Introduction to Probability and Statistics
                                    7th Week (4/19)



Special Probability Distributions (2)
(Discrete) Poisson Distribution
-   Describe an event that rarely happens.
-   All events in a specific period are mutually independent.
-   The probability to occur is proportional to the length of the period.
-   The probability to occur twice is zero if the period is short.
(Discrete) Poisson Distribution
It is often used as a model for the number of events (such as the number of
telephone calls at a business, number of customers in waiting lines, number
of defects in a given surface area, airplane arrivals, or the number of
accidents at an intersection) in a specific time period.

      If z > 0




                                                         Satisfy the PF
                                                         condition




 Probability function :
.
                      (Discrete) Poisson Distribution
    Ex.1. On an average Friday, a waitress gets no tip from 5 customers. Find the
    probability that she will get no tip from 7 customers this Friday.

    The waitress averages 5 customers that leave no tip on Fridays: λ = 5.
    Random Variable : The number of customers that leave her no tip this Friday.
    We are interested in P(X = 7).




    Ex. 2 During a typical football game, a coach can expect 3.2 injuries. Find the
    probability that the team will have at most 1 injury in this game.

    A coach can expect 3.2 injuries : λ = 3.2.
    Random Variable : The number of injuries the team has in this game.
    We are interested in
.
                    (Discrete) Poisson Distribution

Ex. 3. A small life insurance company has determined that on the average it receives 6
death claims per day. Find the probability that the company receives at least seven
death claims on a randomly selected day.
                                P(x ≥ 7) = 1 - P(x ≤ 6) = 0.393697



Ex. 4. The number of traffic accidents that occurs on a particular stretch of road
during a month follows a Poisson distribution with a mean of 9.4. Find the probability
that less than two accidents will occur on this stretch of road during a randomly
selected month.


                       P(x < 2) = P(x = 0) + P(x = 1) = 0.000860
(Discrete) Poisson Distribution
Characteristics of Poisson Distribution
 E(X) increases with parameter or .
 The graph becomes broadened with increasing the parameter   or
(Discrete) Poisson Distribution


Probability mass function   Cumulative distribution function
(Discrete) Poisson Distribution
(Discrete) Poisson Distribution
(Discrete) Poisson Distribution


                 Comparison of the Poisson
                 distribution (black dots) and the
                 binomial distribution with n=10 (red
                 line), n=20 (blue line), n=1000 (green
                 line). All distributions have a mean of
                 5. The horizontal axis shows the
                 number of events k. Notice that as n
                 gets larger, the Poisson distribution
                 becomes an increasingly better
                 approximation for the binomial
                 distribution with the same mean
Discrete Probability Distributions: Summary

 • Uniform Distribution
 • Binomial Distributions
 • Multinomial Distributions
 • Geometric Distributions
 • Negative Binomial Distributions
 • Hypergeometric Distributions
 • Poisson Distribution
Continuous Probability Distributions




What kinds of PD do we have to know to
     solve real-world problems?
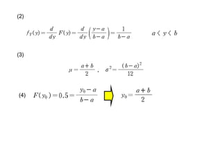
(Continuous) Uniform Distribution
(Continuous) Uniform Distributions
 In a Period [a, b], f(x) is constant.




 f(x)




 E(x):
 Var(X) :


 F(X) :
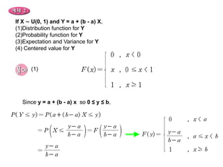
If X ∼ U(0, 1) and Y = a + (b - a) X,
(1)Distribution function for Y
(2)Probability function for Y
(3)Expectation and Variance for Y
(4) Centered value for Y


      (1)




  Since y = a + (b - a) x so 0 ≤ y ≤ b,
(2)




(3)




(4)
(Continuous) Uniform Distributions
(Continuous) Exponential Distribution

▶ Analysis of survival rate
▶ Period between first and second earthquakes
▶ Waiting time for events of Poisson distribution


   For any positive
(Continuous) Exponential Distribution
From a survey, the frequency of traffic accidents X is given by
                                      -3x
                             f(x) = 3e      (0 ≤ x)


(1)Probability to observe the second accident after one month of the first
accident?
(2)Probability to observe the second accident within 2 months
(3)Suppose that a month is 30 days, what is the average day of the accident?




(1)



(2)


(3) μ=1/3, accordingly 10 days.
• Survival function :

• Hazard rate, Failure rate:
A patient was told that he can survive average of 100 days. Suppose that the
probability function is given by



(1) What is the probability that he dies within 150 days.
(2) What is the probability that he survives 200 days




      λ=0.01이므로 분포함수와 생존함수 :
                        -x/100                   -x/100
               F(x)=1-e          ,      S(x)=e


(1) 이 환자가 150일 이내에 사망할 확률 :
                                     -1.5
   P(X < 150) = F(150) = 1-e                = 1-0.2231 = 0.7769

(2) 이 환자가 200일 이상 생존할 확률
                             -2.0
   P(X ≥ 200) = S(200) = e            = 0.1353
(Continuous) Exponential Distribution
 ⊙ Relation with Poisson Process

(1) If an event occurs according to Poisson process with the ratio λ , the waiting
   time between neighboring events (T) follows exponential distribution with the
   exponent of λ.
(Continuous) Gamma Distribution
(Continuous) Gamma Distribution


                   α : shape parameter, α > 0
                   β : scale parameter, β > 0




α=1                                         Γ (1, β) = E(1/β)
(Continuous) Gamma Distribution
(Continuous) Gamma Distribution
  ⊙ Relation with Exponential Distribution


Exponential distribution is a special gamma distribution with   = 1.




IF X1 , X2 , … , Xn have independent exponential distribution with the same
exponent 1/β, the sum of these random variables S= X1 + X2 + … +Xn results in
a gamma distribution, Γ(n, β).
If the time to observe an traffic accident (X) in a region have the following
probability distribution
                                     -3x
                            f(x) = 3e      , 0<x<∞

Estimate the probability to observe the first two accidents between the first
and second months. Assume that the all accidents are independent.
      X1 : Time for the first accident
      X2 : Time between the first and second accidents

                               Xi ∼ Exp(1/3) , I = 1, 2

      S = X1 + X2 : Time for two accidents

                            S ∼ Γ(2, 1/3)
      Probability function for S :




Answer:
(Continuous) Chi Square Distribution
A special gamma distribution α = r/2, β = 2

 PD


 E(X)

 Var(X)
(Continuous) Chi Square Distribution
(Continuous) Chi Square Distribution
(Continuous) Chi Square Distribution
(Continuous) Chi Square Distribution
(Continuous) Chi Square Distribution


A random variable X follows a Chi Square Distribution with a degree of
freedom of 5, Calculate the critical value to satisfy P(X < x0 )=0.95



       Since P(X < x0 )=0.95, P(X > x0 )=0.05.

       From the table, find the point with d.f.=5 and α=0.05
(Continuous) Chi Square Distribution
Why do we have to be bothered?
(Continuous) Weibull Distribution

 The Weibull distribution is used:

 •In survival analysis
 •In reliability engineering and failure analysis
 •In industrial engineering to represent
 manufacturing and delivery times
 •In extreme value theory
 •In weather forecasting
 •In communications systems engineering
 •In General insurance to model the size of
 Reinsurance claims, and the cumulative
 development of Asbestosis losses




The probability of failure can be modeled by the Weibull distribution

Ex) What is the failure ratio of the smart phone with time?
(Continuous) Weibull Distribution


The following are examples of engineering problems solved with Weibull
analysis:

• A project engineer reports three failures of a component in service
operations during a three-month period. The Program Manager asks, "How
many failures will we have in the next quarter, six months, and year?" What
will it cost? What is the best corrective action to reduce the risk and losses?

• To order spare parts and schedule maintenance labor, how many units will
be returned to depot for overhaul for each failure mode month-by-month next
year?
(Continuous) Weibull Distribution

Probability distributions for reliability engineering

• Exponential
   – “Random failure”
• Gamma
• Log-Normal
• Weibull
   - The Weibull is a very flexible life distribution model
     with two parameters.
   - It has the ability to provide reasonably accurate failure
     analysis and failure forecasts with extremely small
     samples.
(Continuous) Weibull Distribution
  For positive α, β

 PDF :

 CDF :

 Survival
(Continuous) Weibull Distribution




When a is 1, Weibull distribution reduces to the Exponential Model
(Continuous) Weibull Distribution

 Failure function :




                                α = 3, β = 2
                                CDF : F(x)
                                SF : S(x)
                                FF : h(x)
(Continuous) Weibull Distribution

 Failure function :
(Continuous) Weibull Distribution
α : shape parameter
β : scale parameter




    • β < 1.0 indicates infant mortality
    • β = 1.0 means random failures (independent of age)
    • β > 1.0 indicates wear out failures
(Continuous) Weibull Distribution
(Continuous) Beta Distribution
     Ex) Ratio of customers who satisfy the service
         Ratio of time for watching TV in a day

  α, β > 0
Beta function :

                                                      PDF condition




   Relationship between gamma and beta functions
(Continuous) Beta Distribution




If α < 1, the graph goes to left. If β < 1, it goes to right.




        α<1                                             β<1
(Continuous) Beta Distribution




If α < 1, the graph goes to left. If β < 1, it goes to right.




        α<1                                             β<1
(Continuous) Beta Distribution

If α = β, the graph is symmetric
With increasing α and β, the graph becomes narrow.




                            α, β > 0
(Continuous) Beta Distribution
(Continuous) Beta Distribution
The ratio of customers who ask about LTE service (X) to the total customer in
the S* Telecom was represented by a beta distribution with α=3 and β=4.
(1) Probability distribution function for X
(2) Mean and variance
(3) Probability that 70% of the total customer asked.


      (1)

(2)


(3) P(X ≥ 0.7) :
(Continuous) Normal Distribution
(Continuous) Normal Distribution


   [Ref]
  μ is the center of the graph and σ is the degree of variance.




μ is different and σ is same                  μ is same and σ is different.
(Continuous) Normal Distribution
(Continuous) Normal Distribution
(Continuous) Normal Distribution
                       Standardization
(Continuous) Normal Distribution
(Continuous) Normal Distribution
(Continuous) Normal Distribution
⊙ Use of the table
(Continuous) Normal Distribution
⊙ Use of the table
(Continuous) Normal Distribution
(Continuous) Normal Distribution
(Continuous) Normal Distribution
(Continuous) Normal Distribution

⊙ Approximation of Binomial distribution using Normal distribution
(Continuous) Normal Distribution

⊙ Approximation of Poisson distribution using Normal distribution


                 n→∞
    X ∼ P(μ)                  X ≈ N(μ, μ)
(Continuous) Normal Distribution
Chemical Oxygen Demand (COD) of the water samples are known to be described by a
normal distribution with mean of 128.4 mg/L and standard deviation of 19.6 mg/L.

(1)Probability that the COD for a random water sample is less than 100 mg/L.
(2) Probability that the COD for a random water sample is between 110 and 130 mg/L.
                             2
        (1) X ∼ N(128.4, 19.6 )




        (2)
(Continuous) Central limit theorem

Central limit theorem
                                                                2
X1 , X2 , … , Xn : random variable with mean μ and variance σ


                                    Large n
(Continuous) Central limit theorem
(Continuous) Log-Normal Distribution
(Continuous) Student t Distribution
(Continuous) Student t Distribution
(Continuous) F Distribution
(Continuous) F Distribution
(Continuous) F Distribution
⊙ Effect of the degree of freedom




 For α, 100(1- α)% : fα(m, n)

          (1) P(X ≥ fα(m, n) ) = α

          (2) P(f1-α/2(m, n) ≤ X ≤ fα/2(m, n)) = α

          (3) F ∼ F (m, n) ⇒ 1/F ∼ F (n, m)
(Continuous) F Distribution
Continuous Probability Distributions: Summary

  • Uniform Distribution
  • Exponential Distributions
  • Gamma Distributions
  • Chi-square Distributions
  • Weibull Distributions
  • Beta Distributions
  • Normal Distribution
  • Student t Distribution
  • F Distribution

7주차

  • 1.
    Introduction to Probabilityand Statistics 7th Week (4/19) Special Probability Distributions (2)
  • 2.
    (Discrete) Poisson Distribution - Describe an event that rarely happens. - All events in a specific period are mutually independent. - The probability to occur is proportional to the length of the period. - The probability to occur twice is zero if the period is short.
  • 3.
    (Discrete) Poisson Distribution Itis often used as a model for the number of events (such as the number of telephone calls at a business, number of customers in waiting lines, number of defects in a given surface area, airplane arrivals, or the number of accidents at an intersection) in a specific time period. If z > 0 Satisfy the PF condition  Probability function :
  • 4.
    . (Discrete) Poisson Distribution Ex.1. On an average Friday, a waitress gets no tip from 5 customers. Find the probability that she will get no tip from 7 customers this Friday. The waitress averages 5 customers that leave no tip on Fridays: λ = 5. Random Variable : The number of customers that leave her no tip this Friday. We are interested in P(X = 7). Ex. 2 During a typical football game, a coach can expect 3.2 injuries. Find the probability that the team will have at most 1 injury in this game. A coach can expect 3.2 injuries : λ = 3.2. Random Variable : The number of injuries the team has in this game. We are interested in
  • 5.
    . (Discrete) Poisson Distribution Ex. 3. A small life insurance company has determined that on the average it receives 6 death claims per day. Find the probability that the company receives at least seven death claims on a randomly selected day. P(x ≥ 7) = 1 - P(x ≤ 6) = 0.393697 Ex. 4. The number of traffic accidents that occurs on a particular stretch of road during a month follows a Poisson distribution with a mean of 9.4. Find the probability that less than two accidents will occur on this stretch of road during a randomly selected month. P(x < 2) = P(x = 0) + P(x = 1) = 0.000860
  • 6.
  • 8.
    Characteristics of PoissonDistribution E(X) increases with parameter or . The graph becomes broadened with increasing the parameter or
  • 9.
    (Discrete) Poisson Distribution Probabilitymass function Cumulative distribution function
  • 10.
  • 11.
  • 12.
    (Discrete) Poisson Distribution Comparison of the Poisson distribution (black dots) and the binomial distribution with n=10 (red line), n=20 (blue line), n=1000 (green line). All distributions have a mean of 5. The horizontal axis shows the number of events k. Notice that as n gets larger, the Poisson distribution becomes an increasingly better approximation for the binomial distribution with the same mean
  • 13.
    Discrete Probability Distributions:Summary • Uniform Distribution • Binomial Distributions • Multinomial Distributions • Geometric Distributions • Negative Binomial Distributions • Hypergeometric Distributions • Poisson Distribution
  • 14.
    Continuous Probability Distributions Whatkinds of PD do we have to know to solve real-world problems?
  • 15.
  • 16.
    (Continuous) Uniform Distributions In a Period [a, b], f(x) is constant.  f(x)  E(x):
  • 17.
  • 18.
    If X ∼U(0, 1) and Y = a + (b - a) X, (1)Distribution function for Y (2)Probability function for Y (3)Expectation and Variance for Y (4) Centered value for Y (1) Since y = a + (b - a) x so 0 ≤ y ≤ b,
  • 19.
  • 20.
  • 21.
    (Continuous) Exponential Distribution ▶Analysis of survival rate ▶ Period between first and second earthquakes ▶ Waiting time for events of Poisson distribution For any positive
  • 22.
  • 23.
    From a survey,the frequency of traffic accidents X is given by -3x f(x) = 3e (0 ≤ x) (1)Probability to observe the second accident after one month of the first accident? (2)Probability to observe the second accident within 2 months (3)Suppose that a month is 30 days, what is the average day of the accident? (1) (2) (3) μ=1/3, accordingly 10 days.
  • 24.
    • Survival function: • Hazard rate, Failure rate:
  • 25.
    A patient wastold that he can survive average of 100 days. Suppose that the probability function is given by (1) What is the probability that he dies within 150 days. (2) What is the probability that he survives 200 days λ=0.01이므로 분포함수와 생존함수 : -x/100 -x/100 F(x)=1-e , S(x)=e (1) 이 환자가 150일 이내에 사망할 확률 : -1.5 P(X < 150) = F(150) = 1-e = 1-0.2231 = 0.7769 (2) 이 환자가 200일 이상 생존할 확률 -2.0 P(X ≥ 200) = S(200) = e = 0.1353
  • 26.
    (Continuous) Exponential Distribution ⊙ Relation with Poisson Process (1) If an event occurs according to Poisson process with the ratio λ , the waiting time between neighboring events (T) follows exponential distribution with the exponent of λ.
  • 27.
  • 28.
    (Continuous) Gamma Distribution α : shape parameter, α > 0 β : scale parameter, β > 0 α=1 Γ (1, β) = E(1/β)
  • 29.
  • 30.
    (Continuous) Gamma Distribution ⊙ Relation with Exponential Distribution Exponential distribution is a special gamma distribution with = 1. IF X1 , X2 , … , Xn have independent exponential distribution with the same exponent 1/β, the sum of these random variables S= X1 + X2 + … +Xn results in a gamma distribution, Γ(n, β).
  • 31.
    If the timeto observe an traffic accident (X) in a region have the following probability distribution -3x f(x) = 3e , 0<x<∞ Estimate the probability to observe the first two accidents between the first and second months. Assume that the all accidents are independent. X1 : Time for the first accident X2 : Time between the first and second accidents Xi ∼ Exp(1/3) , I = 1, 2 S = X1 + X2 : Time for two accidents S ∼ Γ(2, 1/3) Probability function for S : Answer:
  • 32.
    (Continuous) Chi SquareDistribution A special gamma distribution α = r/2, β = 2  PD  E(X)  Var(X)
  • 33.
  • 34.
  • 35.
  • 36.
  • 37.
    (Continuous) Chi SquareDistribution A random variable X follows a Chi Square Distribution with a degree of freedom of 5, Calculate the critical value to satisfy P(X < x0 )=0.95 Since P(X < x0 )=0.95, P(X > x0 )=0.05. From the table, find the point with d.f.=5 and α=0.05
  • 38.
    (Continuous) Chi SquareDistribution Why do we have to be bothered?
  • 39.
    (Continuous) Weibull Distribution The Weibull distribution is used: •In survival analysis •In reliability engineering and failure analysis •In industrial engineering to represent manufacturing and delivery times •In extreme value theory •In weather forecasting •In communications systems engineering •In General insurance to model the size of Reinsurance claims, and the cumulative development of Asbestosis losses The probability of failure can be modeled by the Weibull distribution Ex) What is the failure ratio of the smart phone with time?
  • 40.
    (Continuous) Weibull Distribution Thefollowing are examples of engineering problems solved with Weibull analysis: • A project engineer reports three failures of a component in service operations during a three-month period. The Program Manager asks, "How many failures will we have in the next quarter, six months, and year?" What will it cost? What is the best corrective action to reduce the risk and losses? • To order spare parts and schedule maintenance labor, how many units will be returned to depot for overhaul for each failure mode month-by-month next year?
  • 41.
    (Continuous) Weibull Distribution Probabilitydistributions for reliability engineering • Exponential – “Random failure” • Gamma • Log-Normal • Weibull - The Weibull is a very flexible life distribution model with two parameters. - It has the ability to provide reasonably accurate failure analysis and failure forecasts with extremely small samples.
  • 42.
    (Continuous) Weibull Distribution For positive α, β  PDF :  CDF :  Survival
  • 43.
    (Continuous) Weibull Distribution Whena is 1, Weibull distribution reduces to the Exponential Model
  • 44.
    (Continuous) Weibull Distribution Failure function : α = 3, β = 2 CDF : F(x) SF : S(x) FF : h(x)
  • 45.
  • 46.
    (Continuous) Weibull Distribution α: shape parameter β : scale parameter • β < 1.0 indicates infant mortality • β = 1.0 means random failures (independent of age) • β > 1.0 indicates wear out failures
  • 47.
  • 48.
    (Continuous) Beta Distribution Ex) Ratio of customers who satisfy the service Ratio of time for watching TV in a day α, β > 0 Beta function : PDF condition  Relationship between gamma and beta functions
  • 49.
    (Continuous) Beta Distribution Ifα < 1, the graph goes to left. If β < 1, it goes to right. α<1 β<1
  • 50.
    (Continuous) Beta Distribution Ifα < 1, the graph goes to left. If β < 1, it goes to right. α<1 β<1
  • 51.
    (Continuous) Beta Distribution Ifα = β, the graph is symmetric With increasing α and β, the graph becomes narrow. α, β > 0
  • 52.
  • 53.
    (Continuous) Beta Distribution Theratio of customers who ask about LTE service (X) to the total customer in the S* Telecom was represented by a beta distribution with α=3 and β=4. (1) Probability distribution function for X (2) Mean and variance (3) Probability that 70% of the total customer asked. (1) (2) (3) P(X ≥ 0.7) :
  • 54.
  • 55.
    (Continuous) Normal Distribution [Ref] μ is the center of the graph and σ is the degree of variance. μ is different and σ is same μ is same and σ is different.
  • 56.
  • 57.
  • 58.
  • 59.
  • 60.
  • 61.
  • 62.
  • 63.
  • 64.
  • 65.
  • 66.
    (Continuous) Normal Distribution ⊙Approximation of Binomial distribution using Normal distribution
  • 67.
    (Continuous) Normal Distribution ⊙Approximation of Poisson distribution using Normal distribution n→∞ X ∼ P(μ) X ≈ N(μ, μ)
  • 68.
  • 69.
    Chemical Oxygen Demand(COD) of the water samples are known to be described by a normal distribution with mean of 128.4 mg/L and standard deviation of 19.6 mg/L. (1)Probability that the COD for a random water sample is less than 100 mg/L. (2) Probability that the COD for a random water sample is between 110 and 130 mg/L. 2 (1) X ∼ N(128.4, 19.6 ) (2)
  • 70.
    (Continuous) Central limittheorem Central limit theorem 2 X1 , X2 , … , Xn : random variable with mean μ and variance σ Large n
  • 71.
  • 72.
  • 73.
  • 74.
  • 75.
  • 76.
  • 77.
    (Continuous) F Distribution ⊙Effect of the degree of freedom For α, 100(1- α)% : fα(m, n) (1) P(X ≥ fα(m, n) ) = α (2) P(f1-α/2(m, n) ≤ X ≤ fα/2(m, n)) = α (3) F ∼ F (m, n) ⇒ 1/F ∼ F (n, m)
  • 78.
  • 79.
    Continuous Probability Distributions:Summary • Uniform Distribution • Exponential Distributions • Gamma Distributions • Chi-square Distributions • Weibull Distributions • Beta Distributions • Normal Distribution • Student t Distribution • F Distribution