θ is negative and p 1 − sin2 θ is always positive. Solved Problem 1.78 Find limit lim θ→π sin θ √ 1−cos2 θ . Solution The denominator of the given function is always positive irre- spective of θ value as 0 ≤ cos θ ≤ 1 for ∀θ ∈ R. Therefore, sign of limit shall be determined by sign of sin θ value. The limit of the function is L = lim θ→π sin θ √ 1 − cos2 θ = sin π √ 1 − cos2 π = 0 0 This is indeterminate form of limit. −2 −1 0 1 2 −4 −3 −2 −1 0 1 2 3 4 θ = − π 2 θ = π 2 θ = π On simplification method, limit will be +1. But it is not accepted here.
  • 81.
    1.1. LIMIT 73 Thususe L’Hospital Rule. L = lim θ→π d dθ sin θ lim θ→π d dθ √ 1 − cos2 θ This gives L = lim θ→π cos θ lim θ→π 1 2 × (1 − cos2 θ)−1/2 × −2 × cos θ × − sin θ Or L = lim θ→π cos θ lim θ→π cos θ×sin θ √ 1−cos2 θ Here, lim θ→π sin θ √ 1 − cos2 θ = L So, L2 = lim θ→π cos θ lim θ→π cos θ On substituting the limit, we shall get L2 = −1 −1 = +1 ⇒ ±L = 1 Function has transition at θ = π, hence for θ → π, only accepted value is L = 1 as sin θ is positive in second quadrant and √ 1 − cos2 θ is always positive irrespective of θ value. 1.1.14 Squeeze Theorem Two functions g(x) and h(x) have the same limit L and representing two boundary functions. If third function f(x) is trapped between these two functions then the limit of function f(x) must also approach to L. Suppose that g(x) ≤ f(x) ≤ h(x) holds for all x in some open interval containing a, except possibly at x = a itself. If limits of g(x) and h(x) are
  • 82.
    74 Limit exists as lim x→a g(x)= lim x→a h(x) = L Then there will be limx→1 f(x) = L also. −2 −1 0 1 2 −3 −2 −1 0 1 2 3 g(x) h(x) f(x) This theorem is also sometimes referred as “sandwiched theorem”. For example assume a function f(x) = x sin (1/x). The value of sin is limited between −1 ≤ sin x ≤ 1 for all x. If x is positive then the limit of function lies between −x ≤ x sin (1/x) ≤ x. If x is negative then the limit of function lies between x ≤ x sin (1/x) ≤ −1 . On combining these two equations for all non-zero value of x −|x| ≤ x sin 1 x ≤ |x| It is clear that the limits of lim x→0 −|x| = lim x→0 |x| = 0 So by the squeeze theorem limx→0 x sin (1/x) = 0. Solved Problem 1.79 Find the limit of the inequality function 1 − x 2 ≤ ux ≤ 1 − x2 3 at x → 0. Solution This inequality is similar to the relation g(x) ≤ f(x) ≤ h(x). Where g(x) = 1 − x 2 The limit of this function at x → 0 is lim x→0 g(x) = lim x→0 1 − x 2 = 1
  • 83.
    1.1. LIMIT 75 Similarlythe limit of the function h(x) = 1 − x2 3 is lim x→0 g(x) = lim x→0 1 − x2 3 = 1 Here limits of g(x) and h(x) are same, hence from squeeze theorem, the limit of the function f(x) must be 1. 1.1.15 Multi-variable Limit 1 In limits of single variable functions at a given point x = a, x is divided in intervals on the number line, i.e. x varies from −∞ to +∞. Here, x always lies in a straight line. While, in limit computation for two variables functions at a given point (x, y) → (a, b), point is assumed in a disk placed in xy-plane. In one variable function, for the limit point x0. |x − x0| σ x f(x) b x bc x0 |x − x0| x f(x) b x bc x0 x− 0 x+ 0 It means that within the interval the distance of x from x0 is always less than σ. For two variables functions, for the limit point (x0, y0) p (x − x0)2 + (y − y0)2 σ 1 Ref. by Brett Holland
  • 84.
    76 Limit x f(x) bc (x0, y0) b (x,y) r Paths approaches to (x0, y0) may be line or curve, like circle, parabola, elliptic, trigonometric etc. These paths are selected arbitrary to simplify the function and checking whether limits exits or not at that point. x f(x) bc (x0, y0) It means that the point (x0, y0) lies within a circle of radius σ. In one variable functions, the direction of approaching to limit point is considerable and crucial for limit value. In two variables functions direction of approach to limit point has no significance. If we approach to a given point (x0, y0) from two different paths2 to find the function value at given point. If there are two different function values at the given point on taken path, then function has no limit. If there is equal function values (k say), it is not necessarily true that function has limit k. To satisfy the result, we use the definition of the limit of a two variables function to find the correct limit. Definition A function f(x, y) is said to have a limit L at (x, y) → (x0, y0), provides that for every ǫ 0, there is a σ 0 such that |f(x, y) − L| ǫ
  • 85.
    1.1. LIMIT 77 wheneverp (x − x0)2 + (y − y0)2 σ Solved Problem 1.80 Show that lim(x,y)→(0,0) x2 x2+y2 does not exist. Solution First assume that x = 0, then Solved Problem 1.81 Show that lim(x,y)→(0,0) x2 x2+y2 does not exist. Solution Take that x = 0, we have L(0,y) = lim (x,y)→(0,0) 0 0 + y2 = 0 Take that y = 0, we have L(x,0) = lim (x,y)→(0,0) x2 x2 + 0 = lim (x,y)→(0,0) 1 = 1 Take that y = x, we have L(x,x) = lim (x,y)→(0,0) x2 x2 + x2 = lim (x,y)→(0,0) 0.5 = 0.5 Take that y = −x, we have L(x,−x) = lim (x,y)→(0,0) x2 x2 + x2 = lim (x,y)→(0,0) 0.5 = 0.5 Here limit values along above directions are not equal, hence function limit does not exist at (x, y) → (0, 0). Solved Problem 1.82 Show that lim(x,y)→(0,0) x2−y2 x2+y2 does not exist. Solution First, take that x = 0, we have L(0,y) = lim (x,y)→(0,0) 0 − y2 0 + y2 = lim (x,y)→(0,0) −1 = −1 Now, take that y = 0, we have L(x,0) = lim (x,y)→(0,0) x2 − 0 x2 + 0 == lim (x,y)→(0,0) 1 = 1
  • 86.
    78 Limit Take thaty = x, we have L(x,x) = lim (x,y)→(0,0) x2 − x2 x2 + x2 == lim (x,y)→(0,0) 0 = 0 Take that y = −x, we have L(x,−x) = lim (x,y)→(0,0) x2 − (−x)2 x2 + (−x)2 == lim (x,y)→(0,0) 0 = 0 Here limit values along above directions are not equal, hence function limit does not exist at (x, y) → (0, 0). Solved Problem 1.83 Show that lim(x,y)→(0,0) xy x2+y2 does not exist. Solution First, take that x = 0, we have L(0,y) = lim (x,y)→(0,0) 0 × y 0 + y2 = lim (x,y)→(0,0) 0 = 0 Now, take that y = 0, we have L(x,0) = lim (x,y)→(0,0) x × 0 x2 + 0 = lim (x,y)→(0,0) 0 = 0 Take that y = x, we have L(x,x) = lim (x,y)→(0,0) x × x x2 + x2 = lim (x,y)→(0,0) 0.5 = 0.5 Take that y = −x, we have L(x,−x) = lim (x,y)→(0,0) x × −x x2 + (−x)2 = lim (x,y)→(0,0) −0.5 = −0.5 Here limit values along above directions are not equal, hence function limit does not exist at (x, y) → (0, 0). Solved Problem 1.84 Show that lim(x,y)→(0,0) x2y x2+y2 exists. Solution First, take that x = 0, we have L(0,y) = lim (x,y)→(0,0) 0 × y 0 + y2 = lim (x,y)→(0,0) 0 = 0
  • 87.
    1.1. LIMIT 79 Now,take that y = 0, we have L(x,0) = lim (x,y)→(0,0) x2 × 0 x2 + 0 = lim (x,y)→(0,0) 0 = 0 Take that y = x, we have L(x,x) = lim (x,y)→(0,0) x2 × x x2 + x2 = lim (x,y)→(0,0) x = 0 Take that y = −x, we have L(x,−x) = lim (x,y)→(0,0) x2 × −x x2 + (−x)2 = lim (x,y)→(0,0) −x = 0 Here limit values along above directions are equal, hence function limit exists at (x, y) → (0, 0). Solved Problem 1.85 Show that lim(x,y)→(0,0) 3x2y x2+y2 exists. Solution First, take that x = 0, we have L(0,y) = lim (x,y)→(0,0) 3 × 0 × y 0 + y2 = lim (x,y)→(0,0) 0 = 0 Now, take that y = 0, we have L(x,0) = lim (x,y)→(0,0) 3 × x2 × 0 x2 + 0 = lim (x,y)→(0,0) 0 = 0 Take that y = x, we have L(x,x) = lim (x,y)→(0,0) 3 × x2 × x x2 + x2 = lim (x,y)→(0,0) 3x 2 = 0 Take that y = −x, we have L(x,−x) = lim (x,y)→(0,0) 3 × x2 × −x x2 + (−x)2 = lim (x,y)→(0,0) − 3x 2 = 0 Here limit values along above directions are equal, hence function limit exists at (x, y) → (0, 0).
  • 88.
    80 Continuity Solved Problem1.86 Find the limit lim(x,y)→(0,0) x4y x8+y2 . Solution First, take that x = 0, we have L(0,y) = lim (x,y)→(0,0) 0 × y 0 + y2 = lim (x,y)→(0,0) 0 = 0 Now, take that y = 0, we have L(x,0) = lim (x,y)→(0,0) x4 × 0 x8 + 0 = lim (x,y)→(0,0) 0 = 0 Take that y = x, we have L(x,x) = lim (x,y)→(0,0) x4 × x x8 + x2 = lim (x,y)→(0,0) x3 x6 + 1 = 0 Take that y = −x, we have L(x,−x) = lim (x,y)→(0,0) x4 × −x x8 + (−x)2 = lim (x,y)→(0,0) − x3 x6 + 1 = 0 Here limit values along above directions are equal, hence function limit exists at (x, y) → (0, 0). To get the limit, we will reduce the given function along the path y = x4 . Now, L = lim (x,y)→(0,0) x4 × x4 x8 + (x4)2 = lim (x,y)→(0,0) 1 2 = 0.5 This is limit of the given function.
  • 89.
    2.1. CONTINUITY 81 2Continuity 2.1Continuity The function is said to be continuous if the graph of function can be drawn without its breaking. If f(x) is defined on an open interval containing c, then f(x) is said to be continuous at c if and only if limx→c f(x) = f(c). If a function is said to be continuous on (a, b) if it is continuous at every point of the interval (a, b). There are three conditions for a function being continuous. 1. f(x) is defined at c, so that f(c) exists. 2. The limit as x approaches c exists, and 3. The limit and f(c) are equal. 1 1 2 3 4 −1 −2 −3 −4 −5 x f(x) Figure 2.1: Continuous function f(x) = sin x x at x = 0. 1 −1 1 2 −1 −2 −3 x f(x) f(x) = 0.5 : x ≥ 0 −0.5 : x 0 Figure 2.2: Discontinued plot of function.
  • 90.
    82 Continuity Solved Problem2.1 Check the continuity of function x2−4 x−2 at x → 2. Solution To check the continuity of function at x → 2, the point limit at the point x = 2, left hand limit and right hand limit about the point x = 2 must be equal. So, The point limit at x = 2 is 1 1 2 x f(x) f(2) = lim x→2 x2 − 4 x − 2 = lim x→2 (x − 2)(x + 2) x − 2 Expansion of Series = lim x→2 (x + 2) Simplifying = 4 Applying limit To get left hand limit, function is shifted to left hand side by subtracting a small quantity h (say) from variable x. Here h → 0. So f(2) = lim h→0 lim x→2 (x − h)2 − 4 x − h − 2 = lim h→0 lim x→2 (x2 + h2 − 2xh − 4) x − h − 2 Expansion of Series = lim h→0 (h2 − 4h) −h Applying limit for x = lim h→0 (−h + 4) = 4 Applying limit for h
  • 91.
    2.1. CONTINUITY 83 Toget right hand limit, function is shifted to right hand side by subtracting a small quantity h (say) from variable x. Here h → 0. So f(2) = lim h→0 lim x→2 (x + h)2 − 4 x + h − 2 = lim h→0 lim x→2 (x2 + h2 + 2xh − 4) x + h − 2 Expansion of Series = lim h→0 (h2 + 4h) +h Applying limit for x = lim h→0 (h + 4) = 4 Applying limit for h From above three results, limit at point, left hand limit and right hand limit, all are equal. Hence function is continuous at point x → 0. 2.1.1 Continuity at Closed Interval A function is said to be continuous on [a, b] if and only if 1. It is continuous on (a, b). 2. If is continuous from the right at a and 3. It is continuous from the left at b. 2.1.2 Properties of Continuous Function 1. The sum or difference of two continuous function is a continuous func- tion. This result is valid for any finite number of functions. 2. The product of two continuous function is a continuous function. This result is valid for any finite number of functions. 3. The quotient of two continuous function is a continuous function. But the quotient should not be zero at any point of the given range of values considered. 4. If f(x) is continuous at x = a, and f(x) 6= 0 then in the neighbourhood of x = a, f(x) has same sign that of f(a).
  • 92.
    84 Continuity 5. Iff(x) is continuous throughout the interval (a, b) and f(a) and f(b) are of opposite sign, then there shall be at least one point x = c where f(c) = 0. 6. If f(x) is continuous throughout the interval (a, b) and f(a) 6= f(b). Then f(x) assumes every value between f(a) and f(b) at least once in the interval. 7. A function, which is continuous throughout a closed interval, is bounded therein. 8. A continuous function in an interval actually attains its upper and lower bounds, at least once each, in the interval. 9. A function f(x), continuous in a closed interval [a, b], attains every intermediate value between its upper and lower bounds in the interval, at least once. Solved Problem 2.2 Find that the function f(x) = x2−9 x−3 is continuous at x = 3. Solution The given function is f(x) = x2 − 9 x − 3 There is no change in characteristics of numerator and denominator with x, therefore, we can simplify it before finding the left hand limit, right hand limit and point limit. So, f(x) = (x − 3)(x + 3) x − 3 = (x + 3) The right hand limit is lim x→3+ f(x) = lim x→3h→0 (x + h + 3) Or lim x→3+ f(x) = lim h→0 (h + 6) = 6
  • 93.
    2.1. CONTINUITY 85 Theleft hand limit is lim x→3− f(x) = lim x→3h→0 (x − h + 3) Or lim x→3− f(x) = lim h→0 (−h + 6) = 6 The point limit is lim x=3 f(x) = lim x=3 (x + 3) = 6 Here three limits are equal, hence function is continuous at the given point. Solved Problem 2.3 Find the value of a for which the following function is continuous at x = −1. f(x) = ax2 + 2 if x −1 x if x ≥ −1 Solution If this function is continuous at x = −1 then left hand limit, right hand limit and point limit should be equal. So, at x = −1 a(−1)2 + 2 = −1 ⇒ a + 2 = −1 ⇒ a = −3 This is the value of a for which function is continuous at given point x = −1. 2.1.3 Discontinuity A function is said to be discontinue if it is not continuous at a point. The discontinuity is of following types. Ordinary Discontinuity A function f(x) is said to be ordinary discontinuity at x = a, if f(a + 0) 6= f(a−0). Ordinary discontinuity with removable discontinuity are commonly called simple discontinuity.
  • 94.
    86 Continuity Removable Discontinuity Ifa function is discontinued at a point but modified form of the function is not discontinued at that point then the discontinuity is called removable discontinuity. Normally, a function f(x) is said to be removable discontinuity at x = a, if f(a+0) = f(a−0) 6= f(a). The function can be made continuous by defining the function f(x) = f(a + 0) or f(x) = f(a − 0) at that point x = a. Let a function f(x) = x2 − 9 x − 3 is discontinued at point x = 3. But the modified form of the function is f(x) = x2 − 9 x − 3 = (x − 3)(x + 3) x − 3 = x + 3 The limit of modified function is lim x→3 (x + 3) = 3 + 3 = 6 The limit of a function is definite and constant, hence function is continuous at the point. Jump Discontinuity This type of discontinuity is found in the conditional functions. For example f(x) = ( 1 if x 0 −1 if x ≤ 0 1 −1 1 2 −1 −2 −3 x f(x) Here limx→0 f(x) does not exist, because for each value of x less than or equal to zero, function has value −1 and for each value of x greater than zero,
  • 95.
    2.1. CONTINUITY 87 functionhas value 1. At x = 0 function jumps from −1 to 1 or vice-versa. This type of discontinuity is called jump discontinuity. Solved Problem 2.4 Check the continuity of function f(x) = |2−x| at x = 0. Solution The modulo function is critical at |2 − x| = 0, i.e. at x = 2. Now, converting this function into piecewise function as f(x) = −(2 − x) for x 2 (2 − x) for x ≥ 2 1 2 1 2 3 −1 x f(x) For continuity at point x → 0, left hand limit and right hand limit shall be l− = lim x,h→0 −(2 − (x − h)) = lim h→0 −(2 + h) = −2 l+ = lim x,h→0 −(2 − (x + h)) = lim h→0 −(2 − h) = −2 respectively. Function value at x = 0 is l = lim x=0 −(2 − x) = −2 Here, left hand limit, right hand limit and function value, all are equal, hence function is continuous at the given point x = 0. Solved Problem 2.5 Check the continuity of function f(x) = x √ x at x = 0. Solution For continuity at point x → 0, left hand limit is l− = lim x,h→0 (x − h) p (x − h) = lim h→0 −h √ −h = C Here, C is complex result. This is because in left side to x = 0, numbers become negative and there is no real square root of negative numbers.
  • 96.
    88 Continuity 1 2 1 2 −1 −2 x f(x) Now,right hand limit is l+ = lim x,h→0 (x + h) p (x + h) = lim h→0 (h) √ h = R Here, R is real number. Function value at x = 0, we have l = lim x=0 x √ x = 0 Here, left hand limit, right hand limit and function value, all are not equal, hence function is not continuous at the given point x = 0. Solved Problem 2.6 Check the continuity of function f(x) = 2x−2 x−1 at x = 1. Solution The given limit is l = lim x→1 f(x) = lim x→1 2x − 2 x − 1 On simplification, we have l = lim x→1 2 The function is constant function, therefore its limit is 2 irrespective of x- value. Thus function is continuous at x = 1. Solved Problem 2.7 Check the continuity of function f(x) = x3−1 x−1 at x = 1. Solution The given limit is l = lim x→1 f(x) = lim x→1 x3 − 1 x − 1 On simplification, we have l = lim x→1 x2 + x + 1
  • 97.
    2.1. CONTINUITY 89 Limitat x = 1 is 12 + 1 + 1 = 3. Now left hand limit is l− = lim x→1− h→0 (x − h)2 + (x − h) + 1 Or l− = lim h→0 (1 − h)2 + (1 − h) + 1 Or l− = lim h→0 (1 + h2 − 2h) + (1 − h) + 1 = 3 Right hand limit is l− = lim x→1− h→0 (x + h)2 + (x + h) + 1 Or l− = lim h→0 (1 + h)2 + (1 + h) + 1 Or l− = lim h→0 (1 + h2 + 2h) + (1 + h) + 1 = 3 Here all three limits are equal, hence function is continuous at x = 1. Solved Problem 2.8 Two functions f(x) and h(x) are defined as f(x) = x3 − 3x2 − 4x + 12 and h(x) = f(x) x−3 for x 6= 3 p for x = 3 1. The value of p, so that function h(x) is continuous at x = 3. 2. Substitute the value of p and show that h(x) is even function. Also explain your answer. Solution 1. If function h(x) is continuous function at x → 3 then its left hand limit and right hand limit should be equal. So, lim x→3 f(x) x − 3 = p
  • 98.
    90 Continuity Substituting f(x),we have lim x→3 x3 − 3x2 − 4x + 12 x − 3 = p Or lim x→3 x2 (x − 3) − 4(x − 3) x − 3 = p Or lim x→3 (x2 − 4) = p On taking limit, we get p = 5. 2. Now the function h(x) is h(x) = x2 − 4 for x 6= 3 5 for x = 3 Left hand and right hand piecewise functions shall be equal at x = 3. So, x2 − 4 = 5 gives x2 = 9. If h(x) is even function then h(−x) should be equal to h(x). Therefore, h(−x) = (−x)2 − 9 = h(x) Hence the function h(x) is even function. Solved Problem 2.9 For the function f(x) = 2x−2 x2+x−2 , find the value of x for which f(x) is discontinues. Is limit of function f(x) exist for each value of x. Solution If given function f(x) is discontinued at x = α then function value at x = α should not be finite. This is possible when denominator of function is zero and numerator is other than zero. So, 2x − 2 6= 0 ⇒ x 6= 1 and x2 + x − 2 = 0 ⇒ x2 + 2x − x − 2 = 0 Or (x − 1)(x + 2) = 0 This gives, x = 1 and x = −2. x = 1 is not acceptable as at this point function is indeterminate and function becomes f(x) = 2 x+2 on simplification. Thus there is only x = −2, where function has infinite value. Therefore
  • 99.
    2.1. CONTINUITY 91 functionis discontinued at x = −2. At this point limit is infinity whereas function is discontinued. At point x = 1 limit is lim x→1 f(x) = lim x→1 2 x + 2 On taking limit, lim x→1 f(x) = 2 3 This is desired result. Solved Problem 2.10 A function f(x) is continuous at x = 3 and f(3) = −4. Find limx→3 f(x). Solution We know that lim x→a f(x) = f(a) So, lim x→3 f(x) = f(3) = −4 This is desired result. Solved Problem 2.11 A function f(x) is continuous at x = 5 and defined by f(x) = kx2 + 2 if x 5 4x + 7 if x ≥ 5 Find the value of k and limx→5 f(x). Solution If given function f(x) is continuous at x = 5 then its left hand limit should be equal to right hand limit. So lim x→5 (kx2 + 2) = lim x→5 (4x + 7) Or k × 52 + 2 = 4 × 5 + 7 It gives k = 1. Now, lim x→5 f(x) = lim x→5 (4x + 7) It gives limit l = 27.
  • 100.
    92 Continuity Solved Problem2.12 Consider the function h(x) = (x2 − 2)2 if x 2 x − 3 if x ≥ 2 1. Find limx→2− h(x). 2. Find limx→2+ h(x). 3. Find limx→2 h(x). 4. Draw the graph for above function. Solution 1. For the left hand limit, i.e. x 2 the effective function is h(x) = (x2 − 2)2 . So, lim x→2− h(x) = lim x→2− (x2 − 2)2 = lim x→2 h→0 ((x − h)2 − 2)2 First substitute limit of x then limit of h. It gives lim x→2− h(x) = lim h→0 ((2 − h)2 − 2)2 = lim h→0 (4 + h2 − 4h − 2)2 = 4 2. For the right hand limit, i.e. x 2 the effective function is h(x) = x − 3. So, lim x→2+ h(x) = lim x→2+ (x − 3) = lim x→2 h→0 (x + h − 3) First substitute limit of x then limit of h. It gives lim x→2+ h(x) = lim h→0 (2 + h − 3) = lim h→0 (h − 1) = −1 3. The effective function for x = 3 is same as for x 3, therefore, lim x→2 h(x) = −1
  • 101.
    2.1. CONTINUITY 93 4.The graph of the function is shown below: 4 −4 1 2 −1 −2 x f(x) Solved Problem 2.13 The function h(x) =    −2x + 1 if x ≤ 0 x + 1 if 0 x 4 x + 2 if x ≥ 4 1. Find limx→4− h(x). 2. Find limx→4+ h(x). 3. Find limx→0− h(x). 4. Find limx→0+ h(x). 5. Find limx→0 h(x). 6. Find limx→1 h(x). 7. Draw the graph for above function. Solution 1. Effective function for the limit point x → 4− is x + 1. So, lim x→4− h(x) = lim x→4 (x + 1) = 5 2. Effective function for the limit point x → 4+ is x2 + 2. So, lim x→4+ h(x) = lim x→4 (x + 2) = 6
  • 102.
    94 Continuity 3. Effectivefunction for the limit point x → 0− is −2x + 1. So, lim x→0− h(x) = lim x→0 (−2x + 1) = 1 4. Effective function for the limit point x → 0+ is x + 1. So, lim x→0+ h(x) = lim x→0 (x + 1) = 1 5. Effective function for the limit point x → 0 is −2x + 1. So, lim x→0 h(x) = lim x→0 (−2x + 1) = 1 6. Effective function for the limit point x → 1 is x + 1. So, lim x→1 h(x) = lim x→1 (x + 1) = 2 7. The graph of given piecewise function is given below: 4 1 2 3 4 5 −1 −2 x f(x)
  • 103.
    2.1. CONTINUITY 95 SolvedProblem 2.14 The function h(x) =    2x − 3 if x 2 4 if x = 2 −x + 3 if x 2 1. Find limx→0 h(x). 2. Find limx→2+ h(x). 3. Find limx→2 h(x). 4. Find limx→2− h(x). 5. Draw the graph for above function. Solution 1 When x → 0, the piece-wise relation is h(x) = 2x − 3 Applying limit L = lim x→0 2x − 3 = 2 × 0 − 3 = −3 The limit is −3. 2 When x → 2+ , the piece-wise relation is h(x) = −x + 3 Applying limit L = lim x→2+ −x + 3 = −2 + 3 = 1 The limit is 1.
  • 104.
    96 Continuity 3 Whenx → 2, the piece-wise relation is h(x) = 8 Applying limit L = lim x→2+ 8 = 4 The limit is 8. 4 When x → 2− , the piece-wise relation is h(x) = 2x − 3 Applying limit L = lim x→2− 2x − 3 = 2 × 2 − 3 = 1 The limit is 1. 5 The plot of this piece-wise function is 2 4 −2 −4 1 2 3 −1 x f(x) h(x) =    2x − 3 if x 2 4 if x = 2 −x + 3 if x 2
  • 105.
    2.1. CONTINUITY 97 2.1.4Intermediate Value Theorem A function f(x) is continuous on a closed interval [a, b], then for every value of k between f(a) and f(b), there is a value c between a and b such that f(c) = k. x f(x) f(a) f(b) f(c) a b c b x f(x) f(a) f(b) f(c) a b c b In the first part of above figure, f(c) does not lie between f(a) and f(b), hence intermediate value theorem is not applicable here. In the second part of above figure, f(c) lies between f(a) and f(b), hence intermediate value theorem is applicable here. Solved Problem 2.15 Check whether intermediate value theorem is applica- ble to the function f(x) = |x| at a point c = 0. Solution In intermediate value theorem, we have to check that function has two values f(a) and f(b) for given [a, b]. After that, we have to take a point c ∈ (a, b), either arbitrary or given in the question. Find f(c). If f(c) lies between f(a) and f(b) then intermediate value theorem is proved otherwise it is not proved. The given function is f(x) = x when x ≥ 0 −x when x 0 x f(x) c b Now, take two values, which are very close to zero in both side of it (as we required f(c) at c = 0). Let, these are a = −0.01 and b = 0.01. Function
  • 106.
    98 Continuity values atthese two points are f(a) = −a ⇒ f(−0.01) = −(−0.01) = 0.01 and f(b) = b ⇒ f(0.01) = 0.01 Now, find f(c) at c = 0. It is f(c) = c ⇒ f(0) = 0 f(c) does not lies between f(a) and f(b), so intermediate value theorem is not applicable to this function. Solved Problem 2.16 Check whether intermediate value theorem is applica- ble to the function f(x) = cos x at a point c = 0. Solution In intermediate value theorem, we have to check that function has two values f(a) and f(b) for given [a, b]. After that, we have to take a point c ∈ (a, b), either arbitrary or given in the question. Find f(c). If f(c) lies between f(a) and f(b) then intermediate value theorem is proved otherwise it is not proved. The given function is f(x) = cos x x f(x) b c x f(x) a b c b Now, take two values, which are very close to zero in both side of it (as we required f(c) at c = 0). Let, these are a = −0.1 and b = 0.1. Function values at these two points are f(a) = cos(a) ⇒ f(−0.1) = 0.995 and f(b) = cos(b) ⇒ f(0.1) = 0.995 Now, find f(c) at c = 0. It is f(c) = cos(c) ⇒ f(0) = 1 f(c) does not lies between f(a) and f(b), so intermediate value theorem is not applicable to this function.
  • 107.
    2.1. CONTINUITY 99 SolvedProblem 2.17 Check whether intermediate value theorem is applica- ble to the function f(x) = 2x + 1 at a point c = 0. Solution The given function is f(x) = 2x + 1 x f(x) b c x f(x) a b c b Now, take two values, which are very close to zero in both side of it (as we required f(c) at c = 0). Let, these are a = −0.1 and b = 0.1. Function values at these two points are f(a) = 2a + 1 ⇒ f(−0.1) = 2 × −0.1 + 1 = 0.8 and f(b) = 2b + 1 ⇒ f(0.1) = 2 × 0.1 + 1 = 1.2 Now, find f(c) at c = 0. It is f(c) = 2c + 1 ⇒ f(0) = 2 × 0 + 1 = 1 f(c) lies between f(a) and f(b), so intermediate value theorem is applicable to this function. Solved Problem 2.18 Check whether intermediate value theorem is applica- ble to the function f(x) = x2−9 x−3 at a point c = 0. Solution The given function is f(x) = x2 − 9 x − 3 Now, take two values, which are very close to zero in both side of it (as we required f(c) at c = 0). Let, these are a = −0.1 and b = 0.1. Function values at these two points are f(a) = a2 − 9 a − 3 ⇒ f(−0.1) = (−0.1)2 − 9 (−0.1) − 3 = 2.9
  • 108.
    100 Continuity and f(b) = b2 −9 b − 3 ⇒ f(0.1) = (0.1)2 − 9 0.1 − 3 = 3.1 Now, find f(c) at c = 0. It is f(c) = c2 − 9 c − 3 ⇒ f(0) = 02 − 9 0 − 3 = 3 f(c) lies between f(a) and f(b), so intermediate value theorem is applicable to this function. Solved Problem 2.19 Check whether intermediate value theorem is applica- ble to the function f(x) = |x| x at a point c = 0. Solution The simplified form of the given function is The given function is f(x) = x x = 1 when x ≥ 0 −x x = −1 when x 0 Now, take two values, which are very close to zero in both side of it (as we required f(c) at c = 0). Let, these are a = −0.01 and b = 0.01. Function values at these two points are f(a) = −1 ⇒ f(−0.01) = −1 and f(b) = 1 ⇒ f(0.01) = 1 Now, find f(c) at c = 0. It is f(c) = 1 ⇒ f(0) = 1 f(c) does not lies between f(a) and f(b) but it is equal to f(b). According to the intermediate value theorem, k = f(c) is between f(a) and f(b), so intermediate value theorem is not applicable to this function. Solved Problem 2.20 Prove that intermediate value theorem is applicable or not to the function f(x) = x − 2 at c = 3. Solution The given function is f(x) = x − 2
  • 109.
    2.1. CONTINUITY 101 Now,take two values, which are very close to three in both side of it (as we required f(c) at c = 3). Let, these are a = 2.99 and b = 3.01. Function values at these two points are f(a) = a − 2 ⇒ f(2.99) = 2.99 − 2 = 0.99 and f(b) = b − 2 ⇒ f(3.01) = 3.01 − 2 = 1.01 Now, find f(c) at c = 0. It is f(c) = c − 2 ⇒ f(3) = 3 − 2 = 1 f(c) lies between f(a) and f(b), so intermediate value theorem is applicable to this function.