Chapter 5

                                          Z-Transforms
Introduction:
           In Communication Engineering, two basic types of signals are encountered.
They are
(1) Continuous time signals.
(2) Discrete time signals.
Continuous time signals are defined for continuous values of the independent variable,
namely time and are denoted by a function { f ( t )} .
Discrete time signals are defined only at discrete set of values of the independent
variable and are denoted by a sequence { f ( n )} .
Z-transform plays an important role in analysis of linear discrete time signals.

Definition of z-transform:
                                                                                  ∞
             If { f ( n )}   is a sequence defined for n = 0,±1,±2,... .,then   ∑ f ( n)z
                                                                                n = −∞
                                                                                            −n
                                                                                                 is called

the two-sided or bilateral Z-transform of { f ( n )} and denoted by Z { f ( n )} or f ( z )
,where z is a complex variable in general.
          If { f ( n )} is a casual sequence, i.e if , f ( n ) = 0 for n<0,then the Z-transform is
called one-sided or unilateral Z-transform of { f ( n )} and is defined as
                                                            ∞
                                Z { f ( n )} = f ( z ) = ∑ f ( n ) z −n
                                                           n =0
We shall mostly deal with one sided Z-transform which will be hereafter referred to as
Z-transform.

Properties of Z-transforms:
(1) Linearity:

     The Z-transform is linear
          Z { af ( n ) + bg ( n )} = aZ { f ( n )} + bZ { g ( n )} .
Proof:
                                          ∞
              Z { af ( n ) + bg ( n )} = ∑ { af ( n ) + bg ( n )} z −n
                                         n =0
                                           ∞                      ∞
                                     = a∑ f ( n) z    −n
                                                           + b∑ g ( n ) z −n
                                          n =0                    n=o

           Z { af ( n ) + bg ( n )} = aZ { f ( n )} + bZ { g ( n )}
similarly, Z { af ( t ) + bg ( t )} = aZ { f ( t )} + bZ { g ( t )} .

(2)Time Shifting:



                                                                                                             1
(i) Z { f ( n − n0 )} = z 0 .Z { f ( n )} or z 0 f ( z )
                          −n                   −n


 (ii) Z { f ( t + T )} = z{ f ( z ) − f ( 0 )}
 Proof:
                                  ∞
 (i ) Z { f ( n − n 0 ) } = ∑ f ( n − n 0 ) z − n
                                 n =0
                                  ∞
                          =      ∑ f ( m) z
                               m = − n0
                                               − ( m + n0 )



                                          ∞
                          = z − n0 ∑ f ( m ) z −m              { f ( n ) is causal}
                                        m =0
                                  ∞
                                                                              ∞
                                                                                                
  (ii ) Z { f ( t + T )} = ∑ f ( nT + T ) z − n                Z  f ( t ) = ∑ f ( nT ) z − n  
                                                                                                 
                                 n=0                                         n=0              
                                 ∞
                           = ∑ f { ( n + 1)T } z − n
                                n =0
                                 ∞
                           = ∑ f ( mT ) z −( m −1)
                                m =1

                           ∞                             
                       = z ∑ f ( mT ) z − m − f ( 0) 
                           m = 0                         
                       = z{ f ( z ) − f ( 0)}
 Extending this result, we get
                                                  f ( T ) f ( 2T )         f { ( k − 1)T } 
     Z { f ( t + kT )} = z k  f ( z ) − f ( 0 ) −        −         − ... −                 
                                                    z       z  2
                                                                                  z k −1    

(3)Frequency Shifting:
 (i) Z {a f ( n )} = f  
          n             z
                        a

 (ii) Z {a f ( t )} = f  
           n            z
                        a
 Proof:
 (i ) Z { a n f ( n ) } = ∑ a n f ( n ) z − n
                           ∞


                           n=0

                            ∞                  −n
                            z
                  = ∑ f ( n) 
                    n =0    a
                       z
                  = f 
                       a
 Similarly (ii) can be proved.

 Corollary:
 If Z { f ( t )} = f ( z ) , then Z {e − at f ( t )} = f ( ze aT )


                                                                                                      2
The result follows, if we replace a n by e − anT or ( e − aT ) in (ii).
                                                                          n




(4)Time Reversal for Bilateral Z-Transform:
                                                    1
If Z { f ( n )} = f ( z ) , then Z { f ( − n )} = f  
                                                    z
Proof:
                                ∞
     Z { f ( − n )} =          ∑ f ( − n)z        −n

                              n = −∞
                               −∞
                          =   ∑ f ( m) z
                              m =∞
                                              m



                                ∞                      −m
                                              1
                          =   ∑         f ( m) 
                              m = −∞          z
                             1
                          = f 
                             z

(5) Differentiation in the Z-Domain:
                         d
(i) Z { nf ( n )} = − z     f ( z)
                         dz
                         d
(ii) Z { nf ( t )} = − z    f ( z)
                         dz
Proof:
(i)

                                                             ∞
                (i )      f ( z ) = Z { f ( n )} = ∑ f ( n ) z − n
                                                            n =0
                                          ∞
                  d
                     f ( z ) = ∑ − nf ( n ) z −n −1
                  dz           n =0

                            1 ∞
                              ∑ nf ( n ) z −n
                            z n =0
                                    =−

                              d
          Z { nf ( n )} = − z      f ( z)
                              dz
Similarly, (ii) can be proved.

(6) Initial Value Theorem:
(i) If Z { f ( n )} = f ( z ) , then f ( 0 ) = lim f ( z )         z →∞

(ii) If Z { f ( t )} = f ( z ) , then f ( 0 ) = lim f ( z )
                                                z →∞

Proof:
                                    ∞
         (i )          f ( z ) = ∑ f ( n )z −n
                                    n=0




                                                                              3
f (1) f ( 2 )
                           = f ( 0) +             + 2 + ...∞
                                               z    z
         lim{ f ( z )} = f ( 0)
         z →∞

Similarly, (ii) can be proved.

(7) Final value Theorem:
(i) If Z { f ( n )} = f ( z ) , then lim{ f ( n )} = lim{( z − 1) f ( z )}
                                               n →∞             z →∞

(ii) If Z { f ( t )} = f ( z ) , then lim{ f ( t )} = lim{( z − 1) f ( z )}
                                      t →∞            z →∞

Proof:
                              ∞
(i ) Z { f ( n + 1)} = ∑ f ( n + 1) z − n
                             n =0


                         = ∑ f ( m ) z − m+1 = z{ f ( z ) − f ( 0 )}
                              ∞


                             m =1

zf ( z ) − zf ( 0 ) − f ( z ) = Z { f ( n + 1)} − Z { f ( n )}
                                      ∞
 ( z − 1) f ( z ) − zf ( 0) = ∑ { f ( n + 1) − f ( n )} z −n
                                    n =0
Taking limits as z tends to 1,
 lim{( z − 1) f ( z )} − f ( 0 ) = ∑ { f ( n + 1) − f ( n )}
                                              ∞

  z →1
                                             n =0

                                          = lim{ f (1) − f ( 0)} + { f ( 2 ) − f (1)} +  + { f ( n + 1) − f ( n )}
                                            n →∞

                                          = lim{ f ( n + 1) − f ( 0 )}
                                            n →∞

                                          = lim{ f ( n ) − f ( 0 )}
                                            n →∞

                  lim{ f ( n )} = lim{( z − 1) f ( z )}
                  n →∞                      z →1

Similarly, (ii) can be proved, starting with property 2(ii).

(8) Convolution Theorem:
Definitions:
       The convolution of the two sequences { f ( n )} and { g ( n )} is defined as
                               ∞
(i) { f ( n ) * g ( n )} =    ∑ f ( r ).g ( n − r ) , if the sequence are non causal and
                             r = −∞
                                 n
(ii) { f ( n ) * g ( n )} = ∑ f ( r ).g ( n − r ) , if the sequences are causal.
                              r =0

 The convolution of two functions f ( t ) and g ( t ) is defined as
                     n
  f ( t ) * g ( t ) = ∑ f ( rT ).g ( n − r )T , where T is the sampling period.
                    r =0




                                                                                                                      4
Statement of the theorem:
 (i) If Z { f ( n )} = f ( z ) , and Z { g ( n )} = g ( z ) , then Z { f ( n ) * g ( n )} = f ( z ).g ( z ).
 (ii) If Z { f ( t )} = f ( z ) , and Z { g ( t )} = g ( z ) , then Z { f ( t ) * g ( t )} = f ( z ).g ( z ).
 Proof:
 (For the bilateral z=transform)
                                      ∞                    
 (i) Z { f ( n ) * g ( n )} = Z  ∑ f ( r ).g ( n − r ) 
                                     r = −∞                
                                    ∞
                                           ∞
                                                               
                            = ∑  ∑ f ( r ) g ( n − r ) z − n
                                 n = −∞ r = −∞                
                                     ∞             ∞
                              =    ∑        f ( r ) ∑ g ( n − r ) z −n
                                   r = −∞        n = −∞
By changing the order of summation,
                         ∞
                                 ∞                     
                    = ∑ f ( r )  ∑ g ( m ) z −( m+ r )  , by putting n-r=m
                      r = −∞    m= −∞                  
                         ∞
                                      ∞
                                                        
                    = ∑ f ( r )z −r  ∑ g ( m) z −m 
                      r = −∞        m = −∞             
                                      ∞
                               =    ∑ f ( r )z
                                    r = −∞
                                                    −r
                                                          .g ( z )

                               = f ( z ).g ( z )
                                   −r           −s 
                        ∞                ∞
(ii) f ( z ).g ( z ) = ∑ f ( rT ) z ∑ g ( sT ) z 
                       r =0            s =0        

                    = ∑ h( nT ) z − n                                       ……………(1)

                            Say, where

           h( nT ) = f ( 0.T ) g ( nT ) + f (1.T ).g { ( n − 1)T } + ... + f ( nT ).g ( 0.T )

                        n
                    = ∑ f ( rT ).g { ( n − r )T }                           ……………(2)
                       r =0
Using (2) in (1), we get

                         ∞
                             n                        
      f ( z ).g ( z ) = ∑ ∑ f ( rT ) g { ( n − r )T }  z −n
                        n =0  r = 0                   
                        ∞
                    = ∑ { f ( t ) * g ( t )} z − n
                       n =0

                    = Z { f ( t ) * g ( t )}




                                                                                                                5
Z-Transforms of some basic functions:
(1) Z {δ ( n )} , where δ ( n ) is the unit impulse sequence defined by
                         1, for n = 0
                δ ( n) = 
                         0, for n ≠ 0
                                ∞
                 Z {δ ( n ) } = ∑ δ ( n ) z − n = 1
                               n=0



(2) Z ( k ) and Z {U ( n )} , Where k is a constant and U ( n ) is the unit step sequence
defined by

                      1, for n ≥ 0
             U ( n) = 
                      0, for n < 0
               ∞
                            1 1      
(i) Z ( k ) = ∑ kz = k 1 + + 2 +  ∞ 
                     −n

              n =0             z z   
                           kz
                        =
                          z −1
                                                             1
Where the region of convergence (ROC) is                       < 1 or z > 1 .
                                                             z
(ii) In particular,
                                       z
           Z (U ( n ) ) = Z (1) =         , if z > 1 and
                                     z −1
                               z
            Z {U ( t )} =
                             z −1

                    {    }
(3) Z {a n }, Z ( − 1) n , Z {e at }, Z {e − at } and Z {a n −1 }

 (i) Z {a } =
                     z                                a
           n
                          , where the ROC is             < 1 or z > a .
                   z−a                                z
       {
 (ii) Z ( − 1) =}n      z
                      z +1
                             , where the ROC is z > 1 .

 (iii) Z {e } =
            at         z
                              .
                    z − e aT
 (iv) Z {e } =
            − at         z
                                 .
                     z − e −aT
  (v) Z {a } =
             n −1       1
                             , if n ≥ 1.
                      z−a

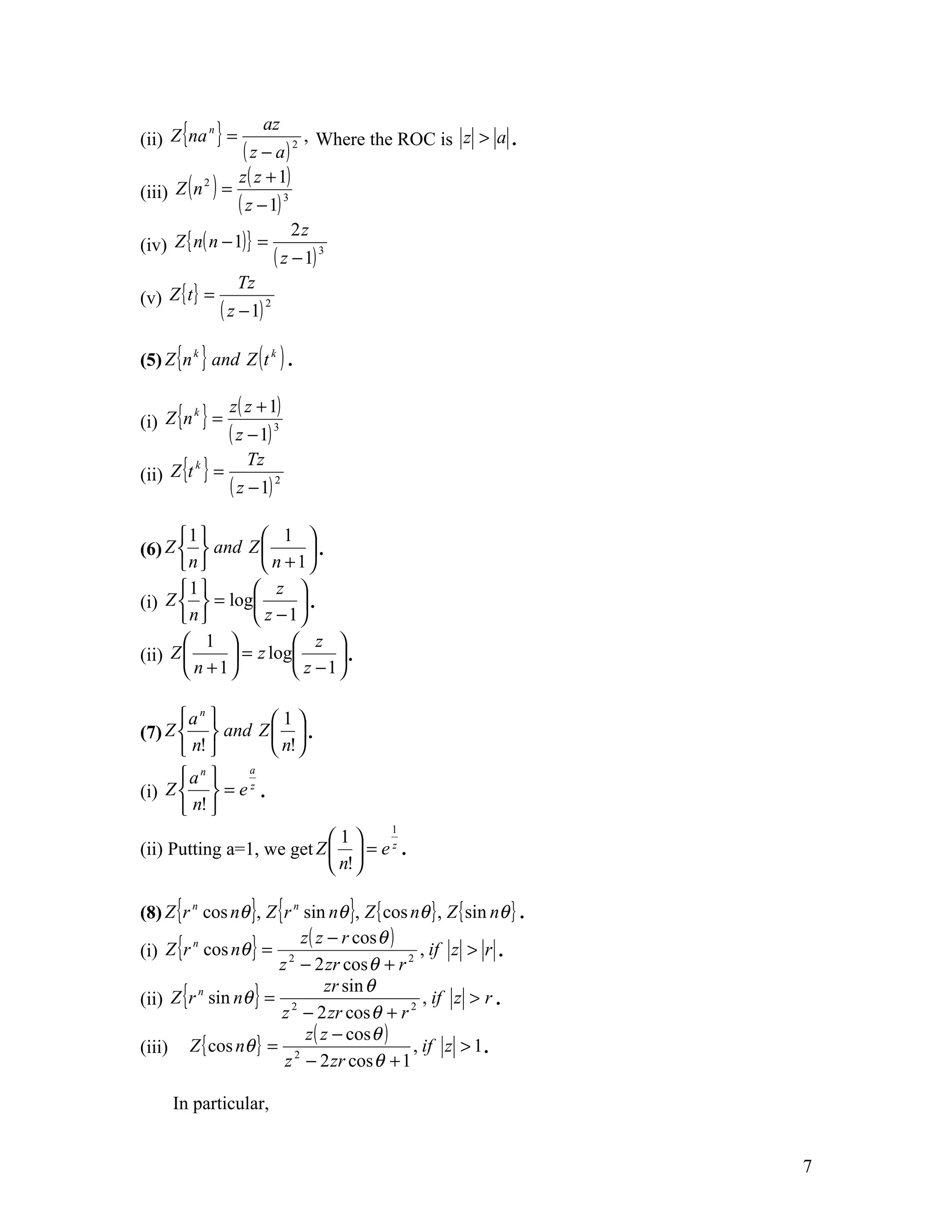
(4) Z { n} , Z {na n }, Z {n 2 }, Z { n( n − 1)} and Z { t } .
                   z
(i) Z { n} =              .
               ( z − 1) 2


                                                                                            6
(ii) Z {na } =
          n            az
                               , Where the ROC is z > a .
                   ( z − a) 2
                  z ( z + 1)
(iii) Z ( n ) =
            2

                  ( z − 1) 3
                             2z
(iv) Z { n( n − 1)} =
                         ( z − 1) 3
                  Tz
(v) Z { t } =
              ( z − 1) 2

(5) Z {n k } and Z ( t k ) .

                 z ( z + 1)
(i) Z {n } =
        k

                ( z − 1) 3
(ii) Z {t } =
         k          Tz
                 ( z − 1) 2

      1          1 
(6) Z   and Z          .
      n          n + 1
      1         z 
(i) Z   = log         .
      n         z −1
        1             z 
(ii) Z        = z log     .
        n + 1         z −1

      an      1
(7) Z   and Z   .
       n!      n! 
      an   a

(i) Z  = ez .
       n! 
                                           1
                           1
(ii) Putting a=1, we get Z   = e z .
                            n! 

(8) Z {r n cos nθ }, Z {r n sin nθ }, Z { cos nθ } , Z { sin nθ } .
                           z ( z − r cos θ )
(i) Z {r cos nθ } = 2                          , if z > r .
         n

                       z − 2 zr cos θ + r 2
                                zr sin θ
(ii) Z {r sin nθ } = 2                          , if z > r .
          n

                        z − 2 zr cos θ + r 2
                            z ( z − cos θ )
(iii) Z { cos nθ } = 2                        , if z > 1 .
                        z − 2 zr cos θ + 1

      In particular,


                                                                      7
    nπ       z2
                   Z cos     = 2        .
                          2  z +1
                        z sin θ
(iv) Z { sin nθ } = 2                , if z > 1 .
                   z − 2 z cos θ + 1

      In particular,

                         nπ       z
                      Z sin   = 2   .
                            2  z +1

(9) Z { cos wt } , Z { sin wt } , Z {e − at cos bt }, Z {e − at sin bt } .
                              z ( z − cos wT )
(i)       Z { cos wt } = 2                            , if z > 1 .
                           z − 2 z cos wT + 1
                                  z sin wT
(ii)      Z { sin wt } = 2                            , if z > 1 .
                           z − 2 z cos wT + 1
                                ze aT ( ze aT − cos bT )
(iii) Z {e cos bt } = 2 2 aT
          − at
                                                                 .
                            z e − 2 ze aT cos bT + 1
(iv) Z {e − at sin bt } = 2 2 aT
                                     ze aT sin bT
                                                                .
                           z e − 2 ze aT cos bT + 1

Problems:

   (1) Find the bilateral Z-transforms of
   (i) a n δ ( n − k ) ,
   (ii) − α nU ( − n − 1) ,
   (iii) − nα nU ( − n − 1) ,
Solution:

                                1, for n = k
     (i)            δ (n − k) = 
                                0, for n = k

                                     ∞
              Z {δ ( n − k ) } =   ∑δ ( n − k ) z   −n
                                                          = z −k
                                   n = −∞
           By property 3,
                                            −k

           Z {a δ ( n − k ) } =  
                n               z
                                a
                                1, if − n − 1 ≥ 0, i.e. if n ≤ 1
               U ( − n − 1) = 
                                0, if − n − 1 < 0, i.e. if n > −1
                                     ∞
            Z {U ( − n − 1)} =     ∑U ( − n − 1) z       −n

                                   n = −∞




                                                                             8
∞                  ∞
                        =    ∑z
                            n = −∞
                                     −n
                                          or   ∑z
                                                n =1
                                                       n



                         = z (1 + z + z +  ∞ )2


                              z
                         =
                           1− z
          Z {a n f ( n )} = f  ,
                               z
(ii)
                               a
         By property 3, which is true for bilateral Z-transform also.
                                       z
           Z {α nU ( − n − 1)} = α or
                                                z
                                                  s
                                     1−
                                         z  α−z
                                         α
         Z {− α nU ( − n − 1)} =
                                       z
                                     z −α

                        d
(iii) Z { nf ( n )} = − z
                       dz
                           { f ( z )}, by property5.
                                                        αz
       Z {− nα nU ( − n − 1)} = − z 
                                       d  z 
                                                  =
                                       dz  z − α  ( z − α ) 2

(2) Find the Z-transforms of
(i) a n cosh an and
(ii) 2 n sinh 3n
Solution:
                       n  e an + e − an                  
(i) Z {a cosh an} = z a                                  
          n
                                2                         
                                                         
                       =
                        1
                        2
                              [{    n
                                               } {
                          Z ( ae a ) + Z ( ae − a )
                                                    n
                                                                }]
                                                      ( z ( b ) ) = z − b 
                        1 z                z                         z 
                       =             +       −a 
                                                               n

                        2  z − ae a
                                        z − ae                            

                            z  2 z − a( e a + e − a ) 
                       =
                            2  z 2 − a( e a + e −a ) z + a 2 
                                                             


                               z ( z − a cosh a )
                        =
                            z − 2a( cosh a ) z + a 2
                              2




                        n  e 3n − e −3n                  
(ii) Z {2 sinh 3n} = Z 2                                 
         n
                                 2                        
                                                         



                                                                                9
=
                      1
                      2
                             [{    n
                                     }
                        Z ( 2e 3 ) − Z {( 2e −3 ) n}   ]
                      1 z                 z    
                     =              −       −3 
                      2  z − 2e  3
                                       z − 2e 
                      z        2( e 3 − e −3 ) 
                     =
                      2  z − 2( e + e ) z + 4 
                         2          3     −3   

                           2 z sinh 3
                     = 2
                      z − 4 z cosh 3 + 4

(3) Find Z-transforms of
                    1
(i) f ( n ) =             , and
                n( n − 1)
                      2n + 3
(ii) f ( n ) =
                 ( n + 1)( n + 2)
Solution:
                           1      1    1
(i)         f ( n) =            =    −
                      n( n − 1) n − 1 n

     1  ∞  1  −n
   Z       = ∑          z
     n − 1 n = 2  n − 1 
                         2          3
                     1 1        1 1
                  = .  + .  + 
                     1z         2 z
                     1          1 
                  = − log1 − 
                     z          z 
                     1  z 
                  = log           
                     z       z −1
            1           z 
         Z   = log             [Refer to basic transform (6)]
            n           z −1
                        1          1 
     Z { f ( n )} = Z         − Z 
                        n − 1      n
                 1   z 
              =  − 1 log           
                  z   z −1
                  z −1  z −1
              =          log       
                  z   z 
                    2n + 3           1       1
(ii) f ( n ) =                   =       +
               ( n + 1)( n + 2) n + 1 n + 2 , by partial fractions.
                       1               z 
                    Z         = z log        [Refer to basic transform (6)]
                       n + 1           z −1



                                                                                  10
 1  ∞ 1
               Z       =∑          .z − n
                 n + 2  n =0 n + 2
                                                  2
                            1 1 1 1 1
                           = + . + .  + 
                            2 3 z 4 z
                                      1  1  2 1  1 3 
                              = z 2  .  + .  + 
                                     2  z 
                                                  3 z  
                                                          
                                             1  1
                              = z 2 − log1 −  − 
                                             z  z
                                          z 
                              = z 2 log          − z
                                          z −1
                                     1           1 
                 Z { f ( n )} = Z           + Z      
                                     n +1       n+2
                                                z 
                              = z ( z + 1) log       −z
                                                z −1

(4) Find the Z-transforms of
        2  nπ 
(i) sin          
           4 
        3  nπ 
(ii) sin          , and
           6 
           nπ π 
(iii) cos        + 
           2         4
Solution:
                           2  nπ    1         nπ 
(i) Let f ( n ) = sin             = 1 − cos      
                              4  2             2 
                         1 1             nπ 
        Z { f ( n )} = Z   − Z  cos         
                         2 2              2 
                                                π
                                       z z − cos 
                           z       1             2
                     =           −
                       2( z − 1) 2 2             π
                                     z − 2 z cos + 1
                                                  2
[Refer to basic transform (8)]
                       1 z          z2 
                     =          − 2      
                       2  z − 1 z + 1
                      3  nπ 
(ii) Let f ( n ) = sin      
                         6 
                    3     nπ 1      nπ
                 = sin        − sin
                    4      6 4       2


                                                              11
3        nπ  1           nπ 
       Z { f ( n )} = Z  sin      − Z  sin        
                    4          6  4           2 
                   3         z sin π           1         z sin π
               = . 2                 6      − . 2                2
                   4 z − 2 z cos π + 1 4 z − 2 z cos π + 1
                                       6                           2
By basic transform (8)
                   3          z          1    z
               = . 2                   − . 2
                   8 z − z 3 +1 4 z +1
                             nπ π 
(iii)  Let f ( n ) = cos         + 
                             2      4
                            nπ       π       nπ        π
                    = cos        cos − sin        sin
                             2       4        2        4
                        1          nπ             nπ 
       Z { f ( n )} =       Z  cos      − Z  sin     
                         2           2             2 
                           1  z2           z 
                         =     2       − 2   
                            2  z + 1 z + 1
                           1 z ( z − 1)
                         =
                            2 z +1
                                 2




(5) (i) Use initial value theorem to find f ( 0 ) , when

                                            ze aT ( ze aT − cos bT )
                                f ( z ) = 2 2 aT
                                         z e − 2 ze aT cos bT + 1

    (ii) Use final value theorem to find f ( ∞ ) , when
                                      Tze aT
                         f ( z) =
                                  ( ze aT − 1) 2
Solution:
(i)      By initial value theorem,
                 f ( 0) = lim{ f ( z )}
                                 z →∞

                              aT  aT 1                        
                              e  e − z cos bT 
                                                                
                                                                 
                      = lim                     
                                                                 
                              e 2 aT − e cos bT + 1
                                         2 aT
                        z →∞
                                                                 
                             
                                        z         z2            
                                                                 
                      = 1.
(ii)      By final value theorem,

                        f ( ∞ ) = lim{( z − 1) f ( z )}
                                  z →1




                                                                       12
 ( z − 1)Tze aT 
                        = lim                   
                                 ( ze − 1) 
                           z →1         aT


                        = 0.

(6) Use convolution theorem to find the sum of the first n natural numbers.
Solution:
                          n
1+ 2 + 3 ++ n = ∑k
                         k =0
                           n
                       = ∑ rU ( r )U ( n − r ) [ U ( r ) = 1, as r ≥ 0 and U ( n − r ) = 1, as r ≤ n]
                         r =0

                   = { nU ( n )} * U ( n )
∴ By convolution theorem,
          n 
        Z ∑ k  = Z { nU ( n )} Z {U ( n )}
           k =o 
                          z         z           z2
                   =            .        =
                     ( z − 1) 2 z − 1 ( z − 1) 3
Taking inverse Z-transforms,
                     −1     z2 
             n

           ∑ k = Z  ( z − 1) 3 
           k =0                    
                         1  z ( z + 1) + z ( z − 1) 
                        
                 = Z −1                              
                        2         ( z − 1) 3        
                                                      
                                                        
                   1   z ( z + 1) 
                                                   z            
                 = Z −1                 + Z −1                
                   2   ( z − 1)     3           ( z − 1) 2   
                                                               
                                                                   
                 = ( n 2 + n)
                   1
                   2
                   1
                 = n( n + 1)
                   2

(7) Use convolution theorem to find the inverse Z-transform of
                 8z 2
   (i)                          and
         ( 2 z − 1)( 4 z + 1)
               z2
   (ii)
           ( z + a) 2
Solution:
                             8z 2                  z      z 
                                                              
               Z −1                        = Z −1       .
                                                        1 z+ 1 
        (i)
                     ( 2 z − 1)( 4 z + 1)         z − 2
                                                             4
                                                               




                                                                                                   13
 z               z 
                                                                       
                                        = Z −1          * Z −1         
                                                z − 12 
                                                                z + 14 
                                                                         

                                                          ( )
                                                  n
                                          1                          n
                                        =   * −1
                                          2      4

                                                                 (− 1 4 )
                                                          n−r
                                            n
                                               1                              r
                                        = ∑ 
                                          r =0  2 



                                                      ∑ ( 1 2 ) (− 1 4 )
                                                  n n                  −r
                                         1                                         r
                                        = 
                                         2          r =0
                                                  n n                      r
                                         1           −1
                                        = 
                                         2
                                                 ∑ 2 
                                                 r =0      

                                        = ( )
                                          1 
                                                 
                                               n 1 −
                                                         1
                                                           2 
                                                                 ( )
                                                               n +1
                                                                    
                                            2
                                                  1 − − 12 
                                                 
                                                                  ( )
                                                                    
                                                                    
                                          2  1                      n
                                                                           ( )
                                                      n
                                                          1            
                                        =   + . − 1 
                                          3  2          2         4 
                                                                       
                                          2
                                        = 1
                                          3     2
                                                 ( )n    1
                                                       + −1
                                                         3        4
                                                                     n
                                                                       ( )
                            z2                z            z 
      (ii)            Z −1         2 
                                        = Z −1          .          
                           ( z + a)          z + a z + a
                                                z               −1   z 
                                        = Z −1          *Z             
                                                z+a                 z+a
                                         = ( − a) * ( − a)
                                                      n                n

                                             n
                                         = ∑ ( − a ) .( − a )
                                                             r                 n−r

                                           r =0
                                             n
                                         = ∑ ( − a)
                                                             n

                                           r =0

                                         = ( n + 1)( − a )
                                                                   n




Inverse Z-transforms:

        The inverse of Z-transform of f ( z ) has been already defined as
Z { f ( z )} = f ( n ) , when Z { f ( n )} = f ( z ) .
 −1




Z −1 { f ( z )} can be found out by any one of the following methods.

Method 1 (Expansion method)


                                                                                         14
If f ( z ) can be expanded in a series of ascending powers of z −1 , i.e in the
            ∞
form       ∑ f ( n)z
           n =0
                           −n
                                , by binomial, exponential and logarithmic theorems, the coefficient of

z − n in the expansion gives Z { f ( z )} .
                              −1




Method 2 (Long division method)
                                                                                                 g ( z −1 )
                       When the usual methods of expansion of f ( z ) fail and if f ( z ) =
                                                                                                 h( z −1 )
                                                                                                            ,

then g ( z −1 ) is divided by h( z −1 ) in the classical manner and hence the expansion
 ∞

∑ f ( n)z
n =0
                  −n
                       is obtained in the quotient.


Method 3 (partial fraction Method)
               When f ( z ) is a rational function in which the denominator can be factorised,
 f ( z ) is resolved in to partial fraction and then Z −1 { f ( z )} is derived as the sum of the
inverse Z-transforms of the partial fractions.

Method 4 (By Cauchy’s Residue Theorem)
                 By using the relation between the Z-transform and Fourier transform of a
sequence, it can be proved that
                     1
           f ( n) =     ∫ f ( z ) z dz
                                   n −1

                    2πi C
Where C is a circle whose centre is the origin and radius is sufficiently large to include
all the isolated singularities of f ( z ) .
By Cauchy’s residue theorem,
∫ f ( z ) z dz = 2πi x sum of the residues of f ( z ) z n−1 at the isolated singularities.
            n −1



       ∴        f ( n ) = Sum of the residues of f ( z ) z n −1 at the isolated singularities.

Use of Z-transforms to solve Finite Difference equations:
              Z-transforms can be used to solve finite difference equation of the form
ay ( n + 2) + by ( n + 1) + cy ( n ) = φ ( n ) with given values of y(0) and y(1).
Taking Z-transforms on both sides of the given difference equation and using the values
of y(0) and y(1), we will get y ( z ) . Then

                                Z −1 { y ( z )} will give y ( n ) .
       To express Z { y ( n + 1)} and Z { y ( n + 2 )} in terms of y ( z ) .

       (i) z{ y ( n + 1)} = zy ( z ) − zy ( 0) .
       (ii) Z { y ( n + 2 )} = z 2 y ( z ) − z 2 y ( 0) − zy (1) .



                                                                                                                15
Problems:
                                                        1 + 2 z −1
(1) Find the inverse Z-transform of                                , by the long division method.
                                                         1 − z −1
   Solution:
               (1 − z )1 + 2 z (1 + 3z
                     −1             −1           −1
                                                      + 3 z −2
                          1 − z −1
                           3 z −1
                           3 z −1 − 3 z −2
                                     3z −2
                                     3 z − 2 − 3z −3
                                               3 z −3
          1 + 2 z −1
   Thus              = ∑ f ( n ) z − n = 1 + 3 z −1 + 3z − 2 +  + 3 z − n + 
           1 − z −1
                      1, for n = 0
   ∴         f ( n) = 
                      3, for n ≥ 1 ,
   or     f ( n ) = 1 + 2U ( n − 1)

                                                            1
(2) Find the inverse Z-transform of                                , by the long division method.
                                                        1 + 4 z −2
   Solution:
          (1 − 4 z −2 )1      (1 − 4 z   −2
                                              + 16 z −4 − 64 z −6
                     1 + 4 z −2
                      − 4 z −2
                      − 4 z − 2 − 16 z −4
                               16 z − 4
                               16 z − 4 + 64 z −6
                                             − 64 z −6
                                             − 64 z −6 − 256 z −8
                                                          256 z −8
            1
                −2
                    = 1 − 4 z −2 + 16 z −4 − 64 z −6 + 
        1 + 4z
                       ∞
                                  nπ −n
   Thus            = ∑ 2 n cos        z                  ,
                      n =0         2
                             nπ
           f ( n ) = 2 n cos
                               2




                                                                                                    16
−1          4z 3         
(3) Find Z                           by the method of partial fractions.
               ( 2 z − 1) ( z − 1) 
                           2


    Solution:
            f ( z)              4z 2              A           B         C
      Let           =                       =          +             +
                        ( 2 z − 1) ( z − 1)  ( 2 z − 1) ( 2 z − 1)     z −1
                                   2                                 2
              z
              f ( z)         6          2           4
                      =−          −             +
                z         2 z − 1 ( 2 z − 1) 2
                                                  z −1
                             3z     1         z        4z
               f ( z) = −          − .              +
                          z− 1
                                 2
                                    2 z− 1  (   2
                                                  2
                                                     )z −1

                                              1          
                              z                  z 
    Z −1 { f ( z )} = −3Z −1 
                                        −1     2                  z 
                                      −Z              2 
                                                            + 4 Z −1       
                              z − 12        z − 1               z − 1
                                     
                                             
                                             
                                                      
                                                    2   

                      ( )                                                                                   
                                        n

                                                 Z ( a ) =                         Z ( na n ) =
                              n    1                            z                                   az
                    = −3 1
                                                          n
                                − n  + 4                               and                                 
                           2       2                         z−a                                 ( z − a) 
                                                                                                           2

                                     n
                              1
               = 4 − ( n + 3)  
                              2

                       z2         
(4) Find Z −1                      , by using Residue theorem.
               ( z − a )( z − b ) 
    Solution:
                             z2            1        z n −1 z 2
               Z −1                      =    ∫
                     ( z − a )( z − b )  2πi C ( z − a )( z − b )
                                                                    dz , Where C is the circle whose

    centre is the origin and which includes the singularities z = a and z = b .
                                                                     z n +1
                     = { ( Re s.) z = a   + ( Re s.) z =b } of                    ,by Cauchy’s residue
                                                               ( z − a )( z − b )
    theorem.
     z = a and z = b are simple poles.
                     n +1         n +1            n +1
    ( Re s.) z =a =  z  = a and ( Re s.) z =b = b
                     z −b
                           z =a a − b           b−a
                                  
    ∴    Z   −1       z2
                                   =
                                        1
                                            ( a n+1 − b n+1 ) or
               ( z − a )( z − b )  b − a
                                        a             b
                                     =     .a n −          .b n
                                       a−b          a −b
          −1  2 z + 4 z 
                   2

(5) Find Z              3  , by using Residue theorem
              ( z − 2) 


                                                                                                                 17
Solution:
    By residue theorem,
                 2z 2 + 4z                          2 z n +1 + 4 z n 
           Z −1               = the residue of                         at the only triple pole (z=3).
                 ( z − 2)                           ( z − 2) 
                           3                                        3


                                   1 d 2  2 z n +1 + 4 z n              
                         R z =3 =       2 
                                                              ( z − 2) 3 
                                  2! dz  ( z − 2 )    3
                                                                         
                                = {2( n + 1) nz n −1 + 4n( n − 1) z n −1 } z =2
                                  1
                                  2
                                = {2( n + 1) n.2 n −1 + 4n( n − 1) 2 n −2 }
                                  1
                                  2                                           a
                                =n 22 n


                2z + 4z 
                     2
          Z −1           3 
                                = n2 2n
                ( z − 2) 

(6) Solve the difference equation y ( n + 3) − 3 y ( n + 1) + 2 y ( n ) = 0, given that
     y ( 0 ) = 4, y (1) = 0 and y ( 2 ) = 8 .
    Solution:
    Taking Z-transforms on both sides of the given equation, we have

                 Z { y ( n + 3)} − 3Z { y ( n + 1)} + 2 Z { y ( n )} = 0 .

    { z y ( z ) − z y( 0) − z y(1) − zy( 2)} − 3{ zy ( z ) − zy( 0)} + 2 y ( z ) = 0 .
       3              3           2




       (z   3
                − 3 z + 2) y ( z ) = 4 z 3 − 4 z .
                        y( z )         4z 2 − 4        A       B       C
                                =                   =     +          +
                          z        ( z − 1) ( z + 2) z − 1 ( z − 1) z + 2
                                           2                       2


                                  8         4
                               =     3 + 3
                                 z −1 z + 2
                                 8 z         4 z
                        y( z ) =          +
                                 3 z −1 3 z + 2
                                        8 4
    Inverting, we get y ( n ) = + ( − 2 ) .
                                                      n

                                        3 3
(7) Solve the equation x n + 2 − 5 x n +1 + 6 x n = 36, given that x0 = x1 = 0.
    Solution:
          Taking Z-transforms of the given equation,
    { z 2 x ( z ) − z 2 x( 0) − zx(1)} − 5{ zx ( z ) − zx( 0)} + 6 x ( z ) = 36 z z 1 .
                                                                                  −
              ( z 2 − 5 z + 6) x ( z ) = 36 z z 1
                                              −



                                                                                                            18
x( z)              36
                           =
                      z      ( z − 1)( z − 2)( z − 3)
                              18         36       18
                           =        −         +
                             z −1 z − 2 z − 3

                                     z        z         z
          ∴         x ( z ) = 18        − 36     + 18
                                   z −1      z−2      z −3
Inverting, we get
                       x n = 18 − 36.( 2 ) + 18.( 3) .
                                          n         n




                                                             19
UNIT 5
                                                         PART A
(1)Form the difference equation from y n = a + b3
                                                  n

                                          n +1
  Ans: y n = a + b3 , y n +1 = a + b3
                        n


           y n + 2 − 4 y n +1 + 4 y n = 0
                                      y n + 2 = a + b3 n + 2

(2)Express Z { f ( n + 1)} in terms of f ( z )
Ans: Z { f ( n )} = zF ( z ) − zF ( 0 )

(3)Find the value of Z { f ( n )} when f ( n ) = na n
Ans:
          Z {na n } = Z {a n n}
                    = { Z ( n )} z → z
                                           a

                            z 
                          =         2 
                            ( z − 1)  z → z
                                               a

                                  az
                          =
                              ( z − a) 2
(4)Define bilateral Z-transform.
                                                                               ∞
Ans :     If { f ( n )}   is a sequence defined for n = 0,±1,±2,... .,then   ∑ f ( n)z
                                                                             n = −∞
                                                                                         −n
                                                                                              is called the

two-sided or bilateral Z-transform of { f ( n )} and denoted by Z { f ( n )} or f ( z ) ,where z is
a complex variable in general.

(5)Find the z-transform of ( n + 1)( n + 2 )
Ans:
       Z { ( n + 1)( n + 2 )} = Z {n 2 + 3n + 2}
                                  = Z ( n 2 ) + 3Z ( n ) + 2 z (1)
                                    z ( z + 1)            z           z
                                  =             +3               +2
                                    ( z − 1)  3
                                                     ( z − 1) 2
                                                                    z −1

(6)Find Z {e −iat } using z-transform.
Ans:
              Z {e −iat } = Z {e −iat .1}
                         = { Z (1)} z → zeiaT




                                                                                                        20
 z 
                                  =          
                                    ( z − 1)  z → zeiaT
                                         ze iaT
                                  =
                                      ( ze iat − 1)
(7)Define unilateral Z-transform.
Ans:
   If { f ( n )} is a casual sequence, i.e if , f ( n ) = 0 for n<0,then the Z-transform is called
one-sided or unilateral Z-transform of { f ( n )} and is defined as
                                                                    ∞
                                        Z { f ( n )} = f ( z ) = ∑ f ( n ) z −n
                                                                   n =0



            an 
(8)Find  Z   using z-transform.
             n! 
Ans:
       a n  ∞ a n −n
    Z  = ∑         z =∑
                          ∞
                              ( az −1 ) n
       n!  n =0 n!     n =0     n!
                        az −1 ( az −1 )
                                                 2

                   = 1+      +          +
                         1!       2!
                         a
                  = ez

  (9) State and prove initial value theorem in z-transform.
  Ans:
     (i) If Z { f ( n )} = f ( z ) , then f ( 0 ) = lim f ( z )
                                                            z →∞

        (ii) If Z { f ( t )} = f ( z ) , then f ( 0 ) = lim f ( z )
                                                        z →∞



(i)
                                       ∞
                             f ( z ) = ∑ f ( n ) z −n
                                      n =0

                                                  f (1) f ( 2 )
                                    = f ( 0) +         + 2 + ...∞
                                                    z    z
                  lim{ f ( z )} = f ( 0)
                  z →∞
           Similarly, (ii) can be proved.

      (10)Find the z-transform of n.
      Ans:
                      ∞          ∞
                                     n
            Z { n} = ∑ nz − n = ∑ n
                     n =0       n =0 z




                                                                                                 21
1 2
              =      +   +
                    z z2
                            2
              1 1
             = 1 − 
              z z
                            2
                        
              1 1 
             =          
              z     1
                1− 
                     z
              1     z2           z
             = .           =
              z ( z − 1) 2
                             ( z − 1) 2
(11) Find the Z-transforms of a n cosh an
                         n  e an + e − an 
 Ans: Z {a cosh an} = z a                 
           n
                                   2       
                                          
                      1
                      2
                                [{n
                                              } {
                    = Z ( ae a ) + Z ( ae − a )
                                                  n
                                                               }]
                                                    ( z ( b ) ) = z − b 
                      1 z                 z                        z 
                    =              +         −a 
                                                             n

                      2  z − ae a
                                      z − ae                            

                           z  2 z − a( e a + e − a ) 
                       =
                           2  z 2 − a( e a + e −a ) z + a 2 
                                                            


                              z ( z − a cosh a )
                       =
                           z − 2a( cosh a ) z + a 2
                                2




  (12)Use convolution theorem to find the inverse Z-transform of
         z2
       ( z + a) 2
  Ans:
                    z2                z      z 
              Z −1         2 
                                = Z −1      .      
                   ( z + a)          z + a z + a
                                        z       −1   z 
                                = Z −1      *Z         
                                        z+a         z+a
                                     = ( − a) * ( − a)
                                              n          n

                                        n
                                     = ∑ ( − a ) .( − a )
                                                  r          n−r

                                       r =0
                                        n
                                     = ∑ ( − a)
                                                  n

                                       r =0




                                                                              22
= ( n + 1)( − a )
                                                         n




   (13) Define Inverse Z-transforms:
    Ans:
         The inverse of Z-transform of f ( z ) is defined as      Z −1 { f ( z )} = f ( n ) ,
       When Z { f ( n )} = f ( z ) .

   (14) Use final value theorem to find f ( ∞ ) , when
                             Tze aT
                 f ( z) =
                          ( ze aT − 1) 2
    Ans:
     By final value theorem,

                f ( ∞ ) = lim{( z − 1) f ( z )}
                          z →1

                                ( z − 1)Tze aT 
                       = lim                     
                                ( ze − 1) 
                          z →1         aT


                       = 0.
                                               2  nπ 
  (15) Find the Z-transforms of sin                  
                                                  4 
                                  2  nπ      1         nπ 
    Ans: Let f ( n ) = sin                = 1 − cos       
                                     4  2               2 
                           1 1                nπ 
         Z { f ( n )} = Z   − Z  cos             
                           2 2                 2 
                                                       π
                                            z z − cos 
                             z         1               2
                      =             −
                        2( z − 1) 2 2                   π
                                          z − 2 z cos + 1
                                                        2
      [Refer to basic transform (8)]
                        1 z              z2 
                      =             − 2       
                        2  z − 1 z + 1



                                                         Part B

                    1       z 
(1) (a)Prove that Z   = log      , n ≠ 0 .
                    n       z −1
                   nπ               nπ 
       Find Z  sin     and Z  cos      
                    2                2 



                                                                                                23
−1          8z 2         
    (b)Find Z   ( 2 z − 1)( 4 z + 1)  using Convolution theorem.
                                       
                                      


(2) (a) Prove that Z ( a ) = 
                         n        z 
                                         
                                 z−a
   (b) Solve: y n + 2 + 6 y n +1 + 9 y n = 2     given y 0 = y1 = 0, using
                                             n


       z- transform.

                                          2n + 3 
(3)(a) Find the z-transform of f ( n ) = 
                                          ( n + 1)( n + 2 ) 
                                                             
                                              −1      z 2
                                                              
   (b)Using Convolution theorem find Z                       
                                                  ( z + 2) 2 
                                                             

(4)(a) Solve the difference equation

       y ( n + 3) − 3 y ( n + 1) + 2 y ( n ) = 0 given y ( 0 ) = 4, y (1) = 0 and y ( 2 ) = 8.
                         z2         
            Z −1                    , by the method of partial fractions.
                  ( z + 2) ( z + 4) 
   (b) Find                    2




                 −1          z3         
(5)(a) Find Z                           , by the method of partial fractions.
                     ( z − 1) ( z − 2 ) 
                              2


   (b) Solve the difference equation
         y ( k + 2) − 4 y ( k + 1) + 4 y ( k ) = 0 given y ( 0 ) = 1, y (1) = 0

                     1             z 
(6)(a) Prove that Z        = z log     ,
                     n + 1         z −1
   (b) State and prove the second shifting theorem in z-transform.

                                                                          z2        
                                                                  
(7)(a) Using Convolution theorems evaluate inverse z-transform of                   .
                                                                                     
                                                                   ( z − 1)( z − 3) 
   (b) Solve the difference equation

       y ( n ) + 3 y ( n − 1) − 4 y ( n − 2 ) = 0, n ≥ 2, given y ( 0) = 3, y (1) = −2
                                       1 + 2 z −1
(8)(a) Find the inverse Z-transform of            , by the long division method.
                                        1 − z −1
   (b) Find Z-transforms of
                      1
    (i) f ( n ) =           , and
                  n( n − 1)




                                                                                                 24
2n + 3
    (ii) f ( n ) =
                     ( n + 1)( n + 2)

(9) (a) Solve: y n + 2 − 7 y n +1 + 12 y n = 2                  given y 0 = y1 = 0, using
                                               n


      z- transform.
               −1           z         
   (b) Find Z                       2 
                   ( z − 1)( z − 2 ) 

(10)(a) Find the bilateral Z-transforms of
    (i) a n δ ( n − k ) ,
    (ii) − α nU ( − n − 1) ,
    (iii) − nα nU ( − n − 1) ,
    (b) Solve the equation x n + 2 − 5 x n +1 + 6 x n = 36, given that x0 = x1 = 0.

(11)(a) Use convolution theorem to find the sum of the first n natural numbers.
                                            1
    (b) Find the inverse Z-transform of            , by the long division method.
                                        1 + 4 z −2

(12) (i) Use initial value theorem to find f ( 0 ) , when

                                                  ze aT ( ze aT − cos bT )
                                  f ( z) =
                                             z 2 e 2 aT − 2 ze aT cos bT + 1

     (ii) Use final value theorem to find f ( ∞ ) , when

                                               Tze aT
                                  f ( z) =
                                             ( ze   aT
                                                         − 1)
                                                                2



                  −1  2 z + 4 z 
                          2

(13) (a) Find Z               3  , by using Residue theorem.
                      ( z − 2) 
    (b) Find the Z-transforms of
            3  nπ                    nπ π 
    (ii) sin       , and (iii) cos      + 
               6                     2    4




                                                                                            25

Chapter 5 (maths 3)

  • 1.
    Chapter 5 Z-Transforms Introduction: In Communication Engineering, two basic types of signals are encountered. They are (1) Continuous time signals. (2) Discrete time signals. Continuous time signals are defined for continuous values of the independent variable, namely time and are denoted by a function { f ( t )} . Discrete time signals are defined only at discrete set of values of the independent variable and are denoted by a sequence { f ( n )} . Z-transform plays an important role in analysis of linear discrete time signals. Definition of z-transform: ∞ If { f ( n )} is a sequence defined for n = 0,±1,±2,... .,then ∑ f ( n)z n = −∞ −n is called the two-sided or bilateral Z-transform of { f ( n )} and denoted by Z { f ( n )} or f ( z ) ,where z is a complex variable in general. If { f ( n )} is a casual sequence, i.e if , f ( n ) = 0 for n<0,then the Z-transform is called one-sided or unilateral Z-transform of { f ( n )} and is defined as ∞ Z { f ( n )} = f ( z ) = ∑ f ( n ) z −n n =0 We shall mostly deal with one sided Z-transform which will be hereafter referred to as Z-transform. Properties of Z-transforms: (1) Linearity: The Z-transform is linear Z { af ( n ) + bg ( n )} = aZ { f ( n )} + bZ { g ( n )} . Proof: ∞ Z { af ( n ) + bg ( n )} = ∑ { af ( n ) + bg ( n )} z −n n =0 ∞ ∞ = a∑ f ( n) z −n + b∑ g ( n ) z −n n =0 n=o Z { af ( n ) + bg ( n )} = aZ { f ( n )} + bZ { g ( n )} similarly, Z { af ( t ) + bg ( t )} = aZ { f ( t )} + bZ { g ( t )} . (2)Time Shifting: 1
  • 2.
    (i) Z {f ( n − n0 )} = z 0 .Z { f ( n )} or z 0 f ( z ) −n −n (ii) Z { f ( t + T )} = z{ f ( z ) − f ( 0 )} Proof: ∞ (i ) Z { f ( n − n 0 ) } = ∑ f ( n − n 0 ) z − n n =0 ∞ = ∑ f ( m) z m = − n0 − ( m + n0 ) ∞ = z − n0 ∑ f ( m ) z −m { f ( n ) is causal} m =0 ∞   ∞  (ii ) Z { f ( t + T )} = ∑ f ( nT + T ) z − n  Z  f ( t ) = ∑ f ( nT ) z − n     n=0   n=0  ∞ = ∑ f { ( n + 1)T } z − n n =0 ∞ = ∑ f ( mT ) z −( m −1) m =1 ∞  = z ∑ f ( mT ) z − m − f ( 0)  m = 0  = z{ f ( z ) − f ( 0)} Extending this result, we get  f ( T ) f ( 2T ) f { ( k − 1)T }  Z { f ( t + kT )} = z k  f ( z ) − f ( 0 ) − − − ... −   z z 2 z k −1  (3)Frequency Shifting: (i) Z {a f ( n )} = f   n z a (ii) Z {a f ( t )} = f   n z a Proof: (i ) Z { a n f ( n ) } = ∑ a n f ( n ) z − n ∞ n=0 ∞ −n z = ∑ f ( n)  n =0 a z = f  a Similarly (ii) can be proved. Corollary: If Z { f ( t )} = f ( z ) , then Z {e − at f ( t )} = f ( ze aT ) 2
  • 3.
    The result follows,if we replace a n by e − anT or ( e − aT ) in (ii). n (4)Time Reversal for Bilateral Z-Transform: 1 If Z { f ( n )} = f ( z ) , then Z { f ( − n )} = f   z Proof: ∞ Z { f ( − n )} = ∑ f ( − n)z −n n = −∞ −∞ = ∑ f ( m) z m =∞ m ∞ −m 1 = ∑ f ( m)  m = −∞ z 1 = f  z (5) Differentiation in the Z-Domain: d (i) Z { nf ( n )} = − z f ( z) dz d (ii) Z { nf ( t )} = − z f ( z) dz Proof: (i) ∞ (i ) f ( z ) = Z { f ( n )} = ∑ f ( n ) z − n n =0 ∞ d f ( z ) = ∑ − nf ( n ) z −n −1 dz n =0 1 ∞ ∑ nf ( n ) z −n z n =0 =− d Z { nf ( n )} = − z f ( z) dz Similarly, (ii) can be proved. (6) Initial Value Theorem: (i) If Z { f ( n )} = f ( z ) , then f ( 0 ) = lim f ( z ) z →∞ (ii) If Z { f ( t )} = f ( z ) , then f ( 0 ) = lim f ( z ) z →∞ Proof: ∞ (i ) f ( z ) = ∑ f ( n )z −n n=0 3
  • 4.
    f (1) f( 2 ) = f ( 0) + + 2 + ...∞ z z lim{ f ( z )} = f ( 0) z →∞ Similarly, (ii) can be proved. (7) Final value Theorem: (i) If Z { f ( n )} = f ( z ) , then lim{ f ( n )} = lim{( z − 1) f ( z )} n →∞ z →∞ (ii) If Z { f ( t )} = f ( z ) , then lim{ f ( t )} = lim{( z − 1) f ( z )} t →∞ z →∞ Proof: ∞ (i ) Z { f ( n + 1)} = ∑ f ( n + 1) z − n n =0 = ∑ f ( m ) z − m+1 = z{ f ( z ) − f ( 0 )} ∞ m =1 zf ( z ) − zf ( 0 ) − f ( z ) = Z { f ( n + 1)} − Z { f ( n )} ∞ ( z − 1) f ( z ) − zf ( 0) = ∑ { f ( n + 1) − f ( n )} z −n n =0 Taking limits as z tends to 1, lim{( z − 1) f ( z )} − f ( 0 ) = ∑ { f ( n + 1) − f ( n )} ∞ z →1 n =0 = lim{ f (1) − f ( 0)} + { f ( 2 ) − f (1)} +  + { f ( n + 1) − f ( n )} n →∞ = lim{ f ( n + 1) − f ( 0 )} n →∞ = lim{ f ( n ) − f ( 0 )} n →∞ lim{ f ( n )} = lim{( z − 1) f ( z )} n →∞ z →1 Similarly, (ii) can be proved, starting with property 2(ii). (8) Convolution Theorem: Definitions: The convolution of the two sequences { f ( n )} and { g ( n )} is defined as ∞ (i) { f ( n ) * g ( n )} = ∑ f ( r ).g ( n − r ) , if the sequence are non causal and r = −∞ n (ii) { f ( n ) * g ( n )} = ∑ f ( r ).g ( n − r ) , if the sequences are causal. r =0 The convolution of two functions f ( t ) and g ( t ) is defined as n f ( t ) * g ( t ) = ∑ f ( rT ).g ( n − r )T , where T is the sampling period. r =0 4
  • 5.
    Statement of thetheorem: (i) If Z { f ( n )} = f ( z ) , and Z { g ( n )} = g ( z ) , then Z { f ( n ) * g ( n )} = f ( z ).g ( z ). (ii) If Z { f ( t )} = f ( z ) , and Z { g ( t )} = g ( z ) , then Z { f ( t ) * g ( t )} = f ( z ).g ( z ). Proof: (For the bilateral z=transform)  ∞  (i) Z { f ( n ) * g ( n )} = Z  ∑ f ( r ).g ( n − r )  r = −∞  ∞  ∞  = ∑  ∑ f ( r ) g ( n − r ) z − n n = −∞ r = −∞  ∞ ∞ = ∑ f ( r ) ∑ g ( n − r ) z −n r = −∞ n = −∞ By changing the order of summation, ∞  ∞  = ∑ f ( r )  ∑ g ( m ) z −( m+ r )  , by putting n-r=m r = −∞ m= −∞  ∞  ∞  = ∑ f ( r )z −r  ∑ g ( m) z −m  r = −∞ m = −∞  ∞ = ∑ f ( r )z r = −∞ −r .g ( z ) = f ( z ).g ( z ) −r  −s  ∞ ∞ (ii) f ( z ).g ( z ) = ∑ f ( rT ) z ∑ g ( sT ) z  r =0  s =0  = ∑ h( nT ) z − n ……………(1) Say, where h( nT ) = f ( 0.T ) g ( nT ) + f (1.T ).g { ( n − 1)T } + ... + f ( nT ).g ( 0.T ) n = ∑ f ( rT ).g { ( n − r )T } ……………(2) r =0 Using (2) in (1), we get ∞ n  f ( z ).g ( z ) = ∑ ∑ f ( rT ) g { ( n − r )T }  z −n n =0  r = 0  ∞ = ∑ { f ( t ) * g ( t )} z − n n =0 = Z { f ( t ) * g ( t )} 5
  • 6.
    Z-Transforms of somebasic functions: (1) Z {δ ( n )} , where δ ( n ) is the unit impulse sequence defined by 1, for n = 0 δ ( n) =  0, for n ≠ 0 ∞ Z {δ ( n ) } = ∑ δ ( n ) z − n = 1 n=0 (2) Z ( k ) and Z {U ( n )} , Where k is a constant and U ( n ) is the unit step sequence defined by 1, for n ≥ 0 U ( n) =  0, for n < 0 ∞  1 1  (i) Z ( k ) = ∑ kz = k 1 + + 2 +  ∞  −n n =0  z z  kz = z −1 1 Where the region of convergence (ROC) is < 1 or z > 1 . z (ii) In particular, z Z (U ( n ) ) = Z (1) = , if z > 1 and z −1 z Z {U ( t )} = z −1 { } (3) Z {a n }, Z ( − 1) n , Z {e at }, Z {e − at } and Z {a n −1 } (i) Z {a } = z a n , where the ROC is < 1 or z > a . z−a z { (ii) Z ( − 1) =}n z z +1 , where the ROC is z > 1 . (iii) Z {e } = at z . z − e aT (iv) Z {e } = − at z . z − e −aT (v) Z {a } = n −1 1 , if n ≥ 1. z−a (4) Z { n} , Z {na n }, Z {n 2 }, Z { n( n − 1)} and Z { t } . z (i) Z { n} = . ( z − 1) 2 6
  • 7.
    (ii) Z {na} = n az , Where the ROC is z > a . ( z − a) 2 z ( z + 1) (iii) Z ( n ) = 2 ( z − 1) 3 2z (iv) Z { n( n − 1)} = ( z − 1) 3 Tz (v) Z { t } = ( z − 1) 2 (5) Z {n k } and Z ( t k ) . z ( z + 1) (i) Z {n } = k ( z − 1) 3 (ii) Z {t } = k Tz ( z − 1) 2 1   1  (6) Z   and Z  . n   n + 1 1   z  (i) Z   = log . n  z −1  1   z  (ii) Z   = z log .  n + 1  z −1 an  1 (7) Z   and Z   .  n!   n!  an  a (i) Z  = ez .  n!  1 1 (ii) Putting a=1, we get Z   = e z .  n!  (8) Z {r n cos nθ }, Z {r n sin nθ }, Z { cos nθ } , Z { sin nθ } . z ( z − r cos θ ) (i) Z {r cos nθ } = 2 , if z > r . n z − 2 zr cos θ + r 2 zr sin θ (ii) Z {r sin nθ } = 2 , if z > r . n z − 2 zr cos θ + r 2 z ( z − cos θ ) (iii) Z { cos nθ } = 2 , if z > 1 . z − 2 zr cos θ + 1 In particular, 7
  • 8.
    nπ  z2 Z cos = 2 .  2  z +1 z sin θ (iv) Z { sin nθ } = 2 , if z > 1 . z − 2 z cos θ + 1 In particular,  nπ  z Z sin = 2 .  2  z +1 (9) Z { cos wt } , Z { sin wt } , Z {e − at cos bt }, Z {e − at sin bt } . z ( z − cos wT ) (i) Z { cos wt } = 2 , if z > 1 . z − 2 z cos wT + 1 z sin wT (ii) Z { sin wt } = 2 , if z > 1 . z − 2 z cos wT + 1 ze aT ( ze aT − cos bT ) (iii) Z {e cos bt } = 2 2 aT − at . z e − 2 ze aT cos bT + 1 (iv) Z {e − at sin bt } = 2 2 aT ze aT sin bT . z e − 2 ze aT cos bT + 1 Problems: (1) Find the bilateral Z-transforms of (i) a n δ ( n − k ) , (ii) − α nU ( − n − 1) , (iii) − nα nU ( − n − 1) , Solution: 1, for n = k (i) δ (n − k) =  0, for n = k ∞ Z {δ ( n − k ) } = ∑δ ( n − k ) z −n = z −k n = −∞ By property 3, −k Z {a δ ( n − k ) } =   n z a 1, if − n − 1 ≥ 0, i.e. if n ≤ 1 U ( − n − 1) =  0, if − n − 1 < 0, i.e. if n > −1 ∞ Z {U ( − n − 1)} = ∑U ( − n − 1) z −n n = −∞ 8
  • 9.
    ∞ = ∑z n = −∞ −n or ∑z n =1 n = z (1 + z + z +  ∞ )2 z = 1− z Z {a n f ( n )} = f  , z (ii) a By property 3, which is true for bilateral Z-transform also. z Z {α nU ( − n − 1)} = α or z s 1− z α−z α Z {− α nU ( − n − 1)} = z z −α d (iii) Z { nf ( n )} = − z dz { f ( z )}, by property5. αz Z {− nα nU ( − n − 1)} = − z  d  z  = dz  z − α  ( z − α ) 2 (2) Find the Z-transforms of (i) a n cosh an and (ii) 2 n sinh 3n Solution:  n  e an + e − an  (i) Z {a cosh an} = z a   n  2     = 1 2 [{ n } { Z ( ae a ) + Z ( ae − a ) n }] ( z ( b ) ) = z − b  1 z z   z  =  + −a  n 2  z − ae a z − ae    z  2 z − a( e a + e − a )  = 2  z 2 − a( e a + e −a ) z + a 2    z ( z − a cosh a ) = z − 2a( cosh a ) z + a 2 2  n  e 3n − e −3n  (ii) Z {2 sinh 3n} = Z 2   n  2     9
  • 10.
    = 1 2 [{ n } Z ( 2e 3 ) − Z {( 2e −3 ) n} ] 1 z z  =  − −3  2  z − 2e 3 z − 2e  z 2( e 3 − e −3 )  = 2  z − 2( e + e ) z + 4   2 3 −3  2 z sinh 3 = 2 z − 4 z cosh 3 + 4 (3) Find Z-transforms of 1 (i) f ( n ) = , and n( n − 1) 2n + 3 (ii) f ( n ) = ( n + 1)( n + 2) Solution: 1 1 1 (i) f ( n) = = − n( n − 1) n − 1 n  1  ∞  1  −n Z  = ∑ z  n − 1 n = 2  n − 1  2 3 1 1 1 1 = .  + .  +  1z 2 z 1  1  = − log1 −  z  z  1  z  = log  z  z −1 1   z  Z   = log  [Refer to basic transform (6)] n  z −1  1  1  Z { f ( n )} = Z  − Z   n − 1 n 1   z  =  − 1 log   z   z −1  z −1  z −1 =  log   z   z  2n + 3 1 1 (ii) f ( n ) = = + ( n + 1)( n + 2) n + 1 n + 2 , by partial fractions.  1   z  Z  = z log  [Refer to basic transform (6)]  n + 1  z −1 10
  • 11.
     1 ∞ 1 Z =∑ .z − n  n + 2  n =0 n + 2 2 1 1 1 1 1 = + . + .  +  2 3 z 4 z  1  1  2 1  1 3  = z 2  .  + .  +  2  z   3 z     1  1 = z 2 − log1 −  −    z  z  z  = z 2 log − z  z −1  1   1  Z { f ( n )} = Z   + Z   n +1 n+2  z  = z ( z + 1) log −z  z −1 (4) Find the Z-transforms of 2  nπ  (i) sin    4  3  nπ  (ii) sin   , and  6   nπ π  (iii) cos +   2 4 Solution: 2  nπ  1 nπ  (i) Let f ( n ) = sin   = 1 − cos   4  2 2  1 1  nπ  Z { f ( n )} = Z   − Z  cos  2 2  2   π z z − cos  z 1  2 = − 2( z − 1) 2 2 π z − 2 z cos + 1 2 [Refer to basic transform (8)] 1 z z2  =  − 2  2  z − 1 z + 1 3  nπ  (ii) Let f ( n ) = sin    6  3 nπ 1 nπ = sin − sin 4 6 4 2 11
  • 12.
    3  nπ  1  nπ  Z { f ( n )} = Z  sin  − Z  sin  4  6  4  2  3 z sin π 1 z sin π = . 2 6 − . 2 2 4 z − 2 z cos π + 1 4 z − 2 z cos π + 1 6 2 By basic transform (8) 3 z 1 z = . 2 − . 2 8 z − z 3 +1 4 z +1  nπ π  (iii) Let f ( n ) = cos +   2 4 nπ π nπ π = cos cos − sin sin 2 4 2 4 1   nπ   nπ  Z { f ( n )} = Z  cos  − Z  sin  2  2   2  1  z2 z  =  2 − 2  2  z + 1 z + 1 1 z ( z − 1) = 2 z +1 2 (5) (i) Use initial value theorem to find f ( 0 ) , when ze aT ( ze aT − cos bT ) f ( z ) = 2 2 aT z e − 2 ze aT cos bT + 1 (ii) Use final value theorem to find f ( ∞ ) , when Tze aT f ( z) = ( ze aT − 1) 2 Solution: (i) By initial value theorem, f ( 0) = lim{ f ( z )} z →∞  aT  aT 1    e  e − z cos bT     = lim      e 2 aT − e cos bT + 1 2 aT z →∞    z z2   = 1. (ii) By final value theorem, f ( ∞ ) = lim{( z − 1) f ( z )} z →1 12
  • 13.
     ( z− 1)Tze aT  = lim   ( ze − 1)  z →1 aT = 0. (6) Use convolution theorem to find the sum of the first n natural numbers. Solution: n 1+ 2 + 3 ++ n = ∑k k =0 n = ∑ rU ( r )U ( n − r ) [ U ( r ) = 1, as r ≥ 0 and U ( n − r ) = 1, as r ≤ n] r =0 = { nU ( n )} * U ( n ) ∴ By convolution theorem, n  Z ∑ k  = Z { nU ( n )} Z {U ( n )}  k =o  z z z2 = . = ( z − 1) 2 z − 1 ( z − 1) 3 Taking inverse Z-transforms, −1  z2  n ∑ k = Z  ( z − 1) 3  k =0    1  z ( z + 1) + z ( z − 1)   = Z −1    2  ( z − 1) 3     1   z ( z + 1)    z  = Z −1   + Z −1   2   ( z − 1)  3   ( z − 1) 2       = ( n 2 + n) 1 2 1 = n( n + 1) 2 (7) Use convolution theorem to find the inverse Z-transform of 8z 2 (i) and ( 2 z − 1)( 4 z + 1) z2 (ii) ( z + a) 2 Solution:  8z 2   z z    Z −1   = Z −1  . 1 z+ 1  (i)  ( 2 z − 1)( 4 z + 1)  z − 2  4  13
  • 14.
     z   z      = Z −1   * Z −1    z − 12     z + 14    ( ) n 1 n =   * −1 2 4 (− 1 4 ) n−r n 1 r = ∑  r =0  2  ∑ ( 1 2 ) (− 1 4 ) n n −r 1 r =  2 r =0 n n r 1  −1 =  2 ∑ 2  r =0   = ( ) 1   n 1 − 1 2  ( ) n +1  2  1 − − 12   ( )   2  1  n ( ) n  1  =   + . − 1  3  2  2 4    2 = 1 3 2 ( )n 1 + −1 3 4 n ( )  z2   z z  (ii) Z −1  2  = Z −1  .  ( z + a)  z + a z + a  z  −1  z  = Z −1  *Z    z+a  z+a = ( − a) * ( − a) n n n = ∑ ( − a ) .( − a ) r n−r r =0 n = ∑ ( − a) n r =0 = ( n + 1)( − a ) n Inverse Z-transforms: The inverse of Z-transform of f ( z ) has been already defined as Z { f ( z )} = f ( n ) , when Z { f ( n )} = f ( z ) . −1 Z −1 { f ( z )} can be found out by any one of the following methods. Method 1 (Expansion method) 14
  • 15.
    If f (z ) can be expanded in a series of ascending powers of z −1 , i.e in the ∞ form ∑ f ( n)z n =0 −n , by binomial, exponential and logarithmic theorems, the coefficient of z − n in the expansion gives Z { f ( z )} . −1 Method 2 (Long division method) g ( z −1 ) When the usual methods of expansion of f ( z ) fail and if f ( z ) = h( z −1 ) , then g ( z −1 ) is divided by h( z −1 ) in the classical manner and hence the expansion ∞ ∑ f ( n)z n =0 −n is obtained in the quotient. Method 3 (partial fraction Method) When f ( z ) is a rational function in which the denominator can be factorised, f ( z ) is resolved in to partial fraction and then Z −1 { f ( z )} is derived as the sum of the inverse Z-transforms of the partial fractions. Method 4 (By Cauchy’s Residue Theorem) By using the relation between the Z-transform and Fourier transform of a sequence, it can be proved that 1 f ( n) = ∫ f ( z ) z dz n −1 2πi C Where C is a circle whose centre is the origin and radius is sufficiently large to include all the isolated singularities of f ( z ) . By Cauchy’s residue theorem, ∫ f ( z ) z dz = 2πi x sum of the residues of f ( z ) z n−1 at the isolated singularities. n −1 ∴ f ( n ) = Sum of the residues of f ( z ) z n −1 at the isolated singularities. Use of Z-transforms to solve Finite Difference equations: Z-transforms can be used to solve finite difference equation of the form ay ( n + 2) + by ( n + 1) + cy ( n ) = φ ( n ) with given values of y(0) and y(1). Taking Z-transforms on both sides of the given difference equation and using the values of y(0) and y(1), we will get y ( z ) . Then Z −1 { y ( z )} will give y ( n ) . To express Z { y ( n + 1)} and Z { y ( n + 2 )} in terms of y ( z ) . (i) z{ y ( n + 1)} = zy ( z ) − zy ( 0) . (ii) Z { y ( n + 2 )} = z 2 y ( z ) − z 2 y ( 0) − zy (1) . 15
  • 16.
    Problems: 1 + 2 z −1 (1) Find the inverse Z-transform of , by the long division method. 1 − z −1 Solution: (1 − z )1 + 2 z (1 + 3z −1 −1 −1 + 3 z −2 1 − z −1 3 z −1 3 z −1 − 3 z −2 3z −2 3 z − 2 − 3z −3 3 z −3 1 + 2 z −1 Thus = ∑ f ( n ) z − n = 1 + 3 z −1 + 3z − 2 +  + 3 z − n +  1 − z −1 1, for n = 0 ∴ f ( n) =  3, for n ≥ 1 , or f ( n ) = 1 + 2U ( n − 1) 1 (2) Find the inverse Z-transform of , by the long division method. 1 + 4 z −2 Solution: (1 − 4 z −2 )1 (1 − 4 z −2 + 16 z −4 − 64 z −6 1 + 4 z −2 − 4 z −2 − 4 z − 2 − 16 z −4 16 z − 4 16 z − 4 + 64 z −6 − 64 z −6 − 64 z −6 − 256 z −8 256 z −8 1 −2 = 1 − 4 z −2 + 16 z −4 − 64 z −6 +  1 + 4z ∞ nπ −n Thus = ∑ 2 n cos z , n =0 2 nπ f ( n ) = 2 n cos 2 16
  • 17.
    −1  4z 3  (3) Find Z   by the method of partial fractions.  ( 2 z − 1) ( z − 1)  2 Solution: f ( z)  4z 2  A B C Let = = + +  ( 2 z − 1) ( z − 1)  ( 2 z − 1) ( 2 z − 1) z −1 2 2 z f ( z) 6 2 4 =− − + z 2 z − 1 ( 2 z − 1) 2 z −1 3z 1 z 4z f ( z) = − − . + z− 1 2 2 z− 1 ( 2 2 )z −1  1   z   z  Z −1 { f ( z )} = −3Z −1    −1  2   z  −Z  2  + 4 Z −1    z − 12   z − 1    z − 1      2   ( )   n  Z ( a ) = Z ( na n ) = n 1 z az = −3 1 n − n  + 4 and  2 2  z−a ( z − a)  2 n 1 = 4 − ( n + 3)   2  z2  (4) Find Z −1   , by using Residue theorem.  ( z − a )( z − b )  Solution:  z2  1 z n −1 z 2 Z −1   = ∫  ( z − a )( z − b )  2πi C ( z − a )( z − b ) dz , Where C is the circle whose centre is the origin and which includes the singularities z = a and z = b . z n +1 = { ( Re s.) z = a + ( Re s.) z =b } of ,by Cauchy’s residue ( z − a )( z − b ) theorem. z = a and z = b are simple poles.  n +1  n +1 n +1 ( Re s.) z =a =  z  = a and ( Re s.) z =b = b  z −b   z =a a − b b−a   ∴ Z  −1 z2 = 1 ( a n+1 − b n+1 ) or  ( z − a )( z − b )  b − a a b = .a n − .b n a−b a −b −1  2 z + 4 z  2 (5) Find Z  3  , by using Residue theorem  ( z − 2)  17
  • 18.
    Solution: By residue theorem,  2z 2 + 4z   2 z n +1 + 4 z n  Z −1   = the residue of   at the only triple pole (z=3).  ( z − 2)   ( z − 2)  3 3 1 d 2  2 z n +1 + 4 z n  R z =3 = 2  ( z − 2) 3  2! dz  ( z − 2 ) 3  = {2( n + 1) nz n −1 + 4n( n − 1) z n −1 } z =2 1 2 = {2( n + 1) n.2 n −1 + 4n( n − 1) 2 n −2 } 1 2 a =n 22 n  2z + 4z  2 Z −1  3  = n2 2n  ( z − 2)  (6) Solve the difference equation y ( n + 3) − 3 y ( n + 1) + 2 y ( n ) = 0, given that y ( 0 ) = 4, y (1) = 0 and y ( 2 ) = 8 . Solution: Taking Z-transforms on both sides of the given equation, we have Z { y ( n + 3)} − 3Z { y ( n + 1)} + 2 Z { y ( n )} = 0 . { z y ( z ) − z y( 0) − z y(1) − zy( 2)} − 3{ zy ( z ) − zy( 0)} + 2 y ( z ) = 0 . 3 3 2 (z 3 − 3 z + 2) y ( z ) = 4 z 3 − 4 z . y( z ) 4z 2 − 4 A B C = = + + z ( z − 1) ( z + 2) z − 1 ( z − 1) z + 2 2 2 8 4 = 3 + 3 z −1 z + 2 8 z 4 z y( z ) = + 3 z −1 3 z + 2 8 4 Inverting, we get y ( n ) = + ( − 2 ) . n 3 3 (7) Solve the equation x n + 2 − 5 x n +1 + 6 x n = 36, given that x0 = x1 = 0. Solution: Taking Z-transforms of the given equation, { z 2 x ( z ) − z 2 x( 0) − zx(1)} − 5{ zx ( z ) − zx( 0)} + 6 x ( z ) = 36 z z 1 . − ( z 2 − 5 z + 6) x ( z ) = 36 z z 1 − 18
  • 19.
    x( z) 36 = z ( z − 1)( z − 2)( z − 3) 18 36 18 = − + z −1 z − 2 z − 3 z z z ∴ x ( z ) = 18 − 36 + 18 z −1 z−2 z −3 Inverting, we get x n = 18 − 36.( 2 ) + 18.( 3) . n n 19
  • 20.
    UNIT 5 PART A (1)Form the difference equation from y n = a + b3 n n +1 Ans: y n = a + b3 , y n +1 = a + b3 n y n + 2 − 4 y n +1 + 4 y n = 0 y n + 2 = a + b3 n + 2 (2)Express Z { f ( n + 1)} in terms of f ( z ) Ans: Z { f ( n )} = zF ( z ) − zF ( 0 ) (3)Find the value of Z { f ( n )} when f ( n ) = na n Ans: Z {na n } = Z {a n n} = { Z ( n )} z → z a  z  = 2   ( z − 1)  z → z a az = ( z − a) 2 (4)Define bilateral Z-transform. ∞ Ans : If { f ( n )} is a sequence defined for n = 0,±1,±2,... .,then ∑ f ( n)z n = −∞ −n is called the two-sided or bilateral Z-transform of { f ( n )} and denoted by Z { f ( n )} or f ( z ) ,where z is a complex variable in general. (5)Find the z-transform of ( n + 1)( n + 2 ) Ans: Z { ( n + 1)( n + 2 )} = Z {n 2 + 3n + 2} = Z ( n 2 ) + 3Z ( n ) + 2 z (1) z ( z + 1) z z = +3 +2 ( z − 1) 3 ( z − 1) 2 z −1 (6)Find Z {e −iat } using z-transform. Ans: Z {e −iat } = Z {e −iat .1} = { Z (1)} z → zeiaT 20
  • 21.
     z  =   ( z − 1)  z → zeiaT ze iaT = ( ze iat − 1) (7)Define unilateral Z-transform. Ans: If { f ( n )} is a casual sequence, i.e if , f ( n ) = 0 for n<0,then the Z-transform is called one-sided or unilateral Z-transform of { f ( n )} and is defined as ∞ Z { f ( n )} = f ( z ) = ∑ f ( n ) z −n n =0 an  (8)Find Z   using z-transform.  n!  Ans:  a n  ∞ a n −n Z  = ∑ z =∑ ∞ ( az −1 ) n  n!  n =0 n! n =0 n! az −1 ( az −1 ) 2 = 1+ + + 1! 2! a = ez (9) State and prove initial value theorem in z-transform. Ans: (i) If Z { f ( n )} = f ( z ) , then f ( 0 ) = lim f ( z ) z →∞ (ii) If Z { f ( t )} = f ( z ) , then f ( 0 ) = lim f ( z ) z →∞ (i) ∞ f ( z ) = ∑ f ( n ) z −n n =0 f (1) f ( 2 ) = f ( 0) + + 2 + ...∞ z z lim{ f ( z )} = f ( 0) z →∞ Similarly, (ii) can be proved. (10)Find the z-transform of n. Ans: ∞ ∞ n Z { n} = ∑ nz − n = ∑ n n =0 n =0 z 21
  • 22.
    1 2 = + + z z2 2 1 1 = 1 −  z z 2   1 1  =   z 1 1−   z 1 z2 z = . = z ( z − 1) 2 ( z − 1) 2 (11) Find the Z-transforms of a n cosh an  n  e an + e − an  Ans: Z {a cosh an} = z a   n  2     1 2 [{n } { = Z ( ae a ) + Z ( ae − a ) n }] ( z ( b ) ) = z − b  1 z z   z  =  + −a  n 2  z − ae a z − ae    z  2 z − a( e a + e − a )  = 2  z 2 − a( e a + e −a ) z + a 2    z ( z − a cosh a ) = z − 2a( cosh a ) z + a 2 2 (12)Use convolution theorem to find the inverse Z-transform of z2 ( z + a) 2 Ans:  z2   z z  Z −1  2  = Z −1  .  ( z + a)  z + a z + a  z  −1  z  = Z −1  *Z    z+a  z+a = ( − a) * ( − a) n n n = ∑ ( − a ) .( − a ) r n−r r =0 n = ∑ ( − a) n r =0 22
  • 23.
    = ( n+ 1)( − a ) n (13) Define Inverse Z-transforms: Ans: The inverse of Z-transform of f ( z ) is defined as Z −1 { f ( z )} = f ( n ) , When Z { f ( n )} = f ( z ) . (14) Use final value theorem to find f ( ∞ ) , when Tze aT f ( z) = ( ze aT − 1) 2 Ans: By final value theorem, f ( ∞ ) = lim{( z − 1) f ( z )} z →1  ( z − 1)Tze aT  = lim   ( ze − 1)  z →1 aT = 0. 2  nπ  (15) Find the Z-transforms of sin    4  2  nπ  1 nπ  Ans: Let f ( n ) = sin   = 1 − cos   4  2 2  1 1  nπ  Z { f ( n )} = Z   − Z  cos  2 2  2   π z z − cos  z 1  2 = − 2( z − 1) 2 2 π z − 2 z cos + 1 2 [Refer to basic transform (8)] 1 z z2  =  − 2  2  z − 1 z + 1 Part B 1  z  (1) (a)Prove that Z   = log , n ≠ 0 . n  z −1  nπ   nπ  Find Z  sin  and Z  cos   2   2  23
  • 24.
    −1  8z 2  (b)Find Z   ( 2 z − 1)( 4 z + 1)  using Convolution theorem.    (2) (a) Prove that Z ( a ) =  n  z   z−a (b) Solve: y n + 2 + 6 y n +1 + 9 y n = 2 given y 0 = y1 = 0, using n z- transform.  2n + 3  (3)(a) Find the z-transform of f ( n ) =   ( n + 1)( n + 2 )    −1  z 2  (b)Using Convolution theorem find Z    ( z + 2) 2    (4)(a) Solve the difference equation y ( n + 3) − 3 y ( n + 1) + 2 y ( n ) = 0 given y ( 0 ) = 4, y (1) = 0 and y ( 2 ) = 8.  z2  Z −1  , by the method of partial fractions.  ( z + 2) ( z + 4)  (b) Find 2 −1  z3  (5)(a) Find Z  , by the method of partial fractions.  ( z − 1) ( z − 2 )  2 (b) Solve the difference equation y ( k + 2) − 4 y ( k + 1) + 4 y ( k ) = 0 given y ( 0 ) = 1, y (1) = 0  1   z  (6)(a) Prove that Z   = z log ,  n + 1  z −1 (b) State and prove the second shifting theorem in z-transform.  z2   (7)(a) Using Convolution theorems evaluate inverse z-transform of  .   ( z − 1)( z − 3)  (b) Solve the difference equation y ( n ) + 3 y ( n − 1) − 4 y ( n − 2 ) = 0, n ≥ 2, given y ( 0) = 3, y (1) = −2 1 + 2 z −1 (8)(a) Find the inverse Z-transform of , by the long division method. 1 − z −1 (b) Find Z-transforms of 1 (i) f ( n ) = , and n( n − 1) 24
  • 25.
    2n + 3 (ii) f ( n ) = ( n + 1)( n + 2) (9) (a) Solve: y n + 2 − 7 y n +1 + 12 y n = 2 given y 0 = y1 = 0, using n z- transform. −1  z  (b) Find Z  2   ( z − 1)( z − 2 )  (10)(a) Find the bilateral Z-transforms of (i) a n δ ( n − k ) , (ii) − α nU ( − n − 1) , (iii) − nα nU ( − n − 1) , (b) Solve the equation x n + 2 − 5 x n +1 + 6 x n = 36, given that x0 = x1 = 0. (11)(a) Use convolution theorem to find the sum of the first n natural numbers. 1 (b) Find the inverse Z-transform of , by the long division method. 1 + 4 z −2 (12) (i) Use initial value theorem to find f ( 0 ) , when ze aT ( ze aT − cos bT ) f ( z) = z 2 e 2 aT − 2 ze aT cos bT + 1 (ii) Use final value theorem to find f ( ∞ ) , when Tze aT f ( z) = ( ze aT − 1) 2 −1  2 z + 4 z  2 (13) (a) Find Z  3  , by using Residue theorem.  ( z − 2)  (b) Find the Z-transforms of 3  nπ   nπ π  (ii) sin   , and (iii) cos +   6   2 4 25