Glycogen Metabolism
Dr. Usman Saleem
Rashid Latif College of Pharmacy
Glycogen
An Overview
•Glycogen is a readily mobilized storage form of glucose.
•It is a branched chain polymer of glucose in which
glucose units are linked to each other through a-1,4 and
a-1,6 linkages.
•The bulk of glycogen is stored in liver and muscles.
Glycogen
Storage Site and Functions
• The bulk of glycogen is stored in liver and muscles.
• In liver – The synthesis and breakdown of glycogen is
regulated to maintain blood glucose levels.
• In muscle - The synthesis and breakdown of glycogen is
regulated to meet the energy requirements of the muscle
cell.
Glycogen Metabolism-Glycogenesis and Glycogenolysis
Glycogen Synthesis
(Glycogenesis)
•Glycogenesis is the metabolic pathway by which glycogen
is synthesized from glucose 6-phosphate.
•It occurs in liver and muscles in fed state.
•Glycogenesis involves three reactions (steps).
Step-1: Isomerization
(Formation of Glucose 1-phosphate)
•The starting material for this step is not glucose itself but
rather glucose 6-phosphate (available from the first step
of glycolysis).
•Glucose-6-phophaste is converted to Glucose-1-
phosphate by the enzyme phosphoglucomutase.
Step-1: Isomerization
(Formation of Glucose 1-phosphate)
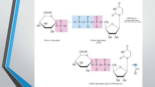
Step-2: Activation
(Formation of UDP-Glucose)
•Glucose-1-phosphate reacts with uridine triphosphate
(UTP) to form uridine diphosphate glucose (UDPG) and
pyrophosphate (PPi).
•The reaction is catalyzed by the enzyme UDP-glucose
pyrophosphorylase.
Step-3: Linkage to the Chain
(GlucoseTransfer to a Glycogen Chain)
•The activated glucose unit of UDP-glucose is then
transferred to pre-existing glycogen molecule (the
glycogen primer), liberating uridine diphosphate (UDP).
•The enzyme glycogen synthase catalyze this reaction by
forming new a-1,4 glycosidic linkage and lengthens the
chain.
Step-3: Linkage to the Chain
(GlucoseTransfer to a Glycogen Chain)
Step-3: Linkage to the Chain
(GlucoseTransfer to a Glycogen Chain)
•In a subsequent reaction, the UDP produced is converted
back to UTP, which can then react with another glucose
1-phosphate.
Step-3: Linkage to the Chain
(GlucoseTransfer to a Glycogen Chain)
• Synthesis of glycogen requires a pre-existing glycogen or a
primer molecule.
• Glycogen primer can be synthesized on the backbone of a
protein called glycogenin.
• The glycogenin molecule itself acts as the catalyst for addition of
glucoses until there are about eight of them linked together.
• At that point, glycogen synthase take over.
Glycogen Branching
• Synthesis of glycogen requires the formation of a (1,6) as well as
a (1,4) glycosidic linkages.
• This task is accomplished by “branching enzyme” called amylo
(1,4-1,6)-trans-glycosylase.
• Branching enzymes catalyze the transfer of a segment containing 6 or
7 residues—from a chain containing at least 11 residues—to some
place on the same chain or on a different chain.
Glycogen Branching
Thanks

Glycogen metabolism

  • 1.
    Glycogen Metabolism Dr. UsmanSaleem Rashid Latif College of Pharmacy
  • 2.
    Glycogen An Overview •Glycogen isa readily mobilized storage form of glucose. •It is a branched chain polymer of glucose in which glucose units are linked to each other through a-1,4 and a-1,6 linkages. •The bulk of glycogen is stored in liver and muscles.
  • 3.
    Glycogen Storage Site andFunctions • The bulk of glycogen is stored in liver and muscles. • In liver – The synthesis and breakdown of glycogen is regulated to maintain blood glucose levels. • In muscle - The synthesis and breakdown of glycogen is regulated to meet the energy requirements of the muscle cell.
  • 4.
  • 5.
    Glycogen Synthesis (Glycogenesis) •Glycogenesis isthe metabolic pathway by which glycogen is synthesized from glucose 6-phosphate. •It occurs in liver and muscles in fed state. •Glycogenesis involves three reactions (steps).
  • 6.
    Step-1: Isomerization (Formation ofGlucose 1-phosphate) •The starting material for this step is not glucose itself but rather glucose 6-phosphate (available from the first step of glycolysis). •Glucose-6-phophaste is converted to Glucose-1- phosphate by the enzyme phosphoglucomutase.
  • 7.
  • 8.
    Step-2: Activation (Formation ofUDP-Glucose) •Glucose-1-phosphate reacts with uridine triphosphate (UTP) to form uridine diphosphate glucose (UDPG) and pyrophosphate (PPi). •The reaction is catalyzed by the enzyme UDP-glucose pyrophosphorylase.
  • 10.
    Step-3: Linkage tothe Chain (GlucoseTransfer to a Glycogen Chain) •The activated glucose unit of UDP-glucose is then transferred to pre-existing glycogen molecule (the glycogen primer), liberating uridine diphosphate (UDP). •The enzyme glycogen synthase catalyze this reaction by forming new a-1,4 glycosidic linkage and lengthens the chain.
  • 11.
    Step-3: Linkage tothe Chain (GlucoseTransfer to a Glycogen Chain)
  • 12.
    Step-3: Linkage tothe Chain (GlucoseTransfer to a Glycogen Chain) •In a subsequent reaction, the UDP produced is converted back to UTP, which can then react with another glucose 1-phosphate.
  • 13.
    Step-3: Linkage tothe Chain (GlucoseTransfer to a Glycogen Chain) • Synthesis of glycogen requires a pre-existing glycogen or a primer molecule. • Glycogen primer can be synthesized on the backbone of a protein called glycogenin. • The glycogenin molecule itself acts as the catalyst for addition of glucoses until there are about eight of them linked together. • At that point, glycogen synthase take over.
  • 14.
    Glycogen Branching • Synthesisof glycogen requires the formation of a (1,6) as well as a (1,4) glycosidic linkages. • This task is accomplished by “branching enzyme” called amylo (1,4-1,6)-trans-glycosylase. • Branching enzymes catalyze the transfer of a segment containing 6 or 7 residues—from a chain containing at least 11 residues—to some place on the same chain or on a different chain.
  • 15.
  • 16.