CHAPTER 2

                                            FOURIER SERIES
PERIODIC FUNCTIONS
     A function f (x ) is said to have a period T if for all x, f ( x + T ) = f ( x) , where T is a

positive constant. The least value of T>0 is called the period of f (x) .


EXAMPLES
          We know that f (x ) = sin x = sin (x + 4 π ) = … Therefore the function has period 2 π , 4
π , 6 π , etc. However, 2 is the least value and therefore is the period of f(x).
         Similarly cos x is a periodic function with the period 2 π and tan x has period π .


DIRICHLET’S CONDITIONS
        A function f (x ) defined in c ≤ x ≤ c+2l can be expanded as an infinite trigonometric
                   a               nπx              nπx
series of the form o + ∑ a n cos        + ∑ bn sin      , provided
                    2               l                 l
        1. f (x) is single- valued and finite in (c , c+2l)
         2. f (x) is continuous or piecewise continuous with finite number of finite
             discontinuities in (c , c+2l).
         3. f (x) has no or finite number of maxima or minima in (c , c+2l).


EULER’S FORMULAS
         If a function f (x) defined in (c , c+2l) can be expanded as the infinite trigonometric

         ao     ∞
                           nπx ∞         nπx
series
         2
            +   ∑ an cos
                n =1        l
                              + ∑ bn sin
                                n =1      l
                                             then

                                c + 2l
                            1                         nπx
                       an =
                            l     ∫
                                  c
                                         f ( x) cos
                                                       l
                                                          dx, n ≥ 0

                                c + 2l
                            1                         nπx
                       bn =
                            l     ∫c
                                         f ( x) sin
                                                       l
                                                          dx, n ≥ 1


[ Formulas given above for a n and bn are called Euler’s formulas for Fourier coefficients]
DEFINITION OF FOURIER SERIES
                                                 ao     ∞
                                                                   nπx ∞         nπx
             The infinite trigonometric series
                                                 2
                                                    +   ∑ an cos
                                                        n =1        l
                                                                      + ∑ bn sin
                                                                        n =1      l
                                                                                     is called the

Fourier series of f (x) in the interval c ≤ x ≤ c+2l, provided the coefficients are given by the
Euler’s formulas.
EVEN FUNCTION
            If f (x) = φ (x) in (-l , l) such that φ (− x) = φ (x) , then f (x ) is said to be an even
function of x in (-l , l).
                        φ1 ( x ) in (−l ,0)
            If f ( x) = 
                        φ 2 ( x) in (0, l )
Such that φ1 (− x) = φ 2 ( x) or φ 2 ( − x ) = φ1 ( x ) , then f (x) is said to be an even function of x in
(-l , l).
EXAMPLE
    y = cos x , y = x 2 are even functions.

ODD FUNCTION
            If f (x) = φ (x) in (-l , l) such that φ (− x) = - φ (x) , then f (x) is said to be an odd
function of x in (-l , l).
                        φ1 ( x ) in (−l ,0)
            If f ( x) = 
                        φ 2 ( x) in (0, l )
Such that φ1 (− x) = - φ 2 ( x ) or φ 2 ( − x ) = - φ1 ( x ) , then f (x) is said to be an odd function of x in
(-l , l).
EXAMPLE
    y = sin x , y = x are odd functions.

FOURIER SERIES OF EVEN AND ODD FUNCTIONS
            1. The Fourier series of an even function f (x ) in (-l , l) contains only cosine terms




                                                                                                              2
(constant term included), i.e. the Fourier series of an even function f (x) in (-l , l) is
            given by
                                          ao                         nπx
                           f (x) =
                                          2
                                             +       ∑a    n   cos
                                                                      l
                                                                         ,

                                      nπx
                            l
                       2
            where a n = ∫ f ( x ) cos     dx.
                       l 0             l

       2. The Fourier series of an odd function f (x) in (-l , l) contains only sine terms, i.e.

            the Fourier series of an odd function f (x ) in (-l , l) is given by
                                                           nπx
                           f (x) =        ∑b     n   sin
                                                            l
                                                               ,

                                       nπx
                           l
                         2
            where bn =     ∫ f ( x) sin l dx.
                         l 0

PROBLEMS
1. Find the Fourier series of period 2l for the function f (x ) = x(2l – x) in (0 , 2l). Deduce

                         1   1   1
the sum of f (x) =       2
                           − 2 + 2 −
                        1   2   3
Solution:
                                   ao     ∞
                                                           nπx ∞         nπx
                 Let f (x ) =
                                   2
                                      +   ∑a
                                          n =1
                                                 n   cos
                                                            l
                                                              + ∑ bn sin
                                                                n =1      l
                                                                             in (0 , 2l)      …………(1)

                                                 nπx
                                  2l
                                1
                        an =
                                l0∫ x(2l − x) cos l dx
                                                                                                         2l
                                          nπx                       nπx               nπx 
                                      sin                    − cos             − sin      
                          1         2        l  − (2l − 2 x )         l  + (−2)         l  ,
                         = (2lx − x )
                          l           nπ                     n 2π 2            n 3π 3 
                                                                                          
                                          l                      l2                l3      0
                                                                                  using Bernoulli’s formula.
                                                                    2
                                   1
                          =            [ − 2l cos 2nπ − 2l ] = − 4l 2
                                n 2π 2                          n 2π
                                                                             2l
                                             1      x3 
                              2l
                            1                             4
                       a o = ∫ x(2l − x )dx = lx 2 −  = l 2 .
                            l0               l      3 0 3




                                                                                                               3
nπx
                                        2l
                                     1
                             bn =
                                     l0∫ x(2l − x) sin l dx
                                   =0
  Using these values in (1), we have

                                     2 2 4l 2                     ∞
                                                                         1          nπx
                         x (2l - x) = l − 2
                                     3   π
                                                                  ∑n
                                                                  n =1
                                                                         2
                                                                             cos
                                                                                     l
                                                                                        in (0, 2l)   ……………..(2)

                                              1   1   1
        The required series                   2
                                                − 2 + 2 − … ∞ can be obtained by putting x = l in the Fourier
                                             1   2   3
series in (2).
        x = l lies in (0 , 2l) and is a point of continuity of the function f (x) = x(2l – x).
                 ∴   [   Sum the Fourier series in (2)                        ] x =1   = f(l)
                                             ∞
                      2 2 4l 2                         1
                 i.e. l − 2
                      3   π
                                            ∑n
                                            n =1
                                                       2
                                                           cos nπ = l(2l - l)

                           4l 2    1     1   1         l
                                                           2
                 i.e.. -           − 2 + 2 − 2 + ...∞  =
                           π2      1    2   3          3

                 ∴
                          1   1   1        π2
                            − 2 + 2 − …∞ =
                         12 2    3         12


2. Find the Fourier series of period 2 π for the function f (x) = x cos x in 0 < x < 2 π .
Solution:
                                                           ∞                    ∞
                                             ao
                     Let f (x ) =
                                             2
                                                +          ∑ an cos nx + ∑ bn sin nx
                                                           n =1                n =1
                                                                                                     .……..…………(1)

                                            2π
                                        1
                             an =
                                        π    ∫ x cos x cos nxdx
                                             0

                                                 2π
                                         1
                                    =
                                        2π         ∫ x[ cos(n + 1) x + cos(n − 1) x]dx
                                                   0


                                       1          sin( n + 1) x cos(n + 1) x  2π  sin( n − 1) x cos(n − 1) x  2π 
                                    =             x.           +              +  x.            +              ,
                                      2π             n +1        (n + 1) 2  0        n −1        ( n − 1) 2  0 
                                                                                                                     
                                                                                                          if n ≠ 1
                                    =0,            if n ≠ 1
                                  ao = 0


                                                                                                                     4
2π                       2π
                             1                      1
                        an =         ∫ x cos xdx = 2π        ∫ x(1 + cos 2 x)dx
                                                  2

                             π       0                       0
                                                                           2π
                               1        x   sin 2 x cos 2 x 
                                             2
                            =            +x        +         = π.
                              2π        2      2      4 0
                                    2π
                                1
                        bn =
                                π   ∫ x cos x sin nxdx
                                    0



                                        2π
                               1
                            =
                              2π         ∫ x[ sin(n + 1) x + sin(n − 1) x]dx
                                         0


                               1         − cos(n + 1) x sin( n + 1) x  2π  − cos(n − 1) x sin( n − 1) x  2π 
                            =            x.            +               +  x.             +               ,
                              2π             n +1         (n + 1) 2  0         n −1         (n − 1) 2  0 
                                                                                                                
                           if n ≠ 1
                                      1    1      1       1     2n
                           =−           −     = −      +     =− 2   ,             if n ≠ 1
                                    n +1 n −1     n + 1 n − 1  n −1
                                    2π                            2π
                                1                             1
                         b1 =
                                π   ∫ x cos x sin xdx =
                                    0
                                                             2π   ∫ x sin 2 xdx
                                                                  0

                                                                      2π
                              1        − cos 2 x  sin 2 x    1
                           =          x          +         =−2
                             2π           2          4 0

Using these values in (1), we get
                                                     ∞
                                       1                          n
                       f(x) = π cos x − sin x − 2 ∑                  sin nx
                                                 n = 2 , 3,... n − 1
                                                                2
                                       2


3. Find the Fourier series expansion of f (x) = sin ax in (-l , l).
Solution:
             Since f (x) is defined in a range of length 2l, we can expand f (x ) in Fourier series of
period 2l.
             Also f ( − x) = sin[a(-x)] = -sin ax = - f (x)
         ∴ f (x) is an odd function of x in (-l , l).

 Hence Fourier series of f (x ) will not contain cosine terms.
                                     ∞
                                                       nπx
                  Let f (x ) =      ∑b
                                    n =1
                                             n   sin
                                                        l
                                                                                    ………………….(1)




                                                                                                            5
1   nπ                nπ
                                  l
                                                                
                             =     ∫ cos l − a  − cos l + a  xdx
                                 l 0                         
                                                                         l
                                  nπ                nπ     
                              1  sin  l − a  x sin  l + a  x 
                             =               −             
                              l       nπ              nπ
                                          −a               +a 
                                       l               l         
                                                                 0
                                 1            nπ            1         nπ      
                            =            sin      − a l −        sin      + a l
                              nπ − la  l               nπ + la  l             
                            =
                                 1
                              nπ − al
                                         {− (−1) n sin al} − nπ 1 al {(−1) n sin al}
                                                                +
                                                1             1 
                            = (−1) n +1 sin al           +        
                                                nπ − al nπ + al 
                              (−1) n +1 2nπ sin al
                            =
                                n 2π 2 − a 2 l 2
Using these values in (1), we get
                                   ∞
                                           (−1) n +1 n       nπx
               sin ax = 2π sin al ∑                      sin
                                  n =1   n π −a l
                                          2 2        2 2
                                                              l

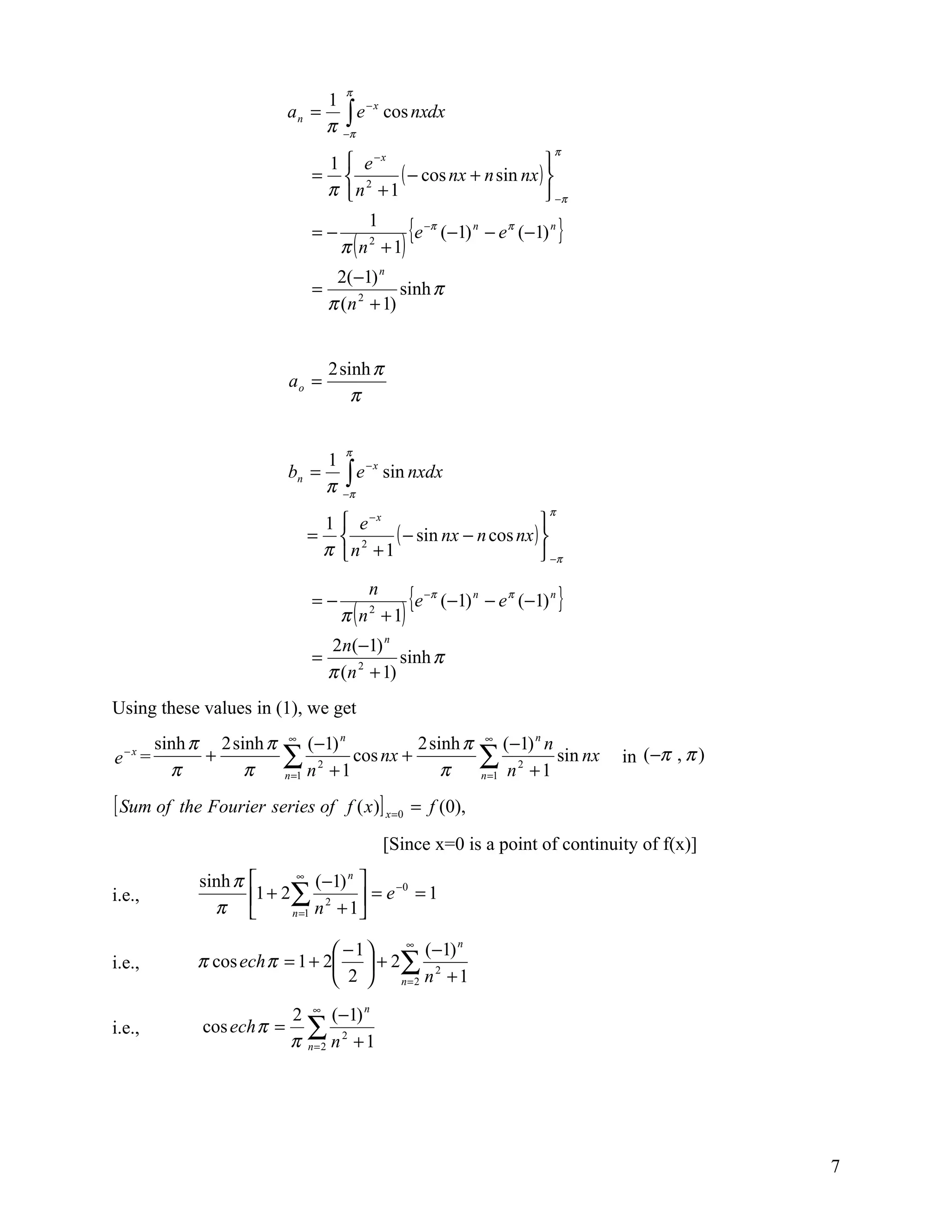
4. Find the Fourier series expansion of f (x) = e − x in (−π , π ) . Hence obtain a series for
cosec π
Solution:
          Though the range (−π , π ) is symmetric about the origin, e − x is neither an even function
nor an odd function.
                                             ∞               ∞
                                      ao
∴                   Let f (x) =
                                      2
                                         +   ∑ an cos nx + ∑ bn sin nx
                                             n =1            n =1
                                                                                       ..…..…………(1)

in (−π , π ) [ the length of the range is 2π ]




                                                                                                      6
π
                                    1
                                      ∫π e cos nxdx
                                          −x
                            an =
                                    π−
                                                                                 π
                                 1  e −x                         
                                =  2     ( − cos nx + n sin nx ) 
                                 π n +1                           −π

                                =−
                                          1
                                                    {e   −π
                                                              (−1) n − e π (−1) n }
                                     π ( n + 1)
                                          2


                                     2( −1) n
                                =               sinh π
                                    π (n 2 + 1)


                                    2 sinh π
                            ao =
                                        π

                                      π
                                    1
                                      ∫π e sin nxdx
                                          −x
                            bn =
                                    π−
                                                                                π
                                 1  e −x                         
                                =  2     ( − sin nx − n cos nx ) 
                                 π n +1                           −π

                                =−
                                          n
                                                    {e   −π
                                                              (−1) n − e π (−1) n }
                                     π ( n 2 + 1)
                                    2n(−1) n
                                =               sinh π
                                    π (n 2 + 1)
Using these values in (1), we get
        sinh π 2 sinh π     ∞
                                (−1) n       2 sinh π                ∞
                                                                         (−1) n n
e−x =
          π
              +
                   π
                           ∑ n 2 + 1 cos nx + π
                           n =1
                                                                    ∑ n 2 + 1 sin nx
                                                                    n =1
                                                                                       in (−π , π )

[ Sum of   the Fourier series of f ( x )] x =0 = f (0),

                                              [Since x=0 is a point of continuity of f(x)]
              sinh π         ∞
                                  (−1) n 
i.e.,                  1 + 2∑ 2              −0
                                          = e =1
                π           n =1 n + 1

                                 −1   ∞
                                           (−1) n
i.e.,        π cos ech π = 1 + 2  + 2∑ 2
                                 2   n=2 n + 1


                            2 ∞ (−1) n
i.e.,         cos ech π =     ∑
                            π n=2 n 2 + 1




                                                                                                      7
HALF-RANGE FOURIER SERIES AND PARSEVAL’S THEOREM
    (i) The half range cosine series in (0 , l) is
                                                         ao     ∞
                                                                                 nπx
                                      f (x) =
                                                         2
                                                            +   ∑a
                                                                n =1
                                                                       n   cos
                                                                                  l
                                                     l
                                                   2
                                                   l∫
                           where a o =                 f ( x )dx.
                                                     0


                                                                 nπx
                                                     l
                                                   2
                                         an =        ∫ f ( x) cos l dx.
                                                   l 0

    (ii) The half range sine series in (0 , l) is
                                  ∞
                                                   nπx
                       f (x) =    ∑b
                                  n =1
                                         n   sin
                                                    l
                                                       ,

                                          nπx
                              l
                            2
              where bn =      ∫ f ( x) sin l dx.
                            l 0

    (iii) The half range cosine series in (0 , π ) is given by


                                                                ∞
                                                         ao
                                      f (x) =
                                                         2
                                                            +   ∑a
                                                                n =1
                                                                       n   cos nx

                                                     π
                                      2
                           where a o = ∫ f ( x )dx.
                                      π 0
                                                     π
                                                   2
                                                   π∫
                                         an =          f ( x ) cos nxdx.
                                                     0


    (iv) The half range sine series in (0 , π ) is given by


                                  ∞
                       f (x) =    ∑b
                                  n =1
                                         n   sin nx ,

                              π
                        2
              where bn = ∫ f ( x) sin nxdx.
                        π 0




                                                                                       8
ROOT-MEAN SQUARE VALUE OF A FUNCTION
Definition
                                                                                                                   c +2 l
                                                                                                              1
                                                                                                                     ∫y
                                                                                                                            2
           If a function y = f (x ) is defined in (c , c+2l), then                                                              dx is called the root mean-
                                                                                                              2l     c


square(R.M.S.) value of y in (c , c+2l) and is denoted by y.
                                                      c + 2l
                                  1 2
                         Thus y =                       ∫y
                                                               2
                                                                   dx.
                                  2l                    c


PARSEVAL’S THEOREM
           If y = f (x ) can be expanded as a Fourier series of the form
ao        ∞
                              nπx ∞         nπx
2
   +     ∑ an cos
         n =1                  l
                                 + ∑ bn sin
                                   n =1      l
                                                in (c , c+2l), then the root-mean square value y of y = f (x)

in       (c , c+2l) is given by
                               1 2 1 ∞        1 ∞
                            y = a o + ∑ a n + ∑ bn
                             2              2        2

                               4     2 n =1   2 n =1
PROOF
                                 ao      ∞
                                                               nπx ∞         nπx
                f (x) =
                                 2
                                    +   ∑ an cos
                                         n =1                   l
                                                                  + ∑ bn sin
                                                                    n =1      l
                                                                                 in (c , c+2l)                                       ....……………….(1)

∴ By Euler’s formulas for the Fourier coefficients,
                                                                        c + 2l
                                                             1                                nπx
                                                        an =
                                                             l            ∫ c
                                                                                 f ( x) cos
                                                                                               l
                                                                                                  dx, n ≥ 0                         ..…………………(2)

                                                                        c + 2l
                                                                    1                         nπx
                                                        bn =
                                                                    l     ∫
                                                                          c
                                                                                 f ( x) sin
                                                                                               l
                                                                                                  dx, n ≥ 1                        …....……………..(3)

Now, by definition,
                   c + 2l                    c + 2l
              1                         1
                                                ∫ [ f ( x)]
     2
                     ∫ y dx =
                                                                   2
     y =                2
                                                                       dx
              2l     c
                                        2l      c

                   c + 2l
           1                       a    ∞
                                                   nπx ∞         nπx 
         =           ∫      f ( x)  o + ∑ a n cos    + ∑ bn sin       dx,                                               using (1)
           2l        c              2 n =1         l   n =1      l 
           ao1 c + 2l          ∞ a 1 c + 2l        nπx  ∞ bn 1
                                                                          c + 2l
                                                                                 nπx 
         =    ∫      f ( x)dx  + ∑ n  ∫ f ( x) cos    dx  + ∑  ∫ f ( x) sin    dx 
           4  l c                n =1 2  l c        l       n =1 2  l c      l    
                        ∞             ∞
          ao                an            bn
         = .a o + ∑ .a n + ∑ .bn ,                       by using (2) and (3)
          4            n =1 2        n =1 2




                                                                                                                                                          9
∞2      ∞     2            2
        ao      an      b
      =    +∑      +∑ n .
         4  n =1 2  n =1 2

EXAMPLES
1. Find the half-range (i) cosine series and (ii) sine series for f (x ) = x 2 in (0 , π )
Solution:
           (i) To get the half-range cosine series for f (x ) in (0 , π ), we should give an even

extension for f (x) in ( − π , 0).

      i.e. put f (x) = ( − x ) 2 = x 2 in ( − π , 0)

Now f (x) is even in ( − π , π ).
                                                       ∞
                                                ao
                  ∴            f (x) =
                                                2
                                                   +   ∑a
                                                       n =1
                                                              n   cos nx          ………………….(1)

                                            π
                                       2
                               an =
                                       π    ∫ f ( x) cos nxdx.
                                            0


                                            π
                                       2 2
                                       π∫
                                  =       x cos nxdx
                                        0

                                                                                  π
                                   2   sin nx        − cos nx   − sin nx 
                                  = x2         − 2 x           + 2       
                                   π  n              n
                                                             2
                                                                    n
                                                                          3
                                                                                0
                                        4               4(−1) n
                                  =         .π (−1) n =         ,n ≠ 0
                                       πn 2               n2
                                            π                      π
                                       2              2 2        2 2
                               ao =      ∫ f ( x)dx = π ∫ x dx = 3 π
                                       π 0              0

∴ The Fourier half-range cosine series of x 2 is given by

                                       π2     ∞
                                                 (−1) n
                                x2 =      + 4∑ 2 cos nx in (0 , π ).
                                       3     n =1 n


      (ii) To get the half-range sine series of f (x ) in (0 , π ), we should give an odd extension

for f (x) in (- π , 0).

    i.e.              Put f (x ) = - ( − x ) 2 in (- π , 0)

                                = - x 2 in (- π , 0)
Now f (x) is odd in (- π , π ).




                                                                                                      10
∞
     ∴                  f (x) =   ∑b
                                  n =1
                                          n   sin nx                                          ……………….(2)

                                  π                                      π
                             2                   2
                         bn = ∫ f ( x) sin nxdx = ∫ x 2 sin nxdx
                             π 0                 π 0
                                                                                         π
                              2   cos nx        sin nx   cos nx 
                             = x2  −      − 2 x −       + 2     
                              π      n            n 2   n 3  0  
                               2 π 2                      
                                   (−1) + 3 {(−1) − 1} 
                                        n +1 2
                             =                        n

                               π n          n             
                                2 π 2 4 
                                     − , if n is odd
                             = π  n n 3 
                               − 2π ,         if n is even
                                n
Using this value in(2), we get the half-range sine series of x 2 in (0 , π ).


2.     Find the half-range sine series of f (x) = sin ax in (0 , l).
Solution:
       We give an odd extension for f (x) in (-l , 0).
     i.e. we put f (x) = -sin[a(-x)] = sin ax in (-l , 0)
     ∴     f (x) is odd in (-l , l)
                                                  ∞
                                                                   nπx
     Let                       f (x ) =           ∑b
                                                  n =1
                                                         n   sin
                                                                    l

                                                         nπx
                                              l
                                          2
                                 bn =       ∫ sin ax. sin l dx
                                          l 0
                                          1   nπ                  nπ
                                              l
                                                                           
                                      =     ∫ cos l − a  x − cos l + a  x dx
                                          l 0                           
                                                                                  l
                                            nπ                     nπ       
                                        1  sin  l − a  x sin  l + a  x 
                                      =                  −                  
                                        l   nπ                    nπ       
                                            l − a                     + a 
                                                                  l        0
                                             1                                   1
                                      =           (−1) n +1 sin ( nπ − al ) −         sin ( nπ + al )
                                        nπ − al                               nπ + al




                                                                                                           11
1                             1
                                  =            (−1) n +1 sin al +         ( −1) n +1 sin al
                                    nπ − al                       nπ + al
                                                           2nπ
                                  = (−1) n +1 sin al. 2 2
                                                      n π − a 2l 2
Using this values in (1), we get the half-range sine series as
                                              ∞
                                                   (−1) n +1 .n       nπx
                          sin ax = 2π sin al ∑ 2 2                sin
                                             n =1 n π − a l
                                                              2 2
                                                                       l
3.    Find the half-range cosine series of f (x ) = a in (0 , l). Deduce the sum of

      1   1   1
      2
        + 2 + 2 + ∞ .
     1   3   5
 Solution:
     Giving an odd extension for f (x) in (-l , 0), f (x ) is made an odd function in (-l , l).
                                                          nπx
        ∴ Let                  f(x) =    ∑b     n   sin
                                                           l
                                                                                              ..……………(1)

                                               nπx
                                           l
                                      2
                                  bn = ∫ a sin     dx
                                      l 0       l
                                                                 l
                                                   nπx 
                                             − cos l 
                                       =
                                         2a 
                                             nπ
                                          l 
                                                        
                                                         =
                                                            2a
                                                            nπ
                                                               1 − ( − 1)
                                                                          n
                                                                           {      }
                                                        
                                            
                                                 l     0
                                                        

                                           4a
                                           ,               if n is odd
                                        =  nπ
                                          0,
                                                           if n is even
     Using this value in (1), we get
                                               4a ∞      1   nπx
                                      a=            ∑5 n sin l in (0 , l )
                                               π n =1,3,

     Since the series whose sum is required contains constant multiples of squares of bn , we apply
Parseval’s theorem.
                              l
                1        1
                  ∑ bn = l ∫ [ f ( x)] dx
                      2               2

                2          0




                                                                                                           12
∞
                     1 16a 2                     1
             i.e.     .
                     2 π2
                                  ∑ ( 2n − 1)
                                n =1, 3, 5
                                                         2
                                                             = a2

                                          ∞
                               8a 2              1
             i.e.
                               π2
                                          ∑ ( 2n − 1)
                                          n =1
                                                         2
                                                             = a2

                                          ∞
                                             1       π2
             ∴                        ∑ ( 2n − 1) 2 8 .
                                      n =1
                                                   =

4. Expand f (x) = x - x 2 as a Fourier series in -1 < x < 1 and using this series find the

   r.m.s. value of f (x ) in the interval.
Solution:
     The Fourier series of f (x ) in (-1 , -1) is given by
                                           ∞                    ∞
                              ao
                    f (x) =
                              2
                                 +        ∑ an cos nπx + ∑ bn sin nπx
                                          n =1                  n =1
                                                                                         .………………(1)

                                  1                  1
                         a o = ∫ f ( x)dx = ∫ ( x − x 2 ) dx
                              1
                              1 −1          −1
                                                 1
                               x2 x3    1 1  1 1
                            =  −  =  − − + 
                               2     
                                  3  −1  2 3   2 3 
                              −2
                         ao =                                                              ..........................(2)
                                3
                         1                               1

                        ∫1 f ( x) cos nπx dx = −∫1( x − x ) cos nπx dx
                      1
               an =                                      2

                      1−
                                                                                               1
                                   sin nπx                − cos nπx         − sin nπx 
                    = ( x − x 2 )           − (1 − 2 x )       2     + (−2)      3    
                                   n                         n              n          −1
                         − cos nπ 3 cos nπ
                     =           −
                            n2       n2
                              4 cos nπ
                    an = −                                                              ……………….(3)
                                 n2




                                                                                                                     13
1                       1

              ∫1 f ( x) sin nπx dx = −∫1( x − x ) sin nπx dx
            1
     bn =                                      2

            1−
                                                                                        1
                        − cos nπx                − sin nπx         cos nπx 
         = ( x − x 2 )             − (1 − 2 x )             + (−2) 3 3 
                         nπ                        nπ                 n π  −1
                                                         2 2
                                                             
           − 2 cos nπ 2 cos nπ 2 cos nπ
         =                 −           + 3 3
               n 3π 3           nπ          nπ
                   n +1
            2(−1)
      bn =                                                                          ..........................( 4)
               nπ
Substituting (2), (3), (4) in (1) we get
                            1 ∞ 4(−1) n +1                 ∞
                                                               2(−1) n +1
                 f (x) = − + ∑                  cos nπx + ∑               sin nπx
                            3 n =1 n 2                    n =1   nπ
We know that r.m.s. value of f(x) in (-l , l) is
                             1 2 1 ∞         1 ∞
                               a o + ∑ a n + ∑ bn
                        2                  2        2
                       y =                                                                   ……………….(5)
                             4      2 n =1   2 n =1
From (2) we get
                             −2     2  4
                      ao =      ⇒ ao =                                                      .………………..(6)
                              3        9
From (3) we get
                             4( −1) n +1     2 16
                      an =        2
                                         ⇒ an = 4                                           ………………..(7)
                                n              n
From (4) we get
                             2(−1) n +1     2   4
                      bn =              ⇒ bn = 2 2                                           ..………………(8)
                               nπ             nπ
Substituting (6), (7) and (8) in (5) we get
                             1 1 ∞  16    4 
                              + ∑ 4 + 2 2 
                        2
                       y =
                             9 2 n =1  n nπ 
5. Find the Fourier series for f (x) = x 2 in − π < x < π . Hence show that

 1   1   1      π4
   + 4 + 4 + =
14 2    3       90
Solution:
      The Fourier series of f (x ) in (-1 , 1) is given by

                                                      π2         ∞
                                                                     4(−1) n
                                              f (x) =
                                                       3
                                                         +      ∑ n 2 cos nx
                                                                n =1




                                                                                                                     14
The co-efficients a o , a n , bn are

                                                            2π 2        4(−1) n
                                                ao =             , an =         , bn = 0
                                                             3            n2
Parseval’s theorem is

                                                                               (a                      )
                               π                                        ∞
                        1                      1 2 1
                               ∫ [ f ( x)] dx = ao + ∑
                                          2                                             2          2
                                                                                    n       + bn
                       2π      −π
                                                              4     2   n =1

                                                             ao 2 1 ∞        2 
                                                                                (                          )
                                    π

                                    ∫ [x ]                        + ∑ a n + bn 
                                          2 2
                                                    dx = 2π 
                                                                          2
                      ∴
                                    −π                       4
                                                                  2 n =1       
                                                                                
                                                        π
                                          x5              π 4 1 ∞ 16 
                       i.e.,             
                                          5         = 2π 
                                                               + ∑ 4
                                                    −π    9 2 n =1 n 
                                   2π 5 2π 5    ∞
                                                    16
                       i.e.,           −     =π∑ 4
                                    5    9     n =1 n


                                                8π 4   ∞
                                                           16
                                                     =∑ 4
                                                 45   n =1 n
                                                ∞
                                                  1 π4
                       i.e.,                 ∑ n 4 = 90
                                             n =1


                     1   1   1        π4
          i.e.,        + 2 + 2 + ∞ =
                    12 3    5         90

HARMONIC ANALYSIS
        The process of finding the Fourier series for a function given by numerical value is
known as harmonic analysis. In harmonic analysis the Fourier coefficients ao , a n , and bn of the
function y = f (x) in (0 , 2 π ) are given by
             a o = 2[mean value of y in (0 , 2 π )]

                  a n = 2[mean value of y cos nx in (0 , 2 π )]

                  bn = 2[mean value of y sin nx in (0 , 2 π )]

(i) Suppose the function f (x) is defined in the interval (0 , 2l), then its Fourier series is,
                               ao        ∞
                                                              nπx ∞         nπx
                  f (x) =
                               2
                                  +      ∑a
                                         n =1
                                                    n   cos
                                                               l
                                                                 + ∑ bn sin
                                                                   n =1      l

   and now, a o = 2[mean value of y in (0 , 2l)]

                                              nπx             
                  a n = 2 mean value of y cos     in (0 , 2l )
                                               l              




                                                                                                               15
                    nπx             
               bn = 2 mean value of y sin     in (0 , 2l )
                                           l              
(ii) If the half range Fourier sine series of f (x) in (0 , l) is,
                          ∞
                                            nπx
               f (x) =   ∑b
                         n =1
                                 n   sin
                                             l
                                                , then

                                          nπx            
               bn = 2 mean value of y sin     in (0 , l )
                                           l             
(iii) If the half range Fourier sine series of f (x) in (0 , π ) is,
                           ∞
                                            nπx
               f (x) =    ∑b
                          n =1
                                 n    sin
                                             l
                                                , then


                bn = 2[ mean value of y sin nx in (0 , π )]

(iv) If the half range Fourier cosine series of f (x) in (0 , l) is,
                        ao    ∞
                                       nπx
                f (x) =    + ∑ a n cos       , then
                         2 n =1         l
                a o = 2[mean value of y in (0 , l)]

                                            nπx            
                a n = 2 mean value of y cos     in (0 , l )
                                             l             
(v) If the half range Fourier cosine series of f (x) in (0 , π ) is,
                         ao          ∞
                                                      nπx
               f (x) =
                         2
                            +        ∑a
                                     n =1
                                            n   cos
                                                       l
                                                          , then

                a o = 2[mean value of y in (0 , π )]

                a n = 2[ mean value of y cos nx in (0 , π )] .

EXAMPLES
1. The following table gives the variations of a periodic function over a period T.
                                      0               T             T      T           2T      5T      T
                   x                                  6              3     2            3       6
                 f (x)           1.98                 1.3          1.05   1.3         -0.88   -0.25   1.98
                                                                                2πx
Show that f (x ) = 0.75 + 0.37 cos θ +1.004 sin θ , where θ =
                                                                                 T
Solution:
       Here the last value is a mere repetition of the first therefore we omit that value and
consider the remaining 6 values. ∴ n = 6.


                                                                                                             16
2πx
               Given          θ=                                                 ..………………..(1)
                                    T
                                               T T T 2T 5T                                π 2π
     ∴ when x takes the values of 0,            , , ,  ,          θ takes the values 0,    ,   ,
                                               6 3 2 3   6                                3 3

     4π       5π
π,        ,      . (By using (1))
      3        3
Let the Fourier series be of the form
                              ao
                   f ( x) =      + a1 cos θ + b1 sin θ ,                            ………………(2)
                              2
                               ∑y
          where         a o = 2   ,
                                n 
                                  
                                  ∑ y cos θ 
                           a1 = 2           ,
                                     n      
                                            
                                  ∑ y sin θ 
                           b1 = 2           ,       n=6
                                     n      
                                            
              θ                   y           cos θ        sin θ          y cos θ          y sin θ
              0°                1.98           1.0           0             1.98               0
              π
                                1.30          0.500        0.866           0.65           1.1258
               3




          2π 3                  1.05         -0,500        0.866          -0.525          0.9093
           π                    1.30            -1           0             -1.3               0
          4π 3                -0.88          -0.500       -0.866           0.44            0.762
          5π 3                -0.25           0.500       -0.866          -0.125           0.2165
                                 4.6                                       1.12            3.013
                                     ∑y
                            a o = 2      = 1.5, a1 = 2 ∑ y cos θ = 0.37
                                      6              6
                                        
                                   2
                            b1 = ∑ y sin θ = 1.00456
                                   6
Substituting these values of a o , a1 , and b1 in (2), we get
                           ∴ f (x) = 0.75 + 0.37 cos θ + 1.004 sin θ

2. Find the Fourier series upto the third harmonic for the function y = f (x) defined in
     (0 , π ) from the table
                       x             0            π         2π   3π         4π        5π             π
                                                  6          6    6          6         6



                                                                                                         17
f (x)       2.34         2.2           1.6          0.83      0.51        0.88         1.19
   Solution:
       We can express the given data in a half range Fourier sine series.
                 f ( x) = b1 sin x + b2 sin 2 x + b3 sin 3 x           ..………………...(1)
               x      y = f(0)      sin x     sin 2x       sin 3x    y sin x    y sin 2x      y sin 3x
             0          2.34          0          0           0          0             0           0
             30          2.2         0.5       0.87          1         1.1          1.91         2.2
             60          1.6        0.87       0.87          0       1.392         1.392          0
             90         0.83          1          0          -1        0.83            0        -0.83
            120         0.51        0.87      -0.87          0        0.44         -0.44          0
            150         0.88         0.5      -0.87          1        0.44          0.76        0.88
            180         1.19          0          0           0          0             0           0
                                                                     4.202         3.622        2.25
                               ∑ y sin x  1
       Now             b1 = 2             = [ 4.202] = 1.40
                              
                                  6       3
                                          
                               ∑ y sin 2 x  1
                       b2 = 2               = [ 3.622] = 1.207
                              
                                   6        3
                                            
                                ∑ y sin 3 x  1
                        b3 = 2               = [ 2.25] = 0.75
                               
                                    6        3
                                             
       Substituting these values in (1), we get


                        f (x) = 1.4 sin x + 1.21 sin 2x + 0.75 sin 3x
3. Compute the first two harmonics of the Fourier series for f(x) from the following data

              x              0         30            60            90        120        150           180
            f (x )           0        5224          8097          7850      5499       2626            0




Solution:
      Here the length of the interval is π . ∴ we can express the given data in a half range
Fourier sine series
       i.e.,           f ( x) = b1 sin x + b2 sin 2 x                               ………………………(1)



                                                                                                                   18
x                 y            sin x            sin 2x
                   0                 0                0               0
                  30              5224               .5             0.87
                  60              8097             0.87             0.87
                  90              7850                1               0
                 120              5499             0.87            -0.87
                 150              2626              0.5            -0.87
                               ∑ y sin x 
       Now              b1 = 2            = 7867.84
                              
                                  6      
                                          
                                  ∑ y sin 2 x 
                          b2 = 2               = 1506.84
                                 
                                      6       
                                               
                 ∴ f (x) = 7867.84 sin x + 1506.84 sin 2x
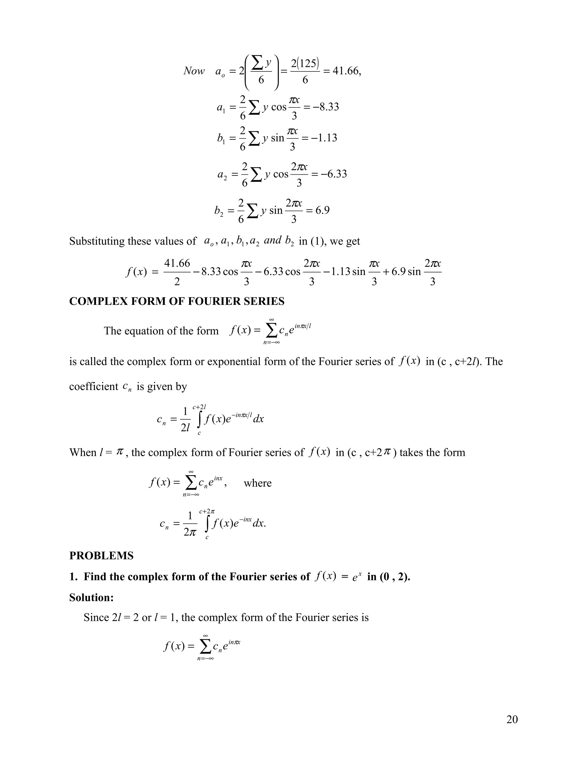
4. Find the Fourier series as far as the second harmonic to represent the function given in
   the following data.
                   x             0           1          2          3            4          5
                 f (x )          9          18         24         28           26         20
Solution:
    Here the length of the interval is 6 (not 2 π )
       i.e., 2l = 6 or l = 3
 ∴ The Fourier series is

                       ao         πx         2πx         πx        2πx
            f ( x) =      + a1 cos + a 2 cos     + b1 sin + b2 sin                  …………………..(1)
                       2           3          3           3         3


                  πx             2πx                         πx           πx            2πx            2πx
                                                     y cos        y sin         y cos          y sin
      x            3              3          y                3            3             3              3
     0           0               0           9           9          0                 9           0
     1           π 3            2π 3       18           9          15.7             -9           15.6
     2          2π 3            4π 3        24         -12         20.9             -24           0
     3            π              2π         28         -28          0                28           0
     4          4π 3            8π 3        26         -13        -22.6             -13          22.6
     5          5π 3           10 π 3       20          10        -17.4             -10         -17.4
                                           125         -25         -3.4             -19          20.8




                                                                                                             19
 ∑ y  2(125)
                               Now a o = 2     =        = 41.66,
                                           6        6
                                               
                                         2         πx
                                   a1 = ∑ y cos = −8.33
                                         6          3
                                         2        πx
                                   b1 = ∑ y sin       = −1.13
                                         6         3
                                                                  2        2πx
                                                  a2 =
                                                                  6
                                                                    ∑ y cos 3 = −6.33
                                                              2        2πx
                                                 b2 =
                                                              6
                                                                ∑ y sin 3 = 6.9
Substituting these values of a o , a1 , b1 , a 2 and b2 in (1), we get
                        41.66                                     πx                     2πx                πx               2πx
             f ( x) =             − 8.33 cos                           − 6.33 cos              − 1.13 sin        + 6.9 sin
                           2                                      3                        3                3                3
COMPLEX FORM OF FOURIER SERIES
                                                                             ∞
        The equation of the form                           f ( x) =         ∑c e
                                                                         n = −∞
                                                                                  n
                                                                                      inπx l




is called the complex form or exponential form of the Fourier series of f (x) in (c , c+2l). The

coefficient c n is given by
                                  c + 2l
                          1
                                     ∫ f ( x )e
                                                            −inπx l
                     cn =                                              dx
                          2l         c


When l = π , the complex form of Fourier series of f (x) in (c , c+2 π ) takes the form
                                 ∞
                   f ( x) =    ∑c e
                               n = −∞
                                         n
                                                 inx
                                                       ,          where

                                        c + 2π
                              1
                                          ∫ f ( x )e
                                                              −inx
                        cn =                                           dx.
                             2π           c


PROBLEMS
1. Find the complex form of the Fourier series of f (x) = e x in (0 , 2).
Solution:
   Since 2l = 2 or l = 1, the complex form of the Fourier series is
                                         ∞
                         f ( x) =       ∑c e
                                     n = −∞
                                                  n
                                                           inπx




                                                                                                                                   20
2
                             1
                        c n = ∫ f ( x)e −inπx dx
                             20
                                  2
                            1
                           = ∫ e x e −inπx dx
                            20
                                                       2
                            1  e ( 1−inπ ) x 
                           =                 
                            2  1 − inπ  0

                           =
                                     1
                                2(1 − inπ )
                                            {e 2(1−inπ ) − 1}

                            =
                                  (1 + inπ )               {e ( cos 2nπ − i sin 2nπ ) − 1}
                                                              2

                                2(1 + n π     2    2
                                                       )
                            =
                                (e    2
                                       − 1)(1 + inπ )
                                      2(1 + n 2π 2 )
Using this value in (1), we get
                      e 2 − 1  ∞ (1 + inπ ) inπx
                      2  ∑ (1 + n 2π 2 ) e
                ex =          
                               n =−∞
2. Find the complex form of the Fourier series of f (x) = sin x in (0 , π ).
Solution:
     Here 2l = π or l = π 2 .
      ∴ The complex form of Fourier series is
                                                    ∞
                                  f ( x) =        ∑c e
                                                  n = −∞
                                                             n
                                                                  i 2 nx
                                                                                                      …………………..(1)

                                                        π
                                               1
                                          c n = ∫ sin xe −i 2 nx dx
                                               π 0
                                                                                                 π
                                                1           e −i 2 nx                           
                                              =                         { − i 2n sin x − cos x} 
                                                π          1 − 4n
                                                                       2
                                                                                                 0

                                              =
                                                        1
                                                  π ( 4n − 1)
                                                         2
                                                                           [
                                                              − e i 2 nx − 1 = −   ]   2
                                                                                 π ( 4n 2 − 1)
Using this value in (1), we get
                                          2 ∞     1
                        sin x = −            ∑ 4n 2 − 1 .e i 2nx
                                          π n =−∞
                                                                                in (0 , π )

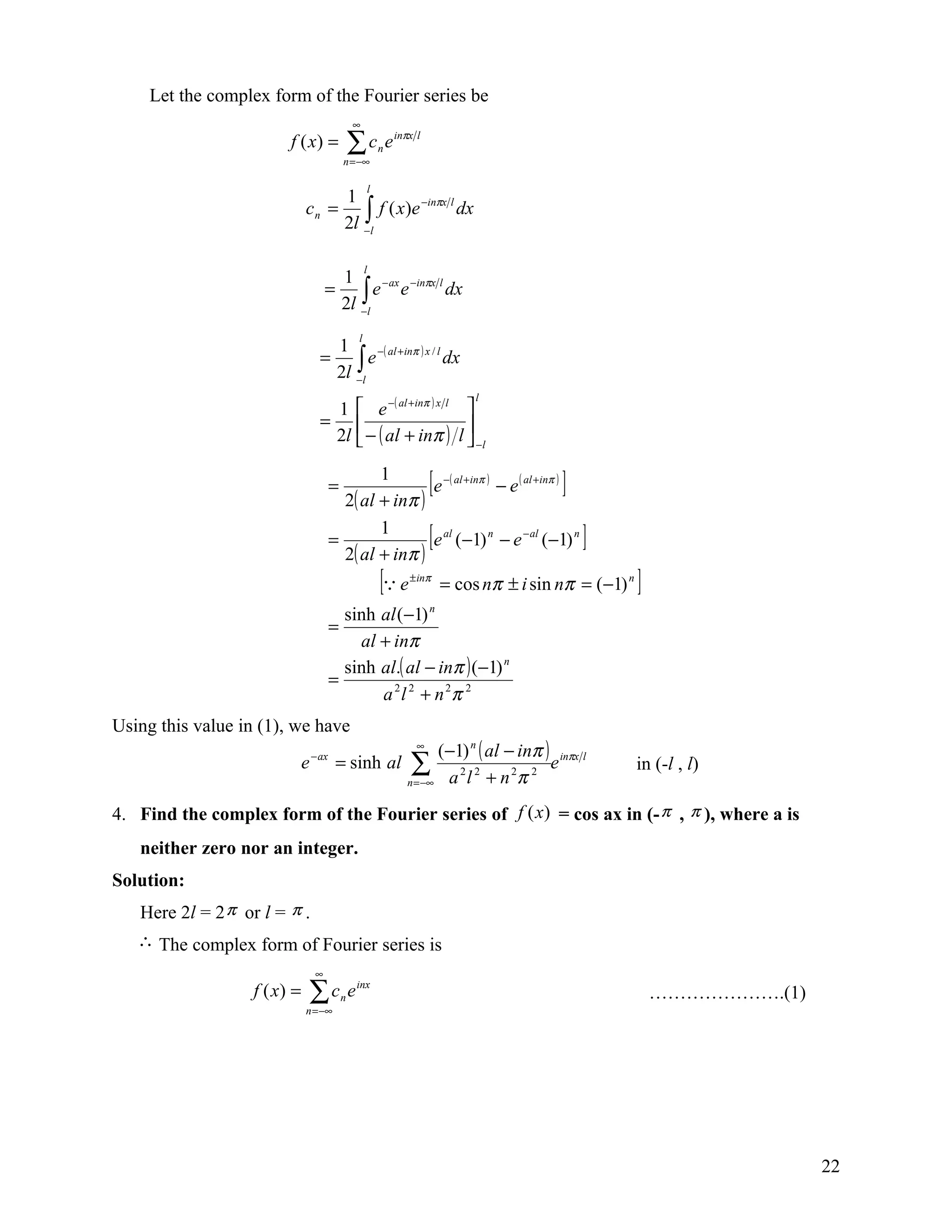
3.   Find the complex form of the Fourier series of f (x) = e − ax in (-l , l).
Solution:


                                                                                                                     21
Let the complex form of the Fourier series be
                                            ∞
                         f ( x) =           ∑c e
                                        n = −∞
                                                     n
                                                         inπx l



                                                 l
                                   1
                              c n = ∫ f ( x)e −inπx l dx
                                   2l −l

                                                 l
                                     1
                                    = ∫ e − ax e −inπx l dx
                                     2l −l
                                             l
                                  1
                                 = ∫ e −( al +inπ ) x / l dx
                                  2l −l
                                                                           l
                                  1  e −( al +inπ ) x l                  
                                 =                                       
                                  2l  − ( al + inπ )                   l  −l

                                    =
                                             1
                                      2( al + inπ )
                                                                  [
                                                     e −( al +inπ ) − e ( al +inπ )    ]
                                    =
                                      2
                                             1
                                        ( al + inπ )
                                                                  [
                                                     e al (−1) n − e − al (−1) n           ]
                                                     [ e   ± inπ
                                                                      = cos nπ ± i sin nπ = (−1) n   ]
                                      sinh al (−1) n
                                    =
                                        al + inπ
                                      sinh al.( al − inπ ) (−1) n
                                    =
                                           a 2 l 2 + n 2π 2
Using this value in (1), we have
                                                              ∞
                                                                  (−1) n ( al − inπ ) inπx l
                              e − ax = sinh al               ∑ 22 2 2 e
                                                            n = −∞ a l + n π
                                                                                                     in (-l , l)

4. Find the complex form of the Fourier series of f (x) = cos ax in (- π , π ), where a is
   neither zero nor an integer.
Solution:
   Here 2l = 2 π or l = π .
   ∴ The complex form of Fourier series is
                                ∞
                   f ( x) =    ∑c e
                              n = −∞
                                        n
                                            inx
                                                                                                         ………………….(1)




                                                                                                                       22
π
                                   1
                                       ∫π cos ax.e
                                                     − inx
                          cn =                               dx
                                  2π   −
                                                                                 π
                            1  e −inx                               
                         =      2        { − in cos ax + a sin ax} 
                           2π  a − n   2
                                                                      −π
                         =
                                 1
                           2π ( a − n 2 )
                                 2
                                                  [
                                           e −inπ ( − in cos aπ + a sin aπ ) − e inπ ( − in cos aπ − a sin aπ )   ]
                                 1
                         =                (−1) n 2a sin aπ
                           2π ( a − n )
                                 2    2


Using this value in (1), we get

                                    a sin aπ     ∞
                                                          (−1) n inx
                         cos ax =
                                        π
                                               ∑
                                               n = −∞    a2 − n2
                                                                 e         in (- π , π ).



                                                                  UNIT 2
                                                             PART – A
    1. Determine the value of a n in the Fourier series expansion of f ( x) = x 3 in − π < x < π .

     Ans: f ( x) = x 3 is an odd function.
     ∴ an = 0

    2. Find the root mean square value of f ( x) = x 2 in the interval (0 , π ) .
    Ans:
         RMS Vale of f ( x ) = x 2 in (0 , π ) is
                     π               π                             π
                                              1  x5              
                     ∫ [x ]
           2 1           2 2       1
         y =                   dx = ∫ x 4 dx =                   
             π       0
                                   π 0        π 5
                                                
                                                                  
                                                                  0
                   1 π 5  π 4
               =           =
                   π5  5
                      

3. Find the coefficient b5 of cos 5 x in the Fourier cosine series of the function f ( x ) = sin 5 x in

the interval (0 , 2π )
Ans: Here f ( x) = sin 5 x
Fourier cosine series is




                                                                                                                      23
∞
                            ao
                  f (x) =
                            2
                               +   ∑a
                                    n =1
                                           n   cos nx , where




          π                                π
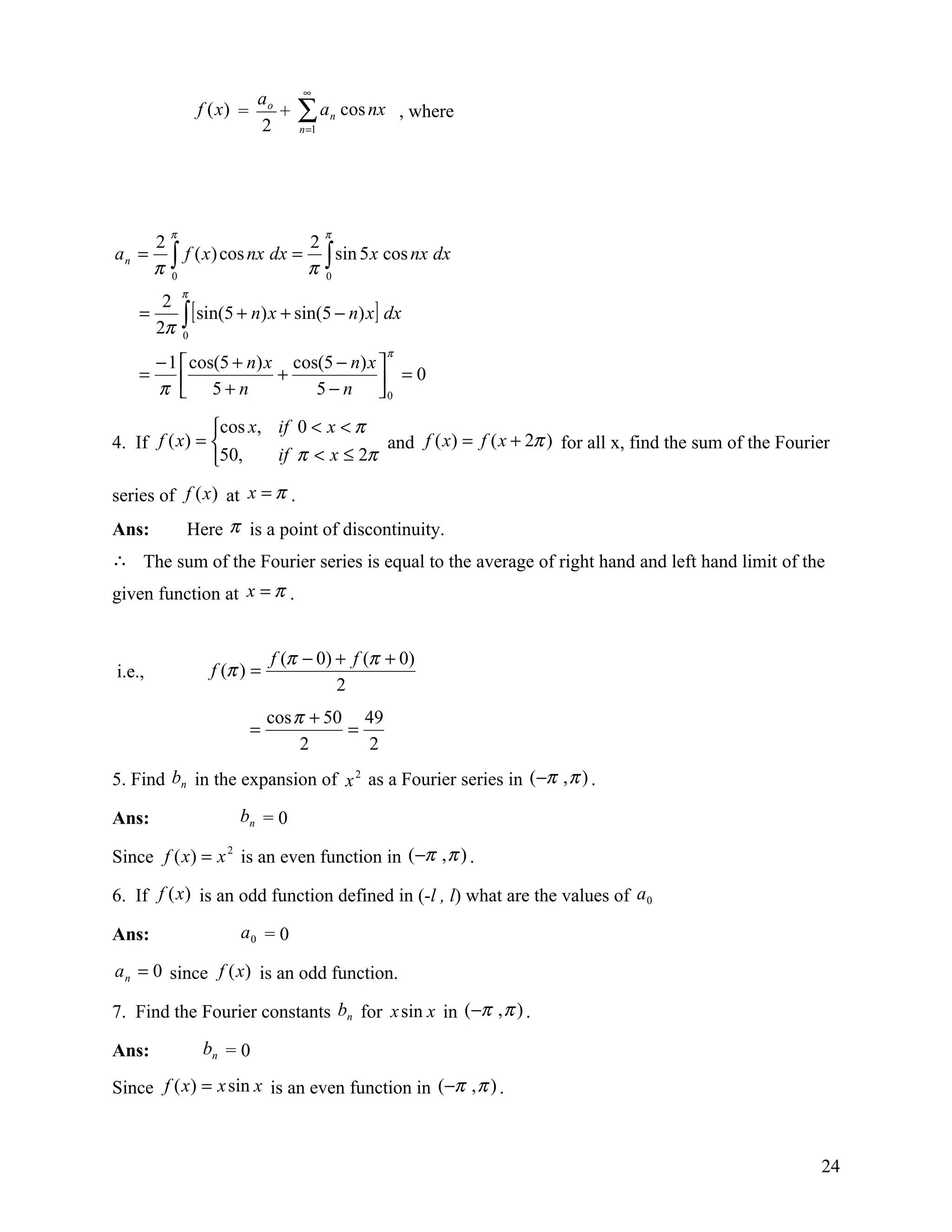
        2                      2
an =      ∫ f ( x) cos nx dx = π ∫ sin 5 x cos nx dx
        π 0                      0
              π
       2
    =
      2π      ∫ [ sin(5 + n) x + sin(5 − n) x] dx
              0
                                                    π
      − 1  cos(5 + n) x cos(5 − n) x 
    =                   +               =0
      π  5+n
                           5 − n 0  
               cos x, if 0 < x < π
4. If f ( x) =                      and f ( x) = f ( x + 2π ) for all x, find the sum of the Fourier
               50,    if π < x ≤ 2π

series of f (x ) at x = π .
Ans:          Here π is a point of discontinuity.
∴ The sum of the Fourier series is equal to the average of right hand and left hand limit of the
given function at x = π .


                                f (π − 0) + f (π + 0)
i.e.,              f (π ) =
                                          2
                                cos π + 50 49
                            =             =
                                     2      2
5. Find bn in the expansion of x 2 as a Fourier series in (−π , π ) .

Ans:                   bn = 0

Since f ( x) = x 2 is an even function in (−π , π ) .

6. If f (x) is an odd function defined in (-l , l) what are the values of a 0

Ans:                   a0 = 0

a n = 0 since f (x) is an odd function.

7. Find the Fourier constants bn for x sin x in (−π , π ) .

Ans:              bn = 0

Since f ( x) = x sin x is an even function in (−π , π ) .



                                                                                                   24
8. State Parseval’s identity for the half-range cosine expansion of f (x ) in (0 , 1).
Ans:
                 1                          2
                                            ∞
                                      a0
              2 ∫ [ f ( x)] dx =         + ∑ an
                            2                   2

                 0
                                       2   n =1


where
                                        1
                                a 0 = 2 ∫ f ( x) dx
                                        0
                                        1
                                a n = 2 ∫ f ( x) cos nx dx
                                        0


9. Find the constant term in the Fourier series expansion of f ( x ) = x in (−π , π ) .
Ans:
           a 0 = 0 since f (x ) is an odd function in (−π , π ) .

10. State Dirichlet’s conditions for Fourier series.
Ans:
(i)    f (x) is defined and single valued except possibly at a finite number of points in (−π , π ) .

(ii) f (x) is periodic with period 2 π .
(iii) f (x) and f ′(x) are piecewise continuous in (−π , π ) .
      Then the Fourier series of f (x ) converges to
           (a) f (x) if x is a point of continuity
                     f ( x + 0) + f ( x − 0)
           (b)                               if x is a point of discontinuity.
                                2
11. What you mean by Harmonic Analysis?
Ans:
         The process of finding the Fourier series for a function given by numerical value is

known as harmonic analysis. In harmonic analysis the Fourier coefficients ao , a n , and bn of the

function y = f (x) in (0 , 2 π ) are given by


                 a o = 2[mean value of y in (0 , 2 π )]

                 a n = 2[mean value of y cos nx in (0 , 2 π )]

                 bn = 2[mean value of y sin nx in (0 , 2 π )]



                                                                                                        25
 2x
                                         1 + π , − π < x < 0
                                         
12. In the Fourier expansion of f ( x) =                     in (−π , π ) . Find the value of bn ,
                                         1 − 2 x , 0 < x < π
                                          π
                                         
the coefficient of sin nx.
Ans:
             Since f (x) is an even function the value of bn = 0.

                                                  2( − x)  2x         
 In − π ≤ x ≤ 0 i.e., 0 ≤ − x ≤ π , f (− x ) = 1 − π = 1 + π = f ( x )
                                                                      
13. What is the constant term and the coefficient of cos nx, a n in the Fourier expansion of

f ( x) = x − x 3 in (-7 , 7)?
Ans:
Given                 f ( x) = x − x 3

                      f ( − x ) = − x + x 3 = −( x − x 3 ) = − f ( x )

The given function is an odd function. Hence a 0 and a n are zero.


14. State Parseval’s identity for full range expansion of f (x ) as Fourier series in (0 , 2l).
Ans:
             c + 2l                      2                 2            2
        1                              ∞       ∞

               ∫ [ f ( x)] dx. = ao + ∑ a n + ∑ bn .
                           2

        2l     c                  4   n =1 2  n =1 2


       where
                                                  c + 2l
                                              1                         nπx
                                       an =
                                              l     ∫
                                                    c
                                                           f ( x) cos
                                                                         l
                                                                            dx, n ≥ 0

                                                  c + 2l
                                              1                         nπx
                                       bn =
                                              l     ∫
                                                    c
                                                           f ( x) sin
                                                                         l
                                                                            dx, n ≥ 1

15. Find a Fourier sine series for the function f (x ) = 1; 0 < x < π .
Ans:
                                                     ∞
The Fourier sine series of f ( x) = ∑ bn sin nx                                         …………………….(1)
                                                    n =1




                                                                                                   26
π
                                    2
                            bn =
                                    π   ∫ f ( x) sin nx dx
                                        0
                                        π                        π
                                              2  − cos nx 
                                2
                               = ∫ sin nx dx = 
                                π 0           π  n 0
                                                            =−
                                                                 2
                                                                nπ
                                                                   ( (−1) n − 1)
                            bn = 0, when ' n' is even
                                   4
                                =     , when ' n' is odd
                                  nπ
                                           ∞
                                                    4
                            ∴ f ( x) = ∑              . sin nπ
                                       n =1, 3, 5, nπ


                                                     0     0< x<π
16. If the Fourier series for the function f ( x ) =                  is
                                                     sin x 0 < x < 2π

           − 1 2  cos 2 x cos 4 x     1                    1   1   1         π −2
f ( x) =      +          +        +  + sin x Deduce that    −   +    − ∞ =      .
           π π  1.3        3.5        2                   1.3 3.5 5.7          4
Ans:
                          π
            Putting x =     we get
                          2
                      π  −1 2  1   1   1        1
                    f =    + −   +   −    +  ∞ +
                      2  π π  1.3 3.5 5.7       2
                            −1 2  1   1   1       1
                       0=     + −   +   −    + ∞ +
                            π π  1.3 3.5 5.7      2
 1   1   1         π −2
   −   +    − ∞ =      .
1.3 3.5 5.7          4




17. Define Root mean square value of a function?
Ans:
                                                                          c +2 l
                                                                     1
                                                                            ∫y
                                                                                   2
           If a function y = f (x ) is defined in (c , c+2l), then                     dx is called the root mean-
                                                                     2l     c


square(R.M.S.) value of y in (c , c+2l) and is denoted by y.



                                                                                                                 27
c + 2l
                       2 1
                Thus y =        ∫y
                                       2
                                           dx.
                         2l     c


18. If f ( x) = x 2 + x is expressed as a Fourier series in the interval (-2 , 2), to which value this
series converges at x = 2.
Ans:
        Since x = 2 is a point of continuity, the Fourier series converges to the arithmetic mean of
f (x) at x = -2 and x = 2
                  f (2) + f (−2) 4 − 2 + 4 + 2
        i.e.,                   =              =4
                         2             2
19. If the Fourier series corresponding to f ( x ) = x in the interval (0 , 2π ) is

a0 ∞
  + ∑ (a n cos nx + bn sin nx), without finding the values of a 0, a n , bn find the value of
2 n =1

   2  ∞
a0
   + ∑ (a n + bn ).
           2    2

 2   n =1

Ans:
By using Parseval’s identity,
           2                   2π                    2π
         a0    ∞
                             1          1  x3  8
            + ∑ (a n + bn ) = ∫ x 2 dx =   = π 2 .
                    2    2

          2                  π 0           3 
                                        π  0   3
              n =1


20. Find the constant term in the Fourier series corresponding to f ( x) = cos 2 x expressed in the

interval (−π , π ) .
Ans:
       Given f ( x) = cos 2 x
                  π                    π                              π
           1                    1  1 + cos 2 x  1   sin 2 x 
 Now a 0 =        ∫π cos x dx = π −∫π  2 dx = π  x + 2  0 = 1
                       2

           π      −                                         


                                                 PART B
1. (i) Express f ( x) = x sin x as a Fourier series in 0 ≤ x ≤ 2π .




                                                                                                     28
2l  πx 1      2πx 1    3πx 
  (ii) Show that for 0 < x <l, x =                  sin − sin    + sin     . Using root mean square
                                                p      l 2     l  3     l  

                                            1   1   1
value of x, deduce the value of             2
                                              + 2 + 2 +
                                           1   2   3
2. (i) Find the Fourier series of periodicity 3 for f ( x ) = 2 x − x 2 in 0 < x < 3.
  (ii) Find the Fourier series expansion of period 2 π for the function y = f (x) which is defined

in (0 , 2π ) by means of the table of values given below. Find the series upto the third harmonic.
             x               0             π           2π        π         4π         5π        2π
                                           3            3                   3          3
           f (x )            1.0          1.4          1.9       1.7       1.5        1.2       1.0


3.(i) Find the Fourier series of periodicity 2 π for f ( x) = x 2 for 0 < x < 2 π .

                                                l 4l        πx 1     3πx    
   (ii) Show that for 0 < x <l, x =              −       cos + 2 cos     +  . Deduce that
                                                2 π2         l 3      l     

 1   1   1      π4
   + 4 + 4 + =    .
14 3    5       96
                                            l − x, 0 < x ≤ l
4. (i) Find the Fourier series for f ( x) =                   . Hence deduce the sum to infinity of
                                            0,     l ≤ x ≤ 2l

              ∞
                         1
the series   ∑ (2n + 1)
             n =0
                              2
                                  .

   (ii) Find the complex form of Fourier series of f ( x ) = e ax (−π < x < π ) in the form

         sinh aπ    ∞
                                    a + in inx                        π     ∞
                                                                                (−1) n
e ax =
            π
                    ∑ (−1) n
                    −∞             a2 + n2
                                           e and hence prove that          =∑ 2
                                                                  a sinh aπ −∞ n + a 2
                                                                                       .

5. Obtain the half range cosine series for f ( x) = x in (0 , π ).

6. Find the Fourier series for f ( x) = cos x in the interval (−π , π ) .

                                                                                 1   1      π3
7. (i) Expanding x(π − x) as a sine series in (0 , π ) show that 1 −               + 3 + =    .
                                                                                 33 5       32
  (ii) Find the Fourier series as far as the second harmonic to represent the function given in the
following data.
                         x            0            1         2         3          4         5



                                                                                                      29
f (x )       9            18          24          28         26        20


8. Obtain the Fourier series for f (x ) of period 2l and defined as follows
               L + x in ( − L,0)
     f ( x) = 
               L − x in (0, L)
                        1   1   1      π2
Hence deduce that         + 2 + 2 + =    .
                       12 3    5       8
9. Obtain the half range cosine series for f ( x) = x in (0 , π ).
                                             1 in (0, π )
10. (i) Find the Fourier series of f ( x ) = 
                                             2 in (π ,2π )
    (ii) Obtain the sine series for the function
                                         l
                            x in 0 ≤ x ≤ 2
                           
                  f ( x) = 
                           l − x in l ≤ x ≤ l
                           
                                    2
11. (i) Find the Fourier series for the function
                  0 in (−1, 0)
         f ( x) =              and f ( x + 2) = f ( x ) for all x.
                  1 in (0, 1)
    (ii) Determine the Fourier series for the function
                   πx,         0 ≤ x ≤1
          f ( x) = 
                   π (2 − x ), 1 ≤ x ≤ 2
12. Obtain the Fourier series for f ( x ) = 1 + x + x 2 in (−π , π ) . Deduce that

 1   1   1      π2
   + 2 + 2 + =    .
12 2    3       6


13. Obtain the constant term and the first harmonic in the Fourier series expansion for f (x)

where f (x) is given in the following table.
            x         0     1        2       3     4          5    6     7    8     9    10    11
          f (x)      18.   18.      17.     15.   11.        8.3   6.    5.   6.    9.   12.   15.7
                                                                   0     3    4     0    4
                      0    7        6        0     6


14. (i) Express f ( x) = x sin x as a Fourier series in (−π , π ).


                                                                                                      30
(ii) Obtain the half range cosine series for f ( x) = ( x − 2) 2 in the interval 0 < x < 2.
15. Find the half range sine series of f ( x) = x cos x in (0 , π ).
16. (i) Find the Fourier series expansion of f (x ) = e − x in (−π , π )
    (ii) Find the half-range sine series of f (x ) = sin ax in (0 , l).
17. Expand f (x ) = x - x 2 as a Fourier series in -1 < x < 1 and using this series find the r.m.s.

value of f (x) in the interval.
18. The following table gives the variations of a periodic function over a period T.
                              0         T            T           T   2T                5T          T
                 x                      6             3          2    3                 6
               f (x)       1.98         1.3         1.05        1.3 -0.88             -0.25       1.98
                                                                    2πx
      Show that f (x ) = 0.75 + 0.37 cos θ +1.004 sin θ , where θ =
                                                                     T
19. Find the Fourier series upto the third harmonic for the function y = f (x) defined in (0 , π )
from the table
                  x           0          π          2π          3π          4π         5π          π
                                         6           6           6           6          6
                 f (x)      2.34        2.2         1.6        0.83        0.51       0.88        1.19


20. (i) Find the half-range (i) cosine series and (ii) sine series for f (x ) = x 2 in (0 , π )
    (ii) Find the complex form of the Fourier series of f (x) = cos ax in (- π , π ).




                                                                                                         31

Chapter 2 (maths 3)

  • 1.
    CHAPTER 2 FOURIER SERIES PERIODIC FUNCTIONS A function f (x ) is said to have a period T if for all x, f ( x + T ) = f ( x) , where T is a positive constant. The least value of T>0 is called the period of f (x) . EXAMPLES We know that f (x ) = sin x = sin (x + 4 π ) = … Therefore the function has period 2 π , 4 π , 6 π , etc. However, 2 is the least value and therefore is the period of f(x). Similarly cos x is a periodic function with the period 2 π and tan x has period π . DIRICHLET’S CONDITIONS A function f (x ) defined in c ≤ x ≤ c+2l can be expanded as an infinite trigonometric a nπx nπx series of the form o + ∑ a n cos + ∑ bn sin , provided 2 l l 1. f (x) is single- valued and finite in (c , c+2l) 2. f (x) is continuous or piecewise continuous with finite number of finite discontinuities in (c , c+2l). 3. f (x) has no or finite number of maxima or minima in (c , c+2l). EULER’S FORMULAS If a function f (x) defined in (c , c+2l) can be expanded as the infinite trigonometric ao ∞ nπx ∞ nπx series 2 + ∑ an cos n =1 l + ∑ bn sin n =1 l then c + 2l 1 nπx an = l ∫ c f ( x) cos l dx, n ≥ 0 c + 2l 1 nπx bn = l ∫c f ( x) sin l dx, n ≥ 1 [ Formulas given above for a n and bn are called Euler’s formulas for Fourier coefficients]
  • 2.
    DEFINITION OF FOURIERSERIES ao ∞ nπx ∞ nπx The infinite trigonometric series 2 + ∑ an cos n =1 l + ∑ bn sin n =1 l is called the Fourier series of f (x) in the interval c ≤ x ≤ c+2l, provided the coefficients are given by the Euler’s formulas. EVEN FUNCTION If f (x) = φ (x) in (-l , l) such that φ (− x) = φ (x) , then f (x ) is said to be an even function of x in (-l , l). φ1 ( x ) in (−l ,0) If f ( x) =  φ 2 ( x) in (0, l ) Such that φ1 (− x) = φ 2 ( x) or φ 2 ( − x ) = φ1 ( x ) , then f (x) is said to be an even function of x in (-l , l). EXAMPLE y = cos x , y = x 2 are even functions. ODD FUNCTION If f (x) = φ (x) in (-l , l) such that φ (− x) = - φ (x) , then f (x) is said to be an odd function of x in (-l , l). φ1 ( x ) in (−l ,0) If f ( x) =  φ 2 ( x) in (0, l ) Such that φ1 (− x) = - φ 2 ( x ) or φ 2 ( − x ) = - φ1 ( x ) , then f (x) is said to be an odd function of x in (-l , l). EXAMPLE y = sin x , y = x are odd functions. FOURIER SERIES OF EVEN AND ODD FUNCTIONS 1. The Fourier series of an even function f (x ) in (-l , l) contains only cosine terms 2
  • 3.
    (constant term included),i.e. the Fourier series of an even function f (x) in (-l , l) is given by ao nπx f (x) = 2 + ∑a n cos l , nπx l 2 where a n = ∫ f ( x ) cos dx. l 0 l 2. The Fourier series of an odd function f (x) in (-l , l) contains only sine terms, i.e. the Fourier series of an odd function f (x ) in (-l , l) is given by nπx f (x) = ∑b n sin l , nπx l 2 where bn = ∫ f ( x) sin l dx. l 0 PROBLEMS 1. Find the Fourier series of period 2l for the function f (x ) = x(2l – x) in (0 , 2l). Deduce 1 1 1 the sum of f (x) = 2 − 2 + 2 − 1 2 3 Solution: ao ∞ nπx ∞ nπx Let f (x ) = 2 + ∑a n =1 n cos l + ∑ bn sin n =1 l in (0 , 2l) …………(1) nπx 2l 1 an = l0∫ x(2l − x) cos l dx 2l   nπx   nπx   nπx    sin   − cos   − sin  1 2  l  − (2l − 2 x ) l  + (−2) l  , = (2lx − x ) l  nπ   n 2π 2   n 3π 3           l   l2   l3  0 using Bernoulli’s formula. 2 1 = [ − 2l cos 2nπ − 2l ] = − 4l 2 n 2π 2 n 2π 2l 1 x3  2l 1 4 a o = ∫ x(2l − x )dx = lx 2 −  = l 2 . l0 l 3 0 3 3
  • 4.
    nπx 2l 1 bn = l0∫ x(2l − x) sin l dx =0 Using these values in (1), we have 2 2 4l 2 ∞ 1 nπx x (2l - x) = l − 2 3 π ∑n n =1 2 cos l in (0, 2l) ……………..(2) 1 1 1 The required series 2 − 2 + 2 − … ∞ can be obtained by putting x = l in the Fourier 1 2 3 series in (2). x = l lies in (0 , 2l) and is a point of continuity of the function f (x) = x(2l – x). ∴ [ Sum the Fourier series in (2) ] x =1 = f(l) ∞ 2 2 4l 2 1 i.e. l − 2 3 π ∑n n =1 2 cos nπ = l(2l - l) 4l 2  1 1 1  l 2 i.e.. -  − 2 + 2 − 2 + ...∞  = π2  1 2 3  3 ∴ 1 1 1 π2 − 2 + 2 − …∞ = 12 2 3 12 2. Find the Fourier series of period 2 π for the function f (x) = x cos x in 0 < x < 2 π . Solution: ∞ ∞ ao Let f (x ) = 2 + ∑ an cos nx + ∑ bn sin nx n =1 n =1 .……..…………(1) 2π 1 an = π ∫ x cos x cos nxdx 0 2π 1 = 2π ∫ x[ cos(n + 1) x + cos(n − 1) x]dx 0 1  sin( n + 1) x cos(n + 1) x  2π  sin( n − 1) x cos(n − 1) x  2π  =  x. +  +  x. +  , 2π  n +1 (n + 1) 2  0  n −1 ( n − 1) 2  0    if n ≠ 1 =0, if n ≠ 1 ao = 0 4
  • 5.
    2π 1 1 an = ∫ x cos xdx = 2π ∫ x(1 + cos 2 x)dx 2 π 0 0 2π 1 x sin 2 x cos 2 x  2 =  +x +  = π. 2π 2 2 4 0 2π 1 bn = π ∫ x cos x sin nxdx 0 2π 1 = 2π ∫ x[ sin(n + 1) x + sin(n − 1) x]dx 0 1  − cos(n + 1) x sin( n + 1) x  2π  − cos(n − 1) x sin( n − 1) x  2π  =  x. +  +  x. +  , 2π  n +1 (n + 1) 2  0  n −1 (n − 1) 2  0    if n ≠ 1 1 1  1 1  2n =− − = − + =− 2 , if n ≠ 1 n +1 n −1  n + 1 n − 1 n −1 2π 2π 1 1 b1 = π ∫ x cos x sin xdx = 0 2π ∫ x sin 2 xdx 0 2π 1   − cos 2 x  sin 2 x  1 =  x +  =−2 2π   2  4 0 Using these values in (1), we get ∞ 1 n f(x) = π cos x − sin x − 2 ∑ sin nx n = 2 , 3,... n − 1 2 2 3. Find the Fourier series expansion of f (x) = sin ax in (-l , l). Solution: Since f (x) is defined in a range of length 2l, we can expand f (x ) in Fourier series of period 2l. Also f ( − x) = sin[a(-x)] = -sin ax = - f (x) ∴ f (x) is an odd function of x in (-l , l). Hence Fourier series of f (x ) will not contain cosine terms. ∞ nπx Let f (x ) = ∑b n =1 n sin l ………………….(1) 5
  • 6.
    1  nπ  nπ l    = ∫ cos l − a  − cos l + a  xdx l 0      l   nπ   nπ   1  sin  l − a  x sin  l + a  x  =    −    l nπ nπ −a +a   l l   0 1  nπ  1  nπ  = sin  − a l − sin  + a l nπ − la  l  nπ + la  l  = 1 nπ − al {− (−1) n sin al} − nπ 1 al {(−1) n sin al} +  1 1  = (−1) n +1 sin al  +   nπ − al nπ + al  (−1) n +1 2nπ sin al = n 2π 2 − a 2 l 2 Using these values in (1), we get ∞ (−1) n +1 n nπx sin ax = 2π sin al ∑ sin n =1 n π −a l 2 2 2 2 l 4. Find the Fourier series expansion of f (x) = e − x in (−π , π ) . Hence obtain a series for cosec π Solution: Though the range (−π , π ) is symmetric about the origin, e − x is neither an even function nor an odd function. ∞ ∞ ao ∴ Let f (x) = 2 + ∑ an cos nx + ∑ bn sin nx n =1 n =1 ..…..…………(1) in (−π , π ) [ the length of the range is 2π ] 6
  • 7.
    π 1 ∫π e cos nxdx −x an = π− π 1  e −x  =  2 ( − cos nx + n sin nx )  π n +1  −π =− 1 {e −π (−1) n − e π (−1) n } π ( n + 1) 2 2( −1) n = sinh π π (n 2 + 1) 2 sinh π ao = π π 1 ∫π e sin nxdx −x bn = π− π 1  e −x  =  2 ( − sin nx − n cos nx )  π n +1  −π =− n {e −π (−1) n − e π (−1) n } π ( n 2 + 1) 2n(−1) n = sinh π π (n 2 + 1) Using these values in (1), we get sinh π 2 sinh π ∞ (−1) n 2 sinh π ∞ (−1) n n e−x = π + π ∑ n 2 + 1 cos nx + π n =1 ∑ n 2 + 1 sin nx n =1 in (−π , π ) [ Sum of the Fourier series of f ( x )] x =0 = f (0), [Since x=0 is a point of continuity of f(x)] sinh π  ∞ (−1) n  i.e., 1 + 2∑ 2 −0  = e =1 π  n =1 n + 1  −1 ∞ (−1) n i.e., π cos ech π = 1 + 2  + 2∑ 2  2  n=2 n + 1 2 ∞ (−1) n i.e., cos ech π = ∑ π n=2 n 2 + 1 7
  • 8.
    HALF-RANGE FOURIER SERIESAND PARSEVAL’S THEOREM (i) The half range cosine series in (0 , l) is ao ∞ nπx f (x) = 2 + ∑a n =1 n cos l l 2 l∫ where a o = f ( x )dx. 0 nπx l 2 an = ∫ f ( x) cos l dx. l 0 (ii) The half range sine series in (0 , l) is ∞ nπx f (x) = ∑b n =1 n sin l , nπx l 2 where bn = ∫ f ( x) sin l dx. l 0 (iii) The half range cosine series in (0 , π ) is given by ∞ ao f (x) = 2 + ∑a n =1 n cos nx π 2 where a o = ∫ f ( x )dx. π 0 π 2 π∫ an = f ( x ) cos nxdx. 0 (iv) The half range sine series in (0 , π ) is given by ∞ f (x) = ∑b n =1 n sin nx , π 2 where bn = ∫ f ( x) sin nxdx. π 0 8
  • 9.
    ROOT-MEAN SQUARE VALUEOF A FUNCTION Definition c +2 l 1 ∫y 2 If a function y = f (x ) is defined in (c , c+2l), then dx is called the root mean- 2l c square(R.M.S.) value of y in (c , c+2l) and is denoted by y. c + 2l 1 2 Thus y = ∫y 2 dx. 2l c PARSEVAL’S THEOREM If y = f (x ) can be expanded as a Fourier series of the form ao ∞ nπx ∞ nπx 2 + ∑ an cos n =1 l + ∑ bn sin n =1 l in (c , c+2l), then the root-mean square value y of y = f (x) in (c , c+2l) is given by 1 2 1 ∞ 1 ∞ y = a o + ∑ a n + ∑ bn 2 2 2 4 2 n =1 2 n =1 PROOF ao ∞ nπx ∞ nπx f (x) = 2 + ∑ an cos n =1 l + ∑ bn sin n =1 l in (c , c+2l) ....……………….(1) ∴ By Euler’s formulas for the Fourier coefficients, c + 2l 1 nπx an = l ∫ c f ( x) cos l dx, n ≥ 0 ..…………………(2) c + 2l 1 nπx bn = l ∫ c f ( x) sin l dx, n ≥ 1 …....……………..(3) Now, by definition, c + 2l c + 2l 1 1 ∫ [ f ( x)] 2 ∫ y dx = 2 y = 2 dx 2l c 2l c c + 2l 1 a ∞ nπx ∞ nπx  = ∫ f ( x)  o + ∑ a n cos + ∑ bn sin dx, using (1) 2l c  2 n =1 l n =1 l  ao1 c + 2l  ∞ a 1 c + 2l nπx  ∞ bn 1 c + 2l nπx  =  ∫ f ( x)dx  + ∑ n  ∫ f ( x) cos dx  + ∑  ∫ f ( x) sin dx  4  l c  n =1 2  l c l  n =1 2  l c l  ∞ ∞ ao an bn = .a o + ∑ .a n + ∑ .bn , by using (2) and (3) 4 n =1 2 n =1 2 9
  • 10.
    ∞2 ∞ 2 2 ao an b = +∑ +∑ n . 4 n =1 2 n =1 2 EXAMPLES 1. Find the half-range (i) cosine series and (ii) sine series for f (x ) = x 2 in (0 , π ) Solution: (i) To get the half-range cosine series for f (x ) in (0 , π ), we should give an even extension for f (x) in ( − π , 0). i.e. put f (x) = ( − x ) 2 = x 2 in ( − π , 0) Now f (x) is even in ( − π , π ). ∞ ao ∴ f (x) = 2 + ∑a n =1 n cos nx ………………….(1) π 2 an = π ∫ f ( x) cos nxdx. 0 π 2 2 π∫ = x cos nxdx 0 π 2   sin nx   − cos nx   − sin nx  = x2   − 2 x  + 2  π  n   n 2   n 3  0 4 4(−1) n = .π (−1) n = ,n ≠ 0 πn 2 n2 π π 2 2 2 2 2 ao = ∫ f ( x)dx = π ∫ x dx = 3 π π 0 0 ∴ The Fourier half-range cosine series of x 2 is given by π2 ∞ (−1) n x2 = + 4∑ 2 cos nx in (0 , π ). 3 n =1 n (ii) To get the half-range sine series of f (x ) in (0 , π ), we should give an odd extension for f (x) in (- π , 0). i.e. Put f (x ) = - ( − x ) 2 in (- π , 0) = - x 2 in (- π , 0) Now f (x) is odd in (- π , π ). 10
  • 11.
    ∴ f (x) = ∑b n =1 n sin nx ……………….(2) π π 2 2 bn = ∫ f ( x) sin nxdx = ∫ x 2 sin nxdx π 0 π 0 π 2   cos nx   sin nx   cos nx  = x2  −  − 2 x −  + 2  π  n   n 2   n 3  0  2 π 2   (−1) + 3 {(−1) − 1}  n +1 2 = n π n n   2 π 2 4    − , if n is odd = π  n n 3  − 2π , if n is even  n Using this value in(2), we get the half-range sine series of x 2 in (0 , π ). 2. Find the half-range sine series of f (x) = sin ax in (0 , l). Solution: We give an odd extension for f (x) in (-l , 0). i.e. we put f (x) = -sin[a(-x)] = sin ax in (-l , 0) ∴ f (x) is odd in (-l , l) ∞ nπx Let f (x ) = ∑b n =1 n sin l nπx l 2 bn = ∫ sin ax. sin l dx l 0 1   nπ  nπ l    = ∫ cos l − a  x − cos l + a  x dx l 0      l   nπ   nπ   1  sin  l − a  x sin  l + a  x  =    −    l   nπ   nπ     l − a  + a      l  0 1 1 = (−1) n +1 sin ( nπ − al ) − sin ( nπ + al ) nπ − al nπ + al 11
  • 12.
    1 1 = (−1) n +1 sin al + ( −1) n +1 sin al nπ − al nπ + al 2nπ = (−1) n +1 sin al. 2 2 n π − a 2l 2 Using this values in (1), we get the half-range sine series as ∞ (−1) n +1 .n nπx sin ax = 2π sin al ∑ 2 2 sin n =1 n π − a l 2 2 l 3. Find the half-range cosine series of f (x ) = a in (0 , l). Deduce the sum of 1 1 1 2 + 2 + 2 + ∞ . 1 3 5 Solution: Giving an odd extension for f (x) in (-l , 0), f (x ) is made an odd function in (-l , l). nπx ∴ Let f(x) = ∑b n sin l ..……………(1) nπx l 2 bn = ∫ a sin dx l 0 l l  nπx   − cos l  = 2a   nπ l    = 2a nπ 1 − ( − 1) n { }    l 0   4a  , if n is odd =  nπ 0,  if n is even Using this value in (1), we get 4a ∞ 1 nπx a= ∑5 n sin l in (0 , l ) π n =1,3, Since the series whose sum is required contains constant multiples of squares of bn , we apply Parseval’s theorem. l 1 1 ∑ bn = l ∫ [ f ( x)] dx 2 2 2 0 12
  • 13.
    1 16a 2 1 i.e. . 2 π2 ∑ ( 2n − 1) n =1, 3, 5 2 = a2 ∞ 8a 2 1 i.e. π2 ∑ ( 2n − 1) n =1 2 = a2 ∞ 1 π2 ∴ ∑ ( 2n − 1) 2 8 . n =1 = 4. Expand f (x) = x - x 2 as a Fourier series in -1 < x < 1 and using this series find the r.m.s. value of f (x ) in the interval. Solution: The Fourier series of f (x ) in (-1 , -1) is given by ∞ ∞ ao f (x) = 2 + ∑ an cos nπx + ∑ bn sin nπx n =1 n =1 .………………(1) 1 1 a o = ∫ f ( x)dx = ∫ ( x − x 2 ) dx 1 1 −1 −1 1  x2 x3  1 1  1 1 =  −  =  − − +   2   3  −1  2 3   2 3  −2 ao = ..........................(2) 3 1 1 ∫1 f ( x) cos nπx dx = −∫1( x − x ) cos nπx dx 1 an = 2 1− 1   sin nπx   − cos nπx   − sin nπx  = ( x − x 2 )   − (1 − 2 x )  2  + (−2) 3    n   n   n  −1 − cos nπ 3 cos nπ = − n2 n2 4 cos nπ an = − ……………….(3) n2 13
  • 14.
    1 1 ∫1 f ( x) sin nπx dx = −∫1( x − x ) sin nπx dx 1 bn = 2 1− 1   − cos nπx   − sin nπx   cos nπx  = ( x − x 2 )   − (1 − 2 x )   + (−2) 3 3   nπ  nπ  n π  −1 2 2    − 2 cos nπ 2 cos nπ 2 cos nπ = − + 3 3 n 3π 3 nπ nπ n +1 2(−1) bn = ..........................( 4) nπ Substituting (2), (3), (4) in (1) we get 1 ∞ 4(−1) n +1 ∞ 2(−1) n +1 f (x) = − + ∑ cos nπx + ∑ sin nπx 3 n =1 n 2 n =1 nπ We know that r.m.s. value of f(x) in (-l , l) is 1 2 1 ∞ 1 ∞ a o + ∑ a n + ∑ bn 2 2 2 y = ……………….(5) 4 2 n =1 2 n =1 From (2) we get −2 2 4 ao = ⇒ ao = .………………..(6) 3 9 From (3) we get 4( −1) n +1 2 16 an = 2 ⇒ an = 4 ………………..(7) n n From (4) we get 2(−1) n +1 2 4 bn = ⇒ bn = 2 2 ..………………(8) nπ nπ Substituting (6), (7) and (8) in (5) we get 1 1 ∞  16 4  + ∑ 4 + 2 2  2 y = 9 2 n =1  n nπ  5. Find the Fourier series for f (x) = x 2 in − π < x < π . Hence show that 1 1 1 π4 + 4 + 4 + = 14 2 3 90 Solution: The Fourier series of f (x ) in (-1 , 1) is given by π2 ∞ 4(−1) n f (x) = 3 + ∑ n 2 cos nx n =1 14
  • 15.
    The co-efficients ao , a n , bn are 2π 2 4(−1) n ao = , an = , bn = 0 3 n2 Parseval’s theorem is (a ) π ∞ 1 1 2 1 ∫ [ f ( x)] dx = ao + ∑ 2 2 2 n + bn 2π −π 4 2 n =1  ao 2 1 ∞ 2  ( ) π ∫ [x ] + ∑ a n + bn  2 2 dx = 2π  2 ∴ −π  4  2 n =1   π  x5   π 4 1 ∞ 16  i.e.,   5  = 2π   + ∑ 4   −π  9 2 n =1 n  2π 5 2π 5 ∞ 16 i.e., − =π∑ 4 5 9 n =1 n 8π 4 ∞ 16 =∑ 4 45 n =1 n ∞ 1 π4 i.e., ∑ n 4 = 90 n =1 1 1 1 π4 i.e., + 2 + 2 + ∞ = 12 3 5 90 HARMONIC ANALYSIS The process of finding the Fourier series for a function given by numerical value is known as harmonic analysis. In harmonic analysis the Fourier coefficients ao , a n , and bn of the function y = f (x) in (0 , 2 π ) are given by a o = 2[mean value of y in (0 , 2 π )] a n = 2[mean value of y cos nx in (0 , 2 π )] bn = 2[mean value of y sin nx in (0 , 2 π )] (i) Suppose the function f (x) is defined in the interval (0 , 2l), then its Fourier series is, ao ∞ nπx ∞ nπx f (x) = 2 + ∑a n =1 n cos l + ∑ bn sin n =1 l and now, a o = 2[mean value of y in (0 , 2l)]  nπx  a n = 2 mean value of y cos in (0 , 2l )  l  15
  • 16.
    nπx  bn = 2 mean value of y sin in (0 , 2l )  l  (ii) If the half range Fourier sine series of f (x) in (0 , l) is, ∞ nπx f (x) = ∑b n =1 n sin l , then  nπx  bn = 2 mean value of y sin in (0 , l )  l  (iii) If the half range Fourier sine series of f (x) in (0 , π ) is, ∞ nπx f (x) = ∑b n =1 n sin l , then bn = 2[ mean value of y sin nx in (0 , π )] (iv) If the half range Fourier cosine series of f (x) in (0 , l) is, ao ∞ nπx f (x) = + ∑ a n cos , then 2 n =1 l a o = 2[mean value of y in (0 , l)]  nπx  a n = 2 mean value of y cos in (0 , l )  l  (v) If the half range Fourier cosine series of f (x) in (0 , π ) is, ao ∞ nπx f (x) = 2 + ∑a n =1 n cos l , then a o = 2[mean value of y in (0 , π )] a n = 2[ mean value of y cos nx in (0 , π )] . EXAMPLES 1. The following table gives the variations of a periodic function over a period T. 0 T T T 2T 5T T x 6 3 2 3 6 f (x) 1.98 1.3 1.05 1.3 -0.88 -0.25 1.98 2πx Show that f (x ) = 0.75 + 0.37 cos θ +1.004 sin θ , where θ = T Solution: Here the last value is a mere repetition of the first therefore we omit that value and consider the remaining 6 values. ∴ n = 6. 16
  • 17.
    2πx Given θ= ..………………..(1) T T T T 2T 5T π 2π ∴ when x takes the values of 0, , , , , θ takes the values 0, , , 6 3 2 3 6 3 3 4π 5π π, , . (By using (1)) 3 3 Let the Fourier series be of the form ao f ( x) = + a1 cos θ + b1 sin θ , ………………(2) 2 ∑y where a o = 2 ,  n     ∑ y cos θ  a1 = 2 ,  n     ∑ y sin θ  b1 = 2 , n=6  n    θ y cos θ sin θ y cos θ y sin θ 0° 1.98 1.0 0 1.98 0 π 1.30 0.500 0.866 0.65 1.1258 3 2π 3 1.05 -0,500 0.866 -0.525 0.9093 π 1.30 -1 0 -1.3 0 4π 3 -0.88 -0.500 -0.866 0.44 0.762 5π 3 -0.25 0.500 -0.866 -0.125 0.2165 4.6 1.12 3.013 ∑y a o = 2  = 1.5, a1 = 2 ∑ y cos θ = 0.37  6  6   2 b1 = ∑ y sin θ = 1.00456 6 Substituting these values of a o , a1 , and b1 in (2), we get ∴ f (x) = 0.75 + 0.37 cos θ + 1.004 sin θ 2. Find the Fourier series upto the third harmonic for the function y = f (x) defined in (0 , π ) from the table x 0 π 2π 3π 4π 5π π 6 6 6 6 6 17
  • 18.
    f (x) 2.34 2.2 1.6 0.83 0.51 0.88 1.19 Solution: We can express the given data in a half range Fourier sine series. f ( x) = b1 sin x + b2 sin 2 x + b3 sin 3 x ..………………...(1) x y = f(0) sin x sin 2x sin 3x y sin x y sin 2x y sin 3x 0 2.34 0 0 0 0 0 0 30 2.2 0.5 0.87 1 1.1 1.91 2.2 60 1.6 0.87 0.87 0 1.392 1.392 0 90 0.83 1 0 -1 0.83 0 -0.83 120 0.51 0.87 -0.87 0 0.44 -0.44 0 150 0.88 0.5 -0.87 1 0.44 0.76 0.88 180 1.19 0 0 0 0 0 0 4.202 3.622 2.25  ∑ y sin x  1 Now b1 = 2   = [ 4.202] = 1.40   6  3   ∑ y sin 2 x  1 b2 = 2   = [ 3.622] = 1.207   6  3   ∑ y sin 3 x  1 b3 = 2   = [ 2.25] = 0.75   6  3  Substituting these values in (1), we get f (x) = 1.4 sin x + 1.21 sin 2x + 0.75 sin 3x 3. Compute the first two harmonics of the Fourier series for f(x) from the following data x 0 30 60 90 120 150 180 f (x ) 0 5224 8097 7850 5499 2626 0 Solution: Here the length of the interval is π . ∴ we can express the given data in a half range Fourier sine series i.e., f ( x) = b1 sin x + b2 sin 2 x ………………………(1) 18
  • 19.
    x y sin x sin 2x 0 0 0 0 30 5224 .5 0.87 60 8097 0.87 0.87 90 7850 1 0 120 5499 0.87 -0.87 150 2626 0.5 -0.87  ∑ y sin x  Now b1 = 2  = 7867.84   6    ∑ y sin 2 x  b2 = 2   = 1506.84   6   ∴ f (x) = 7867.84 sin x + 1506.84 sin 2x 4. Find the Fourier series as far as the second harmonic to represent the function given in the following data. x 0 1 2 3 4 5 f (x ) 9 18 24 28 26 20 Solution: Here the length of the interval is 6 (not 2 π ) i.e., 2l = 6 or l = 3 ∴ The Fourier series is ao πx 2πx πx 2πx f ( x) = + a1 cos + a 2 cos + b1 sin + b2 sin …………………..(1) 2 3 3 3 3 πx 2πx πx πx 2πx 2πx y cos y sin y cos y sin x 3 3 y 3 3 3 3 0 0 0 9 9 0 9 0 1 π 3 2π 3 18 9 15.7 -9 15.6 2 2π 3 4π 3 24 -12 20.9 -24 0 3 π 2π 28 -28 0 28 0 4 4π 3 8π 3 26 -13 -22.6 -13 22.6 5 5π 3 10 π 3 20 10 -17.4 -10 -17.4 125 -25 -3.4 -19 20.8 19
  • 20.
     ∑ y 2(125) Now a o = 2 = = 41.66,  6  6   2 πx a1 = ∑ y cos = −8.33 6 3 2 πx b1 = ∑ y sin = −1.13 6 3 2 2πx a2 = 6 ∑ y cos 3 = −6.33 2 2πx b2 = 6 ∑ y sin 3 = 6.9 Substituting these values of a o , a1 , b1 , a 2 and b2 in (1), we get 41.66 πx 2πx πx 2πx f ( x) = − 8.33 cos − 6.33 cos − 1.13 sin + 6.9 sin 2 3 3 3 3 COMPLEX FORM OF FOURIER SERIES ∞ The equation of the form f ( x) = ∑c e n = −∞ n inπx l is called the complex form or exponential form of the Fourier series of f (x) in (c , c+2l). The coefficient c n is given by c + 2l 1 ∫ f ( x )e −inπx l cn = dx 2l c When l = π , the complex form of Fourier series of f (x) in (c , c+2 π ) takes the form ∞ f ( x) = ∑c e n = −∞ n inx , where c + 2π 1 ∫ f ( x )e −inx cn = dx. 2π c PROBLEMS 1. Find the complex form of the Fourier series of f (x) = e x in (0 , 2). Solution: Since 2l = 2 or l = 1, the complex form of the Fourier series is ∞ f ( x) = ∑c e n = −∞ n inπx 20
  • 21.
    2 1 c n = ∫ f ( x)e −inπx dx 20 2 1 = ∫ e x e −inπx dx 20 2 1  e ( 1−inπ ) x  =   2  1 − inπ  0 = 1 2(1 − inπ ) {e 2(1−inπ ) − 1} = (1 + inπ ) {e ( cos 2nπ − i sin 2nπ ) − 1} 2 2(1 + n π 2 2 ) = (e 2 − 1)(1 + inπ ) 2(1 + n 2π 2 ) Using this value in (1), we get  e 2 − 1  ∞ (1 + inπ ) inπx  2  ∑ (1 + n 2π 2 ) e ex =     n =−∞ 2. Find the complex form of the Fourier series of f (x) = sin x in (0 , π ). Solution: Here 2l = π or l = π 2 . ∴ The complex form of Fourier series is ∞ f ( x) = ∑c e n = −∞ n i 2 nx …………………..(1) π 1 c n = ∫ sin xe −i 2 nx dx π 0 π 1  e −i 2 nx  =  { − i 2n sin x − cos x}  π 1 − 4n 2 0 = 1 π ( 4n − 1) 2 [ − e i 2 nx − 1 = − ] 2 π ( 4n 2 − 1) Using this value in (1), we get 2 ∞ 1 sin x = − ∑ 4n 2 − 1 .e i 2nx π n =−∞ in (0 , π ) 3. Find the complex form of the Fourier series of f (x) = e − ax in (-l , l). Solution: 21
  • 22.
    Let the complexform of the Fourier series be ∞ f ( x) = ∑c e n = −∞ n inπx l l 1 c n = ∫ f ( x)e −inπx l dx 2l −l l 1 = ∫ e − ax e −inπx l dx 2l −l l 1 = ∫ e −( al +inπ ) x / l dx 2l −l l 1  e −( al +inπ ) x l  =   2l  − ( al + inπ ) l  −l = 1 2( al + inπ ) [ e −( al +inπ ) − e ( al +inπ ) ] = 2 1 ( al + inπ ) [ e al (−1) n − e − al (−1) n ] [ e ± inπ = cos nπ ± i sin nπ = (−1) n ] sinh al (−1) n = al + inπ sinh al.( al − inπ ) (−1) n = a 2 l 2 + n 2π 2 Using this value in (1), we have ∞ (−1) n ( al − inπ ) inπx l e − ax = sinh al ∑ 22 2 2 e n = −∞ a l + n π in (-l , l) 4. Find the complex form of the Fourier series of f (x) = cos ax in (- π , π ), where a is neither zero nor an integer. Solution: Here 2l = 2 π or l = π . ∴ The complex form of Fourier series is ∞ f ( x) = ∑c e n = −∞ n inx ………………….(1) 22
  • 23.
    π 1 ∫π cos ax.e − inx cn = dx 2π − π 1  e −inx  =  2 { − in cos ax + a sin ax}  2π  a − n 2  −π = 1 2π ( a − n 2 ) 2 [ e −inπ ( − in cos aπ + a sin aπ ) − e inπ ( − in cos aπ − a sin aπ ) ] 1 = (−1) n 2a sin aπ 2π ( a − n ) 2 2 Using this value in (1), we get a sin aπ ∞ (−1) n inx cos ax = π ∑ n = −∞ a2 − n2 e in (- π , π ). UNIT 2 PART – A 1. Determine the value of a n in the Fourier series expansion of f ( x) = x 3 in − π < x < π . Ans: f ( x) = x 3 is an odd function. ∴ an = 0 2. Find the root mean square value of f ( x) = x 2 in the interval (0 , π ) . Ans: RMS Vale of f ( x ) = x 2 in (0 , π ) is π π π 1  x5  ∫ [x ] 2 1 2 2 1 y = dx = ∫ x 4 dx =   π 0 π 0 π 5   0 1 π 5  π 4 = = π5  5   3. Find the coefficient b5 of cos 5 x in the Fourier cosine series of the function f ( x ) = sin 5 x in the interval (0 , 2π ) Ans: Here f ( x) = sin 5 x Fourier cosine series is 23
  • 24.
    ao f (x) = 2 + ∑a n =1 n cos nx , where π π 2 2 an = ∫ f ( x) cos nx dx = π ∫ sin 5 x cos nx dx π 0 0 π 2 = 2π ∫ [ sin(5 + n) x + sin(5 − n) x] dx 0 π − 1  cos(5 + n) x cos(5 − n) x  = + =0 π  5+n  5 − n 0  cos x, if 0 < x < π 4. If f ( x) =  and f ( x) = f ( x + 2π ) for all x, find the sum of the Fourier 50, if π < x ≤ 2π series of f (x ) at x = π . Ans: Here π is a point of discontinuity. ∴ The sum of the Fourier series is equal to the average of right hand and left hand limit of the given function at x = π . f (π − 0) + f (π + 0) i.e., f (π ) = 2 cos π + 50 49 = = 2 2 5. Find bn in the expansion of x 2 as a Fourier series in (−π , π ) . Ans: bn = 0 Since f ( x) = x 2 is an even function in (−π , π ) . 6. If f (x) is an odd function defined in (-l , l) what are the values of a 0 Ans: a0 = 0 a n = 0 since f (x) is an odd function. 7. Find the Fourier constants bn for x sin x in (−π , π ) . Ans: bn = 0 Since f ( x) = x sin x is an even function in (−π , π ) . 24
  • 25.
    8. State Parseval’sidentity for the half-range cosine expansion of f (x ) in (0 , 1). Ans: 1 2 ∞ a0 2 ∫ [ f ( x)] dx = + ∑ an 2 2 0 2 n =1 where 1 a 0 = 2 ∫ f ( x) dx 0 1 a n = 2 ∫ f ( x) cos nx dx 0 9. Find the constant term in the Fourier series expansion of f ( x ) = x in (−π , π ) . Ans: a 0 = 0 since f (x ) is an odd function in (−π , π ) . 10. State Dirichlet’s conditions for Fourier series. Ans: (i) f (x) is defined and single valued except possibly at a finite number of points in (−π , π ) . (ii) f (x) is periodic with period 2 π . (iii) f (x) and f ′(x) are piecewise continuous in (−π , π ) . Then the Fourier series of f (x ) converges to (a) f (x) if x is a point of continuity f ( x + 0) + f ( x − 0) (b) if x is a point of discontinuity. 2 11. What you mean by Harmonic Analysis? Ans: The process of finding the Fourier series for a function given by numerical value is known as harmonic analysis. In harmonic analysis the Fourier coefficients ao , a n , and bn of the function y = f (x) in (0 , 2 π ) are given by a o = 2[mean value of y in (0 , 2 π )] a n = 2[mean value of y cos nx in (0 , 2 π )] bn = 2[mean value of y sin nx in (0 , 2 π )] 25
  • 26.
     2x 1 + π , − π < x < 0  12. In the Fourier expansion of f ( x) =  in (−π , π ) . Find the value of bn , 1 − 2 x , 0 < x < π  π  the coefficient of sin nx. Ans: Since f (x) is an even function the value of bn = 0.  2( − x) 2x   In − π ≤ x ≤ 0 i.e., 0 ≤ − x ≤ π , f (− x ) = 1 − π = 1 + π = f ( x )   13. What is the constant term and the coefficient of cos nx, a n in the Fourier expansion of f ( x) = x − x 3 in (-7 , 7)? Ans: Given f ( x) = x − x 3 f ( − x ) = − x + x 3 = −( x − x 3 ) = − f ( x ) The given function is an odd function. Hence a 0 and a n are zero. 14. State Parseval’s identity for full range expansion of f (x ) as Fourier series in (0 , 2l). Ans: c + 2l 2 2 2 1 ∞ ∞ ∫ [ f ( x)] dx. = ao + ∑ a n + ∑ bn . 2 2l c 4 n =1 2 n =1 2 where c + 2l 1 nπx an = l ∫ c f ( x) cos l dx, n ≥ 0 c + 2l 1 nπx bn = l ∫ c f ( x) sin l dx, n ≥ 1 15. Find a Fourier sine series for the function f (x ) = 1; 0 < x < π . Ans: ∞ The Fourier sine series of f ( x) = ∑ bn sin nx …………………….(1) n =1 26
  • 27.
    π 2 bn = π ∫ f ( x) sin nx dx 0 π π 2  − cos nx  2 = ∫ sin nx dx =  π 0 π  n 0  =− 2 nπ ( (−1) n − 1) bn = 0, when ' n' is even 4 = , when ' n' is odd nπ ∞ 4 ∴ f ( x) = ∑ . sin nπ n =1, 3, 5, nπ 0 0< x<π 16. If the Fourier series for the function f ( x ) =  is sin x 0 < x < 2π − 1 2  cos 2 x cos 4 x  1 1 1 1 π −2 f ( x) = +  + +  + sin x Deduce that − + − ∞ = . π π  1.3 3.5  2 1.3 3.5 5.7 4 Ans: π Putting x = we get 2  π  −1 2  1 1 1  1 f = + − + − +  ∞ +  2  π π  1.3 3.5 5.7  2 −1 2  1 1 1  1 0= + − + − + ∞ + π π  1.3 3.5 5.7  2 1 1 1 π −2 − + − ∞ = . 1.3 3.5 5.7 4 17. Define Root mean square value of a function? Ans: c +2 l 1 ∫y 2 If a function y = f (x ) is defined in (c , c+2l), then dx is called the root mean- 2l c square(R.M.S.) value of y in (c , c+2l) and is denoted by y. 27
  • 28.
    c + 2l 2 1 Thus y = ∫y 2 dx. 2l c 18. If f ( x) = x 2 + x is expressed as a Fourier series in the interval (-2 , 2), to which value this series converges at x = 2. Ans: Since x = 2 is a point of continuity, the Fourier series converges to the arithmetic mean of f (x) at x = -2 and x = 2 f (2) + f (−2) 4 − 2 + 4 + 2 i.e., = =4 2 2 19. If the Fourier series corresponding to f ( x ) = x in the interval (0 , 2π ) is a0 ∞ + ∑ (a n cos nx + bn sin nx), without finding the values of a 0, a n , bn find the value of 2 n =1 2 ∞ a0 + ∑ (a n + bn ). 2 2 2 n =1 Ans: By using Parseval’s identity, 2 2π 2π a0 ∞ 1 1  x3  8 + ∑ (a n + bn ) = ∫ x 2 dx =   = π 2 . 2 2 2 π 0  3  π  0 3 n =1 20. Find the constant term in the Fourier series corresponding to f ( x) = cos 2 x expressed in the interval (−π , π ) . Ans: Given f ( x) = cos 2 x π π π 1 1  1 + cos 2 x  1 sin 2 x  Now a 0 = ∫π cos x dx = π −∫π  2 dx = π  x + 2  0 = 1 2 π −     PART B 1. (i) Express f ( x) = x sin x as a Fourier series in 0 ≤ x ≤ 2π . 28
  • 29.
    2l  πx1 2πx 1 3πx  (ii) Show that for 0 < x <l, x =  sin − sin + sin  . Using root mean square p l 2 l 3 l  1 1 1 value of x, deduce the value of 2 + 2 + 2 + 1 2 3 2. (i) Find the Fourier series of periodicity 3 for f ( x ) = 2 x − x 2 in 0 < x < 3. (ii) Find the Fourier series expansion of period 2 π for the function y = f (x) which is defined in (0 , 2π ) by means of the table of values given below. Find the series upto the third harmonic. x 0 π 2π π 4π 5π 2π 3 3 3 3 f (x ) 1.0 1.4 1.9 1.7 1.5 1.2 1.0 3.(i) Find the Fourier series of periodicity 2 π for f ( x) = x 2 for 0 < x < 2 π . l 4l  πx 1 3πx  (ii) Show that for 0 < x <l, x = −  cos + 2 cos +  . Deduce that 2 π2  l 3 l  1 1 1 π4 + 4 + 4 + = . 14 3 5 96 l − x, 0 < x ≤ l 4. (i) Find the Fourier series for f ( x) =  . Hence deduce the sum to infinity of 0, l ≤ x ≤ 2l ∞ 1 the series ∑ (2n + 1) n =0 2 . (ii) Find the complex form of Fourier series of f ( x ) = e ax (−π < x < π ) in the form sinh aπ ∞ a + in inx π ∞ (−1) n e ax = π ∑ (−1) n −∞ a2 + n2 e and hence prove that =∑ 2 a sinh aπ −∞ n + a 2 . 5. Obtain the half range cosine series for f ( x) = x in (0 , π ). 6. Find the Fourier series for f ( x) = cos x in the interval (−π , π ) . 1 1 π3 7. (i) Expanding x(π − x) as a sine series in (0 , π ) show that 1 − + 3 + = . 33 5 32 (ii) Find the Fourier series as far as the second harmonic to represent the function given in the following data. x 0 1 2 3 4 5 29
  • 30.
    f (x ) 9 18 24 28 26 20 8. Obtain the Fourier series for f (x ) of period 2l and defined as follows  L + x in ( − L,0) f ( x) =   L − x in (0, L) 1 1 1 π2 Hence deduce that + 2 + 2 + = . 12 3 5 8 9. Obtain the half range cosine series for f ( x) = x in (0 , π ). 1 in (0, π ) 10. (i) Find the Fourier series of f ( x ) =  2 in (π ,2π ) (ii) Obtain the sine series for the function  l  x in 0 ≤ x ≤ 2  f ( x) =  l − x in l ≤ x ≤ l   2 11. (i) Find the Fourier series for the function 0 in (−1, 0) f ( x) =  and f ( x + 2) = f ( x ) for all x. 1 in (0, 1) (ii) Determine the Fourier series for the function πx, 0 ≤ x ≤1 f ( x) =  π (2 − x ), 1 ≤ x ≤ 2 12. Obtain the Fourier series for f ( x ) = 1 + x + x 2 in (−π , π ) . Deduce that 1 1 1 π2 + 2 + 2 + = . 12 2 3 6 13. Obtain the constant term and the first harmonic in the Fourier series expansion for f (x) where f (x) is given in the following table. x 0 1 2 3 4 5 6 7 8 9 10 11 f (x) 18. 18. 17. 15. 11. 8.3 6. 5. 6. 9. 12. 15.7 0 3 4 0 4 0 7 6 0 6 14. (i) Express f ( x) = x sin x as a Fourier series in (−π , π ). 30
  • 31.
    (ii) Obtain thehalf range cosine series for f ( x) = ( x − 2) 2 in the interval 0 < x < 2. 15. Find the half range sine series of f ( x) = x cos x in (0 , π ). 16. (i) Find the Fourier series expansion of f (x ) = e − x in (−π , π ) (ii) Find the half-range sine series of f (x ) = sin ax in (0 , l). 17. Expand f (x ) = x - x 2 as a Fourier series in -1 < x < 1 and using this series find the r.m.s. value of f (x) in the interval. 18. The following table gives the variations of a periodic function over a period T. 0 T T T 2T 5T T x 6 3 2 3 6 f (x) 1.98 1.3 1.05 1.3 -0.88 -0.25 1.98 2πx Show that f (x ) = 0.75 + 0.37 cos θ +1.004 sin θ , where θ = T 19. Find the Fourier series upto the third harmonic for the function y = f (x) defined in (0 , π ) from the table x 0 π 2π 3π 4π 5π π 6 6 6 6 6 f (x) 2.34 2.2 1.6 0.83 0.51 0.88 1.19 20. (i) Find the half-range (i) cosine series and (ii) sine series for f (x ) = x 2 in (0 , π ) (ii) Find the complex form of the Fourier series of f (x) = cos ax in (- π , π ). 31