Embed presentation
Download as PDF, PPTX













































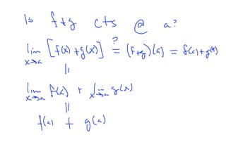
This document discusses continuity and the Intermediate Value Theorem (IVT) in mathematics. It defines continuity, examines examples of continuous and discontinuous functions, and establishes theorems about continuity. The IVT states that if a function is continuous on a closed interval and takes on intermediate values within its range, there exists at least one value in the domain where the function value is intermediate. An example proves the existence of the square root of two using the IVT and bisection method.











































