1.5 LimitsGoal: to understand limits.def:  If f(x) becomes arbitrarily close to a single number L as x approaches c from either side, then Ex.
Graph this in your calculatorIt looks like f(1) = 2, is this true?
 Look at the table.
 Reset the table and look closely as x gets 	closer to 1.
 Is f(1) = 2?
 No!!!!will be? What do you think
 In this case it is 2 since we can say that f(x) becomes arbitrarily close to 2 as x approaches 1 from either side (positive or negative) Huh?
 Go back to the graph for a second and think about the function (domain in particular)We know that x ≠ 1, the function is undefined at x = 1That would mean that we actually have a hole in our graph at x = 1
 As we approach (imagine you are riding on the function) from the negative (left) side we get closer to the function having a value of 2 As we approach (again, imagine you are riding on the function) from the positive (right) side we also get closer to the function having a value of 2 Since we are traveling towards a value of 2 for the function from both sides, we can say that the limit of the function as x–› 1 is 2  Is there another way to find this value?  Sure, we can use the table in your calculator
  Set your table to start at x = 1
  Change your ∆x setting to .1 to start
  Your table should look something like this:
  Now let’s move in closer
  Again set your table to start at x = 1
  Change your ∆x setting to .01
  Your table should look something like this:  One last time even closer
  Again set your table to start at x = 1
  Change your ∆x setting to .001
  Your table should look something like this:
  We can probably guess pretty accurately that the limit is equal to 2Limit rules:A limit only exists if both the left side and the right side approach the same value!!!!  THIS is VERY IMPORTANT!!!!!Ex.does exist?Graph  in your calculator. Look at the table as x gets closer to 1
 What value is the function approaching from the left side?
 -1
 What is value is the function approaching from the right side?
 1Since the left side limit ≠ right side limit, we say that the limit does not exist.find  Ex.Graph the function first, remember how to graph a piecewise function.
Ex.Find   How can I figure this one out?
  Graph?
  Yes
  Table?
  Yes
  What do you think the limit is?
  7
  What if I forgot my calculator today? Or my batteries died? How did people do limits before there were calculators?Direct Substitution:When the domain does not create difficulty for us (undefined, etc.), we can substitute what x approaches directly into the function.
Go back to our first example. You must have figured by now that there was a reason we went back and reviewed all of our algebra skills. Simplify first!Now Direct Substitution works, we can substitute x = 1 into the function to find the value the function is approaching.Remember this is not necessarily solving for the actual value of the function, it is looking for what value the function is approaching as x -> that specific number.  Often x is approaching a number that will make the function undefined!
Properties and Operations with Limits:Let b & c be real numbers and let n be a positive integer.If you are taking the limit of a constant the limit is just that constant.ex.
2.If you are taking the limit of a lone variable just substitute in what x is approaching for the x in the equation.ex.
3.If you are taking the limit of a variable raised to a positive power, just substitute in what x is approaching for the x in the equation and simplify.ex.
4. If you are taking the limit of a variable under a radical, just substitute in what x is approaching for the x in the equation and simplify.  Be careful that when your index is even then c must be positive!ex.
Operations with Limits:Let b and c be  real numbers, let n be a positive integer and let f and g be functions with the following limits:andScalar Multipleex.
2.  Sum or DifferenceEx.Find 5
3.  ProductEx.and
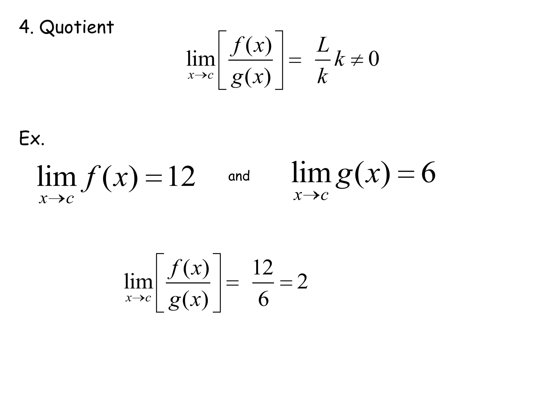
4. QuotientEx.and
The Limit of a Polynomial:If p is a polynomial function and c is any real number thenCan you think of a method that allows us to substitute values into polynomials very easily?Synthetic Substitution!

1.5 all notes

  • 1.
    1.5 LimitsGoal: tounderstand limits.def: If f(x) becomes arbitrarily close to a single number L as x approaches c from either side, then Ex.
  • 2.
    Graph this inyour calculatorIt looks like f(1) = 2, is this true?
  • 3.
    Look atthe table.
  • 4.
    Reset thetable and look closely as x gets closer to 1.
  • 5.
  • 6.
    No!!!!will be?What do you think
  • 7.
    In thiscase it is 2 since we can say that f(x) becomes arbitrarily close to 2 as x approaches 1 from either side (positive or negative) Huh?
  • 8.
    Go backto the graph for a second and think about the function (domain in particular)We know that x ≠ 1, the function is undefined at x = 1That would mean that we actually have a hole in our graph at x = 1
  • 9.
    As weapproach (imagine you are riding on the function) from the negative (left) side we get closer to the function having a value of 2 As we approach (again, imagine you are riding on the function) from the positive (right) side we also get closer to the function having a value of 2 Since we are traveling towards a value of 2 for the function from both sides, we can say that the limit of the function as x–› 1 is 2 Is there another way to find this value? Sure, we can use the table in your calculator
  • 10.
    Setyour table to start at x = 1
  • 11.
    Changeyour ∆x setting to .1 to start
  • 12.
    Yourtable should look something like this:
  • 13.
    Nowlet’s move in closer
  • 14.
    Againset your table to start at x = 1
  • 15.
    Changeyour ∆x setting to .01
  • 16.
    Yourtable should look something like this: One last time even closer
  • 17.
    Againset your table to start at x = 1
  • 18.
    Changeyour ∆x setting to .001
  • 19.
    Yourtable should look something like this:
  • 20.
    Wecan probably guess pretty accurately that the limit is equal to 2Limit rules:A limit only exists if both the left side and the right side approach the same value!!!! THIS is VERY IMPORTANT!!!!!Ex.does exist?Graph in your calculator. Look at the table as x gets closer to 1
  • 21.
    What valueis the function approaching from the left side?
  • 22.
  • 23.
    What isvalue is the function approaching from the right side?
  • 24.
    1Since theleft side limit ≠ right side limit, we say that the limit does not exist.find Ex.Graph the function first, remember how to graph a piecewise function.
  • 26.
    Ex.Find How can I figure this one out?
  • 27.
  • 28.
  • 29.
  • 30.
  • 31.
    Whatdo you think the limit is?
  • 32.
  • 33.
    Whatif I forgot my calculator today? Or my batteries died? How did people do limits before there were calculators?Direct Substitution:When the domain does not create difficulty for us (undefined, etc.), we can substitute what x approaches directly into the function.
  • 34.
    Go back toour first example. You must have figured by now that there was a reason we went back and reviewed all of our algebra skills. Simplify first!Now Direct Substitution works, we can substitute x = 1 into the function to find the value the function is approaching.Remember this is not necessarily solving for the actual value of the function, it is looking for what value the function is approaching as x -> that specific number. Often x is approaching a number that will make the function undefined!
  • 35.
    Properties and Operationswith Limits:Let b & c be real numbers and let n be a positive integer.If you are taking the limit of a constant the limit is just that constant.ex.
  • 36.
    2.If you aretaking the limit of a lone variable just substitute in what x is approaching for the x in the equation.ex.
  • 37.
    3.If you aretaking the limit of a variable raised to a positive power, just substitute in what x is approaching for the x in the equation and simplify.ex.
  • 38.
    4. If youare taking the limit of a variable under a radical, just substitute in what x is approaching for the x in the equation and simplify. Be careful that when your index is even then c must be positive!ex.
  • 39.
    Operations with Limits:Letb and c be real numbers, let n be a positive integer and let f and g be functions with the following limits:andScalar Multipleex.
  • 40.
    2. Sumor DifferenceEx.Find 5
  • 41.
  • 42.
  • 43.
    The Limit ofa Polynomial:If p is a polynomial function and c is any real number thenCan you think of a method that allows us to substitute values into polynomials very easily?Synthetic Substitution!
  • 44.
  • 45.
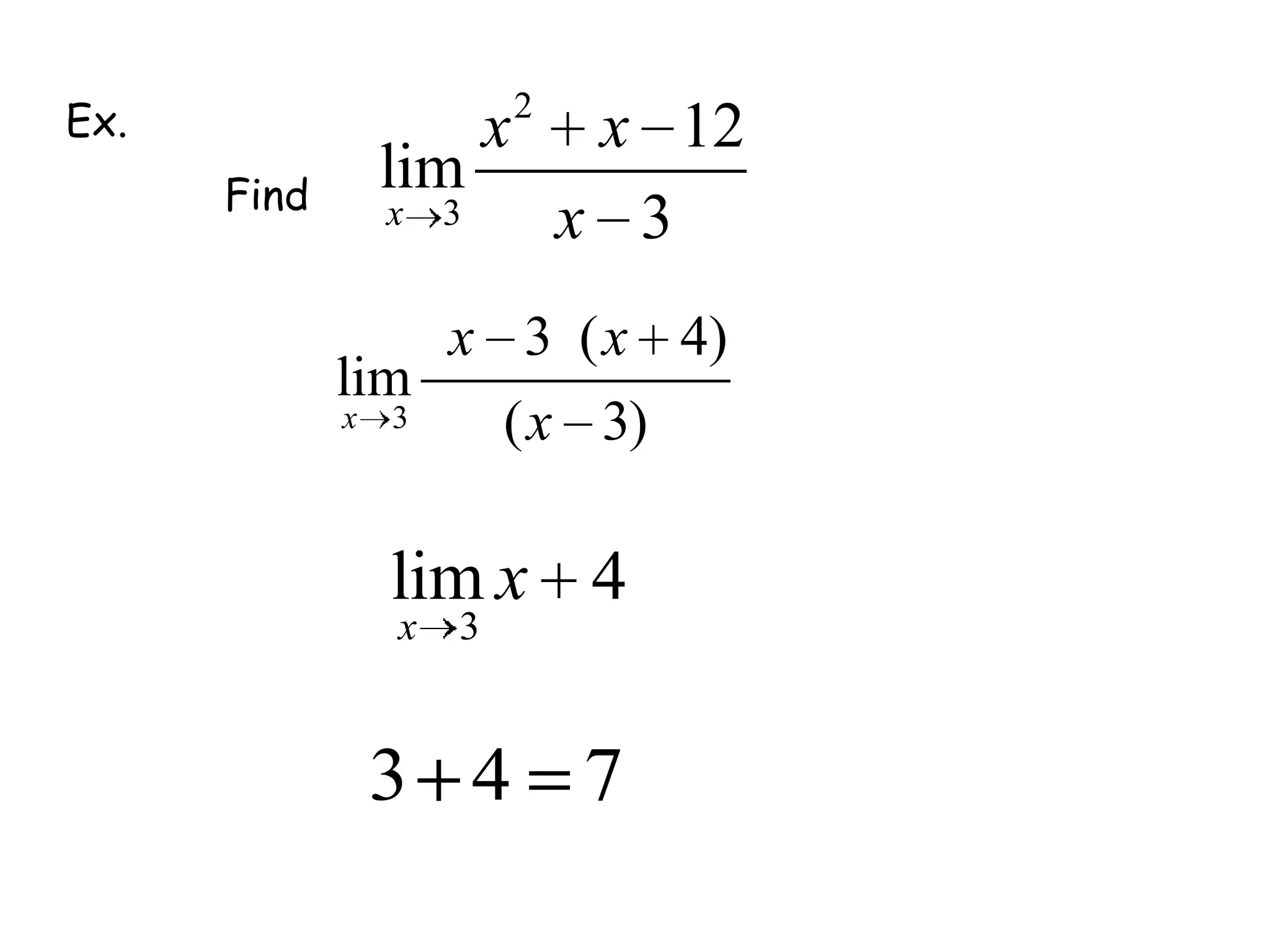
    The Replacement Theorem:Leta be a real number and let f(x)=g(x) for all x≠c. If the limit of g(x) exists as x->c then the limit of f(x) also exists andThis is just the theorem that actually allows us to simplify before we take limits.
  • 46.
    Ex.Direct substitution won’twork here. We would be dividing by zero.Find Here is a place where it is very helpful to remember how to factor the difference of cube. Again, that is why we reviewed it:-)
  • 47.
  • 48.
    One Sided Limits: Whenthe limit doesn’t exist (since the left and right side are approaching at very different values) we look at one sided limits.Graph:
  • 49.
    Does the limitas x->2 exist?Left side (see the little negative sign)Right side (see the little positive sign)
  • 51.
    Existence of aLimit: If f is a function and c and L are real numbers theni.f.f. both the left and right hand limits are equal to L.So:For the limit to exist
  • 52.
    Ex.andandSo the limitexits and is equal to 1
  • 53.
    Unbounded Behavior: When thefunction approaches +∞ or -∞ as x->c, we say the function is unbounded. The limit does not exist.Graph:
  • 55.
    Ex.andandSo the limitdoes not exits
  • 56.
    Unbounded Behavior: When thefunction approaches +∞ or -∞….Think about that statement for a minute.Remember,+∞ and -∞ are not numbers, when we say something is approaching +∞ or -∞, we are not giving an exact numerical answer.That is why the function is unbounded and the limit does not exist
  • 57.
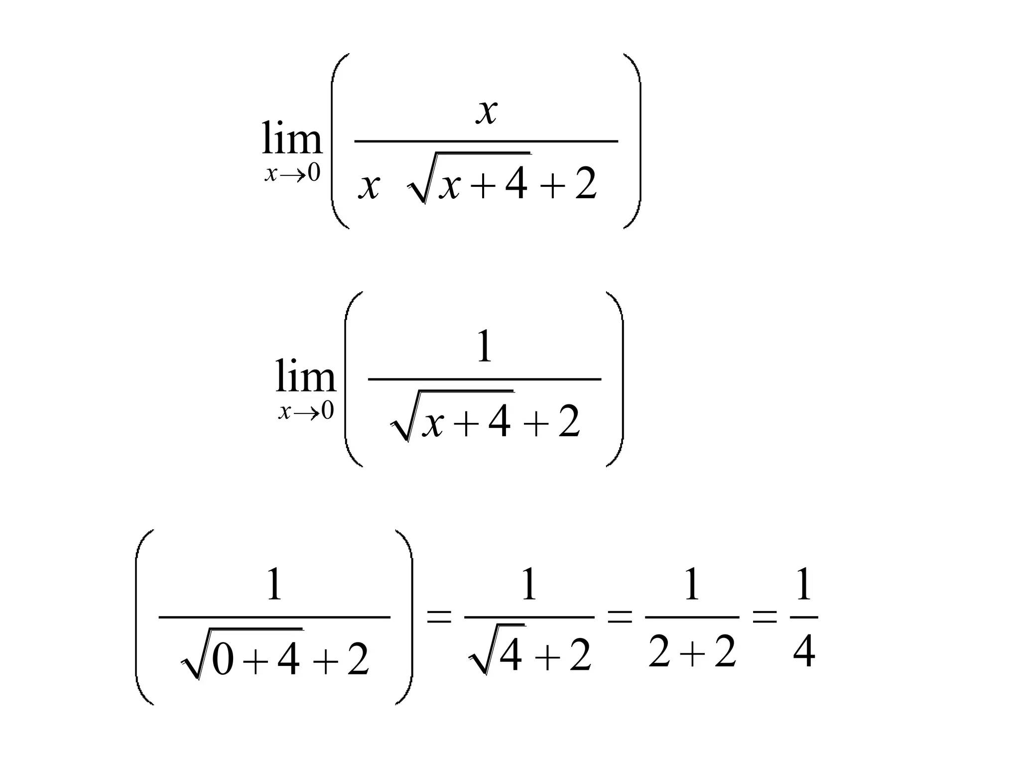
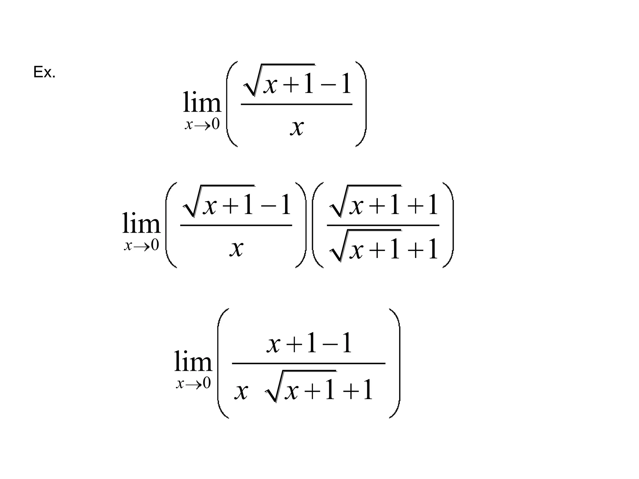
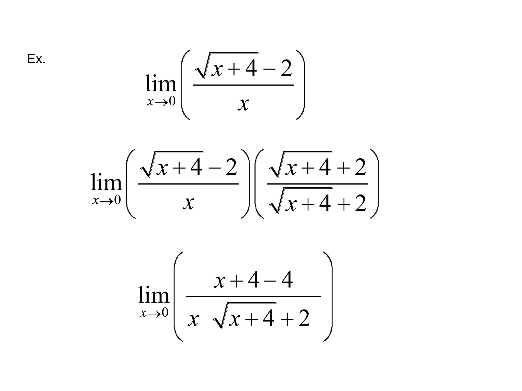
    Special Cases withRadicalsWhat about functions where direct substitution doesn’t work?If you can’t divide out factors, try to rationalize the numerator to get a larger expression in the denominator.To rationalize the numerator, you use the same strategies that you use to rationalize the denominator, but this time you are actually trying to put the radical into the denominator!
  • 58.
  • 60.
  • 62.