Slide 1
Use Case
Sequence Diagram
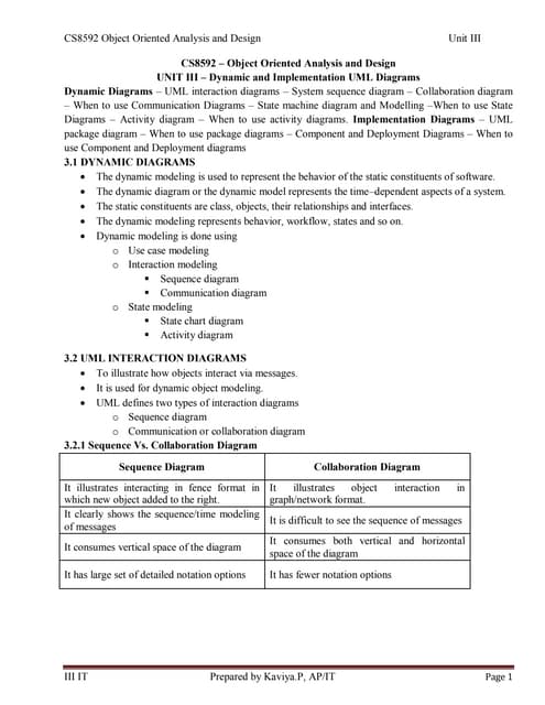
Slide 2
Interaction Diagrams
q Interaction diagrams model the behavior of
use cases by describing the way groups of
objects interact to complete the task of the
use case.
q There are two types of interaction diagrams
q Sequence Diagrams and Communication
Diagrams (formally known as collaboration
diagrams)
Slide 3
Interaction Diagrams
q Sequence diagrams
• generally show the sequence of events that occur.
q Collaboration diagrams
demonstrate how objects are statically connected.
q Both diagrams are relatively simple
to draw and contain similar elements.
Slide 4
Sequence Diagram
q Illustrates the objects that participate
in a use case and the messages that
pass between them over time for one
use case
q In design, used to distribute use case
behavior to classes
Slide 5
Sequence Diagram
member:
LibraryMember
book:Book
:Book
Copy
borrow(book)
ok = mayBorrow()
[ok] borrow(member)
setTaken(member)
X-Axis (objects)
Y-Axis(time)
ObjectLife
Line
Message
Focus of
control
Condition
Slide 6
Sequence Diagram Syntax
AN ACTOR
AN OBJECT
A LIFELINE
A FOCUS OF CONTROL
A MESSAGE
OBJECT DESTRUCTION
anObject:aClass
aMessage()
x
Slide 7
Sequence Diagram
Two major components
• Active objects
• Communications between these active
objects
• Messages sent between the active objects
Slide 8
Sequence Diagram
Active objects
• Any objects that play a role in the
system
• Participate by sending and/or receiving
messages
• Placed across the top of the diagram
• Can be:
• An actor (from the use case diagram)
• Object/class (from the class diagram) within the
system
Slide 9
Active Objects
Object
• Can be any object or class that is
valid within the system
• Object naming
• Syntax
[instanceName][:className]
1. Class name only :Classname
2. Instance name only objectName
3. Instance name and class name
together object:Class
myBirthdy
:Date
Slide 10
Active Objects
Actor
• A person or system that derives
benefit from and is external to the
system
• Participates in a sequence by sending
and/or receiving messages
Slide 11
Sequence Diagram
Slide 12
Communications
between Active Objects
Messages
• Used to illustrate communication
between different active objects of a
sequence diagram
• Used when an object needs
• to activate a process of a different object
• to give information to another object
Slide 13
Messages
A message is represented by an arrow
between the life lines of two objects.
• Self calls are allowed
A message is labeled at minimum with
the message name.
• Arguments and control information
(conditions, iteration) may be included.
Slide 14
Types of Messages

Synchronous (flow interrupt until the message
has completed)

Asynchronous (don’t wait for response)

Flat (no distinction between sysn/async)

Return (control flow has returned to the caller)
Slide 15
Synchronous Messages
q The routine that handles the
message is completed before the
calling routine resumes execution.
:A :B
doYouUnderstand()
Caller
Blocked
return
(optional)yes
Slide 16
Asynchronous Messages

Calling routine does not wait for the
message to be handled before it
continues to execute.
 As if the call returns immediately

Examples
 Notification of somebody or something
 Messages that post progress
information
Slide 17
Return Values

Optionally indicated using a dashed
arrow with a label indicating the return
value.
 Don’t model a return value when it is
obvious what is being returned, e.g.
getTotal()
 Model a return value only when you need to
refer to it elsewhere (e.g. as a parameter
passed in another message)
 Prefer modeling return values as part of a
method invocation, e.g. ok = isValid()
Slide 18
Sequence Diagram
member:
LibraryMember
book:Book
:Book
Copy
borrow(book)
ok = mayBorrow()
[ok] borrow(member)
setTaken(member)
X-Axis (objects)
Y-Axis(time)
ObjectLife
Line
Message
Focus of
control
Condition
Slide 19
Other Elements
of Sequence Diagram

Lifeline

Focus of control (activation box or
execution occurrence)

Control information
 Condition, repetition
Slide 20
Sequence Diagram

Lifeline
 Denotes the life of actors/objects over
time during a sequence
 Represented by a vertical line below
each actor and object (normally dashed
line)

For temporary object
 place X at the end of the lifeline at the
point where the object is destroyed
Slide 21
Sequence Diagram

Focus of control (activation box)
 Means the object is active and using
resources during that time period
 Denotes when an object is sending or
receiving messages
 Represented by a thin, long
rectangular box overlaid onto a lifeline
Slide 22
Sequence Diagram
member:
LibraryMember
book:Book
:Book
Copy
borrow(book)
ok = mayBorrow()
[ok] borrow(member)
setTaken(member)
X-Axis (objects)
Y-Axis(time)
ObjectLife
Line
Message
Focus of
control
Condition
Slide 23
Control Information

Condition
 syntax: ‘[‘ expression ’]’ message-label
 The message is sent only if the
condition is true
[ok] borrow(member)
Slide 24
Elements of Sequence Diagram
obj1:Class
[x < 15] calculate()
obj2: Class
message()
Slide 25
Sequence Diagrams
obj1:Class
[x < 15] calculate()
obj2: Class
message()
obj3: Class
[x > 20] calculate()
Slide 26
Sequence Diagrams
q Concurrency
obj1:Class
calculate()
obj2: Class
message()
obj3: Class
calculate()
Slide 27
Elements of Sequence Diagram

Control information
 Iteration
 may have square brackets containing a
continuation condition (until) specifying
the condition that must be satisfied in
order to exit the iteration and continue
with the sequence
 may have an asterisk followed by square
brackets containing an iteration (while or
for) expression specifying the number of
iterations
Slide 28
Control Information

Iteration
 syntax: * [ ‘[‘ expression ‘]’ ]
message-label
 The message is sent many times to
possibly multiple receiver objects.
*draw()
Slide 29
Control Information

Iteration example
:Driver
*[until full] insert()
:Bus:CompoundShape :Shape
*draw()
draw()
Slide 30
Sequence Diagrams

Creation and destruction of an object in
sequence diagrams are denoted by the
stereotypes <<create>> and <<destroy>>
:Creator
<<create>>
: Created Object
message()
<<destroy>> X
Slide 31
getViolation(id)
Sequence Diagram
Clerk
:Violations
Dialog
:Violations
Controller
:Violations
DBProxy
lookup
viewButton()
id=getID()
v:Traffic
Violation
display(v)
<<create>>
v
Lookup
Traffic
Violation
DB is queried
and the result
is returned as
an object
Slide 32
Steps for Building
a Sequence Diagram
1) Set the context
2) Identify which objects and actors will participate
3) Set the lifeline for each object/actor
4) Lay out the messages from the top to the
bottom of the diagram based on the order in
which they are sent
5) Add the focus of control for each object’s or
actor’s lifeline
6) Validate the sequence diagram
Slide 33
1) Set the context.
a) Select a use case.
b) Decide the initiating actor.
Steps for Building a Sequence Diagram
Slide 34
2) Identify the objects that may
participate in the implementation of
this use case by completing the
supplied message table.
a) List candidate objects.
1) Use case controller class
2) Domain classes
3) Database table classes
4) Display screens or reports
Steps for Building a Sequence Diagram
Slide 35
Steps for Building a Sequence Diagram
2) Identify the objects (cont.)
b) List candidate messages. (in message analysis table)
1) Examine each step in the normal scenario of the
use case description to determine the messages
needed to implement that step.
2) For each step:
1) Identify step number.
2) Determine messages needed to complete this
step.
3) For each message, decide which class holds the
data for this action or performs this action
3) Make sure that the messages within the table are in the
same order as the normal scenario
Slide 36
Steps for Building a Sequence Diagram
2) Identify the objects (cont.)
c) Begin sequence diagram construction.
1) Draw and label each of the identified actors and
objects across the top of the sequence diagram.
2) The typical order from left to right across the top is
the actor, primary display screen class, primary
use case controller class, domain classes (in
order of access), and other display screen classes
(in order of access)
2) Set the lifeline for each object/actor
Slide 37
4) Lay out the messages from the top to the
bottom of the diagram based on the order
in which they are sent.
a) Working in sequential order of the message
table, make a message arrow with the
message name pointing to the owner class.
b) Decide which object or actor initiates the
message and complete the arrow to its lifeline.
c) Add needed return messages.
d) Add needed parameters and control
information.
Steps for Building a Sequence Diagram
Slide 38
5) Add the focus of control (activation
box) for each object’s or actor’s
lifeline.
6) Validate the sequence diagram.
Steps for Building a Sequence Diagram
Slide 39
Sequence Diagrams
:Cashier
makenewSale()
: System
enterItem(itemID, quantity)
description, total
endSale()
total
makePayment(amount)
change due, receipt
Slide 40
Sequence Diagram
Slide 41
Thanks

Lecture11 use case sequence diagram

  • 1.
  • 2.
    Slide 2 Interaction Diagrams qInteraction diagrams model the behavior of use cases by describing the way groups of objects interact to complete the task of the use case. q There are two types of interaction diagrams q Sequence Diagrams and Communication Diagrams (formally known as collaboration diagrams)
  • 3.
    Slide 3 Interaction Diagrams qSequence diagrams • generally show the sequence of events that occur. q Collaboration diagrams demonstrate how objects are statically connected. q Both diagrams are relatively simple to draw and contain similar elements.
  • 4.
    Slide 4 Sequence Diagram qIllustrates the objects that participate in a use case and the messages that pass between them over time for one use case q In design, used to distribute use case behavior to classes
  • 5.
    Slide 5 Sequence Diagram member: LibraryMember book:Book :Book Copy borrow(book) ok= mayBorrow() [ok] borrow(member) setTaken(member) X-Axis (objects) Y-Axis(time) ObjectLife Line Message Focus of control Condition
  • 6.
    Slide 6 Sequence DiagramSyntax AN ACTOR AN OBJECT A LIFELINE A FOCUS OF CONTROL A MESSAGE OBJECT DESTRUCTION anObject:aClass aMessage() x
  • 7.
    Slide 7 Sequence Diagram Twomajor components • Active objects • Communications between these active objects • Messages sent between the active objects
  • 8.
    Slide 8 Sequence Diagram Activeobjects • Any objects that play a role in the system • Participate by sending and/or receiving messages • Placed across the top of the diagram • Can be: • An actor (from the use case diagram) • Object/class (from the class diagram) within the system
  • 9.
    Slide 9 Active Objects Object •Can be any object or class that is valid within the system • Object naming • Syntax [instanceName][:className] 1. Class name only :Classname 2. Instance name only objectName 3. Instance name and class name together object:Class myBirthdy :Date
  • 10.
    Slide 10 Active Objects Actor •A person or system that derives benefit from and is external to the system • Participates in a sequence by sending and/or receiving messages
  • 11.
  • 12.
    Slide 12 Communications between ActiveObjects Messages • Used to illustrate communication between different active objects of a sequence diagram • Used when an object needs • to activate a process of a different object • to give information to another object
  • 13.
    Slide 13 Messages A messageis represented by an arrow between the life lines of two objects. • Self calls are allowed A message is labeled at minimum with the message name. • Arguments and control information (conditions, iteration) may be included.
  • 14.
    Slide 14 Types ofMessages  Synchronous (flow interrupt until the message has completed)  Asynchronous (don’t wait for response)  Flat (no distinction between sysn/async)  Return (control flow has returned to the caller)
  • 15.
    Slide 15 Synchronous Messages qThe routine that handles the message is completed before the calling routine resumes execution. :A :B doYouUnderstand() Caller Blocked return (optional)yes
  • 16.
    Slide 16 Asynchronous Messages  Callingroutine does not wait for the message to be handled before it continues to execute.  As if the call returns immediately  Examples  Notification of somebody or something  Messages that post progress information
  • 17.
    Slide 17 Return Values  Optionallyindicated using a dashed arrow with a label indicating the return value.  Don’t model a return value when it is obvious what is being returned, e.g. getTotal()  Model a return value only when you need to refer to it elsewhere (e.g. as a parameter passed in another message)  Prefer modeling return values as part of a method invocation, e.g. ok = isValid()
  • 18.
    Slide 18 Sequence Diagram member: LibraryMember book:Book :Book Copy borrow(book) ok= mayBorrow() [ok] borrow(member) setTaken(member) X-Axis (objects) Y-Axis(time) ObjectLife Line Message Focus of control Condition
  • 19.
    Slide 19 Other Elements ofSequence Diagram  Lifeline  Focus of control (activation box or execution occurrence)  Control information  Condition, repetition
  • 20.
    Slide 20 Sequence Diagram  Lifeline Denotes the life of actors/objects over time during a sequence  Represented by a vertical line below each actor and object (normally dashed line)  For temporary object  place X at the end of the lifeline at the point where the object is destroyed
  • 21.
    Slide 21 Sequence Diagram  Focusof control (activation box)  Means the object is active and using resources during that time period  Denotes when an object is sending or receiving messages  Represented by a thin, long rectangular box overlaid onto a lifeline
  • 22.
    Slide 22 Sequence Diagram member: LibraryMember book:Book :Book Copy borrow(book) ok= mayBorrow() [ok] borrow(member) setTaken(member) X-Axis (objects) Y-Axis(time) ObjectLife Line Message Focus of control Condition
  • 23.
    Slide 23 Control Information  Condition syntax: ‘[‘ expression ’]’ message-label  The message is sent only if the condition is true [ok] borrow(member)
  • 24.
    Slide 24 Elements ofSequence Diagram obj1:Class [x < 15] calculate() obj2: Class message()
  • 25.
    Slide 25 Sequence Diagrams obj1:Class [x< 15] calculate() obj2: Class message() obj3: Class [x > 20] calculate()
  • 26.
    Slide 26 Sequence Diagrams qConcurrency obj1:Class calculate() obj2: Class message() obj3: Class calculate()
  • 27.
    Slide 27 Elements ofSequence Diagram  Control information  Iteration  may have square brackets containing a continuation condition (until) specifying the condition that must be satisfied in order to exit the iteration and continue with the sequence  may have an asterisk followed by square brackets containing an iteration (while or for) expression specifying the number of iterations
  • 28.
    Slide 28 Control Information  Iteration syntax: * [ ‘[‘ expression ‘]’ ] message-label  The message is sent many times to possibly multiple receiver objects. *draw()
  • 29.
    Slide 29 Control Information  Iterationexample :Driver *[until full] insert() :Bus:CompoundShape :Shape *draw() draw()
  • 30.
    Slide 30 Sequence Diagrams  Creationand destruction of an object in sequence diagrams are denoted by the stereotypes <<create>> and <<destroy>> :Creator <<create>> : Created Object message() <<destroy>> X
  • 31.
  • 32.
    Slide 32 Steps forBuilding a Sequence Diagram 1) Set the context 2) Identify which objects and actors will participate 3) Set the lifeline for each object/actor 4) Lay out the messages from the top to the bottom of the diagram based on the order in which they are sent 5) Add the focus of control for each object’s or actor’s lifeline 6) Validate the sequence diagram
  • 33.
    Slide 33 1) Setthe context. a) Select a use case. b) Decide the initiating actor. Steps for Building a Sequence Diagram
  • 34.
    Slide 34 2) Identifythe objects that may participate in the implementation of this use case by completing the supplied message table. a) List candidate objects. 1) Use case controller class 2) Domain classes 3) Database table classes 4) Display screens or reports Steps for Building a Sequence Diagram
  • 35.
    Slide 35 Steps forBuilding a Sequence Diagram 2) Identify the objects (cont.) b) List candidate messages. (in message analysis table) 1) Examine each step in the normal scenario of the use case description to determine the messages needed to implement that step. 2) For each step: 1) Identify step number. 2) Determine messages needed to complete this step. 3) For each message, decide which class holds the data for this action or performs this action 3) Make sure that the messages within the table are in the same order as the normal scenario
  • 36.
    Slide 36 Steps forBuilding a Sequence Diagram 2) Identify the objects (cont.) c) Begin sequence diagram construction. 1) Draw and label each of the identified actors and objects across the top of the sequence diagram. 2) The typical order from left to right across the top is the actor, primary display screen class, primary use case controller class, domain classes (in order of access), and other display screen classes (in order of access) 2) Set the lifeline for each object/actor
  • 37.
    Slide 37 4) Layout the messages from the top to the bottom of the diagram based on the order in which they are sent. a) Working in sequential order of the message table, make a message arrow with the message name pointing to the owner class. b) Decide which object or actor initiates the message and complete the arrow to its lifeline. c) Add needed return messages. d) Add needed parameters and control information. Steps for Building a Sequence Diagram
  • 38.
    Slide 38 5) Addthe focus of control (activation box) for each object’s or actor’s lifeline. 6) Validate the sequence diagram. Steps for Building a Sequence Diagram
  • 39.
    Slide 39 Sequence Diagrams :Cashier makenewSale() :System enterItem(itemID, quantity) description, total endSale() total makePayment(amount) change due, receipt
  • 40.
  • 41.

Editor's Notes

  • #3 1) Sequence diagram Emphasize explicit chronological sequence of messages Useful in situations where the order in which events occurs is important WE ARE BUILDING ONLY SEQUENCE DIAGRAMS; helpful in seeing if you have all the methods for the different classes 2) Collaboration diagrams Emphasize the relationship between objects Powerful tool for understanding the structure of the software product Events are represented by annotated arrows placed alongside lines connecting boxes containing the names of actors
  • #4 1) Sequence diagram Emphasize explicit chronological sequence of messages Useful in situations where the order in which events occurs is important WE ARE BUILDING ONLY SEQUENCE DIAGRAMS; helpful in seeing if you have all the methods for the different classes 2) Collaboration diagrams Emphasize the relationship between objects Powerful tool for understanding the structure of the software product Events are represented by annotated arrows placed alongside lines connecting boxes containing the names of actors
  • #5 In 3350, each team MUST CREATE SEQUENCE DIAGRAM FOR NORMAL SCENARIO FOR EACH USE CASE ON USE CASE DIAGRAM Sequence Diagram Used to document the details of a use case Shows the sequence of messages that implement a service or transaction Class diagram has a modeling focus on the class level while sequence diagram has a modeling focus is on the object level Represents a scenario from a use case Is a graphical representation of interactions between objects showing the sending and receiving of messages in sequence Emphasize the time-based ordering of the activity that takes place among a set of objects Used to understand the flow of control of a scenario by time Depicts the objects and classes involved in the scenario and the sequence of messages exchanged between the objects needed to carry out the functionality of the scenario
  • #6 In a sequence diagram Each column represents an object that is participating in the interaction. The vertical axis represents time (from top to bottom). Messages are shown by full arrows. Labels on full arrows represent message names and arguments. The operation can itself send other requests to other objects An object can request an operation from itself (looping arrow) Activations the time it takes to perform an operation are depicted by a rectangle attached to an object. The height of the rectangle is indicative for the duration of the operation The vertical rectangle shows that an object is active, that is, it is handling a request made by another object.
  • #8 Sequence Diagram Shows the sequence of messages that implement a service or transaction Class diagram has a modeling focus on the class level while sequence diagram has a modeling focus is on the object level Emphasize the time-based ordering of the activity that takes place among a set of objects Used to understand the flow of control of a scenario by time Depicts the objects and classes involved in the scenario and the sequence of messages exchanged between the objects needed to carry out the functionality of the scenario
  • #9 Object in a sequence diagram Still represented by the rectangle with object name on inside
  • #10 3 ways to name: Just an object name Object name and class name Just a class name Object names are always underlined and begin with a lowercase letter Class names are always capitalized Naming objects Name classes consistently with your class diagram (same classes). Include instance names when objects are referred to in messages or when several objects of the same type exist in the diagram. Most of the time you use the class name, but if you refer to a particular instance in a scenario the object:Class notation is used. Objects can be named by Using generic object names to clarify the class Including the name of the class after the name of the object, separated by a colon
  • #11 Actor in a Sequence diagram Still represented by the stick figure as on use case diagram don’t have to place in any particular order across the top of the diagram but better to organize them in the order in which they participate in the sequence Illustrating actors as active objects models how actors interact with the system and how the system interacts with the user Actors can call objects and objects can notify actors
  • #13 Messages An interaction between two objects is performed as a message sent from one object to another. HOW ACTIVE OBJECTS COMMUNICATE WITH EACH OTHER IN A SEQUENCE DIAGRAM Illustrate the flow between the objects, how they interact, and what conditions change the flow
  • #14 Time required by the receiver object to process the message is denoted by focus of control
  • #15 3) Flat Use when we don’t care and don’t know if a message is synchronous or asynchronous NOTICE THAT THE ARROW HEAD IS ONLY 2 LINES, NOT A FILLED-IN TRIANGLE
  • #16 Synchronize Messages The object :A is in a hold pattern waiting for the response from the object :B Indicates that flow is interrupted until the message has completed, and any messages that were sent from that message are completed as well. Used for procedural system flow where one piece of functionality is executed before another Modeled with a solid arrow head and line
  • #17 Asynchronous messages Used when control flow does not need to be interrupted before completing Can be used for modeling concurrent systems Can: Create a new thread (a new activation record) Create a new object Communicate with a thread that is already running Active objects own an execution thread and can initiate control activity.
  • #19 In a sequence diagram Each column represents an object that is participating in the interaction. The vertical axis represents time (from top to bottom). Messages are shown by full arrows. Labels on full arrows represent message names and arguments. The operation can itself send other requests to other objects An object can request an operation from itself (looping arrow) Activations the time it takes to perform an operation are depicted by a rectangle attached to an object. The height of the rectangle is indicative for the duration of the operation The vertical rectangle shows that an object is active, that is, it is handling a request made by another object.
  • #21 Lifeline in a sequence diagram Represented by a vertical line for which our book uses a dotted (dashed) line or other people use a solid line Sometimes an object creates a temporary object and in this case an X is placed at the end of the object’s lifeline to show that it is going out of existence (is destroyed) Example: shopping cart object for a Web commerce application which is no long needed while the order is placed If objects exist in the system after they are used in the sequence diagram, their lifeline continues to the bottom of the diagram
  • #22 A focus of control in a sequence diagram Shows the period of time in which an object has a thread of control
  • #23 In a sequence diagram Each column represents an object that is participating in the interaction. The vertical axis represents time (from top to bottom). Messages are shown by full arrows. Labels on full arrows represent message names and arguments. The operation can itself send other requests to other objects An object can request an operation from itself (looping arrow) Activations the time it takes to perform an operation are depicted by a rectangle attached to an object. The height of the rectangle is indicative for the duration of the operation The vertical rectangle shows that an object is active, that is, it is handling a request made by another object.
  • #24 Conditional messages: A message might contain a guard condition denoted in square brackets
  • #27 The branch represents concurrency if the guard conditions are mutually inclusive. Thus multiple messages are sent.
  • #31 People differ on how to different parts of the UML diagrams In little UML book, Ambler (author) says that introducing object destruction often introduces clutter to the diagram
  • #33 Steps for building a sequence diagram 1) Set the context Determine the context of the sequence diagram Context of the diagram can be a system, a use case, a scenario of a use case, or an operation of a class MOST COMMONLY, one use-case scenario 2) Identify which objects/actors will participate Review the use case scenario and identify objects/actors Objects are also found in the class diagrams May uncover new classes/objects during this process 3) Set the lifeline Draw vertical below each actor/object to represent its existence during the sequence Place an X below an object at the point on the lifeline where the object goes out of existence 4) Lay out messages Draw arrows to represent the messages being passed from object to object, with the arrow pointing in the message’s transmission direction Review the use case scenario and look for communication between objects and actors OR objects and other objects Identify senders and receivers of messages Arrows should be placed in order from the first message (at the top) to the last (at the bottom) to show time sequence Put name of operation to be invoked on top of arrow line (add arguments if known) 5) Add focus of control Draw a narrow rectangular box over the top of the lifelines to represent when the actors or classes are sending and receiving messages 6) Validate Guarantee that the diagram depicts all of the steps in the process
  • #34 Steps for building a sequence diagram 1) Set the context Determine the context of the sequence diagram Context of the diagram can be a system, a use case, a scenario of a use case, or an operation of a class MOST COMMONLY, one use-case scenario 2) Identify which objects/actors will participate Review the use case scenario and identify objects/actors Objects are also found in the class diagrams May uncover new classes/objects during this process 3) Set the lifeline Draw vertical below each actor/object to represent its existence during the sequence Place an X below an object at the point on the lifeline where the object goes out of existence 4) Lay out messages Draw arrows to represent the messages being passed from object to object, with the arrow pointing in the message’s transmission direction Review the use case scenario and look for communication between objects and actors OR objects and other objects Identify senders and receivers of messages Arrows should be placed in order from the first message (at the top) to the last (at the bottom) to show time sequence Put name of operation to be invoked on top of arrow line (add arguments if known) 5) Add focus of control Draw a narrow rectangular box over the top of the lifelines to represent when the actors or classes are sending and receiving messages 6) Validate Guarantee that the diagram depicts all of the steps in the process
  • #35 Steps for building a sequence diagram 1) Set the context Determine the context of the sequence diagram Context of the diagram can be a system, a use case, a scenario of a use case, or an operation of a class MOST COMMONLY, one use-case scenario 2) Identify which objects/actors will participate Review the use case scenario and identify objects/actors Objects are also found in the class diagrams May uncover new classes/objects during this process 3) Set the lifeline Draw vertical below each actor/object to represent its existence during the sequence Place an X below an object at the point on the lifeline where the object goes out of existence 4) Lay out messages Draw arrows to represent the messages being passed from object to object, with the arrow pointing in the message’s transmission direction Review the use case scenario and look for communication between objects and actors OR objects and other objects Identify senders and receivers of messages Arrows should be placed in order from the first message (at the top) to the last (at the bottom) to show time sequence Put name of operation to be invoked on top of arrow line (add arguments if known) 5) Add focus of control Draw a narrow rectangular box over the top of the lifelines to represent when the actors or classes are sending and receiving messages 6) Validate Guarantee that the diagram depicts all of the steps in the process
  • #36 Steps for building a sequence diagram 1) Set the context Determine the context of the sequence diagram Context of the diagram can be a system, a use case, a scenario of a use case, or an operation of a class MOST COMMONLY, one use-case scenario 2) Identify which objects/actors will participate Review the use case scenario and identify objects/actors Objects are also found in the class diagrams May uncover new classes/objects during this process 3) Set the lifeline Draw vertical below each actor/object to represent its existence during the sequence Place an X below an object at the point on the lifeline where the object goes out of existence 4) Lay out messages Draw arrows to represent the messages being passed from object to object, with the arrow pointing in the message’s transmission direction Review the use case scenario and look for communication between objects and actors OR objects and other objects Identify senders and receivers of messages Arrows should be placed in order from the first message (at the top) to the last (at the bottom) to show time sequence Put name of operation to be invoked on top of arrow line (add arguments if known) 5) Add focus of control Draw a narrow rectangular box over the top of the lifelines to represent when the actors or classes are sending and receiving messages 6) Validate Guarantee that the diagram depicts all of the steps in the process
  • #37 Steps for building a sequence diagram 1) Set the context Determine the context of the sequence diagram Context of the diagram can be a system, a use case, a scenario of a use case, or an operation of a class MOST COMMONLY, one use-case scenario 2) Identify which objects/actors will participate Review the use case scenario and identify objects/actors Objects are also found in the class diagrams May uncover new classes/objects during this process 3) Set the lifeline Draw vertical below each actor/object to represent its existence during the sequence Place an X below an object at the point on the lifeline where the object goes out of existence 4) Lay out messages Draw arrows to represent the messages being passed from object to object, with the arrow pointing in the message’s transmission direction Review the use case scenario and look for communication between objects and actors OR objects and other objects Identify senders and receivers of messages Arrows should be placed in order from the first message (at the top) to the last (at the bottom) to show time sequence Put name of operation to be invoked on top of arrow line (add arguments if known) 5) Add focus of control Draw a narrow rectangular box over the top of the lifelines to represent when the actors or classes are sending and receiving messages 6) Validate Guarantee that the diagram depicts all of the steps in the process
  • #38 Steps for building a sequence diagram 1) Set the context Determine the context of the sequence diagram Context of the diagram can be a system, a use case, a scenario of a use case, or an operation of a class MOST COMMONLY, one use-case scenario 2) Identify which objects/actors will participate Review the use case scenario and identify objects/actors Objects are also found in the class diagrams May uncover new classes/objects during this process 3) Set the lifeline Draw vertical below each actor/object to represent its existence during the sequence Place an X below an object at the point on the lifeline where the object goes out of existence 4) Lay out messages Draw arrows to represent the messages being passed from object to object, with the arrow pointing in the message’s transmission direction Review the use case scenario and look for communication between objects and actors OR objects and other objects Identify senders and receivers of messages Arrows should be placed in order from the first message (at the top) to the last (at the bottom) to show time sequence Put name of operation to be invoked on top of arrow line (add arguments if known) 5) Add focus of control Draw a narrow rectangular box over the top of the lifelines to represent when the actors or classes are sending and receiving messages 6) Validate Guarantee that the diagram depicts all of the steps in the process
  • #39 Steps for building a sequence diagram 1) Set the context Determine the context of the sequence diagram Context of the diagram can be a system, a use case, a scenario of a use case, or an operation of a class MOST COMMONLY, one use-case scenario 2) Identify which objects/actors will participate Review the use case scenario and identify objects/actors Objects are also found in the class diagrams May uncover new classes/objects during this process 3) Set the lifeline Draw vertical below each actor/object to represent its existence during the sequence Place an X below an object at the point on the lifeline where the object goes out of existence 4) Lay out messages Draw arrows to represent the messages being passed from object to object, with the arrow pointing in the message’s transmission direction Review the use case scenario and look for communication between objects and actors OR objects and other objects Identify senders and receivers of messages Arrows should be placed in order from the first message (at the top) to the last (at the bottom) to show time sequence Put name of operation to be invoked on top of arrow line (add arguments if known) 5) Add focus of control Draw a narrow rectangular box over the top of the lifelines to represent when the actors or classes are sending and receiving messages 6) Validate Guarantee that the diagram depicts all of the steps in the process
  • #42 Steps for building a sequence diagram 1) Set the context Determine the context of the sequence diagram Context of the diagram can be a system, a use case, a scenario of a use case, or an operation of a class MOST COMMONLY, one use-case scenario 2) Identify which objects/actors will participate Review the use case scenario and identify objects/actors Objects are also found in the class diagrams May uncover new classes/objects during this process 3) Set the lifeline Draw vertical below each actor/object to represent its existence during the sequence Place an X below an object at the point on the lifeline where the object goes out of existence 4) Lay out messages Draw arrows to represent the messages being passed from object to object, with the arrow pointing in the message’s transmission direction Review the use case scenario and look for communication between objects and actors OR objects and other objects Identify senders and receivers of messages Arrows should be placed in order from the first message (at the top) to the last (at the bottom) to show time sequence Put name of operation to be invoked on top of arrow line (add arguments if known) 5) Add focus of control Draw a narrow rectangular box over the top of the lifelines to represent when the actors or classes are sending and receiving messages 6) Validate Guarantee that the diagram depicts all of the steps in the process