Embed presentation
Download to read offline








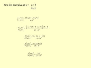
This document discusses rules for finding derivatives of products and quotients of functions. The product rule states that the derivative of a product is the sum of each term multiplied by the derivative of the other. The quotient rule gives the derivative of a quotient as the denominator times the derivative of the numerator minus the numerator times the derivative of the denominator, all over the square of the denominator. Examples are provided to demonstrate applying these rules to find derivatives.







