Fundamentals of Seismic
      Refraction
Theory, Acquisition, and Interpretation

               Craig Lippus
         Manager, Seismic Products
             Geometrics, Inc.

             December 3, 2007
Geometrics, Inc.
• Owned by Oyo Corporation,
Japan
• In business since 1969
• Seismographs, magnetometers,
    EM systems
• Land, airborne, and marine
• 80 employees
Located in San Jose,
     California
Fundamentals of Seismic
       Waves

  A. What is a seismic wave?
Fundamentals of Seismic
       Waves

  A. What is a seismic wave?

  A. Transfer of energy by way of
  particle motion.



  Different types of seismic waves are
  characterized by their particle motion.
Three different types of
    seismic waves
  • Compressional (“p”) wave
  • Shear (“s”) wave
  • Surface (Love and
    Raleigh) wave

Only p and s waves (collectively referred to
as “body waves”) are of interest
in seismic refraction.
Compressional (“p”) Wave
Identical to sound wave – particle
motion is parallel to propagation
direction.




                      Animation courtesy Larry Braile, Purdue University
Shear (“s”) Wave
Particle motion is perpendicular
to propagation direction.




                      Animation courtesy Larry Braile, Purdue University
Velocity of Seismic Waves
Depends on density elastic moduli

               4µ
            K+
     Vp =       3             µ
                       Vs =
             ρ                ρ


  where K = bulk modulus, µ = shear
  modulus, and ρ = density.
Velocity of Seismic Waves
Bulk modulus = resistance to
compression = incompressibility
Shear modulus = resistance to
shear = rigidity

 The less compressible a material is, the
 greater its p-wave velocity, i.e., sound
 travels about four times faster in water
 than in air. The more resistant a material
 is to shear, the greater its shear wave
 velocity.
Q. What is the rigidity of
water?
Q. What is the rigidity of
water?

A. Water has no rigidity. Its shear
strength is zero.
Q. How well does water
carry shear waves?
Q. How well does water
carry shear waves?

A. It doesn’t.
Fluids do not carry shear waves. This
knowledge, combined with earthquake
observations, is what lead to the
discovery that the earth’s outer core is
a liquid rather than a solid – “shear
wave shadow”.
p-wave velocity vs. s-
 wave velocity
  p-wave velocity must always
  be greater than s-wave
  velocity. Why?
                            4µ
                       K+
                             3
              Vp 2      ρ            K 4
                   =             =    +
              Vs 2
                        µ            µ 3
                        ρ


K and µ are always positive numbers, so Vp
is always greater than Vs.
Velocity – density paradox

Q. We know that in practice, velocity
tends to be directly proportional to
density. Yet density is in the
denominator. How is that possible?
Velocity – density paradox

Q. We know that in practice, velocity
tends to be directly proportional to
density. Yet density is in the
denominator. How is that possible?

A. Elastic moduli tend to increase with density also,
and at a faster rate.
Velocity – density paradox
               Note: Elastic moduli are
               important parameters for
               understanding rock
               properties and how they
               will behave under various
               conditions. They help
               engineers assess
               suitability for founding
               dams, bridges, and other
               critical structures such as
               hospitals and schools.

               Measuring p- and s-wave
               velocities can help
               determine these
               properties indirectly and
               non-destructively.
Q. How do we use seismic
waves to understand the
subsurface?
Q. How do we use seismic
waves to understand the
subsurface?

A. Must first understand wave
behavior in layered media.
Q. What happens when a
seismic wave encounters a
velocity discontinuity?
Q. What happens when a
seismic wave encounters a
velocity discontinuity?

A. Some of the energy is
reflected, some is refracted.


We are only interested in refracted energy!!
Q. What happens when a
seismic wave encounters a
velocity discontinuity?
Five important
   concepts

•   Seismic Wavefront
•   Ray
•   Huygen’s Principle
•   Snell’s Law
•   Reciprocity
Q. What is a seismic
wavefront?
Q. What is a seismic
wavefront?
A. Surface of constant phase, like
ripples on a pond, but in three
dimensions.
Q. What is a seismic
wavefront?
The speed at which a wavefront
travels is the seismic velocity of
the material, and depends on the
material’s elastic properties. In a
homogenious medium, a
wavefront is spherical, and its
shape is distorted by changes in
the seismic velocity.
Seismic wavefront
Q. What is a ray?
Q. What is a ray?

A. Also referred to as a “wavefront
normal” a ray is an arrow
perpendicular to the wave front,
indicating the direction of travel at
that point on the wavefront. There
are an infinite number of rays on a
wave front.
Ray
Huygens' Principle
Every point on a wave front can be
thought of as a new point source for
waves generated in the direction the
wave is traveling or being propagated.
Q. What causes
refraction?
Q. What causes
refraction?
A. Different portions of the
wave front reach the
velocity boundary earlier
than other portions,
speeding up or slowing
down on contact, causing
distortion of wave front.
Understanding and
Quantifying How Waves
 Refract is Essential
Snell’s Law
   sin i V 1
        =      (1)
   sin r V 2
Snell’s Law
If V2>V1, then as i increases, r
increases faster
Snell’s Law
r approaches 90o as i increases
Snell’s Law
        Critical Refraction

At Critical Angle of incidence ic, angle of
refraction r = 90o

                sin(ic ) V 1
                        =
                sin 90 V 2

                             V1
                sin(ic ) =              (2)
                             V2

                              V1        (3)
                ic = sin −1
                              V2
Snell’s Law
        Critical Refraction

At Critical Angle of incidence ic, angle of
refraction r = 90o
Snell’s Law
        Critical Refraction

At Critical Angle of incidence ic, angle of
refraction r = 90o
Snell’s Law
     Critical Refraction

Seismic refraction makes use of
critically refracted, first-arrival
energy only. The rest of the wave
form is ignored.
Principal of
           Reciprocity
The travel time of seismic energy
between two points is independent of
the direction traveled, i.e.,
interchanging the source and the
geophone will not affect the seismic
travel time between the two.
Using Seismic Refraction
to Map the Subsurface


 Critical Refraction Plays a Key
 Role
T 1 = x /V 1

       ac cd df
T2 =     +   +
       V1 V 2 V1

                 h
ac = df =
               cos(ic )

bc = de = h tan(ic )

cd = x − bc − de = x − 2h tan(ic )

           2h         x − 2h tan(ic )
T2 =                +
       V 1 cos(ic )        V2

           2h         2h tan(ic ) x
T2 =                −            +
       V 1 cos(ic )      V2        V2

               1         sin(ic )  x
         
T 2 = 2 h             −             +
          V 1 cos(ic ) V 2 cos(ic )  V 2
                                     
      V2          V 1 sin(ic )  x
T 2 = 2 h
          V 1V 2 cos(ic ) V 1V 2 cos(ic )  + V 2
                          −                
                                          


         V 2 − V 1 sin(ic )  x
T 2 = 2h
         V 1V 2 cos(ic )  + V 2
                             
                            


            V2              
                − sin(ic ) 
                                x
T 2 = 2hV 1 V 1             +
            V 1V 2 cos(ic )  V 2
                            
                            

           V1
sin ic =          (Snell’s Law)
           V2

            1                   
                     − sin(ic ) 
T 2 = 2hV 1
             sin(ic )            + x
            V 1V 2 cos(ic )  V 2
                                
                                
     1 − sin 2 (ic )       x
           
T 2 = 2hV 1                          +
            V 1V 2 sin(ic ) cos(ic )  V 2
                                      

                   cos 2 (ic )        x
T 2 = 2hV 1
            V 1V 2 sin(ic ) cos(ic )  + V 2
                                      
                                     

         cos(ic )  x
T 2 = 2h
         V 2 sin(ic )  + V 2
                       
                      

        From Snell’s Law,

V 1 = V 2 sin(ic )

       2h cos(ic ) x
T2 =              +                 (4)
          V1        V2
Using Seismic Refraction
to Map the Subsurface
Using Seismic Refraction
to Map the Subsurface
Using Seismic Refraction
to Map the Subsurface
Using Seismic Refraction
to Map the Subsurface
Using Seismic Refraction
to Map the Subsurface
Using Seismic Refraction
to Map the Subsurface
Using Seismic Refraction
to Map the Subsurface
Using Seismic Refraction
to Map the Subsurface
Using Seismic Refraction
to Map the Subsurface
Using Seismic Refraction
to Map the Subsurface
Using Seismic Refraction
to Map the Subsurface
Using Seismic Refraction
to Map the Subsurface
Using Seismic Refraction
to Map the Subsurface
Using Seismic Refraction
to Map the Subsurface
Using Seismic Refraction
to Map the Subsurface
Using Seismic Refraction
to Map the Subsurface
Using Seismic Refraction
to Map the Subsurface
Using Seismic Refraction
to Map the Subsurface
Using Seismic Refraction
to Map the Subsurface
Using Seismic Refraction
to Map the Subsurface


                      Xc V 2 − V 1
            Depth =                  (5)
                      2 V 2 +V1




    {
Depth
Using Seismic Refraction
to Map the Subsurface


                       Xc V 2 − V 1     T iV 1
             Depth =                =             (6)
                       2 V 2 +V1           V1−1
                                 2 cos(sin    )
           For layer parallel to
                                           V2
           surface




    {
Depth
Summary of Important
          Equations
                                       For refractor
sin i V 1                              parallel to surface
     =             (1) Snell’s Law
sin r V 2
                                            2h cos(ic ) x
                                     T2 =              +      (4)
                                               V1        V2
              V1
sin(ic ) =         (2)
              V2                            Xc V 2 − V 1
                                      h=                      (5)
                                            2 V 2 +V1
              V1
ic = sin −1        (3)
              V2                              Ti V 1
                                     h=
                                              −1 V 1        (6)
                                        2 cos sin     
                                                    V2
Ti 2V 1
h1 =
                      V1
       2 cos(sin −1      )
                      V2
            cos(sin − 1 V 1 / V 3) 
       Ti 3 − Ti 2                        V 2
       
                   cos(sin − 1 V 1 / V 2) 
                                            + h1
h2 =
               2 cos(sin − 1 V 2 / V 3)
            cos(sin −1 V 1 / V 4) 2h 2 cos(sin −1 2 / V 4) 
     Ti 4 − Ti 2 cos(sin −1 V 1 / V 2) −         V2             V 3
h3 =                                                             + h1 + h 2
                          2 cos(sin −1 V 3 / V 4)
Crossover Distance vs.
Depth
Depth/Xc vs. Velocity
     Contrast
Important Rule of Thumb
 The Length of the Geophone
 Spread Should be 4-5 times
 the depth of interest.
Dipping Layer
Defined as Velocity Boundary
that is not Parallel to Ground Surface

    You should always do a minimum
    of one shot at either end the
    spread. A single shot at one end
    does not tell you anything about
    dip, and if the layer(s) is dipping,
    your depth and velocity calculated
    from a single shot will be wrong.
Dipping Layer
If layer is dipping (relative to ground
surface), opposing travel time curves
will be asymmetrical.

Updip shot – apparent velocity > true velocity
Downdip shot – apparent velocity < true velocity
Dipping Layer
Dipping Layer
      V 1md = sin(ic + α )

      V 1mu = sin(ic − α )

      ic + α = sin −1 V 1md
      ic − α = sin −1 V 1mu

    1
ic = (sin −1 V 1md + sin −1 V 1mu )
    2
   1
α = (sin −1 V 1md − sin −1 V 1mu )
   2
Dipping Layer
From Snell’s Law,

                           V1
                    V2 =
                         sin(ic )

                          V 1Tiu
                         2 cos(ic )
                    Du =
                           cos α

                          V 1Tid
                         2 cos(ic )
                    Dd =
                           cos α
Dipping Layer
The true velocity V2 can also be calculated
by multiplying the harmonic mean of the up-
dip and down-dip velocities by the cosine of
the dip.



             2V 2UV 2 D 
        V2 =               cos α
             V 2U + V 2 D 
What if V2 < V1?
What if V2 < V1?
              sin i V 1
Snell’s Law        =
              sin r V 2
What if V2 < V1?
              sin i V 1
Snell’s Law        =
              sin r V 2
What if V2 < V1?
If V1>V2, then as i increases, r
increases, but not as fast.
If V2<V1, the energy
refracts toward the
normal.

None of the refracted energy
makes it back to the surface.

This is called a velocity inversion.
Seismic Refraction
requires that velocities
increase with depth.
A slower layer beneath a
faster layer will not be
detected by seismic refraction.

The presence of a velocity inversion can
lead to errors in depth calculations.
Delay Time Method
• Allows Calculation of Depth
Beneath Each Geophone

• Requires refracted arrival at each
geophone from opposite directions

• Requires offset shots

• Data redundancy is important
Delay Time Method
x




V1



V2
Delay Time Method
        x




    V1



        V2
             hA       AB hA tan(ic ) hB tan(ic )        hB
TAB ≅               +    −          −            +
        V 1 cos(ic ) V 2    V2          V2         V 1 cos(ic )
Delay Time Method
        x




      V1



        V2
             hA       AB hA tan(ic ) hB tan(ic )        hB
TAB ≅               +    −          −            +
        V 1 cos(ic ) V 2    V2          V2         V 1 cos(ic )
           hA       AP hA tan(ic ) hP tan(ic )        hP
TAP ≅             +    −          −            +
      V 1 cos(ic ) V 2    V2          V2         V 1 cos(ic )
Delay Time Method
        x




      V1



        V2
             hA       AB hA tan(ic ) hB tan(ic )        hB
TAB ≅               +    −          −            +
        V 1 cos(ic ) V 2    V2          V2         V 1 cos(ic )
           hA       AP hA tan(ic ) hP tan(ic )        hP
TAP ≅             +    −          −            +
      V 1 cos(ic ) V 2    V2          V2         V 1 cos(ic )
           hB       BP hB tan(ic ) hP tan(ic )        hP
TBP ≅             +    −          −            +
      V 1 cos(ic ) V 2    V2          V2         V 1 cos(ic )
Delay Time Method
x




V1



V2


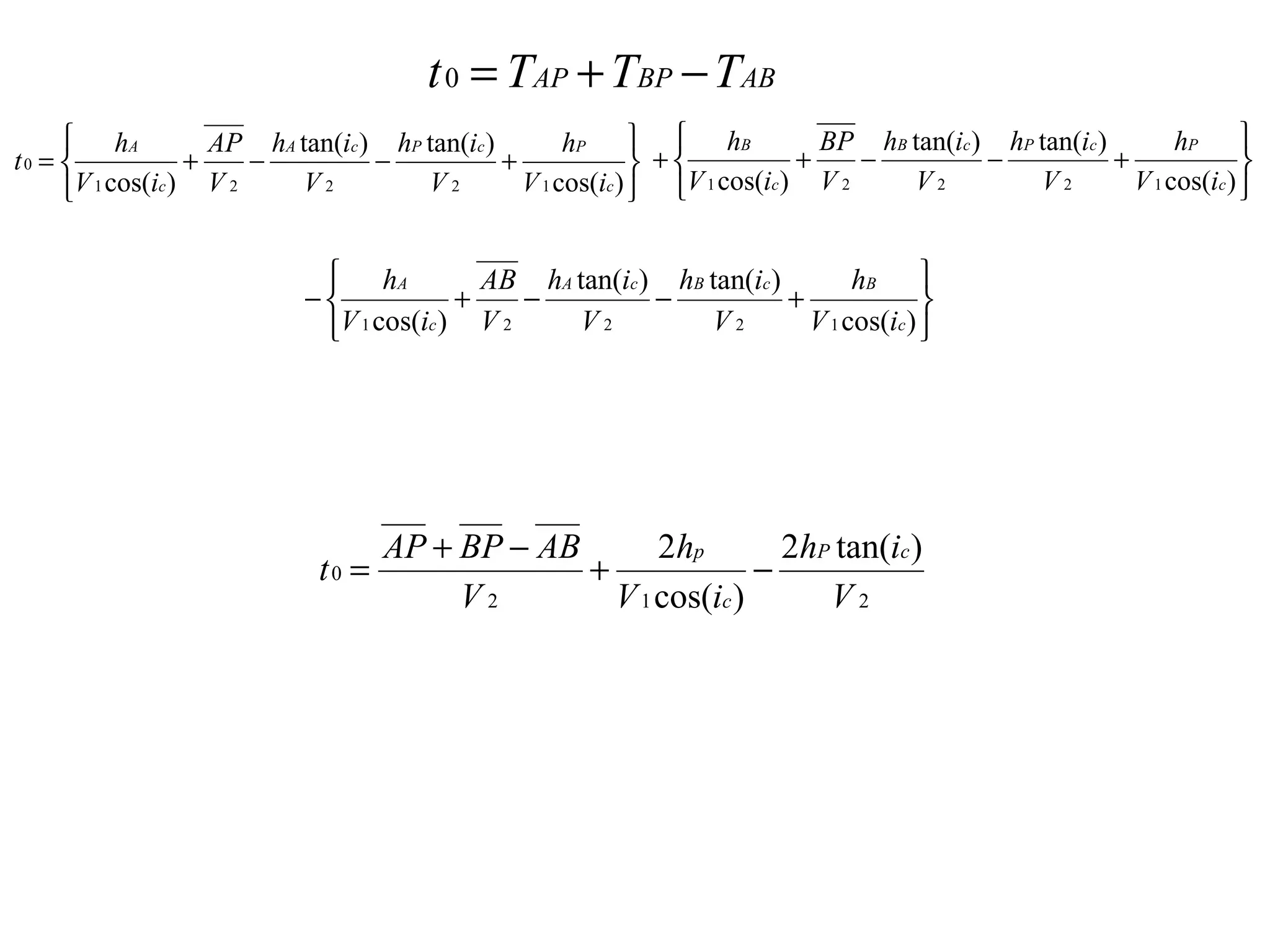
          Definition:

     t0 = T   AP   + T   BP   − T   AB   (7)
t 0 = TAP + TBP − TAB
      hA            AP hA tan(ic ) hP tan(ic )        hP   h B               BP hB tan(ic ) hP tan(ic )        hP 
t0 =              +    −          −            +               +           +    −          −            +              
      V 1 cos(ic ) V 2    V2          V2         V 1 cos(ic )  V 1 cos(ic ) V 2    V2          V2         V 1 cos(ic ) 


                              hA           AB hA tan(ic ) hB tan(ic )        hB 
                            −            +    −          −            +              
                             V 1 cos(ic ) V 2    V2          V2         V 1 cos(ic ) 




                                     AP + BP − AB       2 hp       2hP tan(ic )
                              t0 =                +              −
                                          V2        V 1 cos(ic )      V2
But from figure above, AB = AP + BP. Substituting, we get


             AP + BP − AP − BP       2 hp       2hP tan(ic )
      t0 =                     +              −
                    V2           V 1 cos(ic )      V2

                                     or

                               2hp        2hP tan(ic )
                    t0 =                −
                           V 1 cos(ic )      V2

                 1         sin(ic )  
    t 0 = 2h
           p
            
                         −             
            
            V 1 cos(ic ) V 2 cos(ic ) 
                                       
                                       


             
                 V2          V 1 sin(ic )  
    t 0 = 2hp
             
                            −                
             V 1V 2 cos(ic ) V 1V 2 cos(ic ) 
             
             
                                             
                                             


                  
                   V2                         
                                               
                                              
                    V1           sin(ic ) 
    t 0 = 2hpV   1           −                
               V 1V 2 cos(ic ) V 1V 2 cos(ic ) 
                  
                                              
                                                
                                                


Substituting from Snell’s Law,  sin ic = V 1 
                                             
                                                    V2

                  
                     1                        
                                               
                                              
                  sin ic         sin(ic ) 
    t 0 = 2hpV   1           −                
               V 1V 2 cos(ic ) V 1V 2 cos(ic ) 
                  
                                              
                                                
                                                

                          1                        
                                                    
                                                   
                       sin ic         sin(ic ) 
         t 0 = 2hpV  1            −                
                    V 1V 2 cos(ic ) V 1V 2 cos(ic ) 
                      
                                                   
                                                           
                                                           


Multiplying top and bottom by sin(ic)
                                                                
                        1                     sin 2 (ic )       
  t 0 = 2 h pV
             1
              
                                       −                         
              
              V 1V 2 sin(ic ) cos(ic ) V 1V 2 sin(ic ) cos(ic ) 
                                                                 
                                                                 


                                                       
                                     cos 2 (ic )       
                    t 0 = 2hpV 1
                                
                                                        
                               V 1V 2 sin(ic ) cos(ic ) 
                                
                                
                                                        
                                                        



                                      
                                      cos(ic ) 
                                                 
                            t 0 = 2h p
                                      
                                                  
                                     V 2 sin(ic ) 
                                      
                                      
                                                  
                                                  



                                      
                                      cos(ic )   
                             t 0 = 2hp
                                      
                                                   
                                      V 2 sin(ic ) 
                                      
                                      
                                                   
                                                   
Substituting from Snell’s Law,

                         V1 
                 sin ic = 
                         V2

We get


                2hp cos(ic )
           t0 =                  (8)
                    V1
to 2hp cos(ic ) hp cos(ic )
Delay time at point P = DTP = =             =              (9)
                             2     2V 1          V1
Reduced Traveltimes
             x




                     Definition:
T’AP = “Reduced Traveltime” at point P for a source at A

                       T’AP=TAP’

Reduced traveltimes are useful for determining V2. A
plot of T’ vs. x will be roughly linear, mostly unaffected
by changes in layer thickness, and the slope will be
1/V2.
Reduced Traveltimes
              x




From the above figure, T’AP is also equal to TAP minus the
Delay Time. From equation 9, we then get



                                            to
               T ' AP = TAP − DTP = TAP −
                                            2
Reduced Traveltimes
            x




Earlier, we defined to as

                t0 = T   AP   + T   BP   − T   AB     (7)
Substituting, we get

                         to         TAP + TBP − TAB   (10)
       T ' AP = TAP −       = TAP −
                         2                 2
Reduced Traveltimes
         Finally, rearranging yields

                                T   AB       (T AP − T BP )
                     T ' AP =            +                    (11)
                                    2              2
The above equation allows a graphical determination of the T’
curve. TAB is called the reciprocal time.
Reduced Traveltimes
                                  T   AB       (T AP − T BP )
                       T ' AP =            +
                                      2              2
The first term is represented by the dotted line below:
Reduced Traveltimes
                                T   AB       (T AP − T BP )
                     T ' AP =            +
                                    2              2
The numerator of the second term is just the difference in the
traveltimes from points A to P and B to P.
Reduced Traveltimes
                               T   AB       (T AP − T BP )
                    T ' AP =            +
                                   2              2
Important: The second term only applies to refracted arrivals. It
does not apply outside the zone of “overlap”, shown in yellow
below.
Reduced Traveltimes
                                T   AB       (T AP − T BP )
                     T ' AP =            +
                                    2              2
The T’ (reduced traveltime) curve can now be determined graphically
by adding (TAP-TBP)/2 (second term from equation 9) to the TAB/2 line
(first term from equation 9). The slope of the T’ curve is 1/V2.
We can now calculate the delay time at point P. From Equation 10,
we see that
                                           to
                            T ' AP = TAP −                 (10)
                                           2

According to equation 8
                             to hp cos(ic )
                               =                           (8)
                             2      V1
So
                                  t0         hp cos(ic )
                 T ' AP = TAP −      = TAP −               (12)
                                  2              V1
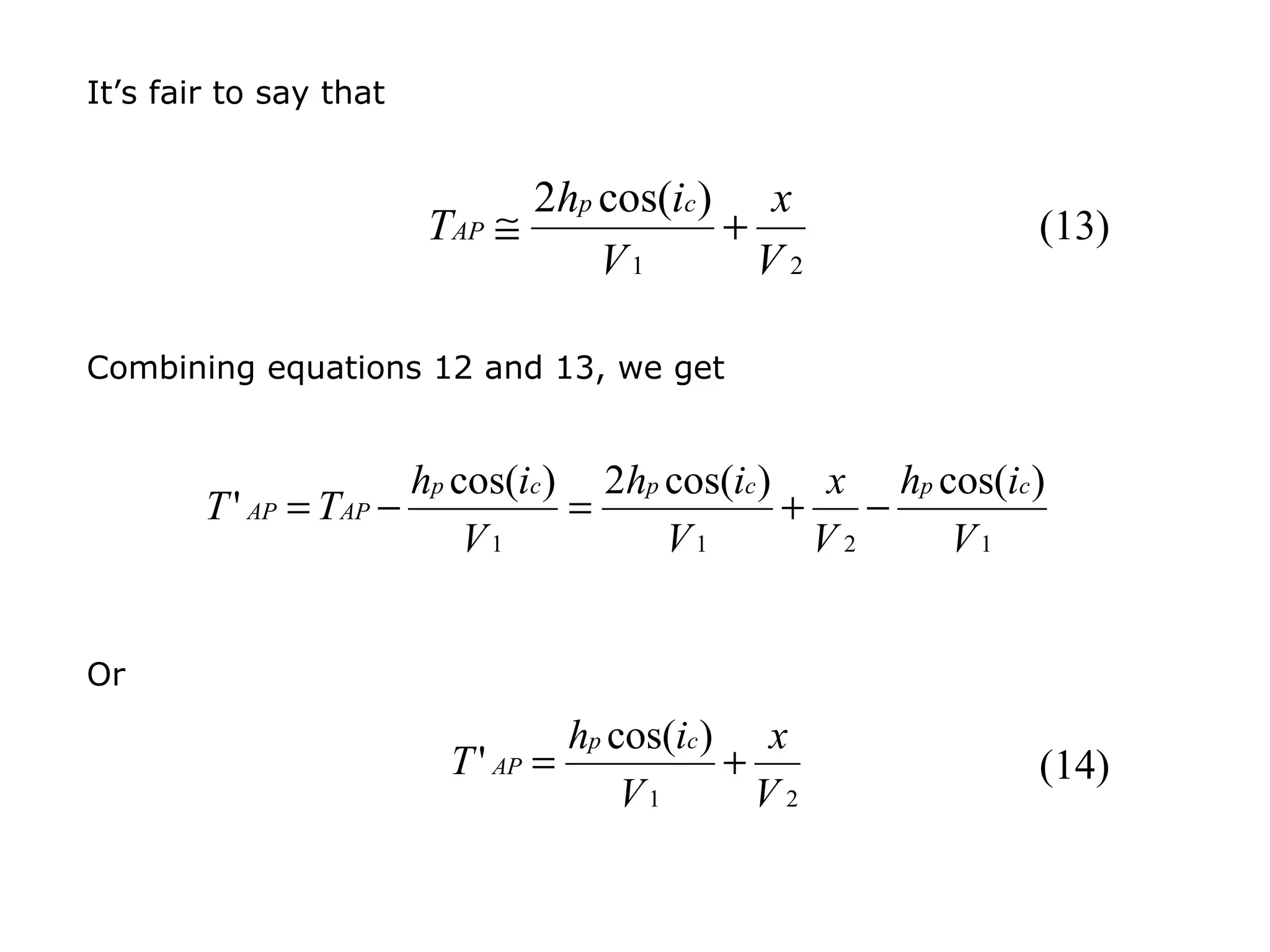
Now, referring back to equation 4

                               2h cos(ic ) x
                          T2 =            +                (4)
                                  V1        V2
It’s fair to say that


                              2hp cos(ic ) x
                        TAP ≅             +                 (13)
                                  V1        V2

Combining equations 12 and 13, we get


                       hp cos(ic ) 2hp cos(ic ) x hp cos(ic )
        T ' AP = TAP −            =            +    −
                           V1          V1        V2   V1


Or
                                    hp cos(ic ) x
                         T ' AP =              +            (14)
                                        V1       V2
Referring back to equation 9, we see that

                              hp cos(ic )
                        DTp =                         (9)
                                  V1
Substituting into equation 14, we get

                         hp cos(ic ) x           x
                T ' AP =            +    = DTp +
                             V1       V2         V2
Or
                                        x
                         DTp = T ' AP −               (15)
                                        V2
Solving equation 9 for hp, we get

                                D TPV 1
                          hP =                        (16)
                               c o s (ic)
We know that the incident angle i is critical when r is 90o.
From Snell’s Law,

                          sin i V 1
                               =
                          sin r V 2

                          sin ic V 1
                                =
                         sin 90 V 2
                                   V1
                          sin ic =
                                   V2
                                 V1 
                                 −1
                       ic = sin  
                                V 2 
Substituting back into equation 16,



                            DTpV 1
                       hp =                 (16)
                            cos(ic )
we get
                             DTpV 1
                  hp =
                            −1  V 1 
                       cos sin          (17)
                                 V 2 
In summary, to determine the
depth to the refractor h at any
given point p:
1.Measure V1 directly from the
  traveltime plot.
2.Measure the difference in traveltime
  to point P from opposing shots (in
  zone of overlap only).
3.Measure the reciprocal time TAB.
T            (T AP − T BP )
4. Per equation 11, T ' A P   =
                                      AB
                                           +                    ,
                                      2              2
divide the reciprocal time TAB by 2.
T        (T AP − T BP )
5. Per equation 11, T ' A P = 2 +
                             AB
                                    ,
                                  2
add ½ the difference time at each
point P to TAB/2 to get the reduced
traveltime at P, T’AP.
6. Fit a line to the reduced
  traveltimes, compute V2 from slope.
7. Using equation 15,

                           x
            DTp = T ' AP −      (15)
                           V2


 Calculate the Delay Time DT at
 P1, P2, P3….PN
8. Using equation 17,

                    DTpV 1
         hp =                      (16)
                   −1  V 1 
              cos sin  
                        V 2 


 Calculate the Depth h at P1, P2,
 P3….PN
That’s all there is to it!
More Data is Better Than Less
More Data is Better Than Less
More Data is Better Than Less
More Data is Better Than Less
More Data is Better Than Less
More Data is Better Than Less
More Data is Better Than Less
More Data is Better Than Less
More Data is Better Than Less
More Data is Better Than Less
Fundamentals of Seismic Refraction

Fundamentals of Seismic Refraction

  • 1.
    Fundamentals of Seismic Refraction Theory, Acquisition, and Interpretation Craig Lippus Manager, Seismic Products Geometrics, Inc. December 3, 2007
  • 2.
    Geometrics, Inc. • Ownedby Oyo Corporation, Japan • In business since 1969 • Seismographs, magnetometers, EM systems • Land, airborne, and marine • 80 employees
  • 3.
    Located in SanJose, California
  • 4.
    Fundamentals of Seismic Waves A. What is a seismic wave?
  • 5.
    Fundamentals of Seismic Waves A. What is a seismic wave? A. Transfer of energy by way of particle motion. Different types of seismic waves are characterized by their particle motion.
  • 6.
    Three different typesof seismic waves • Compressional (“p”) wave • Shear (“s”) wave • Surface (Love and Raleigh) wave Only p and s waves (collectively referred to as “body waves”) are of interest in seismic refraction.
  • 7.
    Compressional (“p”) Wave Identicalto sound wave – particle motion is parallel to propagation direction. Animation courtesy Larry Braile, Purdue University
  • 8.
    Shear (“s”) Wave Particlemotion is perpendicular to propagation direction. Animation courtesy Larry Braile, Purdue University
  • 9.
    Velocity of SeismicWaves Depends on density elastic moduli 4µ K+ Vp = 3 µ Vs = ρ ρ where K = bulk modulus, µ = shear modulus, and ρ = density.
  • 10.
    Velocity of SeismicWaves Bulk modulus = resistance to compression = incompressibility Shear modulus = resistance to shear = rigidity The less compressible a material is, the greater its p-wave velocity, i.e., sound travels about four times faster in water than in air. The more resistant a material is to shear, the greater its shear wave velocity.
  • 11.
    Q. What isthe rigidity of water?
  • 12.
    Q. What isthe rigidity of water? A. Water has no rigidity. Its shear strength is zero.
  • 13.
    Q. How welldoes water carry shear waves?
  • 14.
    Q. How welldoes water carry shear waves? A. It doesn’t.
  • 15.
    Fluids do notcarry shear waves. This knowledge, combined with earthquake observations, is what lead to the discovery that the earth’s outer core is a liquid rather than a solid – “shear wave shadow”.
  • 16.
    p-wave velocity vs.s- wave velocity p-wave velocity must always be greater than s-wave velocity. Why? 4µ K+ 3 Vp 2 ρ K 4 = = + Vs 2 µ µ 3 ρ K and µ are always positive numbers, so Vp is always greater than Vs.
  • 17.
    Velocity – densityparadox Q. We know that in practice, velocity tends to be directly proportional to density. Yet density is in the denominator. How is that possible?
  • 18.
    Velocity – densityparadox Q. We know that in practice, velocity tends to be directly proportional to density. Yet density is in the denominator. How is that possible? A. Elastic moduli tend to increase with density also, and at a faster rate.
  • 19.
    Velocity – densityparadox Note: Elastic moduli are important parameters for understanding rock properties and how they will behave under various conditions. They help engineers assess suitability for founding dams, bridges, and other critical structures such as hospitals and schools. Measuring p- and s-wave velocities can help determine these properties indirectly and non-destructively.
  • 20.
    Q. How dowe use seismic waves to understand the subsurface?
  • 21.
    Q. How dowe use seismic waves to understand the subsurface? A. Must first understand wave behavior in layered media.
  • 22.
    Q. What happenswhen a seismic wave encounters a velocity discontinuity?
  • 23.
    Q. What happenswhen a seismic wave encounters a velocity discontinuity? A. Some of the energy is reflected, some is refracted. We are only interested in refracted energy!!
  • 24.
    Q. What happenswhen a seismic wave encounters a velocity discontinuity?
  • 25.
    Five important concepts • Seismic Wavefront • Ray • Huygen’s Principle • Snell’s Law • Reciprocity
  • 26.
    Q. What isa seismic wavefront?
  • 27.
    Q. What isa seismic wavefront? A. Surface of constant phase, like ripples on a pond, but in three dimensions.
  • 28.
    Q. What isa seismic wavefront?
  • 29.
    The speed atwhich a wavefront travels is the seismic velocity of the material, and depends on the material’s elastic properties. In a homogenious medium, a wavefront is spherical, and its shape is distorted by changes in the seismic velocity.
  • 30.
  • 31.
    Q. What isa ray?
  • 32.
    Q. What isa ray? A. Also referred to as a “wavefront normal” a ray is an arrow perpendicular to the wave front, indicating the direction of travel at that point on the wavefront. There are an infinite number of rays on a wave front.
  • 33.
  • 34.
    Huygens' Principle Every pointon a wave front can be thought of as a new point source for waves generated in the direction the wave is traveling or being propagated.
  • 35.
  • 36.
    Q. What causes refraction? A.Different portions of the wave front reach the velocity boundary earlier than other portions, speeding up or slowing down on contact, causing distortion of wave front.
  • 39.
    Understanding and Quantifying HowWaves Refract is Essential
  • 40.
    Snell’s Law sin i V 1 = (1) sin r V 2
  • 41.
    Snell’s Law If V2>V1,then as i increases, r increases faster
  • 42.
    Snell’s Law r approaches90o as i increases
  • 43.
    Snell’s Law Critical Refraction At Critical Angle of incidence ic, angle of refraction r = 90o sin(ic ) V 1 = sin 90 V 2 V1 sin(ic ) = (2) V2 V1 (3) ic = sin −1 V2
  • 44.
    Snell’s Law Critical Refraction At Critical Angle of incidence ic, angle of refraction r = 90o
  • 45.
    Snell’s Law Critical Refraction At Critical Angle of incidence ic, angle of refraction r = 90o
  • 46.
    Snell’s Law Critical Refraction Seismic refraction makes use of critically refracted, first-arrival energy only. The rest of the wave form is ignored.
  • 47.
    Principal of Reciprocity The travel time of seismic energy between two points is independent of the direction traveled, i.e., interchanging the source and the geophone will not affect the seismic travel time between the two.
  • 48.
    Using Seismic Refraction toMap the Subsurface Critical Refraction Plays a Key Role
  • 49.
    T 1 =x /V 1 ac cd df T2 = + + V1 V 2 V1 h ac = df = cos(ic ) bc = de = h tan(ic ) cd = x − bc − de = x − 2h tan(ic ) 2h x − 2h tan(ic ) T2 = + V 1 cos(ic ) V2 2h 2h tan(ic ) x T2 = − + V 1 cos(ic ) V2 V2  1 sin(ic )  x  T 2 = 2 h − +  V 1 cos(ic ) V 2 cos(ic )  V 2 
  • 50.
    V2 V 1 sin(ic )  x T 2 = 2 h  V 1V 2 cos(ic ) V 1V 2 cos(ic )  + V 2 −     V 2 − V 1 sin(ic )  x T 2 = 2h  V 1V 2 cos(ic )  + V 2     V2   − sin(ic )  x T 2 = 2hV 1 V 1 +  V 1V 2 cos(ic )  V 2     V1 sin ic = (Snell’s Law) V2  1   − sin(ic )  T 2 = 2hV 1 sin(ic ) + x  V 1V 2 cos(ic )  V 2    
  • 51.
    1 − sin 2 (ic )  x  T 2 = 2hV 1 +  V 1V 2 sin(ic ) cos(ic )  V 2   cos 2 (ic )  x T 2 = 2hV 1  V 1V 2 sin(ic ) cos(ic )  + V 2     cos(ic )  x T 2 = 2h  V 2 sin(ic )  + V 2    From Snell’s Law, V 1 = V 2 sin(ic ) 2h cos(ic ) x T2 = + (4) V1 V2
  • 52.
    Using Seismic Refraction toMap the Subsurface
  • 53.
    Using Seismic Refraction toMap the Subsurface
  • 54.
    Using Seismic Refraction toMap the Subsurface
  • 55.
    Using Seismic Refraction toMap the Subsurface
  • 56.
    Using Seismic Refraction toMap the Subsurface
  • 57.
    Using Seismic Refraction toMap the Subsurface
  • 58.
    Using Seismic Refraction toMap the Subsurface
  • 59.
    Using Seismic Refraction toMap the Subsurface
  • 60.
    Using Seismic Refraction toMap the Subsurface
  • 61.
    Using Seismic Refraction toMap the Subsurface
  • 62.
    Using Seismic Refraction toMap the Subsurface
  • 63.
    Using Seismic Refraction toMap the Subsurface
  • 64.
    Using Seismic Refraction toMap the Subsurface
  • 65.
    Using Seismic Refraction toMap the Subsurface
  • 66.
    Using Seismic Refraction toMap the Subsurface
  • 67.
    Using Seismic Refraction toMap the Subsurface
  • 68.
    Using Seismic Refraction toMap the Subsurface
  • 69.
    Using Seismic Refraction toMap the Subsurface
  • 70.
    Using Seismic Refraction toMap the Subsurface
  • 71.
    Using Seismic Refraction toMap the Subsurface Xc V 2 − V 1 Depth = (5) 2 V 2 +V1 { Depth
  • 72.
    Using Seismic Refraction toMap the Subsurface Xc V 2 − V 1 T iV 1 Depth = = (6) 2 V 2 +V1 V1−1 2 cos(sin ) For layer parallel to V2 surface { Depth
  • 73.
    Summary of Important Equations For refractor sin i V 1 parallel to surface = (1) Snell’s Law sin r V 2 2h cos(ic ) x T2 = + (4) V1 V2 V1 sin(ic ) = (2) V2 Xc V 2 − V 1 h= (5) 2 V 2 +V1 V1 ic = sin −1 (3) V2 Ti V 1 h=  −1 V 1  (6) 2 cos sin   V2
  • 75.
    Ti 2V 1 h1= V1 2 cos(sin −1 ) V2
  • 76.
    cos(sin − 1 V 1 / V 3)  Ti 3 − Ti 2 V 2   cos(sin − 1 V 1 / V 2)   + h1 h2 = 2 cos(sin − 1 V 2 / V 3)
  • 77.
    cos(sin −1 V 1 / V 4) 2h 2 cos(sin −1 2 / V 4)  Ti 4 − Ti 2 cos(sin −1 V 1 / V 2) − V2 V 3 h3 =   + h1 + h 2 2 cos(sin −1 V 3 / V 4)
  • 78.
  • 79.
  • 80.
    Important Rule ofThumb The Length of the Geophone Spread Should be 4-5 times the depth of interest.
  • 81.
    Dipping Layer Defined asVelocity Boundary that is not Parallel to Ground Surface You should always do a minimum of one shot at either end the spread. A single shot at one end does not tell you anything about dip, and if the layer(s) is dipping, your depth and velocity calculated from a single shot will be wrong.
  • 82.
    Dipping Layer If layeris dipping (relative to ground surface), opposing travel time curves will be asymmetrical. Updip shot – apparent velocity > true velocity Downdip shot – apparent velocity < true velocity
  • 83.
  • 84.
    Dipping Layer V 1md = sin(ic + α ) V 1mu = sin(ic − α ) ic + α = sin −1 V 1md ic − α = sin −1 V 1mu 1 ic = (sin −1 V 1md + sin −1 V 1mu ) 2 1 α = (sin −1 V 1md − sin −1 V 1mu ) 2
  • 85.
    Dipping Layer From Snell’sLaw, V1 V2 = sin(ic ) V 1Tiu 2 cos(ic ) Du = cos α V 1Tid 2 cos(ic ) Dd = cos α
  • 86.
    Dipping Layer The truevelocity V2 can also be calculated by multiplying the harmonic mean of the up- dip and down-dip velocities by the cosine of the dip.  2V 2UV 2 D  V2 =  cos α  V 2U + V 2 D 
  • 87.
  • 88.
    What if V2< V1? sin i V 1 Snell’s Law = sin r V 2
  • 89.
    What if V2< V1? sin i V 1 Snell’s Law = sin r V 2
  • 90.
    What if V2< V1? If V1>V2, then as i increases, r increases, but not as fast.
  • 91.
    If V2<V1, theenergy refracts toward the normal. None of the refracted energy makes it back to the surface. This is called a velocity inversion.
  • 92.
    Seismic Refraction requires thatvelocities increase with depth. A slower layer beneath a faster layer will not be detected by seismic refraction. The presence of a velocity inversion can lead to errors in depth calculations.
  • 100.
    Delay Time Method •Allows Calculation of Depth Beneath Each Geophone • Requires refracted arrival at each geophone from opposite directions • Requires offset shots • Data redundancy is important
  • 101.
  • 102.
    Delay Time Method x V1 V2 hA AB hA tan(ic ) hB tan(ic ) hB TAB ≅ + − − + V 1 cos(ic ) V 2 V2 V2 V 1 cos(ic )
  • 103.
    Delay Time Method x V1 V2 hA AB hA tan(ic ) hB tan(ic ) hB TAB ≅ + − − + V 1 cos(ic ) V 2 V2 V2 V 1 cos(ic ) hA AP hA tan(ic ) hP tan(ic ) hP TAP ≅ + − − + V 1 cos(ic ) V 2 V2 V2 V 1 cos(ic )
  • 104.
    Delay Time Method x V1 V2 hA AB hA tan(ic ) hB tan(ic ) hB TAB ≅ + − − + V 1 cos(ic ) V 2 V2 V2 V 1 cos(ic ) hA AP hA tan(ic ) hP tan(ic ) hP TAP ≅ + − − + V 1 cos(ic ) V 2 V2 V2 V 1 cos(ic ) hB BP hB tan(ic ) hP tan(ic ) hP TBP ≅ + − − + V 1 cos(ic ) V 2 V2 V2 V 1 cos(ic )
  • 105.
    Delay Time Method x V1 V2 Definition: t0 = T AP + T BP − T AB (7)
  • 106.
    t 0 =TAP + TBP − TAB  hA AP hA tan(ic ) hP tan(ic ) hP   h B BP hB tan(ic ) hP tan(ic ) hP  t0 =  + − − +  + + − − +   V 1 cos(ic ) V 2 V2 V2 V 1 cos(ic )  V 1 cos(ic ) V 2 V2 V2 V 1 cos(ic )   hA AB hA tan(ic ) hB tan(ic ) hB  − + − − +  V 1 cos(ic ) V 2 V2 V2 V 1 cos(ic )  AP + BP − AB 2 hp 2hP tan(ic ) t0 = + − V2 V 1 cos(ic ) V2
  • 107.
    But from figureabove, AB = AP + BP. Substituting, we get AP + BP − AP − BP 2 hp 2hP tan(ic ) t0 = + − V2 V 1 cos(ic ) V2 or 2hp 2hP tan(ic ) t0 = − V 1 cos(ic ) V2
  • 108.
     1 sin(ic )   t 0 = 2h p  −   V 1 cos(ic ) V 2 cos(ic )      V2 V 1 sin(ic )   t 0 = 2hp  −  V 1V 2 cos(ic ) V 1V 2 cos(ic )        V2      V1 sin(ic )  t 0 = 2hpV 1 −  V 1V 2 cos(ic ) V 1V 2 cos(ic )         Substituting from Snell’s Law,  sin ic = V 1     V2   1     sin ic sin(ic )  t 0 = 2hpV 1 −  V 1V 2 cos(ic ) V 1V 2 cos(ic )        
  • 109.
     1      sin ic sin(ic )  t 0 = 2hpV 1 −  V 1V 2 cos(ic ) V 1V 2 cos(ic )         Multiplying top and bottom by sin(ic)    1 sin 2 (ic )  t 0 = 2 h pV 1  −   V 1V 2 sin(ic ) cos(ic ) V 1V 2 sin(ic ) cos(ic )       cos 2 (ic )  t 0 = 2hpV 1   V 1V 2 sin(ic ) cos(ic )       cos(ic )    t 0 = 2h p   V 2 sin(ic )       cos(ic )   t 0 = 2hp   V 2 sin(ic )     
  • 110.
    Substituting from Snell’sLaw,  V1   sin ic =   V2 We get 2hp cos(ic ) t0 = (8) V1
  • 111.
    to 2hp cos(ic) hp cos(ic ) Delay time at point P = DTP = = = (9) 2 2V 1 V1
  • 112.
    Reduced Traveltimes x Definition: T’AP = “Reduced Traveltime” at point P for a source at A T’AP=TAP’ Reduced traveltimes are useful for determining V2. A plot of T’ vs. x will be roughly linear, mostly unaffected by changes in layer thickness, and the slope will be 1/V2.
  • 113.
    Reduced Traveltimes x From the above figure, T’AP is also equal to TAP minus the Delay Time. From equation 9, we then get to T ' AP = TAP − DTP = TAP − 2
  • 114.
    Reduced Traveltimes x Earlier, we defined to as t0 = T AP + T BP − T AB (7) Substituting, we get to TAP + TBP − TAB (10) T ' AP = TAP − = TAP − 2 2
  • 115.
    Reduced Traveltimes Finally, rearranging yields T AB (T AP − T BP ) T ' AP = + (11) 2 2 The above equation allows a graphical determination of the T’ curve. TAB is called the reciprocal time.
  • 116.
    Reduced Traveltimes T AB (T AP − T BP ) T ' AP = + 2 2 The first term is represented by the dotted line below:
  • 117.
    Reduced Traveltimes T AB (T AP − T BP ) T ' AP = + 2 2 The numerator of the second term is just the difference in the traveltimes from points A to P and B to P.
  • 118.
    Reduced Traveltimes T AB (T AP − T BP ) T ' AP = + 2 2 Important: The second term only applies to refracted arrivals. It does not apply outside the zone of “overlap”, shown in yellow below.
  • 119.
    Reduced Traveltimes T AB (T AP − T BP ) T ' AP = + 2 2 The T’ (reduced traveltime) curve can now be determined graphically by adding (TAP-TBP)/2 (second term from equation 9) to the TAB/2 line (first term from equation 9). The slope of the T’ curve is 1/V2.
  • 120.
    We can nowcalculate the delay time at point P. From Equation 10, we see that to T ' AP = TAP − (10) 2 According to equation 8 to hp cos(ic ) = (8) 2 V1 So t0 hp cos(ic ) T ' AP = TAP − = TAP − (12) 2 V1 Now, referring back to equation 4 2h cos(ic ) x T2 = + (4) V1 V2
  • 121.
    It’s fair tosay that 2hp cos(ic ) x TAP ≅ + (13) V1 V2 Combining equations 12 and 13, we get hp cos(ic ) 2hp cos(ic ) x hp cos(ic ) T ' AP = TAP − = + − V1 V1 V2 V1 Or hp cos(ic ) x T ' AP = + (14) V1 V2
  • 122.
    Referring back toequation 9, we see that hp cos(ic ) DTp = (9) V1 Substituting into equation 14, we get hp cos(ic ) x x T ' AP = + = DTp + V1 V2 V2 Or x DTp = T ' AP − (15) V2 Solving equation 9 for hp, we get D TPV 1 hP = (16) c o s (ic)
  • 123.
    We know thatthe incident angle i is critical when r is 90o. From Snell’s Law, sin i V 1 = sin r V 2 sin ic V 1 = sin 90 V 2 V1 sin ic = V2  V1  −1 ic = sin   V 2 
  • 124.
    Substituting back intoequation 16, DTpV 1 hp = (16) cos(ic ) we get DTpV 1 hp =  −1  V 1  cos sin   (17)   V 2 
  • 125.
    In summary, todetermine the depth to the refractor h at any given point p:
  • 126.
    1.Measure V1 directlyfrom the traveltime plot.
  • 127.
    2.Measure the differencein traveltime to point P from opposing shots (in zone of overlap only).
  • 128.
  • 129.
    T (T AP − T BP ) 4. Per equation 11, T ' A P = AB + , 2 2 divide the reciprocal time TAB by 2.
  • 130.
    T (T AP − T BP ) 5. Per equation 11, T ' A P = 2 + AB , 2 add ½ the difference time at each point P to TAB/2 to get the reduced traveltime at P, T’AP.
  • 131.
    6. Fit aline to the reduced traveltimes, compute V2 from slope.
  • 132.
    7. Using equation15, x DTp = T ' AP − (15) V2 Calculate the Delay Time DT at P1, P2, P3….PN
  • 133.
    8. Using equation17, DTpV 1 hp = (16)  −1  V 1  cos sin     V 2  Calculate the Depth h at P1, P2, P3….PN
  • 134.
  • 146.
    More Data isBetter Than Less
  • 147.
    More Data isBetter Than Less
  • 148.
    More Data isBetter Than Less
  • 149.
    More Data isBetter Than Less
  • 150.
    More Data isBetter Than Less
  • 151.
    More Data isBetter Than Less
  • 152.
    More Data isBetter Than Less
  • 153.
    More Data isBetter Than Less
  • 154.
    More Data isBetter Than Less
  • 155.
    More Data isBetter Than Less