Mechanical Metallurgy
            INME 6016

    Pablo G. Caceres‐Valencia
  Professor in Materials Science, 
         B.Sc., Ph.D. (UK) 
GENERAL INFORMATION
Course Number      INME 6016 
Course Title       Mechanical Metallurgy
Credit Hours       3 (Lecture:  3hours)
Instructor         Dr. Pablo G. Caceres‐Valencia
Office             Luchetti Building L‐212 
Phone              Extension 2358
Office Hours       Mo and Wed 1:00pm to 5:00pm 
e‐mail             pcaceres@uprm.edu
                   pcaceres@me.uprm.edu
Web‐site           http://academic.uprm.edu/pcaceres
Assessment
 The course will be assessed in the following manner:
   Partial Exam                               30%
   Final Exam                                 30%
   Quizzes (3)*                               33%
   Attendance and Class Participation         7%
 (*) A total of three quizzes will be performed.   
 (**) Class Attendance (after the second absence ‐ 1 point will be deducted for each non‐
 authorized absence). The participation in class will be taken into account.
                                    Attendance
Attendance and participation in the lectures are mandatory and will 
be considered in the grading. Students should bring calculators, 
rulers, pen and pencils to be used during the lectures. Students are 
expected to keep up with the assigned reading and be prepared for 
the pop‐quizzes or to answer questions on these readings during 
lecture.
Texbooks
G.E. Dieter; Mechanical Metallurgy; Mc Graw Hill
M.A. Meyers and K.K. Chawla; Mechanical Metallurgy: Principles and 
Applications; Prentice‐Hall 
I will also post my lecture notes in the web: http://academic.uprm.edu/pcaceres


                              TENTATIVES DATES
         Jan/9‐11                     Jan/14‐18                  Jan/21‐25 
      Basic Principles               Stress‐Strain             Basic Elasticity
      Jan/28‐Feb/01                   Feb/04‐08                  Feb/11‐15
      Basic Elasticity              Single Crystals          Dislocation Theory
         Feb/18‐22             Feb/25‐29 Strengthening            March/3‐7 
Dislocation Theory 1st Exam         Mechanisms            Strengthening Mechanisms
      March/10‐14                   Mar/17‐21–                   Mar/24‐28 
Strengthening Mechanisms        No Class ‐ Holy Week              Fracture
         April/1‐4              April/7‐11  Mechanical     April /14‐18 Mechanical 
         Fracture                 Properties Exam 2               Properties
 April/22‐25 – Mechanical     Apr/28‐May02‐ Mechanical 
        Properties                   Properties
Content

 •Stress and Strain Relationships for Elastic Behavior
 •Elements of the Theory of Elasticity
 •Plastic Deformation of Single Crystals
 •Dislocation Theory
 •Strengthening Mechanisms
 •Fracture
 •Mechanical Properties
The Concept of Stress

Uniaxial tensile stress: A force F is applied perpendicular
to the area (A). Before the application of the force, the
cross section area was AO
                                                   F
Engineering stress or nominal stress: Force   σ=
divided by the original area.                      A0
True stress: Force divided by the                   F
                                              σT =
instantaneous area                                  A
Engineering Strain or Nominal Strain: Change of              l − l0 Δl
length divided by the original length                     ε=       =
                                                               l0    l0
True Strain: The rate of instantaneous increase in            d        ⎛       ⎞
the instantaneous gauge length.                  εT =     ∫       = ln ⎜
                                                                       ⎜
                                                                       ⎝
                                                                           i

                                                                           o
                                                                               ⎟
                                                                               ⎟
                                                                               ⎠
Relationship between engineering and true stress and strain

     We will assume that the volume remains                                        Ao   o   = Ai   i
     constant.
                                                                    F    F   Ao   F   Ao
                                                          σT      =    =   *    =   *
                                                                    Ai   Ai Ao    Ao Ai
 Ao               Δl +              Δl                                            F
    =     i
              =             o
                                =        + 1 = (1 + ε )                       σT = (1+ ε )
 Ai       o             o            o                                            Ao

εT =     ∫
              d          ⎛
                    = ln ⎜
                         ⎜
                                         i
                                             ⎞
                                             ⎟
                                             ⎟
                                                                                 σ T = σ (1 + ε )
                         ⎝               o   ⎠

εT
           ⎛
      = ln ⎜        o    + Δ         ⎞      ⎛
                                     ⎟ ⇒ ln ⎜             o
                                                              +
                                                                  Δ       ⎞
                                                                          ⎟      ε T = ln(1 + ε )
           ⎜                         ⎟      ⎜                             ⎟
           ⎝                o        ⎠      ⎝             o           o   ⎠
Primary Types of Loading

 (a) Tension
 (b) Compression
 (c) Shear
 (d) Torsion
 (e) Flexion
Hooke’s Law
When strains are small, most of materials are linear elastic.
                     Young’s modulus

   Normal: σ = Ε ε                        σ
      F ⋅ lo
 Δl =
      Ao ⋅ E

Springs: the spring rate                                  E
     F Ao ⋅ E
  k=    =
     Δl   lo
                                                              ε
Torsion          Loading resulting from the twist of a shaft.
               δθ r ⋅θ
 γ θ ,Z   = r⋅    ≅               Shear strain
               δz   l
                               δθ G ⋅ r ⋅θ
 τθ ,z = G ⋅ γ θ ,z    = G⋅r ⋅    ≅
                               δz     l
 G = Shear Modulus of Elasticity
 Twist Moment or Torque
                         G ⋅θ
 T = ∫ r ⋅τ θ , z ⋅ δA =          ∫r
                                        2
                                       θ ,z   ⋅ δA
      A                   l        A
                                                        G ⋅θ ⋅ J               T ⋅l
                                                     T=                or   θ=
of Inertia            A      ∫
Area Polar Moment J = r 2 ⋅ δA                             l                   G⋅J
                                                       Angular spring rate:
                    T ⋅r         T ⋅ ro                           J ⋅G
Thus:     τθ ,z   ≅      τ Max ≅                           ka = =
                                                                   T
                     J             J                           θ    l
Stress Components              Normal Stresses σx, σy, σz
                               Shear Stresses τxy , τyx , τxz , τzx , τzy , τyz
From equilibrium principles:
τxy = τyx , τxz = τzx , τzy = τyz
                        Normal stress (σ) : the subscript identifies the
                        face on which the stress acts. Tension is positive
                        and compression is negative.
                        Shear stress (τ) : it has two subscripts. The first
                        subscript denotes the face on which the stress
                        acts. The second subscript denotes the direction
                        on that face. A shear stress is positive if it acts
                        on a positive face and positive direction or if it
                        acts in a negative face and negative direction.
Sign Conventions for Shear Stress and Strain
                                               The Shear Stress will be
                                               considered positive when a
                                               pair of shear stress acting on
                                               opposite sides of the element
                                               produce a counterclockwise
                                               (ccw) torque (couple).




A shear strain in an element is positive when the angle between two positive faces
(or two negative faces) is reduced, and is negative if the angle is increased.
For static equilibrium τxy = τyx , τxz = τzx , τzy = τyz resulting in
Six independent scalar quantities. These six scalars can be arranged
in a 3x3 matrix, giving us a stress tensor.

             ⎡σ x τ yx τ zx ⎤
             ⎢              ⎥
  σ = σ ij = ⎢τ xy σ y τ zy ⎥
             ⎢τ xz τ yz σ z ⎥
             ⎣              ⎦

The sign convention for the stress elements is that a positive force on
a positive face or a negative force on a negative face is positive. All
others are negative.
The stress state is a second order tensor since it is a quantity
associated with two directions (two subscripts direction of the
surface normal and direction of the stress).
F2                  Cube with a Face area Ao
                                                    ⎡ F1   F3     ⎤
                                                    ⎢A           0⎥
                                                           Ao
                                                    ⎢ o           ⎥
                        F3    F1         σ = σ ij = ⎢ F3   F2
                                                                 0⎥
                                                    ⎢ Ao   Ao     ⎥
                                                    ⎢0     0     0⎥
                                                    ⎢             ⎥
                                                    ⎣             ⎦
A property of a symmetric tensor is that there exists an orthogonal set
of axes 1, 2 and 3 (called principal axes) with respect to which the
tensor elements are all zero except for those in the diagonal.

           ⎡σ x τ yx τ zx ⎤                        ⎡σ 1 0 0 ⎤
           ⎢              ⎥                        ⎢0 σ     ⎥
σ = σ ij = ⎢τ xy σ y τ zy ⎥           σ ' = σ ij = ⎢
                                               '
                                                         2 0⎥
           ⎢τ xz τ yz σ z ⎥                        ⎢ 0 0 σ3⎥
                                                   ⎣        ⎦
           ⎣              ⎦
Plane Stress or Biaxial Stress : When the material is in plane stress in
the plane xy, only the x and y faces of the element are subject to
stresses, and all the stresses act parallel to the x and y axes.




                                                        ⎡σ xx τ yx    0⎤
                                                        ⎢τ    σ yy    0⎥
                                                        ⎢  xy          ⎥
                                                        ⎢ 0
                                                        ⎣      0      0⎥
                                                                       ⎦


                    Stresses on Inclined Sections
 Knowing the normal and shear stresses acting in the element denoted
 by the xy axis, we will calculate the normal and shear stresses acting
 in the element denoted by the axis x1y1.
y
                                                             y1                 x1
                                                                            θ
                                                                                     x


                       AO/Cosθ σ
                                x1
        Ao                               Equilibrium of forces: Acting in x1
                       θ
σx                               τx1y1
       θ
           τxy

                 τyx             AOSinθ/Cosθ
                            σy
        AO                                                  Sinθ                 Sinθ
σ X1 ⋅      = σ X cosθ ⋅ AO + τ XY sinθ ⋅ AO + σY Sinθ ⋅ AO      + τYX cosθ ⋅ AO
       cosθ                                                 Cosθ                 Cosθ
Eliminating Ao , secθ = 1/cosθ
                                                 and τxy=τyx




                           σ X 1 = σ X cos 2 θ + σ Y sin 2 θ + 2τ XY sin θ cos θ
                            σ Y 1 = σ X sin 2 θ + σ Y cos 2 θ − 2τ XY sin θ cosθ
                                  Acting in y1




τx1y1Aosecθ = − σxAosinθ + τxyAocosθ + σyAotanθcosθ − τyxAotanθsinθ

 Eliminating Ao , secθ = 1/cosθ         and τxy=τyx
  τ x1 y1 = −σ x ⋅ sin θ ⋅ cos θ + σ y ⋅ sin θ ⋅ cos θ + τ xy (cos 2 θ − sin 2 θ )
Transformation Equations for Plane Stress
Using the following trigonometric identities:
Cos2θ = ½ (1+ cos 2θ) Sin2θ = ½ (1- cos 2θ)     Sin θ cos θ = ½ sin 2θ

              σ x +σ y         σ x −σ y
     σ x1 =                +              cos 2θ + τ xy sin 2θ
                   2              2
                   σ x −σ y
     τ x1 y1 = −               sin 2θ + τ xy cos 2θ
                       2
These equations are known as the transformation equations for
plane stress.
σ x +σ y         σ x −σ y
   Special Cases                     σ x1 =                +              cos 2θ + τ xy sin 2θ
                                                   2              2
                                                   σ x −σ y
Case 1: Uniaxial stress              τ x1 y1 = −               sin 2θ + τ xy cos 2θ
σ y = 0 τ xy = τ yx = 0                                2

             ⎛ 1 + Cos 2θ ⎞
σ x1 = σ x ⋅ ⎜              ⎟
             ⎝       2      ⎠
                  ⎛ Sin 2θ ⎞
τ x1, y1 = −σ x ⋅ ⎜        ⎟
                  ⎝ 2 ⎠
Case 2 : Pure Shear
          σx =σy = 0
          σ x1 = τ xy ⋅ Sin 2θ
          τ x1, y1 = τ xy ⋅ Cos 2θ
Case 3: Biaxial stress

τ xy = 0
         σ x +σ y          σ x −σ y
σ x1 =                 +               ⋅ Cos 2θ
               2              2
               σ x −σ y
τ x1, y1 = −                ⋅ Sin 2θ
                   2
Example: An element in plane stress is subjected to stresses
σx=16000psi, σy=6000psi, and τxy=τyx= 4000psi (as shown in figure
below). Determine the stresses acting on an element inclined at an
angle θ=45o (counterclockwise - ccw).
                   Solution: We will use the following transformation
                   equations:




                          σx +σ              σ x −σ
                 σ x1 =                 +                 cos 2θ + τ xy sin 2θ
                                    y                 y

                                2               2
                                σ x −σ
                 τ x1 y 1 = −                sin 2θ + τ xy cos 2θ
                                         y

                                    2
Numerical substitution
½ (σx + σy) = ½ (16000 + 6000) = 11000psi
½ (σx - σy) = ½ (16000 – 6000) = 5000psi            τxy = 4000psi
sin 2θ = sin 90o = 1         cos 2θ = cos 90o = 0     Then
σx1 = 11000psi + 5000psi (0) + 4000psi (1) = 15000psi
τx1y1 = - (5000psi) (1) + (4000psi) (0) = - 5000psi
σx1 + σy1 = σx + σy        then σy1 = 16000 + 6000 – 15000 = 7000psi



                                                       σ 1 = 17,403 psi
                                                       σ 2 = 4,597 psi
                                                       τ Max = 6,403 psi
Example: A plane stress condition exists at a point on the surface of
a loaded structure such as shown below. Determine the stresses
acting on an element that is oriented at a clockwise (cw) angle of 15o
with respect to the original element.
                   Solution:
                   We will use the following transformation equations:
                                   σx +σ              σ x −σ
                          σ x1 =                 +                 cos 2θ + τ xy sin 2θ
                                             y                 y

                                         2               2
                                         σ x −σ
                          τ x1 y 1 = −                sin 2θ + τ xy cos 2θ
                                                  y

                                             2
Numerical substitution
½ (σx + σy) = ½ (- 46 + 12) = - 17MPa
½ (σx - σy) = ½ (- 46 – 12) = - 29MPa         τxy = - 19MPa
sin 2θ = sin (- 30o) = - 0.5        cos 2θ = cos (- 30o) = 0.866   then
σx1 = - 17MPa + ( - 29MPa)(0.8660) + (-19MPa)(- 0.5) = - 32.6MPa
τx1y1 = - (- 29MPa) (- 0.5) + (- 19MPa) (0.8660) = - 31.0MPa
σx1 + σy1 = σx + σy then σy1 = - 46MPa + 12MPa – (- 32.6MPa) = - 1.4MPa
Example : A rectangular plate of dimensions 3.0 in x 5.0 in is formed
by welding two triangular plates (see figure). The plate is subjected to
a tensile stress of 600psi in the long direction and a compressive stress
of 250psi in the short direction. Determine the normal stress σw acting
perpendicular to the line or the weld and the shear stress τw acting
parallel to the weld. (Assume σw is positive when it acts in tension and
τw is positive when it acts counterclockwise against the weld).
Solution
Biaxial stress weld joint σx = 600psi            σy = -250psi      τxy = 0
From the figure
tanθ = 3 / 5      θ = arctan(3/5) = arctan(0.6) = 30.96o
We will use the following                    σ x +σ y σ x −σ y
                                    σ x1 =             +          cos 2θ + τ xy sin 2θ
transformation equations:                        2           2
                                                σ x −σ y
                                    τ x1 y1 = −          sin 2θ + τ xy cos 2θ
Numerical substitution                              2
½ (σx + σy) = 175psi                 ½ (σx - σy) = 425psi        τxy = 0psi
sin 2θ = sin 61.92o                  cos 2θ = cos 61.92o
                                                           y
                                                25psi        -375psi    375psi
Then
σx1 = 375psi τx1y1 = - 375psi                                                Θ=
σx1 + σy1 = σx + σy                                                          30.96o
then σy1 = 600 + (- 250) – 375 = -25psi                                           x
Stresses acting on the weld

          σw                                     25psi



 τw
                                        375psi
                   θ
                                                         θ = 30.96o


                σw = -25psi and τw = 375psi
Principal Stresses and Maximum Shear Stresses
 The sum of the normal stresses acting on perpendicular faces of
 plane stress elements is constant and independent of the angle θ.
                    σ x +σ y         σ x −σ y
           σ x1 =                +              cos 2θ + τ xy sin 2θ
                        2                2
              σ X 1 + σ Y1 = σ X + σ Y
As we change the angle θ there will be maximum and minimum
normal and shear stresses that are needed for design purposes.
The maximum and minimum normal stresses are known as the
principal stresses. These stresses are found by taking the derivative
of σx1 with respect to θ and setting equal to zero.
             δσ x1
                   = −(σ x − σ y ) sin 2θ + 2τ xy cos 2θ = 0
              δθ
                            τ xy
             tan 2θ P =
                        ⎛σx −σ y ⎞
                        ⎜
                        ⎜            ⎟
                                     ⎟
                        ⎝    2       ⎠
The subscript p indicates that the angle θp defines the orientation of
the principal planes. The angle θp has two values that differ by 90o.
They are known as the principal angles.
For one of these angles σx1 is a maximum principal stress and for
the other a minimum. The principal stresses occur in mutually
perpendicular planes.                                 τ
                                                 tan 2θ P =          xy

                                                              ⎛σx −σ y ⎞
                                                              ⎜
                                                              ⎜ 2 ⎟    ⎟
                                                              ⎝        ⎠
                                                   τ xy                   (σ x − σ y )
                                      sin 2θ P =              cos2θ P =
                                                    R                         2R

                    σ x +σ y       σ x −σ y
           σ x1 =              +              cos 2θ + τ xy sin 2θ
                    2        2
           for the maximum stress θ = θ P
σ x +σ y       σ x −σ y ⎛σ x −σ y ⎞          ⎛τ ⎞       σ x +σ y    ⎛ σ x −σ y ⎞ ⎛ 1 ⎞
                                                                                       2

                                                                                      ⎟ ⎜ ⎟ + (τ xy )2 ⎜ ⎟
                                                                                                       ⎛1⎞
σ1 =              +           ⎜
                              ⎜            ⎟ + τ xy ⎜ xy ⎟ =
                                           ⎟        ⎜ ⎟                   +⎜
                                                                           ⎜ 2 ⎟ R
          2              2    ⎝       2R   ⎠        ⎝ R ⎠           2      ⎝          ⎠ ⎝ ⎠            ⎝R⎠
       σ x +σ y           ⎡⎛ σ x − σ y ⎞ 2          ⎤
                                       ⎟ + (τ xy ) ⎥
                    ⎛1⎞
σ1 =              + ⎜ ⎟ ⎢⎜ ⎜           ⎟
                                                  2

          2         ⎝ R ⎠ ⎢⎝ 2 ⎠
                          ⎣                         ⎥
                                                    ⎦
                 ⎛ σ x −σ y ⎞                              σ x +σ y       ⎛ σ x −σ y ⎞
                                  2                                                    2

But              ⎜
              R= ⎜          ⎟ + (τ xy )2            σ1 =                + ⎜
                                                                          ⎜ 2 ⎟      ⎟ + (τ xy )2
                 ⎝     2 ⎟  ⎠                                   2         ⎝          ⎠


                                                  ⎛σ x +σ y               ⎛σ x −σ y
                                                                                        2
                                                                    ⎞                  ⎞
                                                                                       ⎟ + (τ xy )2
 Principal stresses:
                                             σ1 = ⎜
                                                  ⎜                 ⎟+
                                                                    ⎟     ⎜
                                                                          ⎜            ⎟
                                                  ⎝    2            ⎠     ⎝    2       ⎠
                                                  ⎛σ x +σ y                ⎛σ x −σ y
                                                                                           2
                                                                    ⎞                  ⎞
                                             σ2 = ⎜
                                                  ⎜                 ⎟−
                                                                    ⎟      ⎜
                                                                           ⎜           ⎟ + (τ xy )2
                                                                                       ⎟
                                                  ⎝    2            ⎠      ⎝    2      ⎠

 The plus sign gives the algebraically larger principal stress and the
 minus sign the algebraically smaller principal stress.
Maximum Shear Stress
  The location of the angle for the maximum shear stress is obtained
  by taking the derivative of τx1y1 with respect to θ and setting it equal
  to zero.             σ x −σ y
           τ x1 y1 = −          sin 2θ + τ xy cos 2θ
δτ x1 y1                       2
         = −(σ x − σ y ) cos 2θ − 2τ xy sin 2θ = 0       Therefore, 2θs-2θp=-90o or θs= θp +/- 45o
 δθ
              σx −σ y                                    The planes for maximum shear stress
                                                         occurs at 45o to the principal planes. The
tan 2θ S = −      2
                 τ xy                                    plane of the maximum positive shear
                                                         stress τmax is defined by the angle θS1 for
                                                         which the following equations apply:
               (σ x − σ y )         1
tan 2θ S = −                  =−          = − cot 2θ P
                  2τ xy          tan 2θ P
sin 2θ S
         =−
                                     (
            cos 2θ P − sin 90 o − 2θ P
                     =                 =
                                                 )
                                         sin 2θ P − 90 o     (            )
cos 2θ S    sin 2θ P   cos 90 − 2θ P
                             o
                                    (           )
                                         cos 2θ P − 90 o     (            )
                             τ xy                   (σ x − σ y )
               cos 2θ s1 =          sin 2θ s1 = −                  and θ s1 = θ P1 − 450
                              R                         2R
⎛σ x −σ y ⎞
                                                                            2
The corresponding maximum shear is
                                                 τ MAX = ⎜
                                                         ⎜                ⎟ + (τ xy )2
                                                                          ⎟
given by the equation                                         ⎝      2    ⎠
Another expression for the maximum                                  (σ 1 − σ 2 )
shear stress                                         τ MAX =
                                                                         2
                                                                     (σ x + σ y )
The normal stresses associated with the
maximum shear stress are equal to
                                                      σ AVER =
                                                                           2
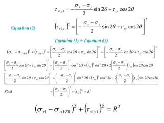
     Equations of a Circle
                                   σ x +σ y          σ x −σ y
General equation          σ x1 =                 +                cos 2θ + τ xy sin 2θ
                                      2                  2
Consider                                         σ x −σ y
                          σ x1 − σ AVER =                     cos 2θ + τ xy sin 2θ
                                                     2
                                                     ⎡σ x − σ y
                                                                                            2
                                                                                        ⎤
           Equation (1)   (σ x1 − σ AVER )   2
                                                 =⎢                cos 2θ + τ xy sin 2θ ⎥
                                                  ⎣       2                             ⎦
σ x −σ y
                                           τ x1 y1 = −                     sin 2θ + τ xy cos 2θ
                                                                   2
                                                               ⎡ σ x −σ y
                                                                                                                    2
                                                                                               ⎤
    Equation (2)                           (τ )
                                             x1 y1
                                                     2
                                                             = ⎢−         sin 2θ + τ xy cos 2θ ⎥
                                                               ⎣     2                         ⎦
                                           Equation (1) + Equation (2)
                                    ⎡σ x − σ y                          ⎡ σ x −σ y
                                                                               2                                            2
                                                                    ⎤                                   ⎤
 (σ x1 − σ AVER )2 + (τ x1 y1 )2   =⎢          cos 2θ + τ xy sin 2θ ⎥ + ⎢−         sin 2θ + τ xy cos 2θ ⎥
                                    ⎣ 2                             ⎦   ⎣     2                         ⎦
⎡σ x − σ y                          ⎛σ x −σ y                                          ⎛σ −σ y
                                   2                  2
                                ⎤                    ⎞                                            ⎞
⎢          cos 2θ + τ xy sin 2θ ⎥ = ⎜
                                    ⎜                ⎟ cos 2 2θ + (τ xy )2 sin 2 2θ + 2⎜ x
                                                     ⎟                                 ⎜          ⎟(τ xy )sin 2θ cos 2θ
                                                                                                  ⎟
⎣ 2                             ⎦   ⎝    2           ⎠                                 ⎝   2      ⎠
⎡ σ x −σ y                          ⎛ σ x −σ y                                                 ⎛σ −σ y
                                       2                      2
                                ⎤                            ⎞                                           ⎞
⎢ −        sin 2θ + τ xy cos 2θ ⎥ = ⎜ −
                                    ⎜                        ⎟ sin 2 2θ + (τ xy )2 cos 2 2θ − 2⎜ x
                                                             ⎟                                 ⎜         ⎟(τ xy )sin 2θ cos 2θ
                                                                                                         ⎟
⎣     2                         ⎦   ⎝     2                  ⎠                                 ⎝   2     ⎠
                                        ⎛σ x −σ y
                                                         2
                                                     ⎞
SUM                                    =⎜
                                        ⎜            ⎟ + (τ xy )2 = R 2
                                                     ⎟
                                        ⎝    2       ⎠


                       (σ x1 − σ AVER )                           + (τ x1 y1 ) = R 2
                                                              2                    2
Mohr Circle
                                                                The radius of the Mohr
                                                                circle is the magnitude R.
                                 ⎛σ x +σ y ⎞
                                 ⎜
                                 ⎜ 2 ⎟     ⎟
                                                                    ⎛σ x −σ y
                                                                                       2
                                                                                   ⎞
                     C
                                 ⎝         ⎠
                                                          σ      R= ⎜
                                                                    ⎜              ⎟ + (τ xy )2
                                                                                   ⎟
                                                 2θP                ⎝    2         ⎠
            ⎛σ       −σ          ⎞
                                  2                       τxy
      R =   ⎜
            ⎜
                 x           y
                                 ⎟ +(
                                 ⎟  τ   xy   )
                                             2

            ⎝        2           ⎠                         The center of the Mohr circle
                                                           is the magnitude
τ                                                                             (σ           +σ y )
                                                                   σ AVER =
                                                                                   x

                                                                                           2
                                                        ⎛σ x −σ y
                                                                        2
                                                                       ⎞
(σ x1 − σ AVER )                 + (τ x1 y1 )          =⎜              ⎟ + (τ xy )
                         2                        2                               2
                                                        ⎜              ⎟
                                                        ⎝    2         ⎠
Alternative sign conversion for
                                                  shear stresses:
                                              (a) clockwise shear stress,
                                              (b) counterclockwise shear
                                                  stress, and
                                              (c) axes for Mohr’s circle.
                                               Note that clockwise shear
                                               stresses are plotted upward and
                                               counterclockwise shear stresses
                                               are plotted downward.
Forms of Mohr’s Circle
a) We can plot the normal stress σx1 positive to the right and the shear
   stress τx1y1 positive downwards, i.e. the angle 2θ will be positive
   when counterclockwise or
b) We can plot the normal stress σx1 positive to the right and the shear
   stress τx1y1 positive upwards, i.e. the angle 2θ will be positive when
   clockwise.
Both forms are mathematically correct. We use (a)
Two forms of Mohr’s circle:
(a) τx1y1 is positive downward and the angle 2θ
is positive counterclockwise, and
(b) τx1y1 is positive upward and the angle 2θ is
positive clockwise. (Note: The first form is
used here)
Construction of Mohr’s circle for plane stress.
Example: At a point on the surface of a pressurized
cylinder, the material is subjected to biaxial stresses
σx = 90MPa and σy = 20MPa as shown in the element
below.
Using the Mohr circle, determine the stresses acting
on an element inclined at an angle θ = 30o (Sketch a
properly oriented element).

Solution (σx = 90MPa, σy = 20MPa and
τxy = 0MPa)
Because the shear stress is zero, these are the
principal stresses.
Construction of the Mohr’s circle
The center of the circle is
σaver = ½ (σx + σy) = ½ (90 + 20) = 55MPa
The radius of the circle is
R = SQR[((σx – σy)/2)2 + (τxy)2]
R= (90 – 20)/2 = 35MPa.
Stresses on an element inclined at θ = 30o
By inspection of the circle, the coordinates of point D are
σx1 = σaver + R cos 60o = 55MPa + 35MPa (Cos 60o) = 72.5MPa
τx1y1 = - R sin 60o = - 35MPa (Sin 60o) = - 30.3MPa
In a similar manner we can find the stresses represented by point D’, which
correspond to an angle θ = 120o ( 2θ = 240o)
σy1 = σaver - R cos 60o = 55MPa - 35MPa (Cos 60o) = 37.5MPa
τx1y1 = R sin 60o = 35MPa (Sin 60o) = 30.3MPa
Example: An element in plane stress at the
    surface of a large machine is subjected to
    stresses σx = 15000psi, σy = 5000psi and
    τxy = 4000psi, as shown in the figure.
 Using the Mohr’s circle determine the following:
 a) The stresses acting on an element inclined at
     an angle θ = 40o
 b) The principal stresses and
 c) The maximum shear stresses.
Solution
Construction of Mohr’s circle:
Center of the circle (Point C): σaver = ½ (σx + σy) = ½ (15000 + 5000) = 10000psi
Radius of the circle: R = SQR[((σx – σy)/2)2 + (τxy)2]
R = SQR[((15000 – 5000)/2)2 + (4000)2] = 6403psi.
Point A, representing the stresses on the x face of the element (θ = 0o) has the
coordinates σx1 = 15000psi and τx1y1 = 4000psi
Point B, representing the stresses on the y face of the element (θ = 90o) has the
coordinates σy1 = 5000psi and τy1x1 = - 4000psi
The circle is now drawn through points A and B with center C and radius R
Stresses on an element inclined at θ = 40o
These are given by the coordinates of point D which is at an angle 2θ = 80o from point
A. By inspection the angle ACP1 for the principal stresses (point P1) is tan ACP1 =
4000/5000 = 0.8 or 38.66o.
Then, the angle P1CD is 80o – 38.66o = 41.34o
Knowing this angle, we can calculate the coordinates of point D (by inspection)
σx1 = σaver + R cos 41.34o = 10000psi + 6403psi (Cos 41.34o) = 14810psi
τx1y1 = - R sin 41.34o = - 6403psi (Sin 41.34o) = - 4230psi
In an analogous manner, we can find the stresses represented by point D’, which
correspond to a plane inclined at an angle θ = 40o + 90o = 130o
σy1 = σaver - R cos 41.34o = 10000psi - 6403psi (Cos 41.34o) = 5190psi
τx1y1 = R sin 41.34o = 6403psi (Sin 41.34o) = 4230psi
And of course, the sum of the normal stresses is
14810psi + 5190psi = 15000psi + 5000psi
Principal Stresses
The principal stresses are represented by
points P1 and P2 on Mohr’s circle.
σ1 = 10000psi + 6400psi = 16400psi
σ2 = 10000psi – 6400psi = 3600psi
The angle it was found to be 2θ = 38.66o
or θ = 19.3o




                                            Maximum Shear Stresses
                                            These are represented by point S1 and
                                            S2 in Mohr’s circle.
                                            The angle ACS1 from point A to point
                                            S1 is 2 θS1 = 51.34o. This angle is
                                            negative because is measured clockwise
                                            on the circle. Then the corresponding
                                            θS1 value is – 25.7o.
Example:At a point on the surface of a
    generator shaft the stresses are σx = -50MPa,
    σy = 10MPa and τxy = - 40MPa as shown in
    the figure. Using Mohr’s circle determine the
    following:
(a) Stresses acting on an element inclined at an
    angle θ = 45o,
(b) The principal stresses and
(c) The maximum shear stresses
Solution
Construction of Mohr’s circle:
Center of the circle (Point C): σaver = ½ (σx + σy) = ½ ((-50) + 10) = - 20MPa
Radius of the circle: R = SQR[((σx – σy)/2)2 + (τxy)2]
R = SQR[((- 50 – 10)/2)2 + (- 40)2] = 50MPa.
Point A, representing the stresses on the x face of the element (θ = 0o) has the
coordinates σx1 = -50MPa and τx1y1 = - 40MPa
Point B, representing the stresses on the y face of the element (θ = 90o) has the
coordinates σy1 = 10MPa and τy1x1 = 40MPa
The circle is now drawn through points A and B with center C and radius R.
Stresses on an element inclined
                                                    at θ = 45o
                                                    These stresses are given by the
                                                    coordinates of point D (2θ = 90o
                                                    of point A). To calculate its
                                                    magnitude we need to determine
                                                    the angles ACP2 and P2CD.




tan ACP2=40/30=4/3 ACP2=53.13o P2CD = 90o – ACP2 = 90o – 53.13o = 36.87o
Then, the coordinates of point D are
σx1 = σaver + R cos 36.87o = - 20MPa – 50MPa (Cos 36.87o) = - 60MPa
τx1y1 = R sin 36.87o = 50MPa (Sin 36.87o) = 30MPa
In an analogous manner, the stresses represented by point D’, which correspond to a
plane inclined at an angle θ = 135o or 2θ = 270o
σy1 = -20MPa + 50MPa (Cos 36.87o) = 20MPa                      τx1y1 = -30MPa
And of course, the sum of the normal stresses is -50MPa+10MPa = -60MPa +20MPa
Principal Stresses                       Maximum Shear Stresses
They are represented by points P1 and    These are represented by point S1 and S2
P2 on Mohr’s circle.                     in Mohr’s circle.
σ1 = - 20MPa + 50MPa = 30MPa             The angle ACS1 is 2θS1 = 90o + 53.13o =
σ2 = -20MPa – 50MPa = - 70MPa            143.13o or θ = 71.6o .
The angle ACP1 is 2θP1 = 180o + 53.13o   The magnitude of the maximum shear
= 233.13o or θP1 = 116.6o                stress is 50MPa and the normal stresses
The angle ACP2 is 2θP2 = 53.13o or θP2   corresponding to point S1 is -20MPa.
= 26.6o

Met 1 2

  • 1.
    Mechanical Metallurgy INME 6016 Pablo G. Caceres‐Valencia Professor in Materials Science,  B.Sc., Ph.D. (UK) 
  • 2.
    GENERAL INFORMATION Course Number  INME 6016  Course Title Mechanical Metallurgy Credit Hours 3 (Lecture:  3hours) Instructor Dr. Pablo G. Caceres‐Valencia Office Luchetti Building L‐212  Phone Extension 2358 Office Hours Mo and Wed 1:00pm to 5:00pm  e‐mail pcaceres@uprm.edu pcaceres@me.uprm.edu Web‐site http://academic.uprm.edu/pcaceres
  • 3.
    Assessment The course will be assessed in the following manner: Partial Exam  30% Final Exam 30% Quizzes (3)*  33% Attendance and Class Participation 7% (*) A total of three quizzes will be performed.    (**) Class Attendance (after the second absence ‐ 1 point will be deducted for each non‐ authorized absence). The participation in class will be taken into account. Attendance Attendance and participation in the lectures are mandatory and will  be considered in the grading. Students should bring calculators,  rulers, pen and pencils to be used during the lectures. Students are  expected to keep up with the assigned reading and be prepared for  the pop‐quizzes or to answer questions on these readings during  lecture.
  • 4.
    Texbooks G.E. Dieter; Mechanical Metallurgy; Mc Graw Hill M.A. Meyers and K.K. Chawla; Mechanical Metallurgy: Principles and  Applications; Prentice‐Hall  I will also post my lecture notes in the web: http://academic.uprm.edu/pcaceres TENTATIVES DATES Jan/9‐11 Jan/14‐18  Jan/21‐25  Basic Principles Stress‐Strain Basic Elasticity Jan/28‐Feb/01  Feb/04‐08  Feb/11‐15 Basic Elasticity Single Crystals Dislocation Theory Feb/18‐22  Feb/25‐29 Strengthening  March/3‐7  Dislocation Theory 1st Exam Mechanisms Strengthening Mechanisms March/10‐14  Mar/17‐21– Mar/24‐28  Strengthening Mechanisms No Class ‐ Holy Week Fracture April/1‐4 April/7‐11  Mechanical  April /14‐18 Mechanical  Fracture Properties Exam 2 Properties April/22‐25 – Mechanical  Apr/28‐May02‐ Mechanical  Properties Properties
  • 5.
    Content •Stress and Strain Relationships for Elastic Behavior •Elements of the Theory of Elasticity •Plastic Deformation of Single Crystals •Dislocation Theory •Strengthening Mechanisms •Fracture •Mechanical Properties
  • 6.
    The Concept ofStress Uniaxial tensile stress: A force F is applied perpendicular to the area (A). Before the application of the force, the cross section area was AO F Engineering stress or nominal stress: Force σ= divided by the original area. A0 True stress: Force divided by the F σT = instantaneous area A Engineering Strain or Nominal Strain: Change of l − l0 Δl length divided by the original length ε= = l0 l0 True Strain: The rate of instantaneous increase in d ⎛ ⎞ the instantaneous gauge length. εT = ∫ = ln ⎜ ⎜ ⎝ i o ⎟ ⎟ ⎠
  • 7.
    Relationship between engineeringand true stress and strain We will assume that the volume remains Ao o = Ai i constant. F F Ao F Ao σT = = * = * Ai Ai Ao Ao Ai Ao Δl + Δl F = i = o = + 1 = (1 + ε ) σT = (1+ ε ) Ai o o o Ao εT = ∫ d ⎛ = ln ⎜ ⎜ i ⎞ ⎟ ⎟ σ T = σ (1 + ε ) ⎝ o ⎠ εT ⎛ = ln ⎜ o + Δ ⎞ ⎛ ⎟ ⇒ ln ⎜ o + Δ ⎞ ⎟ ε T = ln(1 + ε ) ⎜ ⎟ ⎜ ⎟ ⎝ o ⎠ ⎝ o o ⎠
  • 8.
    Primary Types ofLoading (a) Tension (b) Compression (c) Shear (d) Torsion (e) Flexion
  • 9.
    Hooke’s Law When strainsare small, most of materials are linear elastic. Young’s modulus Normal: σ = Ε ε σ F ⋅ lo Δl = Ao ⋅ E Springs: the spring rate E F Ao ⋅ E k= = Δl lo ε
  • 10.
    Torsion Loading resulting from the twist of a shaft. δθ r ⋅θ γ θ ,Z = r⋅ ≅ Shear strain δz l δθ G ⋅ r ⋅θ τθ ,z = G ⋅ γ θ ,z = G⋅r ⋅ ≅ δz l G = Shear Modulus of Elasticity Twist Moment or Torque G ⋅θ T = ∫ r ⋅τ θ , z ⋅ δA = ∫r 2 θ ,z ⋅ δA A l A G ⋅θ ⋅ J T ⋅l T= or θ= of Inertia A ∫ Area Polar Moment J = r 2 ⋅ δA l G⋅J Angular spring rate: T ⋅r T ⋅ ro J ⋅G Thus: τθ ,z ≅ τ Max ≅ ka = = T J J θ l
  • 11.
    Stress Components Normal Stresses σx, σy, σz Shear Stresses τxy , τyx , τxz , τzx , τzy , τyz From equilibrium principles: τxy = τyx , τxz = τzx , τzy = τyz Normal stress (σ) : the subscript identifies the face on which the stress acts. Tension is positive and compression is negative. Shear stress (τ) : it has two subscripts. The first subscript denotes the face on which the stress acts. The second subscript denotes the direction on that face. A shear stress is positive if it acts on a positive face and positive direction or if it acts in a negative face and negative direction.
  • 12.
    Sign Conventions forShear Stress and Strain The Shear Stress will be considered positive when a pair of shear stress acting on opposite sides of the element produce a counterclockwise (ccw) torque (couple). A shear strain in an element is positive when the angle between two positive faces (or two negative faces) is reduced, and is negative if the angle is increased.
  • 13.
    For static equilibriumτxy = τyx , τxz = τzx , τzy = τyz resulting in Six independent scalar quantities. These six scalars can be arranged in a 3x3 matrix, giving us a stress tensor. ⎡σ x τ yx τ zx ⎤ ⎢ ⎥ σ = σ ij = ⎢τ xy σ y τ zy ⎥ ⎢τ xz τ yz σ z ⎥ ⎣ ⎦ The sign convention for the stress elements is that a positive force on a positive face or a negative force on a negative face is positive. All others are negative. The stress state is a second order tensor since it is a quantity associated with two directions (two subscripts direction of the surface normal and direction of the stress).
  • 14.
    F2 Cube with a Face area Ao ⎡ F1 F3 ⎤ ⎢A 0⎥ Ao ⎢ o ⎥ F3 F1 σ = σ ij = ⎢ F3 F2 0⎥ ⎢ Ao Ao ⎥ ⎢0 0 0⎥ ⎢ ⎥ ⎣ ⎦ A property of a symmetric tensor is that there exists an orthogonal set of axes 1, 2 and 3 (called principal axes) with respect to which the tensor elements are all zero except for those in the diagonal. ⎡σ x τ yx τ zx ⎤ ⎡σ 1 0 0 ⎤ ⎢ ⎥ ⎢0 σ ⎥ σ = σ ij = ⎢τ xy σ y τ zy ⎥ σ ' = σ ij = ⎢ ' 2 0⎥ ⎢τ xz τ yz σ z ⎥ ⎢ 0 0 σ3⎥ ⎣ ⎦ ⎣ ⎦
  • 15.
    Plane Stress orBiaxial Stress : When the material is in plane stress in the plane xy, only the x and y faces of the element are subject to stresses, and all the stresses act parallel to the x and y axes. ⎡σ xx τ yx 0⎤ ⎢τ σ yy 0⎥ ⎢ xy ⎥ ⎢ 0 ⎣ 0 0⎥ ⎦ Stresses on Inclined Sections Knowing the normal and shear stresses acting in the element denoted by the xy axis, we will calculate the normal and shear stresses acting in the element denoted by the axis x1y1.
  • 16.
    y y1 x1 θ x AO/Cosθ σ x1 Ao Equilibrium of forces: Acting in x1 θ σx τx1y1 θ τxy τyx AOSinθ/Cosθ σy AO Sinθ Sinθ σ X1 ⋅ = σ X cosθ ⋅ AO + τ XY sinθ ⋅ AO + σY Sinθ ⋅ AO + τYX cosθ ⋅ AO cosθ Cosθ Cosθ
  • 17.
    Eliminating Ao ,secθ = 1/cosθ and τxy=τyx σ X 1 = σ X cos 2 θ + σ Y sin 2 θ + 2τ XY sin θ cos θ σ Y 1 = σ X sin 2 θ + σ Y cos 2 θ − 2τ XY sin θ cosθ Acting in y1 τx1y1Aosecθ = − σxAosinθ + τxyAocosθ + σyAotanθcosθ − τyxAotanθsinθ Eliminating Ao , secθ = 1/cosθ and τxy=τyx τ x1 y1 = −σ x ⋅ sin θ ⋅ cos θ + σ y ⋅ sin θ ⋅ cos θ + τ xy (cos 2 θ − sin 2 θ )
  • 18.
    Transformation Equations forPlane Stress Using the following trigonometric identities: Cos2θ = ½ (1+ cos 2θ) Sin2θ = ½ (1- cos 2θ) Sin θ cos θ = ½ sin 2θ σ x +σ y σ x −σ y σ x1 = + cos 2θ + τ xy sin 2θ 2 2 σ x −σ y τ x1 y1 = − sin 2θ + τ xy cos 2θ 2 These equations are known as the transformation equations for plane stress.
  • 19.
    σ x +σy σ x −σ y Special Cases σ x1 = + cos 2θ + τ xy sin 2θ 2 2 σ x −σ y Case 1: Uniaxial stress τ x1 y1 = − sin 2θ + τ xy cos 2θ σ y = 0 τ xy = τ yx = 0 2 ⎛ 1 + Cos 2θ ⎞ σ x1 = σ x ⋅ ⎜ ⎟ ⎝ 2 ⎠ ⎛ Sin 2θ ⎞ τ x1, y1 = −σ x ⋅ ⎜ ⎟ ⎝ 2 ⎠ Case 2 : Pure Shear σx =σy = 0 σ x1 = τ xy ⋅ Sin 2θ τ x1, y1 = τ xy ⋅ Cos 2θ
  • 20.
    Case 3: Biaxialstress τ xy = 0 σ x +σ y σ x −σ y σ x1 = + ⋅ Cos 2θ 2 2 σ x −σ y τ x1, y1 = − ⋅ Sin 2θ 2
  • 21.
    Example: An elementin plane stress is subjected to stresses σx=16000psi, σy=6000psi, and τxy=τyx= 4000psi (as shown in figure below). Determine the stresses acting on an element inclined at an angle θ=45o (counterclockwise - ccw). Solution: We will use the following transformation equations: σx +σ σ x −σ σ x1 = + cos 2θ + τ xy sin 2θ y y 2 2 σ x −σ τ x1 y 1 = − sin 2θ + τ xy cos 2θ y 2
  • 22.
    Numerical substitution ½ (σx+ σy) = ½ (16000 + 6000) = 11000psi ½ (σx - σy) = ½ (16000 – 6000) = 5000psi τxy = 4000psi sin 2θ = sin 90o = 1 cos 2θ = cos 90o = 0 Then σx1 = 11000psi + 5000psi (0) + 4000psi (1) = 15000psi τx1y1 = - (5000psi) (1) + (4000psi) (0) = - 5000psi σx1 + σy1 = σx + σy then σy1 = 16000 + 6000 – 15000 = 7000psi σ 1 = 17,403 psi σ 2 = 4,597 psi τ Max = 6,403 psi
  • 23.
    Example: A planestress condition exists at a point on the surface of a loaded structure such as shown below. Determine the stresses acting on an element that is oriented at a clockwise (cw) angle of 15o with respect to the original element. Solution: We will use the following transformation equations: σx +σ σ x −σ σ x1 = + cos 2θ + τ xy sin 2θ y y 2 2 σ x −σ τ x1 y 1 = − sin 2θ + τ xy cos 2θ y 2
  • 24.
    Numerical substitution ½ (σx+ σy) = ½ (- 46 + 12) = - 17MPa ½ (σx - σy) = ½ (- 46 – 12) = - 29MPa τxy = - 19MPa sin 2θ = sin (- 30o) = - 0.5 cos 2θ = cos (- 30o) = 0.866 then σx1 = - 17MPa + ( - 29MPa)(0.8660) + (-19MPa)(- 0.5) = - 32.6MPa τx1y1 = - (- 29MPa) (- 0.5) + (- 19MPa) (0.8660) = - 31.0MPa σx1 + σy1 = σx + σy then σy1 = - 46MPa + 12MPa – (- 32.6MPa) = - 1.4MPa
  • 25.
    Example : Arectangular plate of dimensions 3.0 in x 5.0 in is formed by welding two triangular plates (see figure). The plate is subjected to a tensile stress of 600psi in the long direction and a compressive stress of 250psi in the short direction. Determine the normal stress σw acting perpendicular to the line or the weld and the shear stress τw acting parallel to the weld. (Assume σw is positive when it acts in tension and τw is positive when it acts counterclockwise against the weld).
  • 26.
    Solution Biaxial stress weldjoint σx = 600psi σy = -250psi τxy = 0 From the figure tanθ = 3 / 5 θ = arctan(3/5) = arctan(0.6) = 30.96o We will use the following σ x +σ y σ x −σ y σ x1 = + cos 2θ + τ xy sin 2θ transformation equations: 2 2 σ x −σ y τ x1 y1 = − sin 2θ + τ xy cos 2θ Numerical substitution 2 ½ (σx + σy) = 175psi ½ (σx - σy) = 425psi τxy = 0psi sin 2θ = sin 61.92o cos 2θ = cos 61.92o y 25psi -375psi 375psi Then σx1 = 375psi τx1y1 = - 375psi Θ= σx1 + σy1 = σx + σy 30.96o then σy1 = 600 + (- 250) – 375 = -25psi x
  • 27.
    Stresses acting onthe weld σw 25psi τw 375psi θ θ = 30.96o σw = -25psi and τw = 375psi
  • 28.
    Principal Stresses andMaximum Shear Stresses The sum of the normal stresses acting on perpendicular faces of plane stress elements is constant and independent of the angle θ. σ x +σ y σ x −σ y σ x1 = + cos 2θ + τ xy sin 2θ 2 2 σ X 1 + σ Y1 = σ X + σ Y As we change the angle θ there will be maximum and minimum normal and shear stresses that are needed for design purposes. The maximum and minimum normal stresses are known as the principal stresses. These stresses are found by taking the derivative of σx1 with respect to θ and setting equal to zero. δσ x1 = −(σ x − σ y ) sin 2θ + 2τ xy cos 2θ = 0 δθ τ xy tan 2θ P = ⎛σx −σ y ⎞ ⎜ ⎜ ⎟ ⎟ ⎝ 2 ⎠
  • 29.
    The subscript pindicates that the angle θp defines the orientation of the principal planes. The angle θp has two values that differ by 90o. They are known as the principal angles. For one of these angles σx1 is a maximum principal stress and for the other a minimum. The principal stresses occur in mutually perpendicular planes. τ tan 2θ P = xy ⎛σx −σ y ⎞ ⎜ ⎜ 2 ⎟ ⎟ ⎝ ⎠ τ xy (σ x − σ y ) sin 2θ P = cos2θ P = R 2R σ x +σ y σ x −σ y σ x1 = + cos 2θ + τ xy sin 2θ 2 2 for the maximum stress θ = θ P
  • 30.
    σ x +σy σ x −σ y ⎛σ x −σ y ⎞ ⎛τ ⎞ σ x +σ y ⎛ σ x −σ y ⎞ ⎛ 1 ⎞ 2 ⎟ ⎜ ⎟ + (τ xy )2 ⎜ ⎟ ⎛1⎞ σ1 = + ⎜ ⎜ ⎟ + τ xy ⎜ xy ⎟ = ⎟ ⎜ ⎟ +⎜ ⎜ 2 ⎟ R 2 2 ⎝ 2R ⎠ ⎝ R ⎠ 2 ⎝ ⎠ ⎝ ⎠ ⎝R⎠ σ x +σ y ⎡⎛ σ x − σ y ⎞ 2 ⎤ ⎟ + (τ xy ) ⎥ ⎛1⎞ σ1 = + ⎜ ⎟ ⎢⎜ ⎜ ⎟ 2 2 ⎝ R ⎠ ⎢⎝ 2 ⎠ ⎣ ⎥ ⎦ ⎛ σ x −σ y ⎞ σ x +σ y ⎛ σ x −σ y ⎞ 2 2 But ⎜ R= ⎜ ⎟ + (τ xy )2 σ1 = + ⎜ ⎜ 2 ⎟ ⎟ + (τ xy )2 ⎝ 2 ⎟ ⎠ 2 ⎝ ⎠ ⎛σ x +σ y ⎛σ x −σ y 2 ⎞ ⎞ ⎟ + (τ xy )2 Principal stresses: σ1 = ⎜ ⎜ ⎟+ ⎟ ⎜ ⎜ ⎟ ⎝ 2 ⎠ ⎝ 2 ⎠ ⎛σ x +σ y ⎛σ x −σ y 2 ⎞ ⎞ σ2 = ⎜ ⎜ ⎟− ⎟ ⎜ ⎜ ⎟ + (τ xy )2 ⎟ ⎝ 2 ⎠ ⎝ 2 ⎠ The plus sign gives the algebraically larger principal stress and the minus sign the algebraically smaller principal stress.
  • 31.
    Maximum Shear Stress The location of the angle for the maximum shear stress is obtained by taking the derivative of τx1y1 with respect to θ and setting it equal to zero. σ x −σ y τ x1 y1 = − sin 2θ + τ xy cos 2θ δτ x1 y1 2 = −(σ x − σ y ) cos 2θ − 2τ xy sin 2θ = 0 Therefore, 2θs-2θp=-90o or θs= θp +/- 45o δθ σx −σ y The planes for maximum shear stress occurs at 45o to the principal planes. The tan 2θ S = − 2 τ xy plane of the maximum positive shear stress τmax is defined by the angle θS1 for which the following equations apply: (σ x − σ y ) 1 tan 2θ S = − =− = − cot 2θ P 2τ xy tan 2θ P sin 2θ S =− ( cos 2θ P − sin 90 o − 2θ P = = ) sin 2θ P − 90 o ( ) cos 2θ S sin 2θ P cos 90 − 2θ P o ( ) cos 2θ P − 90 o ( ) τ xy (σ x − σ y ) cos 2θ s1 = sin 2θ s1 = − and θ s1 = θ P1 − 450 R 2R
  • 32.
    ⎛σ x −σy ⎞ 2 The corresponding maximum shear is τ MAX = ⎜ ⎜ ⎟ + (τ xy )2 ⎟ given by the equation ⎝ 2 ⎠ Another expression for the maximum (σ 1 − σ 2 ) shear stress τ MAX = 2 (σ x + σ y ) The normal stresses associated with the maximum shear stress are equal to σ AVER = 2 Equations of a Circle σ x +σ y σ x −σ y General equation σ x1 = + cos 2θ + τ xy sin 2θ 2 2 Consider σ x −σ y σ x1 − σ AVER = cos 2θ + τ xy sin 2θ 2 ⎡σ x − σ y 2 ⎤ Equation (1) (σ x1 − σ AVER ) 2 =⎢ cos 2θ + τ xy sin 2θ ⎥ ⎣ 2 ⎦
  • 33.
    σ x −σy τ x1 y1 = − sin 2θ + τ xy cos 2θ 2 ⎡ σ x −σ y 2 ⎤ Equation (2) (τ ) x1 y1 2 = ⎢− sin 2θ + τ xy cos 2θ ⎥ ⎣ 2 ⎦ Equation (1) + Equation (2) ⎡σ x − σ y ⎡ σ x −σ y 2 2 ⎤ ⎤ (σ x1 − σ AVER )2 + (τ x1 y1 )2 =⎢ cos 2θ + τ xy sin 2θ ⎥ + ⎢− sin 2θ + τ xy cos 2θ ⎥ ⎣ 2 ⎦ ⎣ 2 ⎦ ⎡σ x − σ y ⎛σ x −σ y ⎛σ −σ y 2 2 ⎤ ⎞ ⎞ ⎢ cos 2θ + τ xy sin 2θ ⎥ = ⎜ ⎜ ⎟ cos 2 2θ + (τ xy )2 sin 2 2θ + 2⎜ x ⎟ ⎜ ⎟(τ xy )sin 2θ cos 2θ ⎟ ⎣ 2 ⎦ ⎝ 2 ⎠ ⎝ 2 ⎠ ⎡ σ x −σ y ⎛ σ x −σ y ⎛σ −σ y 2 2 ⎤ ⎞ ⎞ ⎢ − sin 2θ + τ xy cos 2θ ⎥ = ⎜ − ⎜ ⎟ sin 2 2θ + (τ xy )2 cos 2 2θ − 2⎜ x ⎟ ⎜ ⎟(τ xy )sin 2θ cos 2θ ⎟ ⎣ 2 ⎦ ⎝ 2 ⎠ ⎝ 2 ⎠ ⎛σ x −σ y 2 ⎞ SUM =⎜ ⎜ ⎟ + (τ xy )2 = R 2 ⎟ ⎝ 2 ⎠ (σ x1 − σ AVER ) + (τ x1 y1 ) = R 2 2 2
  • 34.
    Mohr Circle The radius of the Mohr circle is the magnitude R. ⎛σ x +σ y ⎞ ⎜ ⎜ 2 ⎟ ⎟ ⎛σ x −σ y 2 ⎞ C ⎝ ⎠ σ R= ⎜ ⎜ ⎟ + (τ xy )2 ⎟ 2θP ⎝ 2 ⎠ ⎛σ −σ ⎞ 2 τxy R = ⎜ ⎜ x y ⎟ +( ⎟ τ xy ) 2 ⎝ 2 ⎠ The center of the Mohr circle is the magnitude τ (σ +σ y ) σ AVER = x 2 ⎛σ x −σ y 2 ⎞ (σ x1 − σ AVER ) + (τ x1 y1 ) =⎜ ⎟ + (τ xy ) 2 2 2 ⎜ ⎟ ⎝ 2 ⎠
  • 35.
    Alternative sign conversionfor shear stresses: (a) clockwise shear stress, (b) counterclockwise shear stress, and (c) axes for Mohr’s circle. Note that clockwise shear stresses are plotted upward and counterclockwise shear stresses are plotted downward. Forms of Mohr’s Circle a) We can plot the normal stress σx1 positive to the right and the shear stress τx1y1 positive downwards, i.e. the angle 2θ will be positive when counterclockwise or b) We can plot the normal stress σx1 positive to the right and the shear stress τx1y1 positive upwards, i.e. the angle 2θ will be positive when clockwise. Both forms are mathematically correct. We use (a)
  • 36.
    Two forms ofMohr’s circle: (a) τx1y1 is positive downward and the angle 2θ is positive counterclockwise, and (b) τx1y1 is positive upward and the angle 2θ is positive clockwise. (Note: The first form is used here)
  • 37.
    Construction of Mohr’scircle for plane stress.
  • 38.
    Example: At apoint on the surface of a pressurized cylinder, the material is subjected to biaxial stresses σx = 90MPa and σy = 20MPa as shown in the element below. Using the Mohr circle, determine the stresses acting on an element inclined at an angle θ = 30o (Sketch a properly oriented element). Solution (σx = 90MPa, σy = 20MPa and τxy = 0MPa) Because the shear stress is zero, these are the principal stresses. Construction of the Mohr’s circle The center of the circle is σaver = ½ (σx + σy) = ½ (90 + 20) = 55MPa The radius of the circle is R = SQR[((σx – σy)/2)2 + (τxy)2] R= (90 – 20)/2 = 35MPa.
  • 39.
    Stresses on anelement inclined at θ = 30o By inspection of the circle, the coordinates of point D are σx1 = σaver + R cos 60o = 55MPa + 35MPa (Cos 60o) = 72.5MPa τx1y1 = - R sin 60o = - 35MPa (Sin 60o) = - 30.3MPa In a similar manner we can find the stresses represented by point D’, which correspond to an angle θ = 120o ( 2θ = 240o) σy1 = σaver - R cos 60o = 55MPa - 35MPa (Cos 60o) = 37.5MPa τx1y1 = R sin 60o = 35MPa (Sin 60o) = 30.3MPa
  • 40.
    Example: An elementin plane stress at the surface of a large machine is subjected to stresses σx = 15000psi, σy = 5000psi and τxy = 4000psi, as shown in the figure. Using the Mohr’s circle determine the following: a) The stresses acting on an element inclined at an angle θ = 40o b) The principal stresses and c) The maximum shear stresses. Solution Construction of Mohr’s circle: Center of the circle (Point C): σaver = ½ (σx + σy) = ½ (15000 + 5000) = 10000psi Radius of the circle: R = SQR[((σx – σy)/2)2 + (τxy)2] R = SQR[((15000 – 5000)/2)2 + (4000)2] = 6403psi. Point A, representing the stresses on the x face of the element (θ = 0o) has the coordinates σx1 = 15000psi and τx1y1 = 4000psi Point B, representing the stresses on the y face of the element (θ = 90o) has the coordinates σy1 = 5000psi and τy1x1 = - 4000psi The circle is now drawn through points A and B with center C and radius R
  • 41.
    Stresses on anelement inclined at θ = 40o These are given by the coordinates of point D which is at an angle 2θ = 80o from point A. By inspection the angle ACP1 for the principal stresses (point P1) is tan ACP1 = 4000/5000 = 0.8 or 38.66o. Then, the angle P1CD is 80o – 38.66o = 41.34o
  • 42.
    Knowing this angle,we can calculate the coordinates of point D (by inspection) σx1 = σaver + R cos 41.34o = 10000psi + 6403psi (Cos 41.34o) = 14810psi τx1y1 = - R sin 41.34o = - 6403psi (Sin 41.34o) = - 4230psi In an analogous manner, we can find the stresses represented by point D’, which correspond to a plane inclined at an angle θ = 40o + 90o = 130o σy1 = σaver - R cos 41.34o = 10000psi - 6403psi (Cos 41.34o) = 5190psi τx1y1 = R sin 41.34o = 6403psi (Sin 41.34o) = 4230psi And of course, the sum of the normal stresses is 14810psi + 5190psi = 15000psi + 5000psi
  • 43.
    Principal Stresses The principalstresses are represented by points P1 and P2 on Mohr’s circle. σ1 = 10000psi + 6400psi = 16400psi σ2 = 10000psi – 6400psi = 3600psi The angle it was found to be 2θ = 38.66o or θ = 19.3o Maximum Shear Stresses These are represented by point S1 and S2 in Mohr’s circle. The angle ACS1 from point A to point S1 is 2 θS1 = 51.34o. This angle is negative because is measured clockwise on the circle. Then the corresponding θS1 value is – 25.7o.
  • 44.
    Example:At a pointon the surface of a generator shaft the stresses are σx = -50MPa, σy = 10MPa and τxy = - 40MPa as shown in the figure. Using Mohr’s circle determine the following: (a) Stresses acting on an element inclined at an angle θ = 45o, (b) The principal stresses and (c) The maximum shear stresses Solution Construction of Mohr’s circle: Center of the circle (Point C): σaver = ½ (σx + σy) = ½ ((-50) + 10) = - 20MPa Radius of the circle: R = SQR[((σx – σy)/2)2 + (τxy)2] R = SQR[((- 50 – 10)/2)2 + (- 40)2] = 50MPa. Point A, representing the stresses on the x face of the element (θ = 0o) has the coordinates σx1 = -50MPa and τx1y1 = - 40MPa Point B, representing the stresses on the y face of the element (θ = 90o) has the coordinates σy1 = 10MPa and τy1x1 = 40MPa The circle is now drawn through points A and B with center C and radius R.
  • 45.
    Stresses on anelement inclined at θ = 45o These stresses are given by the coordinates of point D (2θ = 90o of point A). To calculate its magnitude we need to determine the angles ACP2 and P2CD. tan ACP2=40/30=4/3 ACP2=53.13o P2CD = 90o – ACP2 = 90o – 53.13o = 36.87o Then, the coordinates of point D are σx1 = σaver + R cos 36.87o = - 20MPa – 50MPa (Cos 36.87o) = - 60MPa τx1y1 = R sin 36.87o = 50MPa (Sin 36.87o) = 30MPa In an analogous manner, the stresses represented by point D’, which correspond to a plane inclined at an angle θ = 135o or 2θ = 270o σy1 = -20MPa + 50MPa (Cos 36.87o) = 20MPa τx1y1 = -30MPa And of course, the sum of the normal stresses is -50MPa+10MPa = -60MPa +20MPa
  • 46.
    Principal Stresses Maximum Shear Stresses They are represented by points P1 and These are represented by point S1 and S2 P2 on Mohr’s circle. in Mohr’s circle. σ1 = - 20MPa + 50MPa = 30MPa The angle ACS1 is 2θS1 = 90o + 53.13o = σ2 = -20MPa – 50MPa = - 70MPa 143.13o or θ = 71.6o . The angle ACP1 is 2θP1 = 180o + 53.13o The magnitude of the maximum shear = 233.13o or θP1 = 116.6o stress is 50MPa and the normal stresses The angle ACP2 is 2θP2 = 53.13o or θP2 corresponding to point S1 is -20MPa. = 26.6o