Prepared By:
Preet Aghera 140110111002
Denish Thummar 140110111061
G H Patel College of Engineering and
Technology - V V Nagar
Electronics and Communication
(2151004)
Guided By:Prof. Samir D. Trapasiya
Fourier Series Representation
/*Complete Set of orthogonal may create any signal from it.*/
,
condition for
orthogonal :
then two signal , are orthogonal.
)(1 tg )(2 tg
0)()( 2
0
1 =•∫
∞
tgtg
)(1 tg )(2 tg
Two way to Represent :
• Trigonometric Exponential
fourier series fourier series
Cos + Sin θj
e
Orthogonal
sets
Trigonomatric Fourier Sereis
0)()( 2
0
1 =•∫
∞
tgtg
0)()( 2
0
1
0
=•∫ tgtg
T
nmattmwtnw
T
≠=•∫ ,0)cos()cos( 0
0
0
0
nmT
== ,2
0
)3sin(),2sin(),sin(),0sin(
)3cos(),2cos(),cos(),0cos(
000
000
twtwtw
twtwtw
Fourier series
)]sin()cos([)( 00
1
0 tnwbtnwaatg nn ++= ∑
∞
∫
∫
∫
=
=
=
0
0
0
0
0
0
0
0
0
0
0
0
0
)sin()(
2
)cos()(
12
1
T
n
T
n
T
dttnwtg
T
b
dttnwtg
T
a
dta
T
a
where
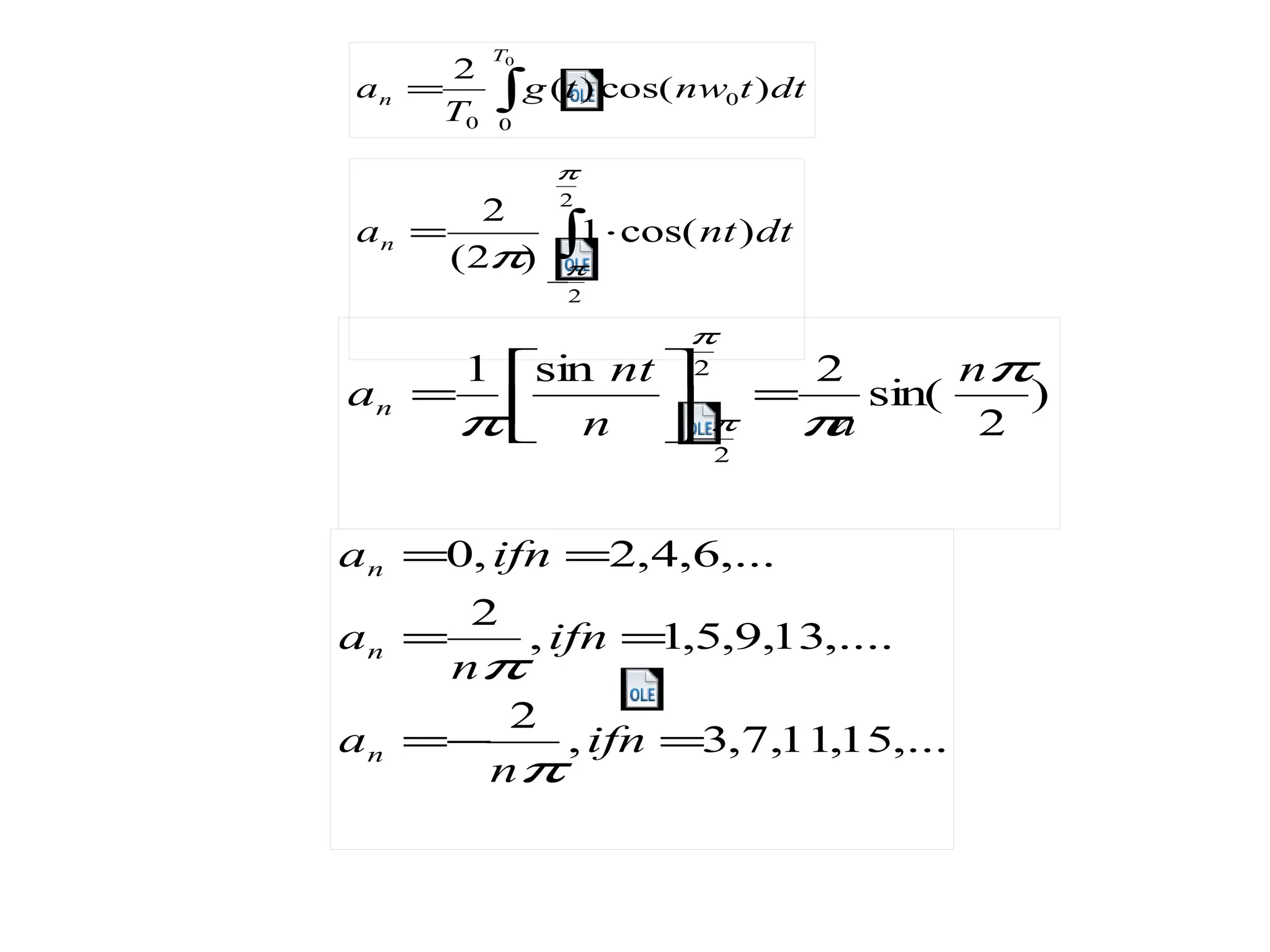
Example
1
g(t)
QUE:Represent g(t) in Trigonomatric fourier series and also find magnitude and phase spectra
∫=
0
0
0
0
0
1
T
dta
T
a
2
π
2
π
−
ππ−
1
2
2
,2)(, 00 ===−−=
π
π
πππ wTPeriod
∫
−
=
2
2
2
1
π
ππ
dt 2
1
=
∫=
0
0
0
0
)cos()(
2
T
n dttnwtg
T
a
∫
−
⋅=
2
2
)cos(1
)2(
2
π
ππ
dtntan
)
2
sin(
2sin1 2
2
π
ππ
π
π
n
nn
nt
an =





=
−
,...15,11,7,3,
2
,....13,9,5,1,
2
,...6,4,2,0
=−=
==
==
ifn
n
a
ifn
n
a
ifna
n
n
n
π
π
Fourier Series
Magnitude Spectra Phase Spectra
Magnitude
Freuency
Phase
Freuency
)]sin()cos([)( 00
1
0 tnwbtnwaatg nn ++= ∑
∞
)]cos()
2
sin(
2
[
2
1
)( 0
1
tnw
n
n
tg
n
⋅+= ∑
∞
=
π
π
...])5cos(
5
1
)3cos(
3
1
)[cos(
2
2
1
)( 000 ++−+= twtwtwtg
π
By putting value if an and bn in g(t)
na
nb nc
nθ
22
nnn bac +=
n
n
n
c
a
=θcos
n
n
n
c
b
=θsin
nnn ca θcos=
nnn cb θsin=
)]sin(sin)cos(cos[)( 00
1
0 tnwctnwcatg nnnn θθ ++= ∑
∞
)]cos([)( 0
1
0 n
n
n tnwcctg θ−+= ∑
∞
=
00 ac =
Magnitude Spectra Phase Spectra
May be zero…
nc
0nw0w 02w 03w 03w
0c
1c
2c
3c
nθ
0nw0w 02w 03w 03w
0θ
1θ
2θ
3θ
0c
Exponential Fourier Sereis
dtetg
T
D
where
eDtg
tjnw
T
n
tjnw
n
0
0
0
00
)(
1
)(
−
∞
∞−
∫
∑
⋅=
=
0
0
2
T
wwhere
π
==>
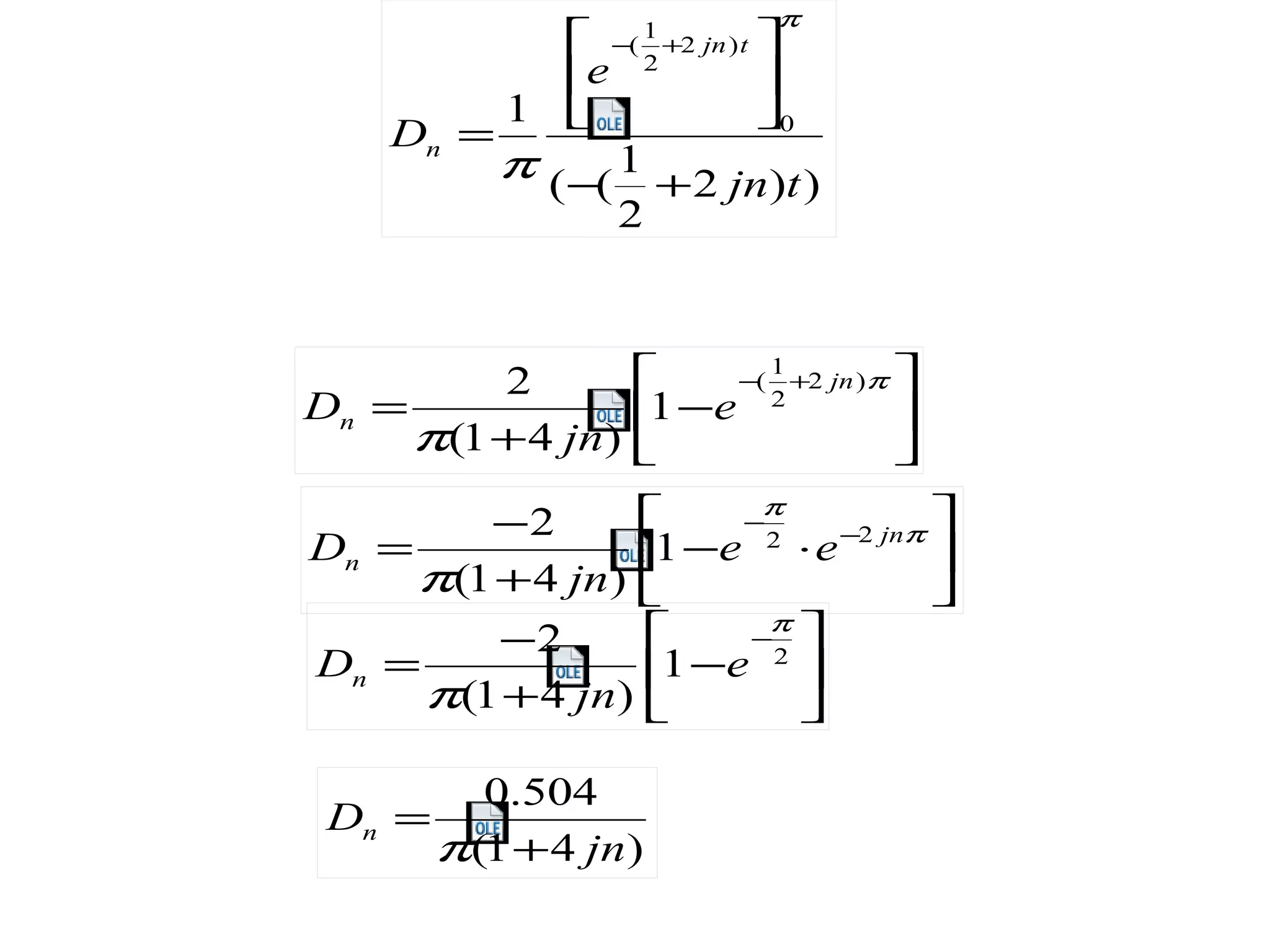
Example
Represent g(t) in terms of exponential fourier series and also find magnitude and Phase spectra
1
2
t
e
−
dtetg
T
D tjnw
T
n
0
0
00
)(
1 −
∫ ⋅= 2
22
0
0 ===
π
ππ
T
w
dteD tjn
n
)2(
0
1
1 −
∫ ⋅=
π
π
dteD
tjn
n
)2
2
1
(
0
1 +−
∫=
π
π
))2
2
1
((
1 0
)2
2
1
(
tjn
e
D
tjn
n
+−






=
+−
π
π






−
+
=
+− π
π
)2
2
1
(
1
)41(
2 jn
n e
jn
D






⋅−
+
−
= −
−
π
π
π
jn
n ee
jn
D 22
1
)41(
2






−
+
−
=
−
2
1
)41(
2
π
π
e
jn
Dn
)41(
504.0
jn
Dn
+
=
π
Fourier series
,......2,1,0,1,2.....
)41(
504.0
)( 2
−−=
+
= ∑
∞
−∞=
n
e
jn
tg jnt
n π
tjnw
neDtg 0
)( ∑
∞
∞−
=
jtjt
jtjt
n
e
j
e
j
e
j
e
j
tg
42
24
)81(
504.0
)41(
504.0
504.0
)41(
504.0
)81(
504.0
)(
+
+
+
+
+
−
+
−
= −−
∞
−∞=
∑
ππ
ππ
)81(
504.0
2
j
D
−
=−
π
0625.0
65
504.0
)81(
504.0
2 ==
−
=−
j
D
π
)41(
504.0
1
j
D
−
=
π
87.82
1
8
tan 1
2 =





−=∠ −
−D
1222.0
17
504.0
)41(
504.0
1 ==
−
=−
j
D
π
83.75
1
4
tan 1
1 =





−=∠ −
−D
0,504.0 00 =∠= DD
83.75)4(tan,122.0 1
11 −==∠= −
DD
87.82,0625.0 22 −=∠= DD
Magnitude Spectra
Phase Spectra
0w 02w0w−02w−
0w 02w0w−02w−
0 0nw
0nw
504.0
1222.0
0625.0 0625.0
1222.0
87.82−
87.82
83.75−
83.75
THANK YOU

Fourier Series Representation

Editor's Notes

  • #4 <number>