1
CALCULUS
FUNCTION ANALYSIS
Arun Umrao
www.sites.google.com/view/arunumrao
DRAFT COPY - GPL LICENSING
2
Contents
1 Functions 5
1.1 Function . . . . . . . . . . . . . . . . . . . . . . . . . . . . . . 5
1.1.1 Type of Function . . . . . . . . . . . . . . . . . . . . . 7
Algebraic Function . . . . . . . . . . . . . . . . . . . . 7
Trigonometric Function . . . . . . . . . . . . . . . . . 7
Logarithmic Function . . . . . . . . . . . . . . . . . . 7
Integral Function . . . . . . . . . . . . . . . . . . . . . 8
Rational Fraction . . . . . . . . . . . . . . . . . . . . . 8
Rational Function . . . . . . . . . . . . . . . . . . . . 8
Explicie & Implicit Function . . . . . . . . . . . . . . 8
1.1.2 Unique Values of Function . . . . . . . . . . . . . . . . 9
1.1.3 Odd & Even Function . . . . . . . . . . . . . . . . . . 9
1.1.4 Properties of Odd-Even Functions . . . . . . . . . . . 10
1.1.5 Homogeneous Function . . . . . . . . . . . . . . . . . 18
1.1.6 Linear Function . . . . . . . . . . . . . . . . . . . . . . 19
1.1.7 Inverse Function . . . . . . . . . . . . . . . . . . . . . 19
1.1.8 Sampling of Function . . . . . . . . . . . . . . . . . . 20
1.1.9 Piece-wise Function . . . . . . . . . . . . . . . . . . . 22
1.2 Sketch the Function . . . . . . . . . . . . . . . . . . . . . . . 23
1.2.1 Straight Line . . . . . . . . . . . . . . . . . . . . . . . 28
1.2.2 Domain & Range . . . . . . . . . . . . . . . . . . . . . 31
Ordered Pairs . . . . . . . . . . . . . . . . . . . . . . . 32
Ordered Pairs from Function . . . . . . . . . . . . . . 33
1.2.3 Function in Different Domains . . . . . . . . . . . . . 33
1.3 Increasing-Decreasing Function . . . . . . . . . . . . . . . . . 35
1.4 Modulo Function . . . . . . . . . . . . . . . . . . . . . . . . . 46
1.4.1 Sub-equations of Modulo Function . . . . . . . . . . . 46
2 Inequality 57
2.1 Inequalities . . . . . . . . . . . . . . . . . . . . . . . . . . . . 57
2.1.1 Properties of Inequalities . . . . . . . . . . . . . . . . 57
2.1.2 Transitivity . . . . . . . . . . . . . . . . . . . . . . . . 58
2.1.3 Addition and subtraction . . . . . . . . . . . . . . . . 58
2.1.4 Multiplication and Division . . . . . . . . . . . . . . . 58
2.1.5 Additive inverse . . . . . . . . . . . . . . . . . . . . . 58
2.1.6 Multiplicative Inverse . . . . . . . . . . . . . . . . . . 59
2.1.7 Interval Notion In Inequality . . . . . . . . . . . . . . 59
Answer Set . . . . . . . . . . . . . . . . . . . . . . . . 60
For Real Numbers . . . . . . . . . . . . . . . . . . . . 61
For Integers . . . . . . . . . . . . . . . . . . . . . . . . 61
3
2.1.8 Compound Statements . . . . . . . . . . . . . . . . . . 62
2.1.9 Linear Inequality . . . . . . . . . . . . . . . . . . . . . 62
2.1.10 Quadratic Inequality . . . . . . . . . . . . . . . . . . . 63
2.1.11 Quotients and Absolute Inequalities . . . . . . . . . . 70
4 Functions
1.1. FUNCTION 5
1Functions
1.1 Function
A function f relates with each element of x of a set, say Df , with exactly one
element y of the another set, say Rf . Here Df is called domain of function
f and Rf is called range of function f. Here x is independent variable while
y is called dependent variable.
Solved Problem 1.1 Assume a function f(x) =
√
x − 2, where x ∈ I
Solution Let x ∈ I then for real value of f(x),
√
x − 2 must be positive
and x − 2 ≥ 0. Which gives x ≥ 2. The domain of all real number of x is
x = {2, 3, 4, . . ., ∞}
The range of function is
R =
n
0, 1, 2,
√
3, . . . , ∞
o
respectively. The table is given below.
x 2 3 4 5 . . . ∞
f(x)
√
0
√
1
√
2
√
3 . . . ∞
Table 1.1: The data table of the function y =
√
x − 2.
This data is plotted in the graph in Polar form as well as Cartesian form
as shown below.
1
2
1 2 3 4 5 6 7 8 9
x
y
Figure 1.1: Polar (blue) & Cartesian (red) plot of the function y =
√
x − 2.
6 Functions
Solved Problem 1.2 Assume a function f(x) =
x
x2 − 4
, where x ∈ I.
Solution Let x ∈ I then for real and finite value of f(x), x2
− 4 must
not be zero. The domain of all real number of x is −∞ to ∞ except x = 2
and x = −2. At x = ±2 the value of f(x) is tends to ±∞. The range of
function is −∞ to ∞. The table is given below.
x −∞ . . . -3 -2 -1 0 1 2 3 . . . ∞
f(x) 0 . . . -0.6 −∞ -0.33 0 0.33 ∞ 0.6 . . . 0
The data is plotted as show below.
1
2
3
−1
−2
−3
1 2 3 4 5
−1
−2
−3
−4
−5
x
y
Figure 1.2: Plot of the function y =
x
x2 − 4
.
Solved Problem 1.3 Assume a function f(x) = x4
− x2
, where x ∈ I.
Solution Let x ∈ I then for real and finite value of f(x), the domain of
all real number of x is −∞ to ∞. The range of function is −0.25 to ∞. The
table is given below.
x −∞ . . . -1 -0.5 0 0.5 1 . . . ∞
f(x) −∞ . . . 0 -0.19 0 0.19 0 . . . ∞
1.1. FUNCTION 7
This data is plotted as shown below.
1
1
−1
x
y
Figure 1.3: Plot of the function y = x4
− x2
.
1.1.1 Type of Function
Algebraic Function
A function is said to be algebraic function, if its all terms have only exponents
and constants. For example, f(x) = ax2
+ bx + c is an algebraic function.
Trigonometric Function
A function is said to be trigonometric function, if its all terms have only
trigonometric function and constants. For example, f(x) = sin x + cos x + c
is a trigonometric function.
Phase in Trigonometric Functions A trigonometric function is in its
general form y1 = a sin θ. Another trigonometric function y2 is said to have
a phase of φ with the function y1 if it is written as
y2 = a sin(θ + φ)
It means that y2 is always lead to y1 by an angle φ to y1. The function
value is instantaneous value at any angle θ. The relative peak values of
trigonometric functions, which are in phase, are measured by graph method
or by simple computation method.
Logarithmic Function
A logarithmic function contains logarithmic function of any base, like ln, log
or exponential of base ‘e’. For example, f(x) = ln x + ex
+ c is a logarithmic
function.
8 Functions
Integral Function
A function which represents to a polynomial equation that has only positive
integral powers to its independent variable, say t or x or θ, is called an
integral function of t or x or θ respectively. For example f(x) = 2−x+x2
−
4x3
is an integral function of x.
Rational Fraction
A rational fraction of a variable t (say), is a fraction whose numerator and
denominators are rational functions of the same variable t. For example
f(x) =
x2
− 4
x3 − 2
is a rational fraction. Again, note that, the degree of numerator in a rational
fraction should not be equal to or greater than the degree of its denominator.
Rational Function
A rational function of a variable t, is an algebraic function which has not a
single variable that have fractional powers. For example
f(x) = 2 − x +
x2
− 4
x3 − 2
is a rational function. While
f(x) = 2 − x +
√
x − 4
x3 − 2
is not a rational function. Again, note that, the degree of numerator should
not equal to or greater than the degree of its denominator in its fractional
part.
Explicie & Implicit Function
Explicit functions are those functions, in which dependent variable is directly
related to the independent variable. For example, in y = x2
− 4x − 3, y is
explicit function of x, as y is directly related to x. Values of y can be found
by solving this relation. In implicit functions, dependent variable is not
directly related to the independent variable. For example, in the group of
equations
y = x2
− 4x − 3; y + sin(y) = x
y is implicit function of x. Here, y is directly related to x. Values of y can
no be found by just solving these relations.
1.1. FUNCTION 9
1.1.2 Unique Values of Function
A function gives one unique value of one or more different input values or
one or more unique outputs of one input value. It depends on the function.
A function which has root part, may give two or more unique outputs which
function free from root parts gives one unique output for two or more inputs.
Solved Problem 1.4 Find the unique outputs of the function y = x2
− 1 for
x ∈ {2, 3}.
Solution As x ∈ {2, 3}, hence, the unique values of x shall be only 2 and
3. Therefore, unique value of the function y = x2
− 1 are y = 3 at x = 2
and y = 8 at x = 3 respectively. These unique values of the function are
obtained by just substituting the value of x.
Solved Problem 1.5 Find the unique outputs of the function y =
p
x2 + 2x + 1 for x ∈ {2, 3}.
Solution As x ∈ {2, 3}, hence, the unique values of x shall be only 2 and
3. Therefore, unique value of the function y =
p
x2 + 2x + 1 are y = 3 at
x = 2 and y = 4 at x = 3 respectively. These unique values of the function
are obtained by just substituting the value of x.
1.1.3 Odd & Even Function
Odd Function A function is said to be odd function if it becomes negative
when its independent variable is substituted by negative independent vari-
able. For example if f(x) is a function of x then it said to be odd function
if
f(x) = f(−x) = −f(x) (1.1)
Odd functions do not plot symmetrical plots about any axis, this is why, it
is also called anti-symmetric function.
Even Function A function is said to be even function if it remains same
when its independent variable is substituted by negative independent vari-
able. For example if f(x) is a function of x then it said to be even function
if
f(x) = f(−x) = f(x) (1.2)
Even functions are plotted symmetrical about the axes, this is why, it is also
called symmetric function.
10 Functions
1.1.4 Properties of Odd-Even Functions
I. Product of odd and even function is an odd function. For example, if
f(x) and g(x) are odd and even function respectively, then F(x) = f(x)∗g(x)
is an odd function.
II. Product of two odd or two even function is an even function. For
example, if f(x) and g(x) are either both odd or both even functions respec-
tively, then F(x) = f(x) ∗ g(x) is an even function.
III. If f(x) is a function of x then it can be transformed into its odd and
even parts. Function f(x) can be written as its odd and even parts by
f(x)o =
f(x) − f(−x)
2
(1.3)
and
f(x)e =
f(x) + f(−x)
2
(1.4)
IV. An algebraic function is sum of its odd and even parts. ie
f(x) = f(x)o + f(x)e (1.5)
An even part of the pure linear algebraic function has only algebraic
terms of even degree while odd part of the pure linear algebraic function
has only algebraic terms odd degrees. But this case is not true for fractions
and trigonometric functions.
Solved Problem 1.6 Show that y = sin(x) is an odd function.
Solution From the definition of the odd function, independent variable
‘x’ is replaced by ‘-x’. Now
y = sin(−x) = − sin(x)
Or
− sin(x) ⇒ −y
Hence it is an odd function.
1.1. FUNCTION 11
x
y
sin x
x
y
− sin x
Solved Problem 1.7 Show that y = cos(x) is an odd function.
Solution From the definition of the odd function, independent variable
‘x’ is replaced by ‘-x’. Now
y = cos(−x) = cos(x)
Or
cos(x) ⇒ y
Hence it is an odd function.
x
y
cos x
x
y
− cosx
Solved Problem 1.8 Check whether y = x2
− 2x is an odd function.
Solution From the definition of the odd function, independent variable
‘x’ is replaced by ‘-x’. Now
y = (−x)2
− 2(−x) = x2
+ 2x
Or
x2
+ 2x ; y ; −y
Hence it is neither odd nor even function.
x
y
y = x2
− 2x
x
y
y = x2
+ 2x
12 Functions
Solved Problem 1.9 Check whether function y = 10−6x−x2
is odd or even.
Solution To check the function being odd or even, replace ‘x’ by ‘-x’ in
the given function y = 10 − 6x − x2
.
y = 10 − 6(−x) − (−x)2
= 10 + 6x − x2
Now
10 + 6x − x2
; y ; −y
Hence it is neither odd nor even function.
Solved Problem 1.10 Check whether function y = 9x + x3
is odd or even.
Solution To check the function being odd or even, replace ‘x’ by ‘-x’ in
the given function y = 9x + x3
.
y = 9(−x) + (−x)3
= −9x − x3
Now
− 9x + x3

⇒ −y
Hence it is odd function.
Solved Problem 1.11 Check whether function y = x4
− 6x2
− 9 is odd or
even.
Solution To check the function being odd or even, replace ‘x’ by ‘-x’ in
the given function y = x4
− 6x2
− 9.
y = (−x)4
− 6(−x)2
− 9 = x4
− 6x2
− 9
Now
x4
− 6x2
− 9 ⇒ y
Hence it is even function.
Solved Problem 1.12 Check whether function y = sin(x) cos(x) is odd or
even.
Solution To check the function being odd or even, replace ‘x’ by ‘-x’ in
the given function y = sin(x) cos(x).
y = sin(−x) cos(−x) = − sin(x) cos(x)
Now
− sin(x) cos(x) ⇒ −y
Hence it is odd function.
1.1. FUNCTION 13
Solved Problem 1.13 Transform the functions y = x4
− 2x3
+ x + 4 in their
odd or even parts.
Solution To transform the function into odd and even form, relation
f(x)o =
f(x) − f(−x)
2
and
f(x)e =
f(x) + f(−x)
2
are used. Now, odd part of the function is
yo =

x4
− 2x3
+ x + 4

−

(−x)4
− 2(−x)3
+ (−x) + 4

2
It gives
yo =
x4
− 2x3
+ x + 4

− x4
+ 2x3
− x + 4

2
yo =
x4
− 2x3
+ x + 4 − x4
− 2x3
+ x − 4
2
yo = −2x3
+ x
1] Again for even part of the function is
ye =

x4
− 2x3
+ x + 4

+

(−x)4
− 2(−x)3
+ (−x) + 4

2
It gives
ye =
x4
− 2x3
+ x + 4

+ x4
+ 2x3
− x + 4

2
ye =
x4
− 2x3
+ x + 4 + x4
+ 2x3
− x + 4
2
ye = x4
+ 4
Solved Problem 1.14 Transform the functions y = x4
− 5x2
− x + 7 in their
odd or even parts.
Solution Odd and even parts of the given function are
yo =
y(x) − y(−x)
2
14 Functions
and
ye =
y(x) + y(−x)
2
Hence odd part of the function is
yo =
(x4
− 5x2
− x + 7) − [(−x)4
− 5(−x)2
− (−x) + 7]
2
yo =
x4
− 5x2
− x + 7 − x4
+ 5x2
− x − 7]
2
yo = −x
1] We know that a function can be written as the sum of its odd and even
parts. It means the even part of the function is subtraction of the function
by odd part. Hence
ye = x4
− 5x2
+ 7
Solved Problem 1.15 Transform the functions y = x8
− 2x7
+ x4
+ 5 in its
odd and even parts.
Solution Using the direct method, odd part of the function is
yo = −2x7
and even part of the function is
ye = x8
+ x4
+ 5
Solved Problem 1.16 Transform the functions y = x8
− 2x7
− x3
+ x4
+ 5 in
its odd and even parts.
Solution Using the direct method, odd part of the function is
yo = −2x7
− x3
and even part of the function is
ye = x8
+ x4
+ 5
1.1. FUNCTION 15
Solved Problem 1.17 Express f(x) into its odd and even parts. Function
f(x) is given by
f(x) = x4
− 2x3
+ x2
− 5x + 7
Also show that the function is sum of its odd and even parts.
Solution We know that the odd part of the function can be found as
f(x)o =
f(x) − f(−x)
2
f(x)o =

x4
− 2x3
+ x2
− 5x + 7

−

(−x)4
− 2(−x)3
+ (−x)2
− 5(−x) + 7

2
=

x4
− 2x3
+ x2
− 5x + 7 − x4
− 2x3
− x2
− 5x − 7

2
= −2x3
− 5x
Clearly f(x)o is an odd part of the given function and contains some of the
terms of the given function f(x). Similarly even part of the function can be
found by using relation
f(x)e =
f(x) + f(−x)
2
f(x)e =

x4
− 2x3
+ x2
− 5x + 7

+

(−x)4
− 2(−x)3
+ (−x)2
− 5(−x) + 7

2
=

x4
− 2x3
+ x2
− 5x + 7 + x4
+ 2x3
+ x2
+ 5x + 7

2
= x4
+ x2
+ 7
f(x)e is an even function and contains remaining terms of the given function
f(x). Now the function f(x) can be written as
f(x) = f(x)o + f(x)e
Solved Problem 1.18 Show that f(x) = x3
is a one-to-one function.
Solution If f(x) = x3
is an one to one function then the range of f(x)
at two distinct domain integer values must not be equal. For real number
assume ranges of function for two distinct integers are same. Substituting
the two domain values x1 and x2, where x1 6= x2 and equaling ranges
f(x1) = f(x2)
16 Functions
f(x1) − f(x2) = 0
Substituting the function values
x3
1 − x3
2 = 0
(x1 − x2)(x2
1 + x2
2 + x1x2) = 0
Here x1 − x2 6= 0 as x1 6= x2. And (x2
1 + x2
2 + x1x2) = 0 gives
x1 =
−x2 ±
p
x2
2 − 4x2
2
2
x1 =
−x2 ±
p
−3x2
2
2
Here x1 is a complex number. Hence ranges of function are same when
one domain value is integer and other is complex number. Hence function
f(x) has no two same ranges f(x1) 6= f(x2) for two domain integer values
x1 6= x2. Hence function is one-to-one.
Solved Problem 1.19 Find the inverse of f(x) = x3
.
Solution Let y = x3
and for x, x = y1/3
which is unique solution. It is
a function of y and can be represented by
g(y) = y1/3
And transforming it for x
g(x) = x1/3
This is the inverse of the function f(x) and written as
f−1
(x) = x1/3
The graph is shown in figure (1.4).
1
−1
1 2 3
−1
−2
x
y
y = x3
y−1
= x1/3
Figure 1.4: Inverse of x3
1.1. FUNCTION 17
Solved Problem 1.20 Separate the function f(x) = x2
− 12x − 4 into its odd
and even parts.
Solution Using the direct method, odd part of the function is
yo = −12x
and even part of the function is
ye = x2
− 4
Solved Problem 1.21 Separate the function f(x) = x4
− 3x3
− 8 into its odd
and even parts.
Solution Using the direct method, odd part of the function is
yo = −3x3
and even part of the function is
ye = x4
− 8
Solved Problem 1.22 Separate the function f(x) =
x3
− 1
x + 1
into its odd and
even parts.
Solution To transform the function into odd and even form, relation
f(x)o =
f(x) − f(−x)
2
and
f(x)e =
f(x) + f(−x)
2
are used. Now, odd part of the function is
yo =
h
x3
−1
x+1
i
−
h
(−x)3
−1
(−x)+1
i
2
It gives
yo =
x3
−1
x+1 − −x3
−1
−x+1
2
18 Functions
yo =
x3
+ x
1 − x2
1] Again for even part of the function is
ye =
h
x3
−1
x+1
i
+
h
(−x)3
−1
(−x)+1
i
2
It gives
ye =
x3
−1
x+1 + −x3
−1
−x+1
2
ye =
−x4
− 1
1 − x2
1.1.5 Homogeneous Function
A homogeneous function is function in which value of the function is scaled
by a certain factor then function is itself scaled to that factor. This prop-
erty of the function is called homogeneity. A function f(x) is said to be
homogeneous if
f(Cx) = Cf(x)
Solved Problem 1.23 Write a homogeneous function which exhibits the prop-
erties of homogeneity.
Solution The function shows this property is f(x) = ax, where a is any
constant. Replacing x → cx, the result is
f(cx) = a × cx
Taking c as common in right hand side
f(cx) = c(ax) = cf(x)
Hence the given function is homogeneous.
Solved Problem 1.24 Show that f(x) = ax + b does not show homogeneity.
Solution The given function is f(x) = ax + b. Replacing x → cx, the
result is
f(cx) = a × cx + b
1.1. FUNCTION 19
Taking c as common in right hand side
f(cx) = c

ax +
b
c

6= cf(x)
Hence the given function is not homogeneous.
1.1.6 Linear Function
A function is said to be linear, if it satisfy the additive and homogeneity of
a function. If f(x1) and f(x2) are two functions then
f(ax1 + bx2) = f(ax1) + f(bx2) = af(x1) + bf(x2)
This condition of additive and homogeneity is called superposition. If the
condition of superposition is met for a function then the function is said to
be linear.
1.1.7 Inverse Function
If a function f(x) with domain Df and range Rf is one-to-one, then there
is an inverse of function f(x) with domain Rf and range Df for each values
of x in Df , i.e.
k[f(x)] = x
Generally k is represented by f−1
and it is called inverse of function f(x).
Solved Problem 1.25 Find the inverse of the function f(x) = 3x + 4.
Solution Here f(x) is a function of x. The inverse of the function is
obtained by solving this equation for x. It gives
3x = f(x) − 4
Or
x =
f(x) − 4
3
‘x’ represents the inverse function and f(x) is the independent variable for
‘x’. Now transforming this relation for easy explanation
f−1
(x) =
x − 4
3
It is inverse function of the given function f(x).
20 Functions
Solved Problem 1.26 Find the inverse of the function f(x) = x2
+ 4.
Solution Here f(x) is a function of x. The inverse of the function is
obtained by solving this equation for x. It gives
x2
= f(x) − 4
Or
x =
p
f(x) − 4
‘x’ represents the inverse function and f(x) is the independent variable for
‘x’. Now transforming this relation for easy explanation
f−1
(x) =
√
x − 4
It is inverse function of the given function f(x).
1.1.8 Sampling of Function
The value of a function at a point is called function value. It is also known as
sampled value of the function at that point. For example, function y = sin(x)
has sample value y = sin(90◦
), i.e. ‘1’ at x = 90◦
. Sampling of function is
basis of calculus and communication engineering. Mathematically, a sampled
value of a function, f(x), is given by
y[x] = f(x) (1.6)
Solved Problem 1.27 Find the four sampled values of the function y = x2
within 0 ≤ x ≤ 1.
Solution The four points within 0 ≤ x ≤ 1 are 0.0, 0.3, 0.6 and 1.0. The
function values at these points are
y[0] = y0 = 02
= 0.00
y[0.3] = y0.3 = 0.32
= 0.09
y[0.6] = y0.6 = 0.62
= 0.36
y[1] = y1 = 12
= 1.00
These are four sampled values of the function.
1.1. FUNCTION 21
1
x
y
b
b
b
b
Solved Problem 1.28 Find the three sampled values of the function y =
x2
− 3x + 1 within 0  x  4.
Solution The three points within 0  x  5 are 1, 2 and 3. The function
values at these points are
y[1] = y1 = 12
− 3 × 1 + 1 = −1
y[2] = y2 = 22
− 3 × 2 + 1 = −1
y[3] = y3 = 32
− 3 × 3 + 1 = 1
These are three sampled values of the function.
−1
1 2 3
x
y
b b
b
Solved Problem 1.29 Extract four sampled values of the function y =
sin(x) + 1.
Solution The five points are 0◦
, 15◦
, 30◦
, 45◦
and 60◦
in degree abscissa.
The function values at these points are
y[0◦
] = y0◦ = sin(0◦
) + 1 = 1.00
y[15◦
] = y15◦ = sin(15◦
) + 1 = 1.26
y[30◦
] = y30◦ = sin(30◦
) + 1 = 1.50
y[45◦
] = y45◦ = sin(45◦
) + 1 = 1.70
y[60◦
] = y60◦ = sin(60◦
) + 1 = 1.87
22 Functions
These are four sampled values of the function.
1
15 30 45 60
x
y
b
b
b
b
b
1.1.9 Piece-wise Function
A function which satisfy different equations in different region of independent
variable, is called piece-wise function. See the following function,
f(x) =
(
px + q where a ≤ x ≤ b
rx where b  x ≤ c
Above function is a piece-wise function as it uses relation px + q in domain
a ≤ x ≤ b and relation rx in domain b  x ≤ c.
Existence of Piece-wise Function A function f(x) has a unique value
at any given point whatever method of solution is applied. For example,
f(x) = x2
− 2 has unique value at x = 2 and it is f(2) = 22
− 2 = 2. In
a piece-wise functions, if break point x = a is applicable for all pieces of
the function, then the values of pieces of the function at that point shall be
same. Consider a piece-wise function as given below:
f(x) =
(
2x + 2 where 0 ≤ x ≤ 2
3x where 2 ≤ x ≤ 4
In above case, x = 2 is applicable for both pieces of the function. So,
f(x) = 2x + 2 and f(x) = 3x shall give same values at x = 2. Here,
f(2) = 2 × 2 + 2 = 6
and
f(2) = 3 × 2 = 6
Hence the function exists. Again, if this function is modified as
f(x) =
(
2x + 2 where 0 ≤ x ≤ 2
3x + 1 where 2 ≤ x ≤ 4
1.2. SKETCH THE FUNCTION 23
then f(x) = 2x + 2 and f(x) = 3x + 1 do not give same values at x = 2.
f(2) = 2 × 2 + 2 = 6
and
f(2) = 3 × 2 + 1 = 7
Therefore, it is not a function.
Solved Problem 1.30 Show that
f(x) =
(
2x + 2 where 0 ≤ x ≤ 3
3x where 3 ≤ x ≤ 4
is not a function. Give suitable explanation.
Solution The piecewise relation is defined for 0 ≤ x ≤ 4. The piecewise
relation has two different expressions at the point x = 3. If this relation is
perfect function then it should have same values for its two different expres-
sions. So
y(3) = 2 × 3 + 2 = 8
and
y(3) = 3 × 3 = 9
Here, both values are not same, hence it is not a piecewise function.
1.2 Sketch the Function
A function may be sketches by two methods, (i) by numeric method and (ii)
by analytical method.
Numerical Method In first method, we construct a table for a function
in (x, f(x)) order for sufficient number of points within the given domain of
x. Then we plots these points in two dimensional plan. The larger numbers
of x, plot is plotted more fine. Suppose a function f(x) = sin x that has to
be plotted withing 0 ≤ x ≤ π. Now, take ten points within [0, π] and find
the value of f(x) as shown in the following table.
24 Functions
x f(x)
0.000 0.000
0.314 0.309
0.628 0.588
0.942 0.809
1.256 0.951
1.570 1.000
1.884 0.951
2.198 0.810
2.512 0.589
2.826 0.310
3.140 0.002
Now, when this table is plotted in two dimensional xy plane, it gives the
sketch of function sin x.
1
1 2 3
x
f(x)
b
b
b
b
b b b
b
b
b
b
0.0
0.3
0.58
0.8
0.95
0.99
0.95
0.8
0.58
0.31
0.0
1
1 2 3
x
f(x)
b
b
b
b
b b b
b
b
b
b
f(x) = sin x
Analytical Method In analytical method of sketching of function, we
first find the characteristics of function, like x and y intersection points,
maximum and minima points, asymptotes, increasing and decreasing of the
function, symmetry of the function etc. Using these characteristics, we traces
the sketch of function.
Solved Problem 1.31 Sketch the graphs of the given function and obtain
whether it is odd or even. The function is f(x) = x2
− 1.
Solution Replacing ‘x’ by ‘-x’, we have
f(−x) = (−x)2
− 1 = x2
− 1
1.2. SKETCH THE FUNCTION 25
Here f(−x) = f(x), so the function is even function. Function will be zero
when
x2
− 1 = 0 ⇒ x = ±1
Function is even function, hence minimum value of the function will be when
x = 0 and it is
f(0) = 02
− 1 = −1
Now there are three cases for the function.
When x  −1 x2
is positive and greater than ‘1’, hence the function
x2
− 1 is positive and greater than zero. Function is continuous decreasing
when it approaches to −1 from −∞.
When x  1 x2
is positive and greater than ‘1’, hence the function x2
−1
is positive and greater than zero. Function is continuous increasing when it
approaches to ∞ from 1.
When −1 ≤ x ≤ 1 x2
is positive but less than or equal to ‘1’. Function
x2
− 1 is negative and less than or equal to zero. Function decreases for the
domain of [−1, 0) and increases for the domain of [0, 1].
1
2
−1
1 2 3
−1
−2
x
f(x)
f(x) = x2
− 1
Applying the above three conditions, the plot of the function will be like
as given in above figure.
Solved Problem 1.32 Sketch the graph of the given function and obtain that
whether it is odd or even. The function is f(x) = x3
− 1.
Solution Replacing ‘x’ by ‘-x’, we have
f(−x) = (−x)3
− 1 = −x3
− 1
26 Functions
Function is neither even nor odd function. Function will be zero when
x3
− 1 = 0 ⇒ x = 1
‘x’ has three equal roots of ‘1’. Minimum value of the function will be when
x = −∞ and it is
f(−∞) = (−∞)3
− 1 = −∞
When x = 0, then f(0) = −1. Function is continuous increasing in the
domain of (−∞, ∞). The data table of the function is
x -1.3 -0.8 -0.3 0.1 0.6 1.0 1.5
f(x) -2.95 -1.50 -1.04 -1.00 -0.80 0.13 2.37
Dot plot and graph of this data table is
1
−1
−2
1
−1
x
f(x)
b
b
b
b b b
b
b
b
b
f
(
x
)
=
x
3
−
1
1
−1
−2
1
−1
x
f(x)
f
(
x
)
=
x
3
−
1
Solved Problem 1.33 Sketch the graphs of the given function and obtain
that it is either odd or even. The function is f(x) =
√
7 − x.
Solution Replacing ‘x’ by ‘-x’, we have
f(−x) =
p
7 − (−x) =
√
7 + x
Function is neither even nor odd. Function will be zero when
√
7 − x = 0 ⇒ x = 7
Minimum real value of the function is when x = 7 and it is
f(7) =
√
7 − 7 = 0
1.2. SKETCH THE FUNCTION 27
At x = 0, the function intersects to y axis at
f(0) =
√
7 = 2.645
Function is real if
7 − x ≥ 0 ⇒ x ≤ 7
Hence the domain of ‘x’ is (−∞, 7]. Data table for the function is
x -1 0 1 2 3 4 5 6 7
f(x) 2.83 2.65 2.45 2.24 2.00 1.73 1.41 1.00 0.00
Dot plot of this data table is
1
2
1 2 3 4 5 6 7
−1
−2
x
f(x)
b
b
b
b
b
b
b
b
b
b
f(x) =
√
7 − x
Now the plot of the function is
1
2
1 2 3 4 5 6 7
−1
−2
x
f(x)
f(x) =
√
7 − x
Solved Problem 1.34 Sketch the graphs of the function f(x) = x2/3
.
Solution The given function is f(x) = x2/3
. IT can be written as
f(x) = x0.66
. If x is negative, the function value is imaginary. Hence
28 Functions
domain of the function is [0, ∞). Function value at x = 0 is f(0) = 0.
Function is continuous increasing function as x → ∞, f(x) → ∞. The plot
of the function is as given below.
1
2
1 2 3 4 5
x
f(x)
f(x) = x2/3
1.2.1 Straight Line
The equation of line is given by y = mx+c. This equation of line represents
that the line has slope of ‘m’ and it intersects to the y-axis at ‘c’. The plot
of this line is
x
y
c
y = mx + c
x
y
c
y = mx + c
b
(0, b)
b
(a, 0)
A line always intersection to the x-y axes. When line intersects to the
x−axis, its y component is zero. Now the point of intersection at x-axis can
be obtained by substituting y = 0. The point on x-axis is represented by
(a, 0). Similarly, when line intersects to y-axis then x = 0 and coordinate of
this point is (0, b).
Solved Problem 1.35 Sketch the plot of y = 5x − 3.
Solution
1.2. SKETCH THE FUNCTION 29
5
10
−5
1 2 3
−1
−2
x
y
y
=
5
x
−
3
The given equation is straight line. This line intersects both axes. This
line will intersect to x-axes when y = 0. At this point, x will be 3/5.
Similarly, when line intersects y-axes then x = 0 and in this point y = −3.
Now the line passes from points (3/5, 0) and (0, −3).
Solved Problem 1.36 Sketch the graph 5x − 4y = 5.
Solution
1 2 3
−1
−2
x
y
y =
5x − 5
4
The given equation is straight line. This line intersects both axes. This
line will intersect to x-axes when y = 0. At this point, x will be 1. Similarly,
when line intersects y-axes then x = 0 and in this point y = −5/4. Now the
line passes from points (1, 0) and (0, −5/4).
Solved Problem 1.37 Sketch the graph 6x + 4y = 12.
Solution
1 2 3
−1
−2
x
y
y = 12 − 6x
4
The given equation is straight line. This line intersects both axes. This
line will intersect to x-axes when y = 0. At this point, x will be 2. Similarly,
30 Functions
when line intersects y-axes then x = 0 and in this point y = 3. Now the line
passes from points (2, 0) and (0, 3).
Solved Problem 1.38 Sketch the plot of y = 3x + 4. Also find the inverse
function and sketch the plot for it.
Solution The given equation is straight line. This line intersects both
axes. This line will intersect to x-axes when y = 0. At this point, x will be
−4/3. Similarly, when line intersects y-axes then x = 0 and in this point
y = 4. Now the line passes from points (−4/3, 0) and (0, 4).
5
10
1 2 3
−1
−2
x
y
y =
3x + 4
The given line gives inverse function when it is solved for ‘x’. Now
x =
y − 4
3
Replacing x and y respectively to transform this relation for better repre-
sentation and meaning.
Y =
X − 4
3
Here Y is inverse function of y.
−2
1 2 3
−1
−2
X
Y
Y =
X − 4
3
The given equation is straight line. This line intersects both axes. This
line will intersect to x-axes when Y = 0. At this point, X will be 4. Similarly,
when line intersects y-axes then X = 0 and in this point Y = −4/3. Now
the line passes from points (4, 0) and (0, −4/3).
1.2. SKETCH THE FUNCTION 31
1.2.2 Domain  Range
A function f(x) define in integer, i.e. the all possible values of the f(x) are
only integers, is dependent on the independent variable ‘x’. Now, the pos-
sible values of ‘x’ may be integer, real numbers, complex numbers, rational
numbers and natural number etc. Set of all possible values of ‘x’ for which
function f(x) is defined is called domain of the function. And the set of all
corresponding values of f(x) is known as range of the function.
A function shall not be said to be defined at a given point where
it is either imaginary or infinite or its limits are any of the given forms as
0/0, 0/∞, ∞/0 and ∞/∞ etc.
Solved Problem 1.39 Find the range of function f(x) = x2
at point x = 4.
Solution The range of a given function is defined as set of all values
of the function corresponding to its domain points. Now, the range of the
function is f(4) = 42
= 16.
Solved Problem 1.40 Does t = 2 is a point of domain of the function f(t) =
1
t − 2
.
Solution A function is said to be defined at a given point where its value
is real and finite. Therefore, point t = 2 be a point of domain of function
f(t) =
1
t − 2
, if function value at this point is finite and real. So,
f(t) =
1
t − 2
=
1
2 − 2
=
1
0
Numerically, the function value is ∞ or undefined at point t = 2. Hence this
point is not part of the domain of given function.
Solved Problem 1.41 Which points (integers only) between t = 0 and t = 5
(including) can be in the domain of the function f(t) =
√
t − 1.
Solution The points of domain of function always gives real and finite
function value. Therefore each point which gives real and finite function
value is part of the domain of the function f(t). Now,
32 Functions
t f(t)
√
t − 1 Domain Point
0 f(0)
√
−1 No
1 f(1)
√
0 Yes
2 f(2)
√
1 Yes
3 f(3)
√
2 Yes
4 f(4)
√
3 Yes
5 f(5)
√
4 Yes
So, points {1, 2, 3, 4, 5} are domain points of the given function.
Solved Problem 1.42 Which points (integers only) between θ = 0 and θ = 5
(including) can be in the domain of the function f(θ). The function is
f(θ) = 2−θ
.
Solution The points of domain of function always gives real and finite
function value. Therefore each point which gives real and finite function
value is part of the domain of the function f(θ). Now,
θ f(θ) 2−θ
Domain Point
0 f(0) 20
= 1.00 Yes
1 f(1) 2−1
= 0.50 Yes
2 f(2) 2−2
= 0.25 Yes
3 f(3) 2−3
= 0.125 Yes
4 f(4) 2−4
= 0.0625 Yes
5 f(5) 2−5
= 0.03125 Yes
So, the points {0, 1, 2, 3, 4, 5} are domain points of the given function as
all points have real and finite function value.
Ordered Pairs
An ordered pair is defined as the group of domain element and its corre-
sponding range element. For example, if f(x) is a valid function such that
f(x) = x2
+ 2 : ∀ x ∈ I
1.2. SKETCH THE FUNCTION 33
Then its ordered pair is (x, f(x)). In ordered pair, first element is indepen-
dent value and second element is its dependent value based on set rules (say
function).
Ordered Pairs from Function
We can get ordered pair from domain and its range by using set rules (func-
tion). For example, if x ∈ I+
under the rule y = 2x then its ordered pair
shall be (x, 2x) where ∀ x ∈ I+
. The range of this function is 2x, i.e. all
positive even numbers.
Solved Problem 1.43 Find few of the all ordered pairs of given statement
f(x) = 2x : ∀ x ∈ I+
.
Solution Here, independent value is x and its values are only positive
integer values, i.e.
x = {0, 1, 2, 3, . . .}
It is domain of the given function. To get the ordered pair, put these values
of x in f(x), which gives respective result as
f(x) = {0, 2, 4, 6, . . .}
This is range of the given function. Now, ordered pairs are
(x, f) = {(0, 0), (1, 2), (2, 4), . . .}
1.2.3 Function in Different Domains
Consider a trigonometric sine function
r = sin(θ) (1.7)
which represents periodic motion of an object revolving about a given point,
known as center. The period of the function is 2π or 360◦
. The graph of the
function is
34 Functions
r
θ
b
b
θ
r
θ
2π
Here we say that the object is moving in angle-displacement plane. If
the time period of the object moving in circular path is T , i.e. it takes T
seconds to complete one revolution of 2π then 2π = T relatively. And above
graph shall be represented as
r
t
b
b
t
r
t
T
Now for one complete revolution, we can transform to the given function
from angle-position plane to time-time period plane. So
T = 2π ⇒ 1 =
2π
T
⇒ t =
2π
T
× t
Replacing θ from equation 1.7, we have
r1 = sin

2π
T
× t

= sin (2πf × t)
Here, f is frequency of revolving object and 2πf = ω. So,
r1 = sin (ωt) (1.8)
1.3. INCREASING-DECREASING FUNCTION 35
Now, the given equation is transform from angle-position plane into time-
time period plane. Here, equation 1.7 and 1.8 represent to same function in
two different domains.
r
θ
b
0
b
π
b
2π
r1
t
b
0
b
T/2
b
T
1.3 Increasing-Decreasing Function
A function f(x) is said to be increasing function within the domain a ≤ x ≤ b
if its value is continuously increasing with increase of x. Similarly, a function
f(x) is said to be decreasing function within the domain a ≤ x ≤ b if its
value is continuously decreasing with increase of x. Following methods are
used to find whether a function is increasing or decreasing within the domain
a ≤ x ≤ b.
1. First we find zero point of the function, i.e. point x where function
value is zero. It is obtained by equation function to zero. So,
f(x) = 0
2. Check, how many zero points are within the domain a ≤ x ≤ b. If it
is two or more, then function must change from increasing to decreasing or
vice-versa within the given domain of x.
x
y
bc
b
a
b
b
x
y
bc bc
b
a
b
b
Therefore, this function is never either only increasing function or only
decreasing function within the given domain a ≤ x ≤ b.
36 Functions
x
y
bc bc
b
a
b
b
If there are zeros less than two within the domain of a ≤ x ≤ b then
there is uncertainity about increasing or decreasing nature of function.
3. If there are no real zeros then the function never intersects to the
x-axis.
1 2
−1
−2
−3
x
y
b
a b
b
The above function is plot of f(x) = x + 1/x. The zeros of this function
are
x +
1
x
= 0 ⇒ x2
+ 1 = 0 ⇒ x = ±i
The zeros of this function are imaginary, say complex, hence function never
intersects to x-axis.
4. To confirm the nature of function, we construct a difference table
to check the number of sign conversions in first order difference column. If
first order difference has positive sign then function is increasing and if first
order difference has negative sign then function is decreasing. The number
of times, sign of first order difference changes from positive to negative or
negative to positive, same number of times function changes from increasing
to decreasing or vice-versa. The range of x for which f(x) has same sign in
its corresponding first order difference, the function continusouly increases
or decreases with this given range. First order difference for poing xn is
given by
f[xn] = f[xn+1] − f[xn]
Here, one point may be noted that, while we analysing a function or dif-
ference functions of nth
order, whether they are increasing or decreasing
1.3. INCREASING-DECREASING FUNCTION 37
functions, only “sign” of next order difference is significant not the “quan-
tity” associated with “sign”.
Illustrated Example Take function f(x) = x2
− 5.5 ∗ x + 6 and we have
check whether it is continuously increasing or continuousl decreasing within
1 ≤ x ≤ 2. So, first we find zero points,
x2
− 5.5x + 6 = 0 = (x − 1.5)(x − 4)
It gives x = 1.5 and x = 4, only one point x = 1.5 falls within 1 ≤ x ≤
2, hence it may be either continuously increasing function of continuously
decreasing function. Now, construct a difference table as shown below:
x f(x) ∆f(x)
1.00 1.50 -0.34
1.10 1.16 -0.32
1.20 0.84 -0.30
1.30 0.54 -0.28
1.40 0.26 -0.26
1.50 0.00 -0.24
1.60 -0.24 -0.22
1.70 -0.46 -0.20
1.80 -0.66 -0.18
1.90 -0.84 -0.16
2.00 -1.00
The first order differences, ∆f(x), (see third column) have “negative
sign”1
, therefore, the function, f(x), is continuously decreasing function
within the domain 1 ≤ x ≤ 2.
1
Only sign of ∆f(x) matters here, quantity associated with sign has no significance.
38 Functions
1 2 3
x
y
bc
b
a
b
b
Illustrated Example Take function f(x) = x2
− 4 ∗ x + 3.75 and we have
check whether it is continuously increasing or continuousl decreasing within
1 ≤ x ≤ 3. So, first we find zero points,
x2
− 4x + 3.75 = 0 = (x − 1.5)(x − 2.5)
It gives x = 1.5 and x = 2.5, both points fall within 1 ≤ x ≤ 3, hence it
is increasing and decreasing function within the given domain 1 ≤ x ≤ 3.
Now, construct a difference table as shown below:
x f(x) ∆f(x)
1.00 0.75 -0.36
1.20 0.39 -0.28
1.40 0.11 -0.20
1.60 -0.09 -0.12
1.80 -0.21 -0.04
2.00 -0.25 0.04
2.20 -0.21 0.12
2.40 -0.09 0.20
2.60 0.11 0.28
2.80 0.39 0.36
3.00 0.75
We see that from third column, sign of first order difference changes from
negative to positive at x = 2, hence at this point the function shall change
from decreasing (-ve sign) to increasing (+ve sign). From this table, it is
clear that, function is continuously decreasing function in 1 ≤ x  2 and
1.3. INCREASING-DECREASING FUNCTION 39
continusouly increasing function in 2 ≤ x ≤ 3. The plot of this function
shown below:
1 2 3
x
y
bc bc
b
a
b
b
Solved Problem 1.44 Show that logb 0 = −∞.
Solution Using the exponet property, we have
logb 0 = n ⇒ bn
= 0
The term bn
shall be zero if n → −∞, as
b−∞
=
1
b∞
= 0
Now, from logb 0 = n, n = −∞. So,
logb 0 = −∞
It is proved.
Solved Problem 1.45 Find whether the function y = cos(2x) is either in-
creasing or decreasing in the range [−π/2, π/2].
Solution The zeros of the function y = cos(2x) are obtained when y = 0.
So,
cos(2x) = 0 ⇒ 2x = 2nπ ±
π
2
It gives,
x = nπ ±
π
4
For given domain of x ∈ [−π/2, π/2], the accepted values of x are ±π/4.
x
y
bc
−π/4
bc
π/4
b
a b
b
40 Functions
These two points falls within the given domain of x, which are more
than one. So, this function is increasing as well as decreasing, i.e. oscillating
between the given domain [−π/2, π/2].
Solved Problem 1.46 Find whether function y = x2
− 9x − 1 is either in-
creasing or decreasing in the range of x in [1, 2].
Solution To find the nature of the function, we shall construct the first
order difference table for the given function as shown below:
x f(x) ∆f(x)
1.00 -9.00 -0.69
1.10 -9.69 -0.67
1.20 -10.36 -0.65
1.30 -11.01 -0.63
1.40 -11.64 -0.61
1.50 -12.25 -0.59
1.60 -12.84 -0.57
1.70 -13.41 -0.55
1.80 -13.96 -0.53
1.90 -14.49 -0.51
2.00 -15.00
Table 1.2: Difference Table of Function f(x) = x2
− 9x − 1.
The plot of above data is given in following figure.
1 2 3
x
y
b
a b
b
All elements of first order difference (see third column of table 1.2) for
1.3. INCREASING-DECREASING FUNCTION 41
each x ∈ [1, 2] are negative. Hence function is continuously decreasing func-
tion in domain 1 ≤ x ≤ 2.
Solved Problem 1.47 Find that whether function y = x +
1
x
is either in-
creasing or decreasing within the domain of x ∈ [−1, 1].
Solution The zeros of the function are
x +
1
x
= 0 ⇒ x2
+ 1 = 0 ⇒ x = ±i
The zeros of this function are imaginary, say complex, hence function never
intersects to x-axis. To find whether function is increasing or decreasing or
oscilating within domain of x ∈ [−1, 1], we construct the first order difference
table as shown below:
x f(x) ∆f(x)
-1.00 -2.00 -0.05
-0.80 -2.05 -0.22
-0.60 -2.27 -0.63
-0.40 -2.90 -2.30
-0.20 -5.20 -8.21
-0.08 -13.41 UNDEFINE
0.00 UDEFINE UNDEFINE
0.08 13.41 -8.21
0.20 5.20 -2.30
0.40 2.90 -0.63
0.60 2.27 -0.22
0.80 2.05 -0.05
1.00 2.00
Table 1.3: Difference Table of Function f(x) = x +
1
x
.
The plot of above data is given in following figure.
42 Functions
1 2
−1
−2
−3
x
y
b
a b
b
All elements of first order difference (see third column in table 1.3) for
each x ∈ [−1, 0)∪(0, 1] are negative. Hence function is continuously decreas-
ing in domain −1 ≤ x ≤ 1 except x = 0. At x = 0, function is undefined. It
means, function does not exists at x = 0.
Solved Problem 1.48 Prove that whether function y =
4 sin(x)
2 + cos(x)
− x is
increasing function within range of [0, π/2].
Solution Constructing the first order difference table using Excell soft-
ware for the given function as shown below:
x y ∆y
0.00 0.00 0.07
0.20 0.07 0.07
0.40 0.13 0.07
0.60 0.20 0.06
0.80 0.26 0.06
1.00 0.32 0.05
1.20 0.38 0.04
1.40 0.42 0.01
1.57 0.43
Table 1.4: Difference Table of Function y =
4 sin(x)
2 + cos(x)
− x.
The plot of above data is given in following figure.
1.3. INCREASING-DECREASING FUNCTION 43
1 2
x
y
b
a b
b
All elements of first order difference (see third column of table 1.4) are
positive. Hence function is continuous increasing function within the domain
of 0 ≤ x ≤ π/2.
Solved Problem 1.49 Prove that y = loge x is increasing function in the
interval [0, 2]. Apply corrected value of domain limits within error not more
than 0.01.
Solution As we know that at x = 0, ln(0) is −∞ irrespective of its base.
So, we can not take x = 0 during the construction of table. So, we correct
the domain of x as [0.01, 2]. Constructing the first order difference table
using Excell software for the given function as shown below:
x y ∆y
0.01 -4.61 3.00
0.20 -1.61 0.69
0.40 -0.92 0.41
0.60 -0.51 0.29
0.80 -0.22 0.22
1.00 0.00 0.18
1.20 0.18 0.15
1.40 0.34 0.13
1.60 0.47 0.12
1.80 0.59 0.11
2.00 0.69
Table 1.5: Difference Table of Function y = loge x.
The plot of above data is given in following figure.
44 Functions
1 2
x
y
b
a b
b
All elements of first order difference (see third column of table 1.5) are
positive. Hence function is continuous increasing function within the domain
of 0  x ≤ 2.
Solved Problem 1.50 Prove that y = x loge x is increasing function in the
interval (0, 0.368] and decreasing function in the interval of [0.368, 2].
Solution As we know that at x = 0, ln(0) is −∞ irrespective of its base.
So, we can not take x = 0 during the construction of table. So, we correct
the domain of x as [0.01, 2]. Constructing the first order difference table
using Excell software for the given function as shown below:
1.3. INCREASING-DECREASING FUNCTION 45
x y ∆y
0.01 -0.05 -0.28
0.20 -0.32 -0.02
0.25 -0.35 -0.01
0.30 -0.36 -0.01
0.35 -0.37 0.00
0.40 -0.37 0.06
0.60 -0.31 0.13
0.80 -0.18 0.18
1.00 0.00 0.22
1.20 0.22 0.25
1.40 0.47 0.28
1.60 0.75 0.31
1.80 1.06 0.33
2.00 1.39
Table 1.6: Difference Table of Function y = x loge x.
The plot of above data is given in following figure.
1 2
x
y
b
a b
b
The function value at x = 0.35 and x = 0.40 are nearly equal. Hence
function changes its direction, i.e. function inversion take place, at a point
situated within the 0.35 and 0.40. Elements of first order difference (see
third column of table 1.6) changes their sign from negative to positive at x =
0.35. Hence function is continuous decreasing function within the domain
of 0  x ≤ 0.35 and continusou increasing function within the domain of
0.35 ≤ x ≤ 2. If we use more precision value of x, the point of function
46 Functions
inversion is about at x = 0.368.
x y ∆y
0.366 -0.367875 -0.000004
0.367 -0.367878 -0.000001
0.368 -0.367879 0.000002
0.369 -0.367878 0.000004
0.370 -0.367873 0.000007
0.371 -0.367866
1.4 Modulo Function
An operator that makes a function positive irrespective of whether it was
positive or negative is called mod. It is denoted by two vertical lines ‘|’ before
and after the whole function. Functions having one or more mod term is
called modulo function. For example if f(x) is a function of ‘x’ such that
f(x) = −x + 1 (1.9)
Then its mod is
|f(x)| = | − x + 1| (1.10)
f(x) is either positive or negative, after mod it becomes positive. Modulo
functions are sometime known as absolute functions.
1.4.1 Sub-equations of Modulo Function
Let a function is defined by f(x) = |x|. This function can be written into
two sub function. To find the point about which the mod function is being
resolved in sub function, we put whole term inside the mod, equal to zero.
So, x = 0. Now, we can write subfunction about this point as given below:
f(x) = −x when x  0 (1.11)
Minus sign is applied, and removing the | operator, to whole term inside the
mod operator when x is left side to this point, say 0 here. While plus sign is
1.4. MODULO FUNCTION 47
applied, and removing the | operator, to whole term inside the mod operator
when x is at and right side to this point, say 0 here.
f(x) = x when x ≥ 0 (1.12)
Though the mod function is separated in two sub-equations, but it has same
result when value of x is placed in the function f(x) given in equation (1.11)
and equation (1.11).
Case-I : When x is negative, then all values of x are less than zero
(x  0), i.e. values of x lies left side to the zero in number line. For all real
values, when x is substituted with its sign, i.e. x is substituted by −x then
subfunction becomes
f(x) = −(−x) = x (1.13)
Case-II : When x is positive, then all values of x are greater than or
equal to zero (x ≥ 0), i.e. values of x lies at and right side to the zero in
number line. For all real values, when x is substituted with its sign, i.e. x
is substituted by +x then
f(x) = x (1.14)
0 1 2 3
0
−1
−2
−3
f(x) = x
f(x) = −x
b
Thus in each case, whatever is the real value of x is, function value
is always positive, i.e. greater than or equal to zero. While writing sub
functions of the given mod function, whole term inside the mod operator is
taken as less than zero or greater than zero. For example, consider the mod
function
f(x) = |x − 1|
To find the inequality point, we put whole term inside mod, i.e. x− 1, equal
to zero. So, x − 1 = 0 and it gives x = 1. Now the mod function is written
in sub functions about x = 1.
0 1 2 3 4
0
−1
−2
−3
−4
f(x) = x − 1
f(x) = −(x − 1)
b
Figure 1.5: Subfunctions along number line.
48 Functions
f(x) =

−(x − 1) when x  1
x − 1 when x ≥ 1
1
1 2 3
−1
x
y
Figure 1.6: Plot of mod function f(x) = |x − 1|.
Solved Problem 1.51 Simplified the relation f(x) = |x + 2| − 4.
Solution The modulus function is
f(x) = |x + 2| − 4
The mod term of this function will be zero when
x + 2 = 0 ⇒ x = −2
Hence the inversion point for the mod function is x = −2. It means if x  −2
then x + 2 should be multiply with −1 so that x + 2 remains positive. Now
resolute this function into sub equations
f(x) =

−(x + 2) − 4 When x  −2
x + 2 − 4 When x ≥ −2
On simplifying it
f(x) =

−x − 6 When x  −2
x − 2 When x ≥ −2
The function value at x = −2 is
f(−2) = −4
The function will intersect the x axis at −x − 6 = 0 ⇒ x = −6 and x − 2 =
0 ⇒ x = 2. The plot of this function is
1.4. MODULO FUNCTION 49
2
−2
−4
2
−2
−4
−6
−8
x
y
Solved Problem 1.52 Separate function f(x) =
|x2
− 1|
x + 1
in sub-functions.
Solution The modulus function is
f(x) =
|x2
− 1|
x + 1
The mod term of this function will be zero or more when
x2
− 1 = 0 ⇒ x = ±1
Hence the inversion point for the mod function is x = −1 and x = +1. But
x = −1 is not acceptable as at this point numerator and denominator will
be 0 and the function become undermined. Now only at x = 1 modulus
term will be zero. x = −1 is an open point hence function is not continuous
at this point. The piece-wise resolution of the given function is
f(x) =









−(x2
− 1)
x + 1
When − 1  x  1
x2
− 1
x + 1
When x ≥ 1  x  −1
On simplifying it
f(x) =









1 − x2
x + 1
When − 1  x  1
x2
− 1
x + 1
When x ≥ 1  x  −1
The function value at x = 1 are respectively
f(1) = 0
50 Functions
The plot of this function is
1
−1
−2
−3
1 2
−1
−2
−3
x
y
Solved Problem 1.53 Draw the graph of mod function y = |x|.
Solution The modulus function is
f(x) = |x|
The mod term of this function will be zero when x = 0. Hence the inversion
point for the mod function is x = 0. It means if x  0 then x should be
multiply with −1 so that x remains equal to |x|. Now resoluting this function
into sub equations
f(x) =

−x When x  0
x When x ≥ 0
The function value at x = 0 is
f(0) = 0
The function will increase continuously when x varies from 0 to ±I. The
plot of this function is
1
1 2
−1
−2
−3
x
y
1.4. MODULO FUNCTION 51
Solved Problem 1.54 Draw the graph for y = −6|x|.
Solution The modulus function is
f(x) = −6|x|
The mod term of this function will be zero when x = 0. Hence the inversion
point for the mod function is x = 0. It means if x  0 then x should be
multiply with −1 so that x remains equal to |x|. Now resoluting this function
into sub equations
f(x) =

−6(−x) When x  0
−6x When x ≥ 0
On simplification
f(x) =

6x When x  0
−6x When x ≥ 0
The function value at x = 0 is
f(0) = 0
The function will decrease continuously when x varies from 0 to ±I. The
plot of this function is
−6
−12
1 2
−1
−2
−3
x
y
Solved Problem 1.55 Draw the graph for y = 2|x| + |x − 1|.
Solution In this function, there are two modulo parts. First modulo
will be zero when x = 0. Second modulo will be zero when x − 1 = 0, i.e.
x = 1. There are two inequality points. This function can be converted into
piecewise function as
y =

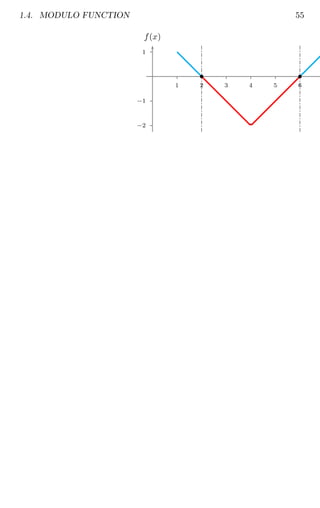


−2x − (x − 1) when x  0
2x − (x − 1) when 0 ≥ x  1
2x + (x − 1) when x ≥ 1
52 Functions
Or
f(x) =



−3x + 1 when x  0
x + 1 when 0 ≥ x  1
3x − 1 when x ≥ 1
This function is continuously decreasing in the domain of −∞  x  0 and
continuously increasing in the domain of x  0. The function is critical at
x = 1. The sketch of the function is shown in the figure below.
1
2
3
1
−1
x
f(x)
b
b
Solved Problem 1.56 Draw the graph for y = |x + 2| − 3|x − 1|.
Solution In this function, there are two modulo parts. First modulo will
be zero when x + 2 = 0, i.e. x = −2. Second modulo will be zero when
x − 1 = 0, i.e. x = 1. There are two inequality points. This function can be
converted into piecewise function as
y =



−(x + 2) + 3(x − 1) when x  −2
(x + 2) + 3(x − 1) when − 2 ≥ x  1
(x + 2) − 3(x − 1) when x ≥ 1
Or
f(x) =



2x − 5 when x  −2
4x − 1 when − 2 ≥ x  1
−x + 5 when x ≥ 1
This function is continuously increasing in the domain of −∞  x  1 and
continuously decreasing in the domain of x  1. The function is critical at
x = −2 also. The sketch of the function is shown in the figure below.
1.4. MODULO FUNCTION 53
4
−4
−8
1
−1
−2
−3
x
f(x)
Solved Problem 1.57 Find the value of x for which function f(x) = |x+1|−2
is negative.
Solution The modulo part will be zero when x + 1 = 0, i.e. x = −1.
This function can be converted into piecewise function as
f(x) =

−(x + 1) − 2 when x  −1
(x + 1) − 2 when x ≥ −1
Or
f(x) =

−x − 3 when x  −1
x − 1 when x ≥ −1
If function will be negative if −x − 3  0, i.e. x  −3 and x − 1  0,
i.e. x  1. Here conditions of x for piecewise function is used just only to
expand the modulo function and it is meaningless for function being positive
or negative in this question. Hence in the domain of −3  x  1, function
will be negative.
1
−1
−2
1
−1
−2
−3
−4
x
f(x)
Solved Problem 1.58 Find the value of x for which function f(x) = |x| − 2
has zero value.
54 Inequality
Solution The modulo part will be zero when x = 0, i.e. x = 0. This
function can be converted into piecewise function as
f(x) =

−x − 2 when x  0
x − 2 when x ≥ 0
If function will be zero if −x − 2 = 0, i.e. x = −2 and x − 2 = 0, i.e.
x = 2. Here conditions of x for piecewise function is used just only to
expand the modulo function and it is meaningless for function being zero in
this question. Hence function will be zero at x = −2, 2.
1
−1
−2
1 2
−1
−2
x
f(x)
b b
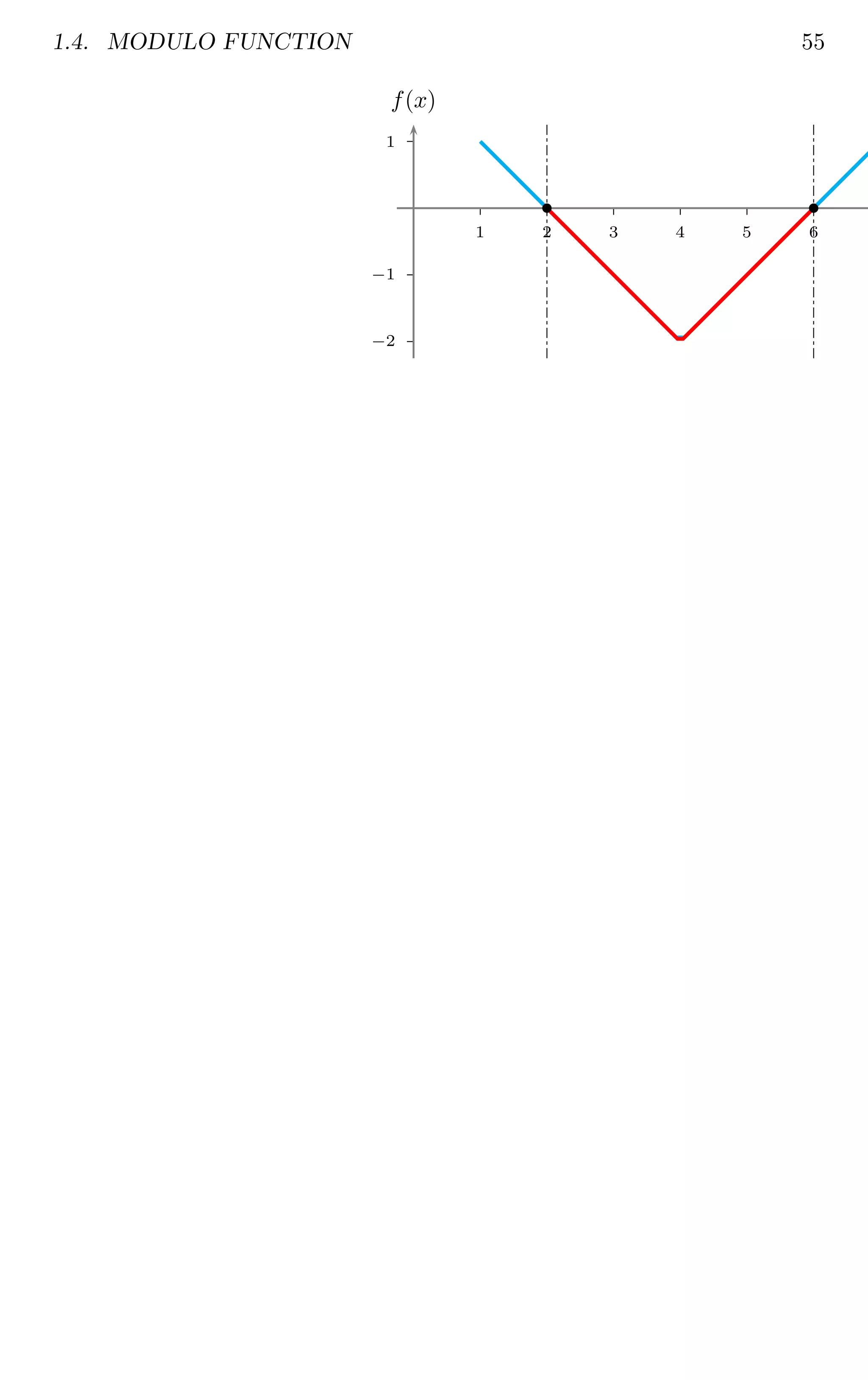
Solved Problem 1.59 Find the value of x for |x − 4| − 2 = 0.
Solution The modulo part will be zero when x − 4 = 0, i.e. x = 4. Left
hand side of the above relation is assumed as function f(x). This function
can be converted into piecewise function as
f(x) =

−(x − 4) − 2 when x  4
(x − 4) − 2 when x ≥ 4
Or
f(x) =

−x + 2 when x  4
x − 6 when x ≥ 4
If function will be zero if −x+2 = 0, i.e. x = 2 and x−6 = 0, i.e. x = 6. Here
conditions of x for piece-wise function is used just only to expand the modulo
function and it is meaningless for function being zero in this question. Hence
function will be zero at x = 2, 6.
1.4. MODULO FUNCTION 55
1
−1
−2
1 2 3 4 5 6
x
f(x)
b b
56 Inequality
2.1. INEQUALITIES 57
2Inequality
2.1 Inequalities
An inequality is a statement about the relative size or order of two objects,
or about whether they are the same or not. For example
1. The notation a  b means that a is lesser than b.
2. The notation a  b means that a is greater than b.
3. The notation a = b means that a is equal to b.
In each above statement, a is not equal to b. These relations are known as
strict inequalities. The notation a  b may also be read as “a is strictly fewer
than b”. In contrast to strict inequalities, there are two types of inequality
statements that are not strict:
1. The notation a ≤ b means that a is lesser than or equal to b.
2. The notation a ≥ b means that a is greater than or equal to b.
An additional use of the notation is to show that one quantity is much greater
than another, normally by several orders of magnitude.
1. The notation a  b means that a is much fewer than b.
2. The notation a  b means that a is much greater than b.
If the sense of the inequality is the same for all values of the variables for
which its members are defined, then the inequality is called an “absolute”
or “unconditional” inequality. If the sense of an inequality holds only for
certain values of the variables involved, but is reversed or destroyed for other
values of the variables, it is called a conditional inequality.
2.1.1 Properties of Inequalities
Inequalities are governed by the following properties.
58 Inequality
2.1.2 Transitivity
The transitivity of inequalities states for any real numbers, a, b and c then
1. If a  b and b  c, then a  c.
2. If a  b and b  c, then a  c.
3. If a  b and b = c, then a  c.
4. If a  b and b = c, then a  c.
2.1.3 Addition and subtraction
The properties that deal with addition and subtraction state for any real
numbers, a, b and c
1. If a  b then a + c  b + c and a − c  b − c.
2. If a  b then a + c  b + c and a − c  b − c.
2.1.4 Multiplication and Division
The properties that deal with multiplication and division state for any real
numbers, a, b and c
1. If c is positive number and a  b then ac  bc and a/c  b/c.
2. If c is negative number and a  b then ac  bc, then a/c  b/c.
More generally this applies for an ordered field.
2.1.5 Additive inverse
In additive inverse state for any real numbers, a and b, are in relation a  b.
If −1 is multiplied both side of the inequality relation, the inequality relation
is inversed. i.e. −a  −b. Similarly, if a  b then −a  −b.
Solved Problem 2.1 Solve the inequality
x
3

−x + 4
6
.
Solution Given inequality is
x
3

−x + 4
6
Applying cross multiplication
6x  −3x + 12
2.1. INEQUALITIES 59
Or
−12  −9x
Multiplying both side by −1.
12  9x
Or x should be greater than 4/3.
2.1.6 Multiplicative Inverse
The properties for the multiplicative inverse state for any non-zero real num-
bers a and b that are
Both Positive or Both Negative
I If a  b then 1/a  1/b.
II If a  b then 1/a  1/b.
Either a or b Negative
I If a  b then 1/a  1/b.
II If a  b then 1/a  1/b.
Solved Problem 2.2 Solve the inequality
1
2

x
4
.
Solution The given inequality is
1
2

x
4
Applying cross multiplication
1
x

1
2
Applying multiplicative inverse
x  2
Hence the value of ‘x’ should be less than ‘2’ for the given inequality.
2.1.7 Interval Notion In Inequality
The inequalities are expressed by using interval notation. For example (a, ∞)
refers to the interval of all real numbers greater than a. Left hand parenthesis
( denotes that value a is not to be included and right hand parenthesis )
indicates that end values are not included. Again in [a, ∞], left and right
60 Inequality
hand parenthesis indicates that end values are included. End values which
are included are denoted by solid dots. End values which are not included
are denoted by circular dot.
Table 2.1: Notation of end points.
Set Graph Interval Notation
x  a (a, ∞)
x ≥ a [a, ∞)
x  b (−∞, b)
x ≤ b (−∞, b]
bc
x
a
b
x
a
bc
x b
b
x b
Answer Set
In inequality, answer set is a group of those values which are solutions of
variable of the given inequality. For example, for given inequality 0  x  3
where x ∈ I has only two solutions, i.e. x = 1 and x = 2. These two
solutions satisfy the inequality relation. So, solution set or answer set of x
is
x = {1, 2}
Note that, here, x is an integer type data. If it is a real type number, then
there are infinite numbers of solutions for the given inequality. In this case,
solution set (S) is represented by set builder form as
S = {x : x ∈ R, where 0  x  2}
Solved Problem 2.3 Solved the inequality 1.5 ≤
x − 2
3
≤ 2 and denote
solutions in answer set form. Take (i) x ∈ R and (ii) x ∈ I.
Solution The given inequality is
1.5 ≤
x − 2
3
≤ 2
Or
4.5 ≤ x − 2 ≤ 6 ⇒ 6.5 ≤ x ≤ 8
2.1. INEQUALITIES 61
1. If x ∈ R then answer set is
S = {x : x ∈ R, where 6.5 ≤ x ≤ 8}
2. If x ∈ I then there is only integer solution and it is x = 7. Now,
answer set is given by x = {7}.
For Real Numbers
All positive or negative real values are called real numbers, i.e. 1, 2, 2.5,
−3.125 and so on are real numbers. Consider an inequality x  2 where
x ∈ R. In this inequality, value of x is less than 2. It means x is any real
value, either whole integers or fractions or decimals that is ranging between
−∞ to 2 (excluding end values). These values of x are represent in number
line by a line, joining these two open end points1
.
−4 −3 −2 −1 0 1 2 3
bc
Similarly inequality −2  x  2 where x ∈ R is represent in number line
by a line, joining these two open ends points.
−4 −3 −2 −1 0 1 2 3
bc
bc
Here line drawn between two limits represents all values even if they
are very small differences, like 1.0000001 and 1.0000002, and so on. When
solution values are very close, the answer dots in number line, look a like
to a solid line. Solid dot represents to the solution of x, while hollow dot
represents to the limit of x but not the part of the solution of x.
For Integers
Integers are positive and negative real whole numbers. For example, 0, ±1,
±2, . . . are integers. Consider an inequality x  2 where x ∈ I. In this
inequality, value of x is less than 2. It means x shall be any integer value
that is ranging between −∞ to 2 (excluding end values). As the fraction
values of x are not integers, hence only integer solutions of x are represented
in the number line.
1
Open end points are the limits of answer values of inequality variable (x say) and
these end points are part of element of answer set of x
62 Inequality
−4 −3 −2 −1 0 1 2 3
b b b b b b
Similarly inequality −2  x  2 where x ∈ I is represent in number line
by a line, joining these two open ends points.
−4 −3 −2 −1 0 1 2 3
b b b
2.1.8 Compound Statements
In compound statements and and or mechanism is used. For example
1. 1 + 2 = 3 and −1  0 is true.
2. 1 + 2 = 3 and −1  0 is false.
3. 1  3 or 1  0 is true.
4. 1  3 or 1  0 is false.
From set algebra, intersection of two sets A and B is the set of all elements
that are in both A and B. Using set builder notation
A ∩ B = {x : x ∈ A and x ∈ B}
Union of two sets A and B is the set of all elements that are in A or B.
Using set builder notation
A ∪ B = {x : x ∈ A or x ∈ B}
Set Graph Notation
a  x  b (a, b)
a ≤ x  b [a, b)
a  x ≤ b (a, b]
a ≤ x ≤ b [a, b]
bc bc
b bc
bc b
b b
Table 2.2: Notation of two end points.
2.1.9 Linear Inequality
Suppose we have an inequality relation as a ≤ f(x) ≤ b, where f(x) is linear
function. To solve this inequality we construct sub functions as
a ≤ f(x); f(x) ≤ b
2.1. INEQUALITIES 63
On solving these sub functions we have x ≥ A and x ≤ B where A  B then
the domain of inequality is the common points of x represented by these
two inequality solutions. For first case
0 1 2 3 4 5 6
b
A
For second case
0 1 2 3 4 5 6
b
B
Inequality domain of given inequality function is common points of these
two sub inequality function. So
0 1 2 3 4 5 6
b
A
b
B
2.1.10 Quadratic Inequality
Suppose we have a quadratic inequality ax2
+ bx + c ≤ 0. To solve this
inequality, we first make highest degree term positive by multiplying by −1,
if it is negative, then quadratic equation is written in factors form.
(x ± A)(x ± B) ≤ 0
Left hand side is less than or equal to zero. It means product of these
two factors is negative at every inequality domain. This happens when (i)
(x ± A) is positive and (x ± B) is negative, and (ii) (x ± A) is negative and
(x ± B) is positive. Thus we get two pairs of domain of inequality. Now
by observing inequality in the domain, we can get the required inequality
domain for which the inequality is satisfied.
Solved Problem 2.4 Solve inequality 3(2x − 1)  8x − 7 and draw points in
number line.
Solution The given inequality is 3(2x − 1)  8x − 7. On simplification,
it gives
−2x  −4
Dividing both side by 2
−x  −2
Multiplying −1 both side, which givens x  2. In the number line
0 1 2 3 4 5 6
bc
64 Inequality
Solved Problem 2.5 Graph inequalities x  −1 and x  5 in number-line.
Solution According the question, value of x is greater than −1 but it
is less than 5. x is open at both end. So, the graph of inequalities may be
plotted in numberline as given below:
0 1 2 3 4 5 6
0
−1
−2
bc bc
Solved Problem 2.6 Solve the equation and represent the x in number-line
for quadratic equation x2
− 3x + 2  0.
Solution The given inequality is x2
− 3x + 2  0. It can be solved as
(x − 1)(x − 2)  0
Left hand has two factors. The product of factor shall be less than zero, if
one is positive and other is negative. So, (i) when x − 1  0 then x − 2  0
and (ii) when x − 1  0 then x − 2  0. So, the given conditions are (i)
x  1 and x  2 or (ii) x  1 and x  2. The first case does not satisfy the
inequality while second case satisfy the inequality.
0 1 2 3
bc bc
Plot of this inequality is given below:
1
1 2
x
y
Figure 2.1: Plot of inequality x2
− 3x + 2  0.
Solved Problem 2.7 Solve the equation and represent the x in number-line
for quadratic equation 2x2
+ 7x + 3  0.
Solution The given equation is 2x2
+ 7x + 3  0. Solving it, we have
(2x + 1)(x + 3)  0
2.1. INEQUALITIES 65
Left hand has two factors. The product of factor shall be less than zero, if
one is positive and other is negative. So, (i) when 2x + 1  0 then x + 3  0
and (ii) when 2x + 1  0 then x + 3  0. So, the given conditions are (i)
x  −0.5 and x  −3 or (ii) x  −0.5 and x  −3. The first case satisfy
the inequality while second case does not satisfy the inequality. The number
line representation of x is shown in figure 2.2.
0 1
0
−1
−2
−3
−4
bc bc
Figure 2.2: Numberline representation of x for inequality 2x2
+ 7x + 3  0.
The inequality plot is shown below:
1
1
−1
−2
−3
−4
x
y
Figure 2.3: Plot of inequality 2x2
+ 7x + 3  0.
Solved Problem 2.8 Find the set in interval notation and draw graph for
solution of given set of equations x ≥ −2 and x ≤ 2.
Solution The two sets of equations are x ≥ −2 and x ≤ 2. All values of
x lines in [−2, 2]. The graph of values of x in shown in figure 2.4.
0 1 2
0
−1
−2
b b
Figure 2.4: Numberline representation of x for inequality x ≥ −2 and x ≤ 2.
Solved Problem 2.9 Solve the conjunction −1 ≤ x− 3 ≤ 5 by using compact
form and show the solutions in the interval notation in number line.
66 Inequality
Solution The given conjucture is
−1 ≤ x − 3 ≤ 5 ⇒ 2 ≤ x ≤ 8
The domain of inequality is shown below:
0 1 2 3 4 5 6 7 8 9
b b
Figure 2.5: Numberline representation of x for inequality −1 ≤ x − 3 ≤ 5.
Solved Problem 2.10 Solve the conjunction −4 ≤ 3−x ≤ 4 by using compact
form and show the solutions in the interval notation in number line.
Solution The given conjucture is
−4 ≤ 3 − x ≤ 4 ⇒ −7 ≤ −x ≤ 1
On multiplication by −1 in all terms of inequality, we have
7 ≥ x ≥ −1
The domain of inequality is shown below:
0 1 2 3 4 5 6 7
0
−1
b b
Figure 2.6: Numberline representation of x for inequality −4 ≤ 3 − x ≤ 4.
Solved Problem 2.11 Find the values of x for which the inequality x2
−4x+
3 ≥ 0 is true.
Solution The given inequality is
x2
− 4x + 3 ≥ 0
Solving quadratic equation, we have
(x − 3)(x − 1) ≥ 0
This is true if either both x − 3 and x − 1 are either positive or negative.
So,
2.1. INEQUALITIES 67
Both Positive In this case x − 3 ≥ 0 and x − 1 ≥ 0 and it gives x ≥ 3
and x ≥ 1. The common points in this case are x ≥ 3.
Both Negative In this case x−3 ≤ 0 and x−1 ≤ 0 and it gives x ≤ 3 and
x ≤ 1. The common points in this case are x ≤ 1. So, the given inequality
is true when x ∈ (−∞, 1] ∪ [3, ∞). The numberlin and plot is given below:
0 1 2 3 4 5
0
−1
b b
Figure 2.7: Numberline representation of x for inequality x2
− 4x + 3 ≥ 0.
1
1 2 3 4 5
−1
−2
x
y
Figure 2.8: Plot of inequality x2
− 4x + 3 ≥ 0.
Solved Problem 2.12 Find the domain of x for the inequality given by
y − 4y2
+ 3 ≥ 0
Solution The given inequality is
y − 4y2
+ 3 ≥ 0
The critical points of the function are found when
4y2
− y − 3 ≤ 0
Or
(4y + 3)(y − 1) ≤ 0
The inequality is less than zero, if either of both terms at left hand side are
negative. So 4y + 3  0 and y − 1  0 or 4y + 3  0 and y − 1  0. Now,
we have
y  −
3
4
; y  1
68 Inequality
This domain of x satisfied the inequality while
y  −
3
4
; y  1
does not satisfied to inequality.
1
−1
1
−1
x
y
Figure 2.9: Plot of y − 4y2
+ 3 ≥ 0.
Hence, nequality y − 4y2
+ 3 ≥ 0 is true when x  −3/4 or x  1
Solved Problem 2.13 Solve and show the solution set in number line of given
inequality
(x + 2)(x − 3)  (x + 1)(x − 1)
Solution The given inequality is
(x + 2)(x − 3)  (x + 1)(x − 1)
On simplification of this inequality, we have
−x − 6  −1
Solution set of x is x  −5, which is shown in the number line in below
figure.
0
−1
−2
−3
−4
−5
−6
−7
bc
2.1. INEQUALITIES 69
Solved Problem 2.14 Find the region enclosed by the following inequalities.
y  0; x  0
Solution The inequality, y  0 encloses region above the x-axis. While,
inequality x  0 encloses region right of the y-axis. So the enclosed region
is first quadrant of the two dimensional xy-plane.
1
−1
1
−1
−2
x
y
1
−1
1
−1
−2
x
y
Solved Problem 2.15 Find the region enclosed by a line and a circle as given
by inequalities.
y  1; x2
+ y2
 4
Solution There are two inequality equations. The enclosed region is
between the two curves. The first equality is
y  1
which represents the region below the line y = 1. Similarly, the second
inequality equation
x2
+ y2
 4
represents to a circle of radius 2 and this inequality represents to the region
inside the circle. The common region is shown in the figure below:
70 Inequality
1
2
−1
−2
1 2
−1
−2
x
y
1
2
−1
−2
1 2
−1
−2
x
y
2.1.11 Quotients and Absolute Inequalities
Inequality given in quotient form is known as quotient inequality. For ex-
ample
f(x)
g(x)
 k
involves the quotient inequality. Absolute value of a real number is given by
|a| =

a if a ≥ 0
−a if a  0
There are common points which should be remember while solving the in-
equality.
1. If highest degree terms of numerator and denominator are negative
then they should be made positive by suitable multiplication of −1.
2. If under the conditions, numerator and denominator gives same re-
lation for variable, then the domain of variable is always taken from
minimum or maximum value. For example, if x  a for numerator and
x  b for denominator then domain of x will be started from the value
of x that is least. The same is applicable for ‘greater than’ relation.
3. If inequality is positive then both numerator and denominator should
be either positive or negative. If function is in form of
f(x)
g(x)
≥ ±k
Then it should be rearranged as
f(x)
g(x)
± k ≥ 0 ⇒
f(x) ± kg(x)
g(x)
≥ 0
Now this new inequality shall be solved as explained above.
2.1. INEQUALITIES 71
4. If inequality is negative then denominator must be positive and numer-
ator should be negative. Only common values of x are the required
domain of the inequality. If function is in form of
f(x)
g(x)
≤ ±k
Then it should be rearranged as
f(x)
g(x)
± k ≤ 0 ⇒
f(x) ± kg(x)
g(x)
≤ 0
Now this new inequality shall be solved as explained above.
5. In modulus quotient functions, the points for conditions are obtained
by squaring both sides of the inequality. For example the points of
conditions of the inequality
f(x)
g(x)
≤ k
are obtained by solving the above inequality by squaring and simpli-
fying like
f(x)
g(x)

Principle of Function Analysis - by Arun Umrao

  • 1.
  • 2.
    2 Contents 1 Functions 5 1.1Function . . . . . . . . . . . . . . . . . . . . . . . . . . . . . . 5 1.1.1 Type of Function . . . . . . . . . . . . . . . . . . . . . 7 Algebraic Function . . . . . . . . . . . . . . . . . . . . 7 Trigonometric Function . . . . . . . . . . . . . . . . . 7 Logarithmic Function . . . . . . . . . . . . . . . . . . 7 Integral Function . . . . . . . . . . . . . . . . . . . . . 8 Rational Fraction . . . . . . . . . . . . . . . . . . . . . 8 Rational Function . . . . . . . . . . . . . . . . . . . . 8 Explicie & Implicit Function . . . . . . . . . . . . . . 8 1.1.2 Unique Values of Function . . . . . . . . . . . . . . . . 9 1.1.3 Odd & Even Function . . . . . . . . . . . . . . . . . . 9 1.1.4 Properties of Odd-Even Functions . . . . . . . . . . . 10 1.1.5 Homogeneous Function . . . . . . . . . . . . . . . . . 18 1.1.6 Linear Function . . . . . . . . . . . . . . . . . . . . . . 19 1.1.7 Inverse Function . . . . . . . . . . . . . . . . . . . . . 19 1.1.8 Sampling of Function . . . . . . . . . . . . . . . . . . 20 1.1.9 Piece-wise Function . . . . . . . . . . . . . . . . . . . 22 1.2 Sketch the Function . . . . . . . . . . . . . . . . . . . . . . . 23 1.2.1 Straight Line . . . . . . . . . . . . . . . . . . . . . . . 28 1.2.2 Domain & Range . . . . . . . . . . . . . . . . . . . . . 31 Ordered Pairs . . . . . . . . . . . . . . . . . . . . . . . 32 Ordered Pairs from Function . . . . . . . . . . . . . . 33 1.2.3 Function in Different Domains . . . . . . . . . . . . . 33 1.3 Increasing-Decreasing Function . . . . . . . . . . . . . . . . . 35 1.4 Modulo Function . . . . . . . . . . . . . . . . . . . . . . . . . 46 1.4.1 Sub-equations of Modulo Function . . . . . . . . . . . 46 2 Inequality 57 2.1 Inequalities . . . . . . . . . . . . . . . . . . . . . . . . . . . . 57 2.1.1 Properties of Inequalities . . . . . . . . . . . . . . . . 57 2.1.2 Transitivity . . . . . . . . . . . . . . . . . . . . . . . . 58 2.1.3 Addition and subtraction . . . . . . . . . . . . . . . . 58 2.1.4 Multiplication and Division . . . . . . . . . . . . . . . 58 2.1.5 Additive inverse . . . . . . . . . . . . . . . . . . . . . 58 2.1.6 Multiplicative Inverse . . . . . . . . . . . . . . . . . . 59 2.1.7 Interval Notion In Inequality . . . . . . . . . . . . . . 59 Answer Set . . . . . . . . . . . . . . . . . . . . . . . . 60 For Real Numbers . . . . . . . . . . . . . . . . . . . . 61 For Integers . . . . . . . . . . . . . . . . . . . . . . . . 61
  • 3.
    3 2.1.8 Compound Statements. . . . . . . . . . . . . . . . . . 62 2.1.9 Linear Inequality . . . . . . . . . . . . . . . . . . . . . 62 2.1.10 Quadratic Inequality . . . . . . . . . . . . . . . . . . . 63 2.1.11 Quotients and Absolute Inequalities . . . . . . . . . . 70
  • 4.
  • 5.
    1.1. FUNCTION 5 1Functions 1.1Function A function f relates with each element of x of a set, say Df , with exactly one element y of the another set, say Rf . Here Df is called domain of function f and Rf is called range of function f. Here x is independent variable while y is called dependent variable. Solved Problem 1.1 Assume a function f(x) = √ x − 2, where x ∈ I Solution Let x ∈ I then for real value of f(x), √ x − 2 must be positive and x − 2 ≥ 0. Which gives x ≥ 2. The domain of all real number of x is x = {2, 3, 4, . . ., ∞} The range of function is R = n 0, 1, 2, √ 3, . . . , ∞ o respectively. The table is given below. x 2 3 4 5 . . . ∞ f(x) √ 0 √ 1 √ 2 √ 3 . . . ∞ Table 1.1: The data table of the function y = √ x − 2. This data is plotted in the graph in Polar form as well as Cartesian form as shown below. 1 2 1 2 3 4 5 6 7 8 9 x y Figure 1.1: Polar (blue) & Cartesian (red) plot of the function y = √ x − 2.
  • 6.
    6 Functions Solved Problem1.2 Assume a function f(x) = x x2 − 4 , where x ∈ I. Solution Let x ∈ I then for real and finite value of f(x), x2 − 4 must not be zero. The domain of all real number of x is −∞ to ∞ except x = 2 and x = −2. At x = ±2 the value of f(x) is tends to ±∞. The range of function is −∞ to ∞. The table is given below. x −∞ . . . -3 -2 -1 0 1 2 3 . . . ∞ f(x) 0 . . . -0.6 −∞ -0.33 0 0.33 ∞ 0.6 . . . 0 The data is plotted as show below. 1 2 3 −1 −2 −3 1 2 3 4 5 −1 −2 −3 −4 −5 x y Figure 1.2: Plot of the function y = x x2 − 4 . Solved Problem 1.3 Assume a function f(x) = x4 − x2 , where x ∈ I. Solution Let x ∈ I then for real and finite value of f(x), the domain of all real number of x is −∞ to ∞. The range of function is −0.25 to ∞. The table is given below. x −∞ . . . -1 -0.5 0 0.5 1 . . . ∞ f(x) −∞ . . . 0 -0.19 0 0.19 0 . . . ∞
  • 7.
    1.1. FUNCTION 7 Thisdata is plotted as shown below. 1 1 −1 x y Figure 1.3: Plot of the function y = x4 − x2 . 1.1.1 Type of Function Algebraic Function A function is said to be algebraic function, if its all terms have only exponents and constants. For example, f(x) = ax2 + bx + c is an algebraic function. Trigonometric Function A function is said to be trigonometric function, if its all terms have only trigonometric function and constants. For example, f(x) = sin x + cos x + c is a trigonometric function. Phase in Trigonometric Functions A trigonometric function is in its general form y1 = a sin θ. Another trigonometric function y2 is said to have a phase of φ with the function y1 if it is written as y2 = a sin(θ + φ) It means that y2 is always lead to y1 by an angle φ to y1. The function value is instantaneous value at any angle θ. The relative peak values of trigonometric functions, which are in phase, are measured by graph method or by simple computation method. Logarithmic Function A logarithmic function contains logarithmic function of any base, like ln, log or exponential of base ‘e’. For example, f(x) = ln x + ex + c is a logarithmic function.
  • 8.
    8 Functions Integral Function Afunction which represents to a polynomial equation that has only positive integral powers to its independent variable, say t or x or θ, is called an integral function of t or x or θ respectively. For example f(x) = 2−x+x2 − 4x3 is an integral function of x. Rational Fraction A rational fraction of a variable t (say), is a fraction whose numerator and denominators are rational functions of the same variable t. For example f(x) = x2 − 4 x3 − 2 is a rational fraction. Again, note that, the degree of numerator in a rational fraction should not be equal to or greater than the degree of its denominator. Rational Function A rational function of a variable t, is an algebraic function which has not a single variable that have fractional powers. For example f(x) = 2 − x + x2 − 4 x3 − 2 is a rational function. While f(x) = 2 − x + √ x − 4 x3 − 2 is not a rational function. Again, note that, the degree of numerator should not equal to or greater than the degree of its denominator in its fractional part. Explicie & Implicit Function Explicit functions are those functions, in which dependent variable is directly related to the independent variable. For example, in y = x2 − 4x − 3, y is explicit function of x, as y is directly related to x. Values of y can be found by solving this relation. In implicit functions, dependent variable is not directly related to the independent variable. For example, in the group of equations y = x2 − 4x − 3; y + sin(y) = x y is implicit function of x. Here, y is directly related to x. Values of y can no be found by just solving these relations.
  • 9.
    1.1. FUNCTION 9 1.1.2Unique Values of Function A function gives one unique value of one or more different input values or one or more unique outputs of one input value. It depends on the function. A function which has root part, may give two or more unique outputs which function free from root parts gives one unique output for two or more inputs. Solved Problem 1.4 Find the unique outputs of the function y = x2 − 1 for x ∈ {2, 3}. Solution As x ∈ {2, 3}, hence, the unique values of x shall be only 2 and 3. Therefore, unique value of the function y = x2 − 1 are y = 3 at x = 2 and y = 8 at x = 3 respectively. These unique values of the function are obtained by just substituting the value of x. Solved Problem 1.5 Find the unique outputs of the function y = p x2 + 2x + 1 for x ∈ {2, 3}. Solution As x ∈ {2, 3}, hence, the unique values of x shall be only 2 and 3. Therefore, unique value of the function y = p x2 + 2x + 1 are y = 3 at x = 2 and y = 4 at x = 3 respectively. These unique values of the function are obtained by just substituting the value of x. 1.1.3 Odd & Even Function Odd Function A function is said to be odd function if it becomes negative when its independent variable is substituted by negative independent vari- able. For example if f(x) is a function of x then it said to be odd function if f(x) = f(−x) = −f(x) (1.1) Odd functions do not plot symmetrical plots about any axis, this is why, it is also called anti-symmetric function. Even Function A function is said to be even function if it remains same when its independent variable is substituted by negative independent vari- able. For example if f(x) is a function of x then it said to be even function if f(x) = f(−x) = f(x) (1.2) Even functions are plotted symmetrical about the axes, this is why, it is also called symmetric function.
  • 10.
    10 Functions 1.1.4 Propertiesof Odd-Even Functions I. Product of odd and even function is an odd function. For example, if f(x) and g(x) are odd and even function respectively, then F(x) = f(x)∗g(x) is an odd function. II. Product of two odd or two even function is an even function. For example, if f(x) and g(x) are either both odd or both even functions respec- tively, then F(x) = f(x) ∗ g(x) is an even function. III. If f(x) is a function of x then it can be transformed into its odd and even parts. Function f(x) can be written as its odd and even parts by f(x)o = f(x) − f(−x) 2 (1.3) and f(x)e = f(x) + f(−x) 2 (1.4) IV. An algebraic function is sum of its odd and even parts. ie f(x) = f(x)o + f(x)e (1.5) An even part of the pure linear algebraic function has only algebraic terms of even degree while odd part of the pure linear algebraic function has only algebraic terms odd degrees. But this case is not true for fractions and trigonometric functions. Solved Problem 1.6 Show that y = sin(x) is an odd function. Solution From the definition of the odd function, independent variable ‘x’ is replaced by ‘-x’. Now y = sin(−x) = − sin(x) Or − sin(x) ⇒ −y Hence it is an odd function.
  • 11.
    1.1. FUNCTION 11 x y sinx x y − sin x Solved Problem 1.7 Show that y = cos(x) is an odd function. Solution From the definition of the odd function, independent variable ‘x’ is replaced by ‘-x’. Now y = cos(−x) = cos(x) Or cos(x) ⇒ y Hence it is an odd function. x y cos x x y − cosx Solved Problem 1.8 Check whether y = x2 − 2x is an odd function. Solution From the definition of the odd function, independent variable ‘x’ is replaced by ‘-x’. Now y = (−x)2 − 2(−x) = x2 + 2x Or x2 + 2x ; y ; −y Hence it is neither odd nor even function. x y y = x2 − 2x x y y = x2 + 2x
  • 12.
    12 Functions Solved Problem1.9 Check whether function y = 10−6x−x2 is odd or even. Solution To check the function being odd or even, replace ‘x’ by ‘-x’ in the given function y = 10 − 6x − x2 . y = 10 − 6(−x) − (−x)2 = 10 + 6x − x2 Now 10 + 6x − x2 ; y ; −y Hence it is neither odd nor even function. Solved Problem 1.10 Check whether function y = 9x + x3 is odd or even. Solution To check the function being odd or even, replace ‘x’ by ‘-x’ in the given function y = 9x + x3 . y = 9(−x) + (−x)3 = −9x − x3 Now − 9x + x3 ⇒ −y Hence it is odd function. Solved Problem 1.11 Check whether function y = x4 − 6x2 − 9 is odd or even. Solution To check the function being odd or even, replace ‘x’ by ‘-x’ in the given function y = x4 − 6x2 − 9. y = (−x)4 − 6(−x)2 − 9 = x4 − 6x2 − 9 Now x4 − 6x2 − 9 ⇒ y Hence it is even function. Solved Problem 1.12 Check whether function y = sin(x) cos(x) is odd or even. Solution To check the function being odd or even, replace ‘x’ by ‘-x’ in the given function y = sin(x) cos(x). y = sin(−x) cos(−x) = − sin(x) cos(x) Now − sin(x) cos(x) ⇒ −y Hence it is odd function.
  • 13.
    1.1. FUNCTION 13 SolvedProblem 1.13 Transform the functions y = x4 − 2x3 + x + 4 in their odd or even parts. Solution To transform the function into odd and even form, relation f(x)o = f(x) − f(−x) 2 and f(x)e = f(x) + f(−x) 2 are used. Now, odd part of the function is yo = x4 − 2x3 + x + 4 − (−x)4 − 2(−x)3 + (−x) + 4 2 It gives yo = x4 − 2x3 + x + 4 − x4 + 2x3 − x + 4 2 yo = x4 − 2x3 + x + 4 − x4 − 2x3 + x − 4 2 yo = −2x3 + x 1] Again for even part of the function is ye = x4 − 2x3 + x + 4 + (−x)4 − 2(−x)3 + (−x) + 4 2 It gives ye = x4 − 2x3 + x + 4 + x4 + 2x3 − x + 4 2 ye = x4 − 2x3 + x + 4 + x4 + 2x3 − x + 4 2 ye = x4 + 4 Solved Problem 1.14 Transform the functions y = x4 − 5x2 − x + 7 in their odd or even parts. Solution Odd and even parts of the given function are yo = y(x) − y(−x) 2
  • 14.
    14 Functions and ye = y(x)+ y(−x) 2 Hence odd part of the function is yo = (x4 − 5x2 − x + 7) − [(−x)4 − 5(−x)2 − (−x) + 7] 2 yo = x4 − 5x2 − x + 7 − x4 + 5x2 − x − 7] 2 yo = −x 1] We know that a function can be written as the sum of its odd and even parts. It means the even part of the function is subtraction of the function by odd part. Hence ye = x4 − 5x2 + 7 Solved Problem 1.15 Transform the functions y = x8 − 2x7 + x4 + 5 in its odd and even parts. Solution Using the direct method, odd part of the function is yo = −2x7 and even part of the function is ye = x8 + x4 + 5 Solved Problem 1.16 Transform the functions y = x8 − 2x7 − x3 + x4 + 5 in its odd and even parts. Solution Using the direct method, odd part of the function is yo = −2x7 − x3 and even part of the function is ye = x8 + x4 + 5
  • 15.
    1.1. FUNCTION 15 SolvedProblem 1.17 Express f(x) into its odd and even parts. Function f(x) is given by f(x) = x4 − 2x3 + x2 − 5x + 7 Also show that the function is sum of its odd and even parts. Solution We know that the odd part of the function can be found as f(x)o = f(x) − f(−x) 2 f(x)o = x4 − 2x3 + x2 − 5x + 7 − (−x)4 − 2(−x)3 + (−x)2 − 5(−x) + 7 2 = x4 − 2x3 + x2 − 5x + 7 − x4 − 2x3 − x2 − 5x − 7 2 = −2x3 − 5x Clearly f(x)o is an odd part of the given function and contains some of the terms of the given function f(x). Similarly even part of the function can be found by using relation f(x)e = f(x) + f(−x) 2 f(x)e = x4 − 2x3 + x2 − 5x + 7 + (−x)4 − 2(−x)3 + (−x)2 − 5(−x) + 7 2 = x4 − 2x3 + x2 − 5x + 7 + x4 + 2x3 + x2 + 5x + 7 2 = x4 + x2 + 7 f(x)e is an even function and contains remaining terms of the given function f(x). Now the function f(x) can be written as f(x) = f(x)o + f(x)e Solved Problem 1.18 Show that f(x) = x3 is a one-to-one function. Solution If f(x) = x3 is an one to one function then the range of f(x) at two distinct domain integer values must not be equal. For real number assume ranges of function for two distinct integers are same. Substituting the two domain values x1 and x2, where x1 6= x2 and equaling ranges f(x1) = f(x2)
  • 16.
    16 Functions f(x1) −f(x2) = 0 Substituting the function values x3 1 − x3 2 = 0 (x1 − x2)(x2 1 + x2 2 + x1x2) = 0 Here x1 − x2 6= 0 as x1 6= x2. And (x2 1 + x2 2 + x1x2) = 0 gives x1 = −x2 ± p x2 2 − 4x2 2 2 x1 = −x2 ± p −3x2 2 2 Here x1 is a complex number. Hence ranges of function are same when one domain value is integer and other is complex number. Hence function f(x) has no two same ranges f(x1) 6= f(x2) for two domain integer values x1 6= x2. Hence function is one-to-one. Solved Problem 1.19 Find the inverse of f(x) = x3 . Solution Let y = x3 and for x, x = y1/3 which is unique solution. It is a function of y and can be represented by g(y) = y1/3 And transforming it for x g(x) = x1/3 This is the inverse of the function f(x) and written as f−1 (x) = x1/3 The graph is shown in figure (1.4). 1 −1 1 2 3 −1 −2 x y y = x3 y−1 = x1/3 Figure 1.4: Inverse of x3
  • 17.
    1.1. FUNCTION 17 SolvedProblem 1.20 Separate the function f(x) = x2 − 12x − 4 into its odd and even parts. Solution Using the direct method, odd part of the function is yo = −12x and even part of the function is ye = x2 − 4 Solved Problem 1.21 Separate the function f(x) = x4 − 3x3 − 8 into its odd and even parts. Solution Using the direct method, odd part of the function is yo = −3x3 and even part of the function is ye = x4 − 8 Solved Problem 1.22 Separate the function f(x) = x3 − 1 x + 1 into its odd and even parts. Solution To transform the function into odd and even form, relation f(x)o = f(x) − f(−x) 2 and f(x)e = f(x) + f(−x) 2 are used. Now, odd part of the function is yo = h x3 −1 x+1 i − h (−x)3 −1 (−x)+1 i 2 It gives yo = x3 −1 x+1 − −x3 −1 −x+1 2
  • 18.
    18 Functions yo = x3 +x 1 − x2 1] Again for even part of the function is ye = h x3 −1 x+1 i + h (−x)3 −1 (−x)+1 i 2 It gives ye = x3 −1 x+1 + −x3 −1 −x+1 2 ye = −x4 − 1 1 − x2 1.1.5 Homogeneous Function A homogeneous function is function in which value of the function is scaled by a certain factor then function is itself scaled to that factor. This prop- erty of the function is called homogeneity. A function f(x) is said to be homogeneous if f(Cx) = Cf(x) Solved Problem 1.23 Write a homogeneous function which exhibits the prop- erties of homogeneity. Solution The function shows this property is f(x) = ax, where a is any constant. Replacing x → cx, the result is f(cx) = a × cx Taking c as common in right hand side f(cx) = c(ax) = cf(x) Hence the given function is homogeneous. Solved Problem 1.24 Show that f(x) = ax + b does not show homogeneity. Solution The given function is f(x) = ax + b. Replacing x → cx, the result is f(cx) = a × cx + b
  • 19.
    1.1. FUNCTION 19 Takingc as common in right hand side f(cx) = c ax + b c 6= cf(x) Hence the given function is not homogeneous. 1.1.6 Linear Function A function is said to be linear, if it satisfy the additive and homogeneity of a function. If f(x1) and f(x2) are two functions then f(ax1 + bx2) = f(ax1) + f(bx2) = af(x1) + bf(x2) This condition of additive and homogeneity is called superposition. If the condition of superposition is met for a function then the function is said to be linear. 1.1.7 Inverse Function If a function f(x) with domain Df and range Rf is one-to-one, then there is an inverse of function f(x) with domain Rf and range Df for each values of x in Df , i.e. k[f(x)] = x Generally k is represented by f−1 and it is called inverse of function f(x). Solved Problem 1.25 Find the inverse of the function f(x) = 3x + 4. Solution Here f(x) is a function of x. The inverse of the function is obtained by solving this equation for x. It gives 3x = f(x) − 4 Or x = f(x) − 4 3 ‘x’ represents the inverse function and f(x) is the independent variable for ‘x’. Now transforming this relation for easy explanation f−1 (x) = x − 4 3 It is inverse function of the given function f(x).
  • 20.
    20 Functions Solved Problem1.26 Find the inverse of the function f(x) = x2 + 4. Solution Here f(x) is a function of x. The inverse of the function is obtained by solving this equation for x. It gives x2 = f(x) − 4 Or x = p f(x) − 4 ‘x’ represents the inverse function and f(x) is the independent variable for ‘x’. Now transforming this relation for easy explanation f−1 (x) = √ x − 4 It is inverse function of the given function f(x). 1.1.8 Sampling of Function The value of a function at a point is called function value. It is also known as sampled value of the function at that point. For example, function y = sin(x) has sample value y = sin(90◦ ), i.e. ‘1’ at x = 90◦ . Sampling of function is basis of calculus and communication engineering. Mathematically, a sampled value of a function, f(x), is given by y[x] = f(x) (1.6) Solved Problem 1.27 Find the four sampled values of the function y = x2 within 0 ≤ x ≤ 1. Solution The four points within 0 ≤ x ≤ 1 are 0.0, 0.3, 0.6 and 1.0. The function values at these points are y[0] = y0 = 02 = 0.00 y[0.3] = y0.3 = 0.32 = 0.09 y[0.6] = y0.6 = 0.62 = 0.36 y[1] = y1 = 12 = 1.00 These are four sampled values of the function.
  • 21.
    1.1. FUNCTION 21 1 x y b b b b SolvedProblem 1.28 Find the three sampled values of the function y = x2 − 3x + 1 within 0 x 4. Solution The three points within 0 x 5 are 1, 2 and 3. The function values at these points are y[1] = y1 = 12 − 3 × 1 + 1 = −1 y[2] = y2 = 22 − 3 × 2 + 1 = −1 y[3] = y3 = 32 − 3 × 3 + 1 = 1 These are three sampled values of the function. −1 1 2 3 x y b b b Solved Problem 1.29 Extract four sampled values of the function y = sin(x) + 1. Solution The five points are 0◦ , 15◦ , 30◦ , 45◦ and 60◦ in degree abscissa. The function values at these points are y[0◦ ] = y0◦ = sin(0◦ ) + 1 = 1.00 y[15◦ ] = y15◦ = sin(15◦ ) + 1 = 1.26 y[30◦ ] = y30◦ = sin(30◦ ) + 1 = 1.50 y[45◦ ] = y45◦ = sin(45◦ ) + 1 = 1.70 y[60◦ ] = y60◦ = sin(60◦ ) + 1 = 1.87
  • 22.
    22 Functions These arefour sampled values of the function. 1 15 30 45 60 x y b b b b b 1.1.9 Piece-wise Function A function which satisfy different equations in different region of independent variable, is called piece-wise function. See the following function, f(x) = ( px + q where a ≤ x ≤ b rx where b x ≤ c Above function is a piece-wise function as it uses relation px + q in domain a ≤ x ≤ b and relation rx in domain b x ≤ c. Existence of Piece-wise Function A function f(x) has a unique value at any given point whatever method of solution is applied. For example, f(x) = x2 − 2 has unique value at x = 2 and it is f(2) = 22 − 2 = 2. In a piece-wise functions, if break point x = a is applicable for all pieces of the function, then the values of pieces of the function at that point shall be same. Consider a piece-wise function as given below: f(x) = ( 2x + 2 where 0 ≤ x ≤ 2 3x where 2 ≤ x ≤ 4 In above case, x = 2 is applicable for both pieces of the function. So, f(x) = 2x + 2 and f(x) = 3x shall give same values at x = 2. Here, f(2) = 2 × 2 + 2 = 6 and f(2) = 3 × 2 = 6 Hence the function exists. Again, if this function is modified as f(x) = ( 2x + 2 where 0 ≤ x ≤ 2 3x + 1 where 2 ≤ x ≤ 4
  • 23.
    1.2. SKETCH THEFUNCTION 23 then f(x) = 2x + 2 and f(x) = 3x + 1 do not give same values at x = 2. f(2) = 2 × 2 + 2 = 6 and f(2) = 3 × 2 + 1 = 7 Therefore, it is not a function. Solved Problem 1.30 Show that f(x) = ( 2x + 2 where 0 ≤ x ≤ 3 3x where 3 ≤ x ≤ 4 is not a function. Give suitable explanation. Solution The piecewise relation is defined for 0 ≤ x ≤ 4. The piecewise relation has two different expressions at the point x = 3. If this relation is perfect function then it should have same values for its two different expres- sions. So y(3) = 2 × 3 + 2 = 8 and y(3) = 3 × 3 = 9 Here, both values are not same, hence it is not a piecewise function. 1.2 Sketch the Function A function may be sketches by two methods, (i) by numeric method and (ii) by analytical method. Numerical Method In first method, we construct a table for a function in (x, f(x)) order for sufficient number of points within the given domain of x. Then we plots these points in two dimensional plan. The larger numbers of x, plot is plotted more fine. Suppose a function f(x) = sin x that has to be plotted withing 0 ≤ x ≤ π. Now, take ten points within [0, π] and find the value of f(x) as shown in the following table.
  • 24.
    24 Functions x f(x) 0.0000.000 0.314 0.309 0.628 0.588 0.942 0.809 1.256 0.951 1.570 1.000 1.884 0.951 2.198 0.810 2.512 0.589 2.826 0.310 3.140 0.002 Now, when this table is plotted in two dimensional xy plane, it gives the sketch of function sin x. 1 1 2 3 x f(x) b b b b b b b b b b b 0.0 0.3 0.58 0.8 0.95 0.99 0.95 0.8 0.58 0.31 0.0 1 1 2 3 x f(x) b b b b b b b b b b b f(x) = sin x Analytical Method In analytical method of sketching of function, we first find the characteristics of function, like x and y intersection points, maximum and minima points, asymptotes, increasing and decreasing of the function, symmetry of the function etc. Using these characteristics, we traces the sketch of function. Solved Problem 1.31 Sketch the graphs of the given function and obtain whether it is odd or even. The function is f(x) = x2 − 1. Solution Replacing ‘x’ by ‘-x’, we have f(−x) = (−x)2 − 1 = x2 − 1
  • 25.
    1.2. SKETCH THEFUNCTION 25 Here f(−x) = f(x), so the function is even function. Function will be zero when x2 − 1 = 0 ⇒ x = ±1 Function is even function, hence minimum value of the function will be when x = 0 and it is f(0) = 02 − 1 = −1 Now there are three cases for the function. When x −1 x2 is positive and greater than ‘1’, hence the function x2 − 1 is positive and greater than zero. Function is continuous decreasing when it approaches to −1 from −∞. When x 1 x2 is positive and greater than ‘1’, hence the function x2 −1 is positive and greater than zero. Function is continuous increasing when it approaches to ∞ from 1. When −1 ≤ x ≤ 1 x2 is positive but less than or equal to ‘1’. Function x2 − 1 is negative and less than or equal to zero. Function decreases for the domain of [−1, 0) and increases for the domain of [0, 1]. 1 2 −1 1 2 3 −1 −2 x f(x) f(x) = x2 − 1 Applying the above three conditions, the plot of the function will be like as given in above figure. Solved Problem 1.32 Sketch the graph of the given function and obtain that whether it is odd or even. The function is f(x) = x3 − 1. Solution Replacing ‘x’ by ‘-x’, we have f(−x) = (−x)3 − 1 = −x3 − 1
  • 26.
    26 Functions Function isneither even nor odd function. Function will be zero when x3 − 1 = 0 ⇒ x = 1 ‘x’ has three equal roots of ‘1’. Minimum value of the function will be when x = −∞ and it is f(−∞) = (−∞)3 − 1 = −∞ When x = 0, then f(0) = −1. Function is continuous increasing in the domain of (−∞, ∞). The data table of the function is x -1.3 -0.8 -0.3 0.1 0.6 1.0 1.5 f(x) -2.95 -1.50 -1.04 -1.00 -0.80 0.13 2.37 Dot plot and graph of this data table is 1 −1 −2 1 −1 x f(x) b b b b b b b b b b f ( x ) = x 3 − 1 1 −1 −2 1 −1 x f(x) f ( x ) = x 3 − 1 Solved Problem 1.33 Sketch the graphs of the given function and obtain that it is either odd or even. The function is f(x) = √ 7 − x. Solution Replacing ‘x’ by ‘-x’, we have f(−x) = p 7 − (−x) = √ 7 + x Function is neither even nor odd. Function will be zero when √ 7 − x = 0 ⇒ x = 7 Minimum real value of the function is when x = 7 and it is f(7) = √ 7 − 7 = 0
  • 27.
    1.2. SKETCH THEFUNCTION 27 At x = 0, the function intersects to y axis at f(0) = √ 7 = 2.645 Function is real if 7 − x ≥ 0 ⇒ x ≤ 7 Hence the domain of ‘x’ is (−∞, 7]. Data table for the function is x -1 0 1 2 3 4 5 6 7 f(x) 2.83 2.65 2.45 2.24 2.00 1.73 1.41 1.00 0.00 Dot plot of this data table is 1 2 1 2 3 4 5 6 7 −1 −2 x f(x) b b b b b b b b b b f(x) = √ 7 − x Now the plot of the function is 1 2 1 2 3 4 5 6 7 −1 −2 x f(x) f(x) = √ 7 − x Solved Problem 1.34 Sketch the graphs of the function f(x) = x2/3 . Solution The given function is f(x) = x2/3 . IT can be written as f(x) = x0.66 . If x is negative, the function value is imaginary. Hence
  • 28.
    28 Functions domain ofthe function is [0, ∞). Function value at x = 0 is f(0) = 0. Function is continuous increasing function as x → ∞, f(x) → ∞. The plot of the function is as given below. 1 2 1 2 3 4 5 x f(x) f(x) = x2/3 1.2.1 Straight Line The equation of line is given by y = mx+c. This equation of line represents that the line has slope of ‘m’ and it intersects to the y-axis at ‘c’. The plot of this line is x y c y = mx + c x y c y = mx + c b (0, b) b (a, 0) A line always intersection to the x-y axes. When line intersects to the x−axis, its y component is zero. Now the point of intersection at x-axis can be obtained by substituting y = 0. The point on x-axis is represented by (a, 0). Similarly, when line intersects to y-axis then x = 0 and coordinate of this point is (0, b). Solved Problem 1.35 Sketch the plot of y = 5x − 3. Solution
  • 29.
    1.2. SKETCH THEFUNCTION 29 5 10 −5 1 2 3 −1 −2 x y y = 5 x − 3 The given equation is straight line. This line intersects both axes. This line will intersect to x-axes when y = 0. At this point, x will be 3/5. Similarly, when line intersects y-axes then x = 0 and in this point y = −3. Now the line passes from points (3/5, 0) and (0, −3). Solved Problem 1.36 Sketch the graph 5x − 4y = 5. Solution 1 2 3 −1 −2 x y y = 5x − 5 4 The given equation is straight line. This line intersects both axes. This line will intersect to x-axes when y = 0. At this point, x will be 1. Similarly, when line intersects y-axes then x = 0 and in this point y = −5/4. Now the line passes from points (1, 0) and (0, −5/4). Solved Problem 1.37 Sketch the graph 6x + 4y = 12. Solution 1 2 3 −1 −2 x y y = 12 − 6x 4 The given equation is straight line. This line intersects both axes. This line will intersect to x-axes when y = 0. At this point, x will be 2. Similarly,
  • 30.
    30 Functions when lineintersects y-axes then x = 0 and in this point y = 3. Now the line passes from points (2, 0) and (0, 3). Solved Problem 1.38 Sketch the plot of y = 3x + 4. Also find the inverse function and sketch the plot for it. Solution The given equation is straight line. This line intersects both axes. This line will intersect to x-axes when y = 0. At this point, x will be −4/3. Similarly, when line intersects y-axes then x = 0 and in this point y = 4. Now the line passes from points (−4/3, 0) and (0, 4). 5 10 1 2 3 −1 −2 x y y = 3x + 4 The given line gives inverse function when it is solved for ‘x’. Now x = y − 4 3 Replacing x and y respectively to transform this relation for better repre- sentation and meaning. Y = X − 4 3 Here Y is inverse function of y. −2 1 2 3 −1 −2 X Y Y = X − 4 3 The given equation is straight line. This line intersects both axes. This line will intersect to x-axes when Y = 0. At this point, X will be 4. Similarly, when line intersects y-axes then X = 0 and in this point Y = −4/3. Now the line passes from points (4, 0) and (0, −4/3).
  • 31.
    1.2. SKETCH THEFUNCTION 31 1.2.2 Domain Range A function f(x) define in integer, i.e. the all possible values of the f(x) are only integers, is dependent on the independent variable ‘x’. Now, the pos- sible values of ‘x’ may be integer, real numbers, complex numbers, rational numbers and natural number etc. Set of all possible values of ‘x’ for which function f(x) is defined is called domain of the function. And the set of all corresponding values of f(x) is known as range of the function. A function shall not be said to be defined at a given point where it is either imaginary or infinite or its limits are any of the given forms as 0/0, 0/∞, ∞/0 and ∞/∞ etc. Solved Problem 1.39 Find the range of function f(x) = x2 at point x = 4. Solution The range of a given function is defined as set of all values of the function corresponding to its domain points. Now, the range of the function is f(4) = 42 = 16. Solved Problem 1.40 Does t = 2 is a point of domain of the function f(t) = 1 t − 2 . Solution A function is said to be defined at a given point where its value is real and finite. Therefore, point t = 2 be a point of domain of function f(t) = 1 t − 2 , if function value at this point is finite and real. So, f(t) = 1 t − 2 = 1 2 − 2 = 1 0 Numerically, the function value is ∞ or undefined at point t = 2. Hence this point is not part of the domain of given function. Solved Problem 1.41 Which points (integers only) between t = 0 and t = 5 (including) can be in the domain of the function f(t) = √ t − 1. Solution The points of domain of function always gives real and finite function value. Therefore each point which gives real and finite function value is part of the domain of the function f(t). Now,
  • 32.
    32 Functions t f(t) √ t− 1 Domain Point 0 f(0) √ −1 No 1 f(1) √ 0 Yes 2 f(2) √ 1 Yes 3 f(3) √ 2 Yes 4 f(4) √ 3 Yes 5 f(5) √ 4 Yes So, points {1, 2, 3, 4, 5} are domain points of the given function. Solved Problem 1.42 Which points (integers only) between θ = 0 and θ = 5 (including) can be in the domain of the function f(θ). The function is f(θ) = 2−θ . Solution The points of domain of function always gives real and finite function value. Therefore each point which gives real and finite function value is part of the domain of the function f(θ). Now, θ f(θ) 2−θ Domain Point 0 f(0) 20 = 1.00 Yes 1 f(1) 2−1 = 0.50 Yes 2 f(2) 2−2 = 0.25 Yes 3 f(3) 2−3 = 0.125 Yes 4 f(4) 2−4 = 0.0625 Yes 5 f(5) 2−5 = 0.03125 Yes So, the points {0, 1, 2, 3, 4, 5} are domain points of the given function as all points have real and finite function value. Ordered Pairs An ordered pair is defined as the group of domain element and its corre- sponding range element. For example, if f(x) is a valid function such that f(x) = x2 + 2 : ∀ x ∈ I
  • 33.
    1.2. SKETCH THEFUNCTION 33 Then its ordered pair is (x, f(x)). In ordered pair, first element is indepen- dent value and second element is its dependent value based on set rules (say function). Ordered Pairs from Function We can get ordered pair from domain and its range by using set rules (func- tion). For example, if x ∈ I+ under the rule y = 2x then its ordered pair shall be (x, 2x) where ∀ x ∈ I+ . The range of this function is 2x, i.e. all positive even numbers. Solved Problem 1.43 Find few of the all ordered pairs of given statement f(x) = 2x : ∀ x ∈ I+ . Solution Here, independent value is x and its values are only positive integer values, i.e. x = {0, 1, 2, 3, . . .} It is domain of the given function. To get the ordered pair, put these values of x in f(x), which gives respective result as f(x) = {0, 2, 4, 6, . . .} This is range of the given function. Now, ordered pairs are (x, f) = {(0, 0), (1, 2), (2, 4), . . .} 1.2.3 Function in Different Domains Consider a trigonometric sine function r = sin(θ) (1.7) which represents periodic motion of an object revolving about a given point, known as center. The period of the function is 2π or 360◦ . The graph of the function is
  • 34.
    34 Functions r θ b b θ r θ 2π Here wesay that the object is moving in angle-displacement plane. If the time period of the object moving in circular path is T , i.e. it takes T seconds to complete one revolution of 2π then 2π = T relatively. And above graph shall be represented as r t b b t r t T Now for one complete revolution, we can transform to the given function from angle-position plane to time-time period plane. So T = 2π ⇒ 1 = 2π T ⇒ t = 2π T × t Replacing θ from equation 1.7, we have r1 = sin 2π T × t = sin (2πf × t) Here, f is frequency of revolving object and 2πf = ω. So, r1 = sin (ωt) (1.8)
  • 35.
    1.3. INCREASING-DECREASING FUNCTION35 Now, the given equation is transform from angle-position plane into time- time period plane. Here, equation 1.7 and 1.8 represent to same function in two different domains. r θ b 0 b π b 2π r1 t b 0 b T/2 b T 1.3 Increasing-Decreasing Function A function f(x) is said to be increasing function within the domain a ≤ x ≤ b if its value is continuously increasing with increase of x. Similarly, a function f(x) is said to be decreasing function within the domain a ≤ x ≤ b if its value is continuously decreasing with increase of x. Following methods are used to find whether a function is increasing or decreasing within the domain a ≤ x ≤ b. 1. First we find zero point of the function, i.e. point x where function value is zero. It is obtained by equation function to zero. So, f(x) = 0 2. Check, how many zero points are within the domain a ≤ x ≤ b. If it is two or more, then function must change from increasing to decreasing or vice-versa within the given domain of x. x y bc b a b b x y bc bc b a b b Therefore, this function is never either only increasing function or only decreasing function within the given domain a ≤ x ≤ b.
  • 36.
    36 Functions x y bc bc b a b b Ifthere are zeros less than two within the domain of a ≤ x ≤ b then there is uncertainity about increasing or decreasing nature of function. 3. If there are no real zeros then the function never intersects to the x-axis. 1 2 −1 −2 −3 x y b a b b The above function is plot of f(x) = x + 1/x. The zeros of this function are x + 1 x = 0 ⇒ x2 + 1 = 0 ⇒ x = ±i The zeros of this function are imaginary, say complex, hence function never intersects to x-axis. 4. To confirm the nature of function, we construct a difference table to check the number of sign conversions in first order difference column. If first order difference has positive sign then function is increasing and if first order difference has negative sign then function is decreasing. The number of times, sign of first order difference changes from positive to negative or negative to positive, same number of times function changes from increasing to decreasing or vice-versa. The range of x for which f(x) has same sign in its corresponding first order difference, the function continusouly increases or decreases with this given range. First order difference for poing xn is given by f[xn] = f[xn+1] − f[xn] Here, one point may be noted that, while we analysing a function or dif- ference functions of nth order, whether they are increasing or decreasing
  • 37.
    1.3. INCREASING-DECREASING FUNCTION37 functions, only “sign” of next order difference is significant not the “quan- tity” associated with “sign”. Illustrated Example Take function f(x) = x2 − 5.5 ∗ x + 6 and we have check whether it is continuously increasing or continuousl decreasing within 1 ≤ x ≤ 2. So, first we find zero points, x2 − 5.5x + 6 = 0 = (x − 1.5)(x − 4) It gives x = 1.5 and x = 4, only one point x = 1.5 falls within 1 ≤ x ≤ 2, hence it may be either continuously increasing function of continuously decreasing function. Now, construct a difference table as shown below: x f(x) ∆f(x) 1.00 1.50 -0.34 1.10 1.16 -0.32 1.20 0.84 -0.30 1.30 0.54 -0.28 1.40 0.26 -0.26 1.50 0.00 -0.24 1.60 -0.24 -0.22 1.70 -0.46 -0.20 1.80 -0.66 -0.18 1.90 -0.84 -0.16 2.00 -1.00 The first order differences, ∆f(x), (see third column) have “negative sign”1 , therefore, the function, f(x), is continuously decreasing function within the domain 1 ≤ x ≤ 2. 1 Only sign of ∆f(x) matters here, quantity associated with sign has no significance.
  • 38.
    38 Functions 1 23 x y bc b a b b Illustrated Example Take function f(x) = x2 − 4 ∗ x + 3.75 and we have check whether it is continuously increasing or continuousl decreasing within 1 ≤ x ≤ 3. So, first we find zero points, x2 − 4x + 3.75 = 0 = (x − 1.5)(x − 2.5) It gives x = 1.5 and x = 2.5, both points fall within 1 ≤ x ≤ 3, hence it is increasing and decreasing function within the given domain 1 ≤ x ≤ 3. Now, construct a difference table as shown below: x f(x) ∆f(x) 1.00 0.75 -0.36 1.20 0.39 -0.28 1.40 0.11 -0.20 1.60 -0.09 -0.12 1.80 -0.21 -0.04 2.00 -0.25 0.04 2.20 -0.21 0.12 2.40 -0.09 0.20 2.60 0.11 0.28 2.80 0.39 0.36 3.00 0.75 We see that from third column, sign of first order difference changes from negative to positive at x = 2, hence at this point the function shall change from decreasing (-ve sign) to increasing (+ve sign). From this table, it is clear that, function is continuously decreasing function in 1 ≤ x 2 and
  • 39.
    1.3. INCREASING-DECREASING FUNCTION39 continusouly increasing function in 2 ≤ x ≤ 3. The plot of this function shown below: 1 2 3 x y bc bc b a b b Solved Problem 1.44 Show that logb 0 = −∞. Solution Using the exponet property, we have logb 0 = n ⇒ bn = 0 The term bn shall be zero if n → −∞, as b−∞ = 1 b∞ = 0 Now, from logb 0 = n, n = −∞. So, logb 0 = −∞ It is proved. Solved Problem 1.45 Find whether the function y = cos(2x) is either in- creasing or decreasing in the range [−π/2, π/2]. Solution The zeros of the function y = cos(2x) are obtained when y = 0. So, cos(2x) = 0 ⇒ 2x = 2nπ ± π 2 It gives, x = nπ ± π 4 For given domain of x ∈ [−π/2, π/2], the accepted values of x are ±π/4. x y bc −π/4 bc π/4 b a b b
  • 40.
    40 Functions These twopoints falls within the given domain of x, which are more than one. So, this function is increasing as well as decreasing, i.e. oscillating between the given domain [−π/2, π/2]. Solved Problem 1.46 Find whether function y = x2 − 9x − 1 is either in- creasing or decreasing in the range of x in [1, 2]. Solution To find the nature of the function, we shall construct the first order difference table for the given function as shown below: x f(x) ∆f(x) 1.00 -9.00 -0.69 1.10 -9.69 -0.67 1.20 -10.36 -0.65 1.30 -11.01 -0.63 1.40 -11.64 -0.61 1.50 -12.25 -0.59 1.60 -12.84 -0.57 1.70 -13.41 -0.55 1.80 -13.96 -0.53 1.90 -14.49 -0.51 2.00 -15.00 Table 1.2: Difference Table of Function f(x) = x2 − 9x − 1. The plot of above data is given in following figure. 1 2 3 x y b a b b All elements of first order difference (see third column of table 1.2) for
  • 41.
    1.3. INCREASING-DECREASING FUNCTION41 each x ∈ [1, 2] are negative. Hence function is continuously decreasing func- tion in domain 1 ≤ x ≤ 2. Solved Problem 1.47 Find that whether function y = x + 1 x is either in- creasing or decreasing within the domain of x ∈ [−1, 1]. Solution The zeros of the function are x + 1 x = 0 ⇒ x2 + 1 = 0 ⇒ x = ±i The zeros of this function are imaginary, say complex, hence function never intersects to x-axis. To find whether function is increasing or decreasing or oscilating within domain of x ∈ [−1, 1], we construct the first order difference table as shown below: x f(x) ∆f(x) -1.00 -2.00 -0.05 -0.80 -2.05 -0.22 -0.60 -2.27 -0.63 -0.40 -2.90 -2.30 -0.20 -5.20 -8.21 -0.08 -13.41 UNDEFINE 0.00 UDEFINE UNDEFINE 0.08 13.41 -8.21 0.20 5.20 -2.30 0.40 2.90 -0.63 0.60 2.27 -0.22 0.80 2.05 -0.05 1.00 2.00 Table 1.3: Difference Table of Function f(x) = x + 1 x . The plot of above data is given in following figure.
  • 42.
    42 Functions 1 2 −1 −2 −3 x y b ab b All elements of first order difference (see third column in table 1.3) for each x ∈ [−1, 0)∪(0, 1] are negative. Hence function is continuously decreas- ing in domain −1 ≤ x ≤ 1 except x = 0. At x = 0, function is undefined. It means, function does not exists at x = 0. Solved Problem 1.48 Prove that whether function y = 4 sin(x) 2 + cos(x) − x is increasing function within range of [0, π/2]. Solution Constructing the first order difference table using Excell soft- ware for the given function as shown below: x y ∆y 0.00 0.00 0.07 0.20 0.07 0.07 0.40 0.13 0.07 0.60 0.20 0.06 0.80 0.26 0.06 1.00 0.32 0.05 1.20 0.38 0.04 1.40 0.42 0.01 1.57 0.43 Table 1.4: Difference Table of Function y = 4 sin(x) 2 + cos(x) − x. The plot of above data is given in following figure.
  • 43.
    1.3. INCREASING-DECREASING FUNCTION43 1 2 x y b a b b All elements of first order difference (see third column of table 1.4) are positive. Hence function is continuous increasing function within the domain of 0 ≤ x ≤ π/2. Solved Problem 1.49 Prove that y = loge x is increasing function in the interval [0, 2]. Apply corrected value of domain limits within error not more than 0.01. Solution As we know that at x = 0, ln(0) is −∞ irrespective of its base. So, we can not take x = 0 during the construction of table. So, we correct the domain of x as [0.01, 2]. Constructing the first order difference table using Excell software for the given function as shown below: x y ∆y 0.01 -4.61 3.00 0.20 -1.61 0.69 0.40 -0.92 0.41 0.60 -0.51 0.29 0.80 -0.22 0.22 1.00 0.00 0.18 1.20 0.18 0.15 1.40 0.34 0.13 1.60 0.47 0.12 1.80 0.59 0.11 2.00 0.69 Table 1.5: Difference Table of Function y = loge x. The plot of above data is given in following figure.
  • 44.
    44 Functions 1 2 x y b ab b All elements of first order difference (see third column of table 1.5) are positive. Hence function is continuous increasing function within the domain of 0 x ≤ 2. Solved Problem 1.50 Prove that y = x loge x is increasing function in the interval (0, 0.368] and decreasing function in the interval of [0.368, 2]. Solution As we know that at x = 0, ln(0) is −∞ irrespective of its base. So, we can not take x = 0 during the construction of table. So, we correct the domain of x as [0.01, 2]. Constructing the first order difference table using Excell software for the given function as shown below:
  • 45.
    1.3. INCREASING-DECREASING FUNCTION45 x y ∆y 0.01 -0.05 -0.28 0.20 -0.32 -0.02 0.25 -0.35 -0.01 0.30 -0.36 -0.01 0.35 -0.37 0.00 0.40 -0.37 0.06 0.60 -0.31 0.13 0.80 -0.18 0.18 1.00 0.00 0.22 1.20 0.22 0.25 1.40 0.47 0.28 1.60 0.75 0.31 1.80 1.06 0.33 2.00 1.39 Table 1.6: Difference Table of Function y = x loge x. The plot of above data is given in following figure. 1 2 x y b a b b The function value at x = 0.35 and x = 0.40 are nearly equal. Hence function changes its direction, i.e. function inversion take place, at a point situated within the 0.35 and 0.40. Elements of first order difference (see third column of table 1.6) changes their sign from negative to positive at x = 0.35. Hence function is continuous decreasing function within the domain of 0 x ≤ 0.35 and continusou increasing function within the domain of 0.35 ≤ x ≤ 2. If we use more precision value of x, the point of function
  • 46.
    46 Functions inversion isabout at x = 0.368. x y ∆y 0.366 -0.367875 -0.000004 0.367 -0.367878 -0.000001 0.368 -0.367879 0.000002 0.369 -0.367878 0.000004 0.370 -0.367873 0.000007 0.371 -0.367866 1.4 Modulo Function An operator that makes a function positive irrespective of whether it was positive or negative is called mod. It is denoted by two vertical lines ‘|’ before and after the whole function. Functions having one or more mod term is called modulo function. For example if f(x) is a function of ‘x’ such that f(x) = −x + 1 (1.9) Then its mod is |f(x)| = | − x + 1| (1.10) f(x) is either positive or negative, after mod it becomes positive. Modulo functions are sometime known as absolute functions. 1.4.1 Sub-equations of Modulo Function Let a function is defined by f(x) = |x|. This function can be written into two sub function. To find the point about which the mod function is being resolved in sub function, we put whole term inside the mod, equal to zero. So, x = 0. Now, we can write subfunction about this point as given below: f(x) = −x when x 0 (1.11) Minus sign is applied, and removing the | operator, to whole term inside the mod operator when x is left side to this point, say 0 here. While plus sign is
  • 47.
    1.4. MODULO FUNCTION47 applied, and removing the | operator, to whole term inside the mod operator when x is at and right side to this point, say 0 here. f(x) = x when x ≥ 0 (1.12) Though the mod function is separated in two sub-equations, but it has same result when value of x is placed in the function f(x) given in equation (1.11) and equation (1.11). Case-I : When x is negative, then all values of x are less than zero (x 0), i.e. values of x lies left side to the zero in number line. For all real values, when x is substituted with its sign, i.e. x is substituted by −x then subfunction becomes f(x) = −(−x) = x (1.13) Case-II : When x is positive, then all values of x are greater than or equal to zero (x ≥ 0), i.e. values of x lies at and right side to the zero in number line. For all real values, when x is substituted with its sign, i.e. x is substituted by +x then f(x) = x (1.14) 0 1 2 3 0 −1 −2 −3 f(x) = x f(x) = −x b Thus in each case, whatever is the real value of x is, function value is always positive, i.e. greater than or equal to zero. While writing sub functions of the given mod function, whole term inside the mod operator is taken as less than zero or greater than zero. For example, consider the mod function f(x) = |x − 1| To find the inequality point, we put whole term inside mod, i.e. x− 1, equal to zero. So, x − 1 = 0 and it gives x = 1. Now the mod function is written in sub functions about x = 1. 0 1 2 3 4 0 −1 −2 −3 −4 f(x) = x − 1 f(x) = −(x − 1) b Figure 1.5: Subfunctions along number line.
  • 48.
    48 Functions f(x) = −(x− 1) when x 1 x − 1 when x ≥ 1 1 1 2 3 −1 x y Figure 1.6: Plot of mod function f(x) = |x − 1|. Solved Problem 1.51 Simplified the relation f(x) = |x + 2| − 4. Solution The modulus function is f(x) = |x + 2| − 4 The mod term of this function will be zero when x + 2 = 0 ⇒ x = −2 Hence the inversion point for the mod function is x = −2. It means if x −2 then x + 2 should be multiply with −1 so that x + 2 remains positive. Now resolute this function into sub equations f(x) = −(x + 2) − 4 When x −2 x + 2 − 4 When x ≥ −2 On simplifying it f(x) = −x − 6 When x −2 x − 2 When x ≥ −2 The function value at x = −2 is f(−2) = −4 The function will intersect the x axis at −x − 6 = 0 ⇒ x = −6 and x − 2 = 0 ⇒ x = 2. The plot of this function is
  • 49.
    1.4. MODULO FUNCTION49 2 −2 −4 2 −2 −4 −6 −8 x y Solved Problem 1.52 Separate function f(x) = |x2 − 1| x + 1 in sub-functions. Solution The modulus function is f(x) = |x2 − 1| x + 1 The mod term of this function will be zero or more when x2 − 1 = 0 ⇒ x = ±1 Hence the inversion point for the mod function is x = −1 and x = +1. But x = −1 is not acceptable as at this point numerator and denominator will be 0 and the function become undermined. Now only at x = 1 modulus term will be zero. x = −1 is an open point hence function is not continuous at this point. The piece-wise resolution of the given function is f(x) =          −(x2 − 1) x + 1 When − 1 x 1 x2 − 1 x + 1 When x ≥ 1 x −1 On simplifying it f(x) =          1 − x2 x + 1 When − 1 x 1 x2 − 1 x + 1 When x ≥ 1 x −1 The function value at x = 1 are respectively f(1) = 0
  • 50.
    50 Functions The plotof this function is 1 −1 −2 −3 1 2 −1 −2 −3 x y Solved Problem 1.53 Draw the graph of mod function y = |x|. Solution The modulus function is f(x) = |x| The mod term of this function will be zero when x = 0. Hence the inversion point for the mod function is x = 0. It means if x 0 then x should be multiply with −1 so that x remains equal to |x|. Now resoluting this function into sub equations f(x) = −x When x 0 x When x ≥ 0 The function value at x = 0 is f(0) = 0 The function will increase continuously when x varies from 0 to ±I. The plot of this function is 1 1 2 −1 −2 −3 x y
  • 51.
    1.4. MODULO FUNCTION51 Solved Problem 1.54 Draw the graph for y = −6|x|. Solution The modulus function is f(x) = −6|x| The mod term of this function will be zero when x = 0. Hence the inversion point for the mod function is x = 0. It means if x 0 then x should be multiply with −1 so that x remains equal to |x|. Now resoluting this function into sub equations f(x) = −6(−x) When x 0 −6x When x ≥ 0 On simplification f(x) = 6x When x 0 −6x When x ≥ 0 The function value at x = 0 is f(0) = 0 The function will decrease continuously when x varies from 0 to ±I. The plot of this function is −6 −12 1 2 −1 −2 −3 x y Solved Problem 1.55 Draw the graph for y = 2|x| + |x − 1|. Solution In this function, there are two modulo parts. First modulo will be zero when x = 0. Second modulo will be zero when x − 1 = 0, i.e. x = 1. There are two inequality points. This function can be converted into piecewise function as y =    −2x − (x − 1) when x 0 2x − (x − 1) when 0 ≥ x 1 2x + (x − 1) when x ≥ 1
  • 52.
    52 Functions Or f(x) =    −3x+ 1 when x 0 x + 1 when 0 ≥ x 1 3x − 1 when x ≥ 1 This function is continuously decreasing in the domain of −∞ x 0 and continuously increasing in the domain of x 0. The function is critical at x = 1. The sketch of the function is shown in the figure below. 1 2 3 1 −1 x f(x) b b Solved Problem 1.56 Draw the graph for y = |x + 2| − 3|x − 1|. Solution In this function, there are two modulo parts. First modulo will be zero when x + 2 = 0, i.e. x = −2. Second modulo will be zero when x − 1 = 0, i.e. x = 1. There are two inequality points. This function can be converted into piecewise function as y =    −(x + 2) + 3(x − 1) when x −2 (x + 2) + 3(x − 1) when − 2 ≥ x 1 (x + 2) − 3(x − 1) when x ≥ 1 Or f(x) =    2x − 5 when x −2 4x − 1 when − 2 ≥ x 1 −x + 5 when x ≥ 1 This function is continuously increasing in the domain of −∞ x 1 and continuously decreasing in the domain of x 1. The function is critical at x = −2 also. The sketch of the function is shown in the figure below.
  • 53.
    1.4. MODULO FUNCTION53 4 −4 −8 1 −1 −2 −3 x f(x) Solved Problem 1.57 Find the value of x for which function f(x) = |x+1|−2 is negative. Solution The modulo part will be zero when x + 1 = 0, i.e. x = −1. This function can be converted into piecewise function as f(x) = −(x + 1) − 2 when x −1 (x + 1) − 2 when x ≥ −1 Or f(x) = −x − 3 when x −1 x − 1 when x ≥ −1 If function will be negative if −x − 3 0, i.e. x −3 and x − 1 0, i.e. x 1. Here conditions of x for piecewise function is used just only to expand the modulo function and it is meaningless for function being positive or negative in this question. Hence in the domain of −3 x 1, function will be negative. 1 −1 −2 1 −1 −2 −3 −4 x f(x) Solved Problem 1.58 Find the value of x for which function f(x) = |x| − 2 has zero value.
  • 54.
    54 Inequality Solution Themodulo part will be zero when x = 0, i.e. x = 0. This function can be converted into piecewise function as f(x) = −x − 2 when x 0 x − 2 when x ≥ 0 If function will be zero if −x − 2 = 0, i.e. x = −2 and x − 2 = 0, i.e. x = 2. Here conditions of x for piecewise function is used just only to expand the modulo function and it is meaningless for function being zero in this question. Hence function will be zero at x = −2, 2. 1 −1 −2 1 2 −1 −2 x f(x) b b Solved Problem 1.59 Find the value of x for |x − 4| − 2 = 0. Solution The modulo part will be zero when x − 4 = 0, i.e. x = 4. Left hand side of the above relation is assumed as function f(x). This function can be converted into piecewise function as f(x) = −(x − 4) − 2 when x 4 (x − 4) − 2 when x ≥ 4 Or f(x) = −x + 2 when x 4 x − 6 when x ≥ 4 If function will be zero if −x+2 = 0, i.e. x = 2 and x−6 = 0, i.e. x = 6. Here conditions of x for piece-wise function is used just only to expand the modulo function and it is meaningless for function being zero in this question. Hence function will be zero at x = 2, 6.
  • 55.
    1.4. MODULO FUNCTION55 1 −1 −2 1 2 3 4 5 6 x f(x) b b
  • 56.
  • 57.
    2.1. INEQUALITIES 57 2Inequality 2.1Inequalities An inequality is a statement about the relative size or order of two objects, or about whether they are the same or not. For example 1. The notation a b means that a is lesser than b. 2. The notation a b means that a is greater than b. 3. The notation a = b means that a is equal to b. In each above statement, a is not equal to b. These relations are known as strict inequalities. The notation a b may also be read as “a is strictly fewer than b”. In contrast to strict inequalities, there are two types of inequality statements that are not strict: 1. The notation a ≤ b means that a is lesser than or equal to b. 2. The notation a ≥ b means that a is greater than or equal to b. An additional use of the notation is to show that one quantity is much greater than another, normally by several orders of magnitude. 1. The notation a b means that a is much fewer than b. 2. The notation a b means that a is much greater than b. If the sense of the inequality is the same for all values of the variables for which its members are defined, then the inequality is called an “absolute” or “unconditional” inequality. If the sense of an inequality holds only for certain values of the variables involved, but is reversed or destroyed for other values of the variables, it is called a conditional inequality. 2.1.1 Properties of Inequalities Inequalities are governed by the following properties.
  • 58.
    58 Inequality 2.1.2 Transitivity Thetransitivity of inequalities states for any real numbers, a, b and c then 1. If a b and b c, then a c. 2. If a b and b c, then a c. 3. If a b and b = c, then a c. 4. If a b and b = c, then a c. 2.1.3 Addition and subtraction The properties that deal with addition and subtraction state for any real numbers, a, b and c 1. If a b then a + c b + c and a − c b − c. 2. If a b then a + c b + c and a − c b − c. 2.1.4 Multiplication and Division The properties that deal with multiplication and division state for any real numbers, a, b and c 1. If c is positive number and a b then ac bc and a/c b/c. 2. If c is negative number and a b then ac bc, then a/c b/c. More generally this applies for an ordered field. 2.1.5 Additive inverse In additive inverse state for any real numbers, a and b, are in relation a b. If −1 is multiplied both side of the inequality relation, the inequality relation is inversed. i.e. −a −b. Similarly, if a b then −a −b. Solved Problem 2.1 Solve the inequality x 3 −x + 4 6 . Solution Given inequality is x 3 −x + 4 6 Applying cross multiplication 6x −3x + 12
  • 59.
    2.1. INEQUALITIES 59 Or −12 −9x Multiplying both side by −1. 12 9x Or x should be greater than 4/3. 2.1.6 Multiplicative Inverse The properties for the multiplicative inverse state for any non-zero real num- bers a and b that are Both Positive or Both Negative I If a b then 1/a 1/b. II If a b then 1/a 1/b. Either a or b Negative I If a b then 1/a 1/b. II If a b then 1/a 1/b. Solved Problem 2.2 Solve the inequality 1 2 x 4 . Solution The given inequality is 1 2 x 4 Applying cross multiplication 1 x 1 2 Applying multiplicative inverse x 2 Hence the value of ‘x’ should be less than ‘2’ for the given inequality. 2.1.7 Interval Notion In Inequality The inequalities are expressed by using interval notation. For example (a, ∞) refers to the interval of all real numbers greater than a. Left hand parenthesis ( denotes that value a is not to be included and right hand parenthesis ) indicates that end values are not included. Again in [a, ∞], left and right
  • 60.
    60 Inequality hand parenthesisindicates that end values are included. End values which are included are denoted by solid dots. End values which are not included are denoted by circular dot. Table 2.1: Notation of end points. Set Graph Interval Notation x a (a, ∞) x ≥ a [a, ∞) x b (−∞, b) x ≤ b (−∞, b] bc x a b x a bc x b b x b Answer Set In inequality, answer set is a group of those values which are solutions of variable of the given inequality. For example, for given inequality 0 x 3 where x ∈ I has only two solutions, i.e. x = 1 and x = 2. These two solutions satisfy the inequality relation. So, solution set or answer set of x is x = {1, 2} Note that, here, x is an integer type data. If it is a real type number, then there are infinite numbers of solutions for the given inequality. In this case, solution set (S) is represented by set builder form as S = {x : x ∈ R, where 0 x 2} Solved Problem 2.3 Solved the inequality 1.5 ≤ x − 2 3 ≤ 2 and denote solutions in answer set form. Take (i) x ∈ R and (ii) x ∈ I. Solution The given inequality is 1.5 ≤ x − 2 3 ≤ 2 Or 4.5 ≤ x − 2 ≤ 6 ⇒ 6.5 ≤ x ≤ 8
  • 61.
    2.1. INEQUALITIES 61 1.If x ∈ R then answer set is S = {x : x ∈ R, where 6.5 ≤ x ≤ 8} 2. If x ∈ I then there is only integer solution and it is x = 7. Now, answer set is given by x = {7}. For Real Numbers All positive or negative real values are called real numbers, i.e. 1, 2, 2.5, −3.125 and so on are real numbers. Consider an inequality x 2 where x ∈ R. In this inequality, value of x is less than 2. It means x is any real value, either whole integers or fractions or decimals that is ranging between −∞ to 2 (excluding end values). These values of x are represent in number line by a line, joining these two open end points1 . −4 −3 −2 −1 0 1 2 3 bc Similarly inequality −2 x 2 where x ∈ R is represent in number line by a line, joining these two open ends points. −4 −3 −2 −1 0 1 2 3 bc bc Here line drawn between two limits represents all values even if they are very small differences, like 1.0000001 and 1.0000002, and so on. When solution values are very close, the answer dots in number line, look a like to a solid line. Solid dot represents to the solution of x, while hollow dot represents to the limit of x but not the part of the solution of x. For Integers Integers are positive and negative real whole numbers. For example, 0, ±1, ±2, . . . are integers. Consider an inequality x 2 where x ∈ I. In this inequality, value of x is less than 2. It means x shall be any integer value that is ranging between −∞ to 2 (excluding end values). As the fraction values of x are not integers, hence only integer solutions of x are represented in the number line. 1 Open end points are the limits of answer values of inequality variable (x say) and these end points are part of element of answer set of x
  • 62.
    62 Inequality −4 −3−2 −1 0 1 2 3 b b b b b b Similarly inequality −2 x 2 where x ∈ I is represent in number line by a line, joining these two open ends points. −4 −3 −2 −1 0 1 2 3 b b b 2.1.8 Compound Statements In compound statements and and or mechanism is used. For example 1. 1 + 2 = 3 and −1 0 is true. 2. 1 + 2 = 3 and −1 0 is false. 3. 1 3 or 1 0 is true. 4. 1 3 or 1 0 is false. From set algebra, intersection of two sets A and B is the set of all elements that are in both A and B. Using set builder notation A ∩ B = {x : x ∈ A and x ∈ B} Union of two sets A and B is the set of all elements that are in A or B. Using set builder notation A ∪ B = {x : x ∈ A or x ∈ B} Set Graph Notation a x b (a, b) a ≤ x b [a, b) a x ≤ b (a, b] a ≤ x ≤ b [a, b] bc bc b bc bc b b b Table 2.2: Notation of two end points. 2.1.9 Linear Inequality Suppose we have an inequality relation as a ≤ f(x) ≤ b, where f(x) is linear function. To solve this inequality we construct sub functions as a ≤ f(x); f(x) ≤ b
  • 63.
    2.1. INEQUALITIES 63 Onsolving these sub functions we have x ≥ A and x ≤ B where A B then the domain of inequality is the common points of x represented by these two inequality solutions. For first case 0 1 2 3 4 5 6 b A For second case 0 1 2 3 4 5 6 b B Inequality domain of given inequality function is common points of these two sub inequality function. So 0 1 2 3 4 5 6 b A b B 2.1.10 Quadratic Inequality Suppose we have a quadratic inequality ax2 + bx + c ≤ 0. To solve this inequality, we first make highest degree term positive by multiplying by −1, if it is negative, then quadratic equation is written in factors form. (x ± A)(x ± B) ≤ 0 Left hand side is less than or equal to zero. It means product of these two factors is negative at every inequality domain. This happens when (i) (x ± A) is positive and (x ± B) is negative, and (ii) (x ± A) is negative and (x ± B) is positive. Thus we get two pairs of domain of inequality. Now by observing inequality in the domain, we can get the required inequality domain for which the inequality is satisfied. Solved Problem 2.4 Solve inequality 3(2x − 1) 8x − 7 and draw points in number line. Solution The given inequality is 3(2x − 1) 8x − 7. On simplification, it gives −2x −4 Dividing both side by 2 −x −2 Multiplying −1 both side, which givens x 2. In the number line 0 1 2 3 4 5 6 bc
  • 64.
    64 Inequality Solved Problem2.5 Graph inequalities x −1 and x 5 in number-line. Solution According the question, value of x is greater than −1 but it is less than 5. x is open at both end. So, the graph of inequalities may be plotted in numberline as given below: 0 1 2 3 4 5 6 0 −1 −2 bc bc Solved Problem 2.6 Solve the equation and represent the x in number-line for quadratic equation x2 − 3x + 2 0. Solution The given inequality is x2 − 3x + 2 0. It can be solved as (x − 1)(x − 2) 0 Left hand has two factors. The product of factor shall be less than zero, if one is positive and other is negative. So, (i) when x − 1 0 then x − 2 0 and (ii) when x − 1 0 then x − 2 0. So, the given conditions are (i) x 1 and x 2 or (ii) x 1 and x 2. The first case does not satisfy the inequality while second case satisfy the inequality. 0 1 2 3 bc bc Plot of this inequality is given below: 1 1 2 x y Figure 2.1: Plot of inequality x2 − 3x + 2 0. Solved Problem 2.7 Solve the equation and represent the x in number-line for quadratic equation 2x2 + 7x + 3 0. Solution The given equation is 2x2 + 7x + 3 0. Solving it, we have (2x + 1)(x + 3) 0
  • 65.
    2.1. INEQUALITIES 65 Lefthand has two factors. The product of factor shall be less than zero, if one is positive and other is negative. So, (i) when 2x + 1 0 then x + 3 0 and (ii) when 2x + 1 0 then x + 3 0. So, the given conditions are (i) x −0.5 and x −3 or (ii) x −0.5 and x −3. The first case satisfy the inequality while second case does not satisfy the inequality. The number line representation of x is shown in figure 2.2. 0 1 0 −1 −2 −3 −4 bc bc Figure 2.2: Numberline representation of x for inequality 2x2 + 7x + 3 0. The inequality plot is shown below: 1 1 −1 −2 −3 −4 x y Figure 2.3: Plot of inequality 2x2 + 7x + 3 0. Solved Problem 2.8 Find the set in interval notation and draw graph for solution of given set of equations x ≥ −2 and x ≤ 2. Solution The two sets of equations are x ≥ −2 and x ≤ 2. All values of x lines in [−2, 2]. The graph of values of x in shown in figure 2.4. 0 1 2 0 −1 −2 b b Figure 2.4: Numberline representation of x for inequality x ≥ −2 and x ≤ 2. Solved Problem 2.9 Solve the conjunction −1 ≤ x− 3 ≤ 5 by using compact form and show the solutions in the interval notation in number line.
  • 66.
    66 Inequality Solution Thegiven conjucture is −1 ≤ x − 3 ≤ 5 ⇒ 2 ≤ x ≤ 8 The domain of inequality is shown below: 0 1 2 3 4 5 6 7 8 9 b b Figure 2.5: Numberline representation of x for inequality −1 ≤ x − 3 ≤ 5. Solved Problem 2.10 Solve the conjunction −4 ≤ 3−x ≤ 4 by using compact form and show the solutions in the interval notation in number line. Solution The given conjucture is −4 ≤ 3 − x ≤ 4 ⇒ −7 ≤ −x ≤ 1 On multiplication by −1 in all terms of inequality, we have 7 ≥ x ≥ −1 The domain of inequality is shown below: 0 1 2 3 4 5 6 7 0 −1 b b Figure 2.6: Numberline representation of x for inequality −4 ≤ 3 − x ≤ 4. Solved Problem 2.11 Find the values of x for which the inequality x2 −4x+ 3 ≥ 0 is true. Solution The given inequality is x2 − 4x + 3 ≥ 0 Solving quadratic equation, we have (x − 3)(x − 1) ≥ 0 This is true if either both x − 3 and x − 1 are either positive or negative. So,
  • 67.
    2.1. INEQUALITIES 67 BothPositive In this case x − 3 ≥ 0 and x − 1 ≥ 0 and it gives x ≥ 3 and x ≥ 1. The common points in this case are x ≥ 3. Both Negative In this case x−3 ≤ 0 and x−1 ≤ 0 and it gives x ≤ 3 and x ≤ 1. The common points in this case are x ≤ 1. So, the given inequality is true when x ∈ (−∞, 1] ∪ [3, ∞). The numberlin and plot is given below: 0 1 2 3 4 5 0 −1 b b Figure 2.7: Numberline representation of x for inequality x2 − 4x + 3 ≥ 0. 1 1 2 3 4 5 −1 −2 x y Figure 2.8: Plot of inequality x2 − 4x + 3 ≥ 0. Solved Problem 2.12 Find the domain of x for the inequality given by y − 4y2 + 3 ≥ 0 Solution The given inequality is y − 4y2 + 3 ≥ 0 The critical points of the function are found when 4y2 − y − 3 ≤ 0 Or (4y + 3)(y − 1) ≤ 0 The inequality is less than zero, if either of both terms at left hand side are negative. So 4y + 3 0 and y − 1 0 or 4y + 3 0 and y − 1 0. Now, we have y − 3 4 ; y 1
  • 68.
    68 Inequality This domainof x satisfied the inequality while y − 3 4 ; y 1 does not satisfied to inequality. 1 −1 1 −1 x y Figure 2.9: Plot of y − 4y2 + 3 ≥ 0. Hence, nequality y − 4y2 + 3 ≥ 0 is true when x −3/4 or x 1 Solved Problem 2.13 Solve and show the solution set in number line of given inequality (x + 2)(x − 3) (x + 1)(x − 1) Solution The given inequality is (x + 2)(x − 3) (x + 1)(x − 1) On simplification of this inequality, we have −x − 6 −1 Solution set of x is x −5, which is shown in the number line in below figure. 0 −1 −2 −3 −4 −5 −6 −7 bc
  • 69.
    2.1. INEQUALITIES 69 SolvedProblem 2.14 Find the region enclosed by the following inequalities. y 0; x 0 Solution The inequality, y 0 encloses region above the x-axis. While, inequality x 0 encloses region right of the y-axis. So the enclosed region is first quadrant of the two dimensional xy-plane. 1 −1 1 −1 −2 x y 1 −1 1 −1 −2 x y Solved Problem 2.15 Find the region enclosed by a line and a circle as given by inequalities. y 1; x2 + y2 4 Solution There are two inequality equations. The enclosed region is between the two curves. The first equality is y 1 which represents the region below the line y = 1. Similarly, the second inequality equation x2 + y2 4 represents to a circle of radius 2 and this inequality represents to the region inside the circle. The common region is shown in the figure below:
  • 70.
    70 Inequality 1 2 −1 −2 1 2 −1 −2 x y 1 2 −1 −2 12 −1 −2 x y 2.1.11 Quotients and Absolute Inequalities Inequality given in quotient form is known as quotient inequality. For ex- ample f(x) g(x) k involves the quotient inequality. Absolute value of a real number is given by |a| = a if a ≥ 0 −a if a 0 There are common points which should be remember while solving the in- equality. 1. If highest degree terms of numerator and denominator are negative then they should be made positive by suitable multiplication of −1. 2. If under the conditions, numerator and denominator gives same re- lation for variable, then the domain of variable is always taken from minimum or maximum value. For example, if x a for numerator and x b for denominator then domain of x will be started from the value of x that is least. The same is applicable for ‘greater than’ relation. 3. If inequality is positive then both numerator and denominator should be either positive or negative. If function is in form of f(x) g(x) ≥ ±k Then it should be rearranged as f(x) g(x) ± k ≥ 0 ⇒ f(x) ± kg(x) g(x) ≥ 0 Now this new inequality shall be solved as explained above.
  • 71.
    2.1. INEQUALITIES 71 4.If inequality is negative then denominator must be positive and numer- ator should be negative. Only common values of x are the required domain of the inequality. If function is in form of f(x) g(x) ≤ ±k Then it should be rearranged as f(x) g(x) ± k ≤ 0 ⇒ f(x) ± kg(x) g(x) ≤ 0 Now this new inequality shall be solved as explained above. 5. In modulus quotient functions, the points for conditions are obtained by squaring both sides of the inequality. For example the points of conditions of the inequality
  • 75.
  • 79.
    ≤ k are obtainedby solving the above inequality by squaring and simpli- fying like
  • 83.
  • 87.
    2 = k2 After gettingthe points, we check the domain for x for which the quotient modulus function met the condition. Solved Problem 2.16 Solve inequality −3x + 1 2 4 and draw the points in number-line. Solution The given inequality is −3x + 1 2 4. On simplification, it gives −3x + 1 8 Or −3x 7 Multiplying −1 both side, which givens x 7/3. In the number line 0 1 2 3 0 −1 bc
  • 88.
    72 Inequality Solved Problem2.17 Solve inequality relation x − 4 6 − x − 2 9 ≤ 5 18 . Solution The given inequality is x − 4 6 − x − 2 9 ≤ 5 18 Simplifying it by multiplying both side by 3 x − 4 2 − x − 2 3 ≤ 5 6 Multiplying both side by 6 3x − 12 − 2x + 4 ≤ 5 Or x − 8 ≤ 5 It gives x ≤ 13. Plot of the inequality function is shown below: 0.5 −0.5 2 4 6 8 10 12 14 −2 y b 5/18 Figure 2.10: Plot of x − 4 6 − x − 2 9 ≤ 5 18 . Solved Problem 2.18 Find the values of x for which the inequality x − 3 x − 6 ≥ 0 is true. Solution The given inequality is x − 3 x − 6 ≥ 0 This conditions is satisfied, if x − 6 6= 0. The inequality is true when either both numerator and denominators are positive or both are negative. So, if
  • 89.
    2.1. INEQUALITIES 73 bothnumerator and denominator are positive then x 6 and x 3. The common points are lies when x 6. If both numerator and denominator are negative then x 6 and x 3. The common points lies in x 3. 1 2 3 4 5 6 −1 x y Figure 2.11: Plot of x − 3 x − 6 ≥ 0. Hence, the inequality x − 3 x − 6 ≥ 0 is true when x 3 or x 6. Solved Problem 2.19 Find the values of x for which the inequality (3 − x)(x + 2) x − 4 ≥ 0 is true. Solution The given inequality is (3 − x)(x + 2) x − 4 ≥ 0 This conditions is satisfied, if x − 4 6= 0. The inequality is true when either both numerator and denominators are positive or both are negative. So, if both numerator and denominator are positive then numerator is positive when x −2 and x 3, and denominator is positive x 4. −1 −2 1 2 3 4 5 −1 −2 −3 x y Figure 2.12: Plot of (3 − x)(x + 2) x − 4 ≥ 0.
  • 90.
    74 Inequality For theseconditions, there are no common point x for which both nu- merator and denominator is positive. If both numerator and denominator are negative then numerator is negative if x −2 or x 3 and x 4. Now, the domain of x for which given inequality is true are x −2 and x 4 and its common points are at x −2. Other combination is x 3 and x 4. The plot of inequality is shown above. Solved Problem 2.20 Find the value of u for which the following inequality is true. (u2 − 1)(2 − u) u − 4 3 Solution Solved Problem 2.21 Find the value of x for which the inequality is true. x − x + 3 5 − x ≤ 0 Solution The given inequality is x − x + 3 5 − x ≤ 0 On simplification 5x − x2 − x − 3 5 − x ≤ 0 Or x2 − 4x + 3 5 − x ≤ 0 The inequality is less than zero, hence denominator should be positive. So, for each case, 5 − x 0 or x 5. The inequality is true when numerator is negative, i.e. x2 − 4x + 3 0. Again (x − 3)(x − 1) 0 Left hand side has two terms, so they shall be less than zero, if either of the two are negative. So, (i) (x − 3) 0 and (x − 1) 0, or (ii) (x − 3) 0 and (x − 1) 0. They gives domains as (i) x 1 and x 3, and (ii) x 1 and x 3. The common points from first case does not satisfy to inequality while common points from second case satisfied the inequality. For numerator 0 1 2 3 4 5 0 −1 bc bc
  • 91.
    2.1. INEQUALITIES 75 Fordenominator 0 1 2 3 4 5 0 −1 bc Inequality domain of given inequality function is common points of these two sub inequality function. So 0 1 2 3 4 5 0 −1 bc bc The common points from numerator and denominator are x 1 and x 5, and x 3 and x 5 for which inequality is satisfied. For numerator 0 1 2 3 4 5 0 −1 bc 0 1 2 3 4 5 0 −1 bc For denominator 0 1 2 3 4 5 0 −1 bc Inequality domain of given inequality function is common points of these two sub inequality function. So 0 1 2 3 4 5 0 −1 bc bc bc The plot of the inequality is shown in below figure. −1 −2 1 2 3 4 5 −1 y Figure 2.13: Plot of x − x + 3 5 − x ≤ 0.
  • 92.
    76 Inequality Solved Problem2.22 Solve x − 2 x − 3 0 for x. Solution The inequality x − 2 x − 3 0 will be true if either both numerator and denominator are positive or neg- ative. From the inequality rules, denominator should not be zero. Hence, x 6= 3. Both Positive If x − 2 0 then x 2 and if x − 3 0 then x 3. For this case, inequality is always positive and greater than zero if x 3. Both Negative If x − 2 ≤ 0 then x ≤ 2 and if x − 3 0 then x 3. For this case, inequality is always positive and greater than zero if x 3. Now the domain of the x is given by x ∈ {(−∞, 2] ∪ (3, ∞)} If 2 ≤ x 3 then inequality is negative. 0 1 2 3 4 5 0 −1 b bc −1 1 2 3 4 5 −1 −2 x y Figure 2.14: Plot of x − 2 x − 3 0. Solved Problem 2.23 Graph inequalities −1 2 − x 3 2 in number-line. Solution The given inequality is −1 2 − x 3 2. It can be resoluted accordingly as given below: 2 − x 3 −1 ⇒ 2 − x −3 ⇒ 5 x
  • 93.
    2.1. INEQUALITIES 77 2− x 3 2 ⇒ 2 − x 6 ⇒ −4 x Value of x is greater than −4 but it is less than 5. x is open at both end. So, the graph of inequalities may be plotted in numberline as given below: 0 1 2 3 4 5 0 −1 −2 −3 −4 bc bc Solved Problem 2.24 Solve x + 2 x + 4 ≤ 4 for x. Solution From the rule of inequality in quotient form, denominator should not be zero. It means x 6= −4. At this point x + 2 x + 4 is equal to ∞ to −∞ when x moves in number line. Simplifying the relation x + 2 = 4x + 16 It gives −3x = 14 Or x = − 14 3 Here points x = −4 and x = −14/3 are two points where inequality changes its behavior. Now, there is requirement of the analysis of the function about these points. When x ≤ −14/3 In this case, the function is continuously increasing to value 4 in the domain of (−∞, −14/3]. When −14/3 x −4 For this interval of x, function increases from 4 to +∞ when x changes from −14/3 to −4. Function value for this interval of x is not acceptable. When x ≥ −4 Right hand side limit of the function at x = −4 is −∞. Limit of the function at x = ∞ is 1. Hence, when x ≥ −4 function continuously increases from −∞ to 1. 0 −1 −2 −3 −4 −5 −6 −7 b bc The domain of function in number-line is shown in above figure and domain of the function is plotted in the figure given below.
  • 94.
    78 Inequality 1 2 3 4 5 −1 −2 −3 −4 −1 −2 −3 −4 −5 −6 −7 −8 x y Figure 2.15:Plot of x + 2 x + 4 ≤ 4. Solved Problem 2.25 Solve |3x − 7| = 7 for x. Solution This function is mod function hence whenever the left hand side is −7, the absolute value becomes +7. Now removing the mod function. ±(3x − 7) = 7. Taking positive sign 3x − 7 = 7 It gives x = 14 3 Taking negative terms −(3x − 7) = 7, 3x − 7 = −7 It gives x = 0. It means there are two values of x. Solved Problem 2.26 Solve |2x + 1| 5 for x. Solution This function is mod function hence whenever the left hand side is −5, the absolute value becomes +5. Now removing the mod function. ±(2x + 1) 5. Taking positive sign 2x + 1 5 It gives x 2. Taking negative terms, −(2x + 1) 5 2x + 1 −5
  • 95.
    2.1. INEQUALITIES 79 Itgives x −2. It means the condition of inequality is met when domain of x is −2 x 2. Solved Problem 2.27 Find the set of domain of x in interval notation and draw graph for the given inequality x + 1 x − 5 0 Solution The given equality is greater than zero. Inequality will be defined if x − 5 6= 0 i.e. x 6= 5. There are two cases for values of x for which inequality met its conditions. Both Positive When numerator and denominator are positive separately then x + 1 0, i.e. x −1 and x − 5 0, i.e. x 5. Inequality is positive if value of x is x 5. Both Negative When numerator and denominator are negative sepa- rately, then x + 1 0 i.e. x −1 and x − 5 0 i.e. x 5. Inequality is positive if value of x is x −1. The domain of positive inequality is (−∞, −1) ∪ (5, ∞). x y -1 5 Solved Problem 2.28 Find the set of domain of x in interval notation and draw graph for the given inequality 2x − 1 x + 3 0 Solution The given equality is less than zero. Inequality is not defined if x + 3 = 0 i.e. x = −3. If inequality is less than zero then denominator shall be always positive and numerator should be negative. So, for positive
  • 96.
    80 Inequality denominator, x+ 3 0 gives x −3. For negative numerator 2x − 1 0 ⇒ x 0.5 The common points of these two inequalities are −3 x 0.5. The domain of x and plot of inequality is shown in the following numberline and plot figures respectively. For denominator, x points are 0 1 2 0 −1 −2 −3 −4 −5 bc For numerator, x points are 0 1 2 0 −1 −2 −3 −4 −5 bc Domain of inequality is common points of above two domains of x for deonominator and numerator. 0 1 2 0 −1 −2 −3 −4 −5 bc bc Plot of inequality is given below: 1 2 −1 −2 −3 −4 −5 −6 x y bc bc Solved Problem 2.29 Find the set of domain of x in interval notation and draw graph for the given inequality x − 1 x + 2 ≥ 0 Solution The given equality is greater than or equals to zero. Inequality is not defined if x + 2 = 0 i.e. x = −2. There are two cases for value of x for which inequality met its conditions.
  • 97.
    2.1. INEQUALITIES 81 BothPositive When numerator and denominator are positive. x−1 ≥ 0, i.e. x ≥ 1 and x + 2 ≥ 0, i.e. x ≥ −2. Inequality is always positive if x ≥ 1. Both Negative When numerator and denominator are negative. x − 1 ≤ 0, i.e. x ≤ 1 and x + 2 ≤ 0, i.e. x ≤ −2. Inequality is always positive if x ≤ −2. The inequality is positive if domain of x is (−∞, −2] ∪ [1, ∞). 1 −1 1 2 3 4 −1 −2 −3 −4 x y b b Solved Problem 2.30 Solve the conjunction by using compact form and show the solutions in the interval notation in number line. The conjunction is | − 2x − 1| = 10 Solution The given inequality is | − 2x − 1| = 10. On opening of the mod, the inequality becomes ±(−2x−1) = 10. It gives two sets of relations. 2x + 1 = 10 and 2x + 1 = −10 These relations gives two values of x which are x = −11/2 and x = 9/2. 0 1 2 3 4 0 −1 −2 −3 −4 −5 b b Solved Problem 2.31 Solve
  • 101.
  • 105.
    4 for xand show the domain of x in number line.
  • 106.
    82 Inequality Solution Thegiven inequality is
  • 110.
  • 114.
    4 Assume than inequalityfunction is f(x) = x − 3 x + 2 . Inequality is defined ev- erywhere except x + 2 = 0, i.e. x = −2 where it becomes infinity. Inequality becomes zero when x − 3 x + 2 = 0 ⇒ x = 3 It means when x = 3, function always be zero but when x 3 it be negative. Again this inequality changes its behavior at x = −2, hence it is required to get its behaviors around x = −2. When x −2, function is negative and when x −2 function is positive. The modulus function is negative when −2 ≤ x ≤ 3 and is positive otherwise. 5 −5 −10 1 2 3 4 5 −1 −2 −3 −4 −5 x y To check where the function gives ±4 value, we solve the modulus func- tion by squaring both sides.
  • 118.
  • 122.
    2 = 42 The modulussign will be removed on square and simplifying it gives the equation 3x2 + 14x + 11 = 0 Whose roots are x = −1 and x = −11/3. These are the points where modulus function will give +4 modulo value. Now we shall check the points for which the modulus function is less than |±4|. From figure it is clear that the modulus function f(x) is less than 4 when either x −1 or x −11/3. 0 1 2 3 4 5 0 −1 −2 −3 −4 bc bc
  • 123.
    2.1. INEQUALITIES 83 SolvedProblem 2.32 Solve
  • 127.
  • 131.
    ≤ 3 foru and show the domain of x in number line. Solution First we find the points where modulus function is equal to 3 by squaring both side.
  • 135.
  • 139.
    2 = 32 On simplification 2u2 +9u + 9 = 0 It has two roots. These are u = −3 and u = −3/2. Now we check the modulus function in the domain of (−∞, −3], [−3, −3/2] and [−3/2, ∞). 2 −2 1 2 3 −1 −2 −3 −4 −5 x y These are the points where modulus function will give +3 modulo value. Now we shall check the points for which the modulus function is ≤ | ± 3|. From figure it is clear that the modulus function f(x) is ≤ 3 when either x ≤ −3 or x ≥ −3/2. 0 1 2 3 0 −1 −2 −3 −4 b b Solved Problem 2.33 Solve
  • 143.
    x + 4 x− 5
  • 147.
    ≥ 3 forx and show the domain of x in number line. Solution First we find the points where modulus function is equal to 3 by squaring both side.
  • 151.
    x + 4 x− 5
  • 155.
  • 156.
    84 Inequality It hastwo roots. These are x = 2.75 and x = 9.5. Now we check the modulus function in the domain of (−∞, 2.75], [2.75, 9.5] and [9.5, ∞). 2 −2 1 2 3 4 5 6 7 8 9 10 −1 x y These are the points where modulus function will give +3 modulo value. Now we shall check the points for which the modulus function is ≥ | ± 3|. From figure it is clear that the modulus function f(x) is ≥ 3 when either x ≥ 2.75 and x ≤ 9.5. 0 1 2 3 4 5 6 7 8 9 10 b b Solved Problem 2.34 Solve
  • 160.
  • 164.
    = 2 forx and show the domain of x in number line. Solution The given inequality is
  • 168.
  • 172.
    = 2. Squaringboth side, It gives equation x2 − 8x + 12 = 0 On solving this equation, we have two roots for x which are x = 6 and x = 2. These roots are represented in the number line as given below: −1 0 1 2 3 4 5 6 b b