Application of
interpolation in CSE
4staR
@tanvir
In the mathematical field of numerical analysis, interpolation is a method
of constructing new data points within the range of a discrete set of
known data points.
What is Interpolation?
If we are find out the population of Dhaka in 1990 when we know the
population of Bangladesh in the year 1987, 1992, 1997, 2002,2007
and so on. i.e. the figure of population are available for 1987, 1992,
1997, 2002,2007 etc., then the process of finding the population of
1990 is known as interpolation
Example
Applications to image processing
Types:
 Rigid transformations
 Nonlinear transformations
One important application interpolation is the rigid transformation of images. By
rigid transformation we mean a linear transformation of the pixel coordinates.
.
Among rigid transformations, we find the subclass of affine transformations. Here
we use matlab for resizing, rotation and shear. To do this, we define a 3x3 matrix
of the form
An example of nonlinear transformation 5_3 to make a function with-
Input: an intensity image, a center point (x0,y0), a deformation parameter
d.
Output: The transformed cropped image matrix.
Zooming Digital Images using Interpolation
Techniques
Image processing for low resolution digital images ( mobile phones with low resolution
camera etc.) is very challenging problems. It is because of the errors due to quantization
and sampling. In particularly, zooming of such images is very complicated. For zooming,
the process of re-sampling is normally employed. Therefore, we use interpolation
functions on zooming low resolution images. For this purpose, ideally, an ideal low-pass
filter is preferred. Therefore, four interpolation functions-nearest neighbor, linear, cubic B-
spline and high-resolution cubic spline with edge enhancement is used.
Interpolation over Light Fields with Applications in
Computer Graphics
For this we present a data structure, called a ray interpolant tree, or RI tree. which
stores a discrete set of directed lines in 3-space, each represented as a point in 4-
space. Each directed line is associated with some small number of continuous
geometric attributes. We illustrate the practical value of the RI-tree in two applications
from computer graphics: ray tracing and volume visualization. In particular, given
objects defined by smooth curved surfaces, the RI-tree can produce high-quality
renderings significantly faster than standard methods.
The Lagrange Interpolation Polynomial for Neural
Network Learning
One of the methods used to find this polynomial is called the Lagrange
method of interpolation.The Lagrange interpolation method was used in a
new neural network learning by develops the weighting calculation in the
back propagation training. This proposed developing decrease the learning
time with best classification operation results. Also, the Langrage
interpolation polynomial was used to process the image pixels and remove
the noise the image. This interpolation gives the effective processing in
removing the noise and error in the image layers.
DISADVANTAGES.
1.Cannot estimate above maximum or below minimum values.
2.Not very good for peaks or mountainous areas
NUMERICAL INTEGRATION
4staR
Numerical integration is the approximate computation of integral using numerical
techniques.
Numerical integration is the process by which we can find the value of definite integral
𝑎
𝑏
𝑓 𝑥 𝑑𝑥 numerically by using some well-established formulae or rules.
What is Numerical integration?
 Trapezoidal Rule
 Simpson’s 1/3 Rule
 Simpson’s 3/8 Rule
 Boole’s Rule
 Weddle’s Rule
 Romberg’s Integration Rule etc.
The developed approximating methods are:
General Integration Formula
Simpson’s
𝟏
𝟑
Rule
General integration formula:
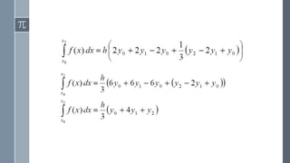
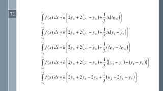
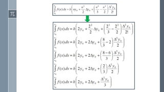
Setting n =2 in above equation we have the interval [ 𝑥0, 𝑥2] and neglecting the higher
order differences more than two, we get
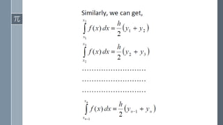
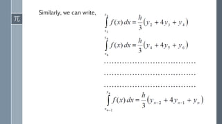
Similarly, we can write,
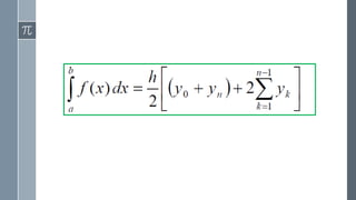
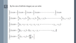
By the rule of definite integral:
Trapezoidal Rule
General integration formula:
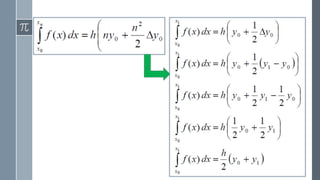
Setting n = 1 in above equation we have the interval [ 𝑥0, 𝑥1]and neglecting the
higher order differences more than one, we get
By the rule of definite integral, we can write:
Any
Question?
Thank
you

Application of interpolation in CSE

  • 1.
  • 2.
    In the mathematicalfield of numerical analysis, interpolation is a method of constructing new data points within the range of a discrete set of known data points. What is Interpolation?
  • 3.
    If we arefind out the population of Dhaka in 1990 when we know the population of Bangladesh in the year 1987, 1992, 1997, 2002,2007 and so on. i.e. the figure of population are available for 1987, 1992, 1997, 2002,2007 etc., then the process of finding the population of 1990 is known as interpolation Example
  • 5.
    Applications to imageprocessing Types:  Rigid transformations  Nonlinear transformations One important application interpolation is the rigid transformation of images. By rigid transformation we mean a linear transformation of the pixel coordinates. . Among rigid transformations, we find the subclass of affine transformations. Here we use matlab for resizing, rotation and shear. To do this, we define a 3x3 matrix of the form
  • 7.
    An example ofnonlinear transformation 5_3 to make a function with- Input: an intensity image, a center point (x0,y0), a deformation parameter d. Output: The transformed cropped image matrix.
  • 8.
    Zooming Digital Imagesusing Interpolation Techniques Image processing for low resolution digital images ( mobile phones with low resolution camera etc.) is very challenging problems. It is because of the errors due to quantization and sampling. In particularly, zooming of such images is very complicated. For zooming, the process of re-sampling is normally employed. Therefore, we use interpolation functions on zooming low resolution images. For this purpose, ideally, an ideal low-pass filter is preferred. Therefore, four interpolation functions-nearest neighbor, linear, cubic B- spline and high-resolution cubic spline with edge enhancement is used.
  • 9.
    Interpolation over LightFields with Applications in Computer Graphics For this we present a data structure, called a ray interpolant tree, or RI tree. which stores a discrete set of directed lines in 3-space, each represented as a point in 4- space. Each directed line is associated with some small number of continuous geometric attributes. We illustrate the practical value of the RI-tree in two applications from computer graphics: ray tracing and volume visualization. In particular, given objects defined by smooth curved surfaces, the RI-tree can produce high-quality renderings significantly faster than standard methods.
  • 10.
    The Lagrange InterpolationPolynomial for Neural Network Learning One of the methods used to find this polynomial is called the Lagrange method of interpolation.The Lagrange interpolation method was used in a new neural network learning by develops the weighting calculation in the back propagation training. This proposed developing decrease the learning time with best classification operation results. Also, the Langrage interpolation polynomial was used to process the image pixels and remove the noise the image. This interpolation gives the effective processing in removing the noise and error in the image layers.
  • 11.
    DISADVANTAGES. 1.Cannot estimate abovemaximum or below minimum values. 2.Not very good for peaks or mountainous areas
  • 12.
  • 13.
    Numerical integration isthe approximate computation of integral using numerical techniques. Numerical integration is the process by which we can find the value of definite integral 𝑎 𝑏 𝑓 𝑥 𝑑𝑥 numerically by using some well-established formulae or rules. What is Numerical integration?
  • 14.
     Trapezoidal Rule Simpson’s 1/3 Rule  Simpson’s 3/8 Rule  Boole’s Rule  Weddle’s Rule  Romberg’s Integration Rule etc. The developed approximating methods are:
  • 15.
  • 16.
  • 17.
    General integration formula: Settingn =2 in above equation we have the interval [ 𝑥0, 𝑥2] and neglecting the higher order differences more than two, we get
  • 21.
  • 22.
    By the ruleof definite integral:
  • 24.
  • 25.
    General integration formula: Settingn = 1 in above equation we have the interval [ 𝑥0, 𝑥1]and neglecting the higher order differences more than one, we get
  • 28.
    By the ruleof definite integral, we can write:
  • 30.
  • 31.