CHAPTER 4
                              FOURIER TRANSFORMS
INTEGRAL TRANSFORM
                                                                              b

       The integral transform of a function f (x ) is defined by              ∫ f ( x).k (s , x)dx where
                                                                              a

       k(s , x) is a known function of s and x and it is called the kernel of the transform.
       When k(s , x) is a sine or cosine function, we get transforms called Fourier sine or
cosine transforms.

FOURIER INTEGRAL THEOREM

       If f (x) is a given function defined in (-l , l) and satisfies Dirichlet’s conditions, then
                           ∞ ∞
                             1
                            π ∫ −∫
                f ( x) =           f (t ) cos λ (t − x) dt dλ
                               0 ∞

At a point of discontinuity the value of the integral on the left of above equation is
1
  { f ( x + 0) − f ( x − 0)}.
2

EXAMPLES
                                 1 for x ≤ 1
                                 
1. Express the function f ( x) =                as a Fourier Integral. Hence evaluate
                                 0 for x > 1
                                 
∞                                       ∞
  sin λ cos λx                            sin λ
∫ λ
0
               dλ and find the value of ∫
                                        0
                                            λ
                                                dλ .


Solution:
       We know that the Fourier Integral formula for f (x) is
                              ∞ ∞
                          1
                 f ( x) =
                          π   ∫ ∫ f (t ) cos λ (t − x) dt dλ
                              0 −∞
                                                                                         ……………….(1)

       Here      f (t ) = 1 for      t ≤ 1          i.e.,   f(t) = 1 in -1 < t < 1
                 f (t ) = 0 for t > 1
                 f (t ) = 0 in − ∞ < t < −1 and 1 < t < ∞
                                             ∞ 1
                                         1
∴ Equation (1) ⇒              f ( x) =
                                         π   ∫ ∫ cos λ (t − x) dt dλ
                                             0 −1


                                             ∞                   1
                                         1  sin λ (t − x) 
                                         π ∫
                                     =                     dλ
                                           0
                                                  λ         −1
                                             ∞
                                         1 sin λ (1 − x) − sin λ (−1 − x)
                                         π∫
                                     =                                    dλ
                                          0
                                                          λ
                                             ∞
                                      1 sin λ (1 − x) + sin λ (1 + x )
                                     = ∫                               dλ
                                      π 0             λ


                                                                                                           1
∞
                                             2 sin λ cos λx
                                             π∫
                                ∴ f ( x) =                  dλ                        .………………(2)
                                              0
                                                     λ

                                                      [Using sin (A+B) + sin (A-B) = 2 sin A cos B]

This is Fourier Integral of the given function. From (2) we get

                        ∞
                          sin λ cos λx                 π
                        ∫
                        0
                                λ
                                       dλ =
                                                       2
                                                         f ( x)                      ……………….(3

                                                      
                                                      1 for x ≤ 1
                                  But        f ( x) =                               ………………..(4)
                                                      0 for x > 1
                                                      
Substituting (4) in (3) we get

                                                π
                            ∞
                              sin λ cos λx         for x ≤ 1
                            ∫ λ            dλ =  2
                            0                   0 for x > 1
                                                
                       ∞
                          sin λ      π
Putting x = 0 we get   ∫0
                            λ
                                dλ =
                                     2

2. Find the Fourier Integral of the function
                                  0     x<0
                                  1
                                  
                         f ( x) =        x=0
                                  2
                                  e − x x > 0
                                  
Verify the representation directly at the point x = 0.
Solution:
       The Fourier integral of f (x) is
                                ∞ ∞
                            1
                 f ( x) =
                            π   ∫ ∫ f (t ) cos λ (t − x) dt dλ
                                0 −∞
                                                                                       ……………….(1)

                        1                                                          
                          ∞   0                            ∞
                       =  ∫ −∫∞
                        π 0
                                 f (t ) cos λ (t − x )dt + ∫ f (t ) cos λ (t − x)dt d λ
                                                           0                        
                        1                                                     
                          ∞   0                         ∞
                       = ∫  ∫ 0. cos λ (t − x)dt + ∫ e −t cos λ (t − x)dt dλ
                        π 0 − ∞                        0                      
                          ∞                                                    ∞
                        1  e −t
                       = ∫ 2     [ − cos( λt − λx ) + λ sin(λt − λx)]  dλ
                                                                       
                        π 0 λ +1                                      0

                                  ∞
                                1 cos λx + λ sin λx
                                π∫
                   f (x) =                          dλ                                     ……….………(2)
                                 0     λ2 + 1




                                                                                                      2
Putting x = 0 in (2), we get
                             ∞
                           1
                  f (0) = ∫ 2
                                 1
                          π 0 λ +1
                                           1
                                     d λ = tan −1 ( λ ) 0
                                           π
                                                        ∞
                                                            [           ]
                           1
                                     [
                        = tan −1 ( ∞ ) − tan −1 (0)
                          π
                                                                  ]
                           1 π  1
                        =  =
                          π 2 2
                                             1
The value of the given function at x = 0 is . Hence verified.
                                             2

FOURIER SINE AND COSINE INTEGRALS

       The integral of the form
                             2∞       ∞
                    f ( x) = ∫ sin λx ∫ f (t ) sin λt dt dλ
                            π0        0

is known as Fourier sine integral.

        The integral of the form
                                ∞      ∞
                              2
                     f ( x) = ∫ cos λx ∫ f (t ) cos λt dt dλ
                             π 0       0



is known as Fourier cosine integral.

PROBLEMS

1. Using Fourier integral formula, prove that

                                               2(b 2 − a 2 ) ∞       u sin xu
                                                             ∫ (u 2 + a 2 )(u 2 + b 2 ) du (a, b > 0)
                         − ax        − bx
                     e          −e           =
                                                    π        0



Solution:
       The presence of sin xu in the integral suggests that the Fourier sine integral formula
has been used.
       Fourier sine integral representation is given by

                                         ∞          ∞
                              2
                      f ( x) = ∫ sin ux ∫ f (t ) sin ut dt du
                              π 0       0


                                               ∞
                                                           ∞                               
                                                 sin ux du  ∫ ( e − at − e −bt ) sin ut dt 
                                             2
                    e − ax − e −bx =           ∫
                                             π 0           0                               




                                                                                                        3
∞                                                                                        ∞
                                       2                           e − at                                − bt
                                                                                                                                      
                                      = ∫ sin ux du                2        { − a sin ut − u cos ut} − 2e 2 { − b sin ut − u cos ut} 
                                       π 0                        a + u
                                                                           2
                                                                                                       b +u                           0
                                              ∞
                                           2              u               u 
                                      =      ∫ sin ux du  a 2 + u 2 − b 2 + u 2 
                                           π 0                                  
                                                              ∞
                                        2(b 2 − a 2 )         u sin ux
                                      =
                                             π        ∫ (u 2 + a 2 )(u 2 + b 2 ) du
                                                      0


2. Using Fourier integral formula, prove that

                                        2
                                              ∞
                                                  (λ   2
                                                           + 2 ) cos xλ
                                              ∫                         dλ
                           −x
                       e        cos x =
                                        π     0            λ2 + 4

Solution:
       The presence of cos xλ in the integral suggests that the Fourier cosine integral
formula for e − x cos x has been used.
       Fourier cosine integral representation is given by

                                       ∞               ∞
                                     2
                                     π∫
                       f ( x) =          cos λx ∫ f (t ) cos λt dt dλ
                                       0        0



                              2∞           ∞ − t                
             ∴e   −x
                       cos x = ∫ cos xλ dλ  ∫ e cos t cos λt dt 
                              π 0          0                    

                                     2
                                       ∞
                                                   1 ∞                                      
                                 =     ∫ cos xλ dλ  ∫ e −t { cos(λ + 1)t + cos(λ − 1)t } dt 
                                     π 0           2 0                                      

                                       ∞
                                                    
                                 =
                                     2
                                     π 0            
                                                          1          −t
                                                                             [
                                       ∫ cos xλ dλ  (λ + 1) 2 + 1 e { − cos(λ + 1)t + (λ + 1) sin(λ + 1)t}            ]   ∞
                                                                                                                           0
                                                    
                                          +
                                                  1
                                             (λ − 1) + 1
                                                     2
                                                                    [
                                                         e −t { − cos(λ − 1)t + (λ − 1) sin(λ − 1)t } 0
                                                                                                      ∞
                                                                                                              ]   )
                                     ∞
                                   1         1           1     
                                  = ∫              +            cos xλ dλ
                                   π 0  (λ + 1) + 1 (λ − 1) + 1
                                                2           2




                                          ∞
                                   2 (λ2 + 2) cos xλ
                                  = ∫                dλ.
                                   π 0   λ2 + 4




COMPLEX FORM OF FOURIER INTEGRALS


                                                                                                                           4
The integral of the form

                                ∞              ∞
                            1
                                ∫    e − iλx   ∫ f (t ) e
                                                             iλt
                f ( x) =                                           dt d λ
                           2π   −∞             −∞


is known as Complex form of Fourier Integral.

FOURIER TRANSFORMS
COMPLEX FOURIER TRANSFORMS
                                        ∞
                                    1
         The function F [ f ( x)] =     ∫∞ f (t ).e dt is called the Complex Fourier transform
                                                   ist

                                    2π −
of f (x ) .

INVERSION FORMULA FOR THE COMPLEX FOURIER TRANSFORM
                               ∞
                           1
                               ∫∞F [ f ( x)].e ds is called the inversion formula for the
                                              −isx
     The function f ( x) =
                           2π −
Complex Fourier transform of F [ f ( x)] and it is denoted by F −1 [ F ( f ( x))].

FOURIER SINE TRANSFORMS
                                                        ∞
                                    2
       The function FS [ f ( x )] =                     ∫ f (t ).sin st dt      is called the Fourier Sine Transform of
                                    π                   0

the function f (x ) .

                                               ∞
                             2
       The function f ( x) =
                             π                 ∫ F [ f ( x)]. sin sx ds is called the inversion formula for the
                                               0
                                                    S


Fourier sine transform and it is denoted by FS
                                                                       −1
                                                                            [ FS ( f ( x))].
FOURIER COSINE TRANSFORMS
                                    ∞
                                  2
      The function FC [ f ( x)] =
                                  π ∫
                                      f (t ). cos st dt is called the Fourier Cosine
                                    0

Transform of f (x) .
                                               ∞
                             2
       The function f ( x) =
                             π                 ∫ F [ f ( x)]. cos sx ds
                                               0
                                                    C                               is called the inversion formula for the

Fourier Cosine Transform and it is denoted by FC
                                                                               −1
                                                                                    [ FC ( f ( x))].
PROBLEMS

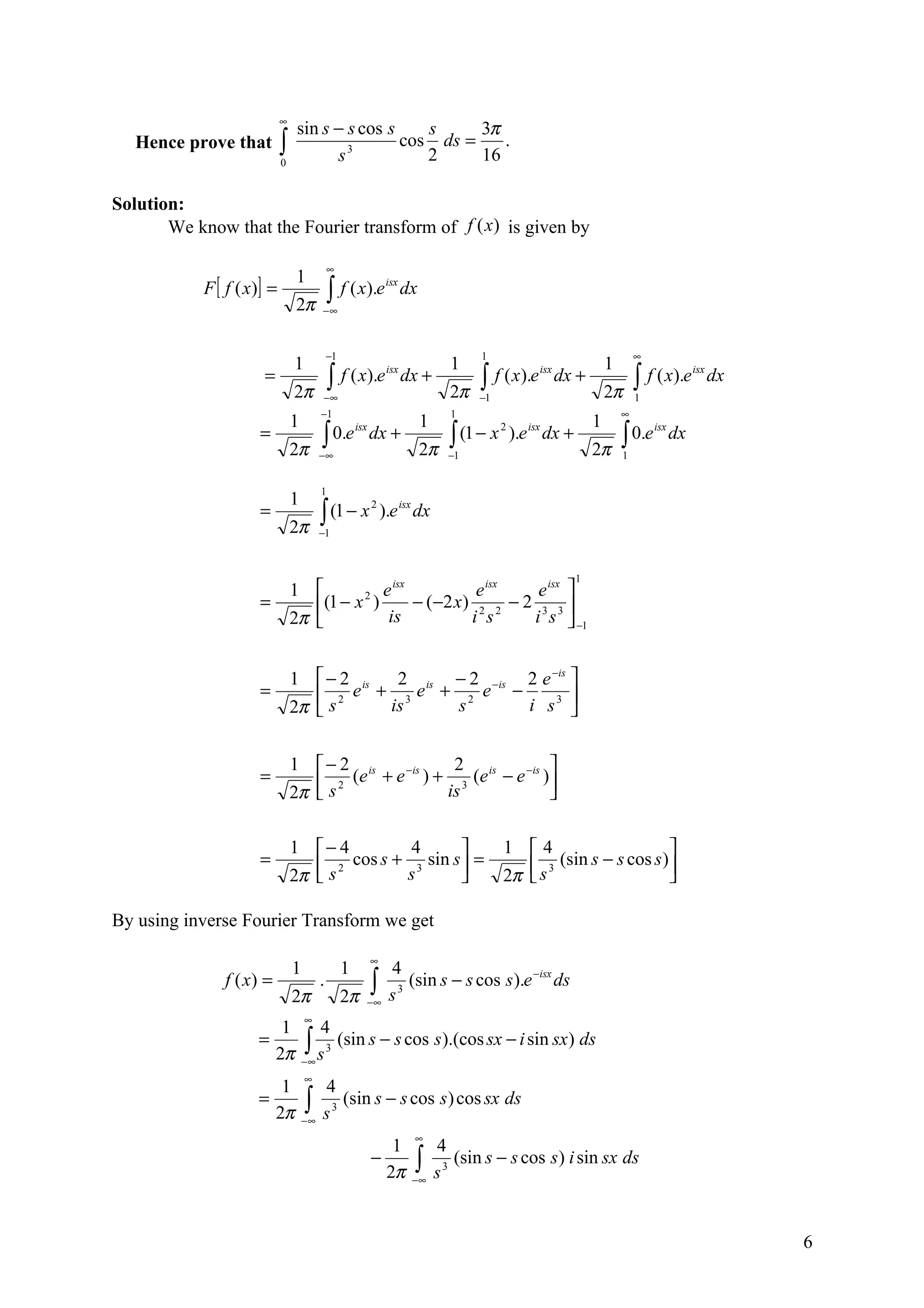
1. Find the Fourier Transform of
                  1 − x 2 in x ≤ 1
                  
         f ( x) = 
                  0
                          in x > 1




                                                                                                                          5
∞
                                 sin s − s cos s    s     3π
   Hence prove that         ∫
                            0          s 3
                                                 cos ds =
                                                    2     16
                                                             .


Solution:
       We know that the Fourier transform of f (x) is given by

                                             ∞
                                 1
           F [ f ( x )] =                    ∫ f ( x).e
                                                            isx
                                                                  dx
                                 2π      −∞



                                             −1                                   1                                      ∞
                                1                                            1                                  1
                      =                      ∫ f ( x).e           dx +            ∫ f ( x).e         dx +                ∫ f ( x).e
                                                            isx                                isx                                      isx
                                                                                                                                              dx
                                2π       −∞                                  2π   −1                            2π       1
                                         −1                                  1                                      ∞
                                1                                      1                                    1
                     =                   ∫ 0.e dx +                          ∫ (1 − x ).e dx +                      ∫ 0.e
                                              isx                                    2   isx                                 isx
                                                                                                                                   dx
                                2π       −∞                            2π    −1                             2π       1


                                         1
                                1
                     =                   ∫ (1 − x
                                                       2
                                                           ).e isx dx
                                2π       −1



                                                                                                       1
                                1              e isx            e isx   e isx 
                     =              (1 − x 2 )       − ( −2 x ) 2 2 − 2 3 3 
                                2π              is             i s     i s  −1


                                1  − 2 is  2 is − 2 −is 2 e −is 
                     =              2 e + 3e + 2 e −            
                                2π  s     is    s       i s3 


                                1  − 2 is             2                
                     =             s   (e + e −is ) + 3 (e is − e −is )
                                2π 
                                      2
                                                      is                

                                1 − 4           4                                    1 4                       
                     =              s 2 cos s + s 3 sin s  =                             s 3 (sin s − s cos s )
                                2π                                                   2π                        

By using inverse Fourier Transform we get

                                                       ∞
                                1                 1         4
               f ( x) =
                                2π
                                         .
                                                  2π
                                                       ∫
                                                       −∞   s 3
                                                                (sin s − s cos s ).e −isx ds

                                    ∞
                           1             4
                     =
                          2π        ∫s
                                    −∞
                                             3
                                                  (sin s − s cos s ).(cos sx − i sin sx ) ds

                                    ∞
                           1             4
                     =
                          2π        ∫
                                    −∞   s3
                                            (sin s − s cos s ) cos sx ds

                                                                   ∞
                                                          1                4
                                                       −
                                                         2π        ∫
                                                                   −∞      s3
                                                                              (sin s − s cos s ) i sin sx ds



                                                                                                                                                   6
The second integral is odd and hence its values is zero.

                                  ∞
                              2 sin s − s cos s
                              π −∫
          ∴        f ( x) =                     cos sx ds
                                 ∞    s3
                                  ∞
                             4 sin s − s cos s
                            = ∫                cos sx ds
                             π 0     s3

          ∞
            sin s − s cos s            π
 i.e.,    ∫
          0        s 3
                            cos sx ds = f ( x)
                                       4
             1
Putting x = , we get
             2
         ∞
             sin s − s cos s     s     π  1  π  1  3π
         ∫0         s  3
                             cos ds =
                                 2
                                         f   = 1 −  =
                                        4  2  4  4  16
                                                           .

          ∞
              sin s − s cos s    s     3π
          ∫
          0         s 3
                              cos ds =
                                 2     16
                                          .


2. Find the Fourier sine transform of e − x , x ≥ 0 (or) e − x , x > 0. Hence evaluate
    ∞
      x sin mx
    ∫ 1 + x 2 dx.
    0

Solution:
       The Fourier sine transform of f(x) is given by

                                          ∞
                              2
              FS [ f ( x )] =             ∫ f ( x).sin sx dx
                              π           0
         −x        −x
Here e        =e        for x > 0

                                      ∞
                   [ ]
              FS e − x =
                                  2
                                  π   ∫e
                                              −x
                                                   . sin sx dx
                                      0

                              2 s                                ∞ − ax             b 
                            =                                     ∫ e sin bx dx = 2     
                              π s2 +1                            0               a + b2 
Using inverse Fourier sine transform we get

                                  ∞

                                  ∫ F [e ]. sin sx ds
                              2               −x
              f ( x) =                s
                              π   0


                                  ∞
                              2           2     s
                        =
                              π   ∫
                                  0
                                            . 2
                                          π s +1
                                                  . sin sx ds

                              ∞
                            2      s
                        =     ∫ s 2 + 1 sin sx ds
                            π 0


                                                                                             7
∞
                 π              s
      i.e.,        f ( x) = ∫ 2    . sin sx ds
                 2          0 s +1
                ∞
                      s. sin sx     π
      i.e.,     ∫0     s +1
                         2
                                ds = e − x
                                    2

Replacing x by m we get

                         ∞
                             s. sin ms     π
              i.e.,      ∫
                         0    s +1
                                 2
                                       ds = e − m
                                           2

                         ∞
                             x. sin mx     π
              i.e.,      ∫
                         0    x +1
                                 2
                                       dx = e −m
                                           2
                                                                      [since s is dummy variable, we can replace it by x]


                                                                      e − ax
3. Find the Fourier cosine transform of                                      .
                                                                        x
Solution:
                                                                 ∞
                                                             2
              We know that FC [ f ( x )] =                       ∫ f ( x). cos sx dx
                                                             π   0
                                            − ax
                                        e
Here                         f ( x) =              .
                            x
                                                   ∞
                            2                        e − ax
          ∴ FC [ f ( x )] =                        ∫ x . cos sx dx
                            π                      0



Let                   FC [ f ( x)] = F ( s )

                                                   ∞
                                            2        e − ax
Then                         F (s) =
                                            π      ∫ x . cos sx dx
                                                   0
                                                                                                                   ………………(1)


Differentiating on both sides w.r.t. ‘s’ we get,

                                                       ∞
                       dF ( s ) d 2                      e − ax
                        ds
                               =
                                 ds π                  ∫ x . cos sx dx
                                                       0
                                         ∞
                                        2 ∂  e −ax       
                                =        ∫ ∂s  x . cos sxdx
                                        π0               
                                             ∞                                       ∞
                                        2 e −ax                  2 − ax
                                =        ∫ x (− sin sx).x dx = − π ∫ e sin sx dx
                                        π0                         0

                       dF ( s )    2     s                                      ∞
                                                                                                                b 
                                                                                 ∫e
                                                                                         − ax
                                =−   . 2                                                      sin bx dx =          
                        ds         π a + s2                                     0                            a + b2 
                                                                                                               2




Integrating w.r.t. ‘s’ we get


                                                                                                                               8
2      s
            F (s) = −      .∫ 2   ds
                         π s + a2

                        2 1                        1
                 =−      . . log ( s 2 + a 2 ) = −    . log ( s 2 + a 2 )
                        π 2                        2π

                                                                 e − ax − e −bx
4. Find the Fourier cosine transform of                                         .
                                                                        x
Solution:
       We know that the Fourier cosine transform of f(x) is

                                            ∞
                                      2
               FC [ f ( x )] =              ∫ f ( x). cos sx dx
                                      π         0
                                     − ax
                                 e          − e −bx
Here                 f ( x) =
                                            x

                                            ∞
         e − ax − e −bx   2                 e − ax − e − bx
   ∴ FC 
                x
                         =
                           π               ∫ x . cos sx dx
                                            0


                                            ∞                                  ∞
                             2                e − ax          2 e −bx
                           =
                             π              ∫ x . cos sx dx − π ∫ x cos sx dx
                                            0                   0




                                 e −ax        e −bx 
                           = Fc         − Fc        
                                 x            x 

                                            1                             1
                           =−                       log ( s 2 + a 2 ) +            log ( s 2 + b 2 )
                                            2π                            2π


                                      1       s2 + b2 
                           =             log  2
                                              s + a2 
                                      2π              

                                                            e − as
5. Find f (x) , if its sine transform is                           . Hence deduce that the inverse sine
                                                              s
               1
transform of     .
               s
Solution:
       We know that the inverse Fourier sine transform of FS [ f (x )] is given by
                                                ∞
                              2
                     f ( x) =
                              π                 ∫ F [ f ( x)]. sin sx ds
                                                0
                                                    S


                                 e − as
Here           FS [ f ( x )] =
                                   s


                                                                                                          9
∞
                                      2     e − as
            ∴          f ( x) =
                                      π   ∫ s . sin sx ds
                                          0



Differentiating w.r.t. ‘x’ on both sides, we get,

                 d [ f ( x )]
                                              ∞
                                2               e − as ∂
                     dx
                              =
                                π             ∫ s . ∂x (sin sx) ds
                                              0
                                               ∞                                    ∞
                                          2      e − as            2 − as
                                  =
                                          π    ∫ s . cos sx s ds = π ∫ e . cos sx ds
                                               0                     0

                                          2    a                   ∞ −ax              a 
                                  =                                ∫ e cos bx dx = 2     
                                          π a + x2
                                             2
                                                                   0               a + b2 
                  d [ f ( x )]   2    a
                               =
                      dx         π x + a2
                                    2


                                              2       1            2 1    −1  x 
                  ∴ f ( x) = a
                                              π ∫ x 2 + a 2 dx = a π a tan  a 
                                                                              
                                          2         x
                  ∴ f ( x) =                tan −1  
                                          π        a
                                                                   1
To find the inverse Fourier sine transform of                        :
                                                                   s
           Put a = 0, in (1), we get

                         2              2 π  π
            f ( x) =       tan −1 (∞) =  . =
                         π              π 2  2

PROPERTIES

 1. Linearity Property
       If F(s) and G(s) are the Fourier transform of f (x ) and g (x) respectively then
                 F [ a f ( x ) + b g ( x)] = a F ( s) + b G ( s )
Proof:
                                            ∞
                                       1
        F [ a f ( x) + b g ( x)] =          ∫∞[ a f ( x) + b g ( x)] e dx
                                                                      isx

                                       2π −

                                                   ∞                                     ∞
                                              1                                 1
                                      =            ∫ a f ( x).e dx +                     ∫ b g ( x).e
                                                               isx                                      isx
                                                                                                              dx
                                              2π   −∞                           2π      −∞



                                                   ∞                                ∞
                                              a                             b
                                      =            ∫    f ( x).e isx dx +           ∫ g ( x).e
                                                                                                 isx
                                                                                                       dx
                                              2π   −∞                       2π      −∞



                                      = a F ( s ) + b G ( s)



                                                                                                                   10
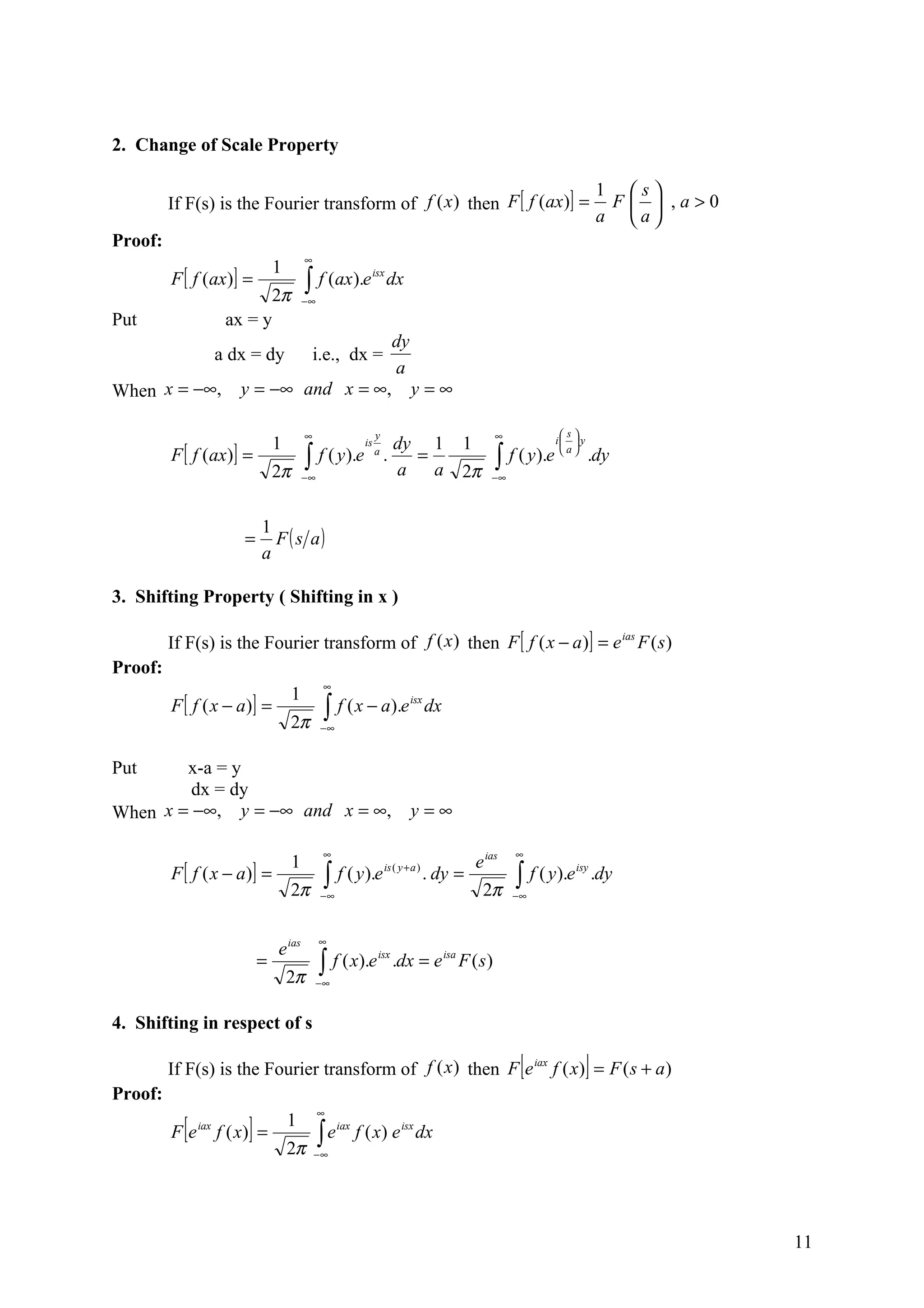
2. Change of Scale Property

                                                                                                                         1 s
         If F(s) is the Fourier transform of f (x ) then F [ f (ax)] =                                                    F  ,a>0
                                                                                                                         a a
Proof:
                                           ∞
                                  1
         F [ f (ax)] =                     ∫ f (ax).e
                                                              isx
                                                                     dx
                            2π             −∞
Put                   ax = y
                                                                       dy
                     a dx = dy                 i.e., dx =
                                                                       a
When x = −∞,            y = −∞ and x = ∞,                                   y=∞

                                           ∞                     y                             ∞             s
                                  1                                    dy 1            1                    i  y
         F [ f (ax)] =
                                                            is

                                  2π
                                           ∫ f ( y).e
                                           −∞
                                                                 a
                                                                     .   =
                                                                       a a             2π
                                                                                               ∫ f ( y).e
                                                                                              −∞
                                                                                                             a
                                                                                                                     .dy


                              1
                         =      F ( s a)
                              a

3. Shifting Property ( Shifting in x )

         If F(s) is the Fourier transform of f (x ) then F [ f ( x − a )] = e ias F ( s )
Proof:
                                                 ∞
                                       1
         F [ f ( x − a)] =                       ∫ f ( x − a).e
                                                                            isx
                                                                                  dx
                                       2π       −∞


Put     x-a = y
         dx = dy
When x = −∞, y = −∞ and x = ∞,                                              y=∞

                                                 ∞                                                 ∞
                                       1                                                   e ias
         F [ f ( x − a)] =                       ∫   f ( y ).e is ( y + a ) . dy =                 ∫ f ( y).e
                                                                                                                isy
                                                                                                                         .dy
                                       2π       −∞                                          2π     −∞



                                                ∞
                                  e ias
                              =                 ∫ f ( x).e             .dx = e isa F ( s )
                                                                 isx

                                      2π        −∞


4. Shifting in respect of s

         If F(s) is the Fourier transform of f (x ) then F e iax f ( x) = F ( s + a )               [                ]
Proof:
                                                ∞
         Fe[   iax
                          ]
                     f ( x) =
                                      1
                                                ∫e
                                                     iax
                                                           f ( x) e isx dx
                                      2π       −∞




                                                                                                                                      11
∞
                              1
                                        ∫ f ( x).e
                                                         i( s+a) x
                        =                                            dx = F ( s + a)
                              2π     −∞


5. Modulation Theorem
                                                                                                             1
         If F(s) is the Fourier transform of f (x ) then F [ f ( x) cos ax ] =                                 [ F ( s + a ) + F ( s − a )]
                                                                                                             2
Proof:
                                            ∞
                                    1
         F [ f ( x) cos ax ] =              ∫ f ( x). cos ax.e
                                                                         isx
                                                                               dx
                                    2π      −∞



                                            ∞
                                    1                   e iax + e −iax             
                            =           ∫
                                    2π −∞
                                          f ( x).e isx 
                                                       
                                                              2
                                                                                    dx
                                                                                    
                                                                                    

                                                     ∞                                     ∞
                               1 1                                      1 1
                                                  ∫∞ f ( x).e dx + 2 . 2π                  ∫ f ( x).e
                                                             i( s+a ) x                                 i ( s −a ) x
                              = .                                                                                      dx
                               2 2π              −                                         −∞



                                  1              1             1
                              =     f ( s + a ) + f ( s − a ) = [ f ( s + a ) + f ( s − a )]
                                  2              2             2


                                  1
         F [ f ( x) cos ax ] =      [ F ( s + a ) + F ( s − a)]
                                  2

COROLLARIES
                             1
(i ) FC [ f ( x) cos ax ] =    [ FC ( s + a) + FC ( s − a)]
                             2
                             1
(ii ) FC [ f ( x) sin ax ] = [ FS (a + s) + FS (a − s )]
                             2
                               1
(iii ) FS [ f ( x) cos ax ] = [ FS ( s + a ) + FS ( s − a )]
                               2
                             1
(iv ) FS [ f ( x) sin ax ] = [ FC ( s − a ) − FC ( s + a)]
                              2

6. Conjugate Symmetry Property

         If F(s) is the Fourier transform of f (x ) then F f ( − x) = F ( s)           [        ]
Proof:
                                                         ∞
                                                 1
         We know that F ( s ) =                          ∫ f ( x). e
                                                                         isx
                                           dx
                                 2π −∞
Taking complex conjugate on both sides we get
                     ∞
                 1
                     ∫∞ f ( x). e dx
                                 −isx
         F (s) =
                 2π −


                                                                                                                                         12
Put     x = -y
      dx = -dy
When x = −∞, y = ∞ and x = ∞,                                  y = −∞

                                                −∞
                                       1
                ∴ F (s) =                        ∫ f (− y) .e              (− dy )
                                                                     isy

                                       2π        ∞



                                                      −∞
                                           1
                               =−                     ∫ f (− y). e
                                                                           isy
                                                                                 dy
                                           2π         ∞




                                                                                          [            ]
                                                 ∞
                                       1
                               =                 ∫ f (− x). e              dx = F f (− x)
                                                                     isx

                                       2π       −∞


7. Transform of Derivatives

         If F(s) is the Fourier transform of f (x ) and if f (x) is continuous, f ′(x) is piecewise
continuously differentiable, f (x ) and f ′(x) are absolutely integrable in (−∞ , ∞) and
 lim [ f ( x)] = 0 , then
x → ±∞

                F ( f ′( x ) ) = −is F ( s )
Proof:
         By the first three conditions given, F { f (x)} and F { f ′(x)} exist.
                                            ∞
                                   1
              F { f ′( x)} =                ∫ f ′( x) e
                                                               isx
                                                                     dx
                                   2π      −∞



                                                                                      ∞
                           =
                                   1
                                           [e   isx
                                                           ]   ∞
                                                      f ( x) −∞ −
                                                                             is
                                                                                      ∫e
                                                                                              isx
                                                                                                    f ( x) dx, on int egrating by parts.
                                   2π                                        2π       −∞



                           = 0 − isF { f ( x)} , by the given condition.


                           = −is F ( s).

The theorem can be extended as follows.

       If f , f ′, f ′′, , f ( n −1) are continuous, f (n ) is piecewise continuous, f , f ′, f ′′, , f ( n )
are absolutely integrable in (−∞ , ∞) and f , f ′, f ′′,  , f ( n −1) → 0 as x → ±∞ , then

                       F ( f ( n ) ( x) ) = (−is ) n F ( s )




                                                                                                                                           13
8. Derivatives of the Transform

                                                                                          dF ( s )
         If F(s) is the Fourier transform of f (x ) then F [ x. f ( x )] = (−i )
                                                                                           ds
Proof:
                                            ∞
                                   1
                       F (s) =              ∫ f ( x )e
                                                         isx
                                                               dx
                                   2π       −∞



                                            ∞

                                            ∫ ds [ f ( x)e ]dx
                     dF ( s )      1          d
         ∴                    =                                 isx

                      ds           2π       −∞



                                            ∞
                                   i
                               =            ∫ [ x. f ( x)]e          dx = iF [ xf ( x)]
                                                               isx

                                   2π       −∞



                     dF ( s)
         ∴ ( −i )            = F [ x. f ( x)]
                      ds


                           [            ]
Extending, we get, F x n . f ( x) = (−i ) n
                                                      d n F (s)
                                                        ds n

DEFINITION

                 ∞
             1
               ∫ f ( x − u ) g (u )du is called the convolution product or simply the convolution
           2π −∞
of the functions f (x) and g (x) and is denoted by f ( x) * g ( x ) .

9. Convolution Theorem

        If F(s) and G(s) are the Fourier transform of f (x ) and g (x) respectively then the
Fourier transform of the convolution of f(x) and g(x) is the product of their Fourier
transforms.
        i.e., F [ f ( x ) * g ( x)] = F ( s ).G ( s)
Proof
                                      ∞
                                  1
         F [ f ( x ) * g ( x )] =     ∫∞ f ( x) * g ( x)e dx
                                                         isx

                                  2π −
                                   1       1 ∞
                                            ∞
                                                                         isx
                               =       ∫∞  2π −∫∞ f ( x − u) g (u )du  e dx
                                   2π −                                
                                   1
                                       ∞
                                                 1 ∞                     
                               =       ∫∞  2π −∫∞ f ( x − u)e dxdu,
                                                                    isx
                                         g (u ) 
                                   2π −                                   
                                      on changing the order of int egration.




                                                                                                     14
∞

                                                    ∫ g (u )[e                         ]
                                           1
                               =                                      ius
                                                                            F ( s) du , by the shifting property.
                                         2π         −∞
                                                                  ∞
                                                         1
                               = F ( s).                          ∫ g (u ).e
                                                                                     ius
                                                                                           du
                                          2π                    −∞

                               = F ( s).G ( s )
Inverting, we get

          F −1 [ F ( s ).G ( s)] = f ( x) * g ( x )
                                     = F −1 { F ( s )} * F −1 { G ( s )}

10. Parseval’s Identity (or) Energy Theorem

        If f (x) is a given function defined in (−∞ , ∞) then it satisfy the identity,
                               ∞                               ∞

                               ∫                                ∫ F ( s)
                                               2                                 2
                                    f ( x) dx =                                      ds
                            −∞                                −∞

where F(s) is the Fourier transform of f (x ) .
Proof:
       We know that F −1 [ F ( s ).G ( s)] = f ( x) * g ( x )

                           ∞                                                               ∞
                     1                                                           1
                           ∫ F (s).G(s)e                                                   ∫ f (t ) g ( x − t )dt
                                                         −isx
                                                                ds =
                2π −∞                                                            2π        −∞
Putting x = 0, we get

                                    ∞                                       ∞

                                    ∫ F (s).G(s)ds = ∫ f (t ) g (−t )dt
                                    −∞                                      −∞
                                                                                                                            ………………..(1)

                               Let                       g ( − t ) = f (t )                                                 .……………….(2)
                                   i.e.,                     g (t ) = f (−t )                                               ………………..(3)
                                                   ∴ G ( s ) = F [ f (− x)] = F ( s )                               by property (9)
                               i.e.,           ∴ G ( s) = F ( s)                                                            ………………..(4)

        Substituting (2) and (4) in (1) we get

                                    ∞                                        ∞

                                    ∫ F (s).F (s) ds =
                                    −∞
                                                                             ∫ f (t ). f (t ) dt
                                                                            −∞




                                                                                                             [ F (s).F (s) = F (s) ]
                                               ∞                             ∞

                                               ∫                             ∫
                                                              2                                 2                                     2
                                                   F ( s) ds =                       f ( x) dx
                                           −∞                               −∞



11. If f (x) and g (x) are given functions of x and FC [ f ( x)] and FC [ g ( x)] are their
Fourier cosine transforms and FS [ f ( x)] and FS [ g ( x)] are their Fourier sine transforms then




                                                                                                                                          15
∞                          ∞                                    ∞

(i)     ∫
        0
            f ( x ) g ( x)dx = ∫ FC [ f ( x)].FC [ g ( x)]ds = ∫ FS [ f ( x )].FS [ g ( x)]ds
                                   0                                    0
        ∞                     ∞                           ∞

        ∫   f ( x) dx = ∫ FC [ f ( x)] ds = ∫ FS [ f ( x )] ds ,
                    2                            2                          2
(ii)
        0                      0                           0

which is Parseval’s identity for Fourier cosine and sine transforms.

Proof:
                ∞                                         ∞
                                                                  2∞                   
(i)             ∫ FC [ f ( x )].FC [ g ( x )]ds = ∫ FC [ f ( x)]    ∫ g ( x) cos sx dx  ds
                0                                 0               π 0                  

                                                           ∞
                                                                     2∞                          
                                                         = ∫ g ( x)     ∫ FC [ f ( x)] cos sx ds  dx,
                                                           0         π 0                         
                                                                      Changing the order of integration
                                                           ∞
                                                         = ∫ f ( x) g ( x)dx
                                                           0

Similarly we can prove the other part of the result.
(ii) Replacing g ( x) = f * ( x) in (i) and noting that FC [ f ( x)] = FC [ f ( x)] and
FS [ f ( x)] = FS [ f ( x)] , we get
                 ∞                          ∞                                   ∞

                 ∫0
                        f ( x ). f ( x).dx = ∫ FC [ f ( x)].FC [ f ( x)] ds = ∫ FS [ f ( x )].FS [ f ( x )] ds
                                             0                                  0


                    ∞                   ∞                           ∞

                    ∫    f ( x) .dx = ∫ FC [ f ( x)] ds = ∫ FS [ f ( x)] ds
                               2                               2                2
i.e.,
                    0                   0                           0



12. If FC [ f ( x)] = FC ( s ) and FS [ f ( x)] = FS ( s ) , then
     d
(i)     { FC ( s)} = − FS { xf ( x)} and
     ds
     d
(ii)    { FS ( s)} = − FC { xf ( x)}.
     ds
Proof:
                                        ∞
                                      2
                                      π∫
                        FC ( s) =         f ( x) cos sx dx
                                        0



                                                 ∞
                            d
                               { FC ( s)} = ∫ f ( x)(− x sin sx)dx
                            ds              0
                                                     ∞
                                            = − ∫ {xf ( x)}sin sx dx
                                                     0



                              = − FS {xf ( x)}
Similarly the result (ii) follows.


                                                                                                                 16
PROBLEMS

                                                   a 2 − x 2
                                                                   x <a
1. Show that the Fourier transform of f ( x ) =                            is
                                                   0
                                                                   x >a>0
                                                ∞
   2  sin as − as cos as                        sin t − t cos t     π
2                         . Hence deduce that ∫                 dt = . Using Parseval’s
   π          s 3
                                               0       t 3
                                                                      4
                          ∞                           2
                      sin t − t cos t      π
identity show that ∫          3        dt = .
                   0                  
                             t               15

Solution:
       We know that
                                   ∞
                              1
         F [ f ( x )] =            ∫ f ( x).e
                                                isx
                                                      dx
                              2π   −∞




                              1                                               
                                   −a              a             ∞
                    =             ∫ f ( x)e dx + ∫ f ( x)e dx + ∫ f ( x )e dx 
                                            isx            isx             isx

                              2π  −∞             −a             a             


                              1                                  
                                       a                                             a
                                                                            1
                    =             0 + ∫ ( a 2 − x 2 )e isx dx + 0 =                ∫ (a
                                                                                            2
                                                                                                − x 2 ).e isx dx
                              2π  − a                                     2π       −a



                                                                                                    a
                              1  2            e isx                e isx   e isx 
                    =             ( a − x 2 )
                                               is          − (−2 x) 2 2  − 2 3 3 
                                                                    i s  i s 
                              2π                                                  − a


                    =
                              1  − 2a isa
                                  2 e +e [−isa  2i
                                                            ]      [
                                                                   
                                                + 3 e −isa − e isa              ]
                              2π  s             s                 

                              1  − 2a             4        
                     =            2 [2 cos as ] + 3 sin as 
                              2π  s              s         

                              4  sin as − as cos as 
                     =
                              2π 
                                         s3         
                                                     

                      2  sin as − as cos as 
             F (s) = 2
                      π         s3         
                                             
                                 2  sin s − s cos s 
       When a = 1, F ( s ) = 2                                                                              ………………..(A)
                                 π       s3        
                                                     
Using inverse Fourier Transform, we get




                                                                                                                      17
∞
                            1          2            1
             f ( x) =
                            2π
                                 .2.
                                       π       ∫s
                                               −∞
                                                    3
                                                        [sin as − as cos as].e −isx ds


                                           ∞
                            1          2 1
                                                { sin as − as cos as}{ cos sx − i sin sx} ds
                                       π −∫ s 3
                    =            .2.
                            2π            ∞



                             ∞
                        2 sin as − as cos as
                        π −∫
             f ( x) =                        cos sx ds
                           ∞      s3

[The second integral is odd and hence its value is zero]

                            ∞
                    4 sin as − as cos as
                  = ∫                    cos sx ds
                    π 0        s3
[since the integrand is an even function of s]

Putting a = 1, we get
                      ∞
                    4 sin s − s cos s
            f ( x) = ∫                cos sx ds
                    π 0     s3

                            ∞
                     4 sin t − t cos t
            f ( x) = ∫                 cos tx dt
                    π 0      t3
Putting x = 0, in the given function we get

                ∞
            4 sin t − t cos t
            π∫
                              dt = f (0) = 1
             0      t3
                ∞
                  sin t − t cos t      π
            ∴   ∫
                0       t 3
                                  dt =
                                       4
                                           ∞                     ∞

                                           ∫                     ∫ F (s)
                                                            2              2
Using Parseval’s identity,                      f ( x) dx =                    ds   [Using (A)]
                                         −∞                      −∞
                                                        2
                   2                   
             ∞  2.   (sin s − s cos s)       1
                    π
             ∫ 
            − ∞          s3
                                         ds = ∫ (1 − x 2 ) 2 dx
                                              −1
                                       
                                       
                        ∞                               2        1
                    8  sin s − s cos s 
                     ∫∞                 ds = 2 ∫ (1 − x ) dx
                                                         2 2

                    π−       s 3
                                                0
                        ∞                               2
                    16  sin s − s cos s           8
                      ∫
                    π 0       s 3        ds = 2.
                                                  15




                                                                                                  18
∞                           2
                              sin s − s cos s       π
                i.e.,       ∫
                            0       s 3        ds =
                                                     15
                             ∞                       2
                               sin t − t cos t       π
                i.e.,        ∫ t3
                             0
                                                 dt =
                                                      15

2. Find the Fourier Transform of f (x) if
                  1 − x , x < 1
                  
         f ( x) = 
                  0,
                          x >1
                                ∞              4
                           sin t          π
Hence deduce that ∫               dt =
                         0
                              t            3
Solution:
We know that
                                 ∞
                            1
          F [ f ( x )] =         ∫∞ f ( x).e dx
                                            isx

                            2π −

                                         1

                                         ∫ (1 − x ).e
                                    1
                            =                           isx
                                                              dx
                                    2π   −1



Since x > 1, f ( x) = 0, i.e., in − ∞ < x < −1, and 1 < x < ∞, f ( x ) = 0.
                                          1

                                          ∫ [1 − x ] [ cos sx + i sin sx] dx
                                    1
                             =
                                    2π    −1



                                          1

                          ∫ [1 − x ] cos sx dx
                                    1
                             =
                       2π −1
The second integral becomes zero since it is an odd function.
                                          1
                                    2
                             =
                                    2π
                                          ∫ (1 − x) cos sx dx
                                          0

                                             [ [1 − x ] cos x is an even function]
                                                                               1
                               2                  sin sx    − cos sx 
                             =           (1 − x ) s  − (−1) s 2 
                               π                                      0


                                    2  − cos s 1 
                             =                + 2
                                    π  s2      s 


                                    2 1
        i.e.,           F ( s) =     . (1 − cos s )
                                    π s2


                                                                                      19
Using Parseval’s identity

            ∞                             ∞

            ∫                             ∫ F ( s)
                             2                         2
                 f ( x) dx =                               ds
            −∞                            −∞



            1                                  ∞
               [1 − x ] dx = 2 ∫ (1 − cos s) ds
                                            2

            ∫
                             2

            −1
                             π −∞     s4
                 1                                 ∞
                                           2 (1 − cos s) 2
            2 ∫ [1 − x ] dx =
                                           π −∫
                                 2
                                                           ds
                 0                            ∞   s4

                                               ∞
                                     2 2 (1 − cos s ) 2
                                     3 π −∫
                                      =                 ds
                                          ∞   s4


             put              s = 2t                    when s = ∞, t = ∞
                             ds = 2dt                   when s = −∞, t = −∞

                                     π ∞ (1 − cos 2t ) 2
                                     3 −∫
                                      =                  .2 dt
                                        ∞    16t 4


                                      π ∞ (1 − cos 2t ) 2
                                      3 −∫
                                       =                  dt
                                         ∞     8t 4

                                           ∞
                                      π      (1 − cos 2t ) 2
                                        = 2∫                 dt
                                      3    0      8t 4


                                      π ∞ sin 4 t
                                      3 ∫ t4
                                       =          dt
                                         0



                     ∞                4
                        sin t   π
    i.e.,            ∫  t  dt = 3
                     0        

                         ∞
                                         dx
3. Evaluate              ∫ (x
                         0
                                 2
                                     + a )( x 2 + b 2 )
                                          2             using transforms.


Solution:
                                                                                       2     a
      We know that the Fourier cosine transform of f ( x) = e − ax is                    . 2    .
                                                                                       π s + a2
                                                                              2     b
Similarly the Fourier cosine transform of f ( x) = e − ax is                    . 2    .
                                                                              π s + b2


                                                                                                    20
∞                                       ∞

We know that           ∫ FC [ f ( x)].FC [ g ( x)] ds = ∫ f ( x).g ( x) dx
                       0                                       0
                   ∞                                                ∞
                           2     a     2   b
    i.e.,          ∫
                   0
                             . 2     . . 2
                           π s +a π s +b
                                   2         2
                                               . ds = ∫ e − ax .e −bx dx
                                                      0



                                   ∞                                 ∞
                               2             ab
                                 ∫ (s 2 + a 2 )(s 2 + b 2 ) ds = ∫ e
                                                                     −( a +b ) x
    i.e.,                                                                        ds
                               π 0                               0



                                                                    ∞
                                                      e −( a + b ) x            1       1
                                                    =                 = 0−           =
                                                      − ( a + b)  0        − ( a + b) a + b

                   ∞
                                   dx             π
    i.e.,          ∫ (x
                   0
                           2      2    2   2
                                             =
                               + a )( x + b ) 2ab( a + b)

4. Find the Fourier transform of e − a x and hence deduce that
    ∞
       cos xt    π −a x
(i) ∫ 2 2 dt = e
    0 a +t
                2a

      [
(ii) F xe
            −a x
                   ]=i         2     2as
                               π (s + a 2 ) 2
                                   2


Solution:
                                       ∞
                                  1
          F [ f ( x )] =               ∫ f ( x).e
                                                    isx
                                                          dx
                                  2π   −∞




                                 1                                        
                                       0                  ∞
                           =        ∫   f ( x)e isx dx + ∫ f ( x)e isx dx 
                                 2π  −∞                  0                


                                         e − ax
                                                         if 0 ≤ x < ∞
          Here                 f ( x ) =  ax
                                         e
                                                         if − ∞ < x < 0


                                 1  ax isx                          
                                       0           ∞
                           =        ∫   e. e dx + ∫ e −ax .e isx dx 
                                 2π  −∞           0                 


                                 1  ( a +is ) x                          
                                       0              ∞
                           =         ∫ e.       dx + ∫ e −( a −is ) x dx 
                                 2π  −∞              0                   




                                                                                                21
1  e ( a +is ) x     e −( a −is ) x  
                                            0                   ∞

                  =                      +                  
                       2π  (a + is)  −∞  − (a − is )  0 
                                                                 

                       1  1           1 
                  =        a + is + a − is 
                       2π                  


        Fe[   −a x
                      ]=    2    a
                            π s + a2
                               2



Using inversion formula, we get

                                    ∞
                                1        2     a
              f ( x) =
                            2π
                                    ∫
                                    −∞
                                           . 2
                                         π s +a  2
                                                   e −isx ds


                                ∞
                           a cos sx − i sin sx
                           π −∫
                       =                       ds
                              ∞  s2 + a2

                                ∞
                           a      cos x
                       =
                           π−∫∞ s 2 + a 2 ds

              ∞
                  cos sx       π           π −a x
              ∫s
              0
                   2
                     +a 2
                          dx =
                               2a
                                  f ( x) =
                                           2a
                                              .e                       (or )


              ∞
                  cos tx       π −a x
              ∫s
              0
                  2
                    +a  2
                          dt =
                               2a
                                  .e


Putting a = 1, we get,


                     Fe[ ]=−x           2 1
                                         .
                                        π s2 +1

                            ∞                                      ∞
                              cos sx       π −x                      cos tx     π −x
                     and    ∫ s 2 + 1 ds = 2 e
                            0
                                                           (or )   ∫t
                                                                   0
                                                                      2
                                                                        +1
                                                                            dt = e
                                                                                2


FINITE FOURIER TRANSFORMS

       If f (x) is a function defined in the interval (0 , l) then the finite Fourier sine
transform of f (x) in 0 <x < l is defined as




                                                                                             22
nπx
                                        l
                  FS [ f ( x)] = ∫ f ( x). sin           dx         where ‘n’ is an integer
                                        0
                                                      l

       The inverse finite Fourier sine transform of FS [ f (x )] is f (x) and is given by
                       2 ∞                  nπx
               f ( x) = ∑ FS [ f ( x )] sin
                       l n =1                l

       The finite Fourier cosine transform of f (x ) in 0 < x < l is defined as
                                                       nπx
                                                l
                   FC [ f ( x)] = ∫ f ( x). cos            dx         where ‘n’ is an integer
                                                0
                                                        l

       The inverse finite Fourier cosine transform of FC [ f (x)] is f (x) and is given by
                       1        2 ∞                  nπx
               f ( x) = FC (0) + ∑ FC [ f ( x )] cos
                       l        l n =1                l

PROBLEMS

1. Find the finite Fourier sine and cosine transforms of f ( x) = x 2 in 0 < x < l.

Solution:
       The finite Fourier sine transform is

                                                    nπx
                                    l
                 FS [ f ( x)] = ∫ f ( x). sin           dx
                                    0
                                                     l
Here      f ( x) = x   2




                              [ ]                   nπx
                                            l
                           FS x 2 = ∫ x 2 . sin         dx
                                            0
                                                     l

                                                                                                l
                                              nπx              nπx       nπx 
                                        − cos           − sin        cos     
                                    = x 2      l  − 2 x         l  + 2    l 
                                           nπ           n 2π 2   n 3π 3 
                                                                            
                                             l               l2       l 3  0  


                                            − l3          2l 3         2l 3
                                    =            cos nπ + 3 3 cos nπ − 3 3
                                            nπ           nπ           nπ


                                    =
                                            l3
                                            nπ
                                                           2l 3
                                                                [
                                               (−1) n +1 + 3 3 (−1) n − 1
                                                          nπ
                                                                            ]
The finite Fourier cosine transform is



                                                                                                    23
nπx
                                        l
                     FC [ f ( x)] = ∫ f ( x). cos       dx
                                        0
                                                     l
Here        f ( x) = x   2




                             [ ]                 nπx
                                        l
                         FC x 2 = ∫ x 2 . cos        dx
                                        0
                                                  l
                                                                              l
                             nπx              nπx          nπx 
                         sin           − cos        − sin      
                     = x 2    l  − 2 x         l  + 2       l 
                         nπ            n 2π 2   n 3π 3 
                         l                                    
                                            l2           l3      0


                      2l 3
                 =          cos nπ
                     n 2π 2

                     2l 3
                 =        (−1) n
                     nπ
                      2 2



2. Find the finite Fourier sine and cosine transforms of f ( x ) = x in (0 , π ) .

Solution:
       The finite Fourier sine transform of f ( x) = x in (0 , π ) is
                                   π
                 FS [ f ( x)] = ∫ f ( x ). sin nx dx
                                   0

Here        f ( x) = x in (0 , π )
                                   π                                              π
                                                    − cos nx   − sin nx 
                      FS [ x ] = ∫ x. sin nx dx =  x          − 1  2    
                                 0                     n       n         0

                                       π                      π
                              =−         cos nπ = (−1) n +1 .
                                       n                      n

The finite Fourier cosine transform of f ( x) = x in (0 , π ) is
                                   π
                 FC [ f ( x)] = ∫ f ( x). cos nx dx
                                   0

Here        f ( x) = x in (0 , π )
                                   π                                         π
                                                    sin nx   − cos nx 
                      FC [ x ] = ∫ x. cos nx dx =  x        − 1  2    
                                 0                  n   n              0


                              =
                                   1
                                   n 2
                                                1   1
                                                             [
                                       cos nπ − 2 = 2 (−1) n − 1
                                               n   n
                                                                  ]


                                                                                      24
2π (−1) p−1
3. Find f (x) if its finite sine transform is given by                                          , where p is positive
                                                                                        p3
integer and 0 < x < π .

Solution:
       We know that the inverse Fourier sine transform is given by

                                       ∞
                               2
                    f ( x) =        ∑        FS [ f ( x )] sin px                                          ………………..(1)
                               π     p =1

                              2π (−1) p−1
Here     FS [ f (x )] =                                                                                    ………………..(2)
                                  p3

Substituting (2) in (1), we get
                   2 ∞ 2π (−1) p −1
           f ( x) = ∑               sin px
                   π p =1    p3

                         ∞
                             (−1) p −1
                    = 4∑               sin px
                        p =1   p3

                    2 pπ 
               cos         
                    3  find FC [ f ( p )] if 0 < x <1.
                                −1
4. If
      f ( p) =
                (2 p + 1) 2

Solution:
                                                                           ∞
                                                                                                     nπx
       We know that FC
                                     −1
                                           [ f ( p)] = 1 FC (0) + 2 ∑             FC [ f ( x)] cos
                                                         l             l   n =1                       l
                       2 pπ 
                  cos         
Here
         f ( p) =      3 
                   (2 p + 1) 2

Let    FC [ f ( x)] = f ( p)

                                                  ∞
                                                                       nπx
 ∴ FC
         −1
              [ f ( p)] = 1    f C ( 0) +
                                              2
                                                  ∑      f ( p ) cos                      [ l = 1]
                          l                   l   n =1                  l


                                                 2 pπ 
                                   ∞
                                            cos         
                      = 1 + 2∑                   3  . cos nπx
                                   n =1      (2 p + 1) 2




                                                                                                                        25
UNIT-4
                                                                         PART A

1. State the Fourier integral theorem.
Ans:
       If f (x) is a given function defined in (-l , l) and satisfies Dirichlet’s conditions, then
                                     ∞ ∞
                                 1
                  f ( x) =
                                 π   ∫ ∫ f (t ) cos λ (t − x) dt dλ
                                         0 −∞



2. State the convolution theorem of the Fourier transform.
Ans:
        If F(s) and G(s) are the Fourier transform of f (x ) and g (x) respectively then the
Fourier transform of the convolution of f(x) and g(x) is the product of their Fourier
transforms.
        i.e., F [ f ( x ) * g ( x)] = F ( s ).G ( s)

3. Write the Fourier transform pair.
Ans:
F [ f (x)] and F −1 [ F ( S )] are Fourier transform pairs.

4. Find the Fourier sine transform of f ( x) = e − ax (a > 0).
Ans:
                      ∞
                    2
     FS [ f ( x)] =
                    π ∫
                        f ( x ). sin sx dx
                      0

                      2
                           ∞
                                                                   2 s                            ∞ −ax              b 
                           ∫ e . sin sx dx =                                                        ∫ e sin bx dx = 2
                              − ax
                 =                                                                                                          
                      π      0
                                                                   π  s2 + a2 
                                                                                                  0               a + b2 
                      2 s 
                 =
                      π  s2 + a2 
                                 

5. If the Fourier transform of f (x ) is F(s) then prove that . F [ f ( x − a )] = e isa F ( s)
Ans:
                                ∞
                             1
           F [ f ( x − a)] =     ∫∞ f ( x − a).e dx
                                                isx

                             2π −
Put        x-a = y
           dx = dy
When x = −∞, y = −∞ and x = ∞, y = ∞
                                            ∞                                             ∞
                                   1                                              e ias
         F [ f ( x − a)] =                  ∫ f ( y).e
                                                          is ( y + a )
                                                                         . dy =           ∫ f ( y).e
                                                                                                       isy
                                                                                                             .dy
                                   2π       −∞                                     2π     −∞



                                            ∞
                                 e ias
                       =                    ∫ f ( x).e         .dx = e isa F ( s )
                                                         isx

                                  2π       −∞


6. State the Fourier transforms of the derivatives of a function.


                                                                                                                                26
Ans:
         F ( f ( n ) ( x) ) = (−is ) n F ( s )

7. Find the Fourier sine transform of f ( x ) = e − x .
Ans:
                      ∞
                    2
     FS [ f ( x)] =
                    π ∫
                        f ( x ). sin sx dx
                      0

Here e − x = e − x for x > 0
                      2
                              ∞
                                         2 s                                            ∞ −ax              b 
                        ∫ e .sin sx dx = π  s 2 + 1                                     ∫ e sin bx dx = 2
                           −x
                    =                                                                                             
                      π 0                                                               0               a + b2 
                          2 s 
                    =
                          π  s 2 + 1
                                    

                                          1 s
8. Prove that FC [ f (ax)] =               FC   , a > 0
                                          a a
Proof:
                                      ∞
                         2
         FC [ f (ax)] =               ∫ f (ax). cos sx dx
                         π            0

Put               ax = y
                                                     dy
                  a dx = dy               i.e., dx =
                                                      a
When x = 0,         y = 0 and x = ∞,                y=∞

                                   ∞                                                ∞
                        2               sy  dy 1 2                                            s
         FC [ f (ax)] =   ∫ f ( y). cos a . a = a π                               ∫ f ( x). cos a  x.dx
                        π0                                                        0             

                              1
                          =     FC ( s a )
                              a

                                                                                                              dF ( s )
9. If F(s) is the Fourier transform of f (x ) then prove that F [ x. f ( x )] = (−i )
                                                                                                               ds
Proof:
                                               ∞
                                          1
                          F (s) =              ∫ f ( x )e
                                                            isx
                                                                  dx
                                          2π   −∞
                                               ∞

                                               ∫ ds [ f ( x)e ]dx
                        dF ( s )          1      d
          ∴                      =                                 isx

                         ds               2π   −∞
                                               ∞
                                          i
                                  =            ∫ [ x. f ( x)]e          dx = iF [ xf ( x)]
                                                                  isx

                                          2π   −∞

                   dF ( s)
          ∴ ( −i )         = F [ x. f ( x)]
                    ds



                                                                                                                         27
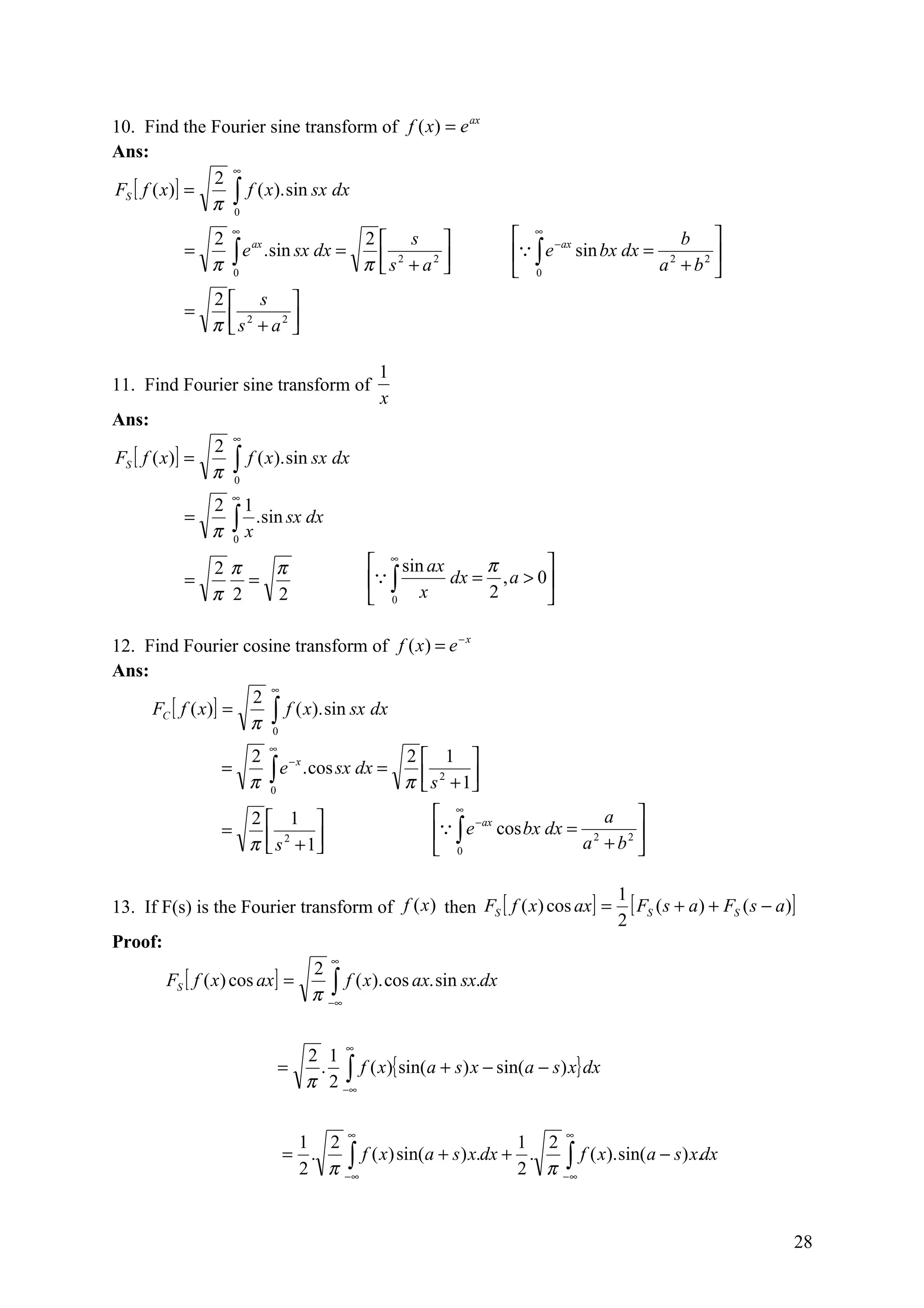
10. Find the Fourier sine transform of f ( x) = e ax
Ans:
                 ∞
               2
FS [ f ( x)] =
               π ∫
                   f ( x ). sin sx dx
                 0

              2
                      ∞
                                 2 s                                   ∞ −ax              b 
            =   ∫ e .sin sx dx = π  s 2 + a 2                          ∫ e sin bx dx = 2
                   ax
                                                                                                 
              π 0                                                      0               a + b2 
                 2 s 
            =
                 π  s2 + a2 
                            

                                                  1
11. Find Fourier sine transform of
                                                  x
Ans:
                      ∞
                 2
FS [ f ( x)] =        ∫ f ( x). sin sx dx
                 π    0
                      ∞
                 2        1
            =
                 π    ∫ x .sin sx dx
                      0

              2π    π                             ∞ sin ax     π       
            =     =                               ∫       dx = , a > 0
              π 2   2                             0 x          2       

12. Find Fourier cosine transform of f ( x ) = e − x
Ans:
                      ∞
                    2
     FC [ f ( x)] =
                    π ∫
                        f ( x). sin sx dx
                      0
                              ∞
                          2                  2 1 
                            ∫ e .cos sx dx = π  s 2 + 1
                               −x
                  =
                          π 0                          
                    2 1                                  ∞ −ax              a 
                  =                                        ∫ e cos bx dx = 2     
                    π  s 2 + 1
                                                         0               a + b2 

                                                                                       1
13. If F(s) is the Fourier transform of f (x ) then FS [ f ( x) cos ax ] =               [ FS ( s + a) + FS ( s − a)]
                                                                                       2
Proof:
                                         ∞
                                      2
         FS [ f ( x) cos ax ] =
                                      π −∫
                                           f ( x ). cos ax. sin sx.dx
                                         ∞



                                             ∞
                                      2 1
                                             f ( x){ sin(a + s) x − sin(a − s) x} dx
                                      π 2 −∫
                                  =    .
                                           ∞



                                             ∞                                ∞
                                   1 2                             1 2
                                  = .
                                   2 π−∫∞ f ( x) sin(a + s) x.dx + 2 . π −∫∞ f ( x).sin(a − s) x.dx

                                                                                                                    28
1
         FS [ f ( x ) cos ax ] =         [ FS ( s + a) + FS ( s − a)]
                                       2

                                                                                                                 1
14. If F(s) is the Fourier transform of f (x ) then F [ f ( x) cos ax ] =                                          [ F ( s + a ) + F ( s − a )]
                                                                                                                 2
Proof:
                                                     ∞
                                        1
         F [ f ( x) cos ax ] =                       ∫ f ( x). cos ax.e
                                                                               isx
                                                                                     dx
                                        2π           −∞



                                                     ∞
                                        1                   e iax + e −iax                 
                              =             ∫
                                        2π −∞
                                              f ( x).e isx 
                                                           
                                                                  2
                                                                                            dx
                                                                                            
                                                                                            

                                                          ∞                                              ∞
                                   1 1                                           1 1
                                                           ∫∞ f ( x).e dx + 2 . 2π                       ∫ f ( x).e
                                                                      i( s+a ) x                                      i ( s −a ) x
                                  = .                                                                                                dx
                                   2 2π                   −                                              −∞



                                      1              1             1
                                  =     f ( s + a ) + f ( s − a ) = [ f ( s + a ) + f ( s − a )]
                                      2              2             2

                                      1
         F [ f ( x) cos ax ] =          [ F ( s + a ) + F ( s − a)]
                                      2

                                                                                                              1 s
15. If F(s) is the Fourier transform of f (x ) then F [ f (ax)] =                                              F  ,a>0
                                                                                                              a a
Proof:
                                       ∞
                              1
         F [ f (ax)] =                 ∫ f (ax).e
                                                              isx
                                                                    dx
                          2π           −∞
Put                 ax = y
                                                                    dy
                  a dx = dy                i.e., dx =
                                                                    a
When x = −∞,           y = −∞ and x = ∞,                                 y=∞

                       ∞                     y                                ∞             s
                  1                                  dy 1                1                 i  y
F [ f (ax)] =
                                        is

                  2π
                       ∫
                       −∞
                            f ( y ).e        a
                                                 .     =
                                                     a a                 2π
                                                                              ∫
                                                                              −∞
                                                                                   f ( y ).e  a  .dy


                 1
             =     F ( s a)
                 a




                                                                                                                                                  29
PART B

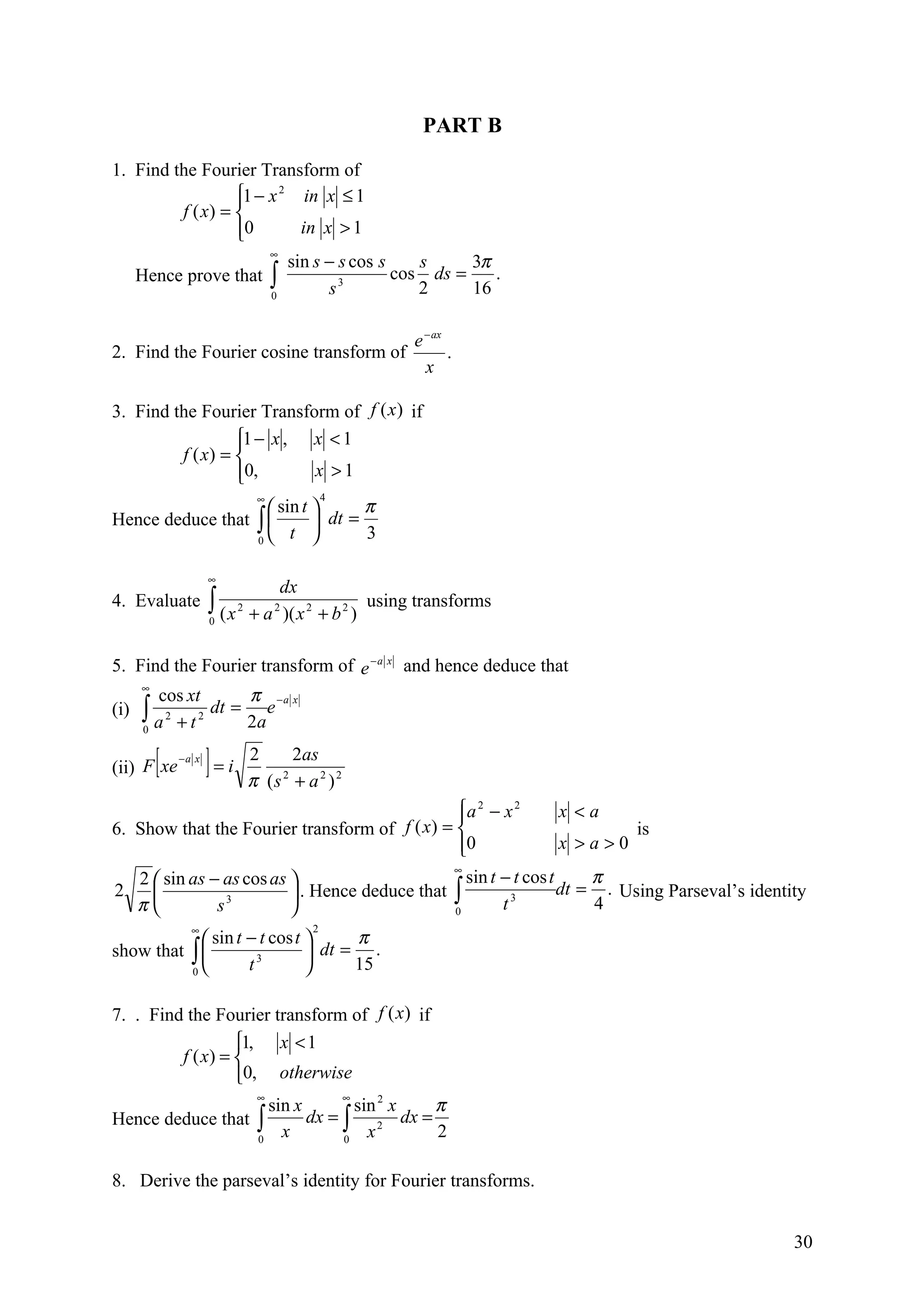
1. Find the Fourier Transform of
                  1 − x 2 in x ≤ 1
                  
         f ( x) = 
                  0
                           in x > 1
                       ∞
                          sin s − s cos s    s     3π
   Hence prove that ∫             3
                                          cos ds =    .
                       0        s            2     16

                                                     e − ax
2. Find the Fourier cosine transform of                     .
                                                       x

3. Find the Fourier Transform of f (x ) if
                  1 − x , x < 1
                  
         f ( x) = 
                  0,
                          x >1
                               ∞           4
                     sin t       π
Hence deduce that ∫         dt =
                  0
                        t         3

                   ∞
                                  dx
4. Evaluate        ∫ (x
                   0
                          2
                              + a )( x 2 + b 2 )
                                   2             using transforms


5. Find the Fourier transform of e − a x and hence deduce that
    ∞
       cos xt     π −a x
(i) ∫ 2 2 dt = e
    0 a +t
                  2a

      [
(ii) F xe
            −a x
                   ]=i        2     2as
                              π (s + a 2 ) 2
                                  2


                                                  a 2 − x 2
                                                                   x <a
6. Show that the Fourier transform of    f ( x) =                           is
                                                  0
                                                                   x >a>0
                                                 ∞
   2  sin as − as cos as                          sin t − t cos t     π
2                         . Hence deduce that ∫                   dt = . Using Parseval’s identity
   π          s 3
                                                 0       t 3
                                                                        4
              ∞                        2
             sin t − t cos t      π
show that ∫          3        dt = .
          0                  
                    t               15

7. . Find the Fourier transform of f (x) if
                  1, x < 1
         f ( x) = 
                  0, otherwise
                               ∞               ∞
                    sin x        sin 2 x π
Hence deduce that ∫       dx = ∫ 2 dx =
                  0
                      x        0
                                   x     2

8. Derive the parseval’s identity for Fourier transforms.


                                                                                                  30
9. Find the Fourier sine transform of
                  sin x, 0 < x ≤ a
         f ( x) = 
                  0,     a≤x<∞

10. Find the Fourier transform of e −4 x and hence deduce that
    ∞
      cos 2 x     π
(i) ∫ 2       dx = e −8
    0
      x + 16      8
       ∞
           x sin 2 x     π
(ii)   ∫x
       0
             2
               + 16
                     dx = e −8
                         2

11. State and prove convolution theorem for Fourier transforms.

12. Using Parseval’s identity calculate
    ∞                       ∞
         dx                       x2
(i) ∫ 2            ,   (ii) ∫ 2            dx              if a > 0.
    0
      (a + x 2 ) 2          0
                              (a + x 2 ) 2

                                                 2 2
13. Find the Fourier cosine transform of e − a    x



                                                       2
14. (i) Find the Fourier cosine transform of e − x
    (ii) Find the Fourier sine transform of
                       x,     0 < x <1
                      
            f ( x ) = 2 − x , 1< x < 2
                      0       x>2
                      

15. Find Fourier sine and cosine transform of e − x and hence find the Fourier sine transform
     x                                      1
of 2     and Fourier cosine transform of 2        .
   x +1                                   x +1




                                                                                            31

Chapter 4 (maths 3)

  • 1.
    CHAPTER 4 FOURIER TRANSFORMS INTEGRAL TRANSFORM b The integral transform of a function f (x ) is defined by ∫ f ( x).k (s , x)dx where a k(s , x) is a known function of s and x and it is called the kernel of the transform. When k(s , x) is a sine or cosine function, we get transforms called Fourier sine or cosine transforms. FOURIER INTEGRAL THEOREM If f (x) is a given function defined in (-l , l) and satisfies Dirichlet’s conditions, then ∞ ∞ 1 π ∫ −∫ f ( x) = f (t ) cos λ (t − x) dt dλ 0 ∞ At a point of discontinuity the value of the integral on the left of above equation is 1 { f ( x + 0) − f ( x − 0)}. 2 EXAMPLES 1 for x ≤ 1  1. Express the function f ( x) =  as a Fourier Integral. Hence evaluate 0 for x > 1  ∞ ∞ sin λ cos λx sin λ ∫ λ 0 dλ and find the value of ∫ 0 λ dλ . Solution: We know that the Fourier Integral formula for f (x) is ∞ ∞ 1 f ( x) = π ∫ ∫ f (t ) cos λ (t − x) dt dλ 0 −∞ ……………….(1) Here f (t ) = 1 for t ≤ 1 i.e., f(t) = 1 in -1 < t < 1 f (t ) = 0 for t > 1 f (t ) = 0 in − ∞ < t < −1 and 1 < t < ∞ ∞ 1 1 ∴ Equation (1) ⇒ f ( x) = π ∫ ∫ cos λ (t − x) dt dλ 0 −1 ∞ 1 1  sin λ (t − x)  π ∫ =   dλ 0 λ  −1 ∞ 1 sin λ (1 − x) − sin λ (−1 − x) π∫ = dλ 0 λ ∞ 1 sin λ (1 − x) + sin λ (1 + x ) = ∫ dλ π 0 λ 1
  • 2.
    2 sin λ cos λx π∫ ∴ f ( x) = dλ .………………(2) 0 λ [Using sin (A+B) + sin (A-B) = 2 sin A cos B] This is Fourier Integral of the given function. From (2) we get ∞ sin λ cos λx π ∫ 0 λ dλ = 2 f ( x) ……………….(3  1 for x ≤ 1 But f ( x) =  ………………..(4) 0 for x > 1  Substituting (4) in (3) we get π ∞ sin λ cos λx  for x ≤ 1 ∫ λ dλ =  2 0 0 for x > 1  ∞ sin λ π Putting x = 0 we get ∫0 λ dλ = 2 2. Find the Fourier Integral of the function 0 x<0 1  f ( x) =  x=0 2 e − x x > 0  Verify the representation directly at the point x = 0. Solution: The Fourier integral of f (x) is ∞ ∞ 1 f ( x) = π ∫ ∫ f (t ) cos λ (t − x) dt dλ 0 −∞ ……………….(1) 1   ∞ 0 ∞ = ∫ −∫∞ π 0 f (t ) cos λ (t − x )dt + ∫ f (t ) cos λ (t − x)dt d λ 0  1   ∞ 0 ∞ = ∫  ∫ 0. cos λ (t − x)dt + ∫ e −t cos λ (t − x)dt dλ π 0 − ∞ 0  ∞ ∞ 1  e −t = ∫ 2 [ − cos( λt − λx ) + λ sin(λt − λx)]  dλ  π 0 λ +1 0 ∞ 1 cos λx + λ sin λx π∫ f (x) = dλ ……….………(2) 0 λ2 + 1 2
  • 3.
    Putting x =0 in (2), we get ∞ 1 f (0) = ∫ 2 1 π 0 λ +1 1 d λ = tan −1 ( λ ) 0 π ∞ [ ] 1 [ = tan −1 ( ∞ ) − tan −1 (0) π ] 1 π  1 =  = π 2 2 1 The value of the given function at x = 0 is . Hence verified. 2 FOURIER SINE AND COSINE INTEGRALS The integral of the form 2∞ ∞ f ( x) = ∫ sin λx ∫ f (t ) sin λt dt dλ π0 0 is known as Fourier sine integral. The integral of the form ∞ ∞ 2 f ( x) = ∫ cos λx ∫ f (t ) cos λt dt dλ π 0 0 is known as Fourier cosine integral. PROBLEMS 1. Using Fourier integral formula, prove that 2(b 2 − a 2 ) ∞ u sin xu ∫ (u 2 + a 2 )(u 2 + b 2 ) du (a, b > 0) − ax − bx e −e = π 0 Solution: The presence of sin xu in the integral suggests that the Fourier sine integral formula has been used. Fourier sine integral representation is given by ∞ ∞ 2 f ( x) = ∫ sin ux ∫ f (t ) sin ut dt du π 0 0 ∞ ∞  sin ux du  ∫ ( e − at − e −bt ) sin ut dt  2 e − ax − e −bx = ∫ π 0 0  3
  • 4.
    ∞ 2  e − at − bt  = ∫ sin ux du  2 { − a sin ut − u cos ut} − 2e 2 { − b sin ut − u cos ut}  π 0 a + u 2 b +u 0 ∞ 2  u u  = ∫ sin ux du  a 2 + u 2 − b 2 + u 2  π 0   ∞ 2(b 2 − a 2 ) u sin ux = π ∫ (u 2 + a 2 )(u 2 + b 2 ) du 0 2. Using Fourier integral formula, prove that 2 ∞ (λ 2 + 2 ) cos xλ ∫ dλ −x e cos x = π 0 λ2 + 4 Solution: The presence of cos xλ in the integral suggests that the Fourier cosine integral formula for e − x cos x has been used. Fourier cosine integral representation is given by ∞ ∞ 2 π∫ f ( x) = cos λx ∫ f (t ) cos λt dt dλ 0 0 2∞ ∞ − t  ∴e −x cos x = ∫ cos xλ dλ  ∫ e cos t cos λt dt  π 0 0  2 ∞ 1 ∞  = ∫ cos xλ dλ  ∫ e −t { cos(λ + 1)t + cos(λ − 1)t } dt  π 0 2 0  ∞  = 2 π 0  1 −t [ ∫ cos xλ dλ  (λ + 1) 2 + 1 e { − cos(λ + 1)t + (λ + 1) sin(λ + 1)t} ] ∞ 0  + 1 (λ − 1) + 1 2 [ e −t { − cos(λ − 1)t + (λ − 1) sin(λ − 1)t } 0 ∞ ] ) ∞ 1  1 1  = ∫ +  cos xλ dλ π 0  (λ + 1) + 1 (λ − 1) + 1 2 2 ∞ 2 (λ2 + 2) cos xλ = ∫ dλ. π 0 λ2 + 4 COMPLEX FORM OF FOURIER INTEGRALS 4
  • 5.
    The integral ofthe form ∞ ∞ 1 ∫ e − iλx ∫ f (t ) e iλt f ( x) = dt d λ 2π −∞ −∞ is known as Complex form of Fourier Integral. FOURIER TRANSFORMS COMPLEX FOURIER TRANSFORMS ∞ 1 The function F [ f ( x)] = ∫∞ f (t ).e dt is called the Complex Fourier transform ist 2π − of f (x ) . INVERSION FORMULA FOR THE COMPLEX FOURIER TRANSFORM ∞ 1 ∫∞F [ f ( x)].e ds is called the inversion formula for the −isx The function f ( x) = 2π − Complex Fourier transform of F [ f ( x)] and it is denoted by F −1 [ F ( f ( x))]. FOURIER SINE TRANSFORMS ∞ 2 The function FS [ f ( x )] = ∫ f (t ).sin st dt is called the Fourier Sine Transform of π 0 the function f (x ) . ∞ 2 The function f ( x) = π ∫ F [ f ( x)]. sin sx ds is called the inversion formula for the 0 S Fourier sine transform and it is denoted by FS −1 [ FS ( f ( x))]. FOURIER COSINE TRANSFORMS ∞ 2 The function FC [ f ( x)] = π ∫ f (t ). cos st dt is called the Fourier Cosine 0 Transform of f (x) . ∞ 2 The function f ( x) = π ∫ F [ f ( x)]. cos sx ds 0 C is called the inversion formula for the Fourier Cosine Transform and it is denoted by FC −1 [ FC ( f ( x))]. PROBLEMS 1. Find the Fourier Transform of 1 − x 2 in x ≤ 1  f ( x) =  0  in x > 1 5
  • 6.
    sin s − s cos s s 3π Hence prove that ∫ 0 s 3 cos ds = 2 16 . Solution: We know that the Fourier transform of f (x) is given by ∞ 1 F [ f ( x )] = ∫ f ( x).e isx dx 2π −∞ −1 1 ∞ 1 1 1 = ∫ f ( x).e dx + ∫ f ( x).e dx + ∫ f ( x).e isx isx isx dx 2π −∞ 2π −1 2π 1 −1 1 ∞ 1 1 1 = ∫ 0.e dx + ∫ (1 − x ).e dx + ∫ 0.e isx 2 isx isx dx 2π −∞ 2π −1 2π 1 1 1 = ∫ (1 − x 2 ).e isx dx 2π −1 1 1  e isx e isx e isx  =  (1 − x 2 ) − ( −2 x ) 2 2 − 2 3 3  2π  is i s i s  −1 1  − 2 is 2 is − 2 −is 2 e −is  =  2 e + 3e + 2 e −  2π  s is s i s3  1  − 2 is 2  = s (e + e −is ) + 3 (e is − e −is ) 2π  2 is  1 − 4 4  1 4  =  s 2 cos s + s 3 sin s  =  s 3 (sin s − s cos s ) 2π   2π   By using inverse Fourier Transform we get ∞ 1 1 4 f ( x) = 2π . 2π ∫ −∞ s 3 (sin s − s cos s ).e −isx ds ∞ 1 4 = 2π ∫s −∞ 3 (sin s − s cos s ).(cos sx − i sin sx ) ds ∞ 1 4 = 2π ∫ −∞ s3 (sin s − s cos s ) cos sx ds ∞ 1 4 − 2π ∫ −∞ s3 (sin s − s cos s ) i sin sx ds 6
  • 7.
    The second integralis odd and hence its values is zero. ∞ 2 sin s − s cos s π −∫ ∴ f ( x) = cos sx ds ∞ s3 ∞ 4 sin s − s cos s = ∫ cos sx ds π 0 s3 ∞ sin s − s cos s π i.e., ∫ 0 s 3 cos sx ds = f ( x) 4 1 Putting x = , we get 2 ∞ sin s − s cos s s π  1  π  1  3π ∫0 s 3 cos ds = 2 f   = 1 −  = 4  2  4  4  16 . ∞ sin s − s cos s s 3π ∫ 0 s 3 cos ds = 2 16 . 2. Find the Fourier sine transform of e − x , x ≥ 0 (or) e − x , x > 0. Hence evaluate ∞ x sin mx ∫ 1 + x 2 dx. 0 Solution: The Fourier sine transform of f(x) is given by ∞ 2 FS [ f ( x )] = ∫ f ( x).sin sx dx π 0 −x −x Here e =e for x > 0 ∞ [ ] FS e − x = 2 π ∫e −x . sin sx dx 0 2 s ∞ − ax b  =  ∫ e sin bx dx = 2  π s2 +1 0 a + b2  Using inverse Fourier sine transform we get ∞ ∫ F [e ]. sin sx ds 2 −x f ( x) = s π 0 ∞ 2 2 s = π ∫ 0 . 2 π s +1 . sin sx ds ∞ 2 s = ∫ s 2 + 1 sin sx ds π 0 7
  • 8.
    π s i.e., f ( x) = ∫ 2 . sin sx ds 2 0 s +1 ∞ s. sin sx π i.e., ∫0 s +1 2 ds = e − x 2 Replacing x by m we get ∞ s. sin ms π i.e., ∫ 0 s +1 2 ds = e − m 2 ∞ x. sin mx π i.e., ∫ 0 x +1 2 dx = e −m 2 [since s is dummy variable, we can replace it by x] e − ax 3. Find the Fourier cosine transform of . x Solution: ∞ 2 We know that FC [ f ( x )] = ∫ f ( x). cos sx dx π 0 − ax e Here f ( x) = . x ∞ 2 e − ax ∴ FC [ f ( x )] = ∫ x . cos sx dx π 0 Let FC [ f ( x)] = F ( s ) ∞ 2 e − ax Then F (s) = π ∫ x . cos sx dx 0 ………………(1) Differentiating on both sides w.r.t. ‘s’ we get, ∞ dF ( s ) d 2 e − ax ds = ds π ∫ x . cos sx dx 0 ∞ 2 ∂  e −ax  = ∫ ∂s  x . cos sxdx π0   ∞ ∞ 2 e −ax 2 − ax = ∫ x (− sin sx).x dx = − π ∫ e sin sx dx π0 0 dF ( s ) 2 s  ∞ b  ∫e − ax =− . 2  sin bx dx =  ds π a + s2  0 a + b2  2 Integrating w.r.t. ‘s’ we get 8
  • 9.
    2 s F (s) = − .∫ 2 ds π s + a2 2 1 1 =− . . log ( s 2 + a 2 ) = − . log ( s 2 + a 2 ) π 2 2π e − ax − e −bx 4. Find the Fourier cosine transform of . x Solution: We know that the Fourier cosine transform of f(x) is ∞ 2 FC [ f ( x )] = ∫ f ( x). cos sx dx π 0 − ax e − e −bx Here f ( x) = x ∞  e − ax − e −bx  2 e − ax − e − bx ∴ FC   x =  π ∫ x . cos sx dx 0 ∞ ∞ 2 e − ax 2 e −bx = π ∫ x . cos sx dx − π ∫ x cos sx dx 0 0  e −ax   e −bx  = Fc   − Fc    x   x  1 1 =− log ( s 2 + a 2 ) + log ( s 2 + b 2 ) 2π 2π 1  s2 + b2  = log  2  s + a2  2π   e − as 5. Find f (x) , if its sine transform is . Hence deduce that the inverse sine s 1 transform of . s Solution: We know that the inverse Fourier sine transform of FS [ f (x )] is given by ∞ 2 f ( x) = π ∫ F [ f ( x)]. sin sx ds 0 S e − as Here FS [ f ( x )] = s 9
  • 10.
    2 e − as ∴ f ( x) = π ∫ s . sin sx ds 0 Differentiating w.r.t. ‘x’ on both sides, we get, d [ f ( x )] ∞ 2 e − as ∂ dx = π ∫ s . ∂x (sin sx) ds 0 ∞ ∞ 2 e − as 2 − as = π ∫ s . cos sx s ds = π ∫ e . cos sx ds 0 0 2 a  ∞ −ax a  =  ∫ e cos bx dx = 2  π a + x2 2  0 a + b2  d [ f ( x )] 2 a = dx π x + a2 2 2 1 2 1 −1  x  ∴ f ( x) = a π ∫ x 2 + a 2 dx = a π a tan  a    2  x ∴ f ( x) = tan −1   π a 1 To find the inverse Fourier sine transform of : s Put a = 0, in (1), we get 2 2 π π f ( x) = tan −1 (∞) = . = π π 2 2 PROPERTIES 1. Linearity Property If F(s) and G(s) are the Fourier transform of f (x ) and g (x) respectively then F [ a f ( x ) + b g ( x)] = a F ( s) + b G ( s ) Proof: ∞ 1 F [ a f ( x) + b g ( x)] = ∫∞[ a f ( x) + b g ( x)] e dx isx 2π − ∞ ∞ 1 1 = ∫ a f ( x).e dx + ∫ b g ( x).e isx isx dx 2π −∞ 2π −∞ ∞ ∞ a b = ∫ f ( x).e isx dx + ∫ g ( x).e isx dx 2π −∞ 2π −∞ = a F ( s ) + b G ( s) 10
  • 11.
    2. Change ofScale Property 1 s If F(s) is the Fourier transform of f (x ) then F [ f (ax)] = F  ,a>0 a a Proof: ∞ 1 F [ f (ax)] = ∫ f (ax).e isx dx 2π −∞ Put ax = y dy a dx = dy i.e., dx = a When x = −∞, y = −∞ and x = ∞, y=∞ ∞ y ∞ s 1 dy 1 1 i  y F [ f (ax)] = is 2π ∫ f ( y).e −∞ a . = a a 2π ∫ f ( y).e −∞ a .dy 1 = F ( s a) a 3. Shifting Property ( Shifting in x ) If F(s) is the Fourier transform of f (x ) then F [ f ( x − a )] = e ias F ( s ) Proof: ∞ 1 F [ f ( x − a)] = ∫ f ( x − a).e isx dx 2π −∞ Put x-a = y dx = dy When x = −∞, y = −∞ and x = ∞, y=∞ ∞ ∞ 1 e ias F [ f ( x − a)] = ∫ f ( y ).e is ( y + a ) . dy = ∫ f ( y).e isy .dy 2π −∞ 2π −∞ ∞ e ias = ∫ f ( x).e .dx = e isa F ( s ) isx 2π −∞ 4. Shifting in respect of s If F(s) is the Fourier transform of f (x ) then F e iax f ( x) = F ( s + a ) [ ] Proof: ∞ Fe[ iax ] f ( x) = 1 ∫e iax f ( x) e isx dx 2π −∞ 11
  • 12.
    1 ∫ f ( x).e i( s+a) x = dx = F ( s + a) 2π −∞ 5. Modulation Theorem 1 If F(s) is the Fourier transform of f (x ) then F [ f ( x) cos ax ] = [ F ( s + a ) + F ( s − a )] 2 Proof: ∞ 1 F [ f ( x) cos ax ] = ∫ f ( x). cos ax.e isx dx 2π −∞ ∞ 1  e iax + e −iax  = ∫ 2π −∞ f ( x).e isx    2 dx   ∞ ∞ 1 1 1 1 ∫∞ f ( x).e dx + 2 . 2π ∫ f ( x).e i( s+a ) x i ( s −a ) x = . dx 2 2π − −∞ 1 1 1 = f ( s + a ) + f ( s − a ) = [ f ( s + a ) + f ( s − a )] 2 2 2 1 F [ f ( x) cos ax ] = [ F ( s + a ) + F ( s − a)] 2 COROLLARIES 1 (i ) FC [ f ( x) cos ax ] = [ FC ( s + a) + FC ( s − a)] 2 1 (ii ) FC [ f ( x) sin ax ] = [ FS (a + s) + FS (a − s )] 2 1 (iii ) FS [ f ( x) cos ax ] = [ FS ( s + a ) + FS ( s − a )] 2 1 (iv ) FS [ f ( x) sin ax ] = [ FC ( s − a ) − FC ( s + a)] 2 6. Conjugate Symmetry Property If F(s) is the Fourier transform of f (x ) then F f ( − x) = F ( s) [ ] Proof: ∞ 1 We know that F ( s ) = ∫ f ( x). e isx dx 2π −∞ Taking complex conjugate on both sides we get ∞ 1 ∫∞ f ( x). e dx −isx F (s) = 2π − 12
  • 13.
    Put x = -y dx = -dy When x = −∞, y = ∞ and x = ∞, y = −∞ −∞ 1 ∴ F (s) = ∫ f (− y) .e (− dy ) isy 2π ∞ −∞ 1 =− ∫ f (− y). e isy dy 2π ∞ [ ] ∞ 1 = ∫ f (− x). e dx = F f (− x) isx 2π −∞ 7. Transform of Derivatives If F(s) is the Fourier transform of f (x ) and if f (x) is continuous, f ′(x) is piecewise continuously differentiable, f (x ) and f ′(x) are absolutely integrable in (−∞ , ∞) and lim [ f ( x)] = 0 , then x → ±∞ F ( f ′( x ) ) = −is F ( s ) Proof: By the first three conditions given, F { f (x)} and F { f ′(x)} exist. ∞ 1 F { f ′( x)} = ∫ f ′( x) e isx dx 2π −∞ ∞ = 1 [e isx ] ∞ f ( x) −∞ − is ∫e isx f ( x) dx, on int egrating by parts. 2π 2π −∞ = 0 − isF { f ( x)} , by the given condition. = −is F ( s). The theorem can be extended as follows. If f , f ′, f ′′, , f ( n −1) are continuous, f (n ) is piecewise continuous, f , f ′, f ′′, , f ( n ) are absolutely integrable in (−∞ , ∞) and f , f ′, f ′′,  , f ( n −1) → 0 as x → ±∞ , then F ( f ( n ) ( x) ) = (−is ) n F ( s ) 13
  • 14.
    8. Derivatives ofthe Transform dF ( s ) If F(s) is the Fourier transform of f (x ) then F [ x. f ( x )] = (−i ) ds Proof: ∞ 1 F (s) = ∫ f ( x )e isx dx 2π −∞ ∞ ∫ ds [ f ( x)e ]dx dF ( s ) 1 d ∴ = isx ds 2π −∞ ∞ i = ∫ [ x. f ( x)]e dx = iF [ xf ( x)] isx 2π −∞ dF ( s) ∴ ( −i ) = F [ x. f ( x)] ds [ ] Extending, we get, F x n . f ( x) = (−i ) n d n F (s) ds n DEFINITION ∞ 1 ∫ f ( x − u ) g (u )du is called the convolution product or simply the convolution 2π −∞ of the functions f (x) and g (x) and is denoted by f ( x) * g ( x ) . 9. Convolution Theorem If F(s) and G(s) are the Fourier transform of f (x ) and g (x) respectively then the Fourier transform of the convolution of f(x) and g(x) is the product of their Fourier transforms. i.e., F [ f ( x ) * g ( x)] = F ( s ).G ( s) Proof ∞ 1 F [ f ( x ) * g ( x )] = ∫∞ f ( x) * g ( x)e dx isx 2π − 1  1 ∞ ∞  isx = ∫∞  2π −∫∞ f ( x − u) g (u )du  e dx 2π −   1 ∞  1 ∞  = ∫∞  2π −∫∞ f ( x − u)e dxdu, isx g (u )  2π −  on changing the order of int egration. 14
  • 15.
    ∫ g (u )[e ] 1 = ius F ( s) du , by the shifting property. 2π −∞ ∞ 1 = F ( s). ∫ g (u ).e ius du 2π −∞ = F ( s).G ( s ) Inverting, we get F −1 [ F ( s ).G ( s)] = f ( x) * g ( x ) = F −1 { F ( s )} * F −1 { G ( s )} 10. Parseval’s Identity (or) Energy Theorem If f (x) is a given function defined in (−∞ , ∞) then it satisfy the identity, ∞ ∞ ∫ ∫ F ( s) 2 2 f ( x) dx = ds −∞ −∞ where F(s) is the Fourier transform of f (x ) . Proof: We know that F −1 [ F ( s ).G ( s)] = f ( x) * g ( x ) ∞ ∞ 1 1 ∫ F (s).G(s)e ∫ f (t ) g ( x − t )dt −isx ds = 2π −∞ 2π −∞ Putting x = 0, we get ∞ ∞ ∫ F (s).G(s)ds = ∫ f (t ) g (−t )dt −∞ −∞ ………………..(1) Let g ( − t ) = f (t ) .……………….(2) i.e., g (t ) = f (−t ) ………………..(3) ∴ G ( s ) = F [ f (− x)] = F ( s ) by property (9) i.e., ∴ G ( s) = F ( s) ………………..(4) Substituting (2) and (4) in (1) we get ∞ ∞ ∫ F (s).F (s) ds = −∞ ∫ f (t ). f (t ) dt −∞ [ F (s).F (s) = F (s) ] ∞ ∞ ∫ ∫ 2 2 2 F ( s) ds = f ( x) dx −∞ −∞ 11. If f (x) and g (x) are given functions of x and FC [ f ( x)] and FC [ g ( x)] are their Fourier cosine transforms and FS [ f ( x)] and FS [ g ( x)] are their Fourier sine transforms then 15
  • 16.
    ∞ ∞ (i) ∫ 0 f ( x ) g ( x)dx = ∫ FC [ f ( x)].FC [ g ( x)]ds = ∫ FS [ f ( x )].FS [ g ( x)]ds 0 0 ∞ ∞ ∞ ∫ f ( x) dx = ∫ FC [ f ( x)] ds = ∫ FS [ f ( x )] ds , 2 2 2 (ii) 0 0 0 which is Parseval’s identity for Fourier cosine and sine transforms. Proof: ∞ ∞  2∞  (i) ∫ FC [ f ( x )].FC [ g ( x )]ds = ∫ FC [ f ( x)]  ∫ g ( x) cos sx dx  ds 0 0  π 0  ∞  2∞  = ∫ g ( x)  ∫ FC [ f ( x)] cos sx ds  dx, 0  π 0  Changing the order of integration ∞ = ∫ f ( x) g ( x)dx 0 Similarly we can prove the other part of the result. (ii) Replacing g ( x) = f * ( x) in (i) and noting that FC [ f ( x)] = FC [ f ( x)] and FS [ f ( x)] = FS [ f ( x)] , we get ∞ ∞ ∞ ∫0 f ( x ). f ( x).dx = ∫ FC [ f ( x)].FC [ f ( x)] ds = ∫ FS [ f ( x )].FS [ f ( x )] ds 0 0 ∞ ∞ ∞ ∫ f ( x) .dx = ∫ FC [ f ( x)] ds = ∫ FS [ f ( x)] ds 2 2 2 i.e., 0 0 0 12. If FC [ f ( x)] = FC ( s ) and FS [ f ( x)] = FS ( s ) , then d (i) { FC ( s)} = − FS { xf ( x)} and ds d (ii) { FS ( s)} = − FC { xf ( x)}. ds Proof: ∞ 2 π∫ FC ( s) = f ( x) cos sx dx 0 ∞ d { FC ( s)} = ∫ f ( x)(− x sin sx)dx ds 0 ∞ = − ∫ {xf ( x)}sin sx dx 0 = − FS {xf ( x)} Similarly the result (ii) follows. 16
  • 17.
    PROBLEMS a 2 − x 2  x <a 1. Show that the Fourier transform of f ( x ) =  is 0  x >a>0 ∞ 2  sin as − as cos as  sin t − t cos t π 2   . Hence deduce that ∫ dt = . Using Parseval’s π s 3  0 t 3 4 ∞ 2  sin t − t cos t  π identity show that ∫  3  dt = . 0  t 15 Solution: We know that ∞ 1 F [ f ( x )] = ∫ f ( x).e isx dx 2π −∞ 1   −a a ∞ =  ∫ f ( x)e dx + ∫ f ( x)e dx + ∫ f ( x )e dx  isx isx isx 2π  −∞ −a a  1   a a 1 =  0 + ∫ ( a 2 − x 2 )e isx dx + 0 = ∫ (a 2 − x 2 ).e isx dx 2π  − a  2π −a a 1  2  e isx   e isx   e isx  =  ( a − x 2 )  is  − (−2 x) 2 2  − 2 3 3   i s  i s  2π        − a = 1  − 2a isa  2 e +e [−isa 2i ] [  + 3 e −isa − e isa  ] 2π  s s  1  − 2a 4  =  2 [2 cos as ] + 3 sin as  2π  s s  4  sin as − as cos as  = 2π   s3   2  sin as − as cos as  F (s) = 2 π  s3   2  sin s − s cos s  When a = 1, F ( s ) = 2 ………………..(A) π   s3   Using inverse Fourier Transform, we get 17
  • 18.
    1 2 1 f ( x) = 2π .2. π ∫s −∞ 3 [sin as − as cos as].e −isx ds ∞ 1 2 1 { sin as − as cos as}{ cos sx − i sin sx} ds π −∫ s 3 = .2. 2π ∞ ∞ 2 sin as − as cos as π −∫ f ( x) = cos sx ds ∞ s3 [The second integral is odd and hence its value is zero] ∞ 4 sin as − as cos as = ∫ cos sx ds π 0 s3 [since the integrand is an even function of s] Putting a = 1, we get ∞ 4 sin s − s cos s f ( x) = ∫ cos sx ds π 0 s3 ∞ 4 sin t − t cos t f ( x) = ∫ cos tx dt π 0 t3 Putting x = 0, in the given function we get ∞ 4 sin t − t cos t π∫ dt = f (0) = 1 0 t3 ∞ sin t − t cos t π ∴ ∫ 0 t 3 dt = 4 ∞ ∞ ∫ ∫ F (s) 2 2 Using Parseval’s identity, f ( x) dx = ds [Using (A)] −∞ −∞ 2  2  ∞  2. (sin s − s cos s)  1 π ∫  − ∞ s3  ds = ∫ (1 − x 2 ) 2 dx  −1     ∞ 2 1 8  sin s − s cos s  ∫∞  ds = 2 ∫ (1 − x ) dx 2 2 π− s 3  0 ∞ 2 16  sin s − s cos s  8 ∫ π 0 s 3  ds = 2.  15 18
  • 19.
    2  sin s − s cos s  π i.e., ∫ 0 s 3  ds =  15 ∞ 2  sin t − t cos t  π i.e., ∫ t3 0  dt =  15 2. Find the Fourier Transform of f (x) if 1 − x , x < 1  f ( x) =  0,  x >1 ∞ 4  sin t  π Hence deduce that ∫   dt = 0 t  3 Solution: We know that ∞ 1 F [ f ( x )] = ∫∞ f ( x).e dx isx 2π − 1 ∫ (1 − x ).e 1 = isx dx 2π −1 Since x > 1, f ( x) = 0, i.e., in − ∞ < x < −1, and 1 < x < ∞, f ( x ) = 0. 1 ∫ [1 − x ] [ cos sx + i sin sx] dx 1 = 2π −1 1 ∫ [1 − x ] cos sx dx 1 = 2π −1 The second integral becomes zero since it is an odd function. 1 2 = 2π ∫ (1 − x) cos sx dx 0 [ [1 − x ] cos x is an even function] 1 2   sin sx   − cos sx  = (1 − x ) s  − (−1) s 2  π      0 2  − cos s 1  =  + 2 π  s2 s  2 1 i.e., F ( s) = . (1 − cos s ) π s2 19
  • 20.
    Using Parseval’s identity ∞ ∞ ∫ ∫ F ( s) 2 2 f ( x) dx = ds −∞ −∞ 1 ∞ [1 − x ] dx = 2 ∫ (1 − cos s) ds 2 ∫ 2 −1 π −∞ s4 1 ∞ 2 (1 − cos s) 2 2 ∫ [1 − x ] dx = π −∫ 2 ds 0 ∞ s4 ∞ 2 2 (1 − cos s ) 2 3 π −∫ = ds ∞ s4 put s = 2t when s = ∞, t = ∞ ds = 2dt when s = −∞, t = −∞ π ∞ (1 − cos 2t ) 2 3 −∫ = .2 dt ∞ 16t 4 π ∞ (1 − cos 2t ) 2 3 −∫ = dt ∞ 8t 4 ∞ π (1 − cos 2t ) 2 = 2∫ dt 3 0 8t 4 π ∞ sin 4 t 3 ∫ t4 = dt 0 ∞ 4  sin t  π i.e., ∫  t  dt = 3 0  ∞ dx 3. Evaluate ∫ (x 0 2 + a )( x 2 + b 2 ) 2 using transforms. Solution: 2 a We know that the Fourier cosine transform of f ( x) = e − ax is . 2 . π s + a2 2 b Similarly the Fourier cosine transform of f ( x) = e − ax is . 2 . π s + b2 20
  • 21.
    ∞ We know that ∫ FC [ f ( x)].FC [ g ( x)] ds = ∫ f ( x).g ( x) dx 0 0 ∞ ∞ 2 a 2 b i.e., ∫ 0 . 2 . . 2 π s +a π s +b 2 2 . ds = ∫ e − ax .e −bx dx 0 ∞ ∞ 2 ab ∫ (s 2 + a 2 )(s 2 + b 2 ) ds = ∫ e −( a +b ) x i.e., ds π 0 0 ∞  e −( a + b ) x  1 1 =  = 0− =  − ( a + b)  0 − ( a + b) a + b ∞ dx π i.e., ∫ (x 0 2 2 2 2 = + a )( x + b ) 2ab( a + b) 4. Find the Fourier transform of e − a x and hence deduce that ∞ cos xt π −a x (i) ∫ 2 2 dt = e 0 a +t 2a [ (ii) F xe −a x ]=i 2 2as π (s + a 2 ) 2 2 Solution: ∞ 1 F [ f ( x )] = ∫ f ( x).e isx dx 2π −∞ 1   0 ∞ = ∫ f ( x)e isx dx + ∫ f ( x)e isx dx  2π  −∞ 0  e − ax  if 0 ≤ x < ∞ Here f ( x ) =  ax e  if − ∞ < x < 0 1  ax isx  0 ∞ = ∫ e. e dx + ∫ e −ax .e isx dx  2π  −∞ 0  1  ( a +is ) x  0 ∞ =  ∫ e. dx + ∫ e −( a −is ) x dx  2π  −∞ 0  21
  • 22.
    1  e( a +is ) x   e −( a −is ) x   0 ∞ =   +   2π  (a + is)  −∞  − (a − is )  0    1  1 1  =  a + is + a − is  2π   Fe[ −a x ]= 2 a π s + a2 2 Using inversion formula, we get ∞ 1 2 a f ( x) = 2π ∫ −∞ . 2 π s +a 2 e −isx ds ∞ a cos sx − i sin sx π −∫ = ds ∞ s2 + a2 ∞ a cos x = π−∫∞ s 2 + a 2 ds ∞ cos sx π π −a x ∫s 0 2 +a 2 dx = 2a f ( x) = 2a .e (or ) ∞ cos tx π −a x ∫s 0 2 +a 2 dt = 2a .e Putting a = 1, we get, Fe[ ]=−x 2 1 . π s2 +1 ∞ ∞ cos sx π −x cos tx π −x and ∫ s 2 + 1 ds = 2 e 0 (or ) ∫t 0 2 +1 dt = e 2 FINITE FOURIER TRANSFORMS If f (x) is a function defined in the interval (0 , l) then the finite Fourier sine transform of f (x) in 0 <x < l is defined as 22
  • 23.
    nπx l FS [ f ( x)] = ∫ f ( x). sin dx where ‘n’ is an integer 0 l The inverse finite Fourier sine transform of FS [ f (x )] is f (x) and is given by 2 ∞ nπx f ( x) = ∑ FS [ f ( x )] sin l n =1 l The finite Fourier cosine transform of f (x ) in 0 < x < l is defined as nπx l FC [ f ( x)] = ∫ f ( x). cos dx where ‘n’ is an integer 0 l The inverse finite Fourier cosine transform of FC [ f (x)] is f (x) and is given by 1 2 ∞ nπx f ( x) = FC (0) + ∑ FC [ f ( x )] cos l l n =1 l PROBLEMS 1. Find the finite Fourier sine and cosine transforms of f ( x) = x 2 in 0 < x < l. Solution: The finite Fourier sine transform is nπx l FS [ f ( x)] = ∫ f ( x). sin dx 0 l Here f ( x) = x 2 [ ] nπx l FS x 2 = ∫ x 2 . sin dx 0 l l   nπx   nπx   nπx    − cos   − sin   cos  = x 2 l  − 2 x l  + 2 l    nπ   n 2π 2   n 3π 3           l   l2   l 3  0  − l3 2l 3 2l 3 = cos nπ + 3 3 cos nπ − 3 3 nπ nπ nπ = l3 nπ 2l 3 [ (−1) n +1 + 3 3 (−1) n − 1 nπ ] The finite Fourier cosine transform is 23
  • 24.
    nπx l FC [ f ( x)] = ∫ f ( x). cos dx 0 l Here f ( x) = x 2 [ ] nπx l FC x 2 = ∫ x 2 . cos dx 0 l l   nπx   nπx   nπx    sin   − cos   − sin  = x 2  l  − 2 x l  + 2 l    nπ   n 2π 2   n 3π 3    l         l2   l3  0 2l 3 = cos nπ n 2π 2 2l 3 = (−1) n nπ 2 2 2. Find the finite Fourier sine and cosine transforms of f ( x ) = x in (0 , π ) . Solution: The finite Fourier sine transform of f ( x) = x in (0 , π ) is π FS [ f ( x)] = ∫ f ( x ). sin nx dx 0 Here f ( x) = x in (0 , π ) π π   − cos nx   − sin nx  FS [ x ] = ∫ x. sin nx dx =  x  − 1 2  0   n   n  0 π π =− cos nπ = (−1) n +1 . n n The finite Fourier cosine transform of f ( x) = x in (0 , π ) is π FC [ f ( x)] = ∫ f ( x). cos nx dx 0 Here f ( x) = x in (0 , π ) π π   sin nx   − cos nx  FC [ x ] = ∫ x. cos nx dx =  x  − 1 2  0   n   n  0 = 1 n 2 1 1 [ cos nπ − 2 = 2 (−1) n − 1 n n ] 24
  • 25.
    2π (−1) p−1 3.Find f (x) if its finite sine transform is given by , where p is positive p3 integer and 0 < x < π . Solution: We know that the inverse Fourier sine transform is given by ∞ 2 f ( x) = ∑ FS [ f ( x )] sin px ………………..(1) π p =1 2π (−1) p−1 Here FS [ f (x )] = ………………..(2) p3 Substituting (2) in (1), we get 2 ∞ 2π (−1) p −1 f ( x) = ∑ sin px π p =1 p3 ∞ (−1) p −1 = 4∑ sin px p =1 p3  2 pπ  cos   3  find FC [ f ( p )] if 0 < x <1. −1 4. If f ( p) = (2 p + 1) 2 Solution: ∞ nπx We know that FC −1 [ f ( p)] = 1 FC (0) + 2 ∑ FC [ f ( x)] cos l l n =1 l  2 pπ  cos  Here f ( p) =  3  (2 p + 1) 2 Let FC [ f ( x)] = f ( p) ∞ nπx ∴ FC −1 [ f ( p)] = 1 f C ( 0) + 2 ∑ f ( p ) cos [ l = 1] l l n =1 l  2 pπ  ∞ cos  = 1 + 2∑  3  . cos nπx n =1 (2 p + 1) 2 25
  • 26.
    UNIT-4 PART A 1. State the Fourier integral theorem. Ans: If f (x) is a given function defined in (-l , l) and satisfies Dirichlet’s conditions, then ∞ ∞ 1 f ( x) = π ∫ ∫ f (t ) cos λ (t − x) dt dλ 0 −∞ 2. State the convolution theorem of the Fourier transform. Ans: If F(s) and G(s) are the Fourier transform of f (x ) and g (x) respectively then the Fourier transform of the convolution of f(x) and g(x) is the product of their Fourier transforms. i.e., F [ f ( x ) * g ( x)] = F ( s ).G ( s) 3. Write the Fourier transform pair. Ans: F [ f (x)] and F −1 [ F ( S )] are Fourier transform pairs. 4. Find the Fourier sine transform of f ( x) = e − ax (a > 0). Ans: ∞ 2 FS [ f ( x)] = π ∫ f ( x ). sin sx dx 0 2 ∞ 2 s   ∞ −ax b  ∫ e . sin sx dx =  ∫ e sin bx dx = 2 − ax =  π 0 π  s2 + a2     0 a + b2  2 s  = π  s2 + a2    5. If the Fourier transform of f (x ) is F(s) then prove that . F [ f ( x − a )] = e isa F ( s) Ans: ∞ 1 F [ f ( x − a)] = ∫∞ f ( x − a).e dx isx 2π − Put x-a = y dx = dy When x = −∞, y = −∞ and x = ∞, y = ∞ ∞ ∞ 1 e ias F [ f ( x − a)] = ∫ f ( y).e is ( y + a ) . dy = ∫ f ( y).e isy .dy 2π −∞ 2π −∞ ∞ e ias = ∫ f ( x).e .dx = e isa F ( s ) isx 2π −∞ 6. State the Fourier transforms of the derivatives of a function. 26
  • 27.
    Ans: F ( f ( n ) ( x) ) = (−is ) n F ( s ) 7. Find the Fourier sine transform of f ( x ) = e − x . Ans: ∞ 2 FS [ f ( x)] = π ∫ f ( x ). sin sx dx 0 Here e − x = e − x for x > 0 2 ∞ 2 s   ∞ −ax b  ∫ e .sin sx dx = π  s 2 + 1  ∫ e sin bx dx = 2 −x =  π 0    0 a + b2  2 s  = π  s 2 + 1   1 s 8. Prove that FC [ f (ax)] = FC   , a > 0 a a Proof: ∞ 2 FC [ f (ax)] = ∫ f (ax). cos sx dx π 0 Put ax = y dy a dx = dy i.e., dx = a When x = 0, y = 0 and x = ∞, y=∞ ∞ ∞ 2  sy  dy 1 2 s FC [ f (ax)] = ∫ f ( y). cos a . a = a π ∫ f ( x). cos a  x.dx π0   0   1 = FC ( s a ) a dF ( s ) 9. If F(s) is the Fourier transform of f (x ) then prove that F [ x. f ( x )] = (−i ) ds Proof: ∞ 1 F (s) = ∫ f ( x )e isx dx 2π −∞ ∞ ∫ ds [ f ( x)e ]dx dF ( s ) 1 d ∴ = isx ds 2π −∞ ∞ i = ∫ [ x. f ( x)]e dx = iF [ xf ( x)] isx 2π −∞ dF ( s) ∴ ( −i ) = F [ x. f ( x)] ds 27
  • 28.
    10. Find theFourier sine transform of f ( x) = e ax Ans: ∞ 2 FS [ f ( x)] = π ∫ f ( x ). sin sx dx 0 2 ∞ 2 s   ∞ −ax b  = ∫ e .sin sx dx = π  s 2 + a 2   ∫ e sin bx dx = 2 ax  π 0    0 a + b2  2 s  = π  s2 + a2    1 11. Find Fourier sine transform of x Ans: ∞ 2 FS [ f ( x)] = ∫ f ( x). sin sx dx π 0 ∞ 2 1 = π ∫ x .sin sx dx 0 2π π  ∞ sin ax π  = =  ∫ dx = , a > 0 π 2 2  0 x 2  12. Find Fourier cosine transform of f ( x ) = e − x Ans: ∞ 2 FC [ f ( x)] = π ∫ f ( x). sin sx dx 0 ∞ 2 2 1  ∫ e .cos sx dx = π  s 2 + 1 −x = π 0   2 1   ∞ −ax a  =  ∫ e cos bx dx = 2  π  s 2 + 1    0 a + b2  1 13. If F(s) is the Fourier transform of f (x ) then FS [ f ( x) cos ax ] = [ FS ( s + a) + FS ( s − a)] 2 Proof: ∞ 2 FS [ f ( x) cos ax ] = π −∫ f ( x ). cos ax. sin sx.dx ∞ ∞ 2 1 f ( x){ sin(a + s) x − sin(a − s) x} dx π 2 −∫ = . ∞ ∞ ∞ 1 2 1 2 = . 2 π−∫∞ f ( x) sin(a + s) x.dx + 2 . π −∫∞ f ( x).sin(a − s) x.dx 28
  • 29.
    1 FS [ f ( x ) cos ax ] = [ FS ( s + a) + FS ( s − a)] 2 1 14. If F(s) is the Fourier transform of f (x ) then F [ f ( x) cos ax ] = [ F ( s + a ) + F ( s − a )] 2 Proof: ∞ 1 F [ f ( x) cos ax ] = ∫ f ( x). cos ax.e isx dx 2π −∞ ∞ 1  e iax + e −iax  = ∫ 2π −∞ f ( x).e isx    2 dx   ∞ ∞ 1 1 1 1 ∫∞ f ( x).e dx + 2 . 2π ∫ f ( x).e i( s+a ) x i ( s −a ) x = . dx 2 2π − −∞ 1 1 1 = f ( s + a ) + f ( s − a ) = [ f ( s + a ) + f ( s − a )] 2 2 2 1 F [ f ( x) cos ax ] = [ F ( s + a ) + F ( s − a)] 2 1 s 15. If F(s) is the Fourier transform of f (x ) then F [ f (ax)] = F  ,a>0 a a Proof: ∞ 1 F [ f (ax)] = ∫ f (ax).e isx dx 2π −∞ Put ax = y dy a dx = dy i.e., dx = a When x = −∞, y = −∞ and x = ∞, y=∞ ∞ y ∞ s 1 dy 1 1 i  y F [ f (ax)] = is 2π ∫ −∞ f ( y ).e a . = a a 2π ∫ −∞ f ( y ).e  a  .dy 1 = F ( s a) a 29
  • 30.
    PART B 1. Findthe Fourier Transform of 1 − x 2 in x ≤ 1  f ( x) =  0  in x > 1 ∞ sin s − s cos s s 3π Hence prove that ∫ 3 cos ds = . 0 s 2 16 e − ax 2. Find the Fourier cosine transform of . x 3. Find the Fourier Transform of f (x ) if 1 − x , x < 1  f ( x) =  0,  x >1 ∞ 4  sin t  π Hence deduce that ∫   dt = 0 t  3 ∞ dx 4. Evaluate ∫ (x 0 2 + a )( x 2 + b 2 ) 2 using transforms 5. Find the Fourier transform of e − a x and hence deduce that ∞ cos xt π −a x (i) ∫ 2 2 dt = e 0 a +t 2a [ (ii) F xe −a x ]=i 2 2as π (s + a 2 ) 2 2 a 2 − x 2  x <a 6. Show that the Fourier transform of f ( x) =  is 0  x >a>0 ∞ 2  sin as − as cos as  sin t − t cos t π 2   . Hence deduce that ∫ dt = . Using Parseval’s identity π s 3  0 t 3 4 ∞ 2  sin t − t cos t  π show that ∫  3  dt = . 0  t 15 7. . Find the Fourier transform of f (x) if 1, x < 1 f ( x) =  0, otherwise ∞ ∞ sin x sin 2 x π Hence deduce that ∫ dx = ∫ 2 dx = 0 x 0 x 2 8. Derive the parseval’s identity for Fourier transforms. 30
  • 31.
    9. Find theFourier sine transform of sin x, 0 < x ≤ a f ( x) =  0, a≤x<∞ 10. Find the Fourier transform of e −4 x and hence deduce that ∞ cos 2 x π (i) ∫ 2 dx = e −8 0 x + 16 8 ∞ x sin 2 x π (ii) ∫x 0 2 + 16 dx = e −8 2 11. State and prove convolution theorem for Fourier transforms. 12. Using Parseval’s identity calculate ∞ ∞ dx x2 (i) ∫ 2 , (ii) ∫ 2 dx if a > 0. 0 (a + x 2 ) 2 0 (a + x 2 ) 2 2 2 13. Find the Fourier cosine transform of e − a x 2 14. (i) Find the Fourier cosine transform of e − x (ii) Find the Fourier sine transform of  x, 0 < x <1  f ( x ) = 2 − x , 1< x < 2 0 x>2  15. Find Fourier sine and cosine transform of e − x and hence find the Fourier sine transform x 1 of 2 and Fourier cosine transform of 2 . x +1 x +1 31